Nemluvio 30 mg pulver och vätska till injektionsvätska, lösning i förfylld injektionspenna
Nemluvio 30 mg pulver och vätska till injektionsvätska, lösning i förfylld injektionspenna
Varje förfylld injektionspenna föör engångsbruk innehåller 30 mg nemolizumab per 0,49 ml dos efter beredning.
Nemolizumab, en humaniserad monoklonal modifierad immunglobulin G (IgG)-antikropp, framställs genom rekombinant DNA-teknik i äggstocksceller från kinesisk hamster.
För fullständig förteckning över hjälpämnen, se avsnitt 6.1.
Pulver och vätska till injektionsvätska, lösning
Pulver till injektionsvätska, lösning: frystorkat vitt pulver.
Vätska till injektionsvätska, lösning: En klar, färglös lösning.
Galderma International
La Defense 4, Tour Europlaza
20 Avenue Andre Prothin
92927 Paris La Defense Cedex
Frankrike
EU/1/24/1901/001
EU/1/24/1901/002
EU/1/24/1901/003
Första godkännandet: 12 februari 2025
01/2026
- Efter 16 veckors behandling är den rekommenderade underhållsdosen för patienter som uppnår klinisk respons 30 mg var 8:e vecka.
Nemolizumab kan användas med eller utan topikala kortikosteroider (topical corticosteroids, TCS). Topikala kalcineurinhämmare (topical calcineurin inhibitors, TCI) kan användas, men ska förbehållas enbart problemområden som ansikte, hals, intertriginösa och genitala områden. All användning av topikala behandlingar ska trappas ned och därefter sättas ut när sjukdomen har förbättrats tillräckligt.
Hos patienter som inte har visat någon respons efter 16 veckors behandling för atopisk dermatit bör utsättning av behandlingen övervägas. Vissa patienter med initial partiell respons kan förbättras ytterligare med fortsatt behandling utöver 16 veckor.
När klinisk respons har uppnåtts är den rekommenderade underhållsdosen av nemolizumab 30 mg var 8:e vecka.
Prurigo nodularis (PN)
Rekommenderad dos för patienter som väger < 90 kg är en initial dos på 60 mg (två 30 mg-injektioner), följt av 30 mg som ges var 4:e vecka
Rekommenderad dos för patienter som väger ≥ 90 kg är en initial dos på 60 mg (två 30 mg-injektioner), följt av 60 mg som ges var 4:e vecka.
Hos patienter som inte har visat någon respons avseende klåda efter 16 veckors behandling för prurigo nodularis bör utsättning av behandlingen övervägas.
Missad dos
Om en dos missas ska den administreras så snart som möjligt. Därefter ska doseringen återupptas vid den vanliga schemalagda tidpunkten.
Särskilda populationer
Äldre (≥ 65 år)
Ingen dosjustering rekommenderas för äldre patienter (se avsnitt 5.2).
Nedsatt lever- och njurfunktion
Ingen dosjustering behövs för patienter med nedsatt lever- eller njurfunktion (se avsnitt 5.2).
Pediatrisk population
Atopisk dermatit
Säkerhet och effekt för nemolizumab för barn i åldern under 12 år och en kroppsvikt < 30 kg har ännu inte fastställts. Inga data finns tillgängliga.
Prurigo nodularis
Säkerhet och effekt för nemolizumab för barn i åldern under 18 år har inte fastställts. Inga data finns tillgängliga.
Administreringssätt
Subkutan användning.
Den subkutana injektionen ska administreras i framsidan av övre låren eller buken, varvid ett område på 5 cm närmast naveln ska undvikas. Injektion i överarmen ska endast utföras av vårdare eller hälso- och sjukvårdspersonal.
För efterföljande doser rekommenderas att växla injektionsställe för varje dos. Nemolizumab ska inte injiceras i hud som är öm, inflammerad, svullen, skadad eller har blåmärken, ärr eller öppna sår.
Nemolizumab är avsett att användas under vägledning av hälso- och sjukvårdspersonal. En patient kan själv injicera nemolizumab, alternativt kan patientens vårdare administrera nemolizumab om hälso- och sjukvårdspersonalen anser att detta är lämpligt. Före den första injektionen ska patienter och/eller vårdare ges lämplig utbildning om beredning och administrering av nemolizumab enligt bruksanvisningen i slutet av bipacksedeln.
Överkänslighet mot den aktiva substansen eller mot något hjälpämne som anges i avsnitt 6.1.
Spårbarhet
För att underlätta spårbarhet av biologiska läkemedel ska läkemedlets namn och tillverkningssatsnummer dokumenteras.
Överkänslighet
Fall av typ 1-överkänslighet, inklusive angioödem, har rapporterats. Om en systemisk överkänslighetsreaktion (omedelbar eller fördröjd) inträffar ska administreringen av nemolizumab omedelbart avbrytas och lämplig behandling sättas in (se avsnitt 4.8).
Försämring av astma (inklusive PEF-minskning)
I populationen av patienter med PN och befintlig astma har en lindrig till måttlig försämring av astma rapporterats efter insättning av nemolizumab. Detta observerades oftare hos patienter som vägde > 90 kg och som fick 60 mg nemolizumab var fjärde vecka jämfört med patienter som vägde < 90 kg och som fick 30 mg nemolizumab var fjärde vecka (se avsnitt 4.8).
Patienter med en försämring av astma som krävde sjukhusvård under de senast föregående 12 månaderna, patienter med okontrollerad astma under de senast föregående tre månaderna och patienter med en pågående anamnes av KOL och/eller kronisk bronkit exkluderades från kliniska studier. Ingen information om nemolizumabs effekt eller säkerhet hos dessa patienter finns tillgänglig.
Vaccinationer
Det rekommenderas att patienter slutför alla åldersanpassade vaccinationer i överensstämmelse med gällande immuniseringsriktlinjer innan behandling påbörjas. Samtidig användning av levande vacciner hos patienter som behandlas med nemolizumab ska undvikas. Det är okänt om administrering av levande vacciner under behandling kommer att påverka säkerheten eller effekten av dessa vacciner. Inga data finns tillgängliga om responsen på icke-levande vacciner.
Levande vacciner
Säkerhet och effekt för samtidig användning av nemolizumab med levande försvagade vacciner har inte studerats. Levande vacciner ska inte ges samtidigt med nemolizumab (se avsnitt 4.4).
Icke-levande vacciner
Säkerhet och effekt för samtidig användning av nemolizumab med icke-levande vacciner har inte studerats (se avsnitt 4.4).
Interaktioner med cytokrom P450
Effekterna av nemolizumab på farmakokinetiken för midazolam (CYP3A4/5-substrat), warfarin (CYP2C9-substrat), omeprazol (CYP2C19-substrat), metoprolol (CYP2D6-substrat) och koffein (CYP1A2-substrat) utvärderades i en studie hos försökspersoner med måttlig till svår AD. Inga kliniskt signifikanta förändringar i exponeringen för CYP450-substrat jämfört med före nemolizumabbehandling observerades. Ingen dosjustering är nödvändig.
Graviditet
Det finns en begränsad mängd data från användningen av nemolizumab hos gravida kvinnor. Djurstudier visar inga direkta eller indirekta skadliga reproduktionstoxikologiska effekter (se 5.3). Som en försiktighetsåtgärd bör man undvika användning av nemolizumab under graviditet.
Amning
Det finns inga data om utsöndringen av nemolizumab i bröstmjölk. Hos människor inträffar utsöndringen av IgG-antikroppar i bröstmjölk under de första dagarna efter födseln, för att strax efteråt minska till låga koncentrationer. Överföring av IgG-antikroppar till nyfödda genom bröstmjölk kan följaktligen ske under de allra första dagarna. En risk för det nyfödda barnet/spädbarnet kan inte uteslutas under denna korta period. Därefter kan nemolizumab användas under amning om det är kliniskt nödvändigt.
Fertilitet
Djurstudier visade ingen försämring av fertiliteten (se avsnitt 5.3).
Nemluvio har ingen eller försumbar effekt på förmågan att framföra fordon och använda maskiner.
Sammanfattning av säkerhetsprofilen
De vanligaste biverkningarna vid atopisk dermatit och prurigo nodularis är typ I-överkänslighet (1,1 %; inkluderar urtikaria 1,0 % och angioödem 0,1 %) och reaktioner vid injektionsstället (1,2 %) (se avsnitt 4.4). Ytterligare biverkningar såsom huvudvärk (7,0 %), atopisk dermatit (4,6 %), eksem (3,8 %), nummulärt eksem (3,5 %), ytliga svampinfektioner (3,0 %) och försämring av astma (2,2 %)rapporterades vid prurigo nodularis.
Lista i tabellform över biverkningar
Tabell 1 omfattar alla biverkningar som observerats i kliniska studier efter organsystemklass och frekvens, med användning av följande kategorier: mycket vanliga (≥1/10), vanliga (≥1/100, <1/10), mindre vanliga (≥1/1 000, <1/100), sällsynta (≥1/10 000, <1/1 000), mycket sällsynta (<1/10 000). Biverkningarna presenteras inom varje frekvensområde efter fallande allvarlighetsgrad.
Tabell 1: Lista över biverkningar
†Har förekommit i studier av atopisk dermatit.
*Har förekommit i studier av prurigo nodularis.
#Ytliga svampinfektioner inkluderar: ringorm, fotsvamp, nagelsvamp, svampinfektion, tinea versicolor, ljumsksvamp, svampinfektion i huden och svampinfektion i foten
§Från rapportering efter godkännande för försäljning.
Beskrivning av utvalda biverkningar
Överkänslighet
Överkänslighetsreaktioner av typ 1 (Ig-E-medierade reaktioner), inklusive lindrig urtikaria och lindrigt angioödem i ansiktet (periokulärt) var vanligt observerade hos patienter som behandlades med nemolizumab under de kliniska studierna. Dessa reaktioner ledde inte till behandlingsavbrott (se avsnitt 4.4).
Huvudvärk
Hos patienter med prurigo nodularis rapporterades huvudvärk oftare hos patienter som behandlades med nemolizumab (7,0 %) jämfört med patienter som behandlades med placebo. Huvudvärk observerades oftare hos kvinnliga patienter i båda grupperna. I nemolizumabgruppen var huvudvärken oftast lindrig eller måttlig i svårighetsgrad och ledde inte till att behandlingen avbröts.
Försämring av astma
Hos patienter med PN och befintlig astma (n = 51) upplevde 8 (15,7 %) patienter en försämring av astman efter insättning av nemolizumab, varav 5 patienter hade en kroppsvikt på > 90 kg och fick 60 mg nemolizumab var fjärde vecka. I populationen av patienter med PN och befintlig astma var försämringen tre gånger vanligare hos patienter med en kroppsvikt på > 90 kg som fick 60 mg nemolizumab var fjärde vecka än hos patienter med en kroppsvikt på < 90 kg som fick 30 mg nemolizumab var fjärde vecka.
Majoriteten av händelserna med försämring inträffade inom de första två månaderna efter behandlingsstart och alla rapporterades som lindriga eller måttliga i svårighetsgrad. De flesta patienter upplevde en enda händelse av försämring under behandlingen och den försvann med astmaläkemedel (inhalatorer) enligt standardvård utan användning av systemiska steroider. Ingen händelse ledde till permanent utsättning av behandlingen. Förekomsten av försämring ökade inte med längre tids exponering för nemolizumab (upp till vecka 52) i den öppna långtidsförlängningsstudien av PN.
Eksematösa reaktioner
Hos patienter med prurigo nodularis rapporterades eksematösa reaktioner såsom atopisk dermatit, nummulärt eksem eller eksem oftare hos nemolizumab-behandlade patienter jämfört med patienter som behandlades med placebo: Atopisk dermatit (4,6 %), eksem (3,8 %) och nummulärt eksem (3,5 %). Dessa eksematösa reaktioner var av lindrig eller måttlig svårighetsgrad. Atopisk dermatit ledde till utsättning av nemolizumab hos 2 (0,5 %) patienter. Patienter i åldern > 65 år hade en högre frekvens av eksematösa reaktioner.
Eosinofili
Andelen patienter med kliniskt signifikant förhöjt antal eosinofiler (> 700 celler/mikroliter) var 10,2 % i populationen med AD (under den inledande perioden) och 5,5 % i populationen med PD. Svår eosinofili (> 5 000 celler/mikroliter) observerades inte hos nemolizumab-behandlade patienter med AD under den inledande behandlingsperioden. Biverkningar i form av eosinofili rapporterades hos 0,2 % av patienterna med AD som behandlades med nemolizumab under den inledande behandlingsperioden fram till vecka 16. Alla händelser hos patienter med AD var lindriga i intensitet och inte förknippade med kliniska symtom. Ingen behandlingsrelaterad biverkning förknippad med eosinofili ledde till avbrytande av behandlingen. Bortsett från ett fall av eosinofil kolit hos en patient med AD och andra atopiska komorbiditeter, fanns inga andra rapporter om eosinofila sjukdomar.
Pediatrisk population
Atopisk dermatit
Ungdomar (åldern 12 till 17 år)
Säkerheten för nemolizumab utvärderades hos 176 pediatriska patienter i åldern 12 till 17 år med måttlig till svår atopisk dermatit som inkluderades i studierna ARCADIA 1 och ARCADIA 2. Säkerhetsprofilen för nemolizumab hos dessa patienter till och med vecka 16 liknade säkerhetsprofilen som sågs hos vuxna med atopisk dermatit.
Det finns ingen specifik behandling för överdosering av nemolizumab. Vid överdosering ska patienten övervakas för eventuella tecken eller symtom på biverkningar och lämplig symtomatisk behandling ska sättas in omedelbart.
Atopisk dermatit (AD)
Nemluvio är avsett för behandling av måttlig till svår atopisk dermatit hos patienter i åldern 12 år och äldre vilka är aktuella för systemisk behandling.
Prurigo nodularis (PN)
Nemluvio är avsett för behandling av vuxna med måttlig till svår prurigo nodularis vilka är aktuella för systemisk behandling.
Behandling med nemolizumab ska initieras och övervakas av hälso- och sjukvårdspersonal med erfarenhet av diagnos och behandling av de tillstånd som nemolizumab är avsett för.
Dosering
Atopisk dermatit (AD)
Rekommenderad dos är:
- En initial dos på 60 mg (två 30 mg-injektioner), följt av 30 mg som ges var 4:e vecka.
- Efter 16 veckors behandling är den rekommenderade underhållsdosen för patienter som uppnår klinisk respons 30 mg var 8:e vecka.
Nemolizumab kan användas med eller utan topikala kortikosteroider (topical corticosteroids, TCS). Topikala kalcineurinhämmare (topical calcineurin inhibitors, TCI) kan användas, men ska förbehållas enbart problemområden som ansikte, hals, intertriginösa och genitala områden. All användning av topikala behandlingar ska trappas ned och därefter sättas ut när sjukdomen har förbättrats tillräckligt.
Hos patienter som inte har visat någon respons efter 16 veckors behandling för atopisk dermatit bör utsättning av behandlingen övervägas. Vissa patienter med initial partiell respons kan förbättras ytterligare med fortsatt behandling utöver 16 veckor.
När klinisk respons har uppnåtts är den rekommenderade underhållsdosen av nemolizumab 30 mg var 8:e vecka.
Prurigo nodularis (PN)
Rekommenderad dos för patienter som väger < 90 kg är en initial dos på 60 mg (två 30 mg-injektioner), följt av 30 mg som ges var 4:e vecka
Rekommenderad dos för patienter som väger ≥ 90 kg är en initial dos på 60 mg (två 30 mg-injektioner), följt av 60 mg som ges var 4:e vecka.
Hos patienter som inte har visat någon respons avseende klåda efter 16 veckors behandling för prurigo nodularis bör utsättning av behandlingen övervägas.
Missad dos
Om en dos missas ska den administreras så snart som möjligt. Därefter ska doseringen återupptas vid den vanliga schemalagda tidpunkten.
Särskilda populationer
Äldre (≥ 65 år)
Ingen dosjustering rekommenderas för äldre patienter (se avsnitt 5.2).
Nedsatt lever- och njurfunktion
Ingen dosjustering behövs för patienter med nedsatt lever- eller njurfunktion (se avsnitt 5.2).
Pediatrisk population
Atopisk dermatit
Säkerhet och effekt för nemolizumab för barn i åldern under 12 år och en kroppsvikt < 30 kg har ännu inte fastställts. Inga data finns tillgängliga.
Prurigo nodularis
Säkerhet och effekt för nemolizumab för barn i åldern under 18 år har inte fastställts. Inga data finns tillgängliga.
Administreringssätt
Subkutan användning.
Den subkutana injektionen ska administreras i framsidan av övre låren eller buken, varvid ett område på 5 cm närmast naveln ska undvikas. Injektion i överarmen ska endast utföras av vårdare eller hälso- och sjukvårdspersonal.
För efterföljande doser rekommenderas att växla injektionsställe för varje dos. Nemolizumab ska inte injiceras i hud som är öm, inflammerad, svullen, skadad eller har blåmärken, ärr eller öppna sår.
Nemolizumab är avsett att användas under vägledning av hälso- och sjukvårdspersonal. En patient kan själv injicera nemolizumab, alternativt kan patientens vårdare administrera nemolizumab om hälso- och sjukvårdspersonalen anser att detta är lämpligt. Före den första injektionen ska patienter och/eller vårdare ges lämplig utbildning om beredning och administrering av nemolizumab enligt bruksanvisningen i slutet av bipacksedeln.
Överkänslighet mot den aktiva substansen eller mot något hjälpämne som anges i avsnitt 6.1.
Spårbarhet
För att underlätta spårbarhet av biologiska läkemedel ska läkemedlets namn och tillverkningssatsnummer dokumenteras.
Överkänslighet
Fall av typ 1-överkänslighet, inklusive angioödem, har rapporterats. Om en systemisk överkänslighetsreaktion (omedelbar eller fördröjd) inträffar ska administreringen av nemolizumab omedelbart avbrytas och lämplig behandling sättas in (se avsnitt 4.8).
Försämring av astma (inklusive PEF-minskning)
I populationen av patienter med PN och befintlig astma har en lindrig till måttlig försämring av astma rapporterats efter insättning av nemolizumab. Detta observerades oftare hos patienter som vägde > 90 kg och som fick 60 mg nemolizumab var fjärde vecka jämfört med patienter som vägde < 90 kg och som fick 30 mg nemolizumab var fjärde vecka (se avsnitt 4.8).
Patienter med en försämring av astma som krävde sjukhusvård under de senast föregående 12 månaderna, patienter med okontrollerad astma under de senast föregående tre månaderna och patienter med en pågående anamnes av KOL och/eller kronisk bronkit exkluderades från kliniska studier. Ingen information om nemolizumabs effekt eller säkerhet hos dessa patienter finns tillgänglig.
Vaccinationer
Det rekommenderas att patienter slutför alla åldersanpassade vaccinationer i överensstämmelse med gällande immuniseringsriktlinjer innan behandling påbörjas. Samtidig användning av levande vacciner hos patienter som behandlas med nemolizumab ska undvikas. Det är okänt om administrering av levande vacciner under behandling kommer att påverka säkerheten eller effekten av dessa vacciner. Inga data finns tillgängliga om responsen på icke-levande vacciner.
Levande vacciner
Säkerhet och effekt för samtidig användning av nemolizumab med levande försvagade vacciner har inte studerats. Levande vacciner ska inte ges samtidigt med nemolizumab (se avsnitt 4.4).
Icke-levande vacciner
Säkerhet och effekt för samtidig användning av nemolizumab med icke-levande vacciner har inte studerats (se avsnitt 4.4).
Interaktioner med cytokrom P450
Effekterna av nemolizumab på farmakokinetiken för midazolam (CYP3A4/5-substrat), warfarin (CYP2C9-substrat), omeprazol (CYP2C19-substrat), metoprolol (CYP2D6-substrat) och koffein (CYP1A2-substrat) utvärderades i en studie hos försökspersoner med måttlig till svår AD. Inga kliniskt signifikanta förändringar i exponeringen för CYP450-substrat jämfört med före nemolizumabbehandling observerades. Ingen dosjustering är nödvändig.
Graviditet
Det finns en begränsad mängd data från användningen av nemolizumab hos gravida kvinnor. Djurstudier visar inga direkta eller indirekta skadliga reproduktionstoxikologiska effekter (se 5.3). Som en försiktighetsåtgärd bör man undvika användning av nemolizumab under graviditet.
Amning
Det finns inga data om utsöndringen av nemolizumab i bröstmjölk. Hos människor inträffar utsöndringen av IgG-antikroppar i bröstmjölk under de första dagarna efter födseln, för att strax efteråt minska till låga koncentrationer. Överföring av IgG-antikroppar till nyfödda genom bröstmjölk kan följaktligen ske under de allra första dagarna. En risk för det nyfödda barnet/spädbarnet kan inte uteslutas under denna korta period. Därefter kan nemolizumab användas under amning om det är kliniskt nödvändigt.
Fertilitet
Djurstudier visade ingen försämring av fertiliteten (se avsnitt 5.3).
Nemluvio har ingen eller försumbar effekt på förmågan att framföra fordon och använda maskiner.
Sammanfattning av säkerhetsprofilen
De vanligaste biverkningarna vid atopisk dermatit och prurigo nodularis är typ I-överkänslighet (1,1 %; inkluderar urtikaria 1,0 % och angioödem 0,1 %) och reaktioner vid injektionsstället (1,2 %) (se avsnitt 4.4). Ytterligare biverkningar såsom huvudvärk (7,0 %), atopisk dermatit (4,6 %), eksem (3,8 %), nummulärt eksem (3,5 %), ytliga svampinfektioner (3,0 %) och försämring av astma (2,2 %)rapporterades vid prurigo nodularis.
Lista i tabellform över biverkningar
Tabell 1 omfattar alla biverkningar som observerats i kliniska studier efter organsystemklass och frekvens, med användning av följande kategorier: mycket vanliga (≥1/10), vanliga (≥1/100, <1/10), mindre vanliga (≥1/1 000, <1/100), sällsynta (≥1/10 000, <1/1 000), mycket sällsynta (<1/10 000). Biverkningarna presenteras inom varje frekvensområde efter fallande allvarlighetsgrad.
Tabell 1: Lista över biverkningar
†Har förekommit i studier av atopisk dermatit.
*Har förekommit i studier av prurigo nodularis.
#Ytliga svampinfektioner inkluderar: ringorm, fotsvamp, nagelsvamp, svampinfektion, tinea versicolor, ljumsksvamp, svampinfektion i huden och svampinfektion i foten
§Från rapportering efter godkännande för försäljning.
Beskrivning av utvalda biverkningar
Överkänslighet
Överkänslighetsreaktioner av typ 1 (Ig-E-medierade reaktioner), inklusive lindrig urtikaria och lindrigt angioödem i ansiktet (periokulärt) var vanligt observerade hos patienter som behandlades med nemolizumab under de kliniska studierna. Dessa reaktioner ledde inte till behandlingsavbrott (se avsnitt 4.4).
Huvudvärk
Hos patienter med prurigo nodularis rapporterades huvudvärk oftare hos patienter som behandlades med nemolizumab (7,0 %) jämfört med patienter som behandlades med placebo. Huvudvärk observerades oftare hos kvinnliga patienter i båda grupperna. I nemolizumabgruppen var huvudvärken oftast lindrig eller måttlig i svårighetsgrad och ledde inte till att behandlingen avbröts.
Försämring av astma
Hos patienter med PN och befintlig astma (n = 51) upplevde 8 (15,7 %) patienter en försämring av astman efter insättning av nemolizumab, varav 5 patienter hade en kroppsvikt på > 90 kg och fick 60 mg nemolizumab var fjärde vecka. I populationen av patienter med PN och befintlig astma var försämringen tre gånger vanligare hos patienter med en kroppsvikt på > 90 kg som fick 60 mg nemolizumab var fjärde vecka än hos patienter med en kroppsvikt på < 90 kg som fick 30 mg nemolizumab var fjärde vecka.
Majoriteten av händelserna med försämring inträffade inom de första två månaderna efter behandlingsstart och alla rapporterades som lindriga eller måttliga i svårighetsgrad. De flesta patienter upplevde en enda händelse av försämring under behandlingen och den försvann med astmaläkemedel (inhalatorer) enligt standardvård utan användning av systemiska steroider. Ingen händelse ledde till permanent utsättning av behandlingen. Förekomsten av försämring ökade inte med längre tids exponering för nemolizumab (upp till vecka 52) i den öppna långtidsförlängningsstudien av PN.
Eksematösa reaktioner
Hos patienter med prurigo nodularis rapporterades eksematösa reaktioner såsom atopisk dermatit, nummulärt eksem eller eksem oftare hos nemolizumab-behandlade patienter jämfört med patienter som behandlades med placebo: Atopisk dermatit (4,6 %), eksem (3,8 %) och nummulärt eksem (3,5 %). Dessa eksematösa reaktioner var av lindrig eller måttlig svårighetsgrad. Atopisk dermatit ledde till utsättning av nemolizumab hos 2 (0,5 %) patienter. Patienter i åldern > 65 år hade en högre frekvens av eksematösa reaktioner.
Eosinofili
Andelen patienter med kliniskt signifikant förhöjt antal eosinofiler (> 700 celler/mikroliter) var 10,2 % i populationen med AD (under den inledande perioden) och 5,5 % i populationen med PD. Svår eosinofili (> 5 000 celler/mikroliter) observerades inte hos nemolizumab-behandlade patienter med AD under den inledande behandlingsperioden. Biverkningar i form av eosinofili rapporterades hos 0,2 % av patienterna med AD som behandlades med nemolizumab under den inledande behandlingsperioden fram till vecka 16. Alla händelser hos patienter med AD var lindriga i intensitet och inte förknippade med kliniska symtom. Ingen behandlingsrelaterad biverkning förknippad med eosinofili ledde till avbrytande av behandlingen. Bortsett från ett fall av eosinofil kolit hos en patient med AD och andra atopiska komorbiditeter, fanns inga andra rapporter om eosinofila sjukdomar.
Pediatrisk population
Atopisk dermatit
Ungdomar (åldern 12 till 17 år)
Säkerheten för nemolizumab utvärderades hos 176 pediatriska patienter i åldern 12 till 17 år med måttlig till svår atopisk dermatit som inkluderades i studierna ARCADIA 1 och ARCADIA 2. Säkerhetsprofilen för nemolizumab hos dessa patienter till och med vecka 16 liknade säkerhetsprofilen som sågs hos vuxna med atopisk dermatit.
Rapportering av misstänkta biverkningar
Det finns ingen specifik behandling för överdosering av nemolizumab. Vid överdosering ska patienten övervakas för eventuella tecken eller symtom på biverkningar och lämplig symtomatisk behandling ska sättas in omedelbart.
Immunogenicitet
Anti‑läkemedelsantikroppar (anti‑drug antibodies, ADA) upptäcktes ofta. Inga bevis på att ADA påverkade farmakokinetik, effekt eller säkerhet observerades.
Klinisk effekt och säkerhet vid atopisk dermatit
Vuxna och ungdomar med atopisk dermatit
Effekten och säkerheten av nemolizumab med samtidig topikal bakgrundsbehandling utvärderades i två randomiserade, dubbelblinda, placebokontrollerade pivotala studier (ARCADIA 1 och ARCADIA 2) som inkluderade totalt 1 728 patienter i åldern 12 år och äldre med måttlig till svår atopisk dermatit som inte var tillräckligt kontrollerad med topikala behandlingar. Sjukdomens svårighetsgrad definierades genom en poäng på 3 (måttlig) respektive 4 (svår) enligt en skala för prövarens globala bedömning (Investigator’s Global Assessment, IGA) i den övergripande bedömningen av atopisk dermatit, en poäng på ≥ 16 % enligt ett index för område och svårighetsgrad av eksem (Eczema Area and Severity Index, EASI), ett minsta engagemang på ≥ 10 % av kroppsytan (Body Surface Area, BSA), och en poäng på ≥ 4 enligt en numerisk skattningsskala för värsta klåda (Peak Pruritus Numeric Rating Scale, PP NRS).
Patienterna i studierna fick initiala subkutana injektioner med antingen nemolizumab 60 mg, följt av 30 mg injektioner var 4:e vecka, eller överensstämmande placebo. Samtidiga låg- och/eller medelstarka TCS och/eller TCI administrerades i både nemolizumab- och placebogrupperna i minst 14 dagar före baslinjen och fortsatte under studien. Baserat på sjukdomsaktivitet kan dessa samtidiga behandlingar trappas ned och/eller sättas ut enligt prövarens gottfinnande.
Efter 16 veckor fortsatte patienter som uppnådde antingen minst 75 % minskning av EASI (EASI-75) eller IGA-framgång till studiens underhållsperiod i ytterligare 32 veckor för utvärdering av bibehållen respons uppnådd vid vecka 16. Patienter med respons på nemolizumab återrandomiserades till antingen nemolizumab 30 mg var 4:e vecka, nemolizumab 30 mg var 8:e vecka eller placebo var 4:e vecka (alla grupper fortsatte med bakgrunds-TCS/TCI). Patienter som randomiserats till placebo under den inledande behandlingsperioden och som uppnått samma kliniska respons vid vecka 16 fortsatte att få placebo var 4:e vecka. Patienter utan respons vid vecka 16, patienter som förlorade klinisk respons under underhållsperioden och patienter som slutförde underhållsperioden hade möjlighet att gå över till den öppna studien (ARCADIA LTE) och få behandling med nemolizumab 30 mg var 4:e vecka i upp till 200 veckor.
Effektmått
I både ARCADIA 1 och ARCADIA 2 bedömdes de primära resultatmåtten för:
Andelen patienter med en IGA-framgång (definierat som en IGA-poäng på 0 [läkt] eller 1 [nästan läkt] och en ≥ 2 poängs minskning från baslinjen) vid vecka 16.
Andelen patienter med EASI-75 (≥ 75 % förbättring av EASI från baslinjen) vid vecka 16.
Viktiga sekundära resultatmått inkluderade förbättring av PP NRS ≥ 4 från baslinjen vid vecka 1, 2, 4 och 16; förbättring av PP NRS < 2 vid vecka 4 och 16; förbättring med ≥ 4 från baslinjen vid vecka 16 enligt en numerisk skattningsskala för sömnstörning (Sleep Disturbance Numeric Rating Scale, SD NRS); patienter med förbättring ≥ 4 av både EASI-75 och PP NRS från baslinjen vid vecka 16; och patienter med både IGA-framgång och PP NRS ≥ 4 från baslinjen vid vecka 16.
Baslinjeegenskaper
I dessa studier var vid baslinjen 51,0 % av patienterna män, 79,9 % var vita och genomsnittsvikten var 75,0 kg. Genomsnittsåldern var 34,1 år, 15,4 % av patienterna var ungdomar (12–17 år) och 5,3 % var 65 år eller äldre. Sjuttio procent (70 %) av patienterna hade en IGA-poäng vid baslinjen på 3 (måttlig AD) och 30 % av patienterna hade en IGA-poäng vid baslinjen på 4 (svår AD). Den genomsnittliga (standardavvikelse [Standard Deviation, SD]) EASI-poängen vid baslinjen var 27,5 (10,5), veckogenomsnittet (SD) för PP NRS-poäng vid baslinjen var 7,1 (1,5) (svår klåda) och genomsnittlig (SD) SD NRS vid baslinjen var 5,8 (2,2). Totalt 63,3 % av patienterna hade fått andra tidigare systemiska behandlingar för atopisk dermatit.
Klinisk respons
ARCADIA 1 och ARCADIA 2 – vuxna och ungdomar – induktionsperiod, vecka 0 till vecka 16
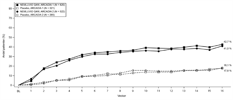
Nemolizumab var statistiskt signifikant överlägset placebo med avseende på de hudrelaterade samprimära resultatmåtten IGA-framgång och EASI-75 under 16 veckor (tabell 2). Resultaten för de båda samprimära resultatmåtten var överensstämmande i populationen med svår klåda (baslinje-PP NRS ≥ 7 poäng).
Tabell 2 – Effektresultat för nemolizumab (30 mg var fjärde vecka med samtidig TCS/TCI i ARCADIA 1 och ARCADIA 2 vid vecka 16
a Patienter som fick vid-behovsbehandling eller med saknade data betraktades som patienter utan respons.
*p-värde < 0,0001, #p-värde < 0,001
Stratajusterat p-värde är baserat på ett Cochran-Mantel-Haenszel (CMH)-test, stratifierat enligt PP NRS- och IGA-poäng vid baslinjen.
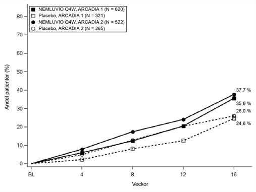
Figur 1 – Andel patienter med IGA-framgång och EASI-75 från baslinjen till vecka 16 i ARCADIA 1 och ARCADIA 2
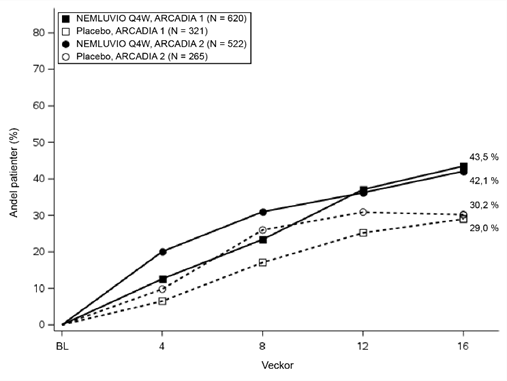
Signifikant förbättring av pruritus hos patienter som behandlades med nemolizumab i ARCADIA 1 och ARCADIA 2 jämfört med placebo baserat på PP NRS-förbättringar ≥ 4 poäng och PP NRS procentuell förändring från baslinjen observerades från och med vecka 1 och bibehölls fram till vecka 16 (tabell 3 och figur 2). Resultaten var överensstämmande i populationen med svår klåda (baslinje-PP NRS ≥ 7 poäng).
Tabell 3 – Effektresultat på klåda för nemolizumab med samtidig TCS/TCI i ARCADIA 1 och ARCADIA 2 fram till vecka 16
a Patienter som fick vid-behovsbehandling eller med saknade data betraktades som patienter utan respons.
*p-värde < 0,0001,§p-värde < 0,05 Stratajusterat p-värde är baserat på CMH-testet, stratifierat enligt PP NRS- och IGA-poäng vid baslinjen.
Figur 2 – Andel patienter med PP NRS-förbättring på ≥ 4 poäng från baslinjen fram till vecka 16 i ARCADIA 1 och ARCADIA 2
Hos patienter med en kroppsvikt på ≥ 90 kg fanns det i en post hoc-analys i var och en av de pivotala studierna ingen skillnad i antiinflammatorisk respons (IGA 0 eller IGA 1 och EASI 75) vid vecka 16 mellan nemolizumab- och placebogrupperna, även om effekten observerades i fråga om minskad klåda (PP NRS). Den numeriska skalan för sömnstörning (SD NRS) är en daglig skala som används av patienterna för att rapportera graden av sömnförlust relaterad till atopisk dermatit. En signifikant förbättring av sömnstörningar observerades vid vecka 16 jämfört med placebo (tabell 4). Resultaten var överensstämmande i populationen med svår klåda (baslinje-PP NRS ≥ 7 poäng).
Tabell 4 – Effekt på sömnstörningar för nemolizumab med samtidig TCS/TCI i ARCADIA 1 och ARCADIA 2 vid vecka 16
a Patienter som fick vid-behovsbehandling eller med saknade data betraktades som patienter utan respons.
*p-värde < 0,0001Stratajusterat p-värde är baserat på CMH-testet, stratifierat enligt PP NRS- och IGA-poäng vid baslinjen.
Ungdomar med atopisk dermatit (i åldern 12 till 17 år)
Effektresultaten från studierna ARCADIA 1 och ARCADIA 2 vid vecka 16 för pediatriska patienter i åldern 12 till 17 år presenteras i tabell 5. Resultaten i den pediatriska patientpopulationen var generellt överensstämmande med resultaten i den vuxna patientpopulationen. Resultaten för samprimära och viktiga sekundära resultatmått var överensstämmande i populationen med svår klåda (baslinje-PP NRS ≥ 7 poäng).
Tabell 5 – Effektresultat för nemolizumab 30 mg var fjärde vecka med samtidig TCS/TCI i ARCADIA 1 och ARCADIA 2 vid vecka 16 hos pediatriska patienter i åldern 12 till 17 år
a Patienter som fick vid-behovsbehandling eller med saknade data betraktades som patienter utan respons.
‡p-värde < 0,0001, #p-värde < 0,001, *p-värde < 0,05, ∞p-värde = 0,0591, §p-värde = 0,1824
Stratajusterat p-värde är baserat på ett CMH-test, stratifierat enligt PP NRS- och IGA-poäng vid baslinjen.
ARCADIA 1 och ARCADIA 2 – vuxna och ungdomar – underhållsperiod, vecka 16 till vecka 48
Den kliniska responsen hos patienter med respons på nemolizumab (IGA 0/1 eller EASI-75 vid vecka 16) utvärderades mellan vecka 16 och vecka 48 i ARCADIA 1- och ARCADIA 2-studierna. För underhållsperioden återrandomiserades 507 patienter med respons på nemolizumab till nemolizumab 30 mg var fjärde vecka, nemolizumab 30 mg var åttonde vecka eller placebo var fjärde vecka (utsättning av nemolizumab) med samtidig TCS/TCI. De sammanslagna effektresultaten med deskriptiv analys endast för denna period i de pivotala studierna (ARCADIA 1 och ARCADIA 2) med nemolizumab vid vecka 48 presenteras i tabell 6.
Tabell 6 – Underhållsperiod med sammanslagna effektresultat för nemolizumab med samtidig TCS/TCI i ARCADIA 1 och ARCADIA 2 vid vecka 48
a Patienter som fick vid-behovsbehandling eller med saknade data betraktades som patienter utan respons.
Klinisk effekt och säkerhet hos vuxna med prurigo nodularis
Effekten och säkerheten av nemolizumab som monoterapi utvärderades i två randomiserade, dubbelblinda, placebokontrollerade pivotala studier (OLYMPIA 1 och OLYMPIA 2) som inkluderade totalt 560 patienter i åldern 18 år och äldre med måttlig till svår prurigo nodularis. Sjukdomens svårighetsgrad definierades med hjälp av prövarens globala bedömning (IGA) i den övergripande bedömningen av prurigo nodularis på en svårighetsskala från 0 till 4. Patienterna som inkluderades i dessa två studier hade en IGA-poäng på ≥ 3, svår klåda definierat som ett veckogenomsnitt på den numeriska skalan för värsta klåda (PP NRS) på ≥ 7 poäng på en skala från 0 till 10, och fler än eller lika med 20 nodulära lesioner. I studierna OLYMPIA 1 och OLYMPIA 2 bedömdes effekten av nemolizumab som monoterapi på tecknen och symtomen på prurigo nodularis, med inriktning på förbättring av hudlesioner och klåda under 16 veckor. OLYMPIA 1 hade en behandlingsperiod på 24 veckor och OLYMPIA 2 en behandlingsperiod på 16 veckor.
I behandlingsgruppen med nemolizumab fick patienter som vägde mindre än 90 kg subkutana injektioner med nemolizumab 60 mg (2 injektioner på 30 mg) vid vecka 0, följt av 30 mg-injektioner var fjärde vecka, och patienter som vägde 90 kg eller mer fick subkutana injektioner med nemolizumab 60 mg (2 injektioner på 30 mg) vid vecka 0 och var fjärde vecka.
Effektmått
I både OLYMPIA 1 och OLYMPIA 2 bedömdes samma två primära resultatmått:
Andelen patienter med en förbättring på ≥ 4 poäng från baslinjen på den numeriska skattningsskalan för värsta klåda (PP NRS) fram till vecka 16.
Andelen patienter med en IGA-framgång (definierat som en IGA-poäng på 0 [läkt] eller 1 [nästan läkt] och en ≥ 2 poängs förbättring från baslinjen) vid vecka 16.
Viktiga sekundära resultatmått inkluderade förbättring av PP NRS ≥ 4 från baslinjen vid vecka 4, PP NRS < 2 vid vecka 4 och 16, samt förbättring med ≥ 4 från baslinjen vid vecka 4 och 16 enligt den numeriska skattningsskalan för sömnstörning (SD NRS).
Baslinjeegenskaper
I dessa studier var vid baslinjen 59,6 % av patienterna kvinnor, 81,4 % var vita, genomsnittsvikten var 82,6 kg, genomsnittsåldern var 55,2 år och 25,4 % av patienterna var äldre än 65 år. Veckogenomsnittet i PP NRS-poäng vid baslinjen var ett genomsnitt (SD) på 8,4 (0,9). Femtioåtta procent (58 %) av patienterna hade en IGA-poäng vid baslinjen på 3 (måttlig PN) och 42 % av patienterna hade en IGA-poäng vid baslinjen på 4 (svår PN).
Klinisk respons
Pivotala studier (OLYMPIA 1 och OLYMPIA 2) – vecka 0 till vecka 16
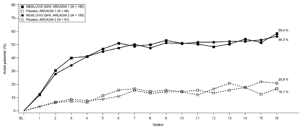
Resultaten från de pivotala studierna som utvärderade behandling med nemolizumab i OLYMPIA 1 och OLYMPIA 2 presenteras i tabell 7 och visar signifikant förbättring hos nemolizumab-behandlade patienter jämfört med placebo för de två primära resultatmåtten (figur 3 och figur 4).
Tabell 7 – Effektresultat för nemolizumab som monoterapi var fjärde vecka i OLYMPIA 1 och OLYMPIA 2
a Om en patient fick någon vid-behovsbehandling tillämpas en strategi med sammansatt variabel, där underliggande data vid/efter mottagande av vid-behovsbehandling anges som sämsta möjliga värde och respons härleds från underliggande datavärde. Patienter med saknade resultat betraktas som patienter utan respons.
*p-värde < 0,0001, #p-värde = 0,0025, Stratajusterat med användning av de randomiserade stratifieringsvariablerna (analyscenter och kroppsvikt vid baslinjen (< 90 kg, ≥ 90 kg).
Figur 3 – Andel patienter med PP NRS-förbättring på ≥ 4 poäng från baslinjen till vecka 16
Figur 4 – Andel patienter med IGA-respons från baslinjen till vecka 16
Absorption
Efter en initial subkutan dos på 60 mg hos patienter med AD eller PN var den populationsfarmakokinetiska uppskattade genomsnittliga (SD) toppkoncentrationen (Cmax) 6,7 (2,20) μg/ml inom cirka 6 dagar efter dos.
Efter flera doser hos patienter med atopisk dermatit var de populationsfarmakokinetiska uppskattade genomsnittliga (SD) steady-state-dalkoncentrationerna av nemolizumab 2,63 (1,27) μg/ml för 30 mg administrerat var fjärde vecka och 0,74 (0,44) μg/ml för 30 mg administrerat var åttonde vecka.
Efter flera doser hos patienter med prurigo nodularis var de populationsfarmakokinetiska uppskattade genomsnittliga (SD) steady-state-dalkoncentrationerna av nemolizumab 3,04 (1,23) μg/ml hos patienter med en kroppsvikt på < 90 kg för 30 mg administrerat var fjärde vecka och 3,66 (1,63) μg/ml hos patienter med en kroppsvikt på ≥ 90 kg för 60 mg administrerat var fjärde vecka.
I både populationen med atopisk dermatit och populationen med prurigo nodularis uppnåddes steady-state-koncentrationer av nemolizumab vid vecka 4 efter en 60 mg-laddningsdos och vid vecka 12 utan någon laddningsdos.
En laddningsdos föreslås för patienter med PN som har en kroppsvikt < 90 kg. För patienter med en kroppsvikt ≥ 90 kg föreslås dock ingen laddningsdos eftersom 60 mg-dosen var tillräcklig för att uppnå liknande steady-state-koncentrationer av nemolizumab som 30 mg-dosen (med 60 mg-laddningsdos) efter den andra dosen (vid vecka 8).
Distribution
Baserat på en populationsfarmakokinetisk analys var den skenbara distributionsvolymen (V/F) 7,67 l.
Metabolism
Specifika metabolismstudier utfördes inte eftersom nemolizumab är ett protein. Nemolizumab förväntas metaboliseras till små peptider via kataboliska banor.
Eliminering
Nemolizumab förväntas brytas ned på samma sätt som endogent IgG. I den populationsfarmakokinetiska analysen uppskattades den terminala elimineringshalveringstiden (SD) för nemolizumab till 18,9 (4,96) dagar och skenbar systemisk clearance (Cl/F) uppskattades till 0,26 l/dag.
Linjäritet/icke-linjäritet
Efter en enkeldos uppvisade nemolizumab linjär farmakokinetik med exponeringar som ökade dosproportionellt mellan 0,03 och 3 mg/kg.
Efter flera doser ökade den systemiska exponeringen för nemolizumab ungefär dosproportionellt över det subkutana dosintervallet upp till 30 mg. Med den subkutana dosen på 60 mg förekom en liten minskning av biotillgängligheten med 9 %.
Särskilda populationer
Kön, ålder och etnicitet
Kön, ålder (intervall 12 till 85 år för AD och 18 till 84 år för PN) och etnicitet hade inte någon kliniskt relevant effekt på farmakokinetiken för nemolizumab.
Nedsatt leverfunktion
Nemolizumab förväntas inte, i egenskap av en monoklonal antikropp, genomgå någon signifikant eliminering via levern. Inga kliniska studier har utförts för att utvärdera effekten av nedsatt leverfunktion på farmakokinetiken för nemolizumab. Lindrigt till måttligt nedsatt leverfunktion befanns inte påverka farmakokinetiken för nemolizumab fastställt genom populationsfarmakokinetisk analys. Inga data finns tillgängliga för patienter med svårt nedsatt leverfunktion.
Nedsatt njurfunktion
Nemolizumab förväntas inte, i egenskap av en monoklonal antikropp, genomgå någon signifikant eliminering via njurarna. Inga kliniska studier har utförts för att utvärdera effekten av nedsatt njurfunktion på farmakokinetiken för nemolizumab. En populationsfarmakokinetisk analys identifierade inte lindrig eller måttlig njursvikt som något som har någon kliniskt meningsfull inverkan på den systemiska exponeringen för nemolizumab. Mycket begränsade data finns tillgängliga för patienter med svårt nedsatt njurfunktion.
Kroppsvikt
Exponeringen för nemolizumab var lägre hos patienter med högre kroppsvikt.
Atopisk dermatit
Skillnaden i systemisk exponering på grund av kroppsvikt hade ingen kliniskt meningsfull inverkan på effekten. Ingen dosjustering baserad på kroppsvikt behövs (se avsnitt 4.2).
Prurigo nodularis
Variationen i systemisk exponering på grund av kroppsvikt hade en kliniskt meningsfull inverkan på hudlesioneffekten bedömd enligt IGA-respons men inte på förbättring av klåda och kräver dosjustering hos patienter med PN (se avsnitt 4.2).
Pediatrisk population
Atopisk dermatit
I den populationsfarmakokinetiska analysen uppskattades ingen kliniskt relevant skillnad i farmakokinetiken för nemolizumab hos pediatriska patienter i åldern 12–17 år jämfört med vuxna. Dosjustering för denna population rekommenderas inte.
Gängse studier avseende säkerhetsfarmakologi och allmäntoxicitet visade inte några särskilda risker för människa.
Den mutagena potentialen hos nemolizumab har inte utvärderats, men monoklonala antikroppar förväntas inte förändra DNA eller kromosomer.
Inga karcinogenicitetsstudier har utförts med nemolizumab. Utvärdering av tillgängliga bevis relaterade till IL-31-hämning och djurtoxikologiska data tyder inte på någon karcinogen potential.
Inga effekter på fertilitetsparametrar observerades hos könsmogna krabbmakaker efter långvarig subkutan behandling med nemolizumab. I gruppen med dräktiga hondjur som behandlades med 25 mg/kg nemolizumab varannan vecka från tidig organogenes till förlossning, observerades en något ökad förekomst av dödsfall hos avkomma under den tidiga postnatala perioden. De dräktiga hondjurens exponeringar (AUC) var 43 eller 34 gånger högre än human exponering vid maximal rekommenderad human dos hos patienter med AD respektive PN. Ett samband mellan detta fynd och nemolizumab kan inte uteslutas.
Farmakoterapeutisk grupp: Övriga dermatologiska medel, medel vid dermatit, exkl. kortikosteroider, ATC-kod: D11AH12
Verkningsmekanism
Nemolizumab är en humaniserad IgG2 monoklonal antikropp som hämmar interleukin-31 (IL-31)-signalering genom att selektivt bindas till interleukin-31‑receptor alfa (IL-31 RA). IL‑31 är ett naturligt förekommande cytokin som är involverat i pruritus, inflammation, epidermal dysreglering och fibros. Nemolizumab hämmade IL-31-inducerade responser, inklusive frisättningen av proinflammatoriska cytokiner och kemokiner.
I kliniska studier av atopisk dermatit fann man att nemolizumab modulerar genuttryck relaterade till patofysiologin för atopisk dermatit, med en primär inverkan på immunsystemets processer, genom att minska den inflammatoriska och proliferativa profilen hos specifika immunceller (T-celler och monocyter/makrofager) utan att leda till immunsuppression.
I kliniska studier av prurigo nodularis fann man att nemolizumab modulerar molekylära processer relaterade till patofysiologin för prurigo nodularis, med inverkan på klåda, inflammation, epidermal differentiering och fibros.
Farmakodynamisk effekt
Immunogenicitet
Anti‑läkemedelsantikroppar (anti‑drug antibodies, ADA) upptäcktes ofta. Inga bevis på att ADA påverkade farmakokinetik, effekt eller säkerhet observerades.
Klinisk effekt och säkerhet vid atopisk dermatit
Vuxna och ungdomar med atopisk dermatit
Effekten och säkerheten av nemolizumab med samtidig topikal bakgrundsbehandling utvärderades i två randomiserade, dubbelblinda, placebokontrollerade pivotala studier (ARCADIA 1 och ARCADIA 2) som inkluderade totalt 1 728 patienter i åldern 12 år och äldre med måttlig till svår atopisk dermatit som inte var tillräckligt kontrollerad med topikala behandlingar. Sjukdomens svårighetsgrad definierades genom en poäng på 3 (måttlig) respektive 4 (svår) enligt en skala för prövarens globala bedömning (Investigator’s Global Assessment, IGA) i den övergripande bedömningen av atopisk dermatit, en poäng på ≥ 16 % enligt ett index för område och svårighetsgrad av eksem (Eczema Area and Severity Index, EASI), ett minsta engagemang på ≥ 10 % av kroppsytan (Body Surface Area, BSA), och en poäng på ≥ 4 enligt en numerisk skattningsskala för värsta klåda (Peak Pruritus Numeric Rating Scale, PP NRS).
Patienterna i studierna fick initiala subkutana injektioner med antingen nemolizumab 60 mg, följt av 30 mg injektioner var 4:e vecka, eller överensstämmande placebo. Samtidiga låg- och/eller medelstarka TCS och/eller TCI administrerades i både nemolizumab- och placebogrupperna i minst 14 dagar före baslinjen och fortsatte under studien. Baserat på sjukdomsaktivitet kan dessa samtidiga behandlingar trappas ned och/eller sättas ut enligt prövarens gottfinnande.
Efter 16 veckor fortsatte patienter som uppnådde antingen minst 75 % minskning av EASI (EASI-75) eller IGA-framgång till studiens underhållsperiod i ytterligare 32 veckor för utvärdering av bibehållen respons uppnådd vid vecka 16. Patienter med respons på nemolizumab återrandomiserades till antingen nemolizumab 30 mg var 4:e vecka, nemolizumab 30 mg var 8:e vecka eller placebo var 4:e vecka (alla grupper fortsatte med bakgrunds-TCS/TCI). Patienter som randomiserats till placebo under den inledande behandlingsperioden och som uppnått samma kliniska respons vid vecka 16 fortsatte att få placebo var 4:e vecka. Patienter utan respons vid vecka 16, patienter som förlorade klinisk respons under underhållsperioden och patienter som slutförde underhållsperioden hade möjlighet att gå över till den öppna studien (ARCADIA LTE) och få behandling med nemolizumab 30 mg var 4:e vecka i upp till 200 veckor.
Effektmått
I både ARCADIA 1 och ARCADIA 2 bedömdes de primära resultatmåtten för:
Andelen patienter med en IGA-framgång (definierat som en IGA-poäng på 0 [läkt] eller 1 [nästan läkt] och en ≥ 2 poängs minskning från baslinjen) vid vecka 16.
Andelen patienter med EASI-75 (≥ 75 % förbättring av EASI från baslinjen) vid vecka 16.
Viktiga sekundära resultatmått inkluderade förbättring av PP NRS ≥ 4 från baslinjen vid vecka 1, 2, 4 och 16; förbättring av PP NRS < 2 vid vecka 4 och 16; förbättring med ≥ 4 från baslinjen vid vecka 16 enligt en numerisk skattningsskala för sömnstörning (Sleep Disturbance Numeric Rating Scale, SD NRS); patienter med förbättring ≥ 4 av både EASI-75 och PP NRS från baslinjen vid vecka 16; och patienter med både IGA-framgång och PP NRS ≥ 4 från baslinjen vid vecka 16.
Baslinjeegenskaper
I dessa studier var vid baslinjen 51,0 % av patienterna män, 79,9 % var vita och genomsnittsvikten var 75,0 kg. Genomsnittsåldern var 34,1 år, 15,4 % av patienterna var ungdomar (12–17 år) och 5,3 % var 65 år eller äldre. Sjuttio procent (70 %) av patienterna hade en IGA-poäng vid baslinjen på 3 (måttlig AD) och 30 % av patienterna hade en IGA-poäng vid baslinjen på 4 (svår AD). Den genomsnittliga (standardavvikelse [Standard Deviation, SD]) EASI-poängen vid baslinjen var 27,5 (10,5), veckogenomsnittet (SD) för PP NRS-poäng vid baslinjen var 7,1 (1,5) (svår klåda) och genomsnittlig (SD) SD NRS vid baslinjen var 5,8 (2,2). Totalt 63,3 % av patienterna hade fått andra tidigare systemiska behandlingar för atopisk dermatit.
Klinisk respons
ARCADIA 1 och ARCADIA 2 – vuxna och ungdomar – induktionsperiod, vecka 0 till vecka 16
Nemolizumab var statistiskt signifikant överlägset placebo med avseende på de hudrelaterade samprimära resultatmåtten IGA-framgång och EASI-75 under 16 veckor (tabell 2). Resultaten för de båda samprimära resultatmåtten var överensstämmande i populationen med svår klåda (baslinje-PP NRS ≥ 7 poäng).
Tabell 2 – Effektresultat för nemolizumab (30 mg var fjärde vecka med samtidig TCS/TCI i ARCADIA 1 och ARCADIA 2 vid vecka 16
a Patienter som fick vid-behovsbehandling eller med saknade data betraktades som patienter utan respons.
*p-värde < 0,0001, #p-värde < 0,001
Stratajusterat p-värde är baserat på ett Cochran-Mantel-Haenszel (CMH)-test, stratifierat enligt PP NRS- och IGA-poäng vid baslinjen.
Figur 1 – Andel patienter med IGA-framgång och EASI-75 från baslinjen till vecka 16 i ARCADIA 1 och ARCADIA 2
Signifikant förbättring av pruritus hos patienter som behandlades med nemolizumab i ARCADIA 1 och ARCADIA 2 jämfört med placebo baserat på PP NRS-förbättringar ≥ 4 poäng och PP NRS procentuell förändring från baslinjen observerades från och med vecka 1 och bibehölls fram till vecka 16 (tabell 3 och figur 2). Resultaten var överensstämmande i populationen med svår klåda (baslinje-PP NRS ≥ 7 poäng).
Tabell 3 – Effektresultat på klåda för nemolizumab med samtidig TCS/TCI i ARCADIA 1 och ARCADIA 2 fram till vecka 16
a Patienter som fick vid-behovsbehandling eller med saknade data betraktades som patienter utan respons.
*p-värde < 0,0001,§p-värde < 0,05 Stratajusterat p-värde är baserat på CMH-testet, stratifierat enligt PP NRS- och IGA-poäng vid baslinjen.
Figur 2 – Andel patienter med PP NRS-förbättring på ≥ 4 poäng från baslinjen fram till vecka 16 i ARCADIA 1 och ARCADIA 2
Hos patienter med en kroppsvikt på ≥ 90 kg fanns det i en post hoc-analys i var och en av de pivotala studierna ingen skillnad i antiinflammatorisk respons (IGA 0 eller IGA 1 och EASI 75) vid vecka 16 mellan nemolizumab- och placebogrupperna, även om effekten observerades i fråga om minskad klåda (PP NRS). Den numeriska skalan för sömnstörning (SD NRS) är en daglig skala som används av patienterna för att rapportera graden av sömnförlust relaterad till atopisk dermatit. En signifikant förbättring av sömnstörningar observerades vid vecka 16 jämfört med placebo (tabell 4). Resultaten var överensstämmande i populationen med svår klåda (baslinje-PP NRS ≥ 7 poäng).
Tabell 4 – Effekt på sömnstörningar för nemolizumab med samtidig TCS/TCI i ARCADIA 1 och ARCADIA 2 vid vecka 16
a Patienter som fick vid-behovsbehandling eller med saknade data betraktades som patienter utan respons.
*p-värde < 0,0001Stratajusterat p-värde är baserat på CMH-testet, stratifierat enligt PP NRS- och IGA-poäng vid baslinjen.
Ungdomar med atopisk dermatit (i åldern 12 till 17 år)
Effektresultaten från studierna ARCADIA 1 och ARCADIA 2 vid vecka 16 för pediatriska patienter i åldern 12 till 17 år presenteras i tabell 5. Resultaten i den pediatriska patientpopulationen var generellt överensstämmande med resultaten i den vuxna patientpopulationen. Resultaten för samprimära och viktiga sekundära resultatmått var överensstämmande i populationen med svår klåda (baslinje-PP NRS ≥ 7 poäng).
Tabell 5 – Effektresultat för nemolizumab 30 mg var fjärde vecka med samtidig TCS/TCI i ARCADIA 1 och ARCADIA 2 vid vecka 16 hos pediatriska patienter i åldern 12 till 17 år
a Patienter som fick vid-behovsbehandling eller med saknade data betraktades som patienter utan respons.
‡p-värde < 0,0001, #p-värde < 0,001, *p-värde < 0,05, ∞p-värde = 0,0591, §p-värde = 0,1824
Stratajusterat p-värde är baserat på ett CMH-test, stratifierat enligt PP NRS- och IGA-poäng vid baslinjen.
ARCADIA 1 och ARCADIA 2 – vuxna och ungdomar – underhållsperiod, vecka 16 till vecka 48
Den kliniska responsen hos patienter med respons på nemolizumab (IGA 0/1 eller EASI-75 vid vecka 16) utvärderades mellan vecka 16 och vecka 48 i ARCADIA 1- och ARCADIA 2-studierna. För underhållsperioden återrandomiserades 507 patienter med respons på nemolizumab till nemolizumab 30 mg var fjärde vecka, nemolizumab 30 mg var åttonde vecka eller placebo var fjärde vecka (utsättning av nemolizumab) med samtidig TCS/TCI. De sammanslagna effektresultaten med deskriptiv analys endast för denna period i de pivotala studierna (ARCADIA 1 och ARCADIA 2) med nemolizumab vid vecka 48 presenteras i tabell 6.
Tabell 6 – Underhållsperiod med sammanslagna effektresultat för nemolizumab med samtidig TCS/TCI i ARCADIA 1 och ARCADIA 2 vid vecka 48
a Patienter som fick vid-behovsbehandling eller med saknade data betraktades som patienter utan respons.
Klinisk effekt och säkerhet hos vuxna med prurigo nodularis
Effekten och säkerheten av nemolizumab som monoterapi utvärderades i två randomiserade, dubbelblinda, placebokontrollerade pivotala studier (OLYMPIA 1 och OLYMPIA 2) som inkluderade totalt 560 patienter i åldern 18 år och äldre med måttlig till svår prurigo nodularis. Sjukdomens svårighetsgrad definierades med hjälp av prövarens globala bedömning (IGA) i den övergripande bedömningen av prurigo nodularis på en svårighetsskala från 0 till 4. Patienterna som inkluderades i dessa två studier hade en IGA-poäng på ≥ 3, svår klåda definierat som ett veckogenomsnitt på den numeriska skalan för värsta klåda (PP NRS) på ≥ 7 poäng på en skala från 0 till 10, och fler än eller lika med 20 nodulära lesioner. I studierna OLYMPIA 1 och OLYMPIA 2 bedömdes effekten av nemolizumab som monoterapi på tecknen och symtomen på prurigo nodularis, med inriktning på förbättring av hudlesioner och klåda under 16 veckor. OLYMPIA 1 hade en behandlingsperiod på 24 veckor och OLYMPIA 2 en behandlingsperiod på 16 veckor.
I behandlingsgruppen med nemolizumab fick patienter som vägde mindre än 90 kg subkutana injektioner med nemolizumab 60 mg (2 injektioner på 30 mg) vid vecka 0, följt av 30 mg-injektioner var fjärde vecka, och patienter som vägde 90 kg eller mer fick subkutana injektioner med nemolizumab 60 mg (2 injektioner på 30 mg) vid vecka 0 och var fjärde vecka.
Effektmått
I både OLYMPIA 1 och OLYMPIA 2 bedömdes samma två primära resultatmått:
Andelen patienter med en förbättring på ≥ 4 poäng från baslinjen på den numeriska skattningsskalan för värsta klåda (PP NRS) fram till vecka 16.
Andelen patienter med en IGA-framgång (definierat som en IGA-poäng på 0 [läkt] eller 1 [nästan läkt] och en ≥ 2 poängs förbättring från baslinjen) vid vecka 16.
Viktiga sekundära resultatmått inkluderade förbättring av PP NRS ≥ 4 från baslinjen vid vecka 4, PP NRS < 2 vid vecka 4 och 16, samt förbättring med ≥ 4 från baslinjen vid vecka 4 och 16 enligt den numeriska skattningsskalan för sömnstörning (SD NRS).
Baslinjeegenskaper
I dessa studier var vid baslinjen 59,6 % av patienterna kvinnor, 81,4 % var vita, genomsnittsvikten var 82,6 kg, genomsnittsåldern var 55,2 år och 25,4 % av patienterna var äldre än 65 år. Veckogenomsnittet i PP NRS-poäng vid baslinjen var ett genomsnitt (SD) på 8,4 (0,9). Femtioåtta procent (58 %) av patienterna hade en IGA-poäng vid baslinjen på 3 (måttlig PN) och 42 % av patienterna hade en IGA-poäng vid baslinjen på 4 (svår PN).
Klinisk respons
Pivotala studier (OLYMPIA 1 och OLYMPIA 2) – vecka 0 till vecka 16
Resultaten från de pivotala studierna som utvärderade behandling med nemolizumab i OLYMPIA 1 och OLYMPIA 2 presenteras i tabell 7 och visar signifikant förbättring hos nemolizumab-behandlade patienter jämfört med placebo för de två primära resultatmåtten (figur 3 och figur 4).
Tabell 7 – Effektresultat för nemolizumab som monoterapi var fjärde vecka i OLYMPIA 1 och OLYMPIA 2
a Om en patient fick någon vid-behovsbehandling tillämpas en strategi med sammansatt variabel, där underliggande data vid/efter mottagande av vid-behovsbehandling anges som sämsta möjliga värde och respons härleds från underliggande datavärde. Patienter med saknade resultat betraktas som patienter utan respons.
*p-värde < 0,0001, #p-värde = 0,0025, Stratajusterat med användning av de randomiserade stratifieringsvariablerna (analyscenter och kroppsvikt vid baslinjen (< 90 kg, ≥ 90 kg).
Figur 3 – Andel patienter med PP NRS-förbättring på ≥ 4 poäng från baslinjen till vecka 16
Figur 4 – Andel patienter med IGA-respons från baslinjen till vecka 16
Absorption
Efter en initial subkutan dos på 60 mg hos patienter med AD eller PN var den populationsfarmakokinetiska uppskattade genomsnittliga (SD) toppkoncentrationen (Cmax) 6,7 (2,20) μg/ml inom cirka 6 dagar efter dos.
Efter flera doser hos patienter med atopisk dermatit var de populationsfarmakokinetiska uppskattade genomsnittliga (SD) steady-state-dalkoncentrationerna av nemolizumab 2,63 (1,27) μg/ml för 30 mg administrerat var fjärde vecka och 0,74 (0,44) μg/ml för 30 mg administrerat var åttonde vecka.
Efter flera doser hos patienter med prurigo nodularis var de populationsfarmakokinetiska uppskattade genomsnittliga (SD) steady-state-dalkoncentrationerna av nemolizumab 3,04 (1,23) μg/ml hos patienter med en kroppsvikt på < 90 kg för 30 mg administrerat var fjärde vecka och 3,66 (1,63) μg/ml hos patienter med en kroppsvikt på ≥ 90 kg för 60 mg administrerat var fjärde vecka.
I både populationen med atopisk dermatit och populationen med prurigo nodularis uppnåddes steady-state-koncentrationer av nemolizumab vid vecka 4 efter en 60 mg-laddningsdos och vid vecka 12 utan någon laddningsdos.
En laddningsdos föreslås för patienter med PN som har en kroppsvikt < 90 kg. För patienter med en kroppsvikt ≥ 90 kg föreslås dock ingen laddningsdos eftersom 60 mg-dosen var tillräcklig för att uppnå liknande steady-state-koncentrationer av nemolizumab som 30 mg-dosen (med 60 mg-laddningsdos) efter den andra dosen (vid vecka 8).
Distribution
Baserat på en populationsfarmakokinetisk analys var den skenbara distributionsvolymen (V/F) 7,67 l.
Metabolism
Specifika metabolismstudier utfördes inte eftersom nemolizumab är ett protein. Nemolizumab förväntas metaboliseras till små peptider via kataboliska banor.
Eliminering
Nemolizumab förväntas brytas ned på samma sätt som endogent IgG. I den populationsfarmakokinetiska analysen uppskattades den terminala elimineringshalveringstiden (SD) för nemolizumab till 18,9 (4,96) dagar och skenbar systemisk clearance (Cl/F) uppskattades till 0,26 l/dag.
Linjäritet/icke-linjäritet
Efter en enkeldos uppvisade nemolizumab linjär farmakokinetik med exponeringar som ökade dosproportionellt mellan 0,03 och 3 mg/kg.
Efter flera doser ökade den systemiska exponeringen för nemolizumab ungefär dosproportionellt över det subkutana dosintervallet upp till 30 mg. Med den subkutana dosen på 60 mg förekom en liten minskning av biotillgängligheten med 9 %.
Särskilda populationer
Kön, ålder och etnicitet
Kön, ålder (intervall 12 till 85 år för AD och 18 till 84 år för PN) och etnicitet hade inte någon kliniskt relevant effekt på farmakokinetiken för nemolizumab.
Nedsatt leverfunktion
Nemolizumab förväntas inte, i egenskap av en monoklonal antikropp, genomgå någon signifikant eliminering via levern. Inga kliniska studier har utförts för att utvärdera effekten av nedsatt leverfunktion på farmakokinetiken för nemolizumab. Lindrigt till måttligt nedsatt leverfunktion befanns inte påverka farmakokinetiken för nemolizumab fastställt genom populationsfarmakokinetisk analys. Inga data finns tillgängliga för patienter med svårt nedsatt leverfunktion.
Nedsatt njurfunktion
Nemolizumab förväntas inte, i egenskap av en monoklonal antikropp, genomgå någon signifikant eliminering via njurarna. Inga kliniska studier har utförts för att utvärdera effekten av nedsatt njurfunktion på farmakokinetiken för nemolizumab. En populationsfarmakokinetisk analys identifierade inte lindrig eller måttlig njursvikt som något som har någon kliniskt meningsfull inverkan på den systemiska exponeringen för nemolizumab. Mycket begränsade data finns tillgängliga för patienter med svårt nedsatt njurfunktion.
Kroppsvikt
Exponeringen för nemolizumab var lägre hos patienter med högre kroppsvikt.
Atopisk dermatit
Skillnaden i systemisk exponering på grund av kroppsvikt hade ingen kliniskt meningsfull inverkan på effekten. Ingen dosjustering baserad på kroppsvikt behövs (se avsnitt 4.2).
Prurigo nodularis
Variationen i systemisk exponering på grund av kroppsvikt hade en kliniskt meningsfull inverkan på hudlesioneffekten bedömd enligt IGA-respons men inte på förbättring av klåda och kräver dosjustering hos patienter med PN (se avsnitt 4.2).
Pediatrisk population
Atopisk dermatit
I den populationsfarmakokinetiska analysen uppskattades ingen kliniskt relevant skillnad i farmakokinetiken för nemolizumab hos pediatriska patienter i åldern 12–17 år jämfört med vuxna. Dosjustering för denna population rekommenderas inte.
Gängse studier avseende säkerhetsfarmakologi och allmäntoxicitet visade inte några särskilda risker för människa.
Den mutagena potentialen hos nemolizumab har inte utvärderats, men monoklonala antikroppar förväntas inte förändra DNA eller kromosomer.
Inga karcinogenicitetsstudier har utförts med nemolizumab. Utvärdering av tillgängliga bevis relaterade till IL-31-hämning och djurtoxikologiska data tyder inte på någon karcinogen potential.
Inga effekter på fertilitetsparametrar observerades hos könsmogna krabbmakaker efter långvarig subkutan behandling med nemolizumab. I gruppen med dräktiga hondjur som behandlades med 25 mg/kg nemolizumab varannan vecka från tidig organogenes till förlossning, observerades en något ökad förekomst av dödsfall hos avkomma under den tidiga postnatala perioden. De dräktiga hondjurens exponeringar (AUC) var 43 eller 34 gånger högre än human exponering vid maximal rekommenderad human dos hos patienter med AD respektive PN. Ett samband mellan detta fynd och nemolizumab kan inte uteslutas.
3 år
Efter beredning måste Nemluvio användas inom 4 timmar vid förvaring i rumstemperatur (upp till 25 °C) eller kasseras.
Vid behov kan kartongen med den förfyllda injektionspennan tas ut ur kylskåpet och förvaras i rumstemperatur (upp till 25 °C) under en enstaka period i upp till 90 dagar. Datumet för uttag från kylskåpet ska anges i därför avsett fält på ytterkartongen. Använd inte Nemluvio om utgångsdatumet har passerats eller om läkemedlet har förvarats utanför kylskåpet i mer än 90 dagar (det som inträffar först).
Förvaras i kylskåp (2 °C–8 °C).
Får ej frysas.
Förvaras i originalförpackningen. Ljuskänsligt.
Förvaringsanvisningar för läkemedlet efter beredning finns i avsnitt 6.3.
Nemluvio 30 mg pulver och vätska till injektionsvätska, lösning i förfylld injektionspenna
Engångspatron av borosilikatglas typ 1 med två kammare i en autoinjektor, med en nål av rostfritt stål.
Förpackningsstorlekar: 1 förfylld injektionspenna, flerpack som innehåller 2 (2 förpackningar om 1) förfyllda injektionspennor, flerpack som innehåller 3 (3 förpackningar om 1) förfyllda injektionspennor
Eventuellt kommer inte alla förpackningsstorlekar att marknadsföras.
Utförliga anvisningar för administrering av Nemluvio i en förfylld injektionspenna finns i slutet av bipacksedeln.
Nemluvio måste tas ut ur kylskåpet 30–45 minuter före beredning.
Inspektera Nemluvio visuellt före beredning. Använd inte detta läkemedel om pulvret inte är vitt, om vätskan är grumlig eller om partiklar är synliga. Kontrollera före administrering att lösningen är klar och färglös till svagt gul och inte innehåller partiklar.
Ej använt läkemedel och avfall ska kasseras enligt gällande anvisningar.
Pulver till injektionsvätska, lösning
Sackaros
Trometamol
Trometamolhydroklorid (för pH-justering)
Argininhydroklorid
Poloxamer 188
Vätska
Vatten för injektionsvätskor
Då blandbarhetsstudier saknas får detta läkemedel inte blandas med andra läkemedel.
Nemluvio 30 mg pulver och vätska till injektionsvätska, lösning i förfylld injektionspenna
3 år
Efter beredning måste Nemluvio användas inom 4 timmar vid förvaring i rumstemperatur (upp till 25 °C) eller kasseras.
Vid behov kan kartongen med den förfyllda injektionspennan tas ut ur kylskåpet och förvaras i rumstemperatur (upp till 25 °C) under en enstaka period i upp till 90 dagar. Datumet för uttag från kylskåpet ska anges i därför avsett fält på ytterkartongen. Använd inte Nemluvio om utgångsdatumet har passerats eller om läkemedlet har förvarats utanför kylskåpet i mer än 90 dagar (det som inträffar först).
Förvaras i kylskåp (2 °C–8 °C).
Får ej frysas.
Förvaras i originalförpackningen. Ljuskänsligt.
Förvaringsanvisningar för läkemedlet efter beredning finns i avsnitt 6.3.
Nemluvio 30 mg pulver och vätska till injektionsvätska, lösning i förfylld injektionspenna
Engångspatron av borosilikatglas typ 1 med två kammare i en autoinjektor, med en nål av rostfritt stål.
Förpackningsstorlekar: 1 förfylld injektionspenna, flerpack som innehåller 2 (2 förpackningar om 1) förfyllda injektionspennor, flerpack som innehåller 3 (3 förpackningar om 1) förfyllda injektionspennor
Eventuellt kommer inte alla förpackningsstorlekar att marknadsföras.
Utförliga anvisningar för administrering av Nemluvio i en förfylld injektionspenna finns i slutet av bipacksedeln.
Nemluvio måste tas ut ur kylskåpet 30–45 minuter före beredning.
Inspektera Nemluvio visuellt före beredning. Använd inte detta läkemedel om pulvret inte är vitt, om vätskan är grumlig eller om partiklar är synliga. Kontrollera före administrering att lösningen är klar och färglös till svagt gul och inte innehåller partiklar.
Ej använt läkemedel och avfall ska kasseras enligt gällande anvisningar.
Produktresumén är företagets information om läkemedlet riktat till förskrivare och personal inom sjukvård och apotek. Dokumentet är godkänt av Läkemedelsverket eller den europeiska läkemedelsmyndigheten EMA i samband med att läkemedlet godkänns för marknadsföring.