Ocrevus 920 mg injektionsvätska, lösning
Varje injektionsflaska innehåller 920 mg ocrelizumab i 23 ml (40 mg/ml).
Ocrelizumab är en humaniserad monoklonal antikropp som produceras i ovarieceller från kinesisk hamster genom rekombinant DNA-teknik.
För fullständig förteckning över hjälpämnen, se avsnitt 6.1.
Injektionsvätska, lösning.
Klar till lätt opalescent och färglös till svagt brunaktig vätska.
Roche Registration GmbH
Emil-Barell-Strasse 1
79639 Grenzach-Wyhlen
Tyskland
EU/1/17/1231/003
Första godkännandet: 8 januari 2018
Förnyat godkännande: 21 september 2022
2025-02-13 Ytterligare information om detta läkemedel finns på Europeiska läkemedelsmyndighetens webbplats http://www.ema.europa.eu
Oralt antihistamin (t.ex. desloratadin eller motsvarande)
Dessutom kan premedicinering med ett antipyretikum (t.ex. paracetamol) strax före varje administrering övervägas.
Dosering
Rekommenderad dos är 920 mg administrerat var 6:e månad. Den initiala dosen eller efterföljande doser behöver inte delas upp i mer än en administrering.
Ett minsta intervall om 5 månader bör upprätthållas mellan varje dos av ocrelizumab.
Avbruten injektion eller behandlingsavbrott i händelse av injektionsreaktioner (IR)
Livshotande IR
Vid tecken på en livshotande IR ska injektionen avbrytas omedelbart och lämplig behandling sättas in. Behandlingen måste sättas ut permanent hos dessa patienter (se avsnitt 4.3).
Allvarliga IR
Om en patient får en allvarlig IR ska injektionen avbrytas omedelbart och symtomatisk behandling sättas in. Injektionen ska slutföras först efter att alla symtom har gått tillbaka (se avsnitt 4.4).
Försenade eller missade doser Om en injektion missas ska den ges så snart som möjligt; vänta inte till nästa planerade dos. Behandlingsintervallet om 6 månader (med ett minimum om 5 månader) bör bibehållas mellan varje dos.
Särskilda patientgrupper
Vuxna över 55 år
Baserat på begränsade tillgängliga uppgifter om intravenöst ocrelizumab (se avsnitt 5.1 och avsnitt 5.2) krävs ingen justering av dosen hos patienter över 55 år. Patienter inkluderade i pågående kliniska prövningar fortsätter att doseras med 600 mg intravenöst ocrelizumab var sjätte månad efter att de blivit äldre än 55 år. Användning av subkutant ocrelizumab har inte studerats hos patienter över 65 år.
Nedsatt njurfunktion
Säkerhet och effekt för ocrelizumab hos patienter med nedsatt njurfunktion har inte formellt studerats. Patienter med milt nedsatt njurfunktion inkluderades i kliniska studier. Det finns ingen erfarenhet hos patienter med måttligt till gravt nedsatt njurfunktion. Ocrelizumab är en monoklonal antikropp och elimineras genom katabolism (dvs. nedbrytning till peptider och aminosyror) och dosjustering förväntas inte vara nödvändig för patienter med nedsatt njurfunktion (se avsnitt 5.2).
Nedsatt leverfunktion
Säkerhet och effekt för ocrelizumab hos patienter med nedsatt leverfunktion har inte formellt studerats. Patienter med milt nedsatt leverfunktion inkluderades i kliniska studier. Det finns ingen erfarenhet hos patienter med måttligt till gravt nedsatt leverfunktion. Ocrelizumab är en monoklonal antikropp och elimineras genom katabolism (snarare än via hepatisk metabolism) och dosjustering förväntas inte vara nödvändig för patienter med nedsatt leverfunktion (se avsnitt 5.2).
Pediatrisk population
Säkerhet och effekt för ocrelizumab för barn och ungdomar i åldern 0 till 18 år har ännu inte fastställts. Inga data finns tillgängliga.
Administreringssätt
Ocrevus 920 mg injektionsvätska, lösning är inte avsett för intravenös administrering och ska alltid administreras som subkutan injektion av sjukvårdspersonal.
Det är viktigt att kontrollera produktens märkning för att säkerställa att rätt beredningsform (intravenös respektive subkutan) administreras till patienten på rätt sätt, enligt ordinationen.
Patienter kan inleda behandlingen med antingen intravenöst eller subkutant ocrelizumab och patienter som för närvarande får intravenöst ocrelizumab kan fortsätta behandling med intravenöst ocrelizumab eller gå över till Ocrevus 920 mg injektionsvätska, lösning.
Dosen om 920 mg ska administreras som en subkutan injektion i buken under cirka 10 minuter. Det rekommenderas att ett subkutant infusionsset används (t.ex. med vingar/fjärilsnål). Eventuella restvolymer av läkemedlet i det subkutana infusionssetet ska inte ges till patienten.
Injektionen ska ges i buken, förutom i området 5 cm runt naveln. Injektioner ska aldrig ges i områden där huden är rodnad, har blåmärken, är öm eller hård, eller områden med födelsemärken eller ärr.
Ocrevus injektionsvätska, lösning ska alltid administreras av sjukvårdspersonal. För den första dosen rekommenderas övervakning efter injektionen med tillgång till lämpliga medicinska resurser för att hantera allvarliga reaktioner såsom IR under minst en timme efter injektionen. För de efterföljande doserna bestämmer läkaren om övervakning efter injektionen behövs (se avsnitt 4.4).
Anvisningar om användning och hantering av läkemedlet före administrering finns i avsnitt 6.6.
Överkänslighet mot den aktiva substansen eller mot något hjälpämne som anges i avsnitt 6.1.
Pågående aktiv infektion (se avsnitt 4.4).
Patienter med svår immunsuppression (se avsnitt 4.4).
Kända aktiva maligniteter (se avsnitt 4.4).
Spårbarhet
För att förbättra spårbarheten av biologiska läkemedel ska produktnamnet och tillverkningssatsnumret på det administrerade läkemedlet tydligt noteras i patientens journal.
Injektionsreaktioner (IR)
Behandling med subkutant ocrelizumab är förknippat med IR, vilka kan vara relaterade till frisättning av cytokiner och/eller andra kemiska mediatorer. Läkaren ska informera patienten om att injektionsreaktioner kan uppkomma under eller inom 24 timmar efter administreringen. Symtom på IR har rapporterats oftare vid den första injektionen. Reaktionerna kan vara lokala eller systemiska IR. Vanliga symtom på lokala IR vid injektionsstället är erytem, smärta, svullnad och klåda. Vanliga symtom på systemiska IR är huvudvärk och illamående (se avsnitt 4.8).
Premedicinering ska ges strax före injektionen för att minska risken för IR (se avsnitt 4.2). Patienterna ska observeras avseende symtom på allvarlig IR i minst en timme efter den första dosen av läkemedlet. Lämpliga resurser för hantering av allvarliga IR, överkänslighetsreaktioner och/eller anafylaktiska reaktioner ska finnas tillgängliga när den första dosen av läkemedlet ges. För de efterföljande doserna bestämmer läkaren om övervakning behövs efter injektionen. Om IR skulle uppträda kan de behandlas symtomatiskt.
Vid tecken på en livshotande injektionsreaktion ska injektionen avbrytas omedelbart och patienten ska få lämplig behandling. Behandlingen med ocrelizumab måste sättas ut permanent hos dessa patienter. Om en patient får en allvarlig injektionsreaktion ska injektionen avbrytas omedelbart och patienten ska få symtomatisk behandling. Injektionen ska inte fortsätta förrän samtliga symtom har försvunnit.
Intravenöst ocrelizumab förknippas med infusionsrelaterade reaktioner (IRR) vilka också kan vara relaterade till frisättning av cytokiner och/eller andra kemiska mediatorer. IRR kan yttra sig som klåda, utslag, urtikaria, erytem, halsirritation, orofaryngeal smärta, dyspné, faryngealt ödem, larynxödem, rodnad, hypotoni, pyrexi, trötthet, huvudvärk, yrsel, illamående, takykardi och anafylaxi.
Allvarliga IRR som krävt sjukhusinläggning har rapporterats vid användning av intravenöst ocrelizumab.
Överkänslighet kan kliniskt vara omöjligt att särskilja från en IR eller en IRR grundat på symtomen. Vid misstanke om en överkänslighetsreaktion måste injektionen omedelbart och permanent stoppas (se ”Överkänslighetsreaktioner” nedan).
Överkänslighetsreaktioner
En överkänslighetsreaktion kan också inträffa (akut allergisk reaktion på läkemedel). Typ 1 akuta överkänslighetsreaktioner (IgE-medierade) kan kliniskt vara mycket svåra att skilja från IR-symtom.
En överkänslighetsreaktion kan uppkomma under vilken administrering som helst men uppkommer dock vanligen inte under den första administreringen. Om patienten under efterföljande administreringar upplever mer uttalade symtom än tidigare eller nya svåra symtom ska en eventuell överkänslighetsreaktion omedelbart övervägas. Patienter med känd IgE-medierad överkänslighet mot ocrelizumab eller mot något hjälpämne ska inte behandlas (se avsnitt 4.3).
Infektion
Administrering av ocrelizumab ska skjutas upp hos patienter med en pågående aktiv infektion tills infektionen har gått över.
Det rekommenderas att patientens immunstatus kontrolleras innan dosering eftersom svårt immunförsvagade patienter (t.ex. med lymfopeni, neutropeni, hypogammaglobulinemi) inte ska behandlas (se avsnitt 4.3 och 4.8).
Den övergripande andelen patienter som fick en allvarlig infektion var likvärdig med jämförelseläkemedlen (se avsnitt 4.8) i studier med intravenöst ocrelizumab. Frekvensen av grad 4 (livshotande) och grad 5 (dödliga) infektioner var låg i alla behandlingsgrupper men i PPMS var den högre med intravenöst ocrelizumab jämfört med placebo för infektioner som var livshotande (1,6% jämfört med 0,4%) och dödliga (0,6% jämfört med 0%). Alla livshotande infektioner gick över utan att ocrelizumab avslutades.
Vid PPMS löper patienter med sväljsvårigheter en högre risk att få aspirationspneumoni. Behandling med ocrelizumab kan ytterligare öka risken för svår pneumoni hos dessa patienter. Läkare bör vidta snabba åtgärder för patienter som visar tecken på pneumoni.
Progressiv multifokal leukoencefalopati (PML)
John Cunningham virusinfektion (JC virus) som orsakar PML har observerats mycket sällan hos patienter som behandlats med anti‑CD20‑antikroppar, inklusive ocrelizumab, och oftast i samband med riskfaktorer (patientpopulation t.ex. lymfopeni, hög ålder, samtidig immunsuppressiv behandling).
Läkare ska vara uppmärksamma på tidiga tecken och symtom på PML vilka kan inkludera nydebuterade eller försämrade neurologiska tecken eller symtom, eftersom dessa kan likna MS-sjukdom. Om PML misstänks ska behandling med ocrelizumab avbrytas. Utvärdering som inkluderar undersökning med magnetisk resonanstomografi (MRT), företrädesvis med kontrast (jämfört med MRT före behandling), analys av JC virus Deoxiribonukleinsyra (DNA) från cerebrospinalvätskan samt upprepade neurologiska bedömningar bör övervägas. Om PML konstateras ska behandlingen sättas ut permanent.
Hepatit B-reaktivering
Hepatit B-virus (HBV)-reaktivering, som i vissa fall resulterat i fulminant hepatit, leversvikt och död, har rapporterats hos patienter behandlade med anti-CD20-antikroppar.
Screening för HBV enligt lokala riktlinjer bör utföras hos alla patienter innan behandling inleds. Patienter med aktiv HBV-infektion (dvs. en aktiv infektion som bekräftats med positiva testresultat för HBsAg och anti‑HB) bör inte behandlas med ocrelizumab (se avsnitt 4.3). Patienter med positiv serologi (dvs. negativ för HBsAg och positiv för HB kärnantikropp (HBcAb +); bärare av HBV (positiv för ytantigen, HBsAg +) bör remitteras till en specialist på leversjukdomar innan behandling inleds och bör följas upp samt behandlas enligt lokala medicinska riktlinjer för att förhindra hepatit B-reaktivering.
Sen neutropeni
Fall av neutropeni som inträffar sent har rapporterats minst 4 veckor efter den senaste intravenösa infusionen med ocrelizumab (se avsnitt 4.8). Även om vissa fall var av grad 3 eller 4, så var majoriteten av fallen av grad 1 eller 2. Hos patienter med tecken och symtom på infektion, rekommenderas mätning av neutrofiler i blodet.
Maligniteter
Under den kontrollerade perioden i pivotala kliniska studier har ett ökat antal maligniteter (inklusive bröstcancer) observerats hos patienter som behandlats med ocrelizumab jämfört med kontrollgrupperna. Incidensen var jämförbar med den som förväntas hos en MS‑population. Efter cirka 10 års kontinuerlig behandling med ocrelizumab under den kontrollerade perioden och den öppna förlängningsfasen (Open Label Extension, OLE) av de pivotala kliniska prövningarna förblev incidensen av maligniteter inom den förväntade bakgrundsfrekvensen hos en MS-population. Patienter med en känd pågående malignitet ska inte behandlas med ocrelizumab (se avsnitt 4.3). Individuell nytta-risk utvärdering ska övervägas hos patienter med kända riskfaktorer för maligniteter och hos patienter som aktivt monitoreras för recidiv av malignitet. Patienter bör genomgå bröstcancerscreening enligt lokala riktlinjer.
Behandling av patienter med svår immunsuppression
Patienter med svår immunsuppression ska inte behandlas förrän tillståndet inte längre kvarstår (se avsnitt 4.3).
Vid andra autoimmuna tillstånd resulterade samtidig användning av ocrelizumab med andra immunsupprimerande läkemedel (t.ex. kronisk behandling med kortikosteroider, icke biologiska och biologiska sjukdomsmodifierande antireumatiska läkemedel [DMARDS], mykofenolatmofetil, cyklofosfamid, azatioprin) i en ökning av allvarliga infektioner, inklusive opportunistiska infektioner. Dessa infektioner inkluderade, men var inte begränsade till, atypisk pneumoni och pneumocystis jirovecii pneumoni, varicella pneumoni, tuberkulos, histoplasmos. I sällsynta fall var vissa av dessa infektioner dödliga. En explorativ analys identifierade följande faktorer som förknippades med risk för allvarliga infektioner: högre doser av ocrelizumab än rekommenderat för MS, annan komorbiditet och kronisk användning av immunsuppressiva läkemedel/kortikosteroider.
Användning av andra immunsuppressiva läkemedel samtidigt med ocrelizumab rekommenderas inte, förutom kortikosteroider för symtomatisk behandling av skov. Kunskapen är begränsad huruvida samtidig användning av steroider för symtomatisk behandling av skov förknippas med en ökad risk för infektioner i klinisk praxis. I pivotala MS-studier med intravenöst ocrelizumab förknippades inte administrering av kortikosteroider för behandling av skov med en ökad risk för allvarlig infektion.
När ocrelizumab initieras efter immunsuppressiv behandling eller vid initiering av immunsuppressiv behandling efter ocrelizumab bör möjligheten att de farmakodynamiska effekterna överlappar varandra tas i beaktande (se avsnitt 5.1). Försiktighet bör iakttas när ocrelizumab förskrivs med tanke på de farmakodynamiska effekterna av andra sjukdomsmodifierande läkemedel mot MS.
Vaccinationer
Säkerheten vid immunisering med levande eller levande försvagade vaccin efter behandling med ocrelizumab har inte studerats. Vaccination med levande försvagade eller levande vaccin rekommenderas inte under behandling och fram tills dess att B-cellerna återhämtat sig. I kliniska studier var mediantiden för återhämtning av B-cellsnivåerna 72 veckor (se avsnitt 5.1).
I en randomiserad öppen studie kunde RMS-patienter som behandlades med intravenöst ocrelizumab bygga upp humorala svar, även om minskade, mot tetanustoxoid, 23-valent pneumokockpolysackarid med eller utan ett boostervaccin, Keyhole Limpet-hemocyanin neoantigen och vacciner mot säsongsinfluensa (se avsnitt 4.5 och 5.1).
Det rekommenderas att vaccinera patienter som behandlas med ocrelizumab med säsongsinfluensavacciner som är inaktiverade.
Läkare bör se över vaccinationsstatus hos patienter som övervägs för behandling med ocrelizumab. Patienter som behöver vaccination bör slutföra sin immunisering minst 6 veckor före initiering av behandling med ocrelizumab.
Exponering in utero för ocrelizumab och vaccination av nyfödda och spädbarn med levande eller levande försvagade vacciner
På grund av risken för depletion av B-celler hos spädbarn till mödrar som har exponerats för ocrelizumab under graviditet, rekommenderas att vaccination med levande eller levande försvagade vacciner bör skjutas upp tills B-cellsnivåerna har återhämtat sig. Därför rekommenderas mätning av CD19-positiva B-cellsnivåer hos spädbarn och nyfödda innan vaccinering.
Det rekommenderas att alla vaccinationer, förutom med levande eller levande försvagade vacciner, bör följa det lokala vaccinationsprogrammet och mätning av vaccininducerade responstitrar bör övervägas för att kontrollera huruvida individer har byggt upp ett skyddande immunsvar eftersom effekten av vaccinationen kan vara reducerad.
Säkerhet och tidpunkt för vaccination bör diskuteras med barnets läkare (se avsnitt 4.6).
Natrium
Detta läkemedel innehåller mindre än 1 mmol natrium (23 mg) per dos, dvs. är näst intill ”natriumfritt”.
Inga interaktionsstudier har utförts eftersom inga interaktioner förväntas via cytokrom P450 enzymer, andra metaboliserande enzymer eller transportörer.
Vaccinationer
Säkerheten vid immunisering med levande eller levande försvagade vaccin efter behandling med ocrelizumab har inte studerats.
Data finns tillgängliga på effekterna av vaccination med tetanustoxoid, 23-valent pneumokockpolysackarid, Keyhole Limpet-hemocyanin neoantigen och säsongsinfluensavacciner hos patienter som behandlats med intravenöst ocrelizumab (se avsnitt 4.4 och 5.1).
Efter två års behandling med intravenöst ocrelizumab var andelen patienter med positiv antikroppstiter mot S. pneumoniae, påssjuka, röda hund och varicella generellt jämförbar med andelen vid baseline.
Immunsuppressiva läkemedel
Det rekommenderas inte att använda andra immunsuppressiva behandlingar samtidigt med ocrelizumab, förutom kortikosteroider för symtomatisk behandling av skov (se avsnitt 4.4).
Kvinnor i fertil ålder
Kvinnor i fertil ålder ska använda effektiva preventivmedel under behandling med ocrelizumab och i 4 månader efter den sista administrerade dosen med ocrelizumab.
Graviditet
Endast begränsad mängd data finns tillgänglig från användning av ocrelizumab hos gravida kvinnor. Ocrelizumab är en immunglobulin G (IgG). IgG har visats passera placenta. Att skjuta upp vaccinering med levande eller levande försvagade vacciner bör övervägas hos nyfödda och spädbarn som har exponerats för ocrelizumab in utero. Inga data avseende antalet B-celler hos nyfödda och spädbarn som exponerats för ocrelizumab har samlats in och det är inte känt hur länge depletion av B-celler hos nyfödda och spädbarn varar (se avsnitt 4.4).
Övergående depletion av perifera B-celler och lymfocytopeni har rapporterats hos spädbarn födda av mödrar som exponerats för andra anti-CD20-antikroppar under graviditeten. B-cellsdepletion in utero sågs även i djurstudier. Djurstudier (embryofetal toxicitet) tyder inte på några teratogena effekter. Reproduktionstoxicitet observerades i pre‑ och postnatala utvecklingsstudier (se avsnitt 5.3). Ocrelizumab bör undvikas under graviditet om inte den potentiella nyttan för modern överväger den potentiella risken för fostret.
Amning
Det är känt att humant IgG utsöndras i bröstmjölk de första dagarna efter födseln (kolostrumperioden), men minskar till låga koncentrationer kort därefter.
I en prospektiv, öppen multicenterstudie MN42989 (SOPRANINO), fick 13 ammande kvinnor ocrelizumab under en mediantid på 2,0 månader postpartum (intervall 0,5-5,0 månader). Låga koncentrationer av ocrelizumab detekterades i bröstmjölken under 60 dagar efter moderns första infusion postpartum (relativ mediandos till spädbarnet på 0,27% [intervall 0,0-1,8%]), vilket tyder på minimal överföring av ocrelizumab till bröstmjölken. 30 dagar efter moderns första infusion postpartum detekterades inte ocrelizumab i något tillgängligt serumprov från ammande spädbarn (n=9) och B-cellsnivåerna hos spädbarnen var inom normalintervallet i alla tillgängliga blodprover (n=10). Inga effekter av ocrelizumab på spädbarnens hälsa, tillväxt och utveckling observerades hos spädbarn som ammades under en uppföljningsperiod på 44,6 veckor (intervall 8,6-62,7 veckor).
Även om inga kliniska data finns tillgängliga för spädbarn som potentiellt exponerats för ocrelizumab via bröstmjölk med levande eller levande försvagade vacciner, förväntas inga risker på grund av att normala B-cellsnivåer och ej detekterbara serumnivåer av ocrelizumab observerats hos dessa spädbarn.
I en separat prospektiv klinisk studie observerades låga koncentrationer av ocrelizumab i bröstmjölken (relativ mediandos till spädbarnet på 0,1% [intervall 0,07-0,7%]) under 90 dagar efter moderns första infusion postpartum hos 29 kvinnor som ammade och som fick ocrelizumab i median 4,3 månader postpartum (intervall 0,1-36 månader). Uppföljning av 21 spädbarn som ammats i minst 2 veckor visade normal tillväxt och utveckling i upp till 1 år.
Ocrelizumab kan användas under amning med start några dagar efter födseln.
Fertilitet
Data från prekliniska studier visar inga särskilda risker för människa, baserat på studier av manlig och kvinnlig fertilitet hos cynomolgusapor som exponerats för ocrelizumab.
Ocrevus har ingen eller försumbar effekt på förmågan att framföra fordon och använda maskiner.
Summering av säkerhetsprofilen
Under den kontrollerade perioden av de pivotala kliniska prövningarna var de viktigaste och vanligaste rapporterade biverkningarna IRR (34,3% för RMS och 40,1% för PPMS) och infektioner (58,5% för RMS och 72,2% för PPMS) (se avsnitt 4.4).
Totalt 2376 patienter ingick i den kontrollerade perioden av de pivotala kliniska prövningarna och av dessa gick 1852 patienter in i den öppna förlängningsfasen (Open Label Extension, OLE). Alla patienter bytte till ocrelizumabbehandling under OLE-fasen. 1155 patienter slutförde OLE-fasen, vilket resulterade i cirka 10 års kontinuerlig ocrelizumabbehandling (15 515 patientårs exponering) under den kontrollerade perioden och OLE-fasen. Den övergripande säkerhetsprofilen som observerades under den kontrollerade perioden och OLE-fasen förblir överensstämmande med den som observerades under den kontrollerade perioden.
Säkerhetsprofilen för Ocrevus injektionsvätska, lösning överensstämde med den kända säkerhetsprofilen för intravenöst ocrelizumab nedan i tabell 1, med undantag av den mycket vanliga biverkningen IR (injektionsreaktion).
Tabell över biverkningar
Biverkningar som rapporterats under den kontrollerade perioden av de pivotala kliniska prövningarna med intravenöst ocrelizumab och från spontanrapportering redovisas nedan i tabell 1. Biverkningarna redovisas enligt MedDRA klassificering av organsystem och frekvenskategorier. Frekvenserna definieras som mycket vanliga (≥ 1/10), vanliga (≥ 1/100 till < 1/10), mindre vanliga (≥ 1/1000 till < 1/100), sällsynta (≥ 1/10 000 till < 1/1000), mycket sällsynta (< 1/10 000) och ingen känd frekvens (kan inte utvärderas från tillgängliga data) . Biverkningarna presenteras inom varje organklass efter fallande frekvens.
Tabell 1 Biverkningar
1 Endast observerade i sammanslaget dataset för intravenöst ocrelizumab.
2 Observerade i en studie utanför det sammanslagna intravenösa datasetet för ocrelizumab (förknippat med subkutan administrering).
3 Observerade efter marknadsintroduktion.
Beskrivning av utvalda biverkningar
Injektionsreaktioner
Baserat på observerade symtom delas injektionsreaktionerna in i systemiska IR och lokala IR.
I OCARINA II fick 118 patienter (ocrelizumab-naiva) sin första injektion av läkemedlet. De vanligaste symtomen som rapporterades vid systemisk IR och lokal IR var huvudvärk (2,5%), illamående (1,7%), erytem vid injektionsstället (29,7%), smärta vid injektionsstället (14,4%), svullnad vid injektionsstället (8,5%) och klåda vid injektionsstället (6,8%). IR inträffade hos 48,3% av dessa patienter efter den första injektionen. Av de 118 patienterna fick 11,0% minst en systemisk IR och 45,8% minst en lokal IR. Bland patienterna som fick en IR inträffade denna hos en majoritet (82,5%) inom 24 timmar efter avslutad injektion snarare än under injektionen. Alla IR var icke-allvarliga och var av lindrig (71,9%) eller måttlig (28,1%) svårighetsgrad. IR varade i median i 3 dagar när det gällde systemiska IR och 4 dagar för lokala IR. Samtliga patienter återhämtade sig från IR och 26,3% krävde symtomatisk behandling.
I OCARINA I fick 125 patienter en eller flera subkutana injektioner av ocrelizumab 1200 mg subkutant. Av de 125 patienterna som fick den första injektionen fick 16,0% av patienterna minst en systemisk IR och 64,0% av patienterna minst en lokal IR. Hos de 104 patienter som fick den andra injektionen minskade incidensen av systemisk IR till 7,7% och för lokal IR till 37,5%. Vid den första injektionen var alla IR icke-allvarliga och alla utom en IR var av lindrig eller måttlig svårighetsgrad. Vid den andra injektionen var alla IR icke-allvarliga och av lindrig eller måttlig svårighetsgrad. Symtomatisk behandling behövdes hos 21,2% av patienterna som fick en IR efter den första injektionen och hos 17,9% av patienterna som fick en IR efter den andra injektionen.
Intravenöst ocrelizumab är förknippat med infusionsrelaterade reaktioner (IRR), vilka också kan vara relaterade till frisättning av cytokiner och/eller andra kemiska mediatorer. IRR kan yttra sig som klåda, utslag, urtikaria, erytem, halsirritation, orofaryngeal smärta, dyspné, faryngealt ödem eller larynxödem, rodnad, hypotoni, pyrexi, trötthet, huvudvärk, yrsel, illamående, takykardi och anafylaxi. Allvarliga IRR, där vissa krävt sjukhusinläggning, har rapporterats vid användning av intravenöst ocrelizumab.
Infektion
I RMS-studierna med aktivt jämförelseläkemedel förekom infektioner hos 58,5% av patienterna som fick intravenöst ocrelizumab jämfört med hos 52,5% hos patienterna som fick interferon beta-1a. Allvarliga infektioner förekom hos 1,3% av patienterna som fick intravenöst ocrelizumab jämfört med hos 2,9% av patienterna som fick interferon beta‑1a. I den placebokontrollerade PPMS studien förekom infektioner hos 72,2% av patienterna som fick intravenöst ocrelizumab jämfört med hos 69,9% av patienterna som fick placebo. Allvarliga infektioner förekom hos 6,2% av patienterna som fick intravenöst ocrelizumab jämfört med hos 6,7% av patienterna som fick placebo.
Alla patienter bytte till intravenöst ocrelizumab under OLE-fasen i både de pivotala RMS- och PPMS-studierna med intravenöst ocrelizumab. Under OLE-fasen hos RMS- och PPMS-patienter ökade inte den totala risken för allvarliga infektioner jämfört med den som observerades under den kontrollerade perioden. Som observerats under den kontrollerade perioden förblev frekvensen av allvarliga infektioner hos PPMS-patienter högre än vad som observerats hos RMS-patienter.
I linje med den tidigare analysen av riskfaktorer för allvarliga infektioner vid andra autoimmuna tillstånd än MS (se avsnitt 4.4) utfördes en multivariatanalys av riskfaktorer för allvarliga infektioner i de cirka 10 år långa kumulativa exponeringsdata från den kontrollerade perioden och OLE-fasen av de pivotala kliniska prövningarna. Riskfaktorer för allvarliga infektioner hos RMS-patienter inkluderar att ha minst 1 komorbiditet, nyligen haft ett kliniskt skov och Expanded Disability Status Scale (EDSS) ≥ 6,0. Riskfaktorer för allvarliga infektioner hos PPMS-patienter inkluderar kroppsmasseindex större än 25 kg/m2, minst 2 komorbiditeter, EDSS ≥ 6,0 och IgM < den undre normala gränsen (lower limit of normal, LLN). Komorbiditeter inkluderade, men var inte begränsade till, kardiovaskulära tillstånd, njur- och urinvägstillstånd, tidigare infektioner och depression.
Luftvägsinfektioner
Andelen luftvägsinfektioner var högre hos patienter behandlade med intravenöst ocrelizumab jämfört med hos patienter behandlade med interferon beta‑1a och placebo.
I de kliniska RMS-studierna fick 39,9% av patienterna som behandlades med intravenöst ocrelizumab och 33,2% av interferon beta‑1a‑behandlade patienter en övre luftvägsinfektion och 7,5% av patienterna som behandlades med intravenöst ocrelizumab och 5,2% av interferon beta‑1a‑behandlade patienter fick en nedre luftvägsinfektion.
I den kliniska PPMS-studien fick 48,8% av patienterna som behandlades med intravenöst ocrelizumab och 42,7% av patienterna som fick placebo en övre luftvägsinfektion och 9,9% av patienterna som behandlades med intravenöst ocrelizumab och 9,2% av patienterna som behandlades med placebo fick en nedre luftvägsinfektion.
De luftvägsinfektioner som rapporterats hos patienter behandlade med intravenöst ocrelizumab var övervägande milda till måttliga (80‑90%).
Herpes
I kliniska studier (RMS) med aktivt jämförelseläkemedel rapporterades herpesinfektioner oftare hos patienter behandlade med intravenöst ocrelizumab än hos interferon beta‑1a‑behandlade patienter. Dessa inkluderade herpes zoster (2,1% mot 1,0%), herpes simplex (0,7% mot 0,1% ), oral herpes (3,0% mot 2,2%), genital herpes (0,1% mot 0%) och herpes‑virusinfektion (0,1% mot 0%). Alla infektionerna var milda till måttliga i svårighetsgrad, förutom en grad 3 händelse, och patienterna återhämtade sig med hjälp av standardbehandling. I den placebokontrollerade (PPMS) kliniska studien observerades en högre andel patienter med oral herpes (2,7% mot 0,8%) i armen med intravenös ocrelizumabbehandling.
Laboratorieavvikelser
Immunglobuliner
Behandling med ocrelizumab resulterade i en minskning av total mängd immunglobuliner under den kontrollerade perioden av de pivotala kliniska prövningarna med intravenöst ocrelizumab, huvudsakligen orsakade av en minskning av IgM.
Data från den kontrollerade perioden och OLE-fasen av de pivotala kliniska prövningarna har visat ett samband mellan minskade nivåer av IgG (och i mindre utsträckning för IgM eller IgA) och högre frekvens av allvarliga infektioner. 2,1% av RMS-patienterna hade en allvarlig infektion under en period med IgG < LLN och 2,3% av PPMS-patienterna hade en allvarlig infektion under en period med IgG < LLN. Skillnaden i andelen allvarliga infektioner hos patienter med IgG < LLN jämfört med patienter med IgG ≥ LLN ökade inte över tid. Typen, svårighetsgraden, latensen, varaktigheten och utfallet av de allvarliga infektionerna som observerades under episoder med immunglobuliner under LLN överensstämde med de totala allvarliga infektionerna som observerades hos patienter som behandlades med ocrelizumab under den kontrollerade perioden och OLE-fasen. Under de 10 åren som kontinuerlig behandling med ocrelizumab pågick, låg de genomsnittliga IgG-nivåerna för RMS- och PPMS-patienterna kvar över LLN.
Lymfocyter
Vid RMS observerades en minskning av lymfocyter < LLN hos 20,7% av patienterna som behandlades med intravenöst ocrelizumab jämfört med 32,6% av patienterna som behandlades med interferon beta-1a. Vid PPMS observerades en minskning av lymfocyter < LLN hos 26,3% av patienterna som behandlats med intravenöst ocrelizumab jämfört med 11,7% av placebobehandlade patienter.
Majoriteten av dessa minskningar som rapporterades hos patienter behandlade med intravenöst ocrelizumab var av grad 1 (< LLN - 800 celler/mm3) och grad 2 (mellan 500 till 800 celler/mm3) i allvarlighetsgrad. Cirka 1% av patienterna i gruppen som fick intravenöst ocrelizumab hade en grad 3 lymfopeni (mellan 200 till 500 celler/mm3). Ingen av patienterna rapporterades med grad 4 lymfopeni (< 200 celler/mm3).
En ökad frekvens av allvarliga infektioner observerades under episoder av bekräftad minskning av totalt lymfocytantal hos patienter som behandlats med intravenöst ocrelizumab. Antalet allvarliga infektioner var för lågt för att dra några definitiva slutsatser.
Neutrofiler
I den aktivt kontrollerade (RMS) behandlingsperioden observerades en minskning i antalet neutrofiler < LLN hos 14,7% av patienterna som behandlades med intravenöst ocrelizumab jämfört med hos 40,9% av patienterna som behandlades med interferon beta‑1a. I den placebokontrollerade (PPMS) kliniska studien var andelen patienter som behandlats med intravenöst ocrelizumab som fick minskat antal neutrofiler högre (12,9%) än för placebobehandlade patienter (10,0%); bland dessa hade en högre procentandel patienter (4,3%) i gruppen som fick intravenöst ocrelizumab neutropeni av grad 2 eller högre jämfört med 1,3% i placebogruppen; cirka 1% av patienterna i gruppen som fick intravenöst ocrelizumab fick neutropeni av grad 4 jämfört med 0% i placebogruppen.
Minskningen i antal neutrofiler var i majoriteten av fallen övergående (observerades endast en gång för en given patient som behandlats med ocrelizumab) och av svårighetsgrad 1 (mellan < LLN och 1500 celler/mm3) och 2 (mellan 1000 och 1500 celler/mm3). Totalt sett hade cirka 1% av patienterna i gruppen som fick intravenöst ocrelizumab neutropeni av grad 3 eller 4. En patient med neutropeni av grad 3 (mellan 500 till 1000 celler/mm3) och en patient med grad 4 (<500 celler/mm3) krävde särskild behandling med granulocytkolonistimulerande faktor och kvarstod på ocrelizumab efter händelsen. Neutropeni kan inträffa flera månader efter administrering av ocrelizumab (se avsnitt 4.4)
Övrigt
En patient som fick 2000 mg intravenöst ocrelizumab dog av systemiskt inflammationsresponssyndrom (SIRS) av okänd etiologi efter en undersökning med magnetisk resonanstomografi (MRT) 12 veckor efter sista infusionen; en anafylaktisk reaktion mot MRT-kontrastmedlet med gadolinium kan ha bidragit till SIRS.
Det finns begränsad erfarenhet från kliniska studier med doser högre än den godkända dosen av ocrelizumab. Den hittills högsta testade dosen i MS‑patienter är 2000 mg givet som två 1000 mg intravenösa infusioner med 2 veckors intervall (fas II dostitreringsstudie vid RRMS) och 1200 mg administrerat som subkutan injektion (fas Ib dostitreringsstudie). Biverkningarna överensstämde med säkerhetsprofilen i de pivotala kliniska studierna.
Det finns ingen specifik antidot vid händelse av överdosering. Avbryt injektionen omedelbart och observera patienten avseende IR (se avsnitt 4.4).
Ocrevus är indicerat för behandling av vuxna patienter med skovvis multipel skleros (RMS) med aktiv sjukdom som definieras av kliniska eller bilddiagnostiska fynd (se avsnitt 5.1).
Ocrevus är indicerat för behandling av vuxna patienter med tidig primärprogressiv multipel skleros (PPMS) med avseende på sjukdomsduration och nivå av funktionsnedsättning samt bilddiagnostiska fynd karakteristiska för inflammatorisk aktivitet (se avsnitt 5.1).
Behandling bör initieras och övervakas av specialistläkare med erfarenhet av diagnostik och behandling av neurologiska sjukdomar. Den första administreringen ska ske under klinisk observation med lämpliga medicinska resurser för att hantera svåra reaktioner såsom allvarliga injektionsreaktioner, överkänslighetsreaktioner och/eller anafylaktiska reaktioner (se avsnitt 4.4).
Premedicinering mot injektionsreaktioner
Följande två premedicineringar ska administreras strax före varje injektion med ocrelizumab för att minska risken för lokala och systemiska injektionsreaktioner (IR):
20 mg oralt dexametason (eller motsvarande)
Oralt antihistamin (t.ex. desloratadin eller motsvarande)
Dessutom kan premedicinering med ett antipyretikum (t.ex. paracetamol) strax före varje administrering övervägas.
Dosering
Rekommenderad dos är 920 mg administrerat var 6:e månad. Den initiala dosen eller efterföljande doser behöver inte delas upp i mer än en administrering.
Ett minsta intervall om 5 månader bör upprätthållas mellan varje dos av ocrelizumab.
Avbruten injektion eller behandlingsavbrott i händelse av injektionsreaktioner (IR)
Livshotande IR
Vid tecken på en livshotande IR ska injektionen avbrytas omedelbart och lämplig behandling sättas in. Behandlingen måste sättas ut permanent hos dessa patienter (se avsnitt 4.3).
Allvarliga IR
Om en patient får en allvarlig IR ska injektionen avbrytas omedelbart och symtomatisk behandling sättas in. Injektionen ska slutföras först efter att alla symtom har gått tillbaka (se avsnitt 4.4).
Försenade eller missade doser Om en injektion missas ska den ges så snart som möjligt; vänta inte till nästa planerade dos. Behandlingsintervallet om 6 månader (med ett minimum om 5 månader) bör bibehållas mellan varje dos.
Särskilda patientgrupper
Vuxna över 55 år
Baserat på begränsade tillgängliga uppgifter om intravenöst ocrelizumab (se avsnitt 5.1 och avsnitt 5.2) krävs ingen justering av dosen hos patienter över 55 år. Patienter inkluderade i pågående kliniska prövningar fortsätter att doseras med 600 mg intravenöst ocrelizumab var sjätte månad efter att de blivit äldre än 55 år. Användning av subkutant ocrelizumab har inte studerats hos patienter över 65 år.
Nedsatt njurfunktion
Säkerhet och effekt för ocrelizumab hos patienter med nedsatt njurfunktion har inte formellt studerats. Patienter med milt nedsatt njurfunktion inkluderades i kliniska studier. Det finns ingen erfarenhet hos patienter med måttligt till gravt nedsatt njurfunktion. Ocrelizumab är en monoklonal antikropp och elimineras genom katabolism (dvs. nedbrytning till peptider och aminosyror) och dosjustering förväntas inte vara nödvändig för patienter med nedsatt njurfunktion (se avsnitt 5.2).
Nedsatt leverfunktion
Säkerhet och effekt för ocrelizumab hos patienter med nedsatt leverfunktion har inte formellt studerats. Patienter med milt nedsatt leverfunktion inkluderades i kliniska studier. Det finns ingen erfarenhet hos patienter med måttligt till gravt nedsatt leverfunktion. Ocrelizumab är en monoklonal antikropp och elimineras genom katabolism (snarare än via hepatisk metabolism) och dosjustering förväntas inte vara nödvändig för patienter med nedsatt leverfunktion (se avsnitt 5.2).
Pediatrisk population
Säkerhet och effekt för ocrelizumab för barn och ungdomar i åldern 0 till 18 år har ännu inte fastställts. Inga data finns tillgängliga.
Administreringssätt
Ocrevus 920 mg injektionsvätska, lösning är inte avsett för intravenös administrering och ska alltid administreras som subkutan injektion av sjukvårdspersonal.
Det är viktigt att kontrollera produktens märkning för att säkerställa att rätt beredningsform (intravenös respektive subkutan) administreras till patienten på rätt sätt, enligt ordinationen.
Patienter kan inleda behandlingen med antingen intravenöst eller subkutant ocrelizumab och patienter som för närvarande får intravenöst ocrelizumab kan fortsätta behandling med intravenöst ocrelizumab eller gå över till Ocrevus 920 mg injektionsvätska, lösning.
Dosen om 920 mg ska administreras som en subkutan injektion i buken under cirka 10 minuter. Det rekommenderas att ett subkutant infusionsset används (t.ex. med vingar/fjärilsnål). Eventuella restvolymer av läkemedlet i det subkutana infusionssetet ska inte ges till patienten.
Injektionen ska ges i buken, förutom i området 5 cm runt naveln. Injektioner ska aldrig ges i områden där huden är rodnad, har blåmärken, är öm eller hård, eller områden med födelsemärken eller ärr.
Ocrevus injektionsvätska, lösning ska alltid administreras av sjukvårdspersonal. För den första dosen rekommenderas övervakning efter injektionen med tillgång till lämpliga medicinska resurser för att hantera allvarliga reaktioner såsom IR under minst en timme efter injektionen. För de efterföljande doserna bestämmer läkaren om övervakning efter injektionen behövs (se avsnitt 4.4).
Anvisningar om användning och hantering av läkemedlet före administrering finns i avsnitt 6.6.
Överkänslighet mot den aktiva substansen eller mot något hjälpämne som anges i avsnitt 6.1.
Pågående aktiv infektion (se avsnitt 4.4).
Patienter med svår immunsuppression (se avsnitt 4.4).
Kända aktiva maligniteter (se avsnitt 4.4).
Spårbarhet
För att förbättra spårbarheten av biologiska läkemedel ska produktnamnet och tillverkningssatsnumret på det administrerade läkemedlet tydligt noteras i patientens journal.
Injektionsreaktioner (IR)
Behandling med subkutant ocrelizumab är förknippat med IR, vilka kan vara relaterade till frisättning av cytokiner och/eller andra kemiska mediatorer. Läkaren ska informera patienten om att injektionsreaktioner kan uppkomma under eller inom 24 timmar efter administreringen. Symtom på IR har rapporterats oftare vid den första injektionen. Reaktionerna kan vara lokala eller systemiska IR. Vanliga symtom på lokala IR vid injektionsstället är erytem, smärta, svullnad och klåda. Vanliga symtom på systemiska IR är huvudvärk och illamående (se avsnitt 4.8).
Premedicinering ska ges strax före injektionen för att minska risken för IR (se avsnitt 4.2). Patienterna ska observeras avseende symtom på allvarlig IR i minst en timme efter den första dosen av läkemedlet. Lämpliga resurser för hantering av allvarliga IR, överkänslighetsreaktioner och/eller anafylaktiska reaktioner ska finnas tillgängliga när den första dosen av läkemedlet ges. För de efterföljande doserna bestämmer läkaren om övervakning behövs efter injektionen. Om IR skulle uppträda kan de behandlas symtomatiskt.
Vid tecken på en livshotande injektionsreaktion ska injektionen avbrytas omedelbart och patienten ska få lämplig behandling. Behandlingen med ocrelizumab måste sättas ut permanent hos dessa patienter. Om en patient får en allvarlig injektionsreaktion ska injektionen avbrytas omedelbart och patienten ska få symtomatisk behandling. Injektionen ska inte fortsätta förrän samtliga symtom har försvunnit.
Intravenöst ocrelizumab förknippas med infusionsrelaterade reaktioner (IRR) vilka också kan vara relaterade till frisättning av cytokiner och/eller andra kemiska mediatorer. IRR kan yttra sig som klåda, utslag, urtikaria, erytem, halsirritation, orofaryngeal smärta, dyspné, faryngealt ödem, larynxödem, rodnad, hypotoni, pyrexi, trötthet, huvudvärk, yrsel, illamående, takykardi och anafylaxi.
Allvarliga IRR som krävt sjukhusinläggning har rapporterats vid användning av intravenöst ocrelizumab.
Överkänslighet kan kliniskt vara omöjligt att särskilja från en IR eller en IRR grundat på symtomen. Vid misstanke om en överkänslighetsreaktion måste injektionen omedelbart och permanent stoppas (se ”Överkänslighetsreaktioner” nedan).
Överkänslighetsreaktioner
En överkänslighetsreaktion kan också inträffa (akut allergisk reaktion på läkemedel). Typ 1 akuta överkänslighetsreaktioner (IgE-medierade) kan kliniskt vara mycket svåra att skilja från IR-symtom.
En överkänslighetsreaktion kan uppkomma under vilken administrering som helst men uppkommer dock vanligen inte under den första administreringen. Om patienten under efterföljande administreringar upplever mer uttalade symtom än tidigare eller nya svåra symtom ska en eventuell överkänslighetsreaktion omedelbart övervägas. Patienter med känd IgE-medierad överkänslighet mot ocrelizumab eller mot något hjälpämne ska inte behandlas (se avsnitt 4.3).
Infektion
Administrering av ocrelizumab ska skjutas upp hos patienter med en pågående aktiv infektion tills infektionen har gått över.
Det rekommenderas att patientens immunstatus kontrolleras innan dosering eftersom svårt immunförsvagade patienter (t.ex. med lymfopeni, neutropeni, hypogammaglobulinemi) inte ska behandlas (se avsnitt 4.3 och 4.8).
Den övergripande andelen patienter som fick en allvarlig infektion var likvärdig med jämförelseläkemedlen (se avsnitt 4.8) i studier med intravenöst ocrelizumab. Frekvensen av grad 4 (livshotande) och grad 5 (dödliga) infektioner var låg i alla behandlingsgrupper men i PPMS var den högre med intravenöst ocrelizumab jämfört med placebo för infektioner som var livshotande (1,6% jämfört med 0,4%) och dödliga (0,6% jämfört med 0%). Alla livshotande infektioner gick över utan att ocrelizumab avslutades.
Vid PPMS löper patienter med sväljsvårigheter en högre risk att få aspirationspneumoni. Behandling med ocrelizumab kan ytterligare öka risken för svår pneumoni hos dessa patienter. Läkare bör vidta snabba åtgärder för patienter som visar tecken på pneumoni.
Progressiv multifokal leukoencefalopati (PML)
John Cunningham virusinfektion (JC virus) som orsakar PML har observerats mycket sällan hos patienter som behandlats med anti‑CD20‑antikroppar, inklusive ocrelizumab, och oftast i samband med riskfaktorer (patientpopulation t.ex. lymfopeni, hög ålder, samtidig immunsuppressiv behandling).
Läkare ska vara uppmärksamma på tidiga tecken och symtom på PML vilka kan inkludera nydebuterade eller försämrade neurologiska tecken eller symtom, eftersom dessa kan likna MS-sjukdom. Om PML misstänks ska behandling med ocrelizumab avbrytas. Utvärdering som inkluderar undersökning med magnetisk resonanstomografi (MRT), företrädesvis med kontrast (jämfört med MRT före behandling), analys av JC virus Deoxiribonukleinsyra (DNA) från cerebrospinalvätskan samt upprepade neurologiska bedömningar bör övervägas. Om PML konstateras ska behandlingen sättas ut permanent.
Hepatit B-reaktivering
Hepatit B-virus (HBV)-reaktivering, som i vissa fall resulterat i fulminant hepatit, leversvikt och död, har rapporterats hos patienter behandlade med anti-CD20-antikroppar.
Screening för HBV enligt lokala riktlinjer bör utföras hos alla patienter innan behandling inleds. Patienter med aktiv HBV-infektion (dvs. en aktiv infektion som bekräftats med positiva testresultat för HBsAg och anti‑HB) bör inte behandlas med ocrelizumab (se avsnitt 4.3). Patienter med positiv serologi (dvs. negativ för HBsAg och positiv för HB kärnantikropp (HBcAb +); bärare av HBV (positiv för ytantigen, HBsAg +) bör remitteras till en specialist på leversjukdomar innan behandling inleds och bör följas upp samt behandlas enligt lokala medicinska riktlinjer för att förhindra hepatit B-reaktivering.
Sen neutropeni
Fall av neutropeni som inträffar sent har rapporterats minst 4 veckor efter den senaste intravenösa infusionen med ocrelizumab (se avsnitt 4.8). Även om vissa fall var av grad 3 eller 4, så var majoriteten av fallen av grad 1 eller 2. Hos patienter med tecken och symtom på infektion, rekommenderas mätning av neutrofiler i blodet.
Maligniteter
Under den kontrollerade perioden i pivotala kliniska studier har ett ökat antal maligniteter (inklusive bröstcancer) observerats hos patienter som behandlats med ocrelizumab jämfört med kontrollgrupperna. Incidensen var jämförbar med den som förväntas hos en MS‑population. Efter cirka 10 års kontinuerlig behandling med ocrelizumab under den kontrollerade perioden och den öppna förlängningsfasen (Open Label Extension, OLE) av de pivotala kliniska prövningarna förblev incidensen av maligniteter inom den förväntade bakgrundsfrekvensen hos en MS-population. Patienter med en känd pågående malignitet ska inte behandlas med ocrelizumab (se avsnitt 4.3). Individuell nytta-risk utvärdering ska övervägas hos patienter med kända riskfaktorer för maligniteter och hos patienter som aktivt monitoreras för recidiv av malignitet. Patienter bör genomgå bröstcancerscreening enligt lokala riktlinjer.
Behandling av patienter med svår immunsuppression
Patienter med svår immunsuppression ska inte behandlas förrän tillståndet inte längre kvarstår (se avsnitt 4.3).
Vid andra autoimmuna tillstånd resulterade samtidig användning av ocrelizumab med andra immunsupprimerande läkemedel (t.ex. kronisk behandling med kortikosteroider, icke biologiska och biologiska sjukdomsmodifierande antireumatiska läkemedel [DMARDS], mykofenolatmofetil, cyklofosfamid, azatioprin) i en ökning av allvarliga infektioner, inklusive opportunistiska infektioner. Dessa infektioner inkluderade, men var inte begränsade till, atypisk pneumoni och pneumocystis jirovecii pneumoni, varicella pneumoni, tuberkulos, histoplasmos. I sällsynta fall var vissa av dessa infektioner dödliga. En explorativ analys identifierade följande faktorer som förknippades med risk för allvarliga infektioner: högre doser av ocrelizumab än rekommenderat för MS, annan komorbiditet och kronisk användning av immunsuppressiva läkemedel/kortikosteroider.
Användning av andra immunsuppressiva läkemedel samtidigt med ocrelizumab rekommenderas inte, förutom kortikosteroider för symtomatisk behandling av skov. Kunskapen är begränsad huruvida samtidig användning av steroider för symtomatisk behandling av skov förknippas med en ökad risk för infektioner i klinisk praxis. I pivotala MS-studier med intravenöst ocrelizumab förknippades inte administrering av kortikosteroider för behandling av skov med en ökad risk för allvarlig infektion.
När ocrelizumab initieras efter immunsuppressiv behandling eller vid initiering av immunsuppressiv behandling efter ocrelizumab bör möjligheten att de farmakodynamiska effekterna överlappar varandra tas i beaktande (se avsnitt 5.1). Försiktighet bör iakttas när ocrelizumab förskrivs med tanke på de farmakodynamiska effekterna av andra sjukdomsmodifierande läkemedel mot MS.
Vaccinationer
Säkerheten vid immunisering med levande eller levande försvagade vaccin efter behandling med ocrelizumab har inte studerats. Vaccination med levande försvagade eller levande vaccin rekommenderas inte under behandling och fram tills dess att B-cellerna återhämtat sig. I kliniska studier var mediantiden för återhämtning av B-cellsnivåerna 72 veckor (se avsnitt 5.1).
I en randomiserad öppen studie kunde RMS-patienter som behandlades med intravenöst ocrelizumab bygga upp humorala svar, även om minskade, mot tetanustoxoid, 23-valent pneumokockpolysackarid med eller utan ett boostervaccin, Keyhole Limpet-hemocyanin neoantigen och vacciner mot säsongsinfluensa (se avsnitt 4.5 och 5.1).
Det rekommenderas att vaccinera patienter som behandlas med ocrelizumab med säsongsinfluensavacciner som är inaktiverade.
Läkare bör se över vaccinationsstatus hos patienter som övervägs för behandling med ocrelizumab. Patienter som behöver vaccination bör slutföra sin immunisering minst 6 veckor före initiering av behandling med ocrelizumab.
Exponering in utero för ocrelizumab och vaccination av nyfödda och spädbarn med levande eller levande försvagade vacciner
På grund av risken för depletion av B-celler hos spädbarn till mödrar som har exponerats för ocrelizumab under graviditet, rekommenderas att vaccination med levande eller levande försvagade vacciner bör skjutas upp tills B-cellsnivåerna har återhämtat sig. Därför rekommenderas mätning av CD19-positiva B-cellsnivåer hos spädbarn och nyfödda innan vaccinering.
Det rekommenderas att alla vaccinationer, förutom med levande eller levande försvagade vacciner, bör följa det lokala vaccinationsprogrammet och mätning av vaccininducerade responstitrar bör övervägas för att kontrollera huruvida individer har byggt upp ett skyddande immunsvar eftersom effekten av vaccinationen kan vara reducerad.
Säkerhet och tidpunkt för vaccination bör diskuteras med barnets läkare (se avsnitt 4.6).
Natrium
Detta läkemedel innehåller mindre än 1 mmol natrium (23 mg) per dos, dvs. är näst intill ”natriumfritt”.
Inga interaktionsstudier har utförts eftersom inga interaktioner förväntas via cytokrom P450 enzymer, andra metaboliserande enzymer eller transportörer.
Vaccinationer
Säkerheten vid immunisering med levande eller levande försvagade vaccin efter behandling med ocrelizumab har inte studerats.
Data finns tillgängliga på effekterna av vaccination med tetanustoxoid, 23-valent pneumokockpolysackarid, Keyhole Limpet-hemocyanin neoantigen och säsongsinfluensavacciner hos patienter som behandlats med intravenöst ocrelizumab (se avsnitt 4.4 och 5.1).
Efter två års behandling med intravenöst ocrelizumab var andelen patienter med positiv antikroppstiter mot S. pneumoniae, påssjuka, röda hund och varicella generellt jämförbar med andelen vid baseline.
Immunsuppressiva läkemedel
Det rekommenderas inte att använda andra immunsuppressiva behandlingar samtidigt med ocrelizumab, förutom kortikosteroider för symtomatisk behandling av skov (se avsnitt 4.4).
Kvinnor i fertil ålder
Kvinnor i fertil ålder ska använda effektiva preventivmedel under behandling med ocrelizumab och i 4 månader efter den sista administrerade dosen med ocrelizumab.
Graviditet
Endast begränsad mängd data finns tillgänglig från användning av ocrelizumab hos gravida kvinnor. Ocrelizumab är en immunglobulin G (IgG). IgG har visats passera placenta. Att skjuta upp vaccinering med levande eller levande försvagade vacciner bör övervägas hos nyfödda och spädbarn som har exponerats för ocrelizumab in utero. Inga data avseende antalet B-celler hos nyfödda och spädbarn som exponerats för ocrelizumab har samlats in och det är inte känt hur länge depletion av B-celler hos nyfödda och spädbarn varar (se avsnitt 4.4).
Övergående depletion av perifera B-celler och lymfocytopeni har rapporterats hos spädbarn födda av mödrar som exponerats för andra anti-CD20-antikroppar under graviditeten. B-cellsdepletion in utero sågs även i djurstudier. Djurstudier (embryofetal toxicitet) tyder inte på några teratogena effekter. Reproduktionstoxicitet observerades i pre‑ och postnatala utvecklingsstudier (se avsnitt 5.3). Ocrelizumab bör undvikas under graviditet om inte den potentiella nyttan för modern överväger den potentiella risken för fostret.
Amning
Det är känt att humant IgG utsöndras i bröstmjölk de första dagarna efter födseln (kolostrumperioden), men minskar till låga koncentrationer kort därefter.
I en prospektiv, öppen multicenterstudie MN42989 (SOPRANINO), fick 13 ammande kvinnor ocrelizumab under en mediantid på 2,0 månader postpartum (intervall 0,5-5,0 månader). Låga koncentrationer av ocrelizumab detekterades i bröstmjölken under 60 dagar efter moderns första infusion postpartum (relativ mediandos till spädbarnet på 0,27% [intervall 0,0-1,8%]), vilket tyder på minimal överföring av ocrelizumab till bröstmjölken. 30 dagar efter moderns första infusion postpartum detekterades inte ocrelizumab i något tillgängligt serumprov från ammande spädbarn (n=9) och B-cellsnivåerna hos spädbarnen var inom normalintervallet i alla tillgängliga blodprover (n=10). Inga effekter av ocrelizumab på spädbarnens hälsa, tillväxt och utveckling observerades hos spädbarn som ammades under en uppföljningsperiod på 44,6 veckor (intervall 8,6-62,7 veckor).
Även om inga kliniska data finns tillgängliga för spädbarn som potentiellt exponerats för ocrelizumab via bröstmjölk med levande eller levande försvagade vacciner, förväntas inga risker på grund av att normala B-cellsnivåer och ej detekterbara serumnivåer av ocrelizumab observerats hos dessa spädbarn.
I en separat prospektiv klinisk studie observerades låga koncentrationer av ocrelizumab i bröstmjölken (relativ mediandos till spädbarnet på 0,1% [intervall 0,07-0,7%]) under 90 dagar efter moderns första infusion postpartum hos 29 kvinnor som ammade och som fick ocrelizumab i median 4,3 månader postpartum (intervall 0,1-36 månader). Uppföljning av 21 spädbarn som ammats i minst 2 veckor visade normal tillväxt och utveckling i upp till 1 år.
Ocrelizumab kan användas under amning med start några dagar efter födseln.
Fertilitet
Data från prekliniska studier visar inga särskilda risker för människa, baserat på studier av manlig och kvinnlig fertilitet hos cynomolgusapor som exponerats för ocrelizumab.
Ocrevus har ingen eller försumbar effekt på förmågan att framföra fordon och använda maskiner.
Summering av säkerhetsprofilen
Under den kontrollerade perioden av de pivotala kliniska prövningarna var de viktigaste och vanligaste rapporterade biverkningarna IRR (34,3% för RMS och 40,1% för PPMS) och infektioner (58,5% för RMS och 72,2% för PPMS) (se avsnitt 4.4).
Totalt 2376 patienter ingick i den kontrollerade perioden av de pivotala kliniska prövningarna och av dessa gick 1852 patienter in i den öppna förlängningsfasen (Open Label Extension, OLE). Alla patienter bytte till ocrelizumabbehandling under OLE-fasen. 1155 patienter slutförde OLE-fasen, vilket resulterade i cirka 10 års kontinuerlig ocrelizumabbehandling (15 515 patientårs exponering) under den kontrollerade perioden och OLE-fasen. Den övergripande säkerhetsprofilen som observerades under den kontrollerade perioden och OLE-fasen förblir överensstämmande med den som observerades under den kontrollerade perioden.
Säkerhetsprofilen för Ocrevus injektionsvätska, lösning överensstämde med den kända säkerhetsprofilen för intravenöst ocrelizumab nedan i tabell 1, med undantag av den mycket vanliga biverkningen IR (injektionsreaktion).
Tabell över biverkningar
Biverkningar som rapporterats under den kontrollerade perioden av de pivotala kliniska prövningarna med intravenöst ocrelizumab och från spontanrapportering redovisas nedan i tabell 1. Biverkningarna redovisas enligt MedDRA klassificering av organsystem och frekvenskategorier. Frekvenserna definieras som mycket vanliga (≥ 1/10), vanliga (≥ 1/100 till < 1/10), mindre vanliga (≥ 1/1000 till < 1/100), sällsynta (≥ 1/10 000 till < 1/1000), mycket sällsynta (< 1/10 000) och ingen känd frekvens (kan inte utvärderas från tillgängliga data) . Biverkningarna presenteras inom varje organklass efter fallande frekvens.
Tabell 1 Biverkningar
1 Endast observerade i sammanslaget dataset för intravenöst ocrelizumab.
2 Observerade i en studie utanför det sammanslagna intravenösa datasetet för ocrelizumab (förknippat med subkutan administrering).
3 Observerade efter marknadsintroduktion.
Beskrivning av utvalda biverkningar
Injektionsreaktioner
Baserat på observerade symtom delas injektionsreaktionerna in i systemiska IR och lokala IR.
I OCARINA II fick 118 patienter (ocrelizumab-naiva) sin första injektion av läkemedlet. De vanligaste symtomen som rapporterades vid systemisk IR och lokal IR var huvudvärk (2,5%), illamående (1,7%), erytem vid injektionsstället (29,7%), smärta vid injektionsstället (14,4%), svullnad vid injektionsstället (8,5%) och klåda vid injektionsstället (6,8%). IR inträffade hos 48,3% av dessa patienter efter den första injektionen. Av de 118 patienterna fick 11,0% minst en systemisk IR och 45,8% minst en lokal IR. Bland patienterna som fick en IR inträffade denna hos en majoritet (82,5%) inom 24 timmar efter avslutad injektion snarare än under injektionen. Alla IR var icke-allvarliga och var av lindrig (71,9%) eller måttlig (28,1%) svårighetsgrad. IR varade i median i 3 dagar när det gällde systemiska IR och 4 dagar för lokala IR. Samtliga patienter återhämtade sig från IR och 26,3% krävde symtomatisk behandling.
I OCARINA I fick 125 patienter en eller flera subkutana injektioner av ocrelizumab 1200 mg subkutant. Av de 125 patienterna som fick den första injektionen fick 16,0% av patienterna minst en systemisk IR och 64,0% av patienterna minst en lokal IR. Hos de 104 patienter som fick den andra injektionen minskade incidensen av systemisk IR till 7,7% och för lokal IR till 37,5%. Vid den första injektionen var alla IR icke-allvarliga och alla utom en IR var av lindrig eller måttlig svårighetsgrad. Vid den andra injektionen var alla IR icke-allvarliga och av lindrig eller måttlig svårighetsgrad. Symtomatisk behandling behövdes hos 21,2% av patienterna som fick en IR efter den första injektionen och hos 17,9% av patienterna som fick en IR efter den andra injektionen.
Intravenöst ocrelizumab är förknippat med infusionsrelaterade reaktioner (IRR), vilka också kan vara relaterade till frisättning av cytokiner och/eller andra kemiska mediatorer. IRR kan yttra sig som klåda, utslag, urtikaria, erytem, halsirritation, orofaryngeal smärta, dyspné, faryngealt ödem eller larynxödem, rodnad, hypotoni, pyrexi, trötthet, huvudvärk, yrsel, illamående, takykardi och anafylaxi. Allvarliga IRR, där vissa krävt sjukhusinläggning, har rapporterats vid användning av intravenöst ocrelizumab.
Infektion
I RMS-studierna med aktivt jämförelseläkemedel förekom infektioner hos 58,5% av patienterna som fick intravenöst ocrelizumab jämfört med hos 52,5% hos patienterna som fick interferon beta-1a. Allvarliga infektioner förekom hos 1,3% av patienterna som fick intravenöst ocrelizumab jämfört med hos 2,9% av patienterna som fick interferon beta‑1a. I den placebokontrollerade PPMS studien förekom infektioner hos 72,2% av patienterna som fick intravenöst ocrelizumab jämfört med hos 69,9% av patienterna som fick placebo. Allvarliga infektioner förekom hos 6,2% av patienterna som fick intravenöst ocrelizumab jämfört med hos 6,7% av patienterna som fick placebo.
Alla patienter bytte till intravenöst ocrelizumab under OLE-fasen i både de pivotala RMS- och PPMS-studierna med intravenöst ocrelizumab. Under OLE-fasen hos RMS- och PPMS-patienter ökade inte den totala risken för allvarliga infektioner jämfört med den som observerades under den kontrollerade perioden. Som observerats under den kontrollerade perioden förblev frekvensen av allvarliga infektioner hos PPMS-patienter högre än vad som observerats hos RMS-patienter.
I linje med den tidigare analysen av riskfaktorer för allvarliga infektioner vid andra autoimmuna tillstånd än MS (se avsnitt 4.4) utfördes en multivariatanalys av riskfaktorer för allvarliga infektioner i de cirka 10 år långa kumulativa exponeringsdata från den kontrollerade perioden och OLE-fasen av de pivotala kliniska prövningarna. Riskfaktorer för allvarliga infektioner hos RMS-patienter inkluderar att ha minst 1 komorbiditet, nyligen haft ett kliniskt skov och Expanded Disability Status Scale (EDSS) ≥ 6,0. Riskfaktorer för allvarliga infektioner hos PPMS-patienter inkluderar kroppsmasseindex större än 25 kg/m2, minst 2 komorbiditeter, EDSS ≥ 6,0 och IgM < den undre normala gränsen (lower limit of normal, LLN). Komorbiditeter inkluderade, men var inte begränsade till, kardiovaskulära tillstånd, njur- och urinvägstillstånd, tidigare infektioner och depression.
Luftvägsinfektioner
Andelen luftvägsinfektioner var högre hos patienter behandlade med intravenöst ocrelizumab jämfört med hos patienter behandlade med interferon beta‑1a och placebo.
I de kliniska RMS-studierna fick 39,9% av patienterna som behandlades med intravenöst ocrelizumab och 33,2% av interferon beta‑1a‑behandlade patienter en övre luftvägsinfektion och 7,5% av patienterna som behandlades med intravenöst ocrelizumab och 5,2% av interferon beta‑1a‑behandlade patienter fick en nedre luftvägsinfektion.
I den kliniska PPMS-studien fick 48,8% av patienterna som behandlades med intravenöst ocrelizumab och 42,7% av patienterna som fick placebo en övre luftvägsinfektion och 9,9% av patienterna som behandlades med intravenöst ocrelizumab och 9,2% av patienterna som behandlades med placebo fick en nedre luftvägsinfektion.
De luftvägsinfektioner som rapporterats hos patienter behandlade med intravenöst ocrelizumab var övervägande milda till måttliga (80‑90%).
Herpes
I kliniska studier (RMS) med aktivt jämförelseläkemedel rapporterades herpesinfektioner oftare hos patienter behandlade med intravenöst ocrelizumab än hos interferon beta‑1a‑behandlade patienter. Dessa inkluderade herpes zoster (2,1% mot 1,0%), herpes simplex (0,7% mot 0,1% ), oral herpes (3,0% mot 2,2%), genital herpes (0,1% mot 0%) och herpes‑virusinfektion (0,1% mot 0%). Alla infektionerna var milda till måttliga i svårighetsgrad, förutom en grad 3 händelse, och patienterna återhämtade sig med hjälp av standardbehandling. I den placebokontrollerade (PPMS) kliniska studien observerades en högre andel patienter med oral herpes (2,7% mot 0,8%) i armen med intravenös ocrelizumabbehandling.
Laboratorieavvikelser
Immunglobuliner
Behandling med ocrelizumab resulterade i en minskning av total mängd immunglobuliner under den kontrollerade perioden av de pivotala kliniska prövningarna med intravenöst ocrelizumab, huvudsakligen orsakade av en minskning av IgM.
Data från den kontrollerade perioden och OLE-fasen av de pivotala kliniska prövningarna har visat ett samband mellan minskade nivåer av IgG (och i mindre utsträckning för IgM eller IgA) och högre frekvens av allvarliga infektioner. 2,1% av RMS-patienterna hade en allvarlig infektion under en period med IgG < LLN och 2,3% av PPMS-patienterna hade en allvarlig infektion under en period med IgG < LLN. Skillnaden i andelen allvarliga infektioner hos patienter med IgG < LLN jämfört med patienter med IgG ≥ LLN ökade inte över tid. Typen, svårighetsgraden, latensen, varaktigheten och utfallet av de allvarliga infektionerna som observerades under episoder med immunglobuliner under LLN överensstämde med de totala allvarliga infektionerna som observerades hos patienter som behandlades med ocrelizumab under den kontrollerade perioden och OLE-fasen. Under de 10 åren som kontinuerlig behandling med ocrelizumab pågick, låg de genomsnittliga IgG-nivåerna för RMS- och PPMS-patienterna kvar över LLN.
Lymfocyter
Vid RMS observerades en minskning av lymfocyter < LLN hos 20,7% av patienterna som behandlades med intravenöst ocrelizumab jämfört med 32,6% av patienterna som behandlades med interferon beta-1a. Vid PPMS observerades en minskning av lymfocyter < LLN hos 26,3% av patienterna som behandlats med intravenöst ocrelizumab jämfört med 11,7% av placebobehandlade patienter.
Majoriteten av dessa minskningar som rapporterades hos patienter behandlade med intravenöst ocrelizumab var av grad 1 (< LLN - 800 celler/mm3) och grad 2 (mellan 500 till 800 celler/mm3) i allvarlighetsgrad. Cirka 1% av patienterna i gruppen som fick intravenöst ocrelizumab hade en grad 3 lymfopeni (mellan 200 till 500 celler/mm3). Ingen av patienterna rapporterades med grad 4 lymfopeni (< 200 celler/mm3).
En ökad frekvens av allvarliga infektioner observerades under episoder av bekräftad minskning av totalt lymfocytantal hos patienter som behandlats med intravenöst ocrelizumab. Antalet allvarliga infektioner var för lågt för att dra några definitiva slutsatser.
Neutrofiler
I den aktivt kontrollerade (RMS) behandlingsperioden observerades en minskning i antalet neutrofiler < LLN hos 14,7% av patienterna som behandlades med intravenöst ocrelizumab jämfört med hos 40,9% av patienterna som behandlades med interferon beta‑1a. I den placebokontrollerade (PPMS) kliniska studien var andelen patienter som behandlats med intravenöst ocrelizumab som fick minskat antal neutrofiler högre (12,9%) än för placebobehandlade patienter (10,0%); bland dessa hade en högre procentandel patienter (4,3%) i gruppen som fick intravenöst ocrelizumab neutropeni av grad 2 eller högre jämfört med 1,3% i placebogruppen; cirka 1% av patienterna i gruppen som fick intravenöst ocrelizumab fick neutropeni av grad 4 jämfört med 0% i placebogruppen.
Minskningen i antal neutrofiler var i majoriteten av fallen övergående (observerades endast en gång för en given patient som behandlats med ocrelizumab) och av svårighetsgrad 1 (mellan < LLN och 1500 celler/mm3) och 2 (mellan 1000 och 1500 celler/mm3). Totalt sett hade cirka 1% av patienterna i gruppen som fick intravenöst ocrelizumab neutropeni av grad 3 eller 4. En patient med neutropeni av grad 3 (mellan 500 till 1000 celler/mm3) och en patient med grad 4 (<500 celler/mm3) krävde särskild behandling med granulocytkolonistimulerande faktor och kvarstod på ocrelizumab efter händelsen. Neutropeni kan inträffa flera månader efter administrering av ocrelizumab (se avsnitt 4.4)
Övrigt
En patient som fick 2000 mg intravenöst ocrelizumab dog av systemiskt inflammationsresponssyndrom (SIRS) av okänd etiologi efter en undersökning med magnetisk resonanstomografi (MRT) 12 veckor efter sista infusionen; en anafylaktisk reaktion mot MRT-kontrastmedlet med gadolinium kan ha bidragit till SIRS.
Rapportering av misstänkta biverkningar
Det finns begränsad erfarenhet från kliniska studier med doser högre än den godkända dosen av ocrelizumab. Den hittills högsta testade dosen i MS‑patienter är 2000 mg givet som två 1000 mg intravenösa infusioner med 2 veckors intervall (fas II dostitreringsstudie vid RRMS) och 1200 mg administrerat som subkutan injektion (fas Ib dostitreringsstudie). Biverkningarna överensstämde med säkerhetsprofilen i de pivotala kliniska studierna.
Det finns ingen specifik antidot vid händelse av överdosering. Avbryt injektionen omedelbart och observera patienten avseende IR (se avsnitt 4.4).
Farmakodynamisk effekt
Behandling med ocrelizumab leder till en snabb depletion av CD19+ B-celler i blodet inom 14 dagar efter behandling (första tidpunkten för utvärdering) som en förväntad farmakologisk effekt. Denna kvarstod under hela behandlingsperioden med intravenöst ocrelizumab. Vid bestämning av antalet B-celler används CD19 eftersom närvaron av ocrelizumab interagerar med identifieringen av CD20 vid analysen.
I Fas III-studierna uppvisade upp till 5% av patienterna en återhämtning av B-cellsnivåerna (> LLN eller baseline) mellan varje dos av intravenöst ocrelizumab, vid minst ett tillfälle. Omfattningen och varaktigheten av depletionen av B-celler var desamma i PPMS- och RMS-studierna.
Den längsta uppföljningstiden efter den sista intravenösa infusionen (Fas II-studien WA21493, n=51) indikerar att mediantiden till återhämtning av B-cellsnivåerna (återgång till baseline/LLN, det som inträffade först) var 72 veckor (inom intervallet 27 – 175 veckor). 90% av alla patienter uppvisade en återhämtning av B-cellsnivåerna till LLN eller baseline inom cirka två och ett halvt år efter sista infusionen.
Klinisk effekt och säkerhet
Subkutan formulering
OCARINA II
Studie CN42097 (OCARINA II) var en randomiserad, öppen multicenterstudie med parallella grupper som utvärderade farmakokinetik, farmakodynamik, säkerhet, immunogenicitet, radiologisk och klinisk effekt av subkutant ocrelizumab i jämförelse med intravenöst ocrelizumab hos patienter med RMS eller PPMS. OCARINA II var utformad för att påvisa non-inferiority för behandling med subkutant ocrelizumab jämfört med intravenöst ocrelizumab, baserat på det primära PK-effektmåttet som var area under koncentration/tid-kurvan (AUC) i upp till 12 veckor efter injektion/infusion (AUCw1-12).
Totalt randomiserades 236 patienter med RMS eller PPMS (213 patienter med RMS, 23 med PPMS) i förhållandet 1:1 till den subkutana respektive intravenösa gruppen. Under den kontrollerade fasen (dag 0 till vecka 24) fick patienterna antingen en engångsdos av 920 mg som subkutan injektion dag 1, eller två intravenösa 300 mg-infusioner dag 1 och dag 14. Efter den kontrollerade fasen hade samtliga patienter möjlighet att få fler subkutana injektioner av 920 mg ocrelizumab vecka 24 och vecka 48 (dos 2 och 3). Patienterna exkluderades om de under de senaste 24 månaderna hade behandlats med anti-CD20 antikroppar, däribland ocrelizumab.
Patienterna var i åldern 18‑65 år med EDSS från 0 till 6,5 vid screeningen. Demografiska egenskaper var likartade och patientkaraktäristika vid studiestart var väl balanserade mellan de två behandlingsgrupperna. Genomsnittsåldern var 39,9 år i den subkutana gruppen och 40,0 år i den intravenösa gruppen. I den subkutana gruppen var 34,7 % av patienterna män och i den intravenösa gruppen var 40,7 % män. Tid sedan MS-diagnos var i genomsnitt/median 5,70/3,10 år i den subkutana gruppen och 4,78/2,35 år i den intravenösa gruppen.
Non-inferiority för ocrelizumabexponering efter administrering av 920 mg subkutant ocrelizumab jämfört med 600 mg intravenöst ocrelizumab påvisades baserat på det primära PK-effektmåttet AUC fram till vecka 12 (AUCw1-12) efter injektionen (se avsnitt 5.2).
Intravenös formulering
Skovvisa former av multipel skleros (RRMS)
Effekt och säkerhet av ocrelizumab utvärderades i två randomiserade, dubbelblinda, ”double-dummy” kliniska studier med aktivt jämförandepreparat som kontroll (WA21092 och WA21093) med identisk studiedesign, hos patienter med skovvis förlöpande former av MS (i enlighet med McDonalds kriterier 2010) och bevis på sjukdomsaktivitet (som definierats med kliniska eller bilddiagnostiska fynd) inom de föregående två åren. Studiedesign och studiepopulationens karakteristika vid baseline är summerade i tabell 2.
Demografiska- och baseline-karakteristika var välbalanserade mellan de två behandlingsgrupperna. Patienter som behandlades med ocrelizumab (Grupp A) fick 600 mg var 6:e månad (dos 1 administrerades som 2 x 300 mg intravenös infusion med 2 veckors mellanrum och efterföljande doser administrerades som singeldoser om 600 mg intravenös infusion). Patienterna i Grupp B fick interferon beta-1a 44 mikrogram genom subkutan injektion 3 gånger per vecka.
Tabell 2 Studiedesign, demografiska- och baseline-karakteristika
* Expanded Disability Status Scale
**Patienter som inte hade behandlats med en sjukdomsmodifierande behandling inom 2 år före randomiseringen.
De viktigaste kliniska- och MRT-resultaten med avseende på effekt presenteras i tabell 3 och figur 1.
Resultaten från dessa studier visar att ocrelizumab signifikant minskade skovfrekvensen, subklinisk sjukdomsaktivitet mätt med MRT samt progression av sjukdomen jämfört med interferon beta-1a 44 mikrogram subkutant.
Tabell 3 De viktigaste kliniska- och MRT-effektmåtten från studierna WA21092 och WA21093 (RMS)
1 Data prospektivt poolade från studie 1 och 2.
2 Icke-bekräftande analys av p-värde; ej del av prespecificerad test-hierarki.
3 CDP definierad som en ökning med ≥ 1,0 poäng från baseline Expanded Disability Status Scale (EDSS) värdet för patienter med värde vid baseline på 5,5 eller mindre, eller ≥ 0,5 när värdet vid baseline är > 5,5, uppskattning enligt Kaplan-Meier vid vecka 96.
4 Definierad som en minskning med ≥ 1,0 poäng från baseline EDSS-värdet för patienter med EDSS-värde vid baseline på ≥ 2 och ≤ 5,5, eller ≥ 0,5 när värdet vid baseline är > 5,5. Patienter med värde < 2 vid baseline ingick inte i analysen.
5 NEDA definierad som frånvaro av skov enligt definition i protokollet, 12 veckors CDP, och någon MRT-aktivitet (antingen kontrastladdade T1 lesioner, eller nya eller förstorade T2-lesioner) under hela den 96 veckor långa behandlingsperioden. Exploratoriska resultat baserade på komplett ITT population.
6 Icke-bekräftande p-värde; hierarkisk testprocedur avbruten innan effektmåttet skulle ha analyserats.
7 Log-rank test.
8 Bekräftat skov (åtföljt av en kliniskt relevant förändring av EDSS).
Figur 1 Kaplan-Meier diagram* av tid till debut av bekräftad progression av funktionsnedsättning som kvarstod i minst 12 veckor då den initiala händelsen av neurologisk försämring inträffade under den dubbelblinda behandlingsperioden (Poolad WA21092 och WA21093 ITT Population)*
*Prespecificerad poolad analys av WA21092 och WA21093
Resultat från den prespecificerade poolade analysen av tid till bekräftad progression av funktionsnedsättning som kvarstod i minst 12 veckor (40% riskreduktion för ocrelizumab jämfört med interferon beta-1a, p=0,0006) stämde mycket väl överens med resultaten som kvarstod i minst 24 veckor (40% riskreduktion för ocrelizumab jämfört med interferon beta-1a, p=0,0025).
I studierna inkluderades patienter med aktiv sjukdom. Dessa inkluderade både tidigare obehandlade patienter med aktiv sjukdom och tidigare behandlade patienter med otillräcklig respons som definierats med kliniska eller bilddiagnostiska fynd. Analys av patientpopulationer med avvikande värden för sjukdomsaktivitet vid baseline, inklusive aktiv och högaktiv sjukdom, visade att effekten av ocrelizumab på årlig skovfrekvens och 12 veckors bekräftad progression av funktionsnedsättning var överensstämmande med populationen som helhet.
Primärprogressiv multipel skleros (PPMS)
Effekt och säkerhet av ocrelizumab utvärderades även i en randomiserad, dubbelblind, placebokontrollerad klinisk studie hos patienter med primärprogressiv MS (studien WA25046) som enligt de huvudsakliga inklusionskriterierna var i tidigt stadium i sitt sjukdomsförlopp, dvs. ålder 18-55 år, inklusive; EDSS vid screening från 3,0 till 6,5 poäng; tid sedan debut av MS-symtom mindre än 10 år hos patienter med ett EDSS vid screening ≤5,0 eller mindre än 15 år hos patienter med ett EDSS vid screening >5.0. Avseende sjukdomsaktivitet kan fynd som är karakteristiska för inflammatorisk aktivitet, även vid progressiv MS, vara bilddiagnostiska (dvs. kontrastladdade T1 lesioner och/eller aktiva [nya eller förstorade] T2 lesioner). MRT-bevis bör användas för att bekräfta inflammatorisk aktivitet hos alla patienter. Patienter över 55 år studerades inte. Studiedesign och studiepopulationens karakteristika vid baseline presenteras i tabell 4.
Demografiska- och baseline-karakteristika var välbalanserade mellan de två behandlingsgrupperna. Kranial MRT visade bilddiagnostiska fynd som var karakteristiska för inflammatorisk aktivitet, antingen kontrastladdade T1 lesioner eller T2 lesioner.
Under Fas III PPMS-studien fick patienterna 600 mg ocrelizumab var 6:e månad administrerad som två infusioner om 300 mg med två veckors mellanrum genom hela behandlingsperioden. Infusionerna om 600 mg i RMS och infusionerna om 2 x 300 mg i PPMS visade likvärdiga PK/PD profiler. IRR-profiler per infusion var också jämförbara, oberoende av om 600 mg-dosen administrerades som en engångsinfusion på 600 mg eller som två infusioner om 300 mg med två veckors mellanrum (se avsnitt 4.8 och 5.2), men p.g.a. totalt fler infusioner med doseringsregimen 2 x 300 mg var totala antalet IRR högre. Det rekommenderas därför att administrera ocrelizumab som en 600 mg engångsinfusion efter dos 1 (se avsnitt 4.2) för att minska det totala antalet infusioner (med samtidig exponering för profylaktisk metylprednisolon och ett antihistamin) och relaterade reaktioner på infusionen.
Tabell 4 Studiedesign, demografiska- och baseline-karakteristika för studie WA25046
De viktigaste kliniska och MRT effektresultaten presenteras i tabell 5 och figur 2.
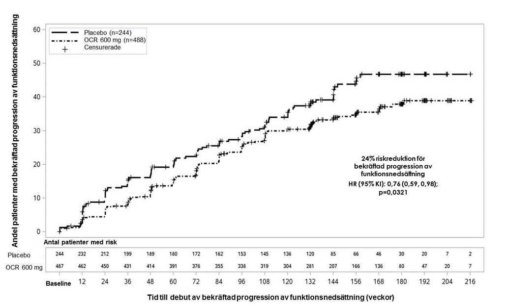
Resultaten från denna studie visar att ocrelizumab signifikant försenar sjukdomsprogression och reducerar försämringen av gånghastigheten jämfört med placebo.
Tabell 5 De viktigaste kliniska- och MRT-effektmåtten från studie WA25046 (PPMS)
1 Definierad som en ökning med ≥ 1,0 poäng från baseline EDSS värdet för patienter med värde vid baseline på 5,5 eller mindre, eller ≥ 0,5 när värdet vid baseline är > 5,5, uppskattning enligt Kaplan-Meier vid vecka 120.
Figur 2 Kaplan-Meier diagram av tid till debut av bekräftad progression av funktionsnedsättning som kvarstod i minst 12 veckor då den initiala händelsen av neurologisk försämring inträffade under den dubbelblinda behandlingsperioden (WA25046 ITT Population)*
*Alla patienter i denna analys följdes upp under minst 120 veckor. Den primära analysen är baserad på alla händelser.
En förspecificerad icke-powerstyrkt subgruppsanalys av det primära effektmåttet tyder på att patienter som är yngre eller de med kontrastladdade T1 lesioner vid baseline får en större behandlingsfördel än patienter som är äldre eller utan kontrastladdade T1 lesioner [≤ 45 år: HR 0,64 [0,45, 0,92], > 45 år: HR 0,88 [0,62, 1,26] med kontrastladdade T1 lesioner vid baseline: HR 0,65 [0,40-1,06], utan kontrastladdade T1 lesioner vid baseline: HR 0,84 [0,62-1,13].
Dessutom tyder post-hoc analyser på att yngre patienter med kontrastladdade T1 lesioner vid baseline har en bättre behandlingseffekt (≤ 45 år: HR 0,52 [0,27-1,00]; ≤ 46 år [medianåldern i studie WA25046]; HR 0,48 [0,25-0,92]; < 51 år: HR 0,53 [0,31-0,89].
Post-hoc analyser genomfördes i den förlängda kontrollperioden (Extended Controlled Period (ECP)) vilken inkluderar dubbelblindad behandling och ytterligare cirka 9 månader med kontrollerad uppföljning innan patienten fortsatte i den öppna förlängningsstudien (Open-Label Extension (OLE)) eller tills studiebehandlingen avbröts. Andelen patienter med 24 veckors bekräftad progression av funktionsnedsättning av EDSS ≥7,0 (24W-CDP av EDSS ≥7,0, tid till rullstol) var 9,1% i placebogruppen jämfört med 4,8% i ocrelizumabgruppen vid vecka 144. Det resulterade i en 47%-ig riskreduktion av tid till rullstol (HR 0,53, [0,31, 0,92]) under ECP. Eftersom dessa resultat var av det explorativa slaget och inkluderade data efter avblindning, bör resultaten tolkas med försiktighet.
Immunogenicitet
Subkutan beredningsform
Ingen patient i OCARINA I och OCARINA II hade behandlingsrelaterade antikroppar mot läkemedel (ADAs) mot ocrelizumab. Patienter i OCARINA II testades vid studiestart och var 6:e månad efter behandling under hela studietiden med avseende på ADAs. Övergående ADAs har därför kanske inte upptäckts mellan tidpunkterna för bedömning.
Incidensen av behandlingsorsakade antikroppar mot rHuPH20 (hyaluronidas) hos patienter som behandlades med subkutant ocrelizumab i OCARINA I var 2,3% (3/132). Ingen patient i OCARINA II utvecklade antikroppar mot rHUPH20 på grund av behandlingen.
Intravenös beredningsform
Patienter i MS-studier (WA21092, WA21093 och WA25046) testades vid flera tillfällen (baseline och var 6:e månad efter behandling under hela studietiden) med avseende på ADAs. Av 1311 patienter som behandlades med ocrelizumab visade 12 patienter (~1%) positivt svar på behandlingsrelaterade ADAs. Av dessa visade 2 patienter positivt svar på neutraliserande antikroppar. Påverkan av behandlingsrelaterade ADAs på effekt och säkerhet kan inte utvärderas med anledning av den låga incidensen av ADA associerad till ocrelizumab.
Immunisering
I en randomiserad öppen studie med RMS-patienter (n=102) var procentandelen av patienter med ett positivt svar till tetanusvaccin 8 veckor efter vaccinationen 23,9% i gruppen som fick intravenöst ocrelizumab jämfört med 54,5% i kontrollgruppen (ingen sjukdomsmodifierande behandling eller interferon beta). Geometriskt medelvärde för anti-tetanustoxoidspecifika antikroppstitrar vid 8 veckor var 3,74 respektive 9,81 IE/ml. Positivt svar till ≥5 serotyper i 23-PPV vid 4 veckor efter vaccinationen var 71,6% i gruppen som fick intravenöst ocrelizumab och 100% i kontrollgruppen. Hos patienter som behandlats med intravenöst ocrelizumab ledde en boostervaccination (13-PCV) 4 veckor efter 23-PPV inte till markant förbättrad respons till de 12 serotyper som även förekommer i 23-PPV. Före vaccination varierade andelen patienter i procent med seroprotektiva titrar mot fem influensastammar från 20,0-60,0% i gruppen som behandlats med ocrelizumab respektive 16,7-43,8% i kontrollgruppen. Vid 4 veckor efter vaccinationen var det 55,6-80,0% av patienterna som behandlats med intravenöst ocrelizumab respektive 75,0-97,0% av patienterna i kontrollgruppen som uppvisade seroprotektiva titrar mot fem influensastammar. Se avsnitt 4.4 och 4.5.
Pediatrisk population
Europeiska läkemedelsmyndigheten har senarelagt kravet att skicka in studieresultat för Ocrevus för en eller flera grupper av den pediatriska populationen för behandling av multipel skleros (information om pediatrisk användning finns i avsnitt 4.2).
Ocrelizumabs farmakokinetik i MS-studierna beskrevs med en två-kompartmentmodell med tidsberoende clearance och med PK-parametrar typiska för en IgG1 monoklonal antikropp.
Efter administrering av 920 mg subkutant ocrelizumab var predikterad genomsnittlig exponering (AUC över doseringsintervallet på 24 veckor) 3730 µg/ml per dag. Primärt PK-effektmått i OCARINA II, AUCw1-12, efter 920 mg subkutant ocrelizumab visade sig inte vara sämre än 600 mg intravenöst ocrelizumab. Geometrisk medelkvot för AUCw1-12 var 1,29 (90% KI: 1,23‑1,35).
Absorption
Beräknad biotillgänglighet efter subkutan administrering av 920 mg ocrelizumab var 81%. Genomsnittlig Cmax var 132 µg/ml och tmax uppnåddes efter cirka 4 dagar (intervall 2‑13 dagar).
Distribution
Den populationsfarmakokinetiska uppskattningen av den centrala distributionsvolymen var 2,78 liter. Perifer volym och inter-kompartment clearance uppskattades till 2,68 liter respektive 0,294 liter/dag.
Metabolism
Metabolismen av ocrelizumab har inte studerats direkt eftersom antikroppar huvudsakligen elimineras genom katabolism (dvs. nedbrytning till peptider och aminosyror).
Eliminering
Konstant clearance uppskattades till 0,17 liter/dag och initialt tidsberoende clearance till 0,0489 liter/dag vilket minskade med en halveringstid på 33 veckor. Den terminala elimineringshalveringstiden för ocrelizumab var 26 dagar.
Särskilda populationer
Pediatrisk population
Inga studier för att utvärdera farmakokinetiken för ocrelizumab hos barn och ungdomar yngre än 18 år har utförts.
Äldre
Det finns inga särskilda farmakokinetiska studier med ocrelizumab hos patienter ≥55 år på grund av begränsad klinisk erfarenhet (se avsnitt 4.2).
Nedsatt njurfunktion
Inga formella farmakokinetikstudier har utförts. Patienter med milt nedsatt njurfunktion ingick i de kliniska studierna och ingen ändring av ocrelizumabs farmakokinetik observerades hos dessa patienter. Det finns ingen PK-information för patienter med måttligt till gravt nedsatt njurfunktion.
Nedsatt leverfunktion
Inga formella farmakokinetikstudier har utförts. Patienter med milt nedsatt leverfunktion ingick i de kliniska studierna och ingen ändring av farmakokinetiken observerades hos dessa patienter. Det finns ingen PK-information för patienter med måttligt eller gravt nedsatt leverfunktion.
Gängse studier avseende säkerhetsfarmakologi, allmäntoxicitet och embryo-fetal utveckling visade inte några särskilda risker för människa. Varken karcinogenicitets- eller mutagenicitetsstudier har utförts med ocrelizumab.
I två studier avseende pre- och postnatal utveckling hos cynomolgusapa var administrering av intravenöst ocrelizumab från dag 20 under dräktigheten fram till nedkomst som minimum, förknippad med glomerulopati, lymfatisk follikelbildning i benmärg, lymfoplasmacytisk renal inflammation och minskad testikelvikt hos avkomman. Doserna som administrerades till honorna i dessa studier resulterade i maximala genomsnittliga serumkoncentrationer (Cmax) som var 4,5 till 21 gånger högre än de som förväntas vid klinisk användning.
Fem neonatala moribunda fall rapporterades, ett tillskrevs svaghet p.g.a. prematur födsel tillsammans med en opportunistisk bakteriell infektion, ett tillskrevs en infektiös meningoencefalit som involverade cerebellum hos den nyfödda med en maternell hona med en aktiv bakteriell infektion (mastit) och tre med tecken på gulsot och leverskada med en misstänkt virusetiologi, möjligen ett polyomavirus. Förloppet av dessa fem bekräftade eller misstänkta infektioner kunde potentiellt ha påverkats av depletion av B-celler. En depletion av B‑cellspopulation noterades hos nyfödda avkommor till honor som exponerats för ocrelizumab under den post-natala fasen.
Hyaluronidas
Icke-kliniska data för rekombinant humant hyaluronidas visar inte några speciella risker baserat på konventionella studier avseende toxicitet vid upprepad dosering inklusive säkerhetsfarmakologiska effektmått.
Hyaluronidas (rHuPH20) finns i de flesta vävnader i människokroppen. Subkutan administrering av ocrelizumab och hyaluronidas tolererades väl hos råtta och minigris i lokala toleransstudier.
Studier av reproduktionstoxiska effekter av rHuPH20 visade embryonal toxicitet hos möss, med en nivå utan observerad effekt som var >1100 gånger högre än den föreslagna kliniska dosen, dock utan belägg för teratogenicitet.
Farmakoterapeutisk grupp: Immunsuppressiva medel, monoklonala antikroppar, ATC-kod: L04AG08.
Verkningsmekanism
Ocrelizumab är en rekombinant humaniserad monoklonal antikropp som specifikt binder till B‑celler som uttrycker CD20.
CD20 är ett cellyteantigen lokaliserat på pre-B-celler, mogna B‑celler och minnes-B-celler men det återfinns inte på lymfoida stamceller och plasmaceller.
Den exakta mekanismen genom vilken ocrelizumab utövar sin terapeutiska kliniska effekt på MS är inte helt klarlagd, men den antas involvera immunmodulering genom att minska antalet och funktionen av B-celler som uttrycker CD20. Efter att ocrelizumab har bundit till cellytan sker en selektiv depletion av B-celler som uttrycker CD20 genom antikroppsberoende cellulär fagocytos (ADCP), antikroppsberoende cellulär cytotoxicitet (ADCC), komplement‑beroende cytotoxicitet (CDC) och apoptos. Kapaciteten att återskapa B-celler och redan existerande humoral immunitet bibehålls. Medfödd immunitet och totala antalet T-celler påverkas inte heller.
Subkutant ocrelizumab innehåller rekombinant humant hyaluronidas (rHuPH20), ett enzym som används för att öka dispersion och absorption av co-formulerade aktiva substanser när de ges subkutant.
Farmakodynamisk effekt
Behandling med ocrelizumab leder till en snabb depletion av CD19+ B-celler i blodet inom 14 dagar efter behandling (första tidpunkten för utvärdering) som en förväntad farmakologisk effekt. Denna kvarstod under hela behandlingsperioden med intravenöst ocrelizumab. Vid bestämning av antalet B-celler används CD19 eftersom närvaron av ocrelizumab interagerar med identifieringen av CD20 vid analysen.
I Fas III-studierna uppvisade upp till 5% av patienterna en återhämtning av B-cellsnivåerna (> LLN eller baseline) mellan varje dos av intravenöst ocrelizumab, vid minst ett tillfälle. Omfattningen och varaktigheten av depletionen av B-celler var desamma i PPMS- och RMS-studierna.
Den längsta uppföljningstiden efter den sista intravenösa infusionen (Fas II-studien WA21493, n=51) indikerar att mediantiden till återhämtning av B-cellsnivåerna (återgång till baseline/LLN, det som inträffade först) var 72 veckor (inom intervallet 27 – 175 veckor). 90% av alla patienter uppvisade en återhämtning av B-cellsnivåerna till LLN eller baseline inom cirka två och ett halvt år efter sista infusionen.
Klinisk effekt och säkerhet
Subkutan formulering
OCARINA II
Studie CN42097 (OCARINA II) var en randomiserad, öppen multicenterstudie med parallella grupper som utvärderade farmakokinetik, farmakodynamik, säkerhet, immunogenicitet, radiologisk och klinisk effekt av subkutant ocrelizumab i jämförelse med intravenöst ocrelizumab hos patienter med RMS eller PPMS. OCARINA II var utformad för att påvisa non-inferiority för behandling med subkutant ocrelizumab jämfört med intravenöst ocrelizumab, baserat på det primära PK-effektmåttet som var area under koncentration/tid-kurvan (AUC) i upp till 12 veckor efter injektion/infusion (AUCw1-12).
Totalt randomiserades 236 patienter med RMS eller PPMS (213 patienter med RMS, 23 med PPMS) i förhållandet 1:1 till den subkutana respektive intravenösa gruppen. Under den kontrollerade fasen (dag 0 till vecka 24) fick patienterna antingen en engångsdos av 920 mg som subkutan injektion dag 1, eller två intravenösa 300 mg-infusioner dag 1 och dag 14. Efter den kontrollerade fasen hade samtliga patienter möjlighet att få fler subkutana injektioner av 920 mg ocrelizumab vecka 24 och vecka 48 (dos 2 och 3). Patienterna exkluderades om de under de senaste 24 månaderna hade behandlats med anti-CD20 antikroppar, däribland ocrelizumab.
Patienterna var i åldern 18‑65 år med EDSS från 0 till 6,5 vid screeningen. Demografiska egenskaper var likartade och patientkaraktäristika vid studiestart var väl balanserade mellan de två behandlingsgrupperna. Genomsnittsåldern var 39,9 år i den subkutana gruppen och 40,0 år i den intravenösa gruppen. I den subkutana gruppen var 34,7 % av patienterna män och i den intravenösa gruppen var 40,7 % män. Tid sedan MS-diagnos var i genomsnitt/median 5,70/3,10 år i den subkutana gruppen och 4,78/2,35 år i den intravenösa gruppen.
Non-inferiority för ocrelizumabexponering efter administrering av 920 mg subkutant ocrelizumab jämfört med 600 mg intravenöst ocrelizumab påvisades baserat på det primära PK-effektmåttet AUC fram till vecka 12 (AUCw1-12) efter injektionen (se avsnitt 5.2).
Intravenös formulering
Skovvisa former av multipel skleros (RRMS)
Effekt och säkerhet av ocrelizumab utvärderades i två randomiserade, dubbelblinda, ”double-dummy” kliniska studier med aktivt jämförandepreparat som kontroll (WA21092 och WA21093) med identisk studiedesign, hos patienter med skovvis förlöpande former av MS (i enlighet med McDonalds kriterier 2010) och bevis på sjukdomsaktivitet (som definierats med kliniska eller bilddiagnostiska fynd) inom de föregående två åren. Studiedesign och studiepopulationens karakteristika vid baseline är summerade i tabell 2.
Demografiska- och baseline-karakteristika var välbalanserade mellan de två behandlingsgrupperna. Patienter som behandlades med ocrelizumab (Grupp A) fick 600 mg var 6:e månad (dos 1 administrerades som 2 x 300 mg intravenös infusion med 2 veckors mellanrum och efterföljande doser administrerades som singeldoser om 600 mg intravenös infusion). Patienterna i Grupp B fick interferon beta-1a 44 mikrogram genom subkutan injektion 3 gånger per vecka.
Tabell 2 Studiedesign, demografiska- och baseline-karakteristika
* Expanded Disability Status Scale
**Patienter som inte hade behandlats med en sjukdomsmodifierande behandling inom 2 år före randomiseringen.
De viktigaste kliniska- och MRT-resultaten med avseende på effekt presenteras i tabell 3 och figur 1.
Resultaten från dessa studier visar att ocrelizumab signifikant minskade skovfrekvensen, subklinisk sjukdomsaktivitet mätt med MRT samt progression av sjukdomen jämfört med interferon beta-1a 44 mikrogram subkutant.
Tabell 3 De viktigaste kliniska- och MRT-effektmåtten från studierna WA21092 och WA21093 (RMS)
1 Data prospektivt poolade från studie 1 och 2.
2 Icke-bekräftande analys av p-värde; ej del av prespecificerad test-hierarki.
3 CDP definierad som en ökning med ≥ 1,0 poäng från baseline Expanded Disability Status Scale (EDSS) värdet för patienter med värde vid baseline på 5,5 eller mindre, eller ≥ 0,5 när värdet vid baseline är > 5,5, uppskattning enligt Kaplan-Meier vid vecka 96.
4 Definierad som en minskning med ≥ 1,0 poäng från baseline EDSS-värdet för patienter med EDSS-värde vid baseline på ≥ 2 och ≤ 5,5, eller ≥ 0,5 när värdet vid baseline är > 5,5. Patienter med värde < 2 vid baseline ingick inte i analysen.
5 NEDA definierad som frånvaro av skov enligt definition i protokollet, 12 veckors CDP, och någon MRT-aktivitet (antingen kontrastladdade T1 lesioner, eller nya eller förstorade T2-lesioner) under hela den 96 veckor långa behandlingsperioden. Exploratoriska resultat baserade på komplett ITT population.
6 Icke-bekräftande p-värde; hierarkisk testprocedur avbruten innan effektmåttet skulle ha analyserats.
7 Log-rank test.
8 Bekräftat skov (åtföljt av en kliniskt relevant förändring av EDSS).
Figur 1 Kaplan-Meier diagram* av tid till debut av bekräftad progression av funktionsnedsättning som kvarstod i minst 12 veckor då den initiala händelsen av neurologisk försämring inträffade under den dubbelblinda behandlingsperioden (Poolad WA21092 och WA21093 ITT Population)*
*Prespecificerad poolad analys av WA21092 och WA21093
Resultat från den prespecificerade poolade analysen av tid till bekräftad progression av funktionsnedsättning som kvarstod i minst 12 veckor (40% riskreduktion för ocrelizumab jämfört med interferon beta-1a, p=0,0006) stämde mycket väl överens med resultaten som kvarstod i minst 24 veckor (40% riskreduktion för ocrelizumab jämfört med interferon beta-1a, p=0,0025).
I studierna inkluderades patienter med aktiv sjukdom. Dessa inkluderade både tidigare obehandlade patienter med aktiv sjukdom och tidigare behandlade patienter med otillräcklig respons som definierats med kliniska eller bilddiagnostiska fynd. Analys av patientpopulationer med avvikande värden för sjukdomsaktivitet vid baseline, inklusive aktiv och högaktiv sjukdom, visade att effekten av ocrelizumab på årlig skovfrekvens och 12 veckors bekräftad progression av funktionsnedsättning var överensstämmande med populationen som helhet.
Primärprogressiv multipel skleros (PPMS)
Effekt och säkerhet av ocrelizumab utvärderades även i en randomiserad, dubbelblind, placebokontrollerad klinisk studie hos patienter med primärprogressiv MS (studien WA25046) som enligt de huvudsakliga inklusionskriterierna var i tidigt stadium i sitt sjukdomsförlopp, dvs. ålder 18-55 år, inklusive; EDSS vid screening från 3,0 till 6,5 poäng; tid sedan debut av MS-symtom mindre än 10 år hos patienter med ett EDSS vid screening ≤5,0 eller mindre än 15 år hos patienter med ett EDSS vid screening >5.0. Avseende sjukdomsaktivitet kan fynd som är karakteristiska för inflammatorisk aktivitet, även vid progressiv MS, vara bilddiagnostiska (dvs. kontrastladdade T1 lesioner och/eller aktiva [nya eller förstorade] T2 lesioner). MRT-bevis bör användas för att bekräfta inflammatorisk aktivitet hos alla patienter. Patienter över 55 år studerades inte. Studiedesign och studiepopulationens karakteristika vid baseline presenteras i tabell 4.
Demografiska- och baseline-karakteristika var välbalanserade mellan de två behandlingsgrupperna. Kranial MRT visade bilddiagnostiska fynd som var karakteristiska för inflammatorisk aktivitet, antingen kontrastladdade T1 lesioner eller T2 lesioner.
Under Fas III PPMS-studien fick patienterna 600 mg ocrelizumab var 6:e månad administrerad som två infusioner om 300 mg med två veckors mellanrum genom hela behandlingsperioden. Infusionerna om 600 mg i RMS och infusionerna om 2 x 300 mg i PPMS visade likvärdiga PK/PD profiler. IRR-profiler per infusion var också jämförbara, oberoende av om 600 mg-dosen administrerades som en engångsinfusion på 600 mg eller som två infusioner om 300 mg med två veckors mellanrum (se avsnitt 4.8 och 5.2), men p.g.a. totalt fler infusioner med doseringsregimen 2 x 300 mg var totala antalet IRR högre. Det rekommenderas därför att administrera ocrelizumab som en 600 mg engångsinfusion efter dos 1 (se avsnitt 4.2) för att minska det totala antalet infusioner (med samtidig exponering för profylaktisk metylprednisolon och ett antihistamin) och relaterade reaktioner på infusionen.
Tabell 4 Studiedesign, demografiska- och baseline-karakteristika för studie WA25046
De viktigaste kliniska och MRT effektresultaten presenteras i tabell 5 och figur 2.
Resultaten från denna studie visar att ocrelizumab signifikant försenar sjukdomsprogression och reducerar försämringen av gånghastigheten jämfört med placebo.
Tabell 5 De viktigaste kliniska- och MRT-effektmåtten från studie WA25046 (PPMS)
1 Definierad som en ökning med ≥ 1,0 poäng från baseline EDSS värdet för patienter med värde vid baseline på 5,5 eller mindre, eller ≥ 0,5 när värdet vid baseline är > 5,5, uppskattning enligt Kaplan-Meier vid vecka 120.
Figur 2 Kaplan-Meier diagram av tid till debut av bekräftad progression av funktionsnedsättning som kvarstod i minst 12 veckor då den initiala händelsen av neurologisk försämring inträffade under den dubbelblinda behandlingsperioden (WA25046 ITT Population)*
*Alla patienter i denna analys följdes upp under minst 120 veckor. Den primära analysen är baserad på alla händelser.
En förspecificerad icke-powerstyrkt subgruppsanalys av det primära effektmåttet tyder på att patienter som är yngre eller de med kontrastladdade T1 lesioner vid baseline får en större behandlingsfördel än patienter som är äldre eller utan kontrastladdade T1 lesioner [≤ 45 år: HR 0,64 [0,45, 0,92], > 45 år: HR 0,88 [0,62, 1,26] med kontrastladdade T1 lesioner vid baseline: HR 0,65 [0,40-1,06], utan kontrastladdade T1 lesioner vid baseline: HR 0,84 [0,62-1,13].
Dessutom tyder post-hoc analyser på att yngre patienter med kontrastladdade T1 lesioner vid baseline har en bättre behandlingseffekt (≤ 45 år: HR 0,52 [0,27-1,00]; ≤ 46 år [medianåldern i studie WA25046]; HR 0,48 [0,25-0,92]; < 51 år: HR 0,53 [0,31-0,89].
Post-hoc analyser genomfördes i den förlängda kontrollperioden (Extended Controlled Period (ECP)) vilken inkluderar dubbelblindad behandling och ytterligare cirka 9 månader med kontrollerad uppföljning innan patienten fortsatte i den öppna förlängningsstudien (Open-Label Extension (OLE)) eller tills studiebehandlingen avbröts. Andelen patienter med 24 veckors bekräftad progression av funktionsnedsättning av EDSS ≥7,0 (24W-CDP av EDSS ≥7,0, tid till rullstol) var 9,1% i placebogruppen jämfört med 4,8% i ocrelizumabgruppen vid vecka 144. Det resulterade i en 47%-ig riskreduktion av tid till rullstol (HR 0,53, [0,31, 0,92]) under ECP. Eftersom dessa resultat var av det explorativa slaget och inkluderade data efter avblindning, bör resultaten tolkas med försiktighet.
Immunogenicitet
Subkutan beredningsform
Ingen patient i OCARINA I och OCARINA II hade behandlingsrelaterade antikroppar mot läkemedel (ADAs) mot ocrelizumab. Patienter i OCARINA II testades vid studiestart och var 6:e månad efter behandling under hela studietiden med avseende på ADAs. Övergående ADAs har därför kanske inte upptäckts mellan tidpunkterna för bedömning.
Incidensen av behandlingsorsakade antikroppar mot rHuPH20 (hyaluronidas) hos patienter som behandlades med subkutant ocrelizumab i OCARINA I var 2,3% (3/132). Ingen patient i OCARINA II utvecklade antikroppar mot rHUPH20 på grund av behandlingen.
Intravenös beredningsform
Patienter i MS-studier (WA21092, WA21093 och WA25046) testades vid flera tillfällen (baseline och var 6:e månad efter behandling under hela studietiden) med avseende på ADAs. Av 1311 patienter som behandlades med ocrelizumab visade 12 patienter (~1%) positivt svar på behandlingsrelaterade ADAs. Av dessa visade 2 patienter positivt svar på neutraliserande antikroppar. Påverkan av behandlingsrelaterade ADAs på effekt och säkerhet kan inte utvärderas med anledning av den låga incidensen av ADA associerad till ocrelizumab.
Immunisering
I en randomiserad öppen studie med RMS-patienter (n=102) var procentandelen av patienter med ett positivt svar till tetanusvaccin 8 veckor efter vaccinationen 23,9% i gruppen som fick intravenöst ocrelizumab jämfört med 54,5% i kontrollgruppen (ingen sjukdomsmodifierande behandling eller interferon beta). Geometriskt medelvärde för anti-tetanustoxoidspecifika antikroppstitrar vid 8 veckor var 3,74 respektive 9,81 IE/ml. Positivt svar till ≥5 serotyper i 23-PPV vid 4 veckor efter vaccinationen var 71,6% i gruppen som fick intravenöst ocrelizumab och 100% i kontrollgruppen. Hos patienter som behandlats med intravenöst ocrelizumab ledde en boostervaccination (13-PCV) 4 veckor efter 23-PPV inte till markant förbättrad respons till de 12 serotyper som även förekommer i 23-PPV. Före vaccination varierade andelen patienter i procent med seroprotektiva titrar mot fem influensastammar från 20,0-60,0% i gruppen som behandlats med ocrelizumab respektive 16,7-43,8% i kontrollgruppen. Vid 4 veckor efter vaccinationen var det 55,6-80,0% av patienterna som behandlats med intravenöst ocrelizumab respektive 75,0-97,0% av patienterna i kontrollgruppen som uppvisade seroprotektiva titrar mot fem influensastammar. Se avsnitt 4.4 och 4.5.
Pediatrisk population
Europeiska läkemedelsmyndigheten har senarelagt kravet att skicka in studieresultat för Ocrevus för en eller flera grupper av den pediatriska populationen för behandling av multipel skleros (information om pediatrisk användning finns i avsnitt 4.2).
Ocrelizumabs farmakokinetik i MS-studierna beskrevs med en två-kompartmentmodell med tidsberoende clearance och med PK-parametrar typiska för en IgG1 monoklonal antikropp.
Efter administrering av 920 mg subkutant ocrelizumab var predikterad genomsnittlig exponering (AUC över doseringsintervallet på 24 veckor) 3730 µg/ml per dag. Primärt PK-effektmått i OCARINA II, AUCw1-12, efter 920 mg subkutant ocrelizumab visade sig inte vara sämre än 600 mg intravenöst ocrelizumab. Geometrisk medelkvot för AUCw1-12 var 1,29 (90% KI: 1,23‑1,35).
Absorption
Beräknad biotillgänglighet efter subkutan administrering av 920 mg ocrelizumab var 81%. Genomsnittlig Cmax var 132 µg/ml och tmax uppnåddes efter cirka 4 dagar (intervall 2‑13 dagar).
Distribution
Den populationsfarmakokinetiska uppskattningen av den centrala distributionsvolymen var 2,78 liter. Perifer volym och inter-kompartment clearance uppskattades till 2,68 liter respektive 0,294 liter/dag.
Metabolism
Metabolismen av ocrelizumab har inte studerats direkt eftersom antikroppar huvudsakligen elimineras genom katabolism (dvs. nedbrytning till peptider och aminosyror).
Eliminering
Konstant clearance uppskattades till 0,17 liter/dag och initialt tidsberoende clearance till 0,0489 liter/dag vilket minskade med en halveringstid på 33 veckor. Den terminala elimineringshalveringstiden för ocrelizumab var 26 dagar.
Särskilda populationer
Pediatrisk population
Inga studier för att utvärdera farmakokinetiken för ocrelizumab hos barn och ungdomar yngre än 18 år har utförts.
Äldre
Det finns inga särskilda farmakokinetiska studier med ocrelizumab hos patienter ≥55 år på grund av begränsad klinisk erfarenhet (se avsnitt 4.2).
Nedsatt njurfunktion
Inga formella farmakokinetikstudier har utförts. Patienter med milt nedsatt njurfunktion ingick i de kliniska studierna och ingen ändring av ocrelizumabs farmakokinetik observerades hos dessa patienter. Det finns ingen PK-information för patienter med måttligt till gravt nedsatt njurfunktion.
Nedsatt leverfunktion
Inga formella farmakokinetikstudier har utförts. Patienter med milt nedsatt leverfunktion ingick i de kliniska studierna och ingen ändring av farmakokinetiken observerades hos dessa patienter. Det finns ingen PK-information för patienter med måttligt eller gravt nedsatt leverfunktion.
Gängse studier avseende säkerhetsfarmakologi, allmäntoxicitet och embryo-fetal utveckling visade inte några särskilda risker för människa. Varken karcinogenicitets- eller mutagenicitetsstudier har utförts med ocrelizumab.
I två studier avseende pre- och postnatal utveckling hos cynomolgusapa var administrering av intravenöst ocrelizumab från dag 20 under dräktigheten fram till nedkomst som minimum, förknippad med glomerulopati, lymfatisk follikelbildning i benmärg, lymfoplasmacytisk renal inflammation och minskad testikelvikt hos avkomman. Doserna som administrerades till honorna i dessa studier resulterade i maximala genomsnittliga serumkoncentrationer (Cmax) som var 4,5 till 21 gånger högre än de som förväntas vid klinisk användning.
Fem neonatala moribunda fall rapporterades, ett tillskrevs svaghet p.g.a. prematur födsel tillsammans med en opportunistisk bakteriell infektion, ett tillskrevs en infektiös meningoencefalit som involverade cerebellum hos den nyfödda med en maternell hona med en aktiv bakteriell infektion (mastit) och tre med tecken på gulsot och leverskada med en misstänkt virusetiologi, möjligen ett polyomavirus. Förloppet av dessa fem bekräftade eller misstänkta infektioner kunde potentiellt ha påverkats av depletion av B-celler. En depletion av B‑cellspopulation noterades hos nyfödda avkommor till honor som exponerats för ocrelizumab under den post-natala fasen.
Hyaluronidas
Icke-kliniska data för rekombinant humant hyaluronidas visar inte några speciella risker baserat på konventionella studier avseende toxicitet vid upprepad dosering inklusive säkerhetsfarmakologiska effektmått.
Hyaluronidas (rHuPH20) finns i de flesta vävnader i människokroppen. Subkutan administrering av ocrelizumab och hyaluronidas tolererades väl hos råtta och minigris i lokala toleransstudier.
Studier av reproduktionstoxiska effekter av rHuPH20 visade embryonal toxicitet hos möss, med en nivå utan observerad effekt som var >1100 gånger högre än den föreslagna kliniska dosen, dock utan belägg för teratogenicitet.
Kemisk och fysikalisk stabilitet under användning har visats i 30 dagar vid 2 °C‑8 °C och i ytterligare 8 timmar utan skydd mot ljus och vid en temperatur på ≤30 °C.
Ur mikrobiologisk synvinkel ska läkemedlet användas omedelbart när det har överförts från injektionsflaskan till sprutan. Om läkemedlet inte används omedelbart ansvarar användaren för förvaringstid och -förhållanden före användning, vilka normalt inte ska överskrida 24 timmar vid 2 °C‑8 °C, såvida inte spädning har skett under kontrollerade och validerade aseptiska förhållanden.
Förvaras i kylskåp (2 °C-8 °C).
Får ej frysas. Får ej skakas.
Förvara injektionsflaskan i ytterkartongen. Ljuskänsligt.
Vid behov kan oöppnad injektionsflaska förvaras utanför kylskåp vid en temperatur på ≤ 25 °C i upp till 12 timmar.
Injektionsflaskorna kan tas ut ur kylskåpet och sättas tillbaka igen så länge den totala tiden utanför kylskåp för en oöppnad flaska inte överstiger 12 timmar vid ≤25 °C.
Förvaringsanvisningar efter beredning av sprutan finns i avsnitt 6.3.
23 ml injektionsvätska, lösning i en injektionsflaska (färglöst typ I glas).
Förpackningsstorlek om 1 injektionsflaska.
Läkemedlet ska inspekteras visuellt för att säkerställa att det är fritt från partiklar och missfärgning innan det administreras.
Detta läkemedel är endast avsett för engångsbruk och ska beredas av sjukvårdspersonal med aseptisk teknik.
Inga inkompatibiliteter mellan detta läkemedel och polypropen (PP), polykarbonat (PC), polyeten (PE), polyvinylklorid (PVC), polyuretan (PUR) och rostfritt stål har observerats.
Beredning av sprutan
Ta ut injektionsflaskan ur kylskåpet före användning och låt den stå så att den antar rumstemperatur.
Dra upp hela mängden Ocrevus injektionsvätska, lösning ur injektionsflaskan med en spruta och överföringsnål (21G rekommenderas).
Ta bort överföringsnålen och anslut ett subkutant infusionsset (t.ex. med vingar/fjärilsnål) med en 24‑26G injektionsnål. Använd ett subkutant infusionsset med kvarvarande volym som INTE överskrider 0,8 ml för administrering.
Förfyll den subkutana infusionsslangen med injektionsvätska, lösning för att eliminera luft i slangen. Sluta innan vätskan når nålen.
Kontrollera att sprutan innehåller exakt 23 ml lösning efter att infusionsslangen förfyllts. Avlägsna eventuellt överskott ur sprutan.
Administrera omedelbart för att undvika att nålen täpps till. Förvara inte den beredda sprutan som har anslutits till det redan förfyllda subkutana infusionssetet.
Om dosen inte kan administreras omedelbart, se stycket ”Förvaring av sprutan” nedan.
Förvaring av sprutan
Om dosen inte ska ges omedelbart, dra med aseptisk teknik upp hela mängden Ocrevus injektionsvätska, lösning från injektionsflaskan till sprutan så att det räcker till dosen (23 ml) och förfyllning av det subkutana infusionssetet. Byt ut överföringsnålen mot ett sprutlock. Vid förvaring, anslut inte ett subkutant infusionsset.
Om sprutan förvarats i kylskåp ska den anta rumstemperatur innan läkemedlet administreras.
Destruktion
Ej använt läkemedel och avfall ska kasseras enligt gällande anvisningar.
Rekombinant humant hyaluronidas (rHuPH20)
Natriumacetattrihydrat (E262)
Koncentrerad ättiksyra
α,α-trehalosdihydrat
Polysorbat 20 (E432)
L-metionin
Vatten för injektionsvätskor
Då blandbarhetsstudier saknas får detta läkemedel inte blandas med andra läkemedel.
Oöppnad injektionsflaska
2 år
Färdigberedd spruta
Kemisk och fysikalisk stabilitet under användning har visats i 30 dagar vid 2 °C‑8 °C och i ytterligare 8 timmar utan skydd mot ljus och vid en temperatur på ≤30 °C.
Ur mikrobiologisk synvinkel ska läkemedlet användas omedelbart när det har överförts från injektionsflaskan till sprutan. Om läkemedlet inte används omedelbart ansvarar användaren för förvaringstid och -förhållanden före användning, vilka normalt inte ska överskrida 24 timmar vid 2 °C‑8 °C, såvida inte spädning har skett under kontrollerade och validerade aseptiska förhållanden.
Förvaras i kylskåp (2 °C-8 °C).
Får ej frysas. Får ej skakas.
Förvara injektionsflaskan i ytterkartongen. Ljuskänsligt.
Vid behov kan oöppnad injektionsflaska förvaras utanför kylskåp vid en temperatur på ≤ 25 °C i upp till 12 timmar.
Injektionsflaskorna kan tas ut ur kylskåpet och sättas tillbaka igen så länge den totala tiden utanför kylskåp för en oöppnad flaska inte överstiger 12 timmar vid ≤25 °C.
Förvaringsanvisningar efter beredning av sprutan finns i avsnitt 6.3.
23 ml injektionsvätska, lösning i en injektionsflaska (färglöst typ I glas).
Förpackningsstorlek om 1 injektionsflaska.
Läkemedlet ska inspekteras visuellt för att säkerställa att det är fritt från partiklar och missfärgning innan det administreras.
Detta läkemedel är endast avsett för engångsbruk och ska beredas av sjukvårdspersonal med aseptisk teknik.
Inga inkompatibiliteter mellan detta läkemedel och polypropen (PP), polykarbonat (PC), polyeten (PE), polyvinylklorid (PVC), polyuretan (PUR) och rostfritt stål har observerats.
Beredning av sprutan
Ta ut injektionsflaskan ur kylskåpet före användning och låt den stå så att den antar rumstemperatur.
Dra upp hela mängden Ocrevus injektionsvätska, lösning ur injektionsflaskan med en spruta och överföringsnål (21G rekommenderas).
Ta bort överföringsnålen och anslut ett subkutant infusionsset (t.ex. med vingar/fjärilsnål) med en 24‑26G injektionsnål. Använd ett subkutant infusionsset med kvarvarande volym som INTE överskrider 0,8 ml för administrering.
Förfyll den subkutana infusionsslangen med injektionsvätska, lösning för att eliminera luft i slangen. Sluta innan vätskan når nålen.
Kontrollera att sprutan innehåller exakt 23 ml lösning efter att infusionsslangen förfyllts. Avlägsna eventuellt överskott ur sprutan.
Administrera omedelbart för att undvika att nålen täpps till. Förvara inte den beredda sprutan som har anslutits till det redan förfyllda subkutana infusionssetet.
Om dosen inte kan administreras omedelbart, se stycket ”Förvaring av sprutan” nedan.
Förvaring av sprutan
Om dosen inte ska ges omedelbart, dra med aseptisk teknik upp hela mängden Ocrevus injektionsvätska, lösning från injektionsflaskan till sprutan så att det räcker till dosen (23 ml) och förfyllning av det subkutana infusionssetet. Byt ut överföringsnålen mot ett sprutlock. Vid förvaring, anslut inte ett subkutant infusionsset.
Om sprutan förvarats i kylskåp ska den anta rumstemperatur innan läkemedlet administreras.
Destruktion
Ej använt läkemedel och avfall ska kasseras enligt gällande anvisningar.
Produktresumén är företagets information om läkemedlet riktat till förskrivare och personal inom sjukvård och apotek. Dokumentet är godkända av Läkemedelsverket eller den europeiska läkemedelsmyndigheten EMA i samband med att läkemedlet godkänns för marknadsföring.