Trodelvy 200 mg pulver till koncentrat till infusionsvätska, lösning.
En injektionsflaska med pulver innehåller 200 mg sacituzumabgovitekan.
Efter beredning innehåller en ml lösning 10 mg sacituzumabgovitekan.
Sacituzumabgovitekan är ett antikropp-läkemedelskonjugat som riktas mot Trop‑2. Sacituzumab är en humaniserad monoklonal antikropp (hRS7 IgG1κ) som känner igen Trop-2. Småmolekylära SN‑38, är en topoisomeras I-hämmare som är kovalent bunden till antikroppen med en hydrolyserbar linker. Ungefär 7–8 SN-38-molekyler är bundna till varje antikroppsmolekyl.
För fullständig förteckning över hjälpämnen, se avsnitt 6.1.
Pulver till koncentrat till infusionsvätska, lösning
Benvitt till gulaktigt pulver.
Gilead Sciences Ireland UC
Carrigtohill
County Cork, T45 DP77
Irland
EU/1/21/1592/001
Första godkännandet: 22 november 2021
06/2025 Ytterligare information om detta läkemedel finns på Europeiska läkemedelsmyndighetens webbplats http://www.ema.europa.eu.
Det rekommenderas att förebyggande behandling mot infusionsrelaterade reaktioner och cytostatikainducerat illamående och kräkningar ges före varje dos av sacituzumabgovitekan (se avsnitt 4.4).
Profylax för neutropeni
Primärprofylax med granulocytkolonistimulerande faktor (G-CSF) bör övervägas med start i den första behandlingscykeln hos patienter med ökad risk för febril neutropeni (se avsnitt 4.4).
Dosändringar vid biverkningar
Hantering av biverkningar kan innebära tillfälligt avbrott, dosminskning eller avbruten behandling av sacituzumabgovitekan. I tabell 1 ges ett schema för dosminskning och i tabell 2 en beskrivning av dosändringarna för hantering av biverkningar av sacituzumabgovitekan. Dosen av sacituzumabgovitekan ska inte höjas på nytt efter det att en dosminskning har gjorts på grund av biverkningar.
Tabell 1: Schema för dosminskning
Tabell 2: Rekommenderade dosändringar vid biverkningar
Särskilda populationer
Äldre
Ingen dosjustering krävs hos patienter ≥ 65 år. Det finns begränsat med data om sacituzumabgovitekan till patienter ≥ 75 år).
Nedsatt leverfunktion
Det krävs ingen justering av startdosen vid administrering av sacituzumabgovitekan till patienter med lätt nedsatt leverfunktion (bilirubin ≤ 1,5 x övre normalvärdesgränsen [ULN] och aspartataminotransferas [ASAT]/alaninaminotransferas [ALAT] < 3 x ULN).
Säkerheten för sacituzumabgovitekan hos patienter med måttligt till allvarligt nedsatt leverfunktion har inte fastställts. Sacituzumabgovitekan har inte studerats hos patienter med något av följande: serumbilirubin > 1,5 x ULN och inte heller hos patienter utan levermetastaser med ett ASAT eller ALAT > 3 x ULN eller hos patienter med levermetastaser som har ett ASAT eller ALAT > 5 x ULN. Hos dessa patienter ska användning av sacituzumabgovitekan undvikas.
Nedsatt njurfunktion
Det krävs ingen justering av startdosen vid administrering av sacituzumabgovitekan till patienter med lätt eller måttligt nedsatt njurfunktion.
Sacituzumabgovitekan har inte studerats hos patienter med allvarligt nedsatt njurfunktion eller med njursjukdom i slutstadiet (kreatininclearance [CrCl] ≤ 15 ml/min).
Pediatrisk population
Säkerhet och effekt för sacituzumabgovitekan för barn i åldern 0–18 år har inte fastställts. Inga data finns tillgängliga.
Administreringssätt
Sacituzumabgovitekan är endast avsett för intravenös användning. Det ska beredas och spädas av sjukvårdspersonal med erfarenhet av hantering av cancerbehandlingar. Läkemedlet måste administreras genom intravenös infusion, inte genom en intravenös snabbinjektion eller som bolusdos.
Första infusionen: infusionen ska administreras under en period på 3 timmar.
Efterföljande infusioner: infusionen ska administreras under en period på 1 till 2 timmar om tidigare infusioner har tolererats.
Patienter måste hållas under observation avseende tecken eller symtom på infusionsrelaterade reaktioner under varje infusion och i minst 30 minuter efter varje infusion (se avsnitt 4.4).
Anvisningar om beredning och spädning av läkemedlet före administrering finns i avsnitt 6.6.
Överkänslighet mot den aktiva substansen eller mot något hjälpämne som anges i avsnitt 6.1.
Spårbarhet
För att underlätta spårbarheten av biologiska läkemedel ska läkemedlets namn och tillverkningssatsnummer dokumenteras.
Neutropeni
Sacituzumabgovitekan kan orsaka svår eller livshotande neutropeni (se avsnitt 4.8). Fatala infektioner i samband med neutropeni har observerats i kliniska studier med sacituzumabgovitekan, framför allt under de två första behandlingscyklerna.
Primärprofylax med G-CSF bör övervägas med start i den första behandlingscykeln hos patienter med ökad risk för febril neutropeni, dvs. äldre patienter (från och med 65 år), patienter med tidigare neutropeni, låg prestationsförmåga, nedsatt organfunktion (njur-, lever- eller hjärt- och kärlfunktion inkluderat) eller andra sjukdomstillstånd. Kontrollera det absoluta antalet neutrofiler (ANC) under behandling.
Sacituzumabgovitekan ska inte administreras om ANC understiger 1 500/mm3 på dag 1 under någon cykel eller om antalet neutrofiler understiger 1 000/mm3 på dag 8 under någon cykel. Sacituzumabgovitekan ska inte administreras vid neutropen feber. Dosändringar kan krävas vid neutropeni eller febril neutropeni. Behandla neutropeni med G-CSF och överväg profylax i efterföljande behandlingscykler om det är kliniskt indicerat (se avsnitt 4.2 och 4.8).
Diarré
Sacituzumabgovitekan kan orsaka svår diarré (se avsnitt 4.8).
Diarré observerades i vissa fall ha lett till uttorkning och efterföljande akut njurskada.
Sacituzumabgovitekan ska inte administreras vid diarré av grad 3–4 vid tidpunkten för planerad behandling och behandlingen ska bara fortsätta när biverkningen har gått tillbaka till ≤ grad 1 (se avsnitt 4.2 och 4.8). Vid första tecken på diarré ska behandling med loperamid sättas in om ingen infektiös orsak kan identifieras.
Ytterligare understödjande åtgärder, t.ex. vätske- och elektrolytersättning, kan också sättas in enligt klinisk indikation.
Patienter som uppvisar en överdriven kolinerg reaktion på behandlingen med sacituzumabgovitekan, t.ex. magkramper, diarré, salivering, kan få lämplig behandling, t.ex. atropin, inför efterföljande behandlingar med sacituzumabgovitekan.
Överkänslighet
Sacituzumabgovitekan kan orsaka svår eller livshotande överkänslighet (se avsnitt 4.8). I kliniska prövningar med sacituzumabgovitekan har anafylaktiska reaktioner observerats och det är kontraindicerat att använda sacituzumabgovitekan till patienter med känd överkänslighet mot sacituzumabgovitekan (se avsnitt 4.3).
För patienter som får sacituzumabgovitekan rekommenderas premedicinering inför infusionsbehandlingen, däribland med febernedsättande läkemedel, H1- och H2-blockerare eller kortikosteroider (t.ex. 50 mg hydrokortison eller motsvarande läkemedel för oral eller intravenös användning). Patienterna ska hållas under noggrann observation med avseende på infusionsrelaterade reaktioner under varje infusion med sacituzumabgovitekan och i minst 30 minuter efter varje avslutad infusion. Om en patient uppvisar en infusionsrelaterad reaktion ska infusionshastigheten sänkas eller infusionen av sacituzumabgovitekan avbrytas. Om livshotande infusionsrelaterade reaktioner uppstår ska sacituzumabgovitekan sättas ut permanent (se avsnitt 4.2).
Illamående och kräkningar
Sacituzumabgovitekan är ett emetiskt läkemedel (se avsnitt 4.8). För att förebygga cytostatikainducerat illamående och kräkningar rekommenderas förebyggande behandling med antiemetika med två eller tre läkemedel (t.ex. dexametason med antingen en 5-hydroxytryptamin-3-[5‑HT3]-receptorantagonist eller en neurokinin-1-[NK-1]-receptorantagonist och även andra indicerade läkemedel).
I händelse av illamående av grad 3 eller kräkningar av grad 3–4 vid tidpunkten för planerad behandling ska sacituzumabgovitekan inte administreras. Behandlingen ska endast återupptas när symtomen har gått tillbaka till ≤ grad 1 och då med extra understödjande åtgärder (se avsnitt 4.2). Ytterligare antiemetika och andra understödjande åtgärder kan också användas enligt klinisk indikation. Alla patienter ska få läkemedel att ta med sig hem med tydliga instruktioner om förebyggande och behandling mot illamående och kräkningar.
Användning hos patienter med reducerad UGT1A1-aktivitet
SN-38 (småmolekyldelen av sacituzumabgovitekan) metaboliseras via uridindifosfat-glukuronosyltransferas (UGT1A1). Genetiska varianter av UGT1A1-genen, såsom UGT1A1*28‑allelen, leder till minskad UGT1A1-enzymaktivitet. Individer som är homozygota med avseende på UGT1A1*28-allelen löper högre risk för neutropeni, febril neutropeni och anemi och har en högre risk för andra biverkningar efter insatt behandling med sacituzumabgovitekan (se avsnitt 4.8). Ungefär 20 % av den svarta populationen, 10 % av den vita populationen och 2 % av den östasiatiska populationen är homozygota med avseende på UGT1A1*28‑allelen. Förutom UGT1A1*28 kan det förekomma andra alleler med nedsatt funktion i vissa populationer. Patienter med känd reducerad UGT1A1-aktivitet ska övervakas noga med avseende på biverkningar. När denna är okänd krävs ingen testning av UGT1A1-status eftersom hanteringen av biverkningar inklusive de rekommenderade dosmodifieringarna är desamma för alla patienter.
Embryofetal toxicitet
Baserat på läkemedlets verkningsmekanism kan sacituzumabgovitekan orsaka teratogena effekter och/eller embryofetal dödlighet vid administrering till gravida kvinnor. Sacituzumabgovitekan innehåller en genotoxisk komponent, SN-38, och riktar in sig mot celler som delar sig snabbt. Gravida kvinnor och fertila kvinnor ska informeras om den potentiella risken för foster. Hos fertila kvinnor ska kvinnans graviditetsstatus verifieras innan sacituzumabgovitekan sätts in (se avsnitt 4.6).
Natrium
Detta läkemedel kommer att beredas ytterligare för administrering med lösning som innehåller natrium (se avsnitt 6.6), och det ska beaktas i relation till patientens totala natriumintag per dag från alla källor.
Inga interaktionsstudier har utförts.
UGT1A1-hämmare
Samtidig administrering av sacituzumabgovitekan och UGT1A1-hämmare kan öka förekomsten av biverkningar på grund av en potentiellt ökad systemisk exponering för SN‑38. Sacituzumabgovitekan ska användas med försiktighet till patienter som får UGT1A1-hämmare (t.ex. propofol, ketokonazol, EGFR-tyrosinkinashämmare).
UGT1A1-inducerare
Exponeringen för SN-38 kan minska hos patienter som samtidigt får UGT1A1-enzyminducerare. Sacituzumabgovitekan ska användas med försiktighet till patienter som får UGT1A1-inducerare (t.ex. karbamazepin, fenytoin, rifampicin, ritonavir, tipranavir).
Baserat på de begränsade data som finns tillgängliga från patienter som fått UGT1A1-hämmare (n = 16) eller UGT1A1-inducerare (n = 5) medan de behandlades med sacituzumabgovitekan var exponeringen för fritt SN-38 hos dessa patienter jämförbar med den hos patienterna som inte fått UGT1A1-hämmare eller ‑inducerare.
Fertila kvinnor/preventivmedel hos män och kvinnor
Fertila kvinnor ska använda effektiva preventivmedel under behandlingen och i minst 6 månader efter den sista dosen.
Manliga patienter med fertil kvinnlig partner måste använda effektiva preventivmedel under behandlingen med sacituzumabgovitekan samt i 3 månader efter den sista dosen.
Graviditet
Det finns inga data om användning av sacituzumabgovitekan hos gravida kvinnor tillgängliga. Baserat på läkemedlets verkningsmekanism kan sacituzumabgovitekan emellertid orsaka teratogena effekter och/eller embryofetal dödlighet vid administrering till gravida kvinnor. Sacituzumabgovitekan innehåller en genotoxisk komponent, SN-38, och riktar in sig mot celler som delar sig snabbt.
Sacituzumabgovitekan ska endast användas under graviditet då tillståndet innebär att det är absolut nödvändigt att kvinnan behandlas med sacituzumabgovitekan.
Hos fertila kvinnor ska kvinnans graviditetsstatus verifieras innan sacituzumabgovitekan sätts in.
Kvinnor som blir gravida måste omedelbart kontakta sin läkare.
Amning
Det är okänt om sacituzumabgovitekan eller metaboliterna av läkemedlet utsöndras i bröstmjölk. En risk för det nyfödda barnet/spädbarnet som ammas kan inte uteslutas. Amning ska avbrytas under behandling med sacituzumabgovitekan samt under en månad efter den sista dosen.
Fertilitet
Baserat på fynd hos djur kan sacituzumabgovitekan försämra fertiliteten hos fertila kvinnor (se avsnitt 5.3). Inga data är tillgängliga om effekten av sacituzumabgovitekan på fertilitet hos människa.
Sacituzumabgovitekan har mindre effekt på förmågan att framföra fordon och använda maskiner, t.ex. yrsel, trötthet (se avsnitt 4.8).
Sammanfattning av säkerhetsprofilen
De vanligaste biverkningarna som har rapporterats hos patienter som fått behandling med sacituzumabgovitekan är: neutropeni (67,6 %, illamående (62,6 %), diarré (62,5 %), trötthet (61,5 %), alopeci (45,6 %), anemi (40,7 %), förstoppning (36,2 %), kräkningar (33,6 %), minskad aptit (25,7 %), dyspné (22,1 %) och buksmärtor (20,2 %).
De vanligaste biverkningarna av grad 3 eller högre var neutropeni (50,7 %), leukopeni (10,5 %), diarré (10,3 %), anemi (9,3 %), trötthet (6,8 %), febril neutropeni (6,1 %), hypofosfatemi (4,2 %,) dyspné (3,1 %), lymfopeni (2,9 %), buksmärta (2,8 %), illamående (2,8 %) och kräkningar (2,5 %), hypokalemi (2,5 %), pneumoni (2,3 %) och förhöjt aspartataminotransferas (2,2 %).
De vanligaste rapporterade allvarliga biverkningarna hos patienter som fått behandling med sacituzumabgovitekan är febril neutropeni (4,8 %), diarré (3,9 %), neutropeni (2,6 %) och pneumoni (2 %).
Tabell över biverkningar
Frekvensen biverkningar baseras på poolade data från tre kliniska studier med 688 patienter som hade fått sacituzumabgovitekan 10 mg/kg kroppsvikt för behandling mot metastaserad TNBC och HR+/HER2-bröstcancer. Medianexponeringen för sacituzumabgovitekan i detta dataset var 4,63 månader.
Biverkningsfrekvenserna är baserade på biverkningsfrekvenser av alla orsaker där en del av en biverkningshändelse kan ha andra orsaker än sacituzumabgovitekan, såsom sjukdomen, andra läkemedel eller orelaterade orsaker. Allvarlighetsgraden av biverkningarna har bedömts utifrån Common Terminology Criteria for Adverse Events (CTCAE) med följande definitioner: grad 1 = lindrig, grad 2 = måttlig, grad 3 = svår, grad 4 = livshotande och grad 5 = dödsfall.
Biverkningarna listas efter organsystem och frekvenskategori. Frekvenskategorierna definieras enligt följande: mycket vanliga (≥ 1/10), vanliga (≥ 1/100, < 1/10), mindre vanliga (≥ 1/1 000, < 1/100), sällsynta (≥ 1/10 000, < 1/1 000), mycket sällsynta (< 1/10 000) och ingen känd frekvens (kan inte beräknas från tillgängliga data). Inom varje frekvensgrupp anges biverkningarna efter fallande allvarlighetsgrad.
Tabell 3: Lista över biverkningar
1: Inkluderar följande föredragna termer: neutropeni, minskat antal neutrofiler.
2: Inkluderar följande föredragna termer: anemi, minskat hemoglobin, minskat antal röda blodkroppar.
3: Inkluderar följande föredragna termer: leukopeni, minskat antal vita blodkroppar.
4: Inkluderar följande föredragna termer: lymfopeni, minskat antal lymfocyter.
5: Inkluderar följande föredragna termer: trombocytopeni, minskat antal blodplättar.
6: Överkänslighetshändelser som rapporterades fram till slutet av dagen efter det att behandlingen hade administrerats. Här inkluderas händelser som kodats till följande föredragna termer: dyspné, hypotoni, rodnad, erytem, obehagskänsla i bröstet, allergisk rinit, väsande andning, ödem, urtikaria, anafylaktisk reaktion, munsår, hudflagning, svullen tunga, trånghetskänsla i halsen.
7: Inkluderar följande föredragna termer: dyspné, ansträngningsdyspné
8: Inkluderar följande föredragna termer av neutropen kolit och händelser rapporterade som tyflit
9: Inkluderar följande föredragna termer: trötthet, asteni
Beskrivning av utvalda biverkningar
Neutropeni
Mediantiden till uppkomst av neutropeni (inklusive febril neutropeni) efter det att den första behandlingscykeln hade inletts var 16 dagar. Mediandurationen för neutropeni var 8 dagar.
Neutropeni uppkom hos 67,6 % (465/688) av patienterna som fick behandling med sacituzumabgovitekan, däribland neutropeni av grad 3–4 hos 50,7 % av patienterna. Neutropeni var orsaken till dosminskning hos 12,4 % av patienterna. Neutropen kolit observerades hos 1 % (7/688) av patienterna.
Febril neutropeni uppkom hos 6,1 % (42/688) av patienterna som fick behandling med sacituzumabgovitekan. Febril neutropeni var orsaken till dosminskning hos 2,9 % av patienterna.
Användning hos patienter med reducerad UGT1A1-aktivitet
Förekomsten av neutropeni av grad 3–4 var 60,6 % (43/71) hos patienterna som var homozygota med avseende på UGT1A1*28-allelen, 52,9 % (144/272) hos patienterna som var heterozygota med avseende på UGT1A1*28-allelen och 49,1 % (140/285) hos patienterna som var homozygota med avseende på allelen av vildtyp. Förekomsten av febril neutropeni av grad 3–4 var 14,1 % (10/71) hos patienterna som var homozygota med avseende på UGT1A1*28-allelen, 5,9 % (16/272) hos patienterna som var heterozygota med avseende på UGT1A1*28-allelen och 4,6 % (13/285) hos patienterna som var homozygota med avseende på allelen av vildtyp. Förekomsten av anemi av grad 3–4 var 15,5 % (11/71) hos patienterna som var homozygota med avseende på UGT1A1*28-allelen, 7,4 % (20/272) hos patienterna som var heterozygota med avseende på UGT1A1*28-allelen och 8,1 % (23/285) hos patienterna som var homozygota med avseende på allelen av vildtyp.
Jämfört med patienter som var homozygota med avseende på allelen av vildtyp, observerades tidigare mediandebut av neutropeni och anemi hos patienter homozygota med avseende på UGT1A1*28-allelen och hos patienter heterozygota med avseende på UGT1A1*28-allelen.
Diarré
Mediantiden till uppkomst av diarré efter det att den första behandlingscykeln hade inletts var 13 dagar. Mediandurationen för diarré var 8 dagar.
Diarré uppkom hos 62,5 % (430/688) av patienterna som fick behandling med sacituzumabgovitekan. Händelser av grad 3 uppkom hos 10,3 % (71/688) av patienterna. Tre av 688 patienter (< 1 %) avbröt behandlingen på grund av diarré.
Överkänslighet
Överkänslighetsreaktioner som rapporterades fram till slutet av dagen efter dosadministreringen uppkom hos 33,0 % (227/688) av patienterna som fick behandling med sacituzumabgovitekan. Överkänslighet av grad 3 och högre uppkom hos 1,7 % (12/688) av patienterna som fick behandling med sacituzumabgovitekan. Förekomsten av överkänslighetsreaktioner som ledde till permanent utsättning av sacituzumabgovitekan var 0,1 % (1/688).
Immunogenitet
I kliniska studier med patienter som fick behandling med sacituzumabgovitekan utvecklade 9 (1,1 %) av 785 patienter antikroppar mot sacituzumabgovitekan; 6 av dessa patienter (0,8 % av alla patienter som fick behandling med sacituzumabgovitekan) hade neutraliserande antikroppar mot sacituzumabgovitekan.
Särskilda populationer
Det förekom ingen skillnad i frekvensen patienter som avbröt behandlingen på grund av biverkningar hos patienter 65 år eller äldre jämfört med yngre patienter med mTNBC. Utsättningsfrekvensen på grund av biverkningar hos patienter i åldern 65 år eller äldre var högre (14 %) jämfört med yngre patienter (3 %) med HR+/HER2-metastaserad bröstcancer. Det fanns en högre incidens av allvarliga biverkningar hos patienter 75 år eller äldre (67 %) jämfört med patienter i åldern 65 år eller äldre (43 %) och patienter yngre än 65 år (24 %) med HR+/HER2-metastaserad bröstcancer
I kliniska studier har doser på upp till 18 mg/kg (cirka 1,8 gånger så mycket som den högsta rekommenderade dosen på 10 mg/kg kroppsvikt) lett till ökad förekomst av svår neutropeni.
Vid överdosering ska patienterna övervakas noga med avseende på tecken och symtom på biverkningar, särskilt svår neutropeni, och lämplig behandling ska inledas.
Trodelvy är indicerat som monoterapi vid behandling av vuxna patienter med icke-resektabel eller metastaserad, trippelnegativ bröstcancer (mTNBC) som tidigare har fått två eller flera systemiska behandlingar, varav minst en av dem mot avancerad sjukdom (se avsnitt 5.1).
Trodelvy är indicerat som monoterapi vid behandling av vuxna patienter med icke-resektabel eller metastaserad hormonreceptor (HR)-positiv, HER2-negativ bröstcancer som har fått endokrinbaserad behandling och minst två ytterligare systemiska behandlingar för avancerad sjukdom (se avsnitt 5.1).
Trodelvy får endast förskrivas och administreras till patienter av hälso- och sjukvårdspersonal med erfarenhet av cancerbehandling och administreras i en miljö där fullständig utrustning för återupplivning är tillgänglig.
Dosering
Den rekommenderade dosen av sacituzumabgovitekan är 10 mg/kg kroppsvikt administrerat genom intravenös infusion en gång i veckan, dag 1 och dag 8 i 21-dagars behandlingscykler. Behandlingen ska fortsätta tills sjukdomen progredierar eller tills oacceptabel toxicitet uppstår.
Förebyggande behandling
Det rekommenderas att förebyggande behandling mot infusionsrelaterade reaktioner och cytostatikainducerat illamående och kräkningar ges före varje dos av sacituzumabgovitekan (se avsnitt 4.4).
Profylax för neutropeni
Primärprofylax med granulocytkolonistimulerande faktor (G-CSF) bör övervägas med start i den första behandlingscykeln hos patienter med ökad risk för febril neutropeni (se avsnitt 4.4).
Dosändringar vid biverkningar
Hantering av biverkningar kan innebära tillfälligt avbrott, dosminskning eller avbruten behandling av sacituzumabgovitekan. I tabell 1 ges ett schema för dosminskning och i tabell 2 en beskrivning av dosändringarna för hantering av biverkningar av sacituzumabgovitekan. Dosen av sacituzumabgovitekan ska inte höjas på nytt efter det att en dosminskning har gjorts på grund av biverkningar.
Tabell 1: Schema för dosminskning
Tabell 2: Rekommenderade dosändringar vid biverkningar
Särskilda populationer
Äldre
Ingen dosjustering krävs hos patienter ≥ 65 år. Det finns begränsat med data om sacituzumabgovitekan till patienter ≥ 75 år).
Nedsatt leverfunktion
Det krävs ingen justering av startdosen vid administrering av sacituzumabgovitekan till patienter med lätt nedsatt leverfunktion (bilirubin ≤ 1,5 x övre normalvärdesgränsen [ULN] och aspartataminotransferas [ASAT]/alaninaminotransferas [ALAT] < 3 x ULN).
Säkerheten för sacituzumabgovitekan hos patienter med måttligt till allvarligt nedsatt leverfunktion har inte fastställts. Sacituzumabgovitekan har inte studerats hos patienter med något av följande: serumbilirubin > 1,5 x ULN och inte heller hos patienter utan levermetastaser med ett ASAT eller ALAT > 3 x ULN eller hos patienter med levermetastaser som har ett ASAT eller ALAT > 5 x ULN. Hos dessa patienter ska användning av sacituzumabgovitekan undvikas.
Nedsatt njurfunktion
Det krävs ingen justering av startdosen vid administrering av sacituzumabgovitekan till patienter med lätt eller måttligt nedsatt njurfunktion.
Sacituzumabgovitekan har inte studerats hos patienter med allvarligt nedsatt njurfunktion eller med njursjukdom i slutstadiet (kreatininclearance [CrCl] ≤ 15 ml/min).
Pediatrisk population
Säkerhet och effekt för sacituzumabgovitekan för barn i åldern 0–18 år har inte fastställts. Inga data finns tillgängliga.
Administreringssätt
Sacituzumabgovitekan är endast avsett för intravenös användning. Det ska beredas och spädas av sjukvårdspersonal med erfarenhet av hantering av cancerbehandlingar. Läkemedlet måste administreras genom intravenös infusion, inte genom en intravenös snabbinjektion eller som bolusdos.
Första infusionen: infusionen ska administreras under en period på 3 timmar.
Efterföljande infusioner: infusionen ska administreras under en period på 1 till 2 timmar om tidigare infusioner har tolererats.
Patienter måste hållas under observation avseende tecken eller symtom på infusionsrelaterade reaktioner under varje infusion och i minst 30 minuter efter varje infusion (se avsnitt 4.4).
Anvisningar om beredning och spädning av läkemedlet före administrering finns i avsnitt 6.6.
Överkänslighet mot den aktiva substansen eller mot något hjälpämne som anges i avsnitt 6.1.
Spårbarhet
För att underlätta spårbarheten av biologiska läkemedel ska läkemedlets namn och tillverkningssatsnummer dokumenteras.
Neutropeni
Sacituzumabgovitekan kan orsaka svår eller livshotande neutropeni (se avsnitt 4.8). Fatala infektioner i samband med neutropeni har observerats i kliniska studier med sacituzumabgovitekan, framför allt under de två första behandlingscyklerna.
Primärprofylax med G-CSF bör övervägas med start i den första behandlingscykeln hos patienter med ökad risk för febril neutropeni, dvs. äldre patienter (från och med 65 år), patienter med tidigare neutropeni, låg prestationsförmåga, nedsatt organfunktion (njur-, lever- eller hjärt- och kärlfunktion inkluderat) eller andra sjukdomstillstånd. Kontrollera det absoluta antalet neutrofiler (ANC) under behandling.
Sacituzumabgovitekan ska inte administreras om ANC understiger 1 500/mm3 på dag 1 under någon cykel eller om antalet neutrofiler understiger 1 000/mm3 på dag 8 under någon cykel. Sacituzumabgovitekan ska inte administreras vid neutropen feber. Dosändringar kan krävas vid neutropeni eller febril neutropeni. Behandla neutropeni med G-CSF och överväg profylax i efterföljande behandlingscykler om det är kliniskt indicerat (se avsnitt 4.2 och 4.8).
Diarré
Sacituzumabgovitekan kan orsaka svår diarré (se avsnitt 4.8).
Diarré observerades i vissa fall ha lett till uttorkning och efterföljande akut njurskada.
Sacituzumabgovitekan ska inte administreras vid diarré av grad 3–4 vid tidpunkten för planerad behandling och behandlingen ska bara fortsätta när biverkningen har gått tillbaka till ≤ grad 1 (se avsnitt 4.2 och 4.8). Vid första tecken på diarré ska behandling med loperamid sättas in om ingen infektiös orsak kan identifieras.
Ytterligare understödjande åtgärder, t.ex. vätske- och elektrolytersättning, kan också sättas in enligt klinisk indikation.
Patienter som uppvisar en överdriven kolinerg reaktion på behandlingen med sacituzumabgovitekan, t.ex. magkramper, diarré, salivering, kan få lämplig behandling, t.ex. atropin, inför efterföljande behandlingar med sacituzumabgovitekan.
Överkänslighet
Sacituzumabgovitekan kan orsaka svår eller livshotande överkänslighet (se avsnitt 4.8). I kliniska prövningar med sacituzumabgovitekan har anafylaktiska reaktioner observerats och det är kontraindicerat att använda sacituzumabgovitekan till patienter med känd överkänslighet mot sacituzumabgovitekan (se avsnitt 4.3).
För patienter som får sacituzumabgovitekan rekommenderas premedicinering inför infusionsbehandlingen, däribland med febernedsättande läkemedel, H1- och H2-blockerare eller kortikosteroider (t.ex. 50 mg hydrokortison eller motsvarande läkemedel för oral eller intravenös användning). Patienterna ska hållas under noggrann observation med avseende på infusionsrelaterade reaktioner under varje infusion med sacituzumabgovitekan och i minst 30 minuter efter varje avslutad infusion. Om en patient uppvisar en infusionsrelaterad reaktion ska infusionshastigheten sänkas eller infusionen av sacituzumabgovitekan avbrytas. Om livshotande infusionsrelaterade reaktioner uppstår ska sacituzumabgovitekan sättas ut permanent (se avsnitt 4.2).
Illamående och kräkningar
Sacituzumabgovitekan är ett emetiskt läkemedel (se avsnitt 4.8). För att förebygga cytostatikainducerat illamående och kräkningar rekommenderas förebyggande behandling med antiemetika med två eller tre läkemedel (t.ex. dexametason med antingen en 5-hydroxytryptamin-3-[5‑HT3]-receptorantagonist eller en neurokinin-1-[NK-1]-receptorantagonist och även andra indicerade läkemedel).
I händelse av illamående av grad 3 eller kräkningar av grad 3–4 vid tidpunkten för planerad behandling ska sacituzumabgovitekan inte administreras. Behandlingen ska endast återupptas när symtomen har gått tillbaka till ≤ grad 1 och då med extra understödjande åtgärder (se avsnitt 4.2). Ytterligare antiemetika och andra understödjande åtgärder kan också användas enligt klinisk indikation. Alla patienter ska få läkemedel att ta med sig hem med tydliga instruktioner om förebyggande och behandling mot illamående och kräkningar.
Användning hos patienter med reducerad UGT1A1-aktivitet
SN-38 (småmolekyldelen av sacituzumabgovitekan) metaboliseras via uridindifosfat-glukuronosyltransferas (UGT1A1). Genetiska varianter av UGT1A1-genen, såsom UGT1A1*28‑allelen, leder till minskad UGT1A1-enzymaktivitet. Individer som är homozygota med avseende på UGT1A1*28-allelen löper högre risk för neutropeni, febril neutropeni och anemi och har en högre risk för andra biverkningar efter insatt behandling med sacituzumabgovitekan (se avsnitt 4.8). Ungefär 20 % av den svarta populationen, 10 % av den vita populationen och 2 % av den östasiatiska populationen är homozygota med avseende på UGT1A1*28‑allelen. Förutom UGT1A1*28 kan det förekomma andra alleler med nedsatt funktion i vissa populationer. Patienter med känd reducerad UGT1A1-aktivitet ska övervakas noga med avseende på biverkningar. När denna är okänd krävs ingen testning av UGT1A1-status eftersom hanteringen av biverkningar inklusive de rekommenderade dosmodifieringarna är desamma för alla patienter.
Embryofetal toxicitet
Baserat på läkemedlets verkningsmekanism kan sacituzumabgovitekan orsaka teratogena effekter och/eller embryofetal dödlighet vid administrering till gravida kvinnor. Sacituzumabgovitekan innehåller en genotoxisk komponent, SN-38, och riktar in sig mot celler som delar sig snabbt. Gravida kvinnor och fertila kvinnor ska informeras om den potentiella risken för foster. Hos fertila kvinnor ska kvinnans graviditetsstatus verifieras innan sacituzumabgovitekan sätts in (se avsnitt 4.6).
Natrium
Detta läkemedel kommer att beredas ytterligare för administrering med lösning som innehåller natrium (se avsnitt 6.6), och det ska beaktas i relation till patientens totala natriumintag per dag från alla källor.
Inga interaktionsstudier har utförts.
UGT1A1-hämmare
Samtidig administrering av sacituzumabgovitekan och UGT1A1-hämmare kan öka förekomsten av biverkningar på grund av en potentiellt ökad systemisk exponering för SN‑38. Sacituzumabgovitekan ska användas med försiktighet till patienter som får UGT1A1-hämmare (t.ex. propofol, ketokonazol, EGFR-tyrosinkinashämmare).
UGT1A1-inducerare
Exponeringen för SN-38 kan minska hos patienter som samtidigt får UGT1A1-enzyminducerare. Sacituzumabgovitekan ska användas med försiktighet till patienter som får UGT1A1-inducerare (t.ex. karbamazepin, fenytoin, rifampicin, ritonavir, tipranavir).
Baserat på de begränsade data som finns tillgängliga från patienter som fått UGT1A1-hämmare (n = 16) eller UGT1A1-inducerare (n = 5) medan de behandlades med sacituzumabgovitekan var exponeringen för fritt SN-38 hos dessa patienter jämförbar med den hos patienterna som inte fått UGT1A1-hämmare eller ‑inducerare.
Fertila kvinnor/preventivmedel hos män och kvinnor
Fertila kvinnor ska använda effektiva preventivmedel under behandlingen och i minst 6 månader efter den sista dosen.
Manliga patienter med fertil kvinnlig partner måste använda effektiva preventivmedel under behandlingen med sacituzumabgovitekan samt i 3 månader efter den sista dosen.
Graviditet
Det finns inga data om användning av sacituzumabgovitekan hos gravida kvinnor tillgängliga. Baserat på läkemedlets verkningsmekanism kan sacituzumabgovitekan emellertid orsaka teratogena effekter och/eller embryofetal dödlighet vid administrering till gravida kvinnor. Sacituzumabgovitekan innehåller en genotoxisk komponent, SN-38, och riktar in sig mot celler som delar sig snabbt.
Sacituzumabgovitekan ska endast användas under graviditet då tillståndet innebär att det är absolut nödvändigt att kvinnan behandlas med sacituzumabgovitekan.
Hos fertila kvinnor ska kvinnans graviditetsstatus verifieras innan sacituzumabgovitekan sätts in.
Kvinnor som blir gravida måste omedelbart kontakta sin läkare.
Amning
Det är okänt om sacituzumabgovitekan eller metaboliterna av läkemedlet utsöndras i bröstmjölk. En risk för det nyfödda barnet/spädbarnet som ammas kan inte uteslutas. Amning ska avbrytas under behandling med sacituzumabgovitekan samt under en månad efter den sista dosen.
Fertilitet
Baserat på fynd hos djur kan sacituzumabgovitekan försämra fertiliteten hos fertila kvinnor (se avsnitt 5.3). Inga data är tillgängliga om effekten av sacituzumabgovitekan på fertilitet hos människa.
Sacituzumabgovitekan har mindre effekt på förmågan att framföra fordon och använda maskiner, t.ex. yrsel, trötthet (se avsnitt 4.8).
Sammanfattning av säkerhetsprofilen
De vanligaste biverkningarna som har rapporterats hos patienter som fått behandling med sacituzumabgovitekan är: neutropeni (67,6 %, illamående (62,6 %), diarré (62,5 %), trötthet (61,5 %), alopeci (45,6 %), anemi (40,7 %), förstoppning (36,2 %), kräkningar (33,6 %), minskad aptit (25,7 %), dyspné (22,1 %) och buksmärtor (20,2 %).
De vanligaste biverkningarna av grad 3 eller högre var neutropeni (50,7 %), leukopeni (10,5 %), diarré (10,3 %), anemi (9,3 %), trötthet (6,8 %), febril neutropeni (6,1 %), hypofosfatemi (4,2 %,) dyspné (3,1 %), lymfopeni (2,9 %), buksmärta (2,8 %), illamående (2,8 %) och kräkningar (2,5 %), hypokalemi (2,5 %), pneumoni (2,3 %) och förhöjt aspartataminotransferas (2,2 %).
De vanligaste rapporterade allvarliga biverkningarna hos patienter som fått behandling med sacituzumabgovitekan är febril neutropeni (4,8 %), diarré (3,9 %), neutropeni (2,6 %) och pneumoni (2 %).
Tabell över biverkningar
Frekvensen biverkningar baseras på poolade data från tre kliniska studier med 688 patienter som hade fått sacituzumabgovitekan 10 mg/kg kroppsvikt för behandling mot metastaserad TNBC och HR+/HER2-bröstcancer. Medianexponeringen för sacituzumabgovitekan i detta dataset var 4,63 månader.
Biverkningsfrekvenserna är baserade på biverkningsfrekvenser av alla orsaker där en del av en biverkningshändelse kan ha andra orsaker än sacituzumabgovitekan, såsom sjukdomen, andra läkemedel eller orelaterade orsaker. Allvarlighetsgraden av biverkningarna har bedömts utifrån Common Terminology Criteria for Adverse Events (CTCAE) med följande definitioner: grad 1 = lindrig, grad 2 = måttlig, grad 3 = svår, grad 4 = livshotande och grad 5 = dödsfall.
Biverkningarna listas efter organsystem och frekvenskategori. Frekvenskategorierna definieras enligt följande: mycket vanliga (≥ 1/10), vanliga (≥ 1/100, < 1/10), mindre vanliga (≥ 1/1 000, < 1/100), sällsynta (≥ 1/10 000, < 1/1 000), mycket sällsynta (< 1/10 000) och ingen känd frekvens (kan inte beräknas från tillgängliga data). Inom varje frekvensgrupp anges biverkningarna efter fallande allvarlighetsgrad.
Tabell 3: Lista över biverkningar
1: Inkluderar följande föredragna termer: neutropeni, minskat antal neutrofiler.
2: Inkluderar följande föredragna termer: anemi, minskat hemoglobin, minskat antal röda blodkroppar.
3: Inkluderar följande föredragna termer: leukopeni, minskat antal vita blodkroppar.
4: Inkluderar följande föredragna termer: lymfopeni, minskat antal lymfocyter.
5: Inkluderar följande föredragna termer: trombocytopeni, minskat antal blodplättar.
6: Överkänslighetshändelser som rapporterades fram till slutet av dagen efter det att behandlingen hade administrerats. Här inkluderas händelser som kodats till följande föredragna termer: dyspné, hypotoni, rodnad, erytem, obehagskänsla i bröstet, allergisk rinit, väsande andning, ödem, urtikaria, anafylaktisk reaktion, munsår, hudflagning, svullen tunga, trånghetskänsla i halsen.
7: Inkluderar följande föredragna termer: dyspné, ansträngningsdyspné
8: Inkluderar följande föredragna termer av neutropen kolit och händelser rapporterade som tyflit
9: Inkluderar följande föredragna termer: trötthet, asteni
Beskrivning av utvalda biverkningar
Neutropeni
Mediantiden till uppkomst av neutropeni (inklusive febril neutropeni) efter det att den första behandlingscykeln hade inletts var 16 dagar. Mediandurationen för neutropeni var 8 dagar.
Neutropeni uppkom hos 67,6 % (465/688) av patienterna som fick behandling med sacituzumabgovitekan, däribland neutropeni av grad 3–4 hos 50,7 % av patienterna. Neutropeni var orsaken till dosminskning hos 12,4 % av patienterna. Neutropen kolit observerades hos 1 % (7/688) av patienterna.
Febril neutropeni uppkom hos 6,1 % (42/688) av patienterna som fick behandling med sacituzumabgovitekan. Febril neutropeni var orsaken till dosminskning hos 2,9 % av patienterna.
Användning hos patienter med reducerad UGT1A1-aktivitet
Förekomsten av neutropeni av grad 3–4 var 60,6 % (43/71) hos patienterna som var homozygota med avseende på UGT1A1*28-allelen, 52,9 % (144/272) hos patienterna som var heterozygota med avseende på UGT1A1*28-allelen och 49,1 % (140/285) hos patienterna som var homozygota med avseende på allelen av vildtyp. Förekomsten av febril neutropeni av grad 3–4 var 14,1 % (10/71) hos patienterna som var homozygota med avseende på UGT1A1*28-allelen, 5,9 % (16/272) hos patienterna som var heterozygota med avseende på UGT1A1*28-allelen och 4,6 % (13/285) hos patienterna som var homozygota med avseende på allelen av vildtyp. Förekomsten av anemi av grad 3–4 var 15,5 % (11/71) hos patienterna som var homozygota med avseende på UGT1A1*28-allelen, 7,4 % (20/272) hos patienterna som var heterozygota med avseende på UGT1A1*28-allelen och 8,1 % (23/285) hos patienterna som var homozygota med avseende på allelen av vildtyp.
Jämfört med patienter som var homozygota med avseende på allelen av vildtyp, observerades tidigare mediandebut av neutropeni och anemi hos patienter homozygota med avseende på UGT1A1*28-allelen och hos patienter heterozygota med avseende på UGT1A1*28-allelen.
Diarré
Mediantiden till uppkomst av diarré efter det att den första behandlingscykeln hade inletts var 13 dagar. Mediandurationen för diarré var 8 dagar.
Diarré uppkom hos 62,5 % (430/688) av patienterna som fick behandling med sacituzumabgovitekan. Händelser av grad 3 uppkom hos 10,3 % (71/688) av patienterna. Tre av 688 patienter (< 1 %) avbröt behandlingen på grund av diarré.
Överkänslighet
Överkänslighetsreaktioner som rapporterades fram till slutet av dagen efter dosadministreringen uppkom hos 33,0 % (227/688) av patienterna som fick behandling med sacituzumabgovitekan. Överkänslighet av grad 3 och högre uppkom hos 1,7 % (12/688) av patienterna som fick behandling med sacituzumabgovitekan. Förekomsten av överkänslighetsreaktioner som ledde till permanent utsättning av sacituzumabgovitekan var 0,1 % (1/688).
Immunogenitet
I kliniska studier med patienter som fick behandling med sacituzumabgovitekan utvecklade 9 (1,1 %) av 785 patienter antikroppar mot sacituzumabgovitekan; 6 av dessa patienter (0,8 % av alla patienter som fick behandling med sacituzumabgovitekan) hade neutraliserande antikroppar mot sacituzumabgovitekan.
Särskilda populationer
Det förekom ingen skillnad i frekvensen patienter som avbröt behandlingen på grund av biverkningar hos patienter 65 år eller äldre jämfört med yngre patienter med mTNBC. Utsättningsfrekvensen på grund av biverkningar hos patienter i åldern 65 år eller äldre var högre (14 %) jämfört med yngre patienter (3 %) med HR+/HER2-metastaserad bröstcancer. Det fanns en högre incidens av allvarliga biverkningar hos patienter 75 år eller äldre (67 %) jämfört med patienter i åldern 65 år eller äldre (43 %) och patienter yngre än 65 år (24 %) med HR+/HER2-metastaserad bröstcancer
Rapportering av misstänkta biverkningar
I kliniska studier har doser på upp till 18 mg/kg (cirka 1,8 gånger så mycket som den högsta rekommenderade dosen på 10 mg/kg kroppsvikt) lett till ökad förekomst av svår neutropeni.
Vid överdosering ska patienterna övervakas noga med avseende på tecken och symtom på biverkningar, särskilt svår neutropeni, och lämplig behandling ska inledas.
Patienterna randomiserades (1:1) till att få sacituzumabgovitekan 10 mg/kg som intravenös infusion på dag 1 och dag 8 i en 21-dagars behandlingscykel eller en läkarvald behandling (TPC, Treatment of Physician’s Choice), vilken doserades baserat på kroppsytan och i enlighet med godkänd produktinformation. Den läkarvalda behandlingen bestämdes före randomiseringen av prövaren utifrån en av följande monoterapier: eribulin (n = 139), capecitabin (n = 33), gemcitabin (n = 38) eller vinorelbin (utom om patienten hade neuropati av ≥ grad 2, n = 52). Patienter med stabila hjärnmetastaser (förbehandlade, vars sjukdom ej progredierade, utan läkemedel mot krampanfall och som stått på en stabil kortikosteroiddos under minst 2 veckor) fick delta. Magnetisk resonanstomografi (MRT) för att bekräfta hjärnmetastaser fordrades endast för patienter med kända eller misstänkta hjärnmetastaser. Patienter med känd Gilberts sjukdom, endast metastaser i skelettet, känd historik av instabil angina, myokardinfarkt eller hjärtsvikt, aktiv kronisk inflammatorisk tarmsjukdom eller gastrointestinal perforation, hiv-infektion (humant immunbristvirus), aktiv hepatit B- eller C-infektion, som fått levande vaccin högst 30 dagar tidigare eller som hade fått irinotekan tidigare uteslöts.
Patienterna fick behandling tills sjukdomen progredierade eller toxiciteten blev oacceptabel. Det primära effektmåttet hos patienter utan hjärnmetastaser vid baslinjen var progressionsfri överlevnad (PFS) fastställt med hjälp av RECIST-kriterierna (Response Evaluation Criteria in Solid Tumors) v1.1 av en blindad, oberoende, centraliserad granskningsgrupp (blinded, independent, centralised review; BICR) med experter inom radiologi. I de sekundära effektmåtten ingick PFS fastställt av en blindad, oberoende, centraliserad granskningsgrupp för den totala populationen, inklusive alla patienter med och utan hjärnmetastaser, total överlevnad (OS), total responsfrekvens (ORR) och responsduration (DOR).
Den primära analysen omfattade 235 patienter utan hjärnmetastaser i gruppen med sacituzumabgovitekan och 233 patienter utan hjärnmetastaser i gruppen med läkarvald behandling. Analysen av den totala populationen omfattade 267 patienter i gruppen med sacituzumabgovitekan och 262 patienter i TPC-gruppen.
De demografiska uppgifterna och baslinjeegenskaperna bland den totala populationen (n = 529) var: medianålder 54 år (intervall: 27–82 år) och 81 % < 65 år; 99,6 % kvinnor; 79 % vita; 12 % svarta; medianantalet tidigare systemiska behandlingar var 4; 69 % hade tidigare fått 2–3 cytostatikabehandlingar; 31 % hade tidigare fått > 3 cytostatikabehandlingar; 42 % hade levermetastaser; 12 % hade nuvarande eller historik av hjärnmetastaser, 8 % hade en positiv BRCA1/BRCA2-mutationsstatus; BRCA-status var tillgängligt för 339 patienter. Alla patienter hade prestationsstatus 0 (43 %) eller 1 (57 %) enligt ECOG-skalan när de gick med i studien. Mediantiden från diagnostiserat steg 4 till studieinträdet var 16,2 månader (intervall: -0,4–202,9 månader). De vanligaste tidigare cytostatikabehandlingarna var cyklofosfamid (83 %), antracyklin (83 %) inklusive doxorubicin (53 %), paklitaxel (78 %), karboplatin (65 %), capecitabin (67 %), gemcitabin (36 %), docetaxel (35 %) och eribulin (33 %). Totalt sett hade 29 % av patienterna tidigare fått PD-1/PD-L1-behandling. Tretton procent av patienterna i gruppen med sacituzumabgovitekan i den totala populationen hade endast fått en tidigare systemisk behandling mot den metastaserade cancern.
Effektresultaten i populationen utan hjärnmetastaser visade på en statistiskt signifikant förbättring med sacituzumabgovitekan jämfört med läkarvald behandling vad gällde PFS och OS med riskkvoterna (HR) 0,41 (n = 468; 95 % KI: 0,32; 0,52; p-värde: < 0,0001) respektive 0,48 (n = 468; 95 % KI: 0,38; 0,59; p-värde: < 0,0001). Medianvärdet för PFS var 5,6 månader jämfört med 1,7 månader och medianvärdet för OS var 12,1 månader jämfört med 6,7 månader hos patienterna som fått behandling med sacituzumabgovitekan respektive läkarvald behandling.
Effektresultaten i den totala populationen överensstämde med de i populationen utan hjärnmetastaser i den förspecificerade slutliga analysen (brytdatum 11 mars 2020) och sammanfattas i tabell 3.
Tabell 4: Effektmått (total population) – förspecificerad slutlig analys
1 PFS definieras som tiden från randomiseringsdatumet till datumet då sjukdomsprogressionen för första gången är radiologiskt påvisbar eller dödsfall av någon orsak, beroende på vad som inträffar först.
2 Stratifierat log-rank-test som justerats för stratifieringsfaktorerna ”antal tidigare cytostatikabehandlingar”,
”förekomst av kända hjärnmetastaser vid studieinträde” och ”område”.
3 Baserat på Cochran-Mantel-Haenszel-testet.
KI = konfidensintervall
I en uppdaterad effektanalys (slutlig databaslåsning 25 februari 2021) var resultaten förenliga med den förspecificerade slutliga analysen. Median-PFS enligt BICR var 4,8 månader jämfört med 1,7 månader för patienter som behandlades med sacituzumabgovitekan respektive läkarvald behandling (riskkvot 0,41; 95 % CI: 0,33, 0,52). Median-OS var 11,8 månader respektive 6,9 månader (riskkvot 0,51; 95 % CI: 0,42, 0,63). Kaplan‑Meier-kurvor för uppdaterad PFS enligt BICR och OS presenteras i figur 1 och 2.
Figur 1: Progressionsfri överlevnad (total population; slutlig databaslåsning 25 februari 2021) enligt den blindade, oberoende, centraliserade granskningsgruppen
Figur 2: Total överlevnad (total population; slutlig databaslåsning 25 februari 2021)
Subgruppsanalys
I subgruppsanalyser var förbättringarna av PFS och OS konsekventa hos patienterna som fick behandling med sacituzumabgovitekan jämfört med de som fick läkarvald behandling i alla patientgrupper oavsett ålder, etnicitet, BRCA-status, tidigare antal systemiska behandlingar totalt (2 och > 2, 2–3 och > 3) och metastaserande cancer (1 och > 1), tidigare behandling med antracyklin eller PD-L1 och levermetastaser.
Hjärnmetastaser
En explorativ analys av PFS och OS hos patienter med tidigare behandlade, stabila hjärnmetastaser visade en stratifierad riskkvot på 0,65 (n = 61; 95 % KI: 0,35; 1,22) respektive 0,87 (n = 61; 95 % KI: 0,47; 1,63). Medianvärdet för PFS var 2,8 månader jämfört med 1,6 månader och medianvärdet för OS var 6,8 månader jämfört med 7,5 månader hos patienterna som behandlats med sacituzumabgovitekan respektive de som fått läkarvald behandling.
Trop-2-uttryck
Ytterligare subgruppsanalyser utfördes för att utvärdera effekten beroende på grad av Trop-2 uttryck och resultaten var konsekventa över de olika poängmetoder som användes. Hos patienter med låga Trop-2-nivåer enligt kvartiler av membranets H-poäng var nyttan med sacituzumabgovitekan större än nyttan med läkarvald behandling, både vad gällde PFS (riskkvot 0,64; 95 % KI: 0,37; 1,11) och OS (riskkvot 0,71; 95 % KI: 0,42; 1,21).
Icke-resektabel eller metastaserad HR-positiv (hormonreceptorpositiv) och HER2-negativ (human epidermal growth factor receptor 2-negativ) bröstcancer (TROPiCS-02)
Effekten av sacituzumabgovitekan utvärderades i en multicenter, öppen, randomiserad studie TROPiCS-02 (IMMU-132-09) som utfördes på 543 patienter med icke-resektabel lokalt avancerad eller metastaserad HR-positiv, HER2-negativ (IHC 0, IHC 1+, IHC 2+/ISH-) bröstcancer vars sjukdom har fortskridit efter följande i något sammanhang: CDK 4/6 hämmare, endokrin behandling och taxan; patienterna fick minst två tidigare kemoterapier i metastaserat sammanhang (av vilka en kan vara i neoadjuvant eller adjuvant i sammanhang om progression eller återfall inträffade inom 12 månader efter avslutad kemoterapi). Patienter med endast bensjukdom, aktiv kronisk inflammatorisk tarmsjukdom och känd tarmobstruktion i anamnesen, kända anamneser av instabil angina, hjärtinfarkt eller hjärtsvikt eller aktiv hepatit B- eller C-infektion uteslöts ur studien.
Patienterna randomiserades (1:1) att få sacituzumabgovitekan 10 mg/kg som en intravenös infusion dag 1 och 8 i en 21-dagars cykel (n = 272) eller TPC (n = 271). TPC var läkarvald före randomiseringen från en av följande monoterapier: eribulin (n = 130), vinorelbin (n = 63) gemsitabin (n=56) eller capeticabin (n = 22). Randomiseringen stratifierades på basen av tidigare kemoterapiregimer för metastaserad sjukdom (2 mot 3-4) viskeral metastas (ja mot nej) och endokrin behandling i det metastaserade sammanhanget under minst 6 månader (ja mot nej)
Patienterna behandlades till sjukdomsprogression eller oacceptabel toxicitet. Det primära effektmåttet var PFS enligt BICR per RECIST v1.1. Ytterligare effektmått var OS, ORR enligt BICR och DOR enligt BICR.
Studiepopulationens medianålder var 56 år (intervall 27-86 år) och 26 % av patienterna var 65 år eller äldre. Nästan alla patienter var kvinnor (99 %). Majoriteten av patienterna var vita (67 %), 4 % var svarta, 3 % var asiatiska och 26 % var av okänd ras. Patienterna fick i genomsnitt 7 (intervall 3 till 17) tidigare behandlingar i alla sammanhang och 3 (intervall: 0 till 8) tidigare kemoterapiregimer i det metastaserade sammanhanget. Cirka 42 % av patienterna hade 2 tidigare kemoterapiregimer för metastaserad sjukdom jämfört med 58 % av patienterna som hade 3 till 4 tidigare kemoterapiregimer. De flesta patienter fick endokrin behandling i det metastaserade sammanhanget i ≥ 6 månader (86 %). Patienterna hade en ECOG prestationsstatus på 0 (44 %) eller 1 (56 %). Nittiofem procent av patienterna hade viskerala metastaser; 4,6 % av patienterna hade stabila förbehandlade hjärnmetastaser.
Sacituzumabgovitekan visade på en statistiskt signifikant förbättring av PFS enligt BICR och OS jämfört med TPC. Förbättringen av PFS enligt BICR och OS var generellt konsekvent över förspecificerade undergrupper. Effektresultaten sammanfattas i tabell 4.
Tabell 5 Effektmått – förspecificerad slutlig analys
1 PFS definieras som tiden från datumet för randomiseringen till datumet för den första radiologiska sjukdomsprogressionen eller dödsfall på grund av någon orsak, beroende på vilket som inträffar först (brytdatum 3 januari 2022).
2 Stratifierat log-rank test justerat för stratifieringsfaktorer: tidigare kemoterapiregimer för metastaserad sjukdom (2 mot 3-4), viskeral metastas (ja mot nej) och endokrin behandling i det metastaserade sammanhanget under minst 6 månader (ja mot nej).
3 Baserat på andra interim OS-analys (brytdatum 1 juli 2022).
BICR = Blindad oberoende central granskning,(Blinded Independent Central Review); CI = konfidensintervall
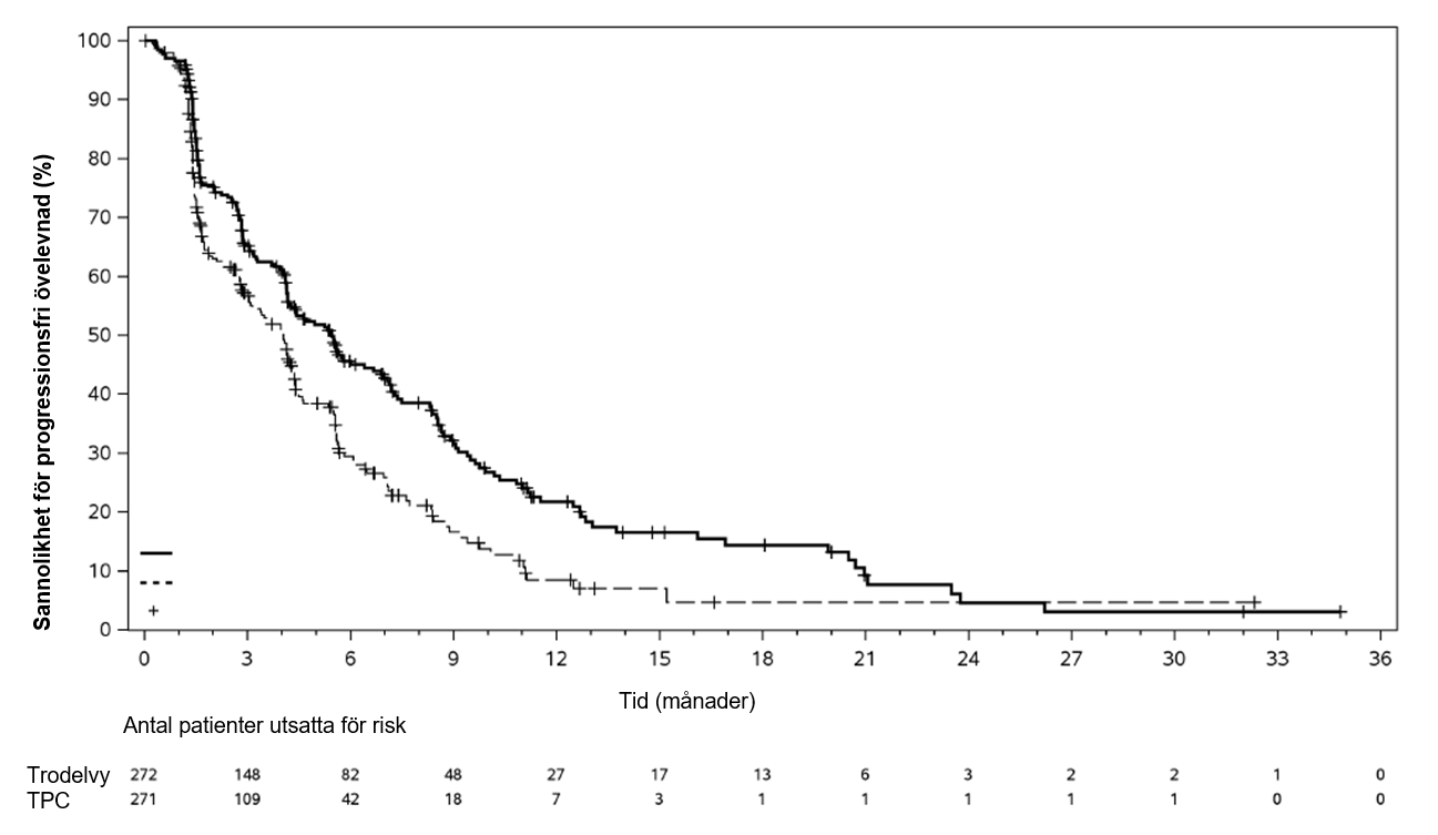
I en uppdaterad effektanalys med en median uppföljningstid på 12,8 månader (brytdatum 1 december 2022) överensstämde resultaten med den fördefinierade slutliga analysen. Median PFS enligt BICR var 5,5 månader mot 4,0 månader hos patienter behandlade mot sacituzumabgovitekan respektive TPC (riskförhållande på 0,65; 95% KI: 0,53, 0,81). Median OS var 14,5 månader mot 11,2 månader (riskförhållande på 0,79; 95 % KI: 0,65, 0,95). Kaplan-Meier-kurvor för uppdaterade PFS enligt BICR och OS presenteras i figur 3 och 4.
Figur 3: Progressionsfri överlevnad enligt BICR (brytdatum 1 december 2022)
Figur 4: Total överlevnad (brytdatum 1 december 2022)
Pediatrisk population
Europeiska läkemedelsmyndigheten har beviljat undantag från kravet att skicka in studieresultat för sacituzumabgovitekan för alla grupper av den pediatriska populationen för behandling mot bröstcancer (information om pediatrisk användning finns i avsnitt 4.2).
Serumfarmakokinetiken för sacituzumabgovitekan och SN-38 har utvärderats i ASCENT-studien hos en population med patienter med mTNBC som fick sacituzumabgovitekan som enda medel i en dos på 10 mg/kg kroppsvikt. De farmakokinetiska parametrarna för sacituzumabgovitekan och fritt SN-38 presenteras i tabell 5.
Tabell 6: Sammanfattning av medelvärden av PK-parametrar (CV %) för sacituzumabgovitekan och fritt SN-38
Cmax: maximal serumkoncentration
AUC0-168: arean under serumkoncentrationskurvan under 168 timmar
Distribution
Baserat på populationsfarmakokinetiska analyser var distributionsvolymen av sacituzumabgovitekan vid steady state 3,58 l.
Eliminering
Medianvärdet för halveringstiden (t1/2) i elimineringsfasen för sacituzumabgovitekan och fritt SN-38 hos patienter med metastaserad trippelnegativ bröstcancer var 23,4 respektive 17,6 timmar. Baserat på populationsfarmakokinetiska analyser är clearance för sacituzumabgovitekan 0,128 l/timme.
Metabolism
Inga metabolismstudier har utförts med sacituzumabgovitekan.
SN-38 (småmolekyldelen av sacituzumabgovitekan) metaboliseras via UGT1A1.
Särskilda populationer
Vid farmakokinetiska analyser av patienter som hade behandlats med sacituzumabgovitekan (n = 789) identifierades ingen effekt av ålder, ras eller lätt eller måttligt nedsatt njurfunktion på farmakokinetiken för sacituzumabgovitekan.
Nedsatt njurfunktion
Renal eliminering är känd för att bidra minimalt till utsöndringen av SN-38, småmolekyldelen av sacituzumabgovitekan. Det finns inga data om farmakokinetiken för sacituzumabgovitekan hos patienter med allvarligt nedsatt njurfunktion eller njursjukdom i slutstadiet (CrCl ≤ 15 ml/min).
Nedsatt leverfunktion
Exponeringen för sacituzumabgovitekan hos patienter med lätt nedsatt leverfunktion (bilirubin ≤ ULN och ASAT > ULN, eller bilirubin > 1,0 till ≤ 1,5 ULN och ASAT oberoende av nivå; n = 257) liknar den hos patienter med normal leverfunktion (bilirubin och ASAT ≤ ULN; n = 526).
Exponeringar för sacituzumabgovitekan och fritt SN-38 hos patienter med måttligt till allvarligt nedsatt leverfunktion är okänd.
I ett mikrokärntest av däggdjursceller in vitro på äggstocksceller från kinesisk hamster var SN-38 klastogent. I en in vitro-analys av bakteriell omvänd mutation (Ames) var SN-38 inte mutagent.
I en toxicitetsstudie med upprepade doser hos krabbmakaker resulterade intravenös administrering av sacituzumabgovitekan i endometrieatrofi, livmoderblödning, ökad follikulär atresi i äggstockarna och atrofi av vaginala epitelceller vid doser ≥ 60 mg/kg (1,9 gånger så mycket som den rekommenderade dosen för människor på 10 mg/kg baserat på allometrisk skalning av kroppsvikt).
Icke-kliniska data för det nya hjälpämnet MES visade inte några särskilda risker för människa baserat på gängse studier avseende allmäntoxicitet och gentoxicitet.
Farmakoterapeutisk grupp: antineoplastiska medel, monoklonala antikroppar och antikroppsläkemedelskonjugat, övriga monoklonala antikroppar, ATC -kod: L01FX17.
Verkningsmekanism
Sacituzumabgovitekan binds till Trop-2-uttryckande cancerceller och internaliseras med efterföljande frisättning av SN-38 från en hydrolyserbar linker. SN -38 interagerar med topoisomeras I och förhindrar återligering vid brott av topoisomeras I-inducerade enkelsträngar. Den DNA-skada som orsakas leder till apoptos och celldöd.
Klinisk effekt och säkerhet
Icke-resektabel eller metastaserad trippelnegativ bröstcancer (ASCENT)
Effekten och säkerheten för sacituzumabgovitekan har utvärderats i ASCENT (IMMU-132-05), en internationell öppen, randomiserad fas 3-multicenterstudie som utfördes på 529 patienter med icke-resektabel, lokalt avancerad eller metastaserad, trippel-negativ bröstcancer (mTNBC) som hade fått recidiv efter minst två tidigare cytostatikabehandlingar (ingen övre gräns) mot bröstcancer. Tidigare adjuvant eller neoadjuvant behandling för mer begränsad sjukdom kvalificerades som en av de erforderliga föregående regimerna om utvecklingen av icke-resektabel, lokalt avancerad eller metastaserad sjukdom uppkom inom en 12-månadersperiod efter slutförd cytostatikabehandling. Alla patienter hade tidigare fått behandling med taxan, antingen i det neoadjuvanta, adjuvanta eller avancerade stadiet, såvida de inte hade någon kontraindikation eller hade uppvisat intolerans för taxaner. Hämmare av poly-ADP-ribospolymeras (PARP) tilläts som en av de två tidigare cytostatikabehandlingarna för patienter med en dokumenterad BRCA1/BRCA2-mutation i könscellerna.
Patienterna randomiserades (1:1) till att få sacituzumabgovitekan 10 mg/kg som intravenös infusion på dag 1 och dag 8 i en 21-dagars behandlingscykel eller en läkarvald behandling (TPC, Treatment of Physician’s Choice), vilken doserades baserat på kroppsytan och i enlighet med godkänd produktinformation. Den läkarvalda behandlingen bestämdes före randomiseringen av prövaren utifrån en av följande monoterapier: eribulin (n = 139), capecitabin (n = 33), gemcitabin (n = 38) eller vinorelbin (utom om patienten hade neuropati av ≥ grad 2, n = 52). Patienter med stabila hjärnmetastaser (förbehandlade, vars sjukdom ej progredierade, utan läkemedel mot krampanfall och som stått på en stabil kortikosteroiddos under minst 2 veckor) fick delta. Magnetisk resonanstomografi (MRT) för att bekräfta hjärnmetastaser fordrades endast för patienter med kända eller misstänkta hjärnmetastaser. Patienter med känd Gilberts sjukdom, endast metastaser i skelettet, känd historik av instabil angina, myokardinfarkt eller hjärtsvikt, aktiv kronisk inflammatorisk tarmsjukdom eller gastrointestinal perforation, hiv-infektion (humant immunbristvirus), aktiv hepatit B- eller C-infektion, som fått levande vaccin högst 30 dagar tidigare eller som hade fått irinotekan tidigare uteslöts.
Patienterna fick behandling tills sjukdomen progredierade eller toxiciteten blev oacceptabel. Det primära effektmåttet hos patienter utan hjärnmetastaser vid baslinjen var progressionsfri överlevnad (PFS) fastställt med hjälp av RECIST-kriterierna (Response Evaluation Criteria in Solid Tumors) v1.1 av en blindad, oberoende, centraliserad granskningsgrupp (blinded, independent, centralised review; BICR) med experter inom radiologi. I de sekundära effektmåtten ingick PFS fastställt av en blindad, oberoende, centraliserad granskningsgrupp för den totala populationen, inklusive alla patienter med och utan hjärnmetastaser, total överlevnad (OS), total responsfrekvens (ORR) och responsduration (DOR).
Den primära analysen omfattade 235 patienter utan hjärnmetastaser i gruppen med sacituzumabgovitekan och 233 patienter utan hjärnmetastaser i gruppen med läkarvald behandling. Analysen av den totala populationen omfattade 267 patienter i gruppen med sacituzumabgovitekan och 262 patienter i TPC-gruppen.
De demografiska uppgifterna och baslinjeegenskaperna bland den totala populationen (n = 529) var: medianålder 54 år (intervall: 27–82 år) och 81 % < 65 år; 99,6 % kvinnor; 79 % vita; 12 % svarta; medianantalet tidigare systemiska behandlingar var 4; 69 % hade tidigare fått 2–3 cytostatikabehandlingar; 31 % hade tidigare fått > 3 cytostatikabehandlingar; 42 % hade levermetastaser; 12 % hade nuvarande eller historik av hjärnmetastaser, 8 % hade en positiv BRCA1/BRCA2-mutationsstatus; BRCA-status var tillgängligt för 339 patienter. Alla patienter hade prestationsstatus 0 (43 %) eller 1 (57 %) enligt ECOG-skalan när de gick med i studien. Mediantiden från diagnostiserat steg 4 till studieinträdet var 16,2 månader (intervall: -0,4–202,9 månader). De vanligaste tidigare cytostatikabehandlingarna var cyklofosfamid (83 %), antracyklin (83 %) inklusive doxorubicin (53 %), paklitaxel (78 %), karboplatin (65 %), capecitabin (67 %), gemcitabin (36 %), docetaxel (35 %) och eribulin (33 %). Totalt sett hade 29 % av patienterna tidigare fått PD-1/PD-L1-behandling. Tretton procent av patienterna i gruppen med sacituzumabgovitekan i den totala populationen hade endast fått en tidigare systemisk behandling mot den metastaserade cancern.
Effektresultaten i populationen utan hjärnmetastaser visade på en statistiskt signifikant förbättring med sacituzumabgovitekan jämfört med läkarvald behandling vad gällde PFS och OS med riskkvoterna (HR) 0,41 (n = 468; 95 % KI: 0,32; 0,52; p-värde: < 0,0001) respektive 0,48 (n = 468; 95 % KI: 0,38; 0,59; p-värde: < 0,0001). Medianvärdet för PFS var 5,6 månader jämfört med 1,7 månader och medianvärdet för OS var 12,1 månader jämfört med 6,7 månader hos patienterna som fått behandling med sacituzumabgovitekan respektive läkarvald behandling.
Effektresultaten i den totala populationen överensstämde med de i populationen utan hjärnmetastaser i den förspecificerade slutliga analysen (brytdatum 11 mars 2020) och sammanfattas i tabell 3.
Tabell 4: Effektmått (total population) – förspecificerad slutlig analys
1 PFS definieras som tiden från randomiseringsdatumet till datumet då sjukdomsprogressionen för första gången är radiologiskt påvisbar eller dödsfall av någon orsak, beroende på vad som inträffar först.
2 Stratifierat log-rank-test som justerats för stratifieringsfaktorerna ”antal tidigare cytostatikabehandlingar”,
”förekomst av kända hjärnmetastaser vid studieinträde” och ”område”.
3 Baserat på Cochran-Mantel-Haenszel-testet.
KI = konfidensintervall
I en uppdaterad effektanalys (slutlig databaslåsning 25 februari 2021) var resultaten förenliga med den förspecificerade slutliga analysen. Median-PFS enligt BICR var 4,8 månader jämfört med 1,7 månader för patienter som behandlades med sacituzumabgovitekan respektive läkarvald behandling (riskkvot 0,41; 95 % CI: 0,33, 0,52). Median-OS var 11,8 månader respektive 6,9 månader (riskkvot 0,51; 95 % CI: 0,42, 0,63). Kaplan‑Meier-kurvor för uppdaterad PFS enligt BICR och OS presenteras i figur 1 och 2.
Figur 1: Progressionsfri överlevnad (total population; slutlig databaslåsning 25 februari 2021) enligt den blindade, oberoende, centraliserade granskningsgruppen
Figur 2: Total överlevnad (total population; slutlig databaslåsning 25 februari 2021)
Subgruppsanalys
I subgruppsanalyser var förbättringarna av PFS och OS konsekventa hos patienterna som fick behandling med sacituzumabgovitekan jämfört med de som fick läkarvald behandling i alla patientgrupper oavsett ålder, etnicitet, BRCA-status, tidigare antal systemiska behandlingar totalt (2 och > 2, 2–3 och > 3) och metastaserande cancer (1 och > 1), tidigare behandling med antracyklin eller PD-L1 och levermetastaser.
Hjärnmetastaser
En explorativ analys av PFS och OS hos patienter med tidigare behandlade, stabila hjärnmetastaser visade en stratifierad riskkvot på 0,65 (n = 61; 95 % KI: 0,35; 1,22) respektive 0,87 (n = 61; 95 % KI: 0,47; 1,63). Medianvärdet för PFS var 2,8 månader jämfört med 1,6 månader och medianvärdet för OS var 6,8 månader jämfört med 7,5 månader hos patienterna som behandlats med sacituzumabgovitekan respektive de som fått läkarvald behandling.
Trop-2-uttryck
Ytterligare subgruppsanalyser utfördes för att utvärdera effekten beroende på grad av Trop-2 uttryck och resultaten var konsekventa över de olika poängmetoder som användes. Hos patienter med låga Trop-2-nivåer enligt kvartiler av membranets H-poäng var nyttan med sacituzumabgovitekan större än nyttan med läkarvald behandling, både vad gällde PFS (riskkvot 0,64; 95 % KI: 0,37; 1,11) och OS (riskkvot 0,71; 95 % KI: 0,42; 1,21).
Icke-resektabel eller metastaserad HR-positiv (hormonreceptorpositiv) och HER2-negativ (human epidermal growth factor receptor 2-negativ) bröstcancer (TROPiCS-02)
Effekten av sacituzumabgovitekan utvärderades i en multicenter, öppen, randomiserad studie TROPiCS-02 (IMMU-132-09) som utfördes på 543 patienter med icke-resektabel lokalt avancerad eller metastaserad HR-positiv, HER2-negativ (IHC 0, IHC 1+, IHC 2+/ISH-) bröstcancer vars sjukdom har fortskridit efter följande i något sammanhang: CDK 4/6 hämmare, endokrin behandling och taxan; patienterna fick minst två tidigare kemoterapier i metastaserat sammanhang (av vilka en kan vara i neoadjuvant eller adjuvant i sammanhang om progression eller återfall inträffade inom 12 månader efter avslutad kemoterapi). Patienter med endast bensjukdom, aktiv kronisk inflammatorisk tarmsjukdom och känd tarmobstruktion i anamnesen, kända anamneser av instabil angina, hjärtinfarkt eller hjärtsvikt eller aktiv hepatit B- eller C-infektion uteslöts ur studien.
Patienterna randomiserades (1:1) att få sacituzumabgovitekan 10 mg/kg som en intravenös infusion dag 1 och 8 i en 21-dagars cykel (n = 272) eller TPC (n = 271). TPC var läkarvald före randomiseringen från en av följande monoterapier: eribulin (n = 130), vinorelbin (n = 63) gemsitabin (n=56) eller capeticabin (n = 22). Randomiseringen stratifierades på basen av tidigare kemoterapiregimer för metastaserad sjukdom (2 mot 3-4) viskeral metastas (ja mot nej) och endokrin behandling i det metastaserade sammanhanget under minst 6 månader (ja mot nej)
Patienterna behandlades till sjukdomsprogression eller oacceptabel toxicitet. Det primära effektmåttet var PFS enligt BICR per RECIST v1.1. Ytterligare effektmått var OS, ORR enligt BICR och DOR enligt BICR.
Studiepopulationens medianålder var 56 år (intervall 27-86 år) och 26 % av patienterna var 65 år eller äldre. Nästan alla patienter var kvinnor (99 %). Majoriteten av patienterna var vita (67 %), 4 % var svarta, 3 % var asiatiska och 26 % var av okänd ras. Patienterna fick i genomsnitt 7 (intervall 3 till 17) tidigare behandlingar i alla sammanhang och 3 (intervall: 0 till 8) tidigare kemoterapiregimer i det metastaserade sammanhanget. Cirka 42 % av patienterna hade 2 tidigare kemoterapiregimer för metastaserad sjukdom jämfört med 58 % av patienterna som hade 3 till 4 tidigare kemoterapiregimer. De flesta patienter fick endokrin behandling i det metastaserade sammanhanget i ≥ 6 månader (86 %). Patienterna hade en ECOG prestationsstatus på 0 (44 %) eller 1 (56 %). Nittiofem procent av patienterna hade viskerala metastaser; 4,6 % av patienterna hade stabila förbehandlade hjärnmetastaser.
Sacituzumabgovitekan visade på en statistiskt signifikant förbättring av PFS enligt BICR och OS jämfört med TPC. Förbättringen av PFS enligt BICR och OS var generellt konsekvent över förspecificerade undergrupper. Effektresultaten sammanfattas i tabell 4.
Tabell 5 Effektmått – förspecificerad slutlig analys
1 PFS definieras som tiden från datumet för randomiseringen till datumet för den första radiologiska sjukdomsprogressionen eller dödsfall på grund av någon orsak, beroende på vilket som inträffar först (brytdatum 3 januari 2022).
2 Stratifierat log-rank test justerat för stratifieringsfaktorer: tidigare kemoterapiregimer för metastaserad sjukdom (2 mot 3-4), viskeral metastas (ja mot nej) och endokrin behandling i det metastaserade sammanhanget under minst 6 månader (ja mot nej).
3 Baserat på andra interim OS-analys (brytdatum 1 juli 2022).
BICR = Blindad oberoende central granskning,(Blinded Independent Central Review); CI = konfidensintervall
I en uppdaterad effektanalys med en median uppföljningstid på 12,8 månader (brytdatum 1 december 2022) överensstämde resultaten med den fördefinierade slutliga analysen. Median PFS enligt BICR var 5,5 månader mot 4,0 månader hos patienter behandlade mot sacituzumabgovitekan respektive TPC (riskförhållande på 0,65; 95% KI: 0,53, 0,81). Median OS var 14,5 månader mot 11,2 månader (riskförhållande på 0,79; 95 % KI: 0,65, 0,95). Kaplan-Meier-kurvor för uppdaterade PFS enligt BICR och OS presenteras i figur 3 och 4.
Figur 3: Progressionsfri överlevnad enligt BICR (brytdatum 1 december 2022)
Figur 4: Total överlevnad (brytdatum 1 december 2022)
Pediatrisk population
Europeiska läkemedelsmyndigheten har beviljat undantag från kravet att skicka in studieresultat för sacituzumabgovitekan för alla grupper av den pediatriska populationen för behandling mot bröstcancer (information om pediatrisk användning finns i avsnitt 4.2).
Serumfarmakokinetiken för sacituzumabgovitekan och SN-38 har utvärderats i ASCENT-studien hos en population med patienter med mTNBC som fick sacituzumabgovitekan som enda medel i en dos på 10 mg/kg kroppsvikt. De farmakokinetiska parametrarna för sacituzumabgovitekan och fritt SN-38 presenteras i tabell 5.
Tabell 6: Sammanfattning av medelvärden av PK-parametrar (CV %) för sacituzumabgovitekan och fritt SN-38
Cmax: maximal serumkoncentration
AUC0-168: arean under serumkoncentrationskurvan under 168 timmar
Distribution
Baserat på populationsfarmakokinetiska analyser var distributionsvolymen av sacituzumabgovitekan vid steady state 3,58 l.
Eliminering
Medianvärdet för halveringstiden (t1/2) i elimineringsfasen för sacituzumabgovitekan och fritt SN-38 hos patienter med metastaserad trippelnegativ bröstcancer var 23,4 respektive 17,6 timmar. Baserat på populationsfarmakokinetiska analyser är clearance för sacituzumabgovitekan 0,128 l/timme.
Metabolism
Inga metabolismstudier har utförts med sacituzumabgovitekan.
SN-38 (småmolekyldelen av sacituzumabgovitekan) metaboliseras via UGT1A1.
Särskilda populationer
Vid farmakokinetiska analyser av patienter som hade behandlats med sacituzumabgovitekan (n = 789) identifierades ingen effekt av ålder, ras eller lätt eller måttligt nedsatt njurfunktion på farmakokinetiken för sacituzumabgovitekan.
Nedsatt njurfunktion
Renal eliminering är känd för att bidra minimalt till utsöndringen av SN-38, småmolekyldelen av sacituzumabgovitekan. Det finns inga data om farmakokinetiken för sacituzumabgovitekan hos patienter med allvarligt nedsatt njurfunktion eller njursjukdom i slutstadiet (CrCl ≤ 15 ml/min).
Nedsatt leverfunktion
Exponeringen för sacituzumabgovitekan hos patienter med lätt nedsatt leverfunktion (bilirubin ≤ ULN och ASAT > ULN, eller bilirubin > 1,0 till ≤ 1,5 ULN och ASAT oberoende av nivå; n = 257) liknar den hos patienter med normal leverfunktion (bilirubin och ASAT ≤ ULN; n = 526).
Exponeringar för sacituzumabgovitekan och fritt SN-38 hos patienter med måttligt till allvarligt nedsatt leverfunktion är okänd.
I ett mikrokärntest av däggdjursceller in vitro på äggstocksceller från kinesisk hamster var SN-38 klastogent. I en in vitro-analys av bakteriell omvänd mutation (Ames) var SN-38 inte mutagent.
I en toxicitetsstudie med upprepade doser hos krabbmakaker resulterade intravenös administrering av sacituzumabgovitekan i endometrieatrofi, livmoderblödning, ökad follikulär atresi i äggstockarna och atrofi av vaginala epitelceller vid doser ≥ 60 mg/kg (1,9 gånger så mycket som den rekommenderade dosen för människor på 10 mg/kg baserat på allometrisk skalning av kroppsvikt).
Icke-kliniska data för det nya hjälpämnet MES visade inte några särskilda risker för människa baserat på gängse studier avseende allmäntoxicitet och gentoxicitet.
Förvaras i kylskåp (2 °C‑8 °C).
Får ej frysas.
Förvara injektionsflaskan i ytterkartongen. Ljuskänsligt.
Förvaringsanvisningar för läkemedlet efter beredning och spädning finns i avsnitt 6.3.
En 50 ml injektionsflaska i färglöst klarglas av typ I med en propp av elastomerbutyl och avsnäppbar aluminiumförsegling som innehåller 200 mg sacituzumabgovitekan.
Varje förpackning innehåller en injektionsflaska.
Trodelvy är ett cytotoxiskt läkemedel. Gällande särskilda förfaranden för hantering och kassering måste följas.
Beredning
Beräkna erforderlig dos (mg) av Trodelvy baserat på patientens kroppsvikt.
Ta en steril spruta och spruta långsamt in 20 ml natriumklorid 9 mg/ml (0,9 %) injektionsvätska, lösning i varje injektionsflaska. Detta resulterar i en koncentration på 10 mg/ml.
Snurra försiktigt injektionsflaskorna i upp till 15 minuter så att innehållet löses upp. Får ej skakas. Inspektera produkten visuellt med avseende på fasta partiklar och missfärgning före administrering. Lösningen ska vara fri från synliga partiklar, klar och gul. Använd inte den beredda lösningen om den är grumlig eller missfärgad.
Används omedelbart för att bereda en spädd infusionsvätska, lösning.
Spädning
Beräkna den erforderliga volymen beredd lösning som behövs för att få rätt dos i överensstämmelse med patientens kroppsvikt.
Bestäm den slutliga volymen av infusionslösning för administrering av rätt dos sacituzumabgovitekan i koncentrationsintervallet 1,1 mg/ml–3,4 mg/ml.
Dra upp och kassera en volym av natriumklorid 9 mg/ml (0,9 %) injektionsvätska ur den slutgiltiga infusionspåsen som motsvarar den volym som ska tillsättas av den beredda lösningen.
Dra upp beräknad mängd beredd lösning ur injektionsflaskan/-flaskorna med en spruta. Kassera den eventuellt oanvända delen som finns kvar i injektionsflaskan/-flaskorna.
För att minimera skumbildningen ska den erforderliga volymen beredd lösning långsamt injiceras i en infusionspåse av polyvinylklorid, polyolefin (polypropen och/eller polyeten) eller etenvinylacetat. Innehållet får ej skakas.
Justera volymen i infusionspåsen efter behov med natriumklorid 9 mg/ml (0,9 %) injektionsvätska, lösning, för att få en koncentration på 1,1 mg/ml–3,4 mg/ml. Endast natriumklorid 9 mg/ml (0,9 %) injektionsvätska, lösning ska användas eftersom inte stabiliteten för den beredda produkten har fastställts med andra infusionsbaserade lösningar.
Infusionspåsen som innehåller spädd lösning kan förvaras i kylskåp (2 °C–8 °C) i upp till 24 timmar i skydd mot ljus, om den inte ska användas omedelbart. Får ej frysas. Efter förvaring i kylskåp ska den spädda lösningen administreras vid rumstemperatur upp till 25 °C inom 8 timmar, inklusive infusionstiden.
Administrering
Administrera Trodelvy som en intravenös infusion. Skydda infusionspåsen mot ljus. Infusionspåsen ska täckas över medan patienten administreras läkemedlet tills hela dosen har givits. Det är inte nödvändigt att täcka över infusionsslangen eller att använda ljusskyddade slangar under infusionen.
Infusionspump kan användas.
Blanda inte Trodelvy med andra läkemedel och administrera inte Trodelvy som infusion med andra läkemedel.
Efter avslutad infusion ska den intravenösa slangen spolas igenom med 20 ml natriumklorid 9 mg/ml (0,9 %) injektionsvätska, lösning.
Kassering
Ej använt läkemedel och avfall ska kasseras enligt gällande anvisningar.
2-(N-morfolino)etansulfonsyra (MES)
Polysorbat 80 (E433)
Trehalosdihydrat
Detta läkemedel får inte blandas med andra läkemedel förutom de som nämns i avsnitt 6.6.
Oöppnad injektionsflaska
3 år
Efter beredning
Den beredda lösningen ska omedelbart användas för att bereda spädd infusionsvätska, lösning. Om inte infusionspåsen som innehåller spädd lösning ska användas omedelbart kan den förvaras i kylskåp (2 °C‑8 °C) i upp till 24 timmar i skydd mot ljus.
Förvaras i kylskåp (2 °C‑8 °C).
Får ej frysas.
Förvara injektionsflaskan i ytterkartongen. Ljuskänsligt.
Förvaringsanvisningar för läkemedlet efter beredning och spädning finns i avsnitt 6.3.
En 50 ml injektionsflaska i färglöst klarglas av typ I med en propp av elastomerbutyl och avsnäppbar aluminiumförsegling som innehåller 200 mg sacituzumabgovitekan.
Varje förpackning innehåller en injektionsflaska.
Trodelvy är ett cytotoxiskt läkemedel. Gällande särskilda förfaranden för hantering och kassering måste följas.
Beredning
Beräkna erforderlig dos (mg) av Trodelvy baserat på patientens kroppsvikt.
Ta en steril spruta och spruta långsamt in 20 ml natriumklorid 9 mg/ml (0,9 %) injektionsvätska, lösning i varje injektionsflaska. Detta resulterar i en koncentration på 10 mg/ml.
Snurra försiktigt injektionsflaskorna i upp till 15 minuter så att innehållet löses upp. Får ej skakas. Inspektera produkten visuellt med avseende på fasta partiklar och missfärgning före administrering. Lösningen ska vara fri från synliga partiklar, klar och gul. Använd inte den beredda lösningen om den är grumlig eller missfärgad.
Används omedelbart för att bereda en spädd infusionsvätska, lösning.
Spädning
Beräkna den erforderliga volymen beredd lösning som behövs för att få rätt dos i överensstämmelse med patientens kroppsvikt.
Bestäm den slutliga volymen av infusionslösning för administrering av rätt dos sacituzumabgovitekan i koncentrationsintervallet 1,1 mg/ml–3,4 mg/ml.
Dra upp och kassera en volym av natriumklorid 9 mg/ml (0,9 %) injektionsvätska ur den slutgiltiga infusionspåsen som motsvarar den volym som ska tillsättas av den beredda lösningen.
Dra upp beräknad mängd beredd lösning ur injektionsflaskan/-flaskorna med en spruta. Kassera den eventuellt oanvända delen som finns kvar i injektionsflaskan/-flaskorna.
För att minimera skumbildningen ska den erforderliga volymen beredd lösning långsamt injiceras i en infusionspåse av polyvinylklorid, polyolefin (polypropen och/eller polyeten) eller etenvinylacetat. Innehållet får ej skakas.
Justera volymen i infusionspåsen efter behov med natriumklorid 9 mg/ml (0,9 %) injektionsvätska, lösning, för att få en koncentration på 1,1 mg/ml–3,4 mg/ml. Endast natriumklorid 9 mg/ml (0,9 %) injektionsvätska, lösning ska användas eftersom inte stabiliteten för den beredda produkten har fastställts med andra infusionsbaserade lösningar.
Infusionspåsen som innehåller spädd lösning kan förvaras i kylskåp (2 °C–8 °C) i upp till 24 timmar i skydd mot ljus, om den inte ska användas omedelbart. Får ej frysas. Efter förvaring i kylskåp ska den spädda lösningen administreras vid rumstemperatur upp till 25 °C inom 8 timmar, inklusive infusionstiden.
Administrering
Administrera Trodelvy som en intravenös infusion. Skydda infusionspåsen mot ljus. Infusionspåsen ska täckas över medan patienten administreras läkemedlet tills hela dosen har givits. Det är inte nödvändigt att täcka över infusionsslangen eller att använda ljusskyddade slangar under infusionen.
Infusionspump kan användas.
Blanda inte Trodelvy med andra läkemedel och administrera inte Trodelvy som infusion med andra läkemedel.
Efter avslutad infusion ska den intravenösa slangen spolas igenom med 20 ml natriumklorid 9 mg/ml (0,9 %) injektionsvätska, lösning.
Kassering
Ej använt läkemedel och avfall ska kasseras enligt gällande anvisningar.
Produktresumén är företagets information om läkemedlet riktat till förskrivare och personal inom sjukvård och apotek. Dokumentet är godkända av Läkemedelsverket eller den europeiska läkemedelsmyndigheten EMA i samband med att läkemedlet godkänns för marknadsföring.