Xolair 75 mg pulver och vätska till injektionsvätska, lösning
En injektionsflaska innehåller 75 mg omalizumab*.
Efter beredning innehåller en injektionsflaska 125 mg/ml omalizumab (75 mg i 0,6 ml).
*Omalizumab är en humaniserad, monoklonal antikropp, tillverkad i en CHO (Chinese hamster ovary) -cellinje genom rekombinant DNA-teknik.
För fullständig förteckning över hjälpämnen, se avsnitt 6.1.
Pulver och vätska till injektionsvätska, lösning
Pulver: vitt till benvitt frystorkat pulver
Spädningsvätska: klar och ofärgad lösning
Novartis Europharm Limited
Vista Building
Elm Park, Merrion Road
Dublin 4
Irland
EU/1/05/319/001
Första godkännandet: 25 oktober 2005
Förnyat godkännande: 22 juni 2015
2025-05-21 Ytterligare information om detta läkemedel finns på Europeiska läkemedelsmyndighetens webbplats http://www.ema.europa.eu
Produktresumén är företagets information om läkemedlet riktat till förskrivare och personal inom sjukvård och apotek. Dokumentet är godkända av Läkemedelsverket eller den europeiska läkemedelsmyndigheten EMA i samband med att läkemedlet godkänns för marknadsföring.
Kronisk rinosinuit med näspolyper
Xolair är indicerat som tilläggsbehandling tillsammans med intranasala kortikosteroider hos vuxna (från 18 års ålder) med svår kronisk rinosinuit med näspolyper och för vilka behandling med intranasala kortikosteroider inte leder till tillfredsställande sjukdomskontroll.
Behandling skall initieras av läkare med erfarenhet av diagnostisering och behandling av svår astma eller kronisk rinosinuit med näspolyper.
Dosering
Dosering av allergisk astma och kronisk rinosinuit med näspolyper följer samma doseringsprinciper. Lämplig dos och doseringsintervall av omalizumab vid dessa sjukdomar bestäms utifrån utgångsvärdet för IgE (IE/ml), uppmätt före behandlingsstart, samt av kroppsvikten (kg). Innan den första dosen ges skall patienten få sitt IgE-värde uppmätt med någon kommersiellt tillgänglig analysmetod för total-IgE i serum för dosbestämning. Baserat på dessa resultat kan 75 till 600 mg omalizumab behöva ges i form av 1‑4 injektioner vid varje administreringstillfälle.
Patienter med allergisk astma som hade ett utgångsvärde för IgE under 76 IE/ml hade lägre sannolikhet att ha nytta av behandlingen (se avsnitt 5.1). Förskrivande läkare skall före behandling säkerställa att vuxna och ungdomar med IgE-värde under 76 IE/ml och barn (från 6 till <12 års ålder) med IgE-värde under 200 IE/ml visar en tydlig in vitro-reaktion (RAST eller motsvarande) mot ett perenn allergen.
Se tabell 1 för omräkning och tabell 2 och 3 för dosering.
Patienter vars utgångsvärde för IgE eller kroppsvikt i kilogram är utanför gränserna i doseringstabellen skall inte behandlas med omalizumab.
Den högsta rekommenderade dosen är 600 mg omalizumab varannan vecka.
Tabell 1 Omräkning från dos till antal injektionsflaskor, antal injektioner och total injektionsvolym för varje administreringstillfälle
Tabell 2 ADMINISTRERING VAR FJÄRDE VECKA. Dosering av omalizumab (milligram per dos) som ges genom subkutan injektion var fjärde vecka
*Kroppsvikt under 30 kg studerades inte i de pivotala studierna på kronisk rinosinuit med näspolyper.
Tabell 3 ADMINISTRERING VARANNAN VECKA. Dosering av omalizumab (milligram per dos) som ges genom subkutan injektion varannan vecka
*Kroppsvikt under 30 kg studerades inte i de pivotala studierna på kronisk rinosinuit med näspolyper.
Behandlingslängd, monitorering och dosjustering
Allergisk astma
Xolair är avsett för långtidsbehandling. Kliniska prövningar har visat att det tar minst 12‑16 veckor innan behandlingen uppvisar effekt. Efter 16 veckors behandling med Xolair skall patienterna bedömas av sin läkare avseende behandlingseffekt innan ytterligare injektioner ges. Ett beslut att fortsätta med behandling skall baseras på om en markant förbättring av den totala astmakontrollen kan ses. Detta gäller både efter 16 veckors behandling samt vid efterföljande besök (se avsnitt 5.1, Prövarens totalbedömning av behandlingseffekten).
Kronisk rinosinuit med näspolyper
I kliniska studier på kronisk rinosinuit med näspolyper observerades förändringar efter 4 veckor i ”nasal polyp score” (NPS) samt ”nasal congestion score” (NCS). Behovet av kontinuerlig behandling ska utvärderas regelbundet baserat på allvarlighetsgraden av patientens sjukdom samt nivå av symtomkontroll.
Allergisk astma och kronisk rinosinuit med näspolyper
Utsättning av behandling leder i allmänhet till återgång till förhöjda nivåer av fritt IgE och tillhörande symtom. De totala IgE-nivåerna är förhöjda under behandlingen och är fortsatt förhöjda i upp till ett år efter avslutad behandling. Därför kan inte förnyade analyser av IgE-värdena under behandling användas som vägledning för dosbestämning. Dosbestämning efter behandlingsavbrott under kortare tid än ett år skall baseras på de IgE-nivåer i serum som uppmättes vid den initiala dosbestämningen. Förnyad analys av totalnivåerna av serum-IgE kan utföras för dosbestämning i de fall behandlingen varit avbruten i ett år eller längre.
Dosen skall justeras vid betydande förändringar av kroppsvikten (se tabell 2 och 3).
Speciella patientpopulationer
Äldre (över 65 år)
Tillgängliga data avseende behandling av personer över 65 års ålder med omalizumab är begränsade, men det finns inget som talar för att äldre patienter behöver annan dos än yngre vuxna patienter.
Nedsatt njur- eller leverfunktion
Inga studier har genomförts för att studera farmakokinetiken av omalizumab hos patienter med nedsatt njur- eller leverfunktion. Eftersom clearance av omalizumab vid kliniska doser domineras av det retikuloendoteliala systemet (RES) torde det inte påverkas av nedsatt njur- eller leversjukdom. Trots att ingen dosjustering rekommenderas för dessa patienter skall omalizumab administreras med försiktighet (se avsnitt 4.4).
Pediatrisk population
Vid allergisk astma har säkerhet och effekt för omalizumab hos patienter under 6 år inte fastställts. Inga data finns tillgängliga.
Vid kronisk rinosinuit med näspolyper har säkerhet och effekt för omalizumab hos patienter under 18 år inte fastställts. Inga data finns tillgängliga.
Administreringssätt
Enbart för subkutan administrering. Omalizumab får inte administreras intravenöst eller intramuskulärt.
Doser om mer än 150 mg (tabell 1) ska delas upp på två eller fler injektionsställen.
Xolair pulver och vätska till injektionsvätska, lösning, är endast avsedd att administreras av vårdpersonal.
Anvisningar om beredning av läkemedlet före administrering finns i avsnitt 6.6 och i avsnittet Information till vårdpersonal i bipacksedeln som medföljer förpackningen.
Överkänslighet mot den aktiva substansen eller mot något hjälpämne som anges i avsnitt 6.1.
Spårbarhet
För att underlätta spårbarhet av biologiska läkemedel ska läkemedlets namn och tillverkningssatsnummer dokumenteras.
Allmänt
Omalizumab är inte indicerat för behandling av akuta astmaexacerbationer, akut bronkospasm eller status asthmaticus.
Omalizumab har inte studerats hos patienter med hyperimmunoglobulin E-syndrom eller allergisk bronkopulmonell aspergillos eller vid förebyggande behandling av anafylaktiska reaktioner, inkluderande sådana som framkallats av födoämnesallergi, atopisk dermatit eller allergisk rinit. Omalizumab är inte indicerat vid dessa tillstånd.
Omalizumab har inte studerats hos patienter med autoimmuna sjukdomar, immunkomplexmedierade tillstånd eller med redan existerande nedsatt njur- eller leverfunktion (se avsnitt 4.2). Försiktighet skall iakttas när omalizumab ges till dessa patientgrupper.
Plötsligt avbrytande av behandling med systemiska eller inhalerade steroider efter insättande av omalizumab vid allergisk astma eller kronisk rinosinuit med näspolyper rekommenderas inte. Sänkning av steroiddosen skall göras under överinseende av läkare och kan behöva göras successivt.
Immunsystemet
Allergiska typ I-reaktioner
Lokala eller systemiska allergiska typ I-reaktioner, inkluderande anafylaxi och anafylaktisk chock, kan uppträda vid behandling med omalizumab även efter en lång tids användning. De flesta av dessa reaktioner inträffade emellertid inom 2 timmar efter den första eller de efterföljande injektionerna av omalizumab, men vissa inträffade 2 timmar, och till och med 24 timmar, efter injektion. Majoriteten av anafylaktiska reaktioner inträffade i samband med de första 3 doserna av omalizumab. Anamnes på anafylaxi, som inte relateras till omalizumab, kan vara en riskfaktor för anfylaxi i samband med omalizumab-behandling. Därför ska läkemedel för behandling av anafylaktiska reaktioner alltid finnas tillgängliga för omedelbar användning efter administrering av omalizumab. Om en anafylaktisk eller annan allvarlig allergisk reaktion inträffar, måste administrering av omalizumab omedelbart avbrytas och lämplig behandling sättas in. Patienterna skall informeras om att sådana reaktioner kan uppträda och att man då omedelbart skall söka medicinsk vård.
Ett litet antal patienter har i kliniska studier uppvisat antikroppar mot omalizumab (se avsnitt 4.8). Den kliniska betydelsen av dessa antikroppar är inte känd.
Serumsjuka
Serumsjuka och serumsjukeliknande reaktioner, vilka är sena allergiska typ III-reaktioner, har setts hos patienter som behandlats med humaniserade monoklonala antikroppar inklusive omalizumab. Den föreslagna patofysiologiska mekanismen inkluderar immunkomplexbildning och depositon på grund av antikroppsbildning mot omalizumab. Reaktionen uppstår 1‑5 dagar efter den första eller de efterföljande injektionerna och kan inträffa även efter en längre tids användning. Symtom som tyder på serumsjuka inkluderar artrit/artralgi, hudutslag (urtikaria eller annan typ), feber och lymfadenopati. Antihistaminer och kortikosteroider kan användas för att förebygga eller behandla detta tillstånd och patienter ska uppmanas att rapportera alla misstänkta symtom.
Churg-Strauss syndrom och hypereosinofilt syndrom
Patienter med svår astma kan i sällsynta fall uppvisa systemiskt hypereosinofilt syndrom eller allergisk eosinofil granulomatös vaskulit (Churg-Strauss syndrom), vilka båda vanligtvis behandlas med systemiska kortikosteroider.
I sällsynta fall kan patienter som behandlas med antiastmatiska läkemedel, inklusive omalizumab, uppvisa eller utveckla systemisk eosinofili och vaskulit. Dessa händelser är ofta kopplade till minskning av oral kortikosteroidterapi.
Hos dessa patienter ska läkare vara uppmärksamma på uppkomst av uttalad eosinofili, utslag orsakade av vaskulit, försämrade pulmonella symtom, bihåleförändringar, kardiella komplikationer och/eller neuropati.
Vid alla svåra fall av immunsystempåverkan som nämnts ovan ska avbrytande av behandlingen med omalizumab övervägas.
Parasitinfektioner (helmint)
IgE kan involveras i den immunologiska reaktionen för vissa helmintinfektioner. Hos patienter med kronisk hög risk för helmintinfektion visade en placebokontrollerad studie en lätt ökning av antalet infektioner vid behandling med omalizumab, trots att förloppet, svårighetsgraden och svaret på infektionsbehandlingen var oförändrade. Antalet helmintinfektioner i det totala kliniska programmet, som inte var avsett för att upptäcka sådana infektioner, var mindre än 1 på 1 000 patienter. Försiktighet är emellertid berättigad hos patienter med hög risk att få helmintinfektion, i synnerhet vid resa i områden där helmintinfektion är en endemisk sjukdom. Om patienterna inte svarar på den rekommenderade antihelmintbehandlingen skall utsättning av omalizumab övervägas.
Eftersom IgE kan vara inblandad i den immunologiska reaktionen för vissa helmintinfektioner, kan omalizumab möjlighen indirekt minska effekten av läkemedel för behandling av helmint- eller andra parasitinfektioner (se avsnitt 4.4).
Cytokrom P450-enzymer, effluxpumpar och proteinbindningsmekanismer är inte inblandade i clearance av omalizumab, och därmed finns liten potential för interaktioner. Läkemedels- eller vaccininteraktionsstudier har inte utförts med omalizumab. Det finns ingen farmakologisk anledning att förvänta sig att läkemedel som förskrivs ofta för behandling av astma eller kronisk rinosinuit med näspolyper skulle interagera med omalizumab.
Allergisk astma
Omalizumab har vanligtvis använts tillsammans med inhalations- och orala kortikosteroider, kort- och långverkande inhalations-beta-agonister, leukotrienmodifierare, teofylliner och orala antihistaminer i kliniska studier. Det fanns inga indikationer på att säkerheten hos omalizumab förändrades vid användning tillsammans med dessa andra vanligen använda läkemedlen mot astma. Det finns begränsade data på samtidig användning av omalizumab och specifik immunterapi (hyposensibiliseringsterapi). I en klinisk studie där omalizumab gavs tillsammans med immunterapi sågs ingen skillnad i säkerhet och effekt för omalizumab i kombination med specifik immunterapi, jämfört med omalizumab givet ensamt.
Kronisk rinosinuit med näspolyper
I kliniska studier har omalizumab enligt protokoll använts tillsammans med mometason nässpray. Andra läkemedel som vanligtvis användes samtidigt inkluderade andra intranasala kortikosteroider, bronkodilatorer, antihistaminer, leukotrienreceptorantagonister, adrenergika/sympatomimetika samt nasal lokalanestetika. Det fanns inga indikationer på att säkerheten hos omalizumab förändrades vid samtidig användning av dessa vanligtvis använda läkemedel.
Graviditet
En måttlig mängd data från gravida kvinnor (mellan 300-1 000 graviditeter) baserade på graviditetsregister och spontana rapporter efter marknadsgodkännande, tyder inte på någon missbildnings- eller foster/neonatal toxicitet. En prospektiv registerstudie (EXPECT) på 250 gravida kvinnor med astma som behandlats med omalizumab visade att prevalensen för allvarliga medfödda anomaliteter var jämförbar (8,1% mot 8,9%) mellan patienter behandlade med Xolair och patienter med motsvarande sjukdomstillstånd (måttlig till allvarlig astma). Tolkningen av data kan vara påverkad av metodologiska begränsningar i studien, inkluderande ett litet antal patienter och en icke-randomiserad studiedesign.
Omalizumab passerar placentabarriären, men djurstudier tyder varken på direkta eller indirekta reproduktionstoxikologiska effekter (se avsnitt 5.3).
Omalizumab har förknippats med en åldersberoende minskning av antalet trombocyter hos primater, där unga djur är mer känsliga än äldre djur (se avsnitt 5.3).
Omalizumab kan övervägas under graviditet om det är kliniskt nödvändigt.
Amning
Immunglobulin G (IgG) förekommer i bröstmjölk och det är därför förväntat att omalizumab förekommer i bröstmjölk. Tillgängliga data har visat att omalizumab utsöndras i bröstmjölken hos icke-humana primater (se avsnitt 5.3).
EXPECT-studien med 154 spädbarn som exponerats för omalizumab under graviditet och genom amning indikerade inte biverkningar hos de spädbarn som ammats. Tolkningen av data kan vara påverkad av metodologiska begränsningar i studien, inkluderande ett litet antal patienter och en icke-randomiserad studiedesign.
Immunglobulin G-proteiner genomgår intestinal proteolys och har låg biotillgänglighet när de ges oralt. Inga effekter förväntas på ammande nyfödda/spädbarn. Följaktligen kan användning av omalizumab under amning övervägas om det är kliniskt nödvändigt.
Fertilitet
Det finns inga humandata för omalizumab avseende fertilitet. I särskilt utformade icke kliniska fertilitetsstudier hos icke-humana primater, innefattande parningsstudier, sågs ingen nedsatt fertilitet hos honor eller hanar efter upprepad dosering av omalizumab vid doser upp till 75 mg/kg. Inte heller observerades genotoxiska effekter i en separat icke-klinisk genotoxicitetsstudie.
Omalizumab har ingen eller försumbar effekt på förmågan att framföra fordon och använda maskiner.
Allergisk astma och kronisk rinosinuit med näspolyper
Sammanfattning av säkerhetsprofilen
I kliniska prövningar på allergisk astma hos vuxna och ungdomar från 12 års ålder var de vanligast rapporterade biverkningarna huvudvärk, reaktioner på injektionsstället, inklusive smärta på injektionsstället, svullnad, erytem och pruritus. I kliniska prövningar på barn från 6 till <12 år var de vanligast rapporterade biverkningarna huvudvärk, feber och smärta i övre buken. De flesta reaktionerna var lätta eller måttliga i svårighetsgrad. I kliniska studier på patienter ≥18 års ålder vid kronisk rinosinuit med näspolyper var de vanligast rapporterade biverkningarna huvudvärk, yrsel, artralgi, smärta i övre buken och reaktioner på injektionsstället.
Tabell över biverkningar
Tabell 4 tar upp de biverkningar som rapporterats vid kliniska prövningar i den totala säkerhetspopulationen vid allergisk astma och kronisk rinosinuit med näspolyper som behandlats med Xolair per organsystemklass enligt MedDRA och frekvens. Biverkningarna presenteras inom varje frekvensområde efter fallande allvarlighetsgrad. Frekvenskategorierna definieras enligt följande: mycket vanliga (≥1/10), vanliga (≥1/100, <1/10), mindre vanliga (≥1/1 000, <1/100), sällsynta (≥1/10 000,<1/1 000) och mycket sällsynta (<1/10 000). Händelser rapporterade efter godkännande för försäljning anges med frekvensen ingen känd frekvens (kan inte beräknas från tillgängliga data).
Tabell 4 Biverkningar vid allergisk astma och kronisk rinosinuit med näspolyper
Beskrivning av utvalda biverkningar
Immunsystemet
För ytterligare information, se avsnitt 4.4.
Anafylaxi
Anafylaktiska reaktioner var sällsynta i kliniska studier. Vid en kumulativ sökning i säkerhetsdatabasen fanns emellertid totalt 898 fall av anafylaxi rapporterade efter läkemedlets godkännande för försäljning. Baserat på en beräknad exponering om 566 923 patientår motsvarar detta en rapporteringsfrekvens på cirka 0,20 %.
Arteriella tromboemboliska händelser
I kontrollerade kliniska studier och vid en interimanalys av en observationsstudie sågs en numerisk obalans av antalet ATE. Definitionen på det sammansatta effektmåttet av ATE innefattade stroke, transitorisk ischemisk attack, hjärtinfarkt, instabil angina och kardiovaskulär död (inklusive dödsfall av okänd anledning). I den slutliga analysen av observationsstudien var andelen ATE per 1 000 patientår 7,52 (115/15 286 patientår) för Xolair-behandlade patienter och 5,12 (51/9 963 patientår) för patienter i kontrollgruppen. I en multivariantanalys som tog hänsyn till kardiovaskulära riskfaktorer vid baseline, var hazardkvoten 1,32 (95 % konfidensintervall 0,91‑1,91). I en separat poolad analys av kliniska prövningar, vilken inkluderar alla randomiserade dubbelblinda, placebo-kontrollerade kliniska studier som varat i 8 veckor eller mer, var andelen ATE per 1 000 patientår 2,69 (5/1 856 patientår) för Xolair-behandlade patienter och 2,38 (4/1 680 patientår) för placebobehandlade patienter (frekvenskvot 1,13; 95 % konfidensintervall 0,24‑5,71).
Trombocyter
I kliniska studier var det få patienter som hade trombocytvärden under den nedre gränsen av normalvärdet. Enstaka fall av idiopatisk trombocytopeni, inklusive allvarliga fall, har rapporterats efter godkännande för försäljning.
Parasitinfektioner
Hos patienter med kronisk hög risk för helmintinfektion visades i en placebokontrollerad studie en lätt numerär ökning av antalet infektioner med omalizumab, som inte var statistiskt signifikant. Förloppet, svårighetsgraden och reaktionen på infektionsbehandlingen var oförändrade (se avsnitt 4.4).
Systemisk lupus erythematosus
Fall av systemisk lupus erythematosus (SLE) har rapporterats i kliniska prövningar och efter försäljningsgodkännande hos patienter med måttlig till svår astma och kronisk spontan urtikaria. Patogenesen av SLE är inte känd.
Högsta tolererbara dos av Xolair har inte fastställts. Enstaka intravenösa doser på upp till 4 000 mg har givits till patienter utan tecken på dosbegränsande toxicitet. Den högsta kumulativa dosen som givits till patient var 44 000 mg under en 20-veckorsperiod, och den dosen ledde inte till några akuta biverkningar.
Vid misstänkt överdos ska patienten övervakas avseende avvikande tecken och symtom och relevant medicinsk behandling sättas in.
Allergisk astma
Xolair är avsett för vuxna, ungdomar och barn (6 till <12 år).
Behandling med Xolair är endast avsedd för patienter med tydlig IgE (immunglobulin E)-medierad astma (se avsnitt 4.2).
Vuxna och ungdomar (från 12 års ålder)
Xolair är indicerat som tilläggsbehandling för bättre kontroll av astma hos patienter med svår, allergisk astma, som visat positivt hudtest eller in vitro-reaktion på perenn luftvägsallergen och som har nedsatt lungfunktion (FEV1 <80 %) samt frekventa symtom dagtid eller nattliga uppvakningar och som upplevt flera svåra dokumenterade astmaexacerbationer, trots en daglig hög dos av inhalationssteroider plus en långverkande inhalations-beta2-agonist.
Barn (från 6 till <12 års ålder)
Xolair är indicerat som tilläggsbehandling för bättre kontroll av astma hos patienter med svår, allergisk astma, som visat positivt hudtest eller in vitro-reaktion på perenn luftvägsallergen samt frekventa symtom dagtid eller nattliga uppvakningar och som upplevt flera svåra dokumenterade astmaexacerbationer, trots en daglig hög dos av inhalationssteroider plus en långverkande inhalations-beta2-agonist.
Kronisk rinosinuit med näspolyper
Xolair är indicerat som tilläggsbehandling tillsammans med intranasala kortikosteroider hos vuxna (från 18 års ålder) med svår kronisk rinosinuit med näspolyper och för vilka behandling med intranasala kortikosteroider inte leder till tillfredsställande sjukdomskontroll.
Behandling skall initieras av läkare med erfarenhet av diagnostisering och behandling av svår astma eller kronisk rinosinuit med näspolyper.
Dosering
Dosering av allergisk astma och kronisk rinosinuit med näspolyper följer samma doseringsprinciper. Lämplig dos och doseringsintervall av omalizumab vid dessa sjukdomar bestäms utifrån utgångsvärdet för IgE (IE/ml), uppmätt före behandlingsstart, samt av kroppsvikten (kg). Innan den första dosen ges skall patienten få sitt IgE-värde uppmätt med någon kommersiellt tillgänglig analysmetod för total-IgE i serum för dosbestämning. Baserat på dessa resultat kan 75 till 600 mg omalizumab behöva ges i form av 1‑4 injektioner vid varje administreringstillfälle.
Patienter med allergisk astma som hade ett utgångsvärde för IgE under 76 IE/ml hade lägre sannolikhet att ha nytta av behandlingen (se avsnitt 5.1). Förskrivande läkare skall före behandling säkerställa att vuxna och ungdomar med IgE-värde under 76 IE/ml och barn (från 6 till <12 års ålder) med IgE-värde under 200 IE/ml visar en tydlig in vitro-reaktion (RAST eller motsvarande) mot ett perenn allergen.
Se tabell 1 för omräkning och tabell 2 och 3 för dosering.
Patienter vars utgångsvärde för IgE eller kroppsvikt i kilogram är utanför gränserna i doseringstabellen skall inte behandlas med omalizumab.
Den högsta rekommenderade dosen är 600 mg omalizumab varannan vecka.
Tabell 1 Omräkning från dos till antal injektionsflaskor, antal injektioner och total injektionsvolym för varje administreringstillfälle
Tabell 2 ADMINISTRERING VAR FJÄRDE VECKA. Dosering av omalizumab (milligram per dos) som ges genom subkutan injektion var fjärde vecka
*Kroppsvikt under 30 kg studerades inte i de pivotala studierna på kronisk rinosinuit med näspolyper.
Tabell 3 ADMINISTRERING VARANNAN VECKA. Dosering av omalizumab (milligram per dos) som ges genom subkutan injektion varannan vecka
*Kroppsvikt under 30 kg studerades inte i de pivotala studierna på kronisk rinosinuit med näspolyper.
Behandlingslängd, monitorering och dosjustering
Allergisk astma
Xolair är avsett för långtidsbehandling. Kliniska prövningar har visat att det tar minst 12‑16 veckor innan behandlingen uppvisar effekt. Efter 16 veckors behandling med Xolair skall patienterna bedömas av sin läkare avseende behandlingseffekt innan ytterligare injektioner ges. Ett beslut att fortsätta med behandling skall baseras på om en markant förbättring av den totala astmakontrollen kan ses. Detta gäller både efter 16 veckors behandling samt vid efterföljande besök (se avsnitt 5.1, Prövarens totalbedömning av behandlingseffekten).
Kronisk rinosinuit med näspolyper
I kliniska studier på kronisk rinosinuit med näspolyper observerades förändringar efter 4 veckor i ”nasal polyp score” (NPS) samt ”nasal congestion score” (NCS). Behovet av kontinuerlig behandling ska utvärderas regelbundet baserat på allvarlighetsgraden av patientens sjukdom samt nivå av symtomkontroll.
Allergisk astma och kronisk rinosinuit med näspolyper
Utsättning av behandling leder i allmänhet till återgång till förhöjda nivåer av fritt IgE och tillhörande symtom. De totala IgE-nivåerna är förhöjda under behandlingen och är fortsatt förhöjda i upp till ett år efter avslutad behandling. Därför kan inte förnyade analyser av IgE-värdena under behandling användas som vägledning för dosbestämning. Dosbestämning efter behandlingsavbrott under kortare tid än ett år skall baseras på de IgE-nivåer i serum som uppmättes vid den initiala dosbestämningen. Förnyad analys av totalnivåerna av serum-IgE kan utföras för dosbestämning i de fall behandlingen varit avbruten i ett år eller längre.
Dosen skall justeras vid betydande förändringar av kroppsvikten (se tabell 2 och 3).
Speciella patientpopulationer
Äldre (över 65 år)
Tillgängliga data avseende behandling av personer över 65 års ålder med omalizumab är begränsade, men det finns inget som talar för att äldre patienter behöver annan dos än yngre vuxna patienter.
Nedsatt njur- eller leverfunktion
Inga studier har genomförts för att studera farmakokinetiken av omalizumab hos patienter med nedsatt njur- eller leverfunktion. Eftersom clearance av omalizumab vid kliniska doser domineras av det retikuloendoteliala systemet (RES) torde det inte påverkas av nedsatt njur- eller leversjukdom. Trots att ingen dosjustering rekommenderas för dessa patienter skall omalizumab administreras med försiktighet (se avsnitt 4.4).
Pediatrisk population
Vid allergisk astma har säkerhet och effekt för omalizumab hos patienter under 6 år inte fastställts. Inga data finns tillgängliga.
Vid kronisk rinosinuit med näspolyper har säkerhet och effekt för omalizumab hos patienter under 18 år inte fastställts. Inga data finns tillgängliga.
Administreringssätt
Enbart för subkutan administrering. Omalizumab får inte administreras intravenöst eller intramuskulärt.
Doser om mer än 150 mg (tabell 1) ska delas upp på två eller fler injektionsställen.
Xolair pulver och vätska till injektionsvätska, lösning, är endast avsedd att administreras av vårdpersonal.
Anvisningar om beredning av läkemedlet före administrering finns i avsnitt 6.6 och i avsnittet Information till vårdpersonal i bipacksedeln som medföljer förpackningen.
Överkänslighet mot den aktiva substansen eller mot något hjälpämne som anges i avsnitt 6.1.
Spårbarhet
För att underlätta spårbarhet av biologiska läkemedel ska läkemedlets namn och tillverkningssatsnummer dokumenteras.
Allmänt
Omalizumab är inte indicerat för behandling av akuta astmaexacerbationer, akut bronkospasm eller status asthmaticus.
Omalizumab har inte studerats hos patienter med hyperimmunoglobulin E-syndrom eller allergisk bronkopulmonell aspergillos eller vid förebyggande behandling av anafylaktiska reaktioner, inkluderande sådana som framkallats av födoämnesallergi, atopisk dermatit eller allergisk rinit. Omalizumab är inte indicerat vid dessa tillstånd.
Omalizumab har inte studerats hos patienter med autoimmuna sjukdomar, immunkomplexmedierade tillstånd eller med redan existerande nedsatt njur- eller leverfunktion (se avsnitt 4.2). Försiktighet skall iakttas när omalizumab ges till dessa patientgrupper.
Plötsligt avbrytande av behandling med systemiska eller inhalerade steroider efter insättande av omalizumab vid allergisk astma eller kronisk rinosinuit med näspolyper rekommenderas inte. Sänkning av steroiddosen skall göras under överinseende av läkare och kan behöva göras successivt.
Immunsystemet
Allergiska typ I-reaktioner
Lokala eller systemiska allergiska typ I-reaktioner, inkluderande anafylaxi och anafylaktisk chock, kan uppträda vid behandling med omalizumab även efter en lång tids användning. De flesta av dessa reaktioner inträffade emellertid inom 2 timmar efter den första eller de efterföljande injektionerna av omalizumab, men vissa inträffade 2 timmar, och till och med 24 timmar, efter injektion. Majoriteten av anafylaktiska reaktioner inträffade i samband med de första 3 doserna av omalizumab. Anamnes på anafylaxi, som inte relateras till omalizumab, kan vara en riskfaktor för anfylaxi i samband med omalizumab-behandling. Därför ska läkemedel för behandling av anafylaktiska reaktioner alltid finnas tillgängliga för omedelbar användning efter administrering av omalizumab. Om en anafylaktisk eller annan allvarlig allergisk reaktion inträffar, måste administrering av omalizumab omedelbart avbrytas och lämplig behandling sättas in. Patienterna skall informeras om att sådana reaktioner kan uppträda och att man då omedelbart skall söka medicinsk vård.
Ett litet antal patienter har i kliniska studier uppvisat antikroppar mot omalizumab (se avsnitt 4.8). Den kliniska betydelsen av dessa antikroppar är inte känd.
Serumsjuka
Serumsjuka och serumsjukeliknande reaktioner, vilka är sena allergiska typ III-reaktioner, har setts hos patienter som behandlats med humaniserade monoklonala antikroppar inklusive omalizumab. Den föreslagna patofysiologiska mekanismen inkluderar immunkomplexbildning och depositon på grund av antikroppsbildning mot omalizumab. Reaktionen uppstår 1‑5 dagar efter den första eller de efterföljande injektionerna och kan inträffa även efter en längre tids användning. Symtom som tyder på serumsjuka inkluderar artrit/artralgi, hudutslag (urtikaria eller annan typ), feber och lymfadenopati. Antihistaminer och kortikosteroider kan användas för att förebygga eller behandla detta tillstånd och patienter ska uppmanas att rapportera alla misstänkta symtom.
Churg-Strauss syndrom och hypereosinofilt syndrom
Patienter med svår astma kan i sällsynta fall uppvisa systemiskt hypereosinofilt syndrom eller allergisk eosinofil granulomatös vaskulit (Churg-Strauss syndrom), vilka båda vanligtvis behandlas med systemiska kortikosteroider.
I sällsynta fall kan patienter som behandlas med antiastmatiska läkemedel, inklusive omalizumab, uppvisa eller utveckla systemisk eosinofili och vaskulit. Dessa händelser är ofta kopplade till minskning av oral kortikosteroidterapi.
Hos dessa patienter ska läkare vara uppmärksamma på uppkomst av uttalad eosinofili, utslag orsakade av vaskulit, försämrade pulmonella symtom, bihåleförändringar, kardiella komplikationer och/eller neuropati.
Vid alla svåra fall av immunsystempåverkan som nämnts ovan ska avbrytande av behandlingen med omalizumab övervägas.
Parasitinfektioner (helmint)
IgE kan involveras i den immunologiska reaktionen för vissa helmintinfektioner. Hos patienter med kronisk hög risk för helmintinfektion visade en placebokontrollerad studie en lätt ökning av antalet infektioner vid behandling med omalizumab, trots att förloppet, svårighetsgraden och svaret på infektionsbehandlingen var oförändrade. Antalet helmintinfektioner i det totala kliniska programmet, som inte var avsett för att upptäcka sådana infektioner, var mindre än 1 på 1 000 patienter. Försiktighet är emellertid berättigad hos patienter med hög risk att få helmintinfektion, i synnerhet vid resa i områden där helmintinfektion är en endemisk sjukdom. Om patienterna inte svarar på den rekommenderade antihelmintbehandlingen skall utsättning av omalizumab övervägas.
Eftersom IgE kan vara inblandad i den immunologiska reaktionen för vissa helmintinfektioner, kan omalizumab möjlighen indirekt minska effekten av läkemedel för behandling av helmint- eller andra parasitinfektioner (se avsnitt 4.4).
Cytokrom P450-enzymer, effluxpumpar och proteinbindningsmekanismer är inte inblandade i clearance av omalizumab, och därmed finns liten potential för interaktioner. Läkemedels- eller vaccininteraktionsstudier har inte utförts med omalizumab. Det finns ingen farmakologisk anledning att förvänta sig att läkemedel som förskrivs ofta för behandling av astma eller kronisk rinosinuit med näspolyper skulle interagera med omalizumab.
Allergisk astma
Omalizumab har vanligtvis använts tillsammans med inhalations- och orala kortikosteroider, kort- och långverkande inhalations-beta-agonister, leukotrienmodifierare, teofylliner och orala antihistaminer i kliniska studier. Det fanns inga indikationer på att säkerheten hos omalizumab förändrades vid användning tillsammans med dessa andra vanligen använda läkemedlen mot astma. Det finns begränsade data på samtidig användning av omalizumab och specifik immunterapi (hyposensibiliseringsterapi). I en klinisk studie där omalizumab gavs tillsammans med immunterapi sågs ingen skillnad i säkerhet och effekt för omalizumab i kombination med specifik immunterapi, jämfört med omalizumab givet ensamt.
Kronisk rinosinuit med näspolyper
I kliniska studier har omalizumab enligt protokoll använts tillsammans med mometason nässpray. Andra läkemedel som vanligtvis användes samtidigt inkluderade andra intranasala kortikosteroider, bronkodilatorer, antihistaminer, leukotrienreceptorantagonister, adrenergika/sympatomimetika samt nasal lokalanestetika. Det fanns inga indikationer på att säkerheten hos omalizumab förändrades vid samtidig användning av dessa vanligtvis använda läkemedel.
Graviditet
En måttlig mängd data från gravida kvinnor (mellan 300-1 000 graviditeter) baserade på graviditetsregister och spontana rapporter efter marknadsgodkännande, tyder inte på någon missbildnings- eller foster/neonatal toxicitet. En prospektiv registerstudie (EXPECT) på 250 gravida kvinnor med astma som behandlats med omalizumab visade att prevalensen för allvarliga medfödda anomaliteter var jämförbar (8,1% mot 8,9%) mellan patienter behandlade med Xolair och patienter med motsvarande sjukdomstillstånd (måttlig till allvarlig astma). Tolkningen av data kan vara påverkad av metodologiska begränsningar i studien, inkluderande ett litet antal patienter och en icke-randomiserad studiedesign.
Omalizumab passerar placentabarriären, men djurstudier tyder varken på direkta eller indirekta reproduktionstoxikologiska effekter (se avsnitt 5.3).
Omalizumab har förknippats med en åldersberoende minskning av antalet trombocyter hos primater, där unga djur är mer känsliga än äldre djur (se avsnitt 5.3).
Omalizumab kan övervägas under graviditet om det är kliniskt nödvändigt.
Amning
Immunglobulin G (IgG) förekommer i bröstmjölk och det är därför förväntat att omalizumab förekommer i bröstmjölk. Tillgängliga data har visat att omalizumab utsöndras i bröstmjölken hos icke-humana primater (se avsnitt 5.3).
EXPECT-studien med 154 spädbarn som exponerats för omalizumab under graviditet och genom amning indikerade inte biverkningar hos de spädbarn som ammats. Tolkningen av data kan vara påverkad av metodologiska begränsningar i studien, inkluderande ett litet antal patienter och en icke-randomiserad studiedesign.
Immunglobulin G-proteiner genomgår intestinal proteolys och har låg biotillgänglighet när de ges oralt. Inga effekter förväntas på ammande nyfödda/spädbarn. Följaktligen kan användning av omalizumab under amning övervägas om det är kliniskt nödvändigt.
Fertilitet
Det finns inga humandata för omalizumab avseende fertilitet. I särskilt utformade icke kliniska fertilitetsstudier hos icke-humana primater, innefattande parningsstudier, sågs ingen nedsatt fertilitet hos honor eller hanar efter upprepad dosering av omalizumab vid doser upp till 75 mg/kg. Inte heller observerades genotoxiska effekter i en separat icke-klinisk genotoxicitetsstudie.
Omalizumab har ingen eller försumbar effekt på förmågan att framföra fordon och använda maskiner.
Allergisk astma och kronisk rinosinuit med näspolyper
Sammanfattning av säkerhetsprofilen
I kliniska prövningar på allergisk astma hos vuxna och ungdomar från 12 års ålder var de vanligast rapporterade biverkningarna huvudvärk, reaktioner på injektionsstället, inklusive smärta på injektionsstället, svullnad, erytem och pruritus. I kliniska prövningar på barn från 6 till <12 år var de vanligast rapporterade biverkningarna huvudvärk, feber och smärta i övre buken. De flesta reaktionerna var lätta eller måttliga i svårighetsgrad. I kliniska studier på patienter ≥18 års ålder vid kronisk rinosinuit med näspolyper var de vanligast rapporterade biverkningarna huvudvärk, yrsel, artralgi, smärta i övre buken och reaktioner på injektionsstället.
Tabell över biverkningar
Tabell 4 tar upp de biverkningar som rapporterats vid kliniska prövningar i den totala säkerhetspopulationen vid allergisk astma och kronisk rinosinuit med näspolyper som behandlats med Xolair per organsystemklass enligt MedDRA och frekvens. Biverkningarna presenteras inom varje frekvensområde efter fallande allvarlighetsgrad. Frekvenskategorierna definieras enligt följande: mycket vanliga (≥1/10), vanliga (≥1/100, <1/10), mindre vanliga (≥1/1 000, <1/100), sällsynta (≥1/10 000,<1/1 000) och mycket sällsynta (<1/10 000). Händelser rapporterade efter godkännande för försäljning anges med frekvensen ingen känd frekvens (kan inte beräknas från tillgängliga data).
Tabell 4 Biverkningar vid allergisk astma och kronisk rinosinuit med näspolyper
Beskrivning av utvalda biverkningar
Immunsystemet
För ytterligare information, se avsnitt 4.4.
Anafylaxi
Anafylaktiska reaktioner var sällsynta i kliniska studier. Vid en kumulativ sökning i säkerhetsdatabasen fanns emellertid totalt 898 fall av anafylaxi rapporterade efter läkemedlets godkännande för försäljning. Baserat på en beräknad exponering om 566 923 patientår motsvarar detta en rapporteringsfrekvens på cirka 0,20 %.
Arteriella tromboemboliska händelser
I kontrollerade kliniska studier och vid en interimanalys av en observationsstudie sågs en numerisk obalans av antalet ATE. Definitionen på det sammansatta effektmåttet av ATE innefattade stroke, transitorisk ischemisk attack, hjärtinfarkt, instabil angina och kardiovaskulär död (inklusive dödsfall av okänd anledning). I den slutliga analysen av observationsstudien var andelen ATE per 1 000 patientår 7,52 (115/15 286 patientår) för Xolair-behandlade patienter och 5,12 (51/9 963 patientår) för patienter i kontrollgruppen. I en multivariantanalys som tog hänsyn till kardiovaskulära riskfaktorer vid baseline, var hazardkvoten 1,32 (95 % konfidensintervall 0,91‑1,91). I en separat poolad analys av kliniska prövningar, vilken inkluderar alla randomiserade dubbelblinda, placebo-kontrollerade kliniska studier som varat i 8 veckor eller mer, var andelen ATE per 1 000 patientår 2,69 (5/1 856 patientår) för Xolair-behandlade patienter och 2,38 (4/1 680 patientår) för placebobehandlade patienter (frekvenskvot 1,13; 95 % konfidensintervall 0,24‑5,71).
Trombocyter
I kliniska studier var det få patienter som hade trombocytvärden under den nedre gränsen av normalvärdet. Enstaka fall av idiopatisk trombocytopeni, inklusive allvarliga fall, har rapporterats efter godkännande för försäljning.
Parasitinfektioner
Hos patienter med kronisk hög risk för helmintinfektion visades i en placebokontrollerad studie en lätt numerär ökning av antalet infektioner med omalizumab, som inte var statistiskt signifikant. Förloppet, svårighetsgraden och reaktionen på infektionsbehandlingen var oförändrade (se avsnitt 4.4).
Systemisk lupus erythematosus
Fall av systemisk lupus erythematosus (SLE) har rapporterats i kliniska prövningar och efter försäljningsgodkännande hos patienter med måttlig till svår astma och kronisk spontan urtikaria. Patogenesen av SLE är inte känd.
Rapportering av misstänkta biverkningar
Högsta tolererbara dos av Xolair har inte fastställts. Enstaka intravenösa doser på upp till 4 000 mg har givits till patienter utan tecken på dosbegränsande toxicitet. Den högsta kumulativa dosen som givits till patient var 44 000 mg under en 20-veckorsperiod, och den dosen ledde inte till några akuta biverkningar.
Vid misstänkt överdos ska patienten övervakas avseende avvikande tecken och symtom och relevant medicinsk behandling sättas in.
Histaminfrisättningen in vitro från basofila celler som isolerats från personer som behandlats med omalizumab minskade med cirka 90 % efter stimulering med ett allergen, jämfört med värdena före behandlingen.
I kliniska studier på patienter med allergisk astma reducerades nivåerna av fritt IgE i serum på ett dosberoende sätt inom en timme efter den första dosen och dessa nivåer kvarstod mellan doserna. Ett år efter utsättningen av omalizumab hade IgE-nivåerna återgått till samma nivåer som före behandlingen utan observerad rebound-effekt vad avser IgE-nivåerna efter utsättningen av läkemedlet.
Kronisk rinosinuit med näspolyper
I kliniska studier på patienter med kronisk rinosinuit med näspolyper ledde omalizumab-behandling till en minskning av serumfritt IgE (cirka 95%) och en ökning av totala IgE-nivåer i serum, i samma utsträckning som observerats hos patienter med allergisk astma. De totala IgE-nivåerna i serum ökade på grund av bildandet av omalizumab-IgE-komplex som har en långsammare eliminationsgrad jämfört med fritt IgE.
Klinisk effekt och säkerhet
Allergisk astma
Vuxna och ungdomar från 12 års ålder
Effekten och säkerheten av omalizumab visades i en 28-veckors, dubbelblind, placebokontrollerad studie (studie 1) som inkluderade 419 svårt allergiska astmatiker i åldrarna 12‑79 år, med nedsatt lungfunktion (FEV1 40‑80 % av beräknat normalvärde) och dålig kontroll av astmasymtomen, trots högdos inhalationssteroider och långverkande beta-2-agonist. Patienterna hade haft multipla astmaexacerbationer som krävde behandling med systemiska steroider eller hade varit intagna på sjukhus eller sökt akutmottagning på grund av svår astmaexacerbation under det senaste året, trots kontinuerlig behandling med högdos inhalationssteroider och en långverkande beta-2-agonist. Subkutant omalizumab eller placebo gavs i kombination med >1 000 mikrogram beklometasondipropionat (eller liknande) plus en långverkande beta-2-agonist. Underhållsbehandling med orala steroider, teofyllin och leukotrienmodifierare var tillåtet (22 %, 27 % respektive 35 % av patienterna).
Den primära effektvariablen var antalet astmaexacerbationer som krävde behandling med systemiska steroider. Omalizumab reducerade antalet astmaexacerbationer med 19 % (p = 0,153). Ytterligare utvärderingar som visade statistisk signifikans (p<0,05) till förmån för omalizumab inkluderade minskning av antalet svåra exacerbationer (där patientens lungfunktion var reducerad till mindre än 60 % av personbästa och krävde behandling med systemiska kortikosteroider) och astmarelaterade akutbesök (inkluderande intagning på sjukhus, besök på akutmottagningen samt oplanerade läkarbesök) samt förbättringar enligt prövarens totalbedömning av behandlingseffekten, astmarelaterad livskvalitet (AQL), astmasymtom och lungfunktion.
I en subgruppsanalys hade patienter med ett totalt IgE-värde om ≥76 IE/ml före behandling större sannolikhet att erhålla kliniskt betydelsefull effekt av omalizumab. Hos dessa patienter i studie 1 minskade omalizumab antalet astmaexacerbationer med 40 % (p = 0,002). Dessutom uppvisade fler patienter i populationen med totalt IgE-värde ≥76 IE/ml kliniskt betydelsefulla behandlingssvar genom hela omalizumab-programmet för behandling av svår astma. Tabell 5 inkluderar resultaten från studie 1-populationen.
Tabell 5 Resultat från studie 1
Studie 2 bedömde effekten och säkerheten av omalizumab i en population av 312 svårt allergiska astmatiker, som motsvarade populationen i studie 1. Behandlingen med omalizumab i denna öppna studie resulterade i en minskning med 61 % av antalet kliniskt signifikanta astmaexacerbationer, jämfört med enbart gängse astmaterapi.
Ytterligare fyra stora, placebokontrollerade, stödjande studier under 28 till 52 veckors tid på 1 722 vuxna och ungdomar (studierna 3, 4, 5, 6) bedömde effekten och säkerheten av omalizumab hos patienter med svår allergisk astma. De flesta patienterna kontrollerades otillräckligt men fick mindre samtidig astmabehandling än patienterna i studierna 1 eller 2. Studierna 3‑5 använde exacerbation som primär effektvariabel, medan studie 6 primärt bedömde besparing av inhalationssteroider.
De patienter som behandlades med omalizumab i studierna 3, 4 och 5 hade en minskning av antalet astmaexacerbationer med 37,5 % (p=0,027), 40,3 % (p<0,001) respektive 57,6 % (p<0,001), jämfört med placebo.
I studie 6, kunde signifikant fler patienter med svår allergisk astma, som behandlades med omalizumab, minska sin flutikasondos till ≤500 mikrogram/dag utan att försämra astmakontrollen (60,3 %), jämfört med placebogruppen (45,8 %, p<0,05).
Livskvalitetspoäng uppmättes med hjälp av Juniper Asthma-related Quality of Life Questionnaire. I alla sex studierna visades en statistiskt signifikant förbättring från utgångsvärdet i livskvalitetspoäng för omalizumab-patienterna, jämfört med placebo eller kontrollgruppen.
Prövarens totalbedömning av behandlingseffekten:
En klinisk bedömning av behandlingseffekten utfördes av den behandlande läkaren i fem av studierna ovan såsom ett övergripande mått på astmakontroll. Läkarens bedömning inkluderade PEF (peak expiratory flow), dag- och nattsymtom, användning av akut medicinering, spirometri och exacerbationer. I alla fem studierna bedömdes en signifikant större andel omalizumab-behandlade patienter ha uppnått antingen en markant förbättring eller fullständig kontroll av sin astma, jämfört med placebopatienter.
Barn från 6 till <12 års ålder
Underlaget för säkerhet och effekt av omalizumab i åldersgruppen 6 till <12 år baseras på en randomiserad, dubbelblind, placebokontrollerad multicenterstudie (studie 7).
Studie 7 var en placebokontrollerad studie som inkluderade en specifik subgrupp av patienter (N=235) definierade enligt nuvarande indikation, som behandlades med inhalationssteroid i hög dos (motsvarande en dygndos på ≥500 mikrogram flutikason) och långverkande beta-agonist.
En kliniskt signifikant exacerbation definierades som en försämring av astmasymtom som, enligt prövarens bedömning, krävde en fördubbling av utgångsdosen av inhalationssteroid under minst 3 dagar och/eller tillägg av systemiska kortikosteroider (oralt eller intravenöst) under minst 3 dagar.
I den specifika subgrupp av patienter med inhalationssteroid i hög dos hade gruppen som fick omalizumab en statistiskt signifikant lägre frekvens av kliniskt signifikanta astmaexacerbationer jämfört med placebogruppen. Vid 24 veckor motsvarade skillnaden i frekvens mellan behandlingsgrupperna en minskning med 34 % (frekvenskvot 0,662, p=0,047) för patienterna med omalizumab jämfört med placebo. I den andra dubbelblinda behandlingsperioden på 28-veckor var skillnaden i frekvens mellan behandlingsgrupperna en minskning med 63 % (frekvenskvot 0,37, p<0,001) för patienterna med omalizumab jämfört med placebo.
Under den 52 veckor dubbelblinda behandlingsperioden (som inkluderade en 24 veckorsperiod med fast steroiddos och en 28 veckorsperiod med justering av steroiddosen) motsvarade skillnaden i frekvens mellan behandlingsgrupperna en relativ minskning i exacerbationer med 50 % (frekvenskvot 0,504, p<0,001) för patienterna med omalizumab.
Omalizumabgruppen uppvisade en större minskning av akut medicinering med beta-agonist jämfört med placebogruppen i slutet av den 52 veckor långa behandlingsperioden, men skillnaden mellan behandlingsgrupperna var inte statistiskt signifikant. I den sammantagna utvärderingen av behandlingseffekten i slutet av den 52 veckor långa dubbelblinda behandlingsperioden i subgruppen svåra patienter med inhalationssteroider i hög dos och långverkande beta-agonister, var andelen patienter vars behandlingseffekt klassats som ”utmärkt” högre, och andelen med ”måttlig” eller ”dålig” behandlingseffekt lägre, i omalizumabgruppen jämfört med placebogruppen. Denna skillnad mellan grupperna var statistiskt signifikant (p<0,001), medan det inte förelåg någon skillnad mellan omalizumab- och placebogrupperna avseende patienternas subjektiva bedömning av livskvaliteten.
Kronisk rinosinuit med näspolyper
Säkerheten och effekten av omalizumab utvärderades i två randomiserade, dubbelblinda, placebokontrollerade studier hos patienter med kronisk rinosinuit med näspolyper (tabell 7). Patienter fick omalizumab eller placebo subkutant varannan eller 4:e vecka (se avsnitt 4.2). Samtliga patienter fick bakgrundsbehandling med intranasal mometason under hela studien. Tidigare sino-nasal kirurgi eller tidigare systemisk kortikosteroidanvändning krävdes inte för att inkluderas i studierna. Patienterna fick omalizumab eller placebo i 24 veckor följt av en 4-veckors uppföljningsperiod. Demografi och karaktäristika vid utgångsvärdet, inklusive allergiska komorbiditeter, beskrivs i tabell 6.
Tabell 6 Demografi och karaktäristika vid studiestart från studier på näspolyper
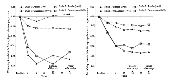
De kombinerade-primära effektmåtten var bilateral ”nasal polyp score” (NPS) och genomsnittlig daglig ”nasal congestion score” (NCS) vid vecka 24. I båda studierna 1 och 2 vid näspolyper hade patienter som fick omalizumab statistiskt signifikant större förbättringar från utgångsvärdet vid vecka 24 i NPS och genomsnittlig NCS per vecka än patienter som fick placebo. Resultat från studierna 1 och 2 vid näspolyper visas i tabell 7.
Table 7 Förändring från utgångsvärdet vid vecka 24 i kliniska poäng från studie 1 samt studie 2 vid näspolyper, och poolade data
Figure 1 Förändring i medeltal från utgångsvärdet i nasal congestion score och förändring i medeltal från utgångsvärdet i nasal polyp score per patiengrupp i studie 1 och studie 2 vid näspolyper
I en förutbestämd poolad analys av vidbehovsbehandling (systemiska kortikosteroider under ≥3 dagar i följd eller nasal polypektomi) under den 24-veckor långa behandlingsperioden var andelen patienter som krävde vidbehovsbehandling lägre hos patienter behandlade med omalizumab jämfört med placebo (2,3% respektive 6,2%). Oddsförhållandet för att ha tagit vidbehovsbehandling i omalizumab-armen jämfört med placebo var 0,38 (95% CI: 0,10, 1,49). Det fanns inga rapporter om sinonasala operationer i någon av studierna.
Den långsiktiga effekten och säkerheten av omalizumab utvärderades i en öppen förlängningsstudie hos patienter med kronisk rinosinuit med näspolyper som hade deltagit i studierna 1 och 2 vid näspolyper. Effektdata från denna studie tyder på att klinisk betydelsefull effekt som erhållits vid vecka 24 kvarstod till och med vecka 52. Säkerhetsdata överrensstämnde över lag med den kända säkerhetsprofilen för omalizumab.
Farmakokinetiken av omalizumab har studerats hos vuxna och ungdomar med allergisk astma samt hos vuxna patienter med kronisk rinosinuit med näspolyper. De generella farmakokinetiska egenskaperna av omalizumab är liknande i dessa patientpopulationer.
Absorption
Efter subkutan administrering absorberas omalizumab med en genomsnittlig absolut biotillgänglighet på 62 %. Efter en subkutan dos hos vuxna och ungdomar med astma absorberades omalizumab långsamt och maximala serumkoncentrationer uppnåddes efter i genomsnitt 7‑8 dagar. Farmakokinetiken hos omalizumab är linjär vid doser större än 0,5 mg/kg. Efter multipla doser av omalizumab var AUC från dag 0 till dag 14 vid steady state upp till 6 gånger högre än efter den första dosen.
Administrering av Xolair, tillverkad som frystorkad produkt eller lösning, gav liknande serumkoncentration-tidsprofil av omalizumab.
Distribution
In vitro bildar omalizumab komplex av begränsad storlek med IgE. Utfallande komplex och komplex med molekylvikt högre än en miljon Dalton har inte iakttagits in vitro eller in vivo. Skenbar distributionsvolym hos patienter efter subkutan administrering var 78 ± 32 ml/kg kroppsvikt.
Eliminering
Omalizumabs clearance innefattar IgG-clearance-processer samt clearance via specifik bindning och komplexbildning med dess målligand, IgE. Eliminationen av IgG i levern innefattar nedbrytning i retikuloendotelsystemet och endotelcellerna. Intakt IgG utsöndras också i galla. Hos astmapatienter var eliminationshalveringstiden för omalizumab i serum i genomsnitt 26 dagar, med skenbart clearance av i genomsnitt 2,4 ± 1,1 ml/kg/dag. Fördubblad kroppsvikt gav ungefär en fördubbling av clearance.
Egenskaper hos patientpopulationer
Ålder, Ras/Etnisk tillhörighet, Kön, BMI (body mass index)
Effekterna av demografiska faktorer på omalizumabs farmakokinetik utvärderades i populationsfarmakokinetisk analys. Analyserna av dessa begränsade data tyder på att dosjustering inte är nödvändig på grund av ålder (6‑76 år för patienter med allergisk astma, 18‑75 år för patienter med kronisk rinosinuit med näspolyper), ras/etnisk tillhörighet, kön eller BMI (se avsnitt 4.2).
Nedsatt njur- och leverfunktion
Det finns inga farmakokinetiska eller farmakodynamiska data från patienter med nedsatt njur- eller leverfunktion (se avsnitt 4.2 och 4.4).
Omalizumabs säkerhet har studerats hos cynomolgusapa eftersom omalizumab binder till cynomolgus- och humant IgE med liknande affinitet. Antikroppar mot omalizumab upptäcktes hos några apor efter upprepad subkutan eller intravenös administrering. Ingen märkbar toxicitet, såsom immunkomplexmedierad sjukdom eller komplementberoende cytotoxicitet, har iakttagits. Det förelåg inga tecken på anafylaktisk reaktion på grund av mastcellsdegranulering hos cynomolgusapor.
Kronisk tillförsel av omalizumab vid doser upp till 250 mg/kg (minst 14 gånger den högsta rekommenderade kliniska dosen i mg/kg enligt rekommenderad doseringstabell) tolererades väl hos primater (både vuxna och juvenila), med undantag för en dosrelaterad och åldersberoende minskning av trombocyter, med en större känslighet hos unga djur. Den serumkoncentration som krävs för att uppnå trombocytfall med 50 % från utgångsvärdet hos vuxna cynomolgusapor var ungefär 4 till 20 gånger högre än förväntade maximala kliniska serumkoncentrationer. Dessutom iakttogs akut blödning och inflammation på injektionsstället hos cynomolgusapor.
Formella karcinogenicitetsstudier har inte genomförts med omalizumab.
I reproduktionsstudier på cynomolgusapor framkallades inte någon maternell toxicitet, embryotoxicitet eller teratogenicitet efter subkutana doser upp till 75 mg/kg per vecka (minst 8 gånger den högsta rekommenderade kliniska dosen i mg/kg under en 4-veckorsperiod) när omalizumab gavs genom hela organogenesen. Omalizumab framkallade inte några biverkningar på fetal eller neonatal tillväxt när det gavs genom hela sena dräktighetsperioden, födelsen och diandet.
Omalizumab utsöndras i bröstmjölken hos cynomolgusapor. Nivåerna av omalizumab i mjölken var 0,15 % av moderdjurets serumkoncentration.
Farmakoterapeutisk grupp: Medel vid obstruktiva lungsjukdomar, övriga systemiska medel för obstruktiva lungsjukdomar, ATC-kod: R03DX05
Verkningsmekanism
Omalizumab är en rekombinant DNA-deriverad humaniserad monoklonal antikropp, som selektivt binds till humant immunoglobulin E (IgE) och förhindrar att IgE binds till FcεRI (högaffinitets-IgE-receptorn) på basofiler och mastceller och reducerar därigenom mängden fritt IgE som är tillgängligt för att utlösa den allergiska kaskaden. Antikroppen är av IgG1-kappatyp och innehåller humana, strukturella regioner med samma bindningsställekarakteristika som en murin moderantikropp som binder till IgE.
Behandling med omalizumab ledde till en markant nedreglering av antalet FcεRI-receptorer på de basofila cellerna hos atopiska individer. Omalizumab hämmar IgE-medierad inflammation vilket påvisas av minskning av blod- och vävnadseosinofili och minskning av inflammatoriska mediatorer, inkluderande IL-4, IL-5 och IL-13 i medfödda, förvärvade och icke-immuna celler.
Farmakodynamisk effekt
Allergisk astma
Histaminfrisättningen in vitro från basofila celler som isolerats från personer som behandlats med omalizumab minskade med cirka 90 % efter stimulering med ett allergen, jämfört med värdena före behandlingen.
I kliniska studier på patienter med allergisk astma reducerades nivåerna av fritt IgE i serum på ett dosberoende sätt inom en timme efter den första dosen och dessa nivåer kvarstod mellan doserna. Ett år efter utsättningen av omalizumab hade IgE-nivåerna återgått till samma nivåer som före behandlingen utan observerad rebound-effekt vad avser IgE-nivåerna efter utsättningen av läkemedlet.
Kronisk rinosinuit med näspolyper
I kliniska studier på patienter med kronisk rinosinuit med näspolyper ledde omalizumab-behandling till en minskning av serumfritt IgE (cirka 95%) och en ökning av totala IgE-nivåer i serum, i samma utsträckning som observerats hos patienter med allergisk astma. De totala IgE-nivåerna i serum ökade på grund av bildandet av omalizumab-IgE-komplex som har en långsammare eliminationsgrad jämfört med fritt IgE.
Klinisk effekt och säkerhet
Allergisk astma
Vuxna och ungdomar från 12 års ålder
Effekten och säkerheten av omalizumab visades i en 28-veckors, dubbelblind, placebokontrollerad studie (studie 1) som inkluderade 419 svårt allergiska astmatiker i åldrarna 12‑79 år, med nedsatt lungfunktion (FEV1 40‑80 % av beräknat normalvärde) och dålig kontroll av astmasymtomen, trots högdos inhalationssteroider och långverkande beta-2-agonist. Patienterna hade haft multipla astmaexacerbationer som krävde behandling med systemiska steroider eller hade varit intagna på sjukhus eller sökt akutmottagning på grund av svår astmaexacerbation under det senaste året, trots kontinuerlig behandling med högdos inhalationssteroider och en långverkande beta-2-agonist. Subkutant omalizumab eller placebo gavs i kombination med >1 000 mikrogram beklometasondipropionat (eller liknande) plus en långverkande beta-2-agonist. Underhållsbehandling med orala steroider, teofyllin och leukotrienmodifierare var tillåtet (22 %, 27 % respektive 35 % av patienterna).
Den primära effektvariablen var antalet astmaexacerbationer som krävde behandling med systemiska steroider. Omalizumab reducerade antalet astmaexacerbationer med 19 % (p = 0,153). Ytterligare utvärderingar som visade statistisk signifikans (p<0,05) till förmån för omalizumab inkluderade minskning av antalet svåra exacerbationer (där patientens lungfunktion var reducerad till mindre än 60 % av personbästa och krävde behandling med systemiska kortikosteroider) och astmarelaterade akutbesök (inkluderande intagning på sjukhus, besök på akutmottagningen samt oplanerade läkarbesök) samt förbättringar enligt prövarens totalbedömning av behandlingseffekten, astmarelaterad livskvalitet (AQL), astmasymtom och lungfunktion.
I en subgruppsanalys hade patienter med ett totalt IgE-värde om ≥76 IE/ml före behandling större sannolikhet att erhålla kliniskt betydelsefull effekt av omalizumab. Hos dessa patienter i studie 1 minskade omalizumab antalet astmaexacerbationer med 40 % (p = 0,002). Dessutom uppvisade fler patienter i populationen med totalt IgE-värde ≥76 IE/ml kliniskt betydelsefulla behandlingssvar genom hela omalizumab-programmet för behandling av svår astma. Tabell 5 inkluderar resultaten från studie 1-populationen.
Tabell 5 Resultat från studie 1
Studie 2 bedömde effekten och säkerheten av omalizumab i en population av 312 svårt allergiska astmatiker, som motsvarade populationen i studie 1. Behandlingen med omalizumab i denna öppna studie resulterade i en minskning med 61 % av antalet kliniskt signifikanta astmaexacerbationer, jämfört med enbart gängse astmaterapi.
Ytterligare fyra stora, placebokontrollerade, stödjande studier under 28 till 52 veckors tid på 1 722 vuxna och ungdomar (studierna 3, 4, 5, 6) bedömde effekten och säkerheten av omalizumab hos patienter med svår allergisk astma. De flesta patienterna kontrollerades otillräckligt men fick mindre samtidig astmabehandling än patienterna i studierna 1 eller 2. Studierna 3‑5 använde exacerbation som primär effektvariabel, medan studie 6 primärt bedömde besparing av inhalationssteroider.
De patienter som behandlades med omalizumab i studierna 3, 4 och 5 hade en minskning av antalet astmaexacerbationer med 37,5 % (p=0,027), 40,3 % (p<0,001) respektive 57,6 % (p<0,001), jämfört med placebo.
I studie 6, kunde signifikant fler patienter med svår allergisk astma, som behandlades med omalizumab, minska sin flutikasondos till ≤500 mikrogram/dag utan att försämra astmakontrollen (60,3 %), jämfört med placebogruppen (45,8 %, p<0,05).
Livskvalitetspoäng uppmättes med hjälp av Juniper Asthma-related Quality of Life Questionnaire. I alla sex studierna visades en statistiskt signifikant förbättring från utgångsvärdet i livskvalitetspoäng för omalizumab-patienterna, jämfört med placebo eller kontrollgruppen.
Prövarens totalbedömning av behandlingseffekten:
En klinisk bedömning av behandlingseffekten utfördes av den behandlande läkaren i fem av studierna ovan såsom ett övergripande mått på astmakontroll. Läkarens bedömning inkluderade PEF (peak expiratory flow), dag- och nattsymtom, användning av akut medicinering, spirometri och exacerbationer. I alla fem studierna bedömdes en signifikant större andel omalizumab-behandlade patienter ha uppnått antingen en markant förbättring eller fullständig kontroll av sin astma, jämfört med placebopatienter.
Barn från 6 till <12 års ålder
Underlaget för säkerhet och effekt av omalizumab i åldersgruppen 6 till <12 år baseras på en randomiserad, dubbelblind, placebokontrollerad multicenterstudie (studie 7).
Studie 7 var en placebokontrollerad studie som inkluderade en specifik subgrupp av patienter (N=235) definierade enligt nuvarande indikation, som behandlades med inhalationssteroid i hög dos (motsvarande en dygndos på ≥500 mikrogram flutikason) och långverkande beta-agonist.
En kliniskt signifikant exacerbation definierades som en försämring av astmasymtom som, enligt prövarens bedömning, krävde en fördubbling av utgångsdosen av inhalationssteroid under minst 3 dagar och/eller tillägg av systemiska kortikosteroider (oralt eller intravenöst) under minst 3 dagar.
I den specifika subgrupp av patienter med inhalationssteroid i hög dos hade gruppen som fick omalizumab en statistiskt signifikant lägre frekvens av kliniskt signifikanta astmaexacerbationer jämfört med placebogruppen. Vid 24 veckor motsvarade skillnaden i frekvens mellan behandlingsgrupperna en minskning med 34 % (frekvenskvot 0,662, p=0,047) för patienterna med omalizumab jämfört med placebo. I den andra dubbelblinda behandlingsperioden på 28-veckor var skillnaden i frekvens mellan behandlingsgrupperna en minskning med 63 % (frekvenskvot 0,37, p<0,001) för patienterna med omalizumab jämfört med placebo.
Under den 52 veckor dubbelblinda behandlingsperioden (som inkluderade en 24 veckorsperiod med fast steroiddos och en 28 veckorsperiod med justering av steroiddosen) motsvarade skillnaden i frekvens mellan behandlingsgrupperna en relativ minskning i exacerbationer med 50 % (frekvenskvot 0,504, p<0,001) för patienterna med omalizumab.
Omalizumabgruppen uppvisade en större minskning av akut medicinering med beta-agonist jämfört med placebogruppen i slutet av den 52 veckor långa behandlingsperioden, men skillnaden mellan behandlingsgrupperna var inte statistiskt signifikant. I den sammantagna utvärderingen av behandlingseffekten i slutet av den 52 veckor långa dubbelblinda behandlingsperioden i subgruppen svåra patienter med inhalationssteroider i hög dos och långverkande beta-agonister, var andelen patienter vars behandlingseffekt klassats som ”utmärkt” högre, och andelen med ”måttlig” eller ”dålig” behandlingseffekt lägre, i omalizumabgruppen jämfört med placebogruppen. Denna skillnad mellan grupperna var statistiskt signifikant (p<0,001), medan det inte förelåg någon skillnad mellan omalizumab- och placebogrupperna avseende patienternas subjektiva bedömning av livskvaliteten.
Kronisk rinosinuit med näspolyper
Säkerheten och effekten av omalizumab utvärderades i två randomiserade, dubbelblinda, placebokontrollerade studier hos patienter med kronisk rinosinuit med näspolyper (tabell 7). Patienter fick omalizumab eller placebo subkutant varannan eller 4:e vecka (se avsnitt 4.2). Samtliga patienter fick bakgrundsbehandling med intranasal mometason under hela studien. Tidigare sino-nasal kirurgi eller tidigare systemisk kortikosteroidanvändning krävdes inte för att inkluderas i studierna. Patienterna fick omalizumab eller placebo i 24 veckor följt av en 4-veckors uppföljningsperiod. Demografi och karaktäristika vid utgångsvärdet, inklusive allergiska komorbiditeter, beskrivs i tabell 6.
Tabell 6 Demografi och karaktäristika vid studiestart från studier på näspolyper
De kombinerade-primära effektmåtten var bilateral ”nasal polyp score” (NPS) och genomsnittlig daglig ”nasal congestion score” (NCS) vid vecka 24. I båda studierna 1 och 2 vid näspolyper hade patienter som fick omalizumab statistiskt signifikant större förbättringar från utgångsvärdet vid vecka 24 i NPS och genomsnittlig NCS per vecka än patienter som fick placebo. Resultat från studierna 1 och 2 vid näspolyper visas i tabell 7.
Table 7 Förändring från utgångsvärdet vid vecka 24 i kliniska poäng från studie 1 samt studie 2 vid näspolyper, och poolade data
Figure 1 Förändring i medeltal från utgångsvärdet i nasal congestion score och förändring i medeltal från utgångsvärdet i nasal polyp score per patiengrupp i studie 1 och studie 2 vid näspolyper
I en förutbestämd poolad analys av vidbehovsbehandling (systemiska kortikosteroider under ≥3 dagar i följd eller nasal polypektomi) under den 24-veckor långa behandlingsperioden var andelen patienter som krävde vidbehovsbehandling lägre hos patienter behandlade med omalizumab jämfört med placebo (2,3% respektive 6,2%). Oddsförhållandet för att ha tagit vidbehovsbehandling i omalizumab-armen jämfört med placebo var 0,38 (95% CI: 0,10, 1,49). Det fanns inga rapporter om sinonasala operationer i någon av studierna.
Den långsiktiga effekten och säkerheten av omalizumab utvärderades i en öppen förlängningsstudie hos patienter med kronisk rinosinuit med näspolyper som hade deltagit i studierna 1 och 2 vid näspolyper. Effektdata från denna studie tyder på att klinisk betydelsefull effekt som erhållits vid vecka 24 kvarstod till och med vecka 52. Säkerhetsdata överrensstämnde över lag med den kända säkerhetsprofilen för omalizumab.
Farmakokinetiken av omalizumab har studerats hos vuxna och ungdomar med allergisk astma samt hos vuxna patienter med kronisk rinosinuit med näspolyper. De generella farmakokinetiska egenskaperna av omalizumab är liknande i dessa patientpopulationer.
Absorption
Efter subkutan administrering absorberas omalizumab med en genomsnittlig absolut biotillgänglighet på 62 %. Efter en subkutan dos hos vuxna och ungdomar med astma absorberades omalizumab långsamt och maximala serumkoncentrationer uppnåddes efter i genomsnitt 7‑8 dagar. Farmakokinetiken hos omalizumab är linjär vid doser större än 0,5 mg/kg. Efter multipla doser av omalizumab var AUC från dag 0 till dag 14 vid steady state upp till 6 gånger högre än efter den första dosen.
Administrering av Xolair, tillverkad som frystorkad produkt eller lösning, gav liknande serumkoncentration-tidsprofil av omalizumab.
Distribution
In vitro bildar omalizumab komplex av begränsad storlek med IgE. Utfallande komplex och komplex med molekylvikt högre än en miljon Dalton har inte iakttagits in vitro eller in vivo. Skenbar distributionsvolym hos patienter efter subkutan administrering var 78 ± 32 ml/kg kroppsvikt.
Eliminering
Omalizumabs clearance innefattar IgG-clearance-processer samt clearance via specifik bindning och komplexbildning med dess målligand, IgE. Eliminationen av IgG i levern innefattar nedbrytning i retikuloendotelsystemet och endotelcellerna. Intakt IgG utsöndras också i galla. Hos astmapatienter var eliminationshalveringstiden för omalizumab i serum i genomsnitt 26 dagar, med skenbart clearance av i genomsnitt 2,4 ± 1,1 ml/kg/dag. Fördubblad kroppsvikt gav ungefär en fördubbling av clearance.
Egenskaper hos patientpopulationer
Ålder, Ras/Etnisk tillhörighet, Kön, BMI (body mass index)
Effekterna av demografiska faktorer på omalizumabs farmakokinetik utvärderades i populationsfarmakokinetisk analys. Analyserna av dessa begränsade data tyder på att dosjustering inte är nödvändig på grund av ålder (6‑76 år för patienter med allergisk astma, 18‑75 år för patienter med kronisk rinosinuit med näspolyper), ras/etnisk tillhörighet, kön eller BMI (se avsnitt 4.2).
Nedsatt njur- och leverfunktion
Det finns inga farmakokinetiska eller farmakodynamiska data från patienter med nedsatt njur- eller leverfunktion (se avsnitt 4.2 och 4.4).
Omalizumabs säkerhet har studerats hos cynomolgusapa eftersom omalizumab binder till cynomolgus- och humant IgE med liknande affinitet. Antikroppar mot omalizumab upptäcktes hos några apor efter upprepad subkutan eller intravenös administrering. Ingen märkbar toxicitet, såsom immunkomplexmedierad sjukdom eller komplementberoende cytotoxicitet, har iakttagits. Det förelåg inga tecken på anafylaktisk reaktion på grund av mastcellsdegranulering hos cynomolgusapor.
Kronisk tillförsel av omalizumab vid doser upp till 250 mg/kg (minst 14 gånger den högsta rekommenderade kliniska dosen i mg/kg enligt rekommenderad doseringstabell) tolererades väl hos primater (både vuxna och juvenila), med undantag för en dosrelaterad och åldersberoende minskning av trombocyter, med en större känslighet hos unga djur. Den serumkoncentration som krävs för att uppnå trombocytfall med 50 % från utgångsvärdet hos vuxna cynomolgusapor var ungefär 4 till 20 gånger högre än förväntade maximala kliniska serumkoncentrationer. Dessutom iakttogs akut blödning och inflammation på injektionsstället hos cynomolgusapor.
Formella karcinogenicitetsstudier har inte genomförts med omalizumab.
I reproduktionsstudier på cynomolgusapor framkallades inte någon maternell toxicitet, embryotoxicitet eller teratogenicitet efter subkutana doser upp till 75 mg/kg per vecka (minst 8 gånger den högsta rekommenderade kliniska dosen i mg/kg under en 4-veckorsperiod) när omalizumab gavs genom hela organogenesen. Omalizumab framkallade inte några biverkningar på fetal eller neonatal tillväxt när det gavs genom hela sena dräktighetsperioden, födelsen och diandet.
Omalizumab utsöndras i bröstmjölken hos cynomolgusapor. Nivåerna av omalizumab i mjölken var 0,15 % av moderdjurets serumkoncentration.
Den kemiska och fysikaliska stabiliteten hos det beredda läkemedlet har visats under 8 timmar vid 2°C – 8°C och under 4 timmar vid 30°C.
Ur mikrobiologisk synpunkt skall läkemedlet användas omedelbart efter beredningen. Om produkten inte används omedelbart ansvarar användaren för förvaringstiden och förvaringsvillkoren före användningen, och de skall normalt inte vara längre än 8 timmar vid 2°C – 8°C eller 2 timmar vid 25°C.
Förvaras i kylskåp (2°C – 8°C).
Får ej frysas.
Förvaringsanvisningar för läkemedlet efter beredning finns i avsnitt 6.3
Injektionsflaska med pulver: Klar, ofärgad injektionsflaska av typ I-glas med butylgummipropp och grå avrivningsförsegling.
Ampull med spädningsvätska: Klar, ofärgad ampull av typ I-glas innehållande 2 ml vatten för injektionsvätskor.
Förpackningen innehåller en injektionsflaska med pulver till injektionsvätska och en ampull med vatten för injektionsvätskor.
Xolair 75 mg pulver till injektionsvätska, lösning, tillhandahålls i en injektionsflaska för engångsbruk.
Ur mikrobiologisk synpunkt ska läkemedlet användas omedelbart efter beredningen (se avsnitt 6.3).
Det tar 15‑20 minuter att lösa upp det frystorkade läkemedlet, men det kan i vissa fall ta längre tid. Det helt upplösta läkemedlet skall vara en klar till lätt opalskimrande, ofärgad till svagt brun-gul lösning, eventuellt med några små bubblor eller skum runt kanten på injektionsflaskan. På grund av viskositeten hos det upplösta läkemedlet måste man se till att dra upp hela innehållet ur injektionsflaskan innan luft eller överflödig lösning sprutas ut ur sprutan, för att man skall erhålla 0,6 ml.
Ej använt läkemedel och avfall ska kasseras enligt gällande anvisningar.
Pulver
Sackaros
Histidin
Histidinhydrokloridmonohydrat
Polysorbat 20
Spädningsvätska
Vatten för injektionsvätskor
Detta läkemedel får inte blandas med andra läkemedel förutom de som nämns i avsnitt 6.6.
4 år.
Efter beredning
Den kemiska och fysikaliska stabiliteten hos det beredda läkemedlet har visats under 8 timmar vid 2°C – 8°C och under 4 timmar vid 30°C.
Ur mikrobiologisk synpunkt skall läkemedlet användas omedelbart efter beredningen. Om produkten inte används omedelbart ansvarar användaren för förvaringstiden och förvaringsvillkoren före användningen, och de skall normalt inte vara längre än 8 timmar vid 2°C – 8°C eller 2 timmar vid 25°C.
Förvaras i kylskåp (2°C – 8°C).
Får ej frysas.
Förvaringsanvisningar för läkemedlet efter beredning finns i avsnitt 6.3
Injektionsflaska med pulver: Klar, ofärgad injektionsflaska av typ I-glas med butylgummipropp och grå avrivningsförsegling.
Ampull med spädningsvätska: Klar, ofärgad ampull av typ I-glas innehållande 2 ml vatten för injektionsvätskor.
Förpackningen innehåller en injektionsflaska med pulver till injektionsvätska och en ampull med vatten för injektionsvätskor.
Xolair 75 mg pulver till injektionsvätska, lösning, tillhandahålls i en injektionsflaska för engångsbruk.
Ur mikrobiologisk synpunkt ska läkemedlet användas omedelbart efter beredningen (se avsnitt 6.3).
Det tar 15‑20 minuter att lösa upp det frystorkade läkemedlet, men det kan i vissa fall ta längre tid. Det helt upplösta läkemedlet skall vara en klar till lätt opalskimrande, ofärgad till svagt brun-gul lösning, eventuellt med några små bubblor eller skum runt kanten på injektionsflaskan. På grund av viskositeten hos det upplösta läkemedlet måste man se till att dra upp hela innehållet ur injektionsflaskan innan luft eller överflödig lösning sprutas ut ur sprutan, för att man skall erhålla 0,6 ml.
Ej använt läkemedel och avfall ska kasseras enligt gällande anvisningar.