POTELIGEO 4 mg/ml koncentrat till infusionsvätska, lösning
Varje injektionsflaska innehåller 20 mg mogamulizumab i 5 ml, motsvarande 4 mg/ml.
Mogamulizumab tillverkas i ovarieceller från kinesisk hamster med rekombinant DNA-teknik.
För fullständig förteckning över hjälpämnen, se avsnitt 6.1.
Koncentrat till infusionsvätska, lösning.
Klar till lätt opaliserande, färglös lösning.
Kyowa Kirin Holdings B.V.
Bloemlaan 2
2132NP Hoofddorp
Nederländerna
medinfo@kyowakirin.com
EU/1/18/1335/001
Första godkännandet: 22 november 2018
Förnyat godkännande: 01 september 2023
05/2025 Ytterligare information om detta läkemedel finns på Europeiska läkemedelsmyndighetens webbplats http://www.ema.europa.eu.
Dosjusteringar
Dermatologiska reaktioner
Patienter som har fått mogamulizumab har fått läkemedelsutslag, av vilka vissa var svåra och/eller allvarliga.
Om ett utslag (läkemedelsrelaterat) med svårighetsgrad 2 eller 3 (måttligt eller svårt) uppkommer, måste behandling med mogamulizumab avbrytas och utslaget behandlas på lämpligt sätt tills det förbättras till grad 1 eller lägre (lätt svårighetsgrad), varvid behandlingen med mogamulizumab kan återupptas.
POTELIGEO ska sättas ut permanent vid ett livshotande (grad 4) utslag (se avsnitt 4.4).
Infusionsrelaterade reaktioner
Infusionen av POTELIGEO ska avbrytas tillfälligt vid lätta till svåra (grad 1-3) infusionsrelaterade reaktioner och symtomen behandlas. Infusionshastigheten ska minskas med minst 50 % när infusionen påbörjas igen efter att symtomen försvunnit. Om reaktionen återkommer ska utsättning av infusionen övervägas (se avsnitt 4.4).
POTELIGEO ska sättas ut permanent vid en livshotande (grad 4) infusionsrelaterad reaktion (se avsnitt 4.4).
Särskilda populationer
Pediatrisk population
Säkerhet och effekt för POTELIGEO för barn och ungdomar under 18 år har inte fastställts. Inga data finns tillgängliga.
Äldre
Ingen dosjustering krävs för äldre patienter (se även avsnitt 5.2).
Nedsatt njurfunktion
Baserat på en populationsfarmakokinetisk analys rekommenderas ingen dosjustering till patienter med lätt till gravt nedsatt njurfunktion (se avsnitt 5.2).
Nedsatt leverfunktion
Baserat på en populationsfarmakokinetisk analys rekommenderas ingen dosjustering till patienter med lätt till måttligt nedsatt leverfunktion (se avsnitt 5.2). POTELIGEO har inte studerats hos patienter med gravt nedsatt leverfunktion (se avsnitt 5.2).
Administreringssätt
POTELIGEO är avsett för intravenös användning. Det ska endast administreras som intravenös infusion, under minst 60 minuter. I händelse av en infusionsrelaterad reaktion, se rekommendationer ovan.
Anvisningar om spädning av läkemedlet före administrering finns i avsnitt 6.6.
Överkänslighet mot den aktiva substansen eller mot något hjälpämne som anges i avsnitt 6.1.
Spårbarhet
För att underlätta spårbarhet av biologiska läkemedel ska läkemedlets namn och tillverkningssatsnummer dokumenteras.
Dermatologiska reaktioner
Patienter som har fått mogamulizumab har fått läkemedelsutslag, av vilka vissa var svåra och/eller allvarliga.
När mogamulizumab har administrerats till patienter med andra T-cellslymfom än MF eller SS, har allvarliga hudreaktioner, inklusive Stevens-Johnsons syndrom (SJS) och toxisk epidermal nekrolys (TEN), rapporterats hos färre än 1 % av patienterna under kliniska studier, och även rapporterats efter godkännande för försäljning. Vissa av dessa fall rapporterades ha dödlig utgång. Patienterna ska övervakas noggrant för symtom eller tecken som tyder på SJS eller TEN. Om sådana uppkommer ska behandlingen med POTELIGEO avbrytas och inte återinsättas om inte SJS eller TEN kan uteslutas och den kutana reaktionen har gått tillbaka till grad 1 eller lägre. Om SJS/TEN uppkommer ska lämplig medicinsk behandling administreras. Se avsnitt 4.2 för information om dosjusteringar.
Infusionsrelaterade reaktioner
Akuta infusionsrelaterade reaktioner (IRR) har observerats hos patienter behandlade med mogamulizumab. IRR var i de flesta fall lätta eller måttliga, även om det finns ett fåtal rapporter om svåra reaktioner (grad 3). Majoriteten av IRR uppkommer under eller kort efter den första infusionen (alla inom 24 timmar efter administrering), och incidensen minskar under efterföljande behandlingar.
Patienterna måste övervakas noggrant under och efter infusion. Om en anafylaktisk reaktion uppkommer ska administreringen av mogamulizumab avbrytas omedelbart och permanent och lämplig medicinsk behandling administreras.
Om en IRR uppkommer ska infusionen avbrytas och lämplig medicinsk behandling sättas in. Infusionen kan påbörjas igen med en långsammare hastighet efter att symtomen har försvunnit. Se avsnitt 4.2 för information om premedicinering och dosjusteringar.
Infektioner
Patienter med MF eller SS som behandlas med mogamulizumab löper ökad risk för allvarlig infektion och/eller virusreaktivering. Kombinationen mogamulizumab och systemiska immunmodulerande läkemedel eller andra läkemedel som är godkända för behandling av MF eller SS har inte studerats och rekommenderas således inte, särskilt med tanke på risken för svåra infektioner hos patienter behandlade med mogamulizumab. Lokala steroider eller låga doser av systemiska kortikosteroider kan användas under behandling med mogamulizumab, men risken för allvarlig infektion och/eller virusreaktivering kan vara större vid samtidig administrering av immunsuppressiva medel. Patienterna ska övervakas för tecken och symtom på infektion och behandlas omedelbart.
Patienter ska testas för infektion med hepatit B innan behandling med mogamulizumab sätts in. För patienter som testar positivt för aktuell/tidigare infektion med hepatit B rekommenderas konsultation med en läkare med expertkunskap om behandling av hepatit B för råd om lämpliga åtgärder mot reaktivering av hepatit B.
Komplikationer av allogen hematopoetisk stamcellstransplantation (HSCT) efter mogamulizumab
Komplikationer, inklusive transplantat-mot-värdsjukdom (GVHD) har rapporterats hos patienter med andra T-cellslymfom än MF eller SS som har fått allogen HSCT efter mogamulizumab.
En större risk för transplantationsrelaterade komplikationer har rapporterats om mogamulizumab ges inom en kort tidsram (cirka 50 dagar) före HSCT. Följ patienterna noggrant för tidiga tecken på transplantationsrelaterade komplikationer.
Säkerheten för behandling med mogamulizumab efter autolog eller allogen HSCT har inte studerats.
Tumörlyssyndrom
Tumörlyssyndrom (TLS) har observerats hos patienter som får mogamulizumab. TLS observerades oftast under den första behandlingsmånaden. Patienter med snabbt prolifererande tumör och hög tumörbörda löper risk för TLS. Patienter ska övervakas noggrant med lämpliga laboratorietester och kliniska tester för elektrolytstatus, hydrering och njurfunktion, särskilt under den första behandlingsmånaden, och behandlas enligt bästa medicinska praxis. Behandling av TLS kan inkludera aggressiv vätsketillförsel, korrigering av elektrolytrubbningar, behandling mot hyperurikemi och understödjande vård.
Hjärtat
Ett fall av akut myokardinfarkt har observerats hos en patient med MF/SS som fick mogamulizumab i en klinisk studie. Hos patienter i kliniska studier med andra T-cellslymfom finns rapporter om stresskardiomyopati (ett fall) och akut myokardinfarkt (ett fall). Patienterna hade en anamnes som inkluderade olika riskfaktorer. Patienter som har riskfaktorer som associeras med hjärtsjukdom ska övervakas och lämpliga försiktighetsåtgärder vidtas.
Storcellig transformation (LCT, large cell transformation)
Data om patienter med LCT är begränsade.
Övrigt
Mogamulizumab ska inte administreras subkutant eller intramuskulärt, genom snabb intravenös administrering eller som en intravenös bolusdos.
Detta läkemedel innehåller mindre än 1 mmol natrium per dos, d.v.s. är näst intill “natriumfritt”.
Detta läkemedel innehåller 1 mg polysorbat 80 per injektionsflaska motsvarande 0,2 mg/ml.
Polysorbater kan orsaka allergiska reaktioner.
Inga interaktionsstudier har utförts.
Fertila kvinnor/preventivmedel för kvinnor
Fertila kvinnor ska använda effektiv preventivmetod under behandling med POTELIGEO och minst 6 månader efter avslutad behandling.
Graviditet
Det finns inga data från användningen av mogamulizumab hos gravida kvinnor. Även om mogamulizumab passerar placentabarriären hos cynomolgusapor visar djurstudier inga direkta eller indirekta skadliga reproduktionstoxikologiska effekter (se avsnitt 5.3), med undantag av den farmakologiska effekten på foster. Som en försiktighetsåtgärd bör man undvika användning av mogamulizumab under graviditet.
Amning
Det är okänt om mogamulizumab utsöndras i bröstmjölk. Det är känt att humant IgG utsöndras i bröstmjölk under de första dagarna efter förlossning och minskar till låga koncentrationer strax därefter. Således kan en risk för det ammande barnet inte uteslutas under den här korta perioden. Därefter kan POTELIGEO användas under amning om det finns ett kliniskt behov.
Fertilitet
Det finns inga tillgängliga kliniska data om effekten av mogamulizumab på fertiliteten hos människa. Inga specifika djurstudier har utförts för att utvärdera effekten av mogamulizumab på fertilitet.
Inga biverkningar på manliga och kvinnliga reproduktionsorgan observerades i allmäntoxikologiska studier på cynomolgusapor (se avsnitt 5.3).
Mogamulizumab har mindre effekt på förmågan att framföra fordon och använda maskiner. Trötthet kan uppkomma efter administrering av mogamulizumab (se avsnitt 4.8).
Sammanfattning av säkerhetsprofilen
De vanligaste rapporterade allvarliga biverkningarna var pneumoni, feber, infusionsrelaterad reaktion och cellulit.
De vanligaste rapporterade biverkningarna var infusionsrelaterad reaktion och utslag (läkemedelsutslag). De flesta av dessa reaktioner var inte allvarliga och av grad 1 eller 2.
Svåra biverkningar inkluderade andningssvikt av grad 4 (1,1 %) och reaktioner av grad 5 såsom polymyosit och sepsis (0,5 % vardera).
Tabell över biverkningar
Biverkningarna presenteras enligt klassificering av organsystem och frekvenskategorier, vilka definieras enligt följande konvention: mycket vanliga (≥1/10), vanliga (≥1/100, <1/10), mindre vanliga (≥1/1 000, <1/100), sällsynta (≥1/10 000, <1/1 000), mycket sällsynta (<1/10 000), ingen känd frekvens (kan inte beräknas från tillgängliga data). Biverkningarna presenteras inom varje frekvensområde efter fallande allvarlighetsgrad.
Tabell 1: Biverkningar som har identifierats för patienter som fått POTELIGEO
a Follikulit, cellulit, candidos, pneumoni, sepsis, hudinfektion, extern otit, herpes zoster, stafylokockinfektion i huden, urinvägsinfektion, herpes simplex och cytomegalovirus
b Inklusive fall av granulom i hud (hårbotten, periarikulära området och bålen) och skelett (bröstben, skalle, ryggrad, revben och bäcken).
Beskrivning av utvalda biverkningar
Dermatologiska reaktioner
Patienter som har behandlats med POTELIGEO har fått läkemedelsutslag. Vissa av dessa var svåra och/eller allvarliga. Majoriteten av de behandlingsrelaterade dermatologiska reaktionerna var av grad 1 eller 2. Läkemedelsutslag av grad ≥ 3 uppkom hos 4,3 % av patienterna. Ingen trend i tid till debut av händelsen identifierades för läkemedelsutslag och utslag; både händelser med tidig och sen debut förekom.
Infusionsrelaterade reaktioner
Infusionsrelaterade reaktioner har observerats hos 33 % av patienterna som behandlats med POTELIGEO. Majoriteten av de infusionsrelaterade reaktionerna som hade ett samband med behandlingen var av grad 1 eller 2 och uppkom under eller kort efter den första infusionen. Svåra reaktioner (grad 3) förekom hos 4 % av patienterna.
Incidensen av infusionsrelaterade reaktioner var högst efter den första infusionen (28,8 % av patienterna) och minskade till ≤ 3,8 % av patienterna efter två eller flera infusioner.
Infusionsavbrott förekom hos cirka 6 % av patienterna, och de flesta av dessa (cirka 90 %) förekom under den första behandlingscykeln med mogamulizumab.
Mindre än 1 % av patienterna som behandlades i studie 0761-010 avbröt behandlingen på grund av infusionsrelaterade reaktioner.
Allvarliga infektioner
Patienter med MF eller SS löper ökad risk för allvarliga infektioner på grund av försämrad hudbarriär orsakad av kutan sjukdom. Även de immunsuppressiva effekterna av extrakutan sjukdom och behandling med mogamulizumab kan öka den risken. Allvarliga infektioner, inklusive sepsis, pneumoni och hudinfektioner förekom hos 14,3 % av patienterna som fick mogamulizumab. Tiden till debut av händelsen efter den första dosen varierade mycket. Majoriteten av patienterna tillfrisknade från infektionen. I den kliniska studien (0761-010) rapporterades 2 fall av andningssvikt med dödlig utgång hos patienter med svår pneumoni som uppkom mer än 9 månader efter att behandling med mogamulizumab påbörjats
Immunogenicitet
Efter infusion av POTELIGEO under kliniska POTELIGEO-studier på patienter med adult T-cellsleukemi/lymfom eller kutant T-cellslymfom, testade ungefär 14 % av patienterna (44 av 313 utvärderbara patienter) positivt för behandlingsuppkomna antikroppar mot mogamulizumab. Inga patienter identifierades ha positiva neutraliserande antikroppssvar.
Magtarmkanalen
Kolit kännetecknas främst av vattnig diarré som i vissa fall kan vara svår.
Säkerhet efter den sista dosen
Av de 320 patienterna som exponerades för mogamulizumab i studie 0761-010 fick 21 (6,6 %) minst en allvarlig läkemedelsbiverkning som uppkom inom 90 dagar från den sista administreringen av studieläkemedel.
Allvarliga läkemedelsbiverkningar som rapporterades hos mer än en patient kodades enligt följande organsystem: infektioner och infestationer (7 patienter [2,2 %]), allmänna symtom och/eller symtom vid administreringsstället (5 patienter [1,6 %]), andningsvägar, bröstkorg och mediastinum (4 patienter [1,3 %]), muskuloskeletala systemet och bindväv (3 patienter [0,9 %]), lever och gallvägar (2 patienter [0,6 %]) och skador och förgiftningar och behandlingskomplikationer (2 patienter [0,6 %]). För alla övriga organsystem rapporterade allvarliga läkemedelsbiverkningar hos en patient (0,3 %).
Den säkerhetsprofil som observerades 90 dagar efter den sista dosen av mogamulizumab överensstämmer med den säkerhetsprofil som observerades under behandlingsperioden i studien.
Äldre
Säkerhetsprofilen hos äldre patienter (≥ 65 år) överensstämde i allmänhet med den hos vuxna patienter, med undantag för dermatologiska och infusionsrelaterade reaktioner, vilka sågs oftare hos äldre patienter.
Det finns ingen information om överdosering med mogamulizumab. Vid en överdosering ska patienten, inklusive hans/hennes vitala tecken, noggrant övervakas (under minst 1 timme) och understödjande behandling administreras vid behov.
POTELIGEO är avsett för behandling av vuxna patienter med mycosis fungoides (MF) eller Sézarys syndrom (SS) som har fått minst en tidigare systemisk behandling.
Behandling ska endast sättas in och övervakas av läkare med erfarenhet av cancerbehandling, och ska bara administreras av hälso- och sjukvårdspersonal i en omgivning där återupplivningsutrustning är tillgänglig.
Dosering
Den rekommenderade dosen är 1 mg/kg mogamulizumab administrerat som en intravenös infusion under minst 60 minuter. Administrering sker varje vecka dag 1, 8, 15 och 22 i den första 28-dagarscykeln, följt av infusioner varannan vecka dag 1 och 15 i varje efterföljande 28-dagarscykel tills sjukdomsprogression eller oacceptabel toxicitet.
POTELIGEO ska administreras inom 2 dagar från den schemalagda dagen. Om en dos missas och det har gått mer än 2 dagar, ska nästa dos administreras så snart som möjligt och därefter ska doseringsschemat återupptas och doser administreras baserat på de nya schemalagda dagarna.
Premedicinering med antipyretika och antihistamin rekommenderas före den första infusionen av POTELIGEO. Om en infusionsreaktion uppkommer ska premedicinering administreras vid efterföljande infusioner av POTELIGEO.
Dosjusteringar
Dermatologiska reaktioner
Patienter som har fått mogamulizumab har fått läkemedelsutslag, av vilka vissa var svåra och/eller allvarliga.
Om ett utslag (läkemedelsrelaterat) med svårighetsgrad 2 eller 3 (måttligt eller svårt) uppkommer, måste behandling med mogamulizumab avbrytas och utslaget behandlas på lämpligt sätt tills det förbättras till grad 1 eller lägre (lätt svårighetsgrad), varvid behandlingen med mogamulizumab kan återupptas.
POTELIGEO ska sättas ut permanent vid ett livshotande (grad 4) utslag (se avsnitt 4.4).
Infusionsrelaterade reaktioner
Infusionen av POTELIGEO ska avbrytas tillfälligt vid lätta till svåra (grad 1-3) infusionsrelaterade reaktioner och symtomen behandlas. Infusionshastigheten ska minskas med minst 50 % när infusionen påbörjas igen efter att symtomen försvunnit. Om reaktionen återkommer ska utsättning av infusionen övervägas (se avsnitt 4.4).
POTELIGEO ska sättas ut permanent vid en livshotande (grad 4) infusionsrelaterad reaktion (se avsnitt 4.4).
Särskilda populationer
Pediatrisk population
Säkerhet och effekt för POTELIGEO för barn och ungdomar under 18 år har inte fastställts. Inga data finns tillgängliga.
Äldre
Ingen dosjustering krävs för äldre patienter (se även avsnitt 5.2).
Nedsatt njurfunktion
Baserat på en populationsfarmakokinetisk analys rekommenderas ingen dosjustering till patienter med lätt till gravt nedsatt njurfunktion (se avsnitt 5.2).
Nedsatt leverfunktion
Baserat på en populationsfarmakokinetisk analys rekommenderas ingen dosjustering till patienter med lätt till måttligt nedsatt leverfunktion (se avsnitt 5.2). POTELIGEO har inte studerats hos patienter med gravt nedsatt leverfunktion (se avsnitt 5.2).
Administreringssätt
POTELIGEO är avsett för intravenös användning. Det ska endast administreras som intravenös infusion, under minst 60 minuter. I händelse av en infusionsrelaterad reaktion, se rekommendationer ovan.
Anvisningar om spädning av läkemedlet före administrering finns i avsnitt 6.6.
Överkänslighet mot den aktiva substansen eller mot något hjälpämne som anges i avsnitt 6.1.
Spårbarhet
För att underlätta spårbarhet av biologiska läkemedel ska läkemedlets namn och tillverkningssatsnummer dokumenteras.
Dermatologiska reaktioner
Patienter som har fått mogamulizumab har fått läkemedelsutslag, av vilka vissa var svåra och/eller allvarliga.
När mogamulizumab har administrerats till patienter med andra T-cellslymfom än MF eller SS, har allvarliga hudreaktioner, inklusive Stevens-Johnsons syndrom (SJS) och toxisk epidermal nekrolys (TEN), rapporterats hos färre än 1 % av patienterna under kliniska studier, och även rapporterats efter godkännande för försäljning. Vissa av dessa fall rapporterades ha dödlig utgång. Patienterna ska övervakas noggrant för symtom eller tecken som tyder på SJS eller TEN. Om sådana uppkommer ska behandlingen med POTELIGEO avbrytas och inte återinsättas om inte SJS eller TEN kan uteslutas och den kutana reaktionen har gått tillbaka till grad 1 eller lägre. Om SJS/TEN uppkommer ska lämplig medicinsk behandling administreras. Se avsnitt 4.2 för information om dosjusteringar.
Infusionsrelaterade reaktioner
Akuta infusionsrelaterade reaktioner (IRR) har observerats hos patienter behandlade med mogamulizumab. IRR var i de flesta fall lätta eller måttliga, även om det finns ett fåtal rapporter om svåra reaktioner (grad 3). Majoriteten av IRR uppkommer under eller kort efter den första infusionen (alla inom 24 timmar efter administrering), och incidensen minskar under efterföljande behandlingar.
Patienterna måste övervakas noggrant under och efter infusion. Om en anafylaktisk reaktion uppkommer ska administreringen av mogamulizumab avbrytas omedelbart och permanent och lämplig medicinsk behandling administreras.
Om en IRR uppkommer ska infusionen avbrytas och lämplig medicinsk behandling sättas in. Infusionen kan påbörjas igen med en långsammare hastighet efter att symtomen har försvunnit. Se avsnitt 4.2 för information om premedicinering och dosjusteringar.
Infektioner
Patienter med MF eller SS som behandlas med mogamulizumab löper ökad risk för allvarlig infektion och/eller virusreaktivering. Kombinationen mogamulizumab och systemiska immunmodulerande läkemedel eller andra läkemedel som är godkända för behandling av MF eller SS har inte studerats och rekommenderas således inte, särskilt med tanke på risken för svåra infektioner hos patienter behandlade med mogamulizumab. Lokala steroider eller låga doser av systemiska kortikosteroider kan användas under behandling med mogamulizumab, men risken för allvarlig infektion och/eller virusreaktivering kan vara större vid samtidig administrering av immunsuppressiva medel. Patienterna ska övervakas för tecken och symtom på infektion och behandlas omedelbart.
Patienter ska testas för infektion med hepatit B innan behandling med mogamulizumab sätts in. För patienter som testar positivt för aktuell/tidigare infektion med hepatit B rekommenderas konsultation med en läkare med expertkunskap om behandling av hepatit B för råd om lämpliga åtgärder mot reaktivering av hepatit B.
Komplikationer av allogen hematopoetisk stamcellstransplantation (HSCT) efter mogamulizumab
Komplikationer, inklusive transplantat-mot-värdsjukdom (GVHD) har rapporterats hos patienter med andra T-cellslymfom än MF eller SS som har fått allogen HSCT efter mogamulizumab.
En större risk för transplantationsrelaterade komplikationer har rapporterats om mogamulizumab ges inom en kort tidsram (cirka 50 dagar) före HSCT. Följ patienterna noggrant för tidiga tecken på transplantationsrelaterade komplikationer.
Säkerheten för behandling med mogamulizumab efter autolog eller allogen HSCT har inte studerats.
Tumörlyssyndrom
Tumörlyssyndrom (TLS) har observerats hos patienter som får mogamulizumab. TLS observerades oftast under den första behandlingsmånaden. Patienter med snabbt prolifererande tumör och hög tumörbörda löper risk för TLS. Patienter ska övervakas noggrant med lämpliga laboratorietester och kliniska tester för elektrolytstatus, hydrering och njurfunktion, särskilt under den första behandlingsmånaden, och behandlas enligt bästa medicinska praxis. Behandling av TLS kan inkludera aggressiv vätsketillförsel, korrigering av elektrolytrubbningar, behandling mot hyperurikemi och understödjande vård.
Hjärtat
Ett fall av akut myokardinfarkt har observerats hos en patient med MF/SS som fick mogamulizumab i en klinisk studie. Hos patienter i kliniska studier med andra T-cellslymfom finns rapporter om stresskardiomyopati (ett fall) och akut myokardinfarkt (ett fall). Patienterna hade en anamnes som inkluderade olika riskfaktorer. Patienter som har riskfaktorer som associeras med hjärtsjukdom ska övervakas och lämpliga försiktighetsåtgärder vidtas.
Storcellig transformation (LCT, large cell transformation)
Data om patienter med LCT är begränsade.
Övrigt
Mogamulizumab ska inte administreras subkutant eller intramuskulärt, genom snabb intravenös administrering eller som en intravenös bolusdos.
Detta läkemedel innehåller mindre än 1 mmol natrium per dos, d.v.s. är näst intill “natriumfritt”.
Detta läkemedel innehåller 1 mg polysorbat 80 per injektionsflaska motsvarande 0,2 mg/ml.
Polysorbater kan orsaka allergiska reaktioner.
Inga interaktionsstudier har utförts.
Fertila kvinnor/preventivmedel för kvinnor
Fertila kvinnor ska använda effektiv preventivmetod under behandling med POTELIGEO och minst 6 månader efter avslutad behandling.
Graviditet
Det finns inga data från användningen av mogamulizumab hos gravida kvinnor. Även om mogamulizumab passerar placentabarriären hos cynomolgusapor visar djurstudier inga direkta eller indirekta skadliga reproduktionstoxikologiska effekter (se avsnitt 5.3), med undantag av den farmakologiska effekten på foster. Som en försiktighetsåtgärd bör man undvika användning av mogamulizumab under graviditet.
Amning
Det är okänt om mogamulizumab utsöndras i bröstmjölk. Det är känt att humant IgG utsöndras i bröstmjölk under de första dagarna efter förlossning och minskar till låga koncentrationer strax därefter. Således kan en risk för det ammande barnet inte uteslutas under den här korta perioden. Därefter kan POTELIGEO användas under amning om det finns ett kliniskt behov.
Fertilitet
Det finns inga tillgängliga kliniska data om effekten av mogamulizumab på fertiliteten hos människa. Inga specifika djurstudier har utförts för att utvärdera effekten av mogamulizumab på fertilitet.
Inga biverkningar på manliga och kvinnliga reproduktionsorgan observerades i allmäntoxikologiska studier på cynomolgusapor (se avsnitt 5.3).
Mogamulizumab har mindre effekt på förmågan att framföra fordon och använda maskiner. Trötthet kan uppkomma efter administrering av mogamulizumab (se avsnitt 4.8).
Sammanfattning av säkerhetsprofilen
De vanligaste rapporterade allvarliga biverkningarna var pneumoni, feber, infusionsrelaterad reaktion och cellulit.
De vanligaste rapporterade biverkningarna var infusionsrelaterad reaktion och utslag (läkemedelsutslag). De flesta av dessa reaktioner var inte allvarliga och av grad 1 eller 2.
Svåra biverkningar inkluderade andningssvikt av grad 4 (1,1 %) och reaktioner av grad 5 såsom polymyosit och sepsis (0,5 % vardera).
Tabell över biverkningar
Biverkningarna presenteras enligt klassificering av organsystem och frekvenskategorier, vilka definieras enligt följande konvention: mycket vanliga (≥1/10), vanliga (≥1/100, <1/10), mindre vanliga (≥1/1 000, <1/100), sällsynta (≥1/10 000, <1/1 000), mycket sällsynta (<1/10 000), ingen känd frekvens (kan inte beräknas från tillgängliga data). Biverkningarna presenteras inom varje frekvensområde efter fallande allvarlighetsgrad.
Tabell 1: Biverkningar som har identifierats för patienter som fått POTELIGEO
a Follikulit, cellulit, candidos, pneumoni, sepsis, hudinfektion, extern otit, herpes zoster, stafylokockinfektion i huden, urinvägsinfektion, herpes simplex och cytomegalovirus
b Inklusive fall av granulom i hud (hårbotten, periarikulära området och bålen) och skelett (bröstben, skalle, ryggrad, revben och bäcken).
Beskrivning av utvalda biverkningar
Dermatologiska reaktioner
Patienter som har behandlats med POTELIGEO har fått läkemedelsutslag. Vissa av dessa var svåra och/eller allvarliga. Majoriteten av de behandlingsrelaterade dermatologiska reaktionerna var av grad 1 eller 2. Läkemedelsutslag av grad ≥ 3 uppkom hos 4,3 % av patienterna. Ingen trend i tid till debut av händelsen identifierades för läkemedelsutslag och utslag; både händelser med tidig och sen debut förekom.
Infusionsrelaterade reaktioner
Infusionsrelaterade reaktioner har observerats hos 33 % av patienterna som behandlats med POTELIGEO. Majoriteten av de infusionsrelaterade reaktionerna som hade ett samband med behandlingen var av grad 1 eller 2 och uppkom under eller kort efter den första infusionen. Svåra reaktioner (grad 3) förekom hos 4 % av patienterna.
Incidensen av infusionsrelaterade reaktioner var högst efter den första infusionen (28,8 % av patienterna) och minskade till ≤ 3,8 % av patienterna efter två eller flera infusioner.
Infusionsavbrott förekom hos cirka 6 % av patienterna, och de flesta av dessa (cirka 90 %) förekom under den första behandlingscykeln med mogamulizumab.
Mindre än 1 % av patienterna som behandlades i studie 0761-010 avbröt behandlingen på grund av infusionsrelaterade reaktioner.
Allvarliga infektioner
Patienter med MF eller SS löper ökad risk för allvarliga infektioner på grund av försämrad hudbarriär orsakad av kutan sjukdom. Även de immunsuppressiva effekterna av extrakutan sjukdom och behandling med mogamulizumab kan öka den risken. Allvarliga infektioner, inklusive sepsis, pneumoni och hudinfektioner förekom hos 14,3 % av patienterna som fick mogamulizumab. Tiden till debut av händelsen efter den första dosen varierade mycket. Majoriteten av patienterna tillfrisknade från infektionen. I den kliniska studien (0761-010) rapporterades 2 fall av andningssvikt med dödlig utgång hos patienter med svår pneumoni som uppkom mer än 9 månader efter att behandling med mogamulizumab påbörjats
Immunogenicitet
Efter infusion av POTELIGEO under kliniska POTELIGEO-studier på patienter med adult T-cellsleukemi/lymfom eller kutant T-cellslymfom, testade ungefär 14 % av patienterna (44 av 313 utvärderbara patienter) positivt för behandlingsuppkomna antikroppar mot mogamulizumab. Inga patienter identifierades ha positiva neutraliserande antikroppssvar.
Magtarmkanalen
Kolit kännetecknas främst av vattnig diarré som i vissa fall kan vara svår.
Säkerhet efter den sista dosen
Av de 320 patienterna som exponerades för mogamulizumab i studie 0761-010 fick 21 (6,6 %) minst en allvarlig läkemedelsbiverkning som uppkom inom 90 dagar från den sista administreringen av studieläkemedel.
Allvarliga läkemedelsbiverkningar som rapporterades hos mer än en patient kodades enligt följande organsystem: infektioner och infestationer (7 patienter [2,2 %]), allmänna symtom och/eller symtom vid administreringsstället (5 patienter [1,6 %]), andningsvägar, bröstkorg och mediastinum (4 patienter [1,3 %]), muskuloskeletala systemet och bindväv (3 patienter [0,9 %]), lever och gallvägar (2 patienter [0,6 %]) och skador och förgiftningar och behandlingskomplikationer (2 patienter [0,6 %]). För alla övriga organsystem rapporterade allvarliga läkemedelsbiverkningar hos en patient (0,3 %).
Den säkerhetsprofil som observerades 90 dagar efter den sista dosen av mogamulizumab överensstämmer med den säkerhetsprofil som observerades under behandlingsperioden i studien.
Äldre
Säkerhetsprofilen hos äldre patienter (≥ 65 år) överensstämde i allmänhet med den hos vuxna patienter, med undantag för dermatologiska och infusionsrelaterade reaktioner, vilka sågs oftare hos äldre patienter.
Rapportering av misstänkta biverkningar
Det finns ingen information om överdosering med mogamulizumab. Vid en överdosering ska patienten, inklusive hans/hennes vitala tecken, noggrant övervakas (under minst 1 timme) och understödjande behandling administreras vid behov.
Crossover-patienter fick upp till 46 månaders behandling med mogamulizumab, vid data cut i december 2016. Behandling med mogamulizumab fortsatte tills sjukdomsprogression eller oacceptabel toxicitet. Studien exkluderade patienter med aktiva autoimmuna sjukdomar, metastaser i centrala nervsystemet och medicinska tillstånd som krävde systemiska kortikosteroider eller andra immunsuppressiva läkemedel, eller en aktiv infektion som krävde behandling, inklusive HIV eller hepatit B eller C. Patienter med ECOG performance status ≥ 2 exkluderades också. Vid baseline hade 38 % sjukdom i stadium IB-II, 10 % i stadium III, 52 % i stadium IV. Denna studie inkluderade patienter oavsett nivå av CCR4-uttryck i hudbiopsi vid baseline.
Det primära resultatmåttet var progressionsfri överlevnad (PFS) baserad på prövarbedömning med hjälp av ett globalt sammansatt svarskriterium som beaktade alla kompartment potentiellt påverkade av sjukdom (hud, blod, lymfkörtlar och inre organ). Svar i hud och blod utvärderades var 4:e vecka. Svar i lymfkörtlar och inre organ utvärderas efter 4 veckor, därefter var 8:e vecka under det första året och därefter var 16:e vecka.
Alla patienter hade en histologiskt bekräftad diagnos på mycosis fungoides (MF), 56,5 % respektive 53,2 %, eller Sézarys syndrom (SS), 43,5 % respektive 46,8 %, i grupperna som fick mogamulizumab respektive vorinostat, och hade fått minst en tidigare systemisk behandling. De vanligaste tidigare systemiska behandlingarna som användes av patienter i Europa var bexaroten (70 %), interferon (59 %), metotrexat (49 %), extrakorporeal fotoferes (ECP) (31 %) och gemcitabin/gemcitabinregimer (28 %).
Median duration av exponering med mogamulizumab var 5,6 månader (intervall: < 1 till 45,3 månader). 56 % av patienterna fick mogamulizumab under minst 6 cykler och 25 % av patienterna fick mogamulizumab under minst 12 cykler.
Patienter hade en medianålder på 64 år vid tidpunkten för screening (intervall: 25 till 101 år), 49,5 % var 65 år eller äldre och 58,1 % var män.
Uttryck av CCR4 bedömdes retrospektivt på hudbiopsier före behandling (formalinfixering och paraffininbäddning) med immunhistokemi. I mogamulizumabarmen var uttrycksnivåer av CCR4 vid baseline tillgängliga hos 75 % av patienterna (N = 140) och CCR4 detekterades på ≥ 1 % av lymfocyterna hos 100 % av patienterna, och hos 96 % (134/140) detekterades CCR4 på ≥ 10 % av hudlymfocyterna.
Av patienterna som randomiserats till vorinostat bytte 136 patienter (73,1 %) till mogamulizumab under studien. Skälet till bytet till mogamulizumab var sjukdomsprogression (109 patienter) och behandlingsintolerans (27 patienter). Antalet infusioner av mogamulizumab som administrerades till crossover-patienter var mellan 1 och 94 (upp till 46 månaders behandling), vid data cut i december 2016.
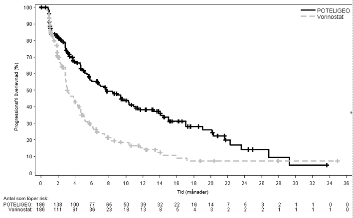
Vid 6, 12, 18 och 24 månader efter påbörjad behandling med randomiserat läkemedel var den andel patienter som var vid liv utan sjukdomsprogression högre för mogamulizumab (55,3 %, 38,3 %, 28,0 %, respektive 14,1 %) jämfört med vorinostat (28,8 %, 15,3 %, 7,2 % respektive 7,2 %). Median PFS för mogamulizumabgruppen var 7,70 månader (95 % KI: 5,67, 10,33) och 3,10 månader (95 % KI: 2,87, 4,07) för vorinostatgruppen med en riskkvot på 0,53 (95 % KI: 0,41, 0,69), p < 0,0001 (2-sidigt, stratifierat log rank-test).
Kaplan-Meier-kurvan för PFS visas i Figur 1.
Figur 1: Diagram av Kaplan-Meier-kurva för progressionsfri överlevnad enligt prövarens bedömning för ITT-populationen
Viktiga sekundära resultatmått var total svarsfrekvens (ORR), ORR efter byte, svarsduration (DOR) och förändringar från baseline på domänerna Symptoms and Functional Scales på formuläret Skindex-29, och på domänerna Physical and Functional Well-being på formuläret Functional Assessment of Cancer Therapy-General (FACT-G).
ORR rapporterades som en sammansättningspoäng från mätningar i varje kompartment och ett svar måste vara påvisat vid två på varandra följande totala sjukdomsbedömningar (minst 8 veckors mellanrum under det första året och 16 veckors mellanrum därefter) för att vara bekräftade. Patienter inkluderades i analysen för ett specifikt kompartment om de hade förekomst av sjukdom i det kompartmentet vid baseline, eller hade någon svarsbedömning för det kompartmentet efter baseline.
Tabell 2 sammanfattar ORR och DOR och svar per kompartment. Studien visade statistiskt signifikanta förbättringar av ORR och svar per kompartment i blod, hud, och lymfkörtlar jämfört med vorinostat. Svar i inre organ kunde inte utvärderas på grund av begränsade effektdata hos patienter med visceralt engagemang; nytta-riskprofilen för mogamulizumab hos patienter med visceralt engagemang är för närvarande inte fastställd på grund av avsaknad av data.
Tabell 2: Svar under randomiserad behandlingsperiod i studie 0761-010 (intent-to-treat)
Anm; Total svarsfrekvens baserad på Global Composite Response-poäng.
a: P-värde erhölls från Cochran-Mantel-Haenszel-test justerat för sjukdomstyp, sjukdomsstadium och region. KI = konfidensintervall; CR = fullständigt svar; PR = partiellt svar
Behandling med mogamulizumab resulterade i 8 bekräftade fullständiga svar (fullständigt försvinnande i alla drabbade kompartment) jämfört med 0 patienter på vorinostat: 4 av dessa
8 patienter randomiserades initialt till mogamulizumab och 4 bytte till mogamulizumab under studien. 41 av de 136 crossover-patienterna (30,1 %) svarade med antingen partiellt eller fullständigt svar med mogamulizumab.
Det finns begränsade effektdata hos patienter med lågt (< 10 %) uttryck av CCR4 i huden. I studie 0761‑010 fanns 10/290 utvärderbara patienter med uttryck av CCR4 < 10 %, av vilka 6 randomiserades till mogamulizumab och 4 till vorinostat som därefter bytte till mogamulizumab. Inga bekräftade svar observerades hos dessa 10 patienter med lågt (< 10 %) uttryck av CCR4. Kompartmentsvar sågs hos 3 av 10 utvärderbara patienter behandlade med mogamulizumab under den randomiserade fasen eller bytesfasen.
Patienter med sjukdom i stadium IB/II som behandlades med mogamulizumab hade bekräftad ORR på 17,6 % jämfört med 8,3 % för vorinostat och svarsfrekvenser på kompartmentnivå (blod, hud, lymfkörtel) som var högre än de för patienter behandlade med vorinostat (Tabell 3). Totalt var mediantiden för progressionsfri överlevnad för patienter med sjukdom i stadium IB/II som behandlades med mogamulizumab 4,7 månader jämfört med 3,9 månader för patienter som behandlades med vorinostat (Tabell 4). Hos patienter med sjukdom i stadium IB/II kan, med tanke på det begränsade antalet patienter med ett svar och omogna data, ingen slutsats om svarets varaktighet dras.
Tid till svar på kompartmentnivå hos patienter i stadium IB/II var cirka 3 månader, vilket överensstämmer med tid till svar för ITT-populationen totalt (cirka 3 månader). Om ett svar på kompartmentnivå eller ett totalt svar inte observeras efter 3 månaders behandling, bör utsättning av behandlingen övervägas.
Tabell 3: Total och svarsfrekvens enligt kompartment vid tidiga sjukdomsstadier
M = mogamulizumab. V = vorinostat
Tabell 4: Progressionsfri överlevnad (PFS) per behandlingsgrupp och sjukdomsstadium (randomiserad behandlingsperiod)
ITT = intent to treat
Pediatrisk population
Europeiska läkemedelsmyndigheten har beviljat undantag från kravet att skicka in studieresultat för mogamulizumab för alla grupper av den pediatriska populationen för kutant T-cellslymfom (CTCL) (MF och SS är subtyper till CTCL) (information om pediatrisk användning finns i avsnitt 4.2).
Farmakokinetiken för mogamulizumab utvärderades på vuxna patienter med T-cellsleukemi/lymfom (ATL) och CTCL över ett dosintervall på 0,01 till 1 mg/kg administrerat som flera doser av mogamulizumab varje vecka eller varannan vecka, och inkluderade den rekommenderade dosen på 1,0 mg/kg och den rekommenderade regimen (dag 1, 8, 15 och 22 för den första 28-dagarscykeln och dag 1 och 15 för efterföljande 28-dagarscykler). Den populationsfarmakokinetiska analysen inkluderade 444 patienter som fick mogamulizumab i sex kliniska studier. Exponeringen för mogamulizumab ökade proportionellt med dosen över dosintervallet 0,1 till 1,0 mg/kg.
Absorption
Mogamulizumab doseras intravenöst och är således biotillgängligt omedelbart och fullständigt.
Distribution
Baserat på en populationsfarmakokinetisk analys var geometriskt medelvärde [% variationskoefficient (CV%)] för den centrala distributionsvolymen (Vc) 3,57 l (20,1 %).
Metabolism
Mogamulizumabs metabola väg har inte beskrivits. Mogamulizumab förväntas brytas ned till små peptider och aminosyror via katabola vägar på samma sätt som endogent IgG.
Eliminering
Baserat på en populationsfarmakokinetisk analys är geometriskt medelvärde (% variationskoefficient [CV%]) för clearance (CL) 12,0 ml/tim (83,7 %) och geometriskt medelvärde för halveringstid (t1/2) 17 dagar (65,5 %).
Linjäritet och ackumulering
Mogamulizumab uppvisar linjär farmakokinetik från dosen i dosintervallet 0,01 mg/kg till 1 mg/kg. Baserat på en populationsfarmakokinetisk analys uppnåddes steady-state-koncentrationer för mogamulizumab efter 12 veckor av upprepad dosering vid administrering av den rekommenderade regimen. Den systemiska ackumuleringen var 1,7-faldig. I en power model-analys var ingen avvikelse från dosproportionalitet tydlig.
Nedsatt njurfunktion
Effekten av nedsatt njurfunktion på clearance av mogamulizumab utvärderades i en populationsfarmakokinetisk analys på patienter med lätt (kreatininclearance [CrCL] mellan 60 och 89; n = 157), måttlig (CrCL mellan 59 och 30; n = 80), eller gravt nedsatt njurfunktion (CrCL under 30 ml/min; n = 2). Inga kliniskt viktiga skillnader i clearance av mogamulizumab sågs mellan patienter med lätt till gravt nedsatt njurfunktion och patienter med normal njurfunktion.
Nedsatt leverfunktion
Effekten av nedsatt leverfunktion på clearance av mogamulizumab utvärderades i en populationsfarmakokinetisk analys på patienter med lätt nedsatt leverfunktion (total bilirubin [TB] under eller lika med den övre normalgränsen [ULN] och ASAT över ULN eller TB under 1 till 1,5 gånger ULN och alla ASAT; n = 80) eller måttlig (TB över 1,5 till 3 gånger ULN och alla ASAT; n = 3) nedsatt leverfunktion. Inga kliniskt viktiga skillnader i clearance av mogamulizumab sågs mellan patienter med lätt till måttligt nedsatt leverfunktion och patienter med normal leverfunktion. Mogamulizumab har inte studerats på patienter med gravt nedsatt leverfunktion (TB över 3 gånger ULN och alla ASAT).
Övriga särskilda populationer
Effekterna av olika kovariat på farmakokinetiken för mogamulizumab bedömdes i populationsfarmakokinetiska analyser. Följande faktorer hade inte klinisk viktig effekt på clearance för mogamulizumab: ålder (intervall: 22 till 101 år), kön, etnicitet (förutom för Japaner, begränsade data är tillgängliga för andra etniska populationer), nedsatt njurfunktion, lätt eller måttligt nedsatt leverfunktion, sjukdomssubtyp (mycosis fungoides [MF] eller Sézarys syndrom [SS]), grad av uttryck av CCR4 eller ECOG-status, även om det ska noteras att patienter med ECOG PS ≥ 2 var exkluderade från de kliniska studierna.
Farmakokinetiskt (Farmakokinetiska)/farmakodynamiskt (farmakodynamiska) förhållande(n)
Effekt
Analys av exponering-svar indikerade att effekt inte korrelerade med mogamulizumabexponering i den pivotala studien. Effekt, mätt som förbättring av PFS baserad på prövarbedömning, var inte associerad med ökad mogamulizumabexponering.
Gängse studier avseende allmäntoxicitet visade inte några särskilda risker för människa. Carcinogenicitets- eller gentoxicitetsstudier har inte utförts med mogamulizumab. Inga specifika studier har utförts för att utvärdera eventuella effekter på fertilitet.
Inga mogamulizumabrelaterade toxiska effekter på kvinnliga och manliga reproduktionsorgan observerades i de allmäntoxikologiska studierna på könsmogna apor upp till 26 veckor.
I en djurstudie av reproduktionseffekter och effekter på utveckling visade administrering av mogamulizumab till dräktiga cynomolgusapor från starten av organogenes till nedkomst inte någon potential för embryofetal dödlighet, teratogenicitet eller tillväxthämning hos fostret. I allmänhet är IgG-molekyler kända för att passera placentabarriären och mogamulizumabkoncentrationer i fosterplasma har detekterats. Farmakologisk aktivitet av mogamulizumab observerades i foster, vilket framgick från en minskning av lymfocyter som uttrycker CCR4.
Farmakoterapeutisk grupp: Antineoplastiska medel och immunmodulerande medel, monoklonala antikroppar
ATC-kod: L01FX09
Verkningsmekanism
Mogamulizumab är en afukosylerad, humaniserad IgG1-kappa-immunoglobulin som selektivt binder till CCR4, en G-proteinkopplad receptor för CC-kemokiner som deltar i transporten av lymfocyter till olika organ inklusive huden, vilket leder till uttömning av målcellerna. CCR4 uttrycks på ytan av vissa cancerceller inklusive T-cellsmaligniteter, såsom MF och SS hos vilka uttrycket av CCR4 är karakteristiskt.
Klinisk effekt och säkerhet
Effekten av mogamulizumab vid behandling av patienter med mycosis fungoides (MF) eller Sézarys syndrom (SS) fastställdes i en öppen multicenterstudie i fas 3 (0761-010) med 372 vuxna patienter som randomiserades i förhållandet 1:1 till behandling med antingen mogamulizumab eller vorinostat. Varje arm omfattade 186 patienter. Infusion av mogamulizumab administrerades med en dos på
1 mg/kg en gång i veckan under den första 28-dagarscykeln (dag 1, 8, 15 och 22) och dag 1 och 15 i efterföljande 28-dagarscykler. Vorinostat administrerades med en startdos på 400 mg oralt, en gång dagligen med början dag 1 i 28-dagarscykler. Patienter i vorinistatarmen med sjukdomsprogression eller oacceptabla toxiciteter tilläts byta (”crossover”) till behandling med mogamulizumab.
Crossover-patienter fick upp till 46 månaders behandling med mogamulizumab, vid data cut i december 2016. Behandling med mogamulizumab fortsatte tills sjukdomsprogression eller oacceptabel toxicitet. Studien exkluderade patienter med aktiva autoimmuna sjukdomar, metastaser i centrala nervsystemet och medicinska tillstånd som krävde systemiska kortikosteroider eller andra immunsuppressiva läkemedel, eller en aktiv infektion som krävde behandling, inklusive HIV eller hepatit B eller C. Patienter med ECOG performance status ≥ 2 exkluderades också. Vid baseline hade 38 % sjukdom i stadium IB-II, 10 % i stadium III, 52 % i stadium IV. Denna studie inkluderade patienter oavsett nivå av CCR4-uttryck i hudbiopsi vid baseline.
Det primära resultatmåttet var progressionsfri överlevnad (PFS) baserad på prövarbedömning med hjälp av ett globalt sammansatt svarskriterium som beaktade alla kompartment potentiellt påverkade av sjukdom (hud, blod, lymfkörtlar och inre organ). Svar i hud och blod utvärderades var 4:e vecka. Svar i lymfkörtlar och inre organ utvärderas efter 4 veckor, därefter var 8:e vecka under det första året och därefter var 16:e vecka.
Alla patienter hade en histologiskt bekräftad diagnos på mycosis fungoides (MF), 56,5 % respektive 53,2 %, eller Sézarys syndrom (SS), 43,5 % respektive 46,8 %, i grupperna som fick mogamulizumab respektive vorinostat, och hade fått minst en tidigare systemisk behandling. De vanligaste tidigare systemiska behandlingarna som användes av patienter i Europa var bexaroten (70 %), interferon (59 %), metotrexat (49 %), extrakorporeal fotoferes (ECP) (31 %) och gemcitabin/gemcitabinregimer (28 %).
Median duration av exponering med mogamulizumab var 5,6 månader (intervall: < 1 till 45,3 månader). 56 % av patienterna fick mogamulizumab under minst 6 cykler och 25 % av patienterna fick mogamulizumab under minst 12 cykler.
Patienter hade en medianålder på 64 år vid tidpunkten för screening (intervall: 25 till 101 år), 49,5 % var 65 år eller äldre och 58,1 % var män.
Uttryck av CCR4 bedömdes retrospektivt på hudbiopsier före behandling (formalinfixering och paraffininbäddning) med immunhistokemi. I mogamulizumabarmen var uttrycksnivåer av CCR4 vid baseline tillgängliga hos 75 % av patienterna (N = 140) och CCR4 detekterades på ≥ 1 % av lymfocyterna hos 100 % av patienterna, och hos 96 % (134/140) detekterades CCR4 på ≥ 10 % av hudlymfocyterna.
Av patienterna som randomiserats till vorinostat bytte 136 patienter (73,1 %) till mogamulizumab under studien. Skälet till bytet till mogamulizumab var sjukdomsprogression (109 patienter) och behandlingsintolerans (27 patienter). Antalet infusioner av mogamulizumab som administrerades till crossover-patienter var mellan 1 och 94 (upp till 46 månaders behandling), vid data cut i december 2016.
Vid 6, 12, 18 och 24 månader efter påbörjad behandling med randomiserat läkemedel var den andel patienter som var vid liv utan sjukdomsprogression högre för mogamulizumab (55,3 %, 38,3 %, 28,0 %, respektive 14,1 %) jämfört med vorinostat (28,8 %, 15,3 %, 7,2 % respektive 7,2 %). Median PFS för mogamulizumabgruppen var 7,70 månader (95 % KI: 5,67, 10,33) och 3,10 månader (95 % KI: 2,87, 4,07) för vorinostatgruppen med en riskkvot på 0,53 (95 % KI: 0,41, 0,69), p < 0,0001 (2-sidigt, stratifierat log rank-test).
Kaplan-Meier-kurvan för PFS visas i Figur 1.
Figur 1: Diagram av Kaplan-Meier-kurva för progressionsfri överlevnad enligt prövarens bedömning för ITT-populationen
Viktiga sekundära resultatmått var total svarsfrekvens (ORR), ORR efter byte, svarsduration (DOR) och förändringar från baseline på domänerna Symptoms and Functional Scales på formuläret Skindex-29, och på domänerna Physical and Functional Well-being på formuläret Functional Assessment of Cancer Therapy-General (FACT-G).
ORR rapporterades som en sammansättningspoäng från mätningar i varje kompartment och ett svar måste vara påvisat vid två på varandra följande totala sjukdomsbedömningar (minst 8 veckors mellanrum under det första året och 16 veckors mellanrum därefter) för att vara bekräftade. Patienter inkluderades i analysen för ett specifikt kompartment om de hade förekomst av sjukdom i det kompartmentet vid baseline, eller hade någon svarsbedömning för det kompartmentet efter baseline.
Tabell 2 sammanfattar ORR och DOR och svar per kompartment. Studien visade statistiskt signifikanta förbättringar av ORR och svar per kompartment i blod, hud, och lymfkörtlar jämfört med vorinostat. Svar i inre organ kunde inte utvärderas på grund av begränsade effektdata hos patienter med visceralt engagemang; nytta-riskprofilen för mogamulizumab hos patienter med visceralt engagemang är för närvarande inte fastställd på grund av avsaknad av data.
Tabell 2: Svar under randomiserad behandlingsperiod i studie 0761-010 (intent-to-treat)
Anm; Total svarsfrekvens baserad på Global Composite Response-poäng.
a: P-värde erhölls från Cochran-Mantel-Haenszel-test justerat för sjukdomstyp, sjukdomsstadium och region. KI = konfidensintervall; CR = fullständigt svar; PR = partiellt svar
Behandling med mogamulizumab resulterade i 8 bekräftade fullständiga svar (fullständigt försvinnande i alla drabbade kompartment) jämfört med 0 patienter på vorinostat: 4 av dessa
8 patienter randomiserades initialt till mogamulizumab och 4 bytte till mogamulizumab under studien. 41 av de 136 crossover-patienterna (30,1 %) svarade med antingen partiellt eller fullständigt svar med mogamulizumab.
Det finns begränsade effektdata hos patienter med lågt (< 10 %) uttryck av CCR4 i huden. I studie 0761‑010 fanns 10/290 utvärderbara patienter med uttryck av CCR4 < 10 %, av vilka 6 randomiserades till mogamulizumab och 4 till vorinostat som därefter bytte till mogamulizumab. Inga bekräftade svar observerades hos dessa 10 patienter med lågt (< 10 %) uttryck av CCR4. Kompartmentsvar sågs hos 3 av 10 utvärderbara patienter behandlade med mogamulizumab under den randomiserade fasen eller bytesfasen.
Patienter med sjukdom i stadium IB/II som behandlades med mogamulizumab hade bekräftad ORR på 17,6 % jämfört med 8,3 % för vorinostat och svarsfrekvenser på kompartmentnivå (blod, hud, lymfkörtel) som var högre än de för patienter behandlade med vorinostat (Tabell 3). Totalt var mediantiden för progressionsfri överlevnad för patienter med sjukdom i stadium IB/II som behandlades med mogamulizumab 4,7 månader jämfört med 3,9 månader för patienter som behandlades med vorinostat (Tabell 4). Hos patienter med sjukdom i stadium IB/II kan, med tanke på det begränsade antalet patienter med ett svar och omogna data, ingen slutsats om svarets varaktighet dras.
Tid till svar på kompartmentnivå hos patienter i stadium IB/II var cirka 3 månader, vilket överensstämmer med tid till svar för ITT-populationen totalt (cirka 3 månader). Om ett svar på kompartmentnivå eller ett totalt svar inte observeras efter 3 månaders behandling, bör utsättning av behandlingen övervägas.
Tabell 3: Total och svarsfrekvens enligt kompartment vid tidiga sjukdomsstadier
M = mogamulizumab. V = vorinostat
Tabell 4: Progressionsfri överlevnad (PFS) per behandlingsgrupp och sjukdomsstadium (randomiserad behandlingsperiod)
ITT = intent to treat
Pediatrisk population
Europeiska läkemedelsmyndigheten har beviljat undantag från kravet att skicka in studieresultat för mogamulizumab för alla grupper av den pediatriska populationen för kutant T-cellslymfom (CTCL) (MF och SS är subtyper till CTCL) (information om pediatrisk användning finns i avsnitt 4.2).
Farmakokinetiken för mogamulizumab utvärderades på vuxna patienter med T-cellsleukemi/lymfom (ATL) och CTCL över ett dosintervall på 0,01 till 1 mg/kg administrerat som flera doser av mogamulizumab varje vecka eller varannan vecka, och inkluderade den rekommenderade dosen på 1,0 mg/kg och den rekommenderade regimen (dag 1, 8, 15 och 22 för den första 28-dagarscykeln och dag 1 och 15 för efterföljande 28-dagarscykler). Den populationsfarmakokinetiska analysen inkluderade 444 patienter som fick mogamulizumab i sex kliniska studier. Exponeringen för mogamulizumab ökade proportionellt med dosen över dosintervallet 0,1 till 1,0 mg/kg.
Absorption
Mogamulizumab doseras intravenöst och är således biotillgängligt omedelbart och fullständigt.
Distribution
Baserat på en populationsfarmakokinetisk analys var geometriskt medelvärde [% variationskoefficient (CV%)] för den centrala distributionsvolymen (Vc) 3,57 l (20,1 %).
Metabolism
Mogamulizumabs metabola väg har inte beskrivits. Mogamulizumab förväntas brytas ned till små peptider och aminosyror via katabola vägar på samma sätt som endogent IgG.
Eliminering
Baserat på en populationsfarmakokinetisk analys är geometriskt medelvärde (% variationskoefficient [CV%]) för clearance (CL) 12,0 ml/tim (83,7 %) och geometriskt medelvärde för halveringstid (t1/2) 17 dagar (65,5 %).
Linjäritet och ackumulering
Mogamulizumab uppvisar linjär farmakokinetik från dosen i dosintervallet 0,01 mg/kg till 1 mg/kg. Baserat på en populationsfarmakokinetisk analys uppnåddes steady-state-koncentrationer för mogamulizumab efter 12 veckor av upprepad dosering vid administrering av den rekommenderade regimen. Den systemiska ackumuleringen var 1,7-faldig. I en power model-analys var ingen avvikelse från dosproportionalitet tydlig.
Nedsatt njurfunktion
Effekten av nedsatt njurfunktion på clearance av mogamulizumab utvärderades i en populationsfarmakokinetisk analys på patienter med lätt (kreatininclearance [CrCL] mellan 60 och 89; n = 157), måttlig (CrCL mellan 59 och 30; n = 80), eller gravt nedsatt njurfunktion (CrCL under 30 ml/min; n = 2). Inga kliniskt viktiga skillnader i clearance av mogamulizumab sågs mellan patienter med lätt till gravt nedsatt njurfunktion och patienter med normal njurfunktion.
Nedsatt leverfunktion
Effekten av nedsatt leverfunktion på clearance av mogamulizumab utvärderades i en populationsfarmakokinetisk analys på patienter med lätt nedsatt leverfunktion (total bilirubin [TB] under eller lika med den övre normalgränsen [ULN] och ASAT över ULN eller TB under 1 till 1,5 gånger ULN och alla ASAT; n = 80) eller måttlig (TB över 1,5 till 3 gånger ULN och alla ASAT; n = 3) nedsatt leverfunktion. Inga kliniskt viktiga skillnader i clearance av mogamulizumab sågs mellan patienter med lätt till måttligt nedsatt leverfunktion och patienter med normal leverfunktion. Mogamulizumab har inte studerats på patienter med gravt nedsatt leverfunktion (TB över 3 gånger ULN och alla ASAT).
Övriga särskilda populationer
Effekterna av olika kovariat på farmakokinetiken för mogamulizumab bedömdes i populationsfarmakokinetiska analyser. Följande faktorer hade inte klinisk viktig effekt på clearance för mogamulizumab: ålder (intervall: 22 till 101 år), kön, etnicitet (förutom för Japaner, begränsade data är tillgängliga för andra etniska populationer), nedsatt njurfunktion, lätt eller måttligt nedsatt leverfunktion, sjukdomssubtyp (mycosis fungoides [MF] eller Sézarys syndrom [SS]), grad av uttryck av CCR4 eller ECOG-status, även om det ska noteras att patienter med ECOG PS ≥ 2 var exkluderade från de kliniska studierna.
Farmakokinetiskt (Farmakokinetiska)/farmakodynamiskt (farmakodynamiska) förhållande(n)
Effekt
Analys av exponering-svar indikerade att effekt inte korrelerade med mogamulizumabexponering i den pivotala studien. Effekt, mätt som förbättring av PFS baserad på prövarbedömning, var inte associerad med ökad mogamulizumabexponering.
Gängse studier avseende allmäntoxicitet visade inte några särskilda risker för människa. Carcinogenicitets- eller gentoxicitetsstudier har inte utförts med mogamulizumab. Inga specifika studier har utförts för att utvärdera eventuella effekter på fertilitet.
Inga mogamulizumabrelaterade toxiska effekter på kvinnliga och manliga reproduktionsorgan observerades i de allmäntoxikologiska studierna på könsmogna apor upp till 26 veckor.
I en djurstudie av reproduktionseffekter och effekter på utveckling visade administrering av mogamulizumab till dräktiga cynomolgusapor från starten av organogenes till nedkomst inte någon potential för embryofetal dödlighet, teratogenicitet eller tillväxthämning hos fostret. I allmänhet är IgG-molekyler kända för att passera placentabarriären och mogamulizumabkoncentrationer i fosterplasma har detekterats. Farmakologisk aktivitet av mogamulizumab observerades i foster, vilket framgick från en minskning av lymfocyter som uttrycker CCR4.
Efter beredning av infusion
Kemisk och fysikalisk stabilitet under användning har påvisats i 24 timmar vid rumstemperatur (vid 25 °C) och i rumsbelysning.
Denna tidsgräns inkluderar förvaring av infusionslösning i infusionspåsen under infusionens varaktighet. Ur mikrobiologisk synpunkt ska produkten användas omedelbart.
Om den inte används omedelbart är förvaringstider och förvaringsförhållanden före användning användarens ansvar och får inte överstiga totalt 24 timmar vid 2–8 °C under förutsättning att spädning har ägt rum under kontrollerade och validerade aseptiska förhållanden.
Förvaras i kylskåp (2 °C-8 °C). Får ej frysas.
Förvara injektionsflaskan i ytterkartongen. Ljuskänsligt.
Förvaringsanvisningar för läkemedlet efter spädning finns i avsnitt 6.3.
5 ml lösning i en 10 ml injektionsflaska av glas (typ I-glas) med en gummipropp, en aluminiumförsegling och ett snäpplock av polypropylen.
Förpackning med 1 injektionsflaska.
Beredning
Inspektera läkemedlet visuellt med avseende på partiklar och missfärgning före administrering. POTELIGEO är en klar till lätt opaliserande, färglös lösning. Kassera injektionsflaskan om grumlighet, missfärgning eller partiklar observeras.
Beräkna den volym av POTELIGEO som krävs för att bereda en infusion av dosen 1 mg/kg baserat på patientens vikt (se avsnitt 4.2). Dra aseptiskt upp den volym som krävs av POTELIGEO i sprutan och överför den till en infusionspåse som innehåller natriumklorid 9 mg/ml (0,9 %) injektionsvätska. Blanda spädd lösning genom att vända försiktigt. Skaka inte. Den slutliga koncentrationen av den spädda lösningen ska vara mellan 0,1 mg/ml och 3,0 mg/ml.
Varje injektionsflaska är endast avsedd för engångsbruk. Ej använt läkemedel i injektionsflaskan ska kasseras enligt gällande anvisningar.
Administrering
Den spädda lösningen är kompatibel med infusionspåsar av polyvinylklorid (PVC) eller polyolefin (PO).
POTELIGEO ska inte blandas med, eller administreras som en infusion samtidigt med andra läkemedel.
POTELIGEO är endast avsett för intravenös användning och ska inte administreras subkutant, intramuskulärt, som en bolusdos eller genom snabb intravenös administrering.
Administrera infusionslösningen under minst 60 minuter via en intravenös slang med ett sterilt, lågproteinbindande 0,22 mikrometers (eller motsvarande) in-line-filter.
Citronsyramonohydrat Glycin
Polysorbat 80
Natriumhydroxid (för pH-justering) Saltsyra (för pH-justering)
Vatten för injektionsvätskor
Då blandbarhetsstudier saknas får detta läkemedel inte blandas med andra läkemedel. Mogamulizumab ska inte infunderas samtidigt med andra läkemedel i samma intravenösa infart.
Oöppnad injektionsflaska
3 år
Efter öppnande
POTELIGEO innehåller inte konserveringsmedel. Efter öppnandet ska läkemedlet spädas och infunderas omedelbart (se avsnitt 6.6).
Efter beredning av infusion
Kemisk och fysikalisk stabilitet under användning har påvisats i 24 timmar vid rumstemperatur (vid 25 °C) och i rumsbelysning.
Denna tidsgräns inkluderar förvaring av infusionslösning i infusionspåsen under infusionens varaktighet. Ur mikrobiologisk synpunkt ska produkten användas omedelbart.
Om den inte används omedelbart är förvaringstider och förvaringsförhållanden före användning användarens ansvar och får inte överstiga totalt 24 timmar vid 2–8 °C under förutsättning att spädning har ägt rum under kontrollerade och validerade aseptiska förhållanden.
Förvaras i kylskåp (2 °C-8 °C). Får ej frysas.
Förvara injektionsflaskan i ytterkartongen. Ljuskänsligt.
Förvaringsanvisningar för läkemedlet efter spädning finns i avsnitt 6.3.
5 ml lösning i en 10 ml injektionsflaska av glas (typ I-glas) med en gummipropp, en aluminiumförsegling och ett snäpplock av polypropylen.
Förpackning med 1 injektionsflaska.
Beredning
Inspektera läkemedlet visuellt med avseende på partiklar och missfärgning före administrering. POTELIGEO är en klar till lätt opaliserande, färglös lösning. Kassera injektionsflaskan om grumlighet, missfärgning eller partiklar observeras.
Beräkna den volym av POTELIGEO som krävs för att bereda en infusion av dosen 1 mg/kg baserat på patientens vikt (se avsnitt 4.2). Dra aseptiskt upp den volym som krävs av POTELIGEO i sprutan och överför den till en infusionspåse som innehåller natriumklorid 9 mg/ml (0,9 %) injektionsvätska. Blanda spädd lösning genom att vända försiktigt. Skaka inte. Den slutliga koncentrationen av den spädda lösningen ska vara mellan 0,1 mg/ml och 3,0 mg/ml.
Varje injektionsflaska är endast avsedd för engångsbruk. Ej använt läkemedel i injektionsflaskan ska kasseras enligt gällande anvisningar.
Administrering
Den spädda lösningen är kompatibel med infusionspåsar av polyvinylklorid (PVC) eller polyolefin (PO).
POTELIGEO ska inte blandas med, eller administreras som en infusion samtidigt med andra läkemedel.
POTELIGEO är endast avsett för intravenös användning och ska inte administreras subkutant, intramuskulärt, som en bolusdos eller genom snabb intravenös administrering.
Administrera infusionslösningen under minst 60 minuter via en intravenös slang med ett sterilt, lågproteinbindande 0,22 mikrometers (eller motsvarande) in-line-filter.
Produktresumén är företagets information om läkemedlet riktat till förskrivare och personal inom sjukvård och apotek. Dokumentet är godkända av Läkemedelsverket eller den europeiska läkemedelsmyndigheten EMA i samband med att läkemedlet godkänns för marknadsföring.