Piasky 340 mg injektions-/infusionsvätska, lösning
Varje 2 ml injektionsflaska innehåller 340 mg krovalimab.
En ml injektions-/infusionsvätska, lösning innehåller 170 mg krovalimab.
Krovalimab är en humaniserad, monoklonal antikropp, framställd genom rekombinant DNA-teknik och produceras i ovarieceller från kinesisk hamster (CHO).
För fullständig förteckning över hjälpämnen, se avsnitt 6.1.
Injektions-/infusionsvätska, lösning (injektion/infusion).
Klar till kraftigt opaliserande och nästintill färglös till brungul lösning. Lösningen har ett pH på cirka 5,8 och en osmolalitet på ca 297 mOsm/kg.
Roche Registration GmbH
Emil-Barell-Strasse 1
79639 Grenzach-Wyhlen
Tyskland
EU/1/24/1848/001
Första godkännandet: 22 augusti 2024
17 oktober 2025.
Ytterligare information om detta läkemedel finns på Europeiska läkemedelsmyndighetens webbplats https://www.ema.europa.eu
Tabell 1: Doseringsregimen för Piasky baserad på kroppsvikt
Tidpunkten för administrering kan ibland tillåtas variera inom två dagar från den schemalagda administreringsdagen (förutom dag 1 och dag 2). Om detta inträffar ska efterföljande dos administreras enligt ordinarie schema.
Behandlingens varaktighet
Piasky är avsett för långtidsbehandling, såvida det inte är kliniskt indicerat att avbryta behandlingen med detta läkemedel (se avsnitt 4.4).
Försenade eller missade doser
Om en hel planerad dos eller en del av en planerad dos av Piasky missas, ska den missade dosen eller resten av den planerade dosen ges så snart som möjligt före dagen för nästa schemalagda dos. Nästa dos ska sedan administreras på den schemalagda doseringsdagen. Ta inte två doser och administrera inte mer än den ordinerade dosen samma dag för att kompensera för en missad dos.
Dosjusteringar
Justering av underhållsdosen krävs om patientens kroppsvikt förändras med 10 % eller mer och därmed blir genomgående högre eller lägre än 100 kg under behandlingens gång (se Tabell 1 för rekommenderad dos). Patientens kroppsvikt ska därför kontrolleras regelbundet efter behov.
Särskilda populationer
Äldre
Ingen dosjustering krävs för patienter ≥ 65 år, men erfarenheten av krovalimab hos äldre patienter i kliniska studier är begränsad (se avsnitt 5.2).
Nedsatt njurfunktion
Ingen dosjustering rekommenderas för patienter med lätt, måttligt eller gravt nedsatt njurfunktion (se avsnitt 5.2).
Nedsatt leverfunktion
Ingen dosjustering rekommenderas för patienter med lätt nedsatt leverfunktion. Krovalimab har inte studerats hos patienter med måttligt till gravt nedsatt leverfunktion och därför kan ingen doseringsrekommendation ges (se avsnitt 5.2).
Pediatrisk population
Ingen dosjustering av krovalimab krävs för pediatriska patienter som är 12 år eller äldre och som väger ≥ 40 kg. Säkerhet och effekt för krovalimab för barn under 12 år och barn med kroppsvikt < 40 kg har ännu inte fastställts. Inga data finns tillgängliga.
Administreringssätt
Piasky administreras som en intravenös infusion (första dosen) och därefter som en subkutan injektion (efterföljande doser).
Intravenös administrering
Piasky ska beredas för intravenös administrering med användning av lämplig aseptisk teknik. Piasky måste spädas och administreras av hälso- och sjukvårdspersonal som en intravenös infusion under 60 minuter ± 10 minuter (1 000 mg) eller 90 minuter ± 10 minuter (1 500 mg). Piasky får inte administreras som en intravenös injektion eller bolusinjektion.
För anvisningar om spädning av läkemedlet före administrering, se avsnitt 6.6.
Infusionen av krovalimab kan ges långsammare eller avbrytas tillfälligt om patienten utvecklar en infusionsrelaterad reaktion. Infusionen ska omedelbart avbrytas om patienten får en allvarlig överkänslighetsreaktion (se avsnitt 4.4).
Subkutan administrering
Piasky ska användas outspätt och beredas med lämplig aseptisk teknik. Det rekommenderas att Piasky injiceras i buken. Injektionsstället i buken ska varieras vid varje injektion. Injektioner ska aldrig ges i områden där det finns födelsemärken, ärr eller där huden är öm, har blåmärken, är röd, hård eller inte är intakt.
Administrering utförd av patienten och/eller vårdaren
Efter lämplig utbildning i subkutan injektionsteknik kan vårdaren eller patienten själv administrera Piasky utan övervakning av hälso- och sjukvårdspersonal, om den behandlande läkaren bedömer att detta är lämpligt.
Utförliga instruktioner om administrering av Piasky finns i slutet av bipacksedeln.
Överkänslighet mot den aktiva substansen eller mot något hjälpämne som anges i avsnitt 6.1.
Patienter med pågående Neisseria meningitidis-infektion.
Patienter som för närvarande inte är vaccinerade mot Neisseria meningitidis, såvida de inte får profylaktisk behandling med lämpligt antibiotikum tills två veckor efter vaccinationen (se avsnitt 4.4).
Spårbarhet
För att underlätta spårbarhet av biologiska läkemedel, ska läkemedlets namn och tillverkningssatsnummer dokumenteras.
Allvarlig meningokockinfektion
På grund av verkningsmekanismen kan användning av krovalimab öka patientens mottaglighet för meningokockinfektioner (sepsis och/eller meningit). Fall av allvarliga eller dödliga meningokockinfektioner/sepsis har rapporterats hos patienter som behandlats med terminala komplementhämmare, vilket är en känd klasseffekt.
Meningokockinfektion kan snabbt bli livshotande eller dödlig om den inte upptäcks och behandlas tidigt. För att minska risken för infektion måste alla patienter vaccineras med ett tetravalent meningokockvaccin minst två veckor innan de får den första dosen med krovalimab. Om omedelbar behandling med krovalimab är indicerad till en ovaccinerad patient, ska erforderligt vaccin ges så snart som möjligt och patienterna ska ges profylaktiskt antibiotika från det att de börjar med krovalimab till och med två veckor efter vaccinationen. Vacciner mot serogrupperna A, C, Y, W och B, där sådana finns, rekommenderas för att förhindra infektioner med de vanligen patogena meningokock-serologiska grupperna. Patienterna måste hålla vaccinationerna uppdaterade i enlighet med gällande lokala riktlinjer för användning av vaccination. Om patienten står på annan behandling med terminala komplementinhibitorer, och denna ändras, ska läkaren verifiera att meningokockvaccinationen gäller i enlighet med lokala riktlinjer för vaccinationer. Vaccination skulle kunna aktivera komplementsystemet ytterligare. Till följd av detta kan patienter med komplementmedierade sjukdomar, inklusive PNH, uppleva en övergående försämring av tecken och symtom på den underliggande sjukdomen, såsom hemolys. Patienterna ska därför kontrolleras noga med avseende på sjukdomssymtom, efter den rekommenderade vaccineringen.
Eventuellt är vaccinering inte tillräckligt för att förhindra meningokockinfektion. Antibakteriell behandling bör övervägas i profylaktiskt syfte, i enlighet med lokala riktlinjer. Alla patienter ska kontrolleras med avseende på tidiga tecken på meningokockinfektion, bedömas omedelbart om misstanke föreligger om infektion och behandlas med lämpliga antibiotika vid behov. Patienterna ska informeras om dessa tecken och symtom och de åtgärder de måste vidta för att söka vård omedelbart. Läkare måste diskutera med patienterna om fördelar och risker med behandlingen med Piasky och ge dem en guide för patient/vårdare samt ett patientkort (se ”utbildningsmaterial” nedan). Enligt de årliga påminnelserna ska hälso- och sjukvårdspersonal se till att patientens vaccinationer är aktuella.
Andra systemiska infektioner
På grund av verkningsmekanismen måste krovalimab administreras med försiktighet till patienter med aktiva systemiska infektioner. Patienter kan ha ökad känslighet för infektioner, särskilt med Neisseria spp. och andra inkapslade bakterier. Vaccinationer för förebyggande av infektioner med Streptococcus pneumoniae och Haemophilus influenzae typ b (Hib), ska administreras i enlighet med lokala riktlinjer.
Om lokala riktlinjer föreskriver vaccination för förebyggande av infektioner med Streptococcus pneumoniae och Haemophilus influenzae av typ b (Hib), ska detta ske minst två veckor innan den första dosen av krovalimab ges. Om omedelbar behandling med krovalimab är indicerad till en ovaccinerad patient, ska erforderligt vaccin ges så snart som möjligt och patienterna ska få profylaktisk antibiotika från det att de börjar med krovalimab till och med två veckor efter vaccinationen, eller i enlighet med lokala riktlinjer, beroende på vilket som är längst.
Om Piasky ges till patienter med aktiva, systemiska infektioner, ska patienterna övervakas noga med avseende på tecken och symtom på förvärrad infektion. Patienter exkluderades från kliniska studier med krovalimab om de hade någon systemisk bakterie-, virus- eller svampinfektion inom 14 dagar innan behandlingen inleddes.
Patienterna ska förses med information från bipacksedeln för ökad medvetenhet om tecken och symtom på potentiellt allvarliga infektioner.
Immunkomplexreaktioner av typ III
Immunkomplexbildning förekommer hos patienter som byter mellan komplementhämmare, som binder olika epitoper (se avsnitt 4.5). Hos vissa patienter kan bildning av dessa komplex leda till immunkomplexmedierade reaktioner av typ III, även kallade immunkomplexreaktioner av typ III. Patienter som aldrig tidigare har behandlats med en C5-hämmare eller hos patienter där tidigare behandling med C5-hämmare har försvunnit ur kroppen (dvs. minst 5,5 halveringstider för den tidigare behandlingen har gått sedan den senaste dosen), löper ingen risk för immunkomplexreaktioner av typ III. I kliniska studier med krovalimab rapporterades biverkningar av typ III immunkomplexmedierade reaktioner (se avsnitt 4.8).
Tecken och symtom på immunkomplexreaktioner av typ III, som observerats i kliniska studier, var artralgi och andra sjukdomar i muskuloskeletala systemet och bindvävnad, hudutslag och andra sjukdomar i hud och subkutan vävnad, feber, asteni/trötthet, gastrointestinala besvär, huvudvärk och axonal neuropati. Immunkomplexreaktioner av typ III kan också visa sig som njurabnormiteter, men detta observerades inte under kliniska studier med krovalimab.
Baserat på tid till debut för immunkomplexreaktioner av typ III som observerats i kliniska studier, rekommenderas att patienterna kontrolleras under de första 30 dagarna efter byte från ekulizumab eller ravulizumab till krovalimab (eller vice versa), för förekomst av symtom på immunkomplexreaktioner av typ III. För lindriga eller måttliga immunkomplexreaktioner av typ III, kan administrering av symtomatisk behandling (t.ex. topikala kortikosteroider, antihistaminer, antipyretika och/eller analgetika) övervägas. Vid allvarliga reaktioner kan oral eller parenteral kortikosteroidbehandling påbörjas och trappas ned enligt vad som indikeras kliniskt.
Infusions- och injektionsrelaterade reaktioner
Administrering av krovalimab kan orsaka infusionsrelaterade reaktioner eller systemiska injektionsrelaterade reaktioner, beroende på administreringssätt. Dessa kan inkludera allergiska eller överkänslighetsreaktioner (inklusive anafylaxi), men även en rad andra symtom såsom huvudvärk eller muskelsmärta.
I händelse av en allvarlig, infusionsrelaterad reaktion efter intravenös administrering av Piasky, ska behandlingen avbrytas och lämplig medicinsk behandling ges. I händelse av en allvarlig, injektionsrelaterad reaktion efter subkutan administrering eller någon förekomst av allvarlig allergisk reaktion efter intravenös eller subkutan administrering, ska patienter/vårdare omedelbart uppsöka sjukvård och lämplig medicinsk behandling ska administreras. Patienterna ska rådgöra med sin behandlande läkare om huruvida behandlingen med Piasky kan fortsätta.
Allvarlig hemolys efter att behandling satts ut hos PNH-patienter
Om behandlingen med Piasky sätts ut, måste patienter som inte byter till en annan behandling för PNH, kontrolleras noggrant avseende tecken och symtom på allvarlig intravaskulär hemolys, identifierad som förhöjda nivåer av laktatdehydrogenas (LDH) tillsammans med plötslig minskning i PNH-klonstorlek eller hemoglobin, eller återkomst av symtom såsom trötthet, hemoglobinuri, buksmärta, andfåddhet (dyspné), allvarliga vaskulära biverkningar (inklusive trombos), dysfagi eller erektil dysfunktion. Om tecken och symtom på hemolys förekommer efter utsättning, inklusive förhöjt LDH, ska återinsättning av lämplig behandling övervägas.
Immungenicitet, som leder till minskad exponering och effekt
Patienter kan utveckla antikroppar mot läkemedlet (anti-drug antibodies, ADA), som kan interferera med exponeringen för krovalimab. Utveckling av ADA kan leda till minskad exponering för krovalimab, vilket i sin tur kan leda till minskad effekt av krovalimab. Förlust av effekt och exponering till följd av utveckling av ADA, har observerats hos patienter som behandlats med krovalimab i kliniska studier. Patienterna ska rutinmässigt övervakas för kliniska tecken på minskad exponering och effekt, inklusive allvarlig intravaskulär hemolys. I händelse av ihållande, allvarlig intravaskulär hemolys, trots följsamhet till behandlingen med krovalimab, ska patienterna omedelbart undersökas för att utvärdera etiologin. Risken för utveckling av ADA, som leder till minskad exponering och effekt ska övervägas. En bedömning av fördelarna jämfört med riskerna med fortsatt behandling med krovalimab, bör göras och ett byte till en alternativ behandling ska övervägas. Patienter/vårdare ska uppmanas att omedelbart söka sjukvård om patienten utvecklar tecken på förvärrat PNH. Se avsnitt 4.8 och 5.1.
Utbildningsmaterial
All hälso- och sjukvårdspersonal som förväntas förskriva, använda eller övervaka administreringen av Piasky måste säkerställa att de har fått och känner till vägledningen för hälso- och sjukvårdspersonal. Hälso- och sjukvårdspersonal kommer att få en årlig påminnelse för att säkerställa att patientens vaccinationer hålls aktuella. Förskrivare måste förklara och diskutera nyttan och riskerna med behandling med Piasky med patienten och/eller deras vårdare och säkerställa att vägledning för patient/vårdare och patientkort tillhandahålls.
Hälso- och sjukvårdspersonal ska instruera patienterna och/eller deras vårdare att alltid bära med sig patientkortet med information om de viktigaste tecknen och symtomen på meningokockinfektioner och allvarliga allergiska reaktioner, och uppmanas att söka akut medicinsk vård om de upplever symtom på meningokockinfektioner och/eller allvarliga allergiska reaktioner.
Krovalimab och andra C5-hämmare binder till olika epitoper på C5 så att immunkomplex, bestående av antikroppar överbryggade av C5, kan bildas när båda förekommer i cirkulationen. Dessa immunkomplex, även kallade DTDC (drug-target-drug complex), kan omfatta en eller flera C5-enheter, som är bundna till både krovalimab och en annan C5-hämmare, och förväntas vara eliminerade inom cirka åtta veckor (när det gäller ekulizumab). Immunkomplexen kan elimineras efter en längre varaktighet vid byte från C5-hämmare med en förlängd halveringstid, t.ex. ravulizumab. Hos vissa patienter leder bildningen av dessa komplex till immunkomplexreaktioner av typ III (se avsnitt 4.4 och 4.8). Hos patienter som byter från behandling med en annan C5-hämmare, observeras en övergående ökning av clearance på grund av att immunkomplex bildas, vilket leder till en snabbare eliminering av krovalimab. Denna övergående ökning av clearance är dock inte kliniskt relevant och kräver ingen dosjustering hos patienter som byter från en annan C5-hämmare.
Inga specifika interaktionsstudier har utförts.
Krovalimab förväntas inte uppvisa farmakokinetiska interaktioner med andra läkemedel som interfererar med de metaboliserande cytokrom P450 (CYP)-enzymerna, eftersom elimineringsvägarna för immunglobuliner G (IgG) skiljer sig från elimineringsvägarna för små molekyler.
Graviditet
Det finns inga data från användningen av krovalimab hos gravida kvinnor.
Djurstudier tyder inte på direkta eller indirekta, skadliga, reproduktionstoxikologiska effekter (se avsnitt 5.3). Det är känt att humant IgG passerar moderkakan efter graviditetens första trimester. Baserat på dess verkningsmekanism kan krovalimab potentiellt orsaka hämning av terminalt komplement i fostercirkulationen.
Därför kan användning av krovalimab övervägas hos gravida kvinnor, om kvinnans kliniska tillstånd kräver behandling med krovalimab.
Amning
Det är inte känt om krovalimab utsöndras i bröstmjölk. Det är känt att humant IgG1 utsöndras i bröstmjölk. En risk för spädbarn som ammas kan inte uteslutas.
Ett beslut måste fattas om man ska avbryta amningen eller avbryta behandlingen med Piasky, med hänsyn till spädbarnets nytta av att ammas och moderns nytta av behandlingen.
Fertilitet
Det finns inga kliniska data avseende effekten av krovalimab på fertilitet hos människor. Djurdata från toxicitetsstudier med upprepad dosering, visade ingen effekt på manliga eller kvinnliga reproduktionsorgan (se avsnitt 5.3).
Piasky har ingen eller försumbar effekt på förmågan att framföra fordon och använda maskiner.
Sammanfattning av säkerhetsprofilen
De vanligaste biverkningarna som observerades var immunkomplexmedierad reaktion av typ III (18,9 % hos patienter som bytte från behandling med en annan C5-hämmare till krovalimab), övre luftvägsinfektion (18,6 %), pyrexi (13,5 %), huvudvärk (10,9 %) och infusionsrelaterad reaktion (10,2 %). De vanligaste, allvarliga biverkningarna som observerades var immunkomplexmedierad reaktion av typ III (4,0 % hos patienter som bytte från behandling med en annan C5-hämmare till krovalimab) och pneumoni (1,5 %).
Säkerhetsresultaten från de 44 patienterna i COMPOSER-studien, där medianbehandlingstiden var 4,69 år (intervall: 0,4-6,3 år), visade inte på några ytterligare säkerhetsproblem i samband med långvarig användning av krovalimab.
Lista över biverkningar i tabellform
Säkerheten för krovalimab hos patienter med PNH utvärderades i tre fas III-studier, COMMODORE 2 (BO42162), COMMODORE 3 (YO42311), och COMMODORE 1 (BO42161), och en fas I/II-studie (COMPOSER, BP39144).
Tabell 2 visar de biverkningar som har rapporterats i samband med användning av krovalimab i en poolad analys av 393 patienter som rekryterats till fas III-studierna, om inget annat anges. Medianbehandlingstiden med krovalimab, baserat på den poolade analysen av 393 patienter, var 64 veckor (intervall: 0,1–136,4 veckor).
Biverkningarna anges enligt MedDRA-klassificeringen av organsystem. Motsvarande frekvenskategori för varje biverkning baseras på följande konvention: mycket vanliga (≥ 1/10), vanliga (≥ 1/100, < 1/10), mindre vanliga (≥ 1/1 000, < 1/100), sällsynta (≥ 1/10 000, < 1/1 000), mycket sällsynta (< 1/10 000). Biverkningarna presenteras inom varje frekvensområde efter fallande allvarlighetsgrad.
Tabell 2: Sammanfattning av biverkningar som förekommit hos patienter som behandlats med Piasky
* Immunkomplexmedierad reaktion av typ III (även kallad immunkomplexreaktion av typ III), är begränsad till patienter som byter från en annan C5-hämmare till krovalimab eller från krovalimab till en annan C5-hämmare. Frekvensen av immunkomplexreaktioner av typ III rapporteras för en delgrupp med n = 201 patienter, som bytte från behandling med en annan C5-hämmare till krovalimab, med incidensfrekvenser som beräknas med dessa n = 201 patienter som nämnare. Se nedan.
Beskrivning av utvalda biverkningar
Immunkomplexreaktioner av typ III (se avsnitt 4.4 och 4.5)
I fas III-studier upplevde 19,4 % (39 av 201) av patienterna, som bytte från behandling med ekulizumab eller ravulizumab till krovalimab, en immunkomplexreaktion av typ III (rapporterat som immunkomplexmedierad reaktion av typ III). Av dessa 39 patienter fick två patienter en andra, immunkomplexreaktion av typ III efter att ha slutat med krovalimab och bytt till ravulizumab. De vanligaste tecknen och symtomen som rapporterades var artralgi och utslag, och andra symtom som rapporterades var feber, huvudvärk, myalgi, buksmärta, asteni/trötthet och axonal neuropati. Mediantiden till debut av en immunkomplexreaktion av typ III hos patienter, som bytte från behandling med ekulizumab eller ravulizumab till krovalimab, var 1,6 veckor (intervall: 0,7–4,4 veckor), där 5,1 % av patienterna (två av 39) upplevde en immunkomplexreaktion av typ III med debut som översteg fyra veckor. De flesta fallen av immunkomplexreaktioner av typ III var övergående med en medianduration på 1,7 veckor (intervall om 0,4–34,1 veckor). Majoriteten av patienterna upplevde en biverkning av grad 1 eller 2 (23 av 39 patienter), medan biverkningar av grad 3 uppkom hos 8 % (16 av 39) av de krovalimab-behandlade patienterna som bytte från ekulizumab eller ravulizumab. De flesta biverkningarna försvann utan någon förändring av studiebehandlingen med krovalimab.
I COMPOSER-studien rapporterade två patienter, bland 26 patienter som bytte från ekulizumab till krovalimab, varsin immunkomplexreaktion av typ III. Dessa biverkningar var lindriga/måttliga och inte allvarliga. Ytterligare en patient utvecklade en lindrig, immunkomplexreaktion av typ III efter att ha slutat med krovalimab och bytt till en annan C5‑hämmare.
Immungenicitet
I två randomiserade fas III-studier (COMMODORE 1 och COMMODORE 2) och en 1-armad fas III-studie (COMMODORE 3), kunde ADA-status utvärderas hos 392 patienter. Av dessa 392 patienter var 118 (30,1 %) ADA-positiva. Inga skillnader mellan ADA-positiva och ADA-negativa patienter observerades i frekvensen av biverkningar som normalt förknippas med immungenicitet (såsom infusionsrelaterade reaktioner, reaktioner vid injektionsstället eller överkänslighet) (se avsnitt 5.1).
Immungenicitet, som leder till minskad exponering och effekt
Patienter kan utveckla ADA, som kan påverka exponeringen för krovalimab. Av 392 patienter, som utvärderades avseende ADA-status, observerades partiell eller fullständig förlust av exponering förknippad med ADA-debut hos 23 patienter (5,9 %); bland dem hade 17 (4,3 %) en förlust av farmakologisk aktivitet, som sammanföll med förlust av exponering och effekt, vilket manifesterade sig som ihållande förlust av hemolyskontroll hos 7 patienter (1,8 %).
Vid kliniska tecken på effektförlust ska sjukvårdspersonal omedelbart utvärdera detta (se avsnitt 4.4).
Infusions- och injektionsrelaterade reaktioner
10,2 % av patienterna som behandlades med krovalimab i fas III-studierna fick en infusionsrelaterad reaktion. De vanligaste tecknen och symtomen som rapporterades var huvudvärk (7,1 %), hudutslag (0,8 %), yrsel (0,8 %), buksmärta (0,5 %), erytem (0,5 %) illamående (0,5 %), pyrexi (0,5 %) och paraestesi (0,3 %). Alla rapporterade händelser var av grad 1–2.
I fas III-studierna fick 8.4 % av patienterna, som behandlades med krovalimab, en injektionsrelaterad reaktion. De vanligaste tecknen och symtomen som rapporterades var huvudvärk (2,5 %), erytem vid injektionsstället (1,0 %), smärta vid injektionsstället (1,0 %) och utslag vid injektionsstället (1,0 %). Majoriteten av händelserna var av grad 1–2.
Infektioner med inkapslade bakterier
Baserat på verkningsmekanismen kan användning av krovalimab potentiellt öka risken för infektioner, särskilt infektioner orsakade av bakterier med kapsel, inklusive Streptococcus pneumoniae, Neisseria meningitidis av typ A, C, W, Y och B, och Haemophilus influenzae (se avsnitt 4.4).
I fas III-studier var de rapporterade infektionerna med kapselbakterier Klebsiella pneumoniae, Klebsiella (ej specificerat), Haemophilus influenzae och Neisseria subflava, varav den senare orsakade en biverkning i form av bakteriemi hos en patient.
Pediatrisk population
Hos 12 pediatriska PNH-patienter med en kroppsvikt ≥ 40 kg (i åldern 13–17 år), som inkluderades i studierna COMMODORE 1, COMMODORE 2 och COMMODORE 3, liknade säkerhetsprofilen den som observerats hos vuxna PNH-patienter. De biverkningar som förknippas med krovalimab och som rapporterades hos pediatriska PNH-patienter, var övre luftvägsinfektion (16,7 %), urinvägsinfektion (16.7 %), trötthet (16,7 %), pyrexi (16,7 %), huvudvärk (8,3 %), infusionsrelaterad reaktion (8,3 %) och injektionsrelaterad reaktion (8,3 %).
Vid överdosering bör patienter noggrant övervakas avseende tecken eller symtom på biverkningar och lämplig symtomatisk behandling sättas in.
Piasky som monoterapi är indicerat för behandling av vuxna och pediatriska patienter från 12 års ålder, som väger 40 kg eller mer och som har paroxysmal nokturnal hemoglobinuri (PNH):
Hos patienter med hemolys med kliniska symtom som tyder på hög sjukdomsaktivitet.
Hos patienter som är kliniskt stabila efter att ha behandlats med en komplementhämmare (C5) under minst de senaste sex månaderna.
Behandling ska initieras under överinseende av en läkare med erfarenhet av behandling av hematologiska sjukdomar.
Dosering
Den rekommenderade doseringsregimen består av en laddningsdos administrerad som intravenös infusion (dag 1), följt av ytterligare fyra laddningsdoser administrerade veckovis som subkutan injektion (dag 2, 8, 15 och 22). Underhållsdoseringen börjar på dag 29 och administreras sedan var fjärde vecka genom subkutan injektion. Doserna som ska administreras baseras på patientens kroppsvikt, som visas i Tabell 1.
För patienter som byter från behandling med en annan komplementhämmare, ska den första intravenösa laddningsdosen av Piasky administreras vid tidpunkten för nästa planerade administrering av komplementhämmare (se avsnitt 4.4 för ytterligare information relaterad till byte mellan behandlingar med komplementhämmare (C5)). Administreringen av de ytterligare subkutana laddningsdoserna och underhållsdoserna av Piasky kommer att följa det schema som visas i Tabell 1.
Tabell 1: Doseringsregimen för Piasky baserad på kroppsvikt
Tidpunkten för administrering kan ibland tillåtas variera inom två dagar från den schemalagda administreringsdagen (förutom dag 1 och dag 2). Om detta inträffar ska efterföljande dos administreras enligt ordinarie schema.
Behandlingens varaktighet
Piasky är avsett för långtidsbehandling, såvida det inte är kliniskt indicerat att avbryta behandlingen med detta läkemedel (se avsnitt 4.4).
Försenade eller missade doser
Om en hel planerad dos eller en del av en planerad dos av Piasky missas, ska den missade dosen eller resten av den planerade dosen ges så snart som möjligt före dagen för nästa schemalagda dos. Nästa dos ska sedan administreras på den schemalagda doseringsdagen. Ta inte två doser och administrera inte mer än den ordinerade dosen samma dag för att kompensera för en missad dos.
Dosjusteringar
Justering av underhållsdosen krävs om patientens kroppsvikt förändras med 10 % eller mer och därmed blir genomgående högre eller lägre än 100 kg under behandlingens gång (se Tabell 1 för rekommenderad dos). Patientens kroppsvikt ska därför kontrolleras regelbundet efter behov.
Särskilda populationer
Äldre
Ingen dosjustering krävs för patienter ≥ 65 år, men erfarenheten av krovalimab hos äldre patienter i kliniska studier är begränsad (se avsnitt 5.2).
Nedsatt njurfunktion
Ingen dosjustering rekommenderas för patienter med lätt, måttligt eller gravt nedsatt njurfunktion (se avsnitt 5.2).
Nedsatt leverfunktion
Ingen dosjustering rekommenderas för patienter med lätt nedsatt leverfunktion. Krovalimab har inte studerats hos patienter med måttligt till gravt nedsatt leverfunktion och därför kan ingen doseringsrekommendation ges (se avsnitt 5.2).
Pediatrisk population
Ingen dosjustering av krovalimab krävs för pediatriska patienter som är 12 år eller äldre och som väger ≥ 40 kg. Säkerhet och effekt för krovalimab för barn under 12 år och barn med kroppsvikt < 40 kg har ännu inte fastställts. Inga data finns tillgängliga.
Administreringssätt
Piasky administreras som en intravenös infusion (första dosen) och därefter som en subkutan injektion (efterföljande doser).
Intravenös administrering
Piasky ska beredas för intravenös administrering med användning av lämplig aseptisk teknik. Piasky måste spädas och administreras av hälso- och sjukvårdspersonal som en intravenös infusion under 60 minuter ± 10 minuter (1 000 mg) eller 90 minuter ± 10 minuter (1 500 mg). Piasky får inte administreras som en intravenös injektion eller bolusinjektion.
För anvisningar om spädning av läkemedlet före administrering, se avsnitt 6.6.
Infusionen av krovalimab kan ges långsammare eller avbrytas tillfälligt om patienten utvecklar en infusionsrelaterad reaktion. Infusionen ska omedelbart avbrytas om patienten får en allvarlig överkänslighetsreaktion (se avsnitt 4.4).
Subkutan administrering
Piasky ska användas outspätt och beredas med lämplig aseptisk teknik. Det rekommenderas att Piasky injiceras i buken. Injektionsstället i buken ska varieras vid varje injektion. Injektioner ska aldrig ges i områden där det finns födelsemärken, ärr eller där huden är öm, har blåmärken, är röd, hård eller inte är intakt.
Administrering utförd av patienten och/eller vårdaren
Efter lämplig utbildning i subkutan injektionsteknik kan vårdaren eller patienten själv administrera Piasky utan övervakning av hälso- och sjukvårdspersonal, om den behandlande läkaren bedömer att detta är lämpligt.
Utförliga instruktioner om administrering av Piasky finns i slutet av bipacksedeln.
Överkänslighet mot den aktiva substansen eller mot något hjälpämne som anges i avsnitt 6.1.
Patienter med pågående Neisseria meningitidis-infektion.
Patienter som för närvarande inte är vaccinerade mot Neisseria meningitidis, såvida de inte får profylaktisk behandling med lämpligt antibiotikum tills två veckor efter vaccinationen (se avsnitt 4.4).
Spårbarhet
För att underlätta spårbarhet av biologiska läkemedel, ska läkemedlets namn och tillverkningssatsnummer dokumenteras.
Allvarlig meningokockinfektion
På grund av verkningsmekanismen kan användning av krovalimab öka patientens mottaglighet för meningokockinfektioner (sepsis och/eller meningit). Fall av allvarliga eller dödliga meningokockinfektioner/sepsis har rapporterats hos patienter som behandlats med terminala komplementhämmare, vilket är en känd klasseffekt.
Meningokockinfektion kan snabbt bli livshotande eller dödlig om den inte upptäcks och behandlas tidigt. För att minska risken för infektion måste alla patienter vaccineras med ett tetravalent meningokockvaccin minst två veckor innan de får den första dosen med krovalimab. Om omedelbar behandling med krovalimab är indicerad till en ovaccinerad patient, ska erforderligt vaccin ges så snart som möjligt och patienterna ska ges profylaktiskt antibiotika från det att de börjar med krovalimab till och med två veckor efter vaccinationen. Vacciner mot serogrupperna A, C, Y, W och B, där sådana finns, rekommenderas för att förhindra infektioner med de vanligen patogena meningokock-serologiska grupperna. Patienterna måste hålla vaccinationerna uppdaterade i enlighet med gällande lokala riktlinjer för användning av vaccination. Om patienten står på annan behandling med terminala komplementinhibitorer, och denna ändras, ska läkaren verifiera att meningokockvaccinationen gäller i enlighet med lokala riktlinjer för vaccinationer. Vaccination skulle kunna aktivera komplementsystemet ytterligare. Till följd av detta kan patienter med komplementmedierade sjukdomar, inklusive PNH, uppleva en övergående försämring av tecken och symtom på den underliggande sjukdomen, såsom hemolys. Patienterna ska därför kontrolleras noga med avseende på sjukdomssymtom, efter den rekommenderade vaccineringen.
Eventuellt är vaccinering inte tillräckligt för att förhindra meningokockinfektion. Antibakteriell behandling bör övervägas i profylaktiskt syfte, i enlighet med lokala riktlinjer. Alla patienter ska kontrolleras med avseende på tidiga tecken på meningokockinfektion, bedömas omedelbart om misstanke föreligger om infektion och behandlas med lämpliga antibiotika vid behov. Patienterna ska informeras om dessa tecken och symtom och de åtgärder de måste vidta för att söka vård omedelbart. Läkare måste diskutera med patienterna om fördelar och risker med behandlingen med Piasky och ge dem en guide för patient/vårdare samt ett patientkort (se ”utbildningsmaterial” nedan). Enligt de årliga påminnelserna ska hälso- och sjukvårdspersonal se till att patientens vaccinationer är aktuella.
Andra systemiska infektioner
På grund av verkningsmekanismen måste krovalimab administreras med försiktighet till patienter med aktiva systemiska infektioner. Patienter kan ha ökad känslighet för infektioner, särskilt med Neisseria spp. och andra inkapslade bakterier. Vaccinationer för förebyggande av infektioner med Streptococcus pneumoniae och Haemophilus influenzae typ b (Hib), ska administreras i enlighet med lokala riktlinjer.
Om lokala riktlinjer föreskriver vaccination för förebyggande av infektioner med Streptococcus pneumoniae och Haemophilus influenzae av typ b (Hib), ska detta ske minst två veckor innan den första dosen av krovalimab ges. Om omedelbar behandling med krovalimab är indicerad till en ovaccinerad patient, ska erforderligt vaccin ges så snart som möjligt och patienterna ska få profylaktisk antibiotika från det att de börjar med krovalimab till och med två veckor efter vaccinationen, eller i enlighet med lokala riktlinjer, beroende på vilket som är längst.
Om Piasky ges till patienter med aktiva, systemiska infektioner, ska patienterna övervakas noga med avseende på tecken och symtom på förvärrad infektion. Patienter exkluderades från kliniska studier med krovalimab om de hade någon systemisk bakterie-, virus- eller svampinfektion inom 14 dagar innan behandlingen inleddes.
Patienterna ska förses med information från bipacksedeln för ökad medvetenhet om tecken och symtom på potentiellt allvarliga infektioner.
Immunkomplexreaktioner av typ III
Immunkomplexbildning förekommer hos patienter som byter mellan komplementhämmare, som binder olika epitoper (se avsnitt 4.5). Hos vissa patienter kan bildning av dessa komplex leda till immunkomplexmedierade reaktioner av typ III, även kallade immunkomplexreaktioner av typ III. Patienter som aldrig tidigare har behandlats med en C5-hämmare eller hos patienter där tidigare behandling med C5-hämmare har försvunnit ur kroppen (dvs. minst 5,5 halveringstider för den tidigare behandlingen har gått sedan den senaste dosen), löper ingen risk för immunkomplexreaktioner av typ III. I kliniska studier med krovalimab rapporterades biverkningar av typ III immunkomplexmedierade reaktioner (se avsnitt 4.8).
Tecken och symtom på immunkomplexreaktioner av typ III, som observerats i kliniska studier, var artralgi och andra sjukdomar i muskuloskeletala systemet och bindvävnad, hudutslag och andra sjukdomar i hud och subkutan vävnad, feber, asteni/trötthet, gastrointestinala besvär, huvudvärk och axonal neuropati. Immunkomplexreaktioner av typ III kan också visa sig som njurabnormiteter, men detta observerades inte under kliniska studier med krovalimab.
Baserat på tid till debut för immunkomplexreaktioner av typ III som observerats i kliniska studier, rekommenderas att patienterna kontrolleras under de första 30 dagarna efter byte från ekulizumab eller ravulizumab till krovalimab (eller vice versa), för förekomst av symtom på immunkomplexreaktioner av typ III. För lindriga eller måttliga immunkomplexreaktioner av typ III, kan administrering av symtomatisk behandling (t.ex. topikala kortikosteroider, antihistaminer, antipyretika och/eller analgetika) övervägas. Vid allvarliga reaktioner kan oral eller parenteral kortikosteroidbehandling påbörjas och trappas ned enligt vad som indikeras kliniskt.
Infusions- och injektionsrelaterade reaktioner
Administrering av krovalimab kan orsaka infusionsrelaterade reaktioner eller systemiska injektionsrelaterade reaktioner, beroende på administreringssätt. Dessa kan inkludera allergiska eller överkänslighetsreaktioner (inklusive anafylaxi), men även en rad andra symtom såsom huvudvärk eller muskelsmärta.
I händelse av en allvarlig, infusionsrelaterad reaktion efter intravenös administrering av Piasky, ska behandlingen avbrytas och lämplig medicinsk behandling ges. I händelse av en allvarlig, injektionsrelaterad reaktion efter subkutan administrering eller någon förekomst av allvarlig allergisk reaktion efter intravenös eller subkutan administrering, ska patienter/vårdare omedelbart uppsöka sjukvård och lämplig medicinsk behandling ska administreras. Patienterna ska rådgöra med sin behandlande läkare om huruvida behandlingen med Piasky kan fortsätta.
Allvarlig hemolys efter att behandling satts ut hos PNH-patienter
Om behandlingen med Piasky sätts ut, måste patienter som inte byter till en annan behandling för PNH, kontrolleras noggrant avseende tecken och symtom på allvarlig intravaskulär hemolys, identifierad som förhöjda nivåer av laktatdehydrogenas (LDH) tillsammans med plötslig minskning i PNH-klonstorlek eller hemoglobin, eller återkomst av symtom såsom trötthet, hemoglobinuri, buksmärta, andfåddhet (dyspné), allvarliga vaskulära biverkningar (inklusive trombos), dysfagi eller erektil dysfunktion. Om tecken och symtom på hemolys förekommer efter utsättning, inklusive förhöjt LDH, ska återinsättning av lämplig behandling övervägas.
Immungenicitet, som leder till minskad exponering och effekt
Patienter kan utveckla antikroppar mot läkemedlet (anti-drug antibodies, ADA), som kan interferera med exponeringen för krovalimab. Utveckling av ADA kan leda till minskad exponering för krovalimab, vilket i sin tur kan leda till minskad effekt av krovalimab. Förlust av effekt och exponering till följd av utveckling av ADA, har observerats hos patienter som behandlats med krovalimab i kliniska studier. Patienterna ska rutinmässigt övervakas för kliniska tecken på minskad exponering och effekt, inklusive allvarlig intravaskulär hemolys. I händelse av ihållande, allvarlig intravaskulär hemolys, trots följsamhet till behandlingen med krovalimab, ska patienterna omedelbart undersökas för att utvärdera etiologin. Risken för utveckling av ADA, som leder till minskad exponering och effekt ska övervägas. En bedömning av fördelarna jämfört med riskerna med fortsatt behandling med krovalimab, bör göras och ett byte till en alternativ behandling ska övervägas. Patienter/vårdare ska uppmanas att omedelbart söka sjukvård om patienten utvecklar tecken på förvärrat PNH. Se avsnitt 4.8 och 5.1.
Utbildningsmaterial
All hälso- och sjukvårdspersonal som förväntas förskriva, använda eller övervaka administreringen av Piasky måste säkerställa att de har fått och känner till vägledningen för hälso- och sjukvårdspersonal. Hälso- och sjukvårdspersonal kommer att få en årlig påminnelse för att säkerställa att patientens vaccinationer hålls aktuella. Förskrivare måste förklara och diskutera nyttan och riskerna med behandling med Piasky med patienten och/eller deras vårdare och säkerställa att vägledning för patient/vårdare och patientkort tillhandahålls.
Hälso- och sjukvårdspersonal ska instruera patienterna och/eller deras vårdare att alltid bära med sig patientkortet med information om de viktigaste tecknen och symtomen på meningokockinfektioner och allvarliga allergiska reaktioner, och uppmanas att söka akut medicinsk vård om de upplever symtom på meningokockinfektioner och/eller allvarliga allergiska reaktioner.
Krovalimab och andra C5-hämmare binder till olika epitoper på C5 så att immunkomplex, bestående av antikroppar överbryggade av C5, kan bildas när båda förekommer i cirkulationen. Dessa immunkomplex, även kallade DTDC (drug-target-drug complex), kan omfatta en eller flera C5-enheter, som är bundna till både krovalimab och en annan C5-hämmare, och förväntas vara eliminerade inom cirka åtta veckor (när det gäller ekulizumab). Immunkomplexen kan elimineras efter en längre varaktighet vid byte från C5-hämmare med en förlängd halveringstid, t.ex. ravulizumab. Hos vissa patienter leder bildningen av dessa komplex till immunkomplexreaktioner av typ III (se avsnitt 4.4 och 4.8). Hos patienter som byter från behandling med en annan C5-hämmare, observeras en övergående ökning av clearance på grund av att immunkomplex bildas, vilket leder till en snabbare eliminering av krovalimab. Denna övergående ökning av clearance är dock inte kliniskt relevant och kräver ingen dosjustering hos patienter som byter från en annan C5-hämmare.
Inga specifika interaktionsstudier har utförts.
Krovalimab förväntas inte uppvisa farmakokinetiska interaktioner med andra läkemedel som interfererar med de metaboliserande cytokrom P450 (CYP)-enzymerna, eftersom elimineringsvägarna för immunglobuliner G (IgG) skiljer sig från elimineringsvägarna för små molekyler.
Graviditet
Det finns inga data från användningen av krovalimab hos gravida kvinnor.
Djurstudier tyder inte på direkta eller indirekta, skadliga, reproduktionstoxikologiska effekter (se avsnitt 5.3). Det är känt att humant IgG passerar moderkakan efter graviditetens första trimester. Baserat på dess verkningsmekanism kan krovalimab potentiellt orsaka hämning av terminalt komplement i fostercirkulationen.
Därför kan användning av krovalimab övervägas hos gravida kvinnor, om kvinnans kliniska tillstånd kräver behandling med krovalimab.
Amning
Det är inte känt om krovalimab utsöndras i bröstmjölk. Det är känt att humant IgG1 utsöndras i bröstmjölk. En risk för spädbarn som ammas kan inte uteslutas.
Ett beslut måste fattas om man ska avbryta amningen eller avbryta behandlingen med Piasky, med hänsyn till spädbarnets nytta av att ammas och moderns nytta av behandlingen.
Fertilitet
Det finns inga kliniska data avseende effekten av krovalimab på fertilitet hos människor. Djurdata från toxicitetsstudier med upprepad dosering, visade ingen effekt på manliga eller kvinnliga reproduktionsorgan (se avsnitt 5.3).
Piasky har ingen eller försumbar effekt på förmågan att framföra fordon och använda maskiner.
Sammanfattning av säkerhetsprofilen
De vanligaste biverkningarna som observerades var immunkomplexmedierad reaktion av typ III (18,9 % hos patienter som bytte från behandling med en annan C5-hämmare till krovalimab), övre luftvägsinfektion (18,6 %), pyrexi (13,5 %), huvudvärk (10,9 %) och infusionsrelaterad reaktion (10,2 %). De vanligaste, allvarliga biverkningarna som observerades var immunkomplexmedierad reaktion av typ III (4,0 % hos patienter som bytte från behandling med en annan C5-hämmare till krovalimab) och pneumoni (1,5 %).
Säkerhetsresultaten från de 44 patienterna i COMPOSER-studien, där medianbehandlingstiden var 4,69 år (intervall: 0,4-6,3 år), visade inte på några ytterligare säkerhetsproblem i samband med långvarig användning av krovalimab.
Lista över biverkningar i tabellform
Säkerheten för krovalimab hos patienter med PNH utvärderades i tre fas III-studier, COMMODORE 2 (BO42162), COMMODORE 3 (YO42311), och COMMODORE 1 (BO42161), och en fas I/II-studie (COMPOSER, BP39144).
Tabell 2 visar de biverkningar som har rapporterats i samband med användning av krovalimab i en poolad analys av 393 patienter som rekryterats till fas III-studierna, om inget annat anges. Medianbehandlingstiden med krovalimab, baserat på den poolade analysen av 393 patienter, var 64 veckor (intervall: 0,1–136,4 veckor).
Biverkningarna anges enligt MedDRA-klassificeringen av organsystem. Motsvarande frekvenskategori för varje biverkning baseras på följande konvention: mycket vanliga (≥ 1/10), vanliga (≥ 1/100, < 1/10), mindre vanliga (≥ 1/1 000, < 1/100), sällsynta (≥ 1/10 000, < 1/1 000), mycket sällsynta (< 1/10 000). Biverkningarna presenteras inom varje frekvensområde efter fallande allvarlighetsgrad.
Tabell 2: Sammanfattning av biverkningar som förekommit hos patienter som behandlats med Piasky
* Immunkomplexmedierad reaktion av typ III (även kallad immunkomplexreaktion av typ III), är begränsad till patienter som byter från en annan C5-hämmare till krovalimab eller från krovalimab till en annan C5-hämmare. Frekvensen av immunkomplexreaktioner av typ III rapporteras för en delgrupp med n = 201 patienter, som bytte från behandling med en annan C5-hämmare till krovalimab, med incidensfrekvenser som beräknas med dessa n = 201 patienter som nämnare. Se nedan.
Beskrivning av utvalda biverkningar
Immunkomplexreaktioner av typ III (se avsnitt 4.4 och 4.5)
I fas III-studier upplevde 19,4 % (39 av 201) av patienterna, som bytte från behandling med ekulizumab eller ravulizumab till krovalimab, en immunkomplexreaktion av typ III (rapporterat som immunkomplexmedierad reaktion av typ III). Av dessa 39 patienter fick två patienter en andra, immunkomplexreaktion av typ III efter att ha slutat med krovalimab och bytt till ravulizumab. De vanligaste tecknen och symtomen som rapporterades var artralgi och utslag, och andra symtom som rapporterades var feber, huvudvärk, myalgi, buksmärta, asteni/trötthet och axonal neuropati. Mediantiden till debut av en immunkomplexreaktion av typ III hos patienter, som bytte från behandling med ekulizumab eller ravulizumab till krovalimab, var 1,6 veckor (intervall: 0,7–4,4 veckor), där 5,1 % av patienterna (två av 39) upplevde en immunkomplexreaktion av typ III med debut som översteg fyra veckor. De flesta fallen av immunkomplexreaktioner av typ III var övergående med en medianduration på 1,7 veckor (intervall om 0,4–34,1 veckor). Majoriteten av patienterna upplevde en biverkning av grad 1 eller 2 (23 av 39 patienter), medan biverkningar av grad 3 uppkom hos 8 % (16 av 39) av de krovalimab-behandlade patienterna som bytte från ekulizumab eller ravulizumab. De flesta biverkningarna försvann utan någon förändring av studiebehandlingen med krovalimab.
I COMPOSER-studien rapporterade två patienter, bland 26 patienter som bytte från ekulizumab till krovalimab, varsin immunkomplexreaktion av typ III. Dessa biverkningar var lindriga/måttliga och inte allvarliga. Ytterligare en patient utvecklade en lindrig, immunkomplexreaktion av typ III efter att ha slutat med krovalimab och bytt till en annan C5‑hämmare.
Immungenicitet
I två randomiserade fas III-studier (COMMODORE 1 och COMMODORE 2) och en 1-armad fas III-studie (COMMODORE 3), kunde ADA-status utvärderas hos 392 patienter. Av dessa 392 patienter var 118 (30,1 %) ADA-positiva. Inga skillnader mellan ADA-positiva och ADA-negativa patienter observerades i frekvensen av biverkningar som normalt förknippas med immungenicitet (såsom infusionsrelaterade reaktioner, reaktioner vid injektionsstället eller överkänslighet) (se avsnitt 5.1).
Immungenicitet, som leder till minskad exponering och effekt
Patienter kan utveckla ADA, som kan påverka exponeringen för krovalimab. Av 392 patienter, som utvärderades avseende ADA-status, observerades partiell eller fullständig förlust av exponering förknippad med ADA-debut hos 23 patienter (5,9 %); bland dem hade 17 (4,3 %) en förlust av farmakologisk aktivitet, som sammanföll med förlust av exponering och effekt, vilket manifesterade sig som ihållande förlust av hemolyskontroll hos 7 patienter (1,8 %).
Vid kliniska tecken på effektförlust ska sjukvårdspersonal omedelbart utvärdera detta (se avsnitt 4.4).
Infusions- och injektionsrelaterade reaktioner
10,2 % av patienterna som behandlades med krovalimab i fas III-studierna fick en infusionsrelaterad reaktion. De vanligaste tecknen och symtomen som rapporterades var huvudvärk (7,1 %), hudutslag (0,8 %), yrsel (0,8 %), buksmärta (0,5 %), erytem (0,5 %) illamående (0,5 %), pyrexi (0,5 %) och paraestesi (0,3 %). Alla rapporterade händelser var av grad 1–2.
I fas III-studierna fick 8.4 % av patienterna, som behandlades med krovalimab, en injektionsrelaterad reaktion. De vanligaste tecknen och symtomen som rapporterades var huvudvärk (2,5 %), erytem vid injektionsstället (1,0 %), smärta vid injektionsstället (1,0 %) och utslag vid injektionsstället (1,0 %). Majoriteten av händelserna var av grad 1–2.
Infektioner med inkapslade bakterier
Baserat på verkningsmekanismen kan användning av krovalimab potentiellt öka risken för infektioner, särskilt infektioner orsakade av bakterier med kapsel, inklusive Streptococcus pneumoniae, Neisseria meningitidis av typ A, C, W, Y och B, och Haemophilus influenzae (se avsnitt 4.4).
I fas III-studier var de rapporterade infektionerna med kapselbakterier Klebsiella pneumoniae, Klebsiella (ej specificerat), Haemophilus influenzae och Neisseria subflava, varav den senare orsakade en biverkning i form av bakteriemi hos en patient.
Pediatrisk population
Hos 12 pediatriska PNH-patienter med en kroppsvikt ≥ 40 kg (i åldern 13–17 år), som inkluderades i studierna COMMODORE 1, COMMODORE 2 och COMMODORE 3, liknade säkerhetsprofilen den som observerats hos vuxna PNH-patienter. De biverkningar som förknippas med krovalimab och som rapporterades hos pediatriska PNH-patienter, var övre luftvägsinfektion (16,7 %), urinvägsinfektion (16.7 %), trötthet (16,7 %), pyrexi (16,7 %), huvudvärk (8,3 %), infusionsrelaterad reaktion (8,3 %) och injektionsrelaterad reaktion (8,3 %).
Rapportering av misstänkta biverkningar
Vid överdosering bör patienter noggrant övervakas avseende tecken eller symtom på biverkningar och lämplig symtomatisk behandling sättas in.
Klinisk effekt och säkerhet
Säkerhet och effekt av krovalimab hos patienter med PNH utvärderades i en icke-inferioritetsstudie i fas III (COMMODORE 2, BO42162), och stöds av kliniska bevis från ytterligare två fas III-studier (COMMODORE 3, YO42311 och COMMODORE 1, BO42161).
I alla fas III-studier krävdes att patienterna hade vaccinerats mot Neisseria meningitidis, antingen inom tre år före behandlingsstart eller inom sju dagar efter att behandling med krovalimab påbörjats. Patienter som vaccinerats inom två veckor före initiering av krovalimab eller efter studiestart, fick lämpliga profylaktiska antibiotika från den tidpunkt då de började med Piasky fram till minst två veckor efter vaccinationen (se avsnitt 4.4 för varningar och försiktighetsåtgärder i samband med allvarlig meningokockinfektion). Patienter som haft Neisseria meningitidis-infektion under sex månader före screening och fram till den första administreringen av studieläkemedlet, uteslöts.
Patienter uteslöts också om de hade en anamnes på allogen benmärgstransplantation.
Krovalimab administrerades i fas III-studier i enlighet med den rekommenderade dos som beskrivs i avsnitt 4.2. Vid behovsdosering på 340 mg krovalimab, som administrerades intravenöst, tilläts baserat på prövarnas bedömning om en patient upplevde tecken och symtom på PNH, men dessa studier var inte utformade för att utvärdera effekten av vid-behovsdosering på effekten av krovalimab. Ekulizumab administrerades enligt lokal förskrivningsinformation eller i ett land där kommersiell ekulizumab inte fanns tillgängligt (COMMODORE 2). Därefter gavs ekulizumab 600 mg intravenöst en gång i veckan under de första fyra veckorna, följt av 900 mg varannan vecka. Tilläggsdoser av ekulizumab tilläts inte i studien.
Fas III-studierna bestod av en primär behandlingsperiod på 24 veckor, varefter patienterna hade möjlighet att fortsätta/byta till krovalimab under en förlängningsperiod.
Studie med patienter med PNH som inte tidigare behandlats med komplementhämmare
COMMODORE 2 (studie BO42162)
COMMODORE 2 var en fas III, randomiserad, öppen, aktivt kontrollerad, klinisk studie, som utfördes på flera kliniker, utformad för att utvärdera effekt och säkerhet av krovalimab jämfört med ekulizumab hos patienter med PNH, som inte tidigare behandlats med en komplementhämmare. 204 patienter (med kroppsvikt ≥ 40 kg) randomiserades 2:1 till att få antingen krovalimab (n = 135) eller ekulizumab (n = 69). Studien rekryterade dessutom sex pediatriska patienter (i åldern < 18 år och med kroppsvikt ≥ 40 kg) i en beskrivande grupp för att få krovalimab (se avsnitt 5.1). Lämpliga patienter hade hög sjukdomsaktivitet vid screening, påvisad som LDH-nivå ≥ 2 × övre normalgränsen (ULN) och vid förekomst av ett eller flera PNH-relaterade tecken eller symtom under de senaste tre månaderna: trötthet, hemoglobinuri, buksmärta, andfåddhet (dyspné), anemi (hemoglobin < 10 g/dl), tidigare, allvarliga, vaskulära biverkningar (inklusive trombos), dysfagi eller erektil dysfunktion eller tidigare transfusion av erytrocytkoncentrat (pRBC) på grund av PNH.
Randomiseringen stratifierades efter det senaste LDH-värdet (≥ 2 till ≤ 4 × ULN eller > 4 × ULN) och efter transfusionshistorik (0, > 0 till ≤ 6 eller > 6 pRBC-enheter administrerade inom sex månader före randomisering). Respektive stratifieringskategorier balanserades mellan behandlingsgrupperna.
Demografi och egenskaper vid studiestarten för den randomiserade studiepopulationen var generellt balanserade mellan behandlingsgrupperna och anges i Tabell 3.
Tabell 3: Demografi och egenskaper vid studiestart för COMMODORE 2 (randomiserad population)
Anm.: IQR = interkvartilt intervall.
*Två ungdomar (båda 17 år) randomiserades till ekulizumab-gruppen innan den separata, beskrivande, pediatriska gruppen öppnades. Båda patienterna bytte till krovalimab i förlängningsperioden, efter att den primära behandlingsperioden hade avslutats; en patient var fortfarande < 18 år, medan den andra patienten hade fyllt 18 år vid tidpunkten för den första behandlingen med krovalimab. Se nedan “Pediatrisk population”
**Inkluderar läkemedel som påbörjades innan studiebehandlingen påbörjades, och som antingen sattes ut innan studien påbörjades eller som pågick när studiebehandlingen inleddes.
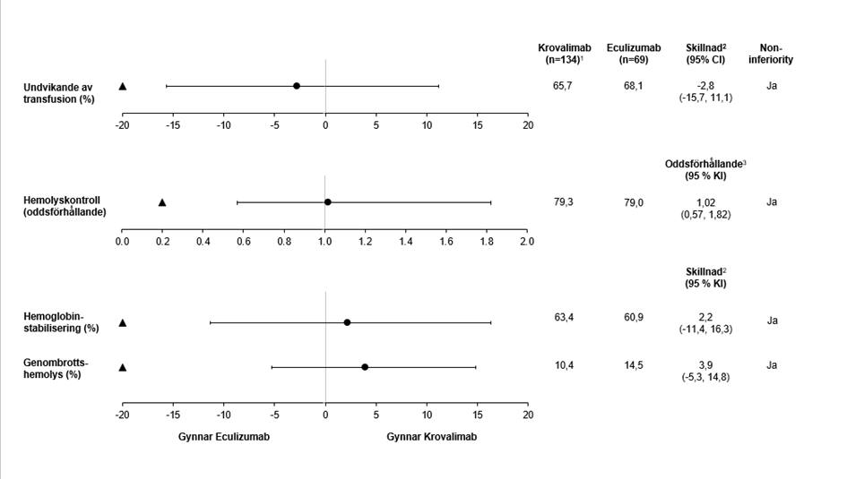
Det primära syftet med studien var att utvärdera effekten av krovalimab jämfört med ekulizumab, baserat på ”icke-inferioritet” (NI)-bedömning av följande samprimära effektmått: hemolyskontroll, mätt som den genomsnittliga andelen patienter med LDH ≤ 1,5x ULN från vecka 5 till vecka 25; och andelen patienter som uppnådde undvikande av transfusion, definierat som patienter som är pRBC-transfusionsfria, från studiestart till vecka 25. Sekundära effektmått inkluderade andelen patienter med genombrottshemolys, andelen patienter med stabiliserat hemoglobin, samt förändring i trötthet (mätt med FACIT [funktionsbedömning av kronisk sjukdomsbehandling] Fatigue-skalan) från studiestart till vecka 25.
Krovalimab var icke-inferiort jämfört med ekulizumab för både samprimära effektmått för hemolyskontroll och undvikande av transfusion och för sekundära effektmått för hemoglobinstabilisering och genombrottshemolys (Figur 1). Figur 2 visar andelen patienter med LDH ≤ 1,5 × ULN från studiestart till och med vecka 25.
Figur 1: Resultat för samprimärt och sekundärt effektmått i (COMMODORE 2, primär analyspopulation)
Obs! Trianglarna anger marginalerna för icke-inferioritet, och cirklarna indikerar punktuppskattningar. KI = konfidensintervall
1 En patient, som randomiserades till krovalimab, hade inte LDH efter studiestart och inkluderades inte i den primära effektanalysen.
2 För undvikande av transfusion och hemoglobinstabilisering beräknas skillnaden som en viktad skillnad mellan krovalimab och ekulizumab (krovalimab minus ekulizumab). För genombrottshemolys beräknas skillnaden som en viktad skillnad mellan ekulizumab och krovalimab (ekulizumab minus krovalimab).
3 Oddsförhållande, beräknat som odds för krovalimab delat med odds för ekulizumab
Figur 2: Andel patienter med LDH ≤ 1,5 × ULN från studiestart till och med vecka 25, med 95 % KI (COMMODORE 2, primär analyspopulation)
Studie av PNH-patienter som tidigare behandlats med komplement-C5_hämmarterapi.
COMMODORE 1 (Studie BO42161) - randomiserade patienter med byte till eculizumab
COMMODORE 1 var en randomiserad, öppen, aktivt kontrollerad, klinisk studie i fas III, som utfördes på flera kliniker och som utvärderade säkerhet, farmakodynamik, farmakokinetik och explorativ effekt av krovalimab hos patienter som byter från behandling med en annan komplement-C5-hämmare. Det primära syftet md denna studie var att utvärdera säkerheten (se avsnitt 4.8). Åttionio patienter randomiserades 1:1 till att få antingen krovalimab (n = 45) eller ekulizumab (n = 44). Patienterna kunde inkluderas i de randomiserade grupperna om de bytte från godkända doser av ekulizumab och genomgick hemolyskontroll vid screening, definierat som LDH-nivå ≤ 1,5 × ULN. Patienter exkluderades om de hade genomgått en större vaskulär händelse (MAVE) inom sex månader före den första administreringen av studieläkemedlet. Randomiseringen stratifierades efter patientens transfusionshistorik (huruvida en patient fick en transfusion av pRBC inom 12 månader före randomisering).
Demografi och karakteristika vid studiestarten för den randomiserade studiepopulationen var balanserade mellan behandlingsgrupperna. Medianvärdet för LDH vid studiestart var 1,01 × ULN (intervall: 0,6‑1,7) för krovalimab och 0,96 × ULN (intervall: 0,7–1,9) för ekulizumab. Andelen patienter med transfusioner i anamnesen under de 12 månaderna före screening, var 22,7 % i krovalimab-gruppen och 25 % i ekulizumab-gruppen, med ett medelvärde (SD) på 1,6 (3,7) och 2,3 (5,4) enheter transfunderat pRBC i krovalimab- respektive ekulizumab-gruppen. PNH-klonstorleken i median vid studiestart (intervallet) för totala erytrocyter, monocyter och granulocyter för krovalimabarmen vs. ekulizumabarmar är följande: 44,6 % (2,6 - 100) vs. 54,2 % (1,3 - 100), 88,6 % (13,8 - 100) vs. 96,4 % (7,6 – 99,9), respektive 88,1 % (5,2 - 100), vs. 95,7 % (7,9 – 99,9).
Av 89 randomiserade patienter utvärderades effekten på ett explorativt sätt hos 76 patienter (n = 39 för krovalimab och n = 37 för ekulizumab), som rekryterades minst 24 veckor före brytdatumet för den primära analysen. Sammantaget visade resultaten av de explorativa effektmåtten att patienter, som bytte till krovalimab från ekulizumab, bibehöll sjukdomskontroll. Den genomsnittliga andelen patienter som bibehöll hemolyskontroll från studiestart till och med vecka 25, var 92,9 % [95 % KI: 86,6; 96,4] för patienter som randomiserats till krovalimab och 93,7 % [95 % KI: 87,3; 97,0] för patienter som randomiserats till ekulizumab. Undvikande av transfusion observerades hos 79,5 % [95 % KI: 63,1; 90,1] av patienterna som randomiserats till krovalimab och 78,4 % [95 % KI: 61,3; 89,6] av patienterna som randomiserats till ekulizumab.
COMMODORE 1 (studie BO42161) och COMMODORE 2 (studie BO42162)- patienter med kliniskt stabilt byte
Supportiva data hos patienter med kliniskt stabilt byte till ekulizumab rapporterades från patienter i COMMODORE 1 (25 effektivitetsutvärderbara patienter) och COMMODORE 2 (29 effektivitetsutvärderbara patienter) som hade behandlats med ekulizumab i minst 24 veckor i den primära behandlingsperioden och hade LDH ≤ 1,5 × ULN vid byte till krovalimab vid studiestart.
Effektiviteten utvärderades hos patienterna som hade minst 24 veckor exponering för krovalimab (eller annars slutade innan de hade uppnått 24 veckor av behandling). Den genomsnittliga andelen kliniskt stabila bytespatienter som bibehöll hemolyskontroll från byte till och med vecka 25 i COMMODORE 1 och COMMODORE 2 var 98,7 % [95 % KI: 96,2, 99,5] respektive 95,3 % [95 % KI: 89,5, 97,9]. Undvikande av transfusion observerades hos 80,0 % [95 % KI: 58,70, 92,39] och 86,2% [95% KI: 67,43, 95,49] av de kliniskt stabila bytespatienterna. Dessa resultat hos kliniskt stabila ekulizumabbytespatienterna överensstämde med resultaten hos randomiserade ekulizumabbytespatienter under den primära behandlingsperioden i COMMODORE 1.
I den icke-randomiserade armen i COMMODORE 1, av de 19 kliniskt stabila patienter som bytte från ravulizumab 95,8 % [95 %KI: 89,11, 98,43] bibehölls hemolyskontroll och för 57,9 % [95 % KI: 33,97, 78,88] av patienterna kunde transfusion undvikas från studiestart till vecka 25.
Immungenicitet
Liksom med alla terapeutiska proteiner finns det en risk för immunsvar mot krovalimab.
Resultat av immungenicitetsanalys är starkt beroende av flera faktorer, inklusive analyskänslighet och specificitet, analysmetod, hantering av prover, tidpunkt för provtagning, samtidiga läkemedel och underliggande sjukdom. Av dessa skäl kan jämförelser mellan förekomsten av antikroppar mot krovalimab och förekomsten av antikroppar mot andra produkter vara missvisande.
I fas III-studien COMMODORE 2, observerades behandlingsorsakade antikroppar mot läkemedlet (ADA) hos 35,0 % (49/140) av de behandlingsnaiva patienter som fick krovalimab och hos 38,2 % (26/68) av de patienter som bytte från behandling med en annan C5-hämmare till krovalimab. Mediantiden till utveckling av första ADA efter studiestart var 16,1 veckor (intervall: 1,1 till 72,3 veckor) och 16,6 veckor (intervall: 2,1 till 36,3 veckor) hos behandlingsnaiva patienter respektive patienter som tidigare behandlats med en annan C5-hämmare. I fas III-studier var förekomsten av behandlingsrelaterade ADA 35,1 % (67 patienter av 191) och 25,4 % (51 patienter av 201) hos behandlingsnaiva respektive patienter som bytte från behandling med en annan C5-hämmare till krovalimab.
I fas III-studier var mediankoncentrationstiderna hos ADA-positiva patienter något lägre jämfört med ADA-negativa patienter. Trots denna effekt förblev koncentrationerna över 100 µg/ml (tröskelvärde för fullständig hämning av terminalt komplement) hos fler än 80 % av ADA-positiva patienter. Förekomst av ADA förknippades inte med kliniskt betydelsefull påverkan på farmakokinetik, farmakodynamik och effekt hos de flesta patienterna. Av 392 patienter, som utvärderades avseende ADA-status, observerades dock partiell eller fullständig förlust av exponering som förknippas med ADA-debut hos 23 patienter (5,9 %); bland dessa hade 17 (4,3 %) ADA-positiva patienter en förlust av farmakologisk aktivitet (baserat på CH50 eller fritt C5), som sammanföll med en förlust av exponering, och ihållande förlust av effekt hos 7 patienter (1,8 %) manifesterad som en förlust av hemolyskontroll. Det fanns inga belägg för att ADA-status skulle ha någon klinisk inverkan på säkerhetsprofilen för Piasky (se avsnitt 4.4 och 4.8).
Pediatrisk population
Tio pediatriska patienter (med kroppsvikt ≥ 40 kg), som behandlades med krovalimab i COMMODORE 2 (n = 7; 13–17 år) och COMMODORE 3 (n = 3; 15–17 år), utvärderades med avseende på effekt.
Nio patienter var behandlingsnaiva och en patient bytte från ekulizumab till krovalimab under förlängningsperioden. Alla pediatriska patienter fick samma dosering som vuxna patienter baserat på kroppsvikt. Alla nio behandlingsnaiva patienter uppnådde hemolyskontroll (definierat som LDH ≤ 1,5 x ULN) vid vecka 4. och detta bibehölls hos sju patienter vid varje besök från studiestart till vecka 25. Patienten som bytte från ekulizumab till krovalimab bibehöll hemolyskontrollen under 24 veckors behandling under förlängningsperioden. Sju av de tio pediatriska patienterna uppnådde undvikande av transfusion och hemoglobinstabilisering, och inga patienter fick en genombrottshemolys under den 24 veckor långa behandlingsperioden.
Totalt sett liknade behandlingseffekten av krovalimab hos pediatriska PNH-patienter den som observerades hos vuxna PNH-patienter.
Europeiska läkemedelsmyndigheten har senarelagt kravet att skicka in studieresultat för Piasky för en eller flera undergrupper av den pediatriska populationen med PNH (information om pediatrisk användning finns i avsnitt 4.2).
Farmakokinetiken för krovalimab har karakteriserats både hos friska forskningspersoner och hos patienter med PNH. Farmakokinetiken karakteriserades med hjälp av icke-linjära farmakokinetiska analysmetoder med blandade effekter, baserat på en poolad databas bestående av nio friska frivilliga forskningspersoner och 210 och 211 behandlingsnaiva patienter och patienter som bytte från tidigare behandling med en annan C5-hämmare till krovalimab.
Koncentrations-/tidsförloppet för krovalimab beskrivs bäst med en öppen två-kompartmentmodell, med första ordningens eliminering och en första ordningens subkutan absorptionskonstant. För att beskriva den övergående ökningen av clearance på grund av bildande av immunkomplex, som observerades hos patienter som bytte från behandling med en annan C5-hämmare till krovalimab, tillades en ytterligare tidsvarierande clearance-parameter, som minskar exponentiellt med tiden. Vid steady state förväntas exponeringen vara likartad hos behandlingsnaiva patienter och patienter som bytt behandling.
Absorption
Konstanten för absorptionshastigheten beräknades vara 0,126 dag-1 [CV%: 38,3]. Efter subkutan administrering uppskattades biotillgängligheten till 83,0 % [CV%: 116].
Distribution
Den centrala distributionsvolymen uppskattades till 3,23 l [CV %: 22,4] och den perifera distributionsvolymen uppskattades till 2,32 l [CV %: 70,6].
Den lilla distributionsvolymen tyder på att krovalimab sannolikt distribueras främst i serum och/eller i kärlrika vävnader.
Metabolism
Metabolismen av krovalimab har inte studerats direkt. IgG-antikroppar kataboliseras huvudsakligen genom lysosomal proteolys och elimineras sedan från eller återanvänds av kroppen.
Eliminering
Clearance uppskattades till 0,0791 l/dag [CV %: 20,6]. Den terminala halveringstiden för krovalimab uppskattades till 53,1 dagar [CV %: 39,9], vilket är längre jämfört med andra humaniserade IgG-antikroppar. Denna långa halveringstid överensstämmer med krovalimabs återvinningsegenskaper.
Särskilda populationer
Inga farmakokinetiska studier med krovalimab har utförts i särskilda populationer. Kroppsvikt visades vara en signifikant kovariat, med clearance och distributionsvolymer som ökade och krovalimabexponering som minskade när kroppsvikten ökade. Doseringen av krovalimab baseras därför på patientens kroppsvikt (se avsnitt 4.2).
Efter inklusion av kroppsvikt i modellen, visade populationsfarmakokinetiska analyser hos patienter med PNH att ålder (13–85 år) och kön inte hade någon betydelsefull inverkan på farmakokinetiken för krovalimab. Ingen ytterligare dosjustering krävs.
Ras/etnicitet påvisades inte heller ha någon påverkan på farmakokinetiken för krovalimab; data är dock begränsade från svarta patienter och anses därför inte konklusiva för denna population.
Äldre
Inga specifika studier har utförts för att undersöka farmakokinetiken för krovalimab hos patienter i åldern ≥ 65 år, men 46 (10,9 %) äldre PNH-patienter inkluderades i kliniska studier, inklusive 35 patienter i åldern 65–74 år, 10 patienter i åldern 75–84 år och 1 patient i åldern ≥ 85 år. Data från kliniska PNH-studier indikerar att exponering hos patienter ≥ 65 år är jämförbar med exponeringen hos yngre patienter i andra åldersgrupper, men på grund av begränsade data för patienter ≥ 85 år är farmakokinetiken för krovalimab hos dessa patienter okänd.
Nedsatt njurfunktion
Inga specifika studier har utförts för att undersöka farmakokinetiken för krovalimab hos patienter med nedsatt njurfunktion, men data från kliniska PNH-studier (62 [14,7 %] patienter med lindrigt nedsatt njurfunktion, 38 [9 %] patienter med måttligt nedsatt njurfunktion och 4 [1 %] patienter med svårt nedsatt njurfunktion) tyder på att exponeringen hos patienter med lindrigt, måttligt eller svårt nedsatt njurfunktion är jämförbar med den hos patienter utan nedsatt njurfunktion. I kliniska PNH-studier erhölls dock begränsade data för patienter med svårt nedsatt njurfunktion.
Nedsatt leverfunktion
Inga dedikerade studier har utförts hos patienter med nedsatt leverfunktion, men data från kliniska PNH-studier tyder på att exponeringen hos patienter med lindrigt nedsatt leverfunktion (46 [11 %] enligt gradering baserat på alaninaminotransferasnivåer) är jämförbar med exponeringen hos patienter utan nedsatt leverfunktion. Begränsade farmakokinetiska data fanns tillgängliga för PNH-patienter med måttligt (0 [0 %]) till svårt (1[0,23 %]) nedsatt leverfunktion, och därför är effekten av måttligt eller svårt nedsatt leverfunktion på farmakokinetiken för krovalimab okänd och inga dosrekommendationer kan ges (se avsnitt 4.2).
Pediatrisk population
Data från 12 pediatriska patienter (13–17 år) i de kliniska PNH-studierna, indikerar att exponering hos pediatriska patienter som är 12 år eller äldre, med en vikt på minst 40 kg, befanns vara jämförbar med exponeringen hos vuxna patienter.
Icke-kliniska data visade inte på några speciella risker med krovalimab-behandling för människor, baserat på konventionella toxicitetsstudier avseende upprepad dosering (inklusive effektmått för säkerhetsfarmakologi) och effekter på reproduktion och utveckling.
Gentoxicitet
Inga studier avseende genotoxisk potential har utförts för krovalimab.
Monoklonala antikroppar förväntas inte interagera direkt med DNA eller annat kromosommaterial.
Carcinogenicitet
Inga studier har utförts avseende carcinogen potential för krovalimab. En bedömning av tillgängliga belägg relaterade till farmakodynamiska effekter och djurtoxikologiska data, tyder inte på carcinogen potential hos krovalimab.
Reproduktiv och utvecklingsmässig toxicitet
Upprepad administrering av krovalimab till dräktiga cynomolgusapor under dräktighetsperioden inducerade ingen toxicitet hos modern och påverkade inte dräktighetens utfall. Inga effekter på ungarnas viabilitet, tillväxt och utveckling observerades under den sex månader långa postnatala perioden.
Fertilitet
Inga effekter på reproduktionsorganen hos han- eller honapor observerades hos cynomolgusapor efter upprepad administrering av krovalimab i upp till sex månader. Inga separata fertilitetsstudier på djur har utförts med krovalimab.
Farmakoterapeutisk grupp: immunsuppressiva medel, komplementhämmare, ATC-kod: L04AJ07
Verkningsmekanism
Krovalimab är en rekombinant humaniserad, monoklonal antikropp, baserad på immunglobulin G1 (IgG1), som specifikt binder med hög affinitet till komponent 5 (C5) i komplementsystemet och hämmar dess klyvning till C5a och C5b, vilket förhindrar bildande av membranattackkomplexet (MAC). Krovalimab orsakar hämning av terminal komplementaktivitet. Hos patienter med PNH hämmar krovalimab terminalt komplementmedierad, intravaskulär hemolys.
Farmakodynamisk effekt
I kliniska studier med PNH-patienter. observerades en koncentrationsberoende hämning av terminal komplementaktivitet efter behandling med krovalimab. Hämning av terminal komplementaktivitet (CH50 mätt med liposomimmunanalys [LIA]) uppnåddes omedelbart i slutet av den initiala infusionen av krovalimab och bibehölls i allmänhet under hela behandlingen med krovalimab. På liknande sätt minskade medelvärdet av koncentrationer av fritt C5 till låga nivåer (< 0,0001 g/l) jämfört med studiestart och dessa förblev låga under hela behandlingsperioden.
Nivåerna av fritt C5 och CH50 var likartade för både pediatriska och vuxna patienter som behandlades med krovalimab.
Klinisk effekt och säkerhet
Säkerhet och effekt av krovalimab hos patienter med PNH utvärderades i en icke-inferioritetsstudie i fas III (COMMODORE 2, BO42162), och stöds av kliniska bevis från ytterligare två fas III-studier (COMMODORE 3, YO42311 och COMMODORE 1, BO42161).
I alla fas III-studier krävdes att patienterna hade vaccinerats mot Neisseria meningitidis, antingen inom tre år före behandlingsstart eller inom sju dagar efter att behandling med krovalimab påbörjats. Patienter som vaccinerats inom två veckor före initiering av krovalimab eller efter studiestart, fick lämpliga profylaktiska antibiotika från den tidpunkt då de började med Piasky fram till minst två veckor efter vaccinationen (se avsnitt 4.4 för varningar och försiktighetsåtgärder i samband med allvarlig meningokockinfektion). Patienter som haft Neisseria meningitidis-infektion under sex månader före screening och fram till den första administreringen av studieläkemedlet, uteslöts.
Patienter uteslöts också om de hade en anamnes på allogen benmärgstransplantation.
Krovalimab administrerades i fas III-studier i enlighet med den rekommenderade dos som beskrivs i avsnitt 4.2. Vid behovsdosering på 340 mg krovalimab, som administrerades intravenöst, tilläts baserat på prövarnas bedömning om en patient upplevde tecken och symtom på PNH, men dessa studier var inte utformade för att utvärdera effekten av vid-behovsdosering på effekten av krovalimab. Ekulizumab administrerades enligt lokal förskrivningsinformation eller i ett land där kommersiell ekulizumab inte fanns tillgängligt (COMMODORE 2). Därefter gavs ekulizumab 600 mg intravenöst en gång i veckan under de första fyra veckorna, följt av 900 mg varannan vecka. Tilläggsdoser av ekulizumab tilläts inte i studien.
Fas III-studierna bestod av en primär behandlingsperiod på 24 veckor, varefter patienterna hade möjlighet att fortsätta/byta till krovalimab under en förlängningsperiod.
Studie med patienter med PNH som inte tidigare behandlats med komplementhämmare
COMMODORE 2 (studie BO42162)
COMMODORE 2 var en fas III, randomiserad, öppen, aktivt kontrollerad, klinisk studie, som utfördes på flera kliniker, utformad för att utvärdera effekt och säkerhet av krovalimab jämfört med ekulizumab hos patienter med PNH, som inte tidigare behandlats med en komplementhämmare. 204 patienter (med kroppsvikt ≥ 40 kg) randomiserades 2:1 till att få antingen krovalimab (n = 135) eller ekulizumab (n = 69). Studien rekryterade dessutom sex pediatriska patienter (i åldern < 18 år och med kroppsvikt ≥ 40 kg) i en beskrivande grupp för att få krovalimab (se avsnitt 5.1). Lämpliga patienter hade hög sjukdomsaktivitet vid screening, påvisad som LDH-nivå ≥ 2 × övre normalgränsen (ULN) och vid förekomst av ett eller flera PNH-relaterade tecken eller symtom under de senaste tre månaderna: trötthet, hemoglobinuri, buksmärta, andfåddhet (dyspné), anemi (hemoglobin < 10 g/dl), tidigare, allvarliga, vaskulära biverkningar (inklusive trombos), dysfagi eller erektil dysfunktion eller tidigare transfusion av erytrocytkoncentrat (pRBC) på grund av PNH.
Randomiseringen stratifierades efter det senaste LDH-värdet (≥ 2 till ≤ 4 × ULN eller > 4 × ULN) och efter transfusionshistorik (0, > 0 till ≤ 6 eller > 6 pRBC-enheter administrerade inom sex månader före randomisering). Respektive stratifieringskategorier balanserades mellan behandlingsgrupperna.
Demografi och egenskaper vid studiestarten för den randomiserade studiepopulationen var generellt balanserade mellan behandlingsgrupperna och anges i Tabell 3.
Tabell 3: Demografi och egenskaper vid studiestart för COMMODORE 2 (randomiserad population)
Anm.: IQR = interkvartilt intervall.
*Två ungdomar (båda 17 år) randomiserades till ekulizumab-gruppen innan den separata, beskrivande, pediatriska gruppen öppnades. Båda patienterna bytte till krovalimab i förlängningsperioden, efter att den primära behandlingsperioden hade avslutats; en patient var fortfarande < 18 år, medan den andra patienten hade fyllt 18 år vid tidpunkten för den första behandlingen med krovalimab. Se nedan “Pediatrisk population”
**Inkluderar läkemedel som påbörjades innan studiebehandlingen påbörjades, och som antingen sattes ut innan studien påbörjades eller som pågick när studiebehandlingen inleddes.
Det primära syftet med studien var att utvärdera effekten av krovalimab jämfört med ekulizumab, baserat på ”icke-inferioritet” (NI)-bedömning av följande samprimära effektmått: hemolyskontroll, mätt som den genomsnittliga andelen patienter med LDH ≤ 1,5x ULN från vecka 5 till vecka 25; och andelen patienter som uppnådde undvikande av transfusion, definierat som patienter som är pRBC-transfusionsfria, från studiestart till vecka 25. Sekundära effektmått inkluderade andelen patienter med genombrottshemolys, andelen patienter med stabiliserat hemoglobin, samt förändring i trötthet (mätt med FACIT [funktionsbedömning av kronisk sjukdomsbehandling] Fatigue-skalan) från studiestart till vecka 25.
Krovalimab var icke-inferiort jämfört med ekulizumab för både samprimära effektmått för hemolyskontroll och undvikande av transfusion och för sekundära effektmått för hemoglobinstabilisering och genombrottshemolys (Figur 1). Figur 2 visar andelen patienter med LDH ≤ 1,5 × ULN från studiestart till och med vecka 25.
Figur 1: Resultat för samprimärt och sekundärt effektmått i (COMMODORE 2, primär analyspopulation)
Obs! Trianglarna anger marginalerna för icke-inferioritet, och cirklarna indikerar punktuppskattningar. KI = konfidensintervall
1 En patient, som randomiserades till krovalimab, hade inte LDH efter studiestart och inkluderades inte i den primära effektanalysen.
2 För undvikande av transfusion och hemoglobinstabilisering beräknas skillnaden som en viktad skillnad mellan krovalimab och ekulizumab (krovalimab minus ekulizumab). För genombrottshemolys beräknas skillnaden som en viktad skillnad mellan ekulizumab och krovalimab (ekulizumab minus krovalimab).
3 Oddsförhållande, beräknat som odds för krovalimab delat med odds för ekulizumab
Figur 2: Andel patienter med LDH ≤ 1,5 × ULN från studiestart till och med vecka 25, med 95 % KI (COMMODORE 2, primär analyspopulation)
Studie av PNH-patienter som tidigare behandlats med komplement-C5_hämmarterapi.
COMMODORE 1 (Studie BO42161) - randomiserade patienter med byte till eculizumab
COMMODORE 1 var en randomiserad, öppen, aktivt kontrollerad, klinisk studie i fas III, som utfördes på flera kliniker och som utvärderade säkerhet, farmakodynamik, farmakokinetik och explorativ effekt av krovalimab hos patienter som byter från behandling med en annan komplement-C5-hämmare. Det primära syftet md denna studie var att utvärdera säkerheten (se avsnitt 4.8). Åttionio patienter randomiserades 1:1 till att få antingen krovalimab (n = 45) eller ekulizumab (n = 44). Patienterna kunde inkluderas i de randomiserade grupperna om de bytte från godkända doser av ekulizumab och genomgick hemolyskontroll vid screening, definierat som LDH-nivå ≤ 1,5 × ULN. Patienter exkluderades om de hade genomgått en större vaskulär händelse (MAVE) inom sex månader före den första administreringen av studieläkemedlet. Randomiseringen stratifierades efter patientens transfusionshistorik (huruvida en patient fick en transfusion av pRBC inom 12 månader före randomisering).
Demografi och karakteristika vid studiestarten för den randomiserade studiepopulationen var balanserade mellan behandlingsgrupperna. Medianvärdet för LDH vid studiestart var 1,01 × ULN (intervall: 0,6‑1,7) för krovalimab och 0,96 × ULN (intervall: 0,7–1,9) för ekulizumab. Andelen patienter med transfusioner i anamnesen under de 12 månaderna före screening, var 22,7 % i krovalimab-gruppen och 25 % i ekulizumab-gruppen, med ett medelvärde (SD) på 1,6 (3,7) och 2,3 (5,4) enheter transfunderat pRBC i krovalimab- respektive ekulizumab-gruppen. PNH-klonstorleken i median vid studiestart (intervallet) för totala erytrocyter, monocyter och granulocyter för krovalimabarmen vs. ekulizumabarmar är följande: 44,6 % (2,6 - 100) vs. 54,2 % (1,3 - 100), 88,6 % (13,8 - 100) vs. 96,4 % (7,6 – 99,9), respektive 88,1 % (5,2 - 100), vs. 95,7 % (7,9 – 99,9).
Av 89 randomiserade patienter utvärderades effekten på ett explorativt sätt hos 76 patienter (n = 39 för krovalimab och n = 37 för ekulizumab), som rekryterades minst 24 veckor före brytdatumet för den primära analysen. Sammantaget visade resultaten av de explorativa effektmåtten att patienter, som bytte till krovalimab från ekulizumab, bibehöll sjukdomskontroll. Den genomsnittliga andelen patienter som bibehöll hemolyskontroll från studiestart till och med vecka 25, var 92,9 % [95 % KI: 86,6; 96,4] för patienter som randomiserats till krovalimab och 93,7 % [95 % KI: 87,3; 97,0] för patienter som randomiserats till ekulizumab. Undvikande av transfusion observerades hos 79,5 % [95 % KI: 63,1; 90,1] av patienterna som randomiserats till krovalimab och 78,4 % [95 % KI: 61,3; 89,6] av patienterna som randomiserats till ekulizumab.
COMMODORE 1 (studie BO42161) och COMMODORE 2 (studie BO42162)- patienter med kliniskt stabilt byte
Supportiva data hos patienter med kliniskt stabilt byte till ekulizumab rapporterades från patienter i COMMODORE 1 (25 effektivitetsutvärderbara patienter) och COMMODORE 2 (29 effektivitetsutvärderbara patienter) som hade behandlats med ekulizumab i minst 24 veckor i den primära behandlingsperioden och hade LDH ≤ 1,5 × ULN vid byte till krovalimab vid studiestart.
Effektiviteten utvärderades hos patienterna som hade minst 24 veckor exponering för krovalimab (eller annars slutade innan de hade uppnått 24 veckor av behandling). Den genomsnittliga andelen kliniskt stabila bytespatienter som bibehöll hemolyskontroll från byte till och med vecka 25 i COMMODORE 1 och COMMODORE 2 var 98,7 % [95 % KI: 96,2, 99,5] respektive 95,3 % [95 % KI: 89,5, 97,9]. Undvikande av transfusion observerades hos 80,0 % [95 % KI: 58,70, 92,39] och 86,2% [95% KI: 67,43, 95,49] av de kliniskt stabila bytespatienterna. Dessa resultat hos kliniskt stabila ekulizumabbytespatienterna överensstämde med resultaten hos randomiserade ekulizumabbytespatienter under den primära behandlingsperioden i COMMODORE 1.
I den icke-randomiserade armen i COMMODORE 1, av de 19 kliniskt stabila patienter som bytte från ravulizumab 95,8 % [95 %KI: 89,11, 98,43] bibehölls hemolyskontroll och för 57,9 % [95 % KI: 33,97, 78,88] av patienterna kunde transfusion undvikas från studiestart till vecka 25.
Immungenicitet
Liksom med alla terapeutiska proteiner finns det en risk för immunsvar mot krovalimab.
Resultat av immungenicitetsanalys är starkt beroende av flera faktorer, inklusive analyskänslighet och specificitet, analysmetod, hantering av prover, tidpunkt för provtagning, samtidiga läkemedel och underliggande sjukdom. Av dessa skäl kan jämförelser mellan förekomsten av antikroppar mot krovalimab och förekomsten av antikroppar mot andra produkter vara missvisande.
I fas III-studien COMMODORE 2, observerades behandlingsorsakade antikroppar mot läkemedlet (ADA) hos 35,0 % (49/140) av de behandlingsnaiva patienter som fick krovalimab och hos 38,2 % (26/68) av de patienter som bytte från behandling med en annan C5-hämmare till krovalimab. Mediantiden till utveckling av första ADA efter studiestart var 16,1 veckor (intervall: 1,1 till 72,3 veckor) och 16,6 veckor (intervall: 2,1 till 36,3 veckor) hos behandlingsnaiva patienter respektive patienter som tidigare behandlats med en annan C5-hämmare. I fas III-studier var förekomsten av behandlingsrelaterade ADA 35,1 % (67 patienter av 191) och 25,4 % (51 patienter av 201) hos behandlingsnaiva respektive patienter som bytte från behandling med en annan C5-hämmare till krovalimab.
I fas III-studier var mediankoncentrationstiderna hos ADA-positiva patienter något lägre jämfört med ADA-negativa patienter. Trots denna effekt förblev koncentrationerna över 100 µg/ml (tröskelvärde för fullständig hämning av terminalt komplement) hos fler än 80 % av ADA-positiva patienter. Förekomst av ADA förknippades inte med kliniskt betydelsefull påverkan på farmakokinetik, farmakodynamik och effekt hos de flesta patienterna. Av 392 patienter, som utvärderades avseende ADA-status, observerades dock partiell eller fullständig förlust av exponering som förknippas med ADA-debut hos 23 patienter (5,9 %); bland dessa hade 17 (4,3 %) ADA-positiva patienter en förlust av farmakologisk aktivitet (baserat på CH50 eller fritt C5), som sammanföll med en förlust av exponering, och ihållande förlust av effekt hos 7 patienter (1,8 %) manifesterad som en förlust av hemolyskontroll. Det fanns inga belägg för att ADA-status skulle ha någon klinisk inverkan på säkerhetsprofilen för Piasky (se avsnitt 4.4 och 4.8).
Pediatrisk population
Tio pediatriska patienter (med kroppsvikt ≥ 40 kg), som behandlades med krovalimab i COMMODORE 2 (n = 7; 13–17 år) och COMMODORE 3 (n = 3; 15–17 år), utvärderades med avseende på effekt.
Nio patienter var behandlingsnaiva och en patient bytte från ekulizumab till krovalimab under förlängningsperioden. Alla pediatriska patienter fick samma dosering som vuxna patienter baserat på kroppsvikt. Alla nio behandlingsnaiva patienter uppnådde hemolyskontroll (definierat som LDH ≤ 1,5 x ULN) vid vecka 4. och detta bibehölls hos sju patienter vid varje besök från studiestart till vecka 25. Patienten som bytte från ekulizumab till krovalimab bibehöll hemolyskontrollen under 24 veckors behandling under förlängningsperioden. Sju av de tio pediatriska patienterna uppnådde undvikande av transfusion och hemoglobinstabilisering, och inga patienter fick en genombrottshemolys under den 24 veckor långa behandlingsperioden.
Totalt sett liknade behandlingseffekten av krovalimab hos pediatriska PNH-patienter den som observerades hos vuxna PNH-patienter.
Europeiska läkemedelsmyndigheten har senarelagt kravet att skicka in studieresultat för Piasky för en eller flera undergrupper av den pediatriska populationen med PNH (information om pediatrisk användning finns i avsnitt 4.2).
Farmakokinetiken för krovalimab har karakteriserats både hos friska forskningspersoner och hos patienter med PNH. Farmakokinetiken karakteriserades med hjälp av icke-linjära farmakokinetiska analysmetoder med blandade effekter, baserat på en poolad databas bestående av nio friska frivilliga forskningspersoner och 210 och 211 behandlingsnaiva patienter och patienter som bytte från tidigare behandling med en annan C5-hämmare till krovalimab.
Koncentrations-/tidsförloppet för krovalimab beskrivs bäst med en öppen två-kompartmentmodell, med första ordningens eliminering och en första ordningens subkutan absorptionskonstant. För att beskriva den övergående ökningen av clearance på grund av bildande av immunkomplex, som observerades hos patienter som bytte från behandling med en annan C5-hämmare till krovalimab, tillades en ytterligare tidsvarierande clearance-parameter, som minskar exponentiellt med tiden. Vid steady state förväntas exponeringen vara likartad hos behandlingsnaiva patienter och patienter som bytt behandling.
Absorption
Konstanten för absorptionshastigheten beräknades vara 0,126 dag-1 [CV%: 38,3]. Efter subkutan administrering uppskattades biotillgängligheten till 83,0 % [CV%: 116].
Distribution
Den centrala distributionsvolymen uppskattades till 3,23 l [CV %: 22,4] och den perifera distributionsvolymen uppskattades till 2,32 l [CV %: 70,6].
Den lilla distributionsvolymen tyder på att krovalimab sannolikt distribueras främst i serum och/eller i kärlrika vävnader.
Metabolism
Metabolismen av krovalimab har inte studerats direkt. IgG-antikroppar kataboliseras huvudsakligen genom lysosomal proteolys och elimineras sedan från eller återanvänds av kroppen.
Eliminering
Clearance uppskattades till 0,0791 l/dag [CV %: 20,6]. Den terminala halveringstiden för krovalimab uppskattades till 53,1 dagar [CV %: 39,9], vilket är längre jämfört med andra humaniserade IgG-antikroppar. Denna långa halveringstid överensstämmer med krovalimabs återvinningsegenskaper.
Särskilda populationer
Inga farmakokinetiska studier med krovalimab har utförts i särskilda populationer. Kroppsvikt visades vara en signifikant kovariat, med clearance och distributionsvolymer som ökade och krovalimabexponering som minskade när kroppsvikten ökade. Doseringen av krovalimab baseras därför på patientens kroppsvikt (se avsnitt 4.2).
Efter inklusion av kroppsvikt i modellen, visade populationsfarmakokinetiska analyser hos patienter med PNH att ålder (13–85 år) och kön inte hade någon betydelsefull inverkan på farmakokinetiken för krovalimab. Ingen ytterligare dosjustering krävs.
Ras/etnicitet påvisades inte heller ha någon påverkan på farmakokinetiken för krovalimab; data är dock begränsade från svarta patienter och anses därför inte konklusiva för denna population.
Äldre
Inga specifika studier har utförts för att undersöka farmakokinetiken för krovalimab hos patienter i åldern ≥ 65 år, men 46 (10,9 %) äldre PNH-patienter inkluderades i kliniska studier, inklusive 35 patienter i åldern 65–74 år, 10 patienter i åldern 75–84 år och 1 patient i åldern ≥ 85 år. Data från kliniska PNH-studier indikerar att exponering hos patienter ≥ 65 år är jämförbar med exponeringen hos yngre patienter i andra åldersgrupper, men på grund av begränsade data för patienter ≥ 85 år är farmakokinetiken för krovalimab hos dessa patienter okänd.
Nedsatt njurfunktion
Inga specifika studier har utförts för att undersöka farmakokinetiken för krovalimab hos patienter med nedsatt njurfunktion, men data från kliniska PNH-studier (62 [14,7 %] patienter med lindrigt nedsatt njurfunktion, 38 [9 %] patienter med måttligt nedsatt njurfunktion och 4 [1 %] patienter med svårt nedsatt njurfunktion) tyder på att exponeringen hos patienter med lindrigt, måttligt eller svårt nedsatt njurfunktion är jämförbar med den hos patienter utan nedsatt njurfunktion. I kliniska PNH-studier erhölls dock begränsade data för patienter med svårt nedsatt njurfunktion.
Nedsatt leverfunktion
Inga dedikerade studier har utförts hos patienter med nedsatt leverfunktion, men data från kliniska PNH-studier tyder på att exponeringen hos patienter med lindrigt nedsatt leverfunktion (46 [11 %] enligt gradering baserat på alaninaminotransferasnivåer) är jämförbar med exponeringen hos patienter utan nedsatt leverfunktion. Begränsade farmakokinetiska data fanns tillgängliga för PNH-patienter med måttligt (0 [0 %]) till svårt (1[0,23 %]) nedsatt leverfunktion, och därför är effekten av måttligt eller svårt nedsatt leverfunktion på farmakokinetiken för krovalimab okänd och inga dosrekommendationer kan ges (se avsnitt 4.2).
Pediatrisk population
Data från 12 pediatriska patienter (13–17 år) i de kliniska PNH-studierna, indikerar att exponering hos pediatriska patienter som är 12 år eller äldre, med en vikt på minst 40 kg, befanns vara jämförbar med exponeringen hos vuxna patienter.
Icke-kliniska data visade inte på några speciella risker med krovalimab-behandling för människor, baserat på konventionella toxicitetsstudier avseende upprepad dosering (inklusive effektmått för säkerhetsfarmakologi) och effekter på reproduktion och utveckling.
Gentoxicitet
Inga studier avseende genotoxisk potential har utförts för krovalimab.
Monoklonala antikroppar förväntas inte interagera direkt med DNA eller annat kromosommaterial.
Carcinogenicitet
Inga studier har utförts avseende carcinogen potential för krovalimab. En bedömning av tillgängliga belägg relaterade till farmakodynamiska effekter och djurtoxikologiska data, tyder inte på carcinogen potential hos krovalimab.
Reproduktiv och utvecklingsmässig toxicitet
Upprepad administrering av krovalimab till dräktiga cynomolgusapor under dräktighetsperioden inducerade ingen toxicitet hos modern och påverkade inte dräktighetens utfall. Inga effekter på ungarnas viabilitet, tillväxt och utveckling observerades under den sex månader långa postnatala perioden.
Fertilitet
Inga effekter på reproduktionsorganen hos han- eller honapor observerades hos cynomolgusapor efter upprepad administrering av krovalimab i upp till sex månader. Inga separata fertilitetsstudier på djur har utförts med krovalimab.
Utspädd lösning för intravenös infusion
Ur mikrobiologisk synvinkel ska den beredda lösningen för intravenös infusion användas omedelbart, såvida inte spädningsmetoden utesluter risken för mikrobiell kontaminering. Om den inte används omedelbart, är tillämpad förvaringstid och förvaringsbetingelser användarens ansvar.
Om den utspädda lösningen bereds under kontrollerade och validerade aseptiska förhållanden, kan läkemedlet förvaras i kylskåp vid 2 till 8 °C och i rumstemperatur (upp till 30 °C). Detaljerade förvaringsanvisningar för den färdigberedda infusionslösningen, beroende på typen av infusionspåse som används, finns i tabell 4.
Tabell 4: Förvaringsförhållanden för infusionslösningen efter beredning under aseptiska förhållanden
Polyolefiner (PO), polyetylen (PE), polypropen (PP), polyvinylklorid (PVC)
Outspädd lösning för subkutan injektion
Ur mikrobiologisk synpunkt bör produkten användas omedelbart. Om den inte används omedelbart är förvaringstid och förvaringsförhållanden före administrering användarens ansvar och ska normalt inte vara längre än 24 timmar vid 2°C - 8°C, såvida inte beredning har skett under kontrollerade och validerade aseptiska förhållanden.
Om Piasky överförs från injektionsflaskan till sprutan under kontrollerade och validerade aseptiska förhållanden, kan läkemedlet i sprutan med lock förvaras i kylskåp (2 °C till 8 °C) i upp till 14 dagar, skyddat från ljus, och i rumstemperatur (upp till 30 °C) i upp till 24 timmar i omgivande ljus.
Piasky-lösning måste skyddas från direkt solljus.
Oöppnad injektionsflaska
Förvaras i kylskåp (2 °C–8 °C).
Får ej frysas.
Förvara injektionsflaskan i ytterkartongen. Ljuskänsligt.
För förvaringsanvisningar för utspädd lösning för intravenös infusion och outspädd lösning för subkutan injektion, se avsnitt 6.3.
Injektions-/infusionsvätska, lösning, i en 2 ml injektionsflaska för engångsbruk (glas av typ I) med en propp (gummi) och en försegling (aluminium).
Varje kartong innehåller en injektionsflaska.
Injektionsflaskan är endast avsedd för engångsbruk.
Piasky används utspädd för intravenös infusion eller outspädd för subkutan injektion.
Piasky ska inspekteras visuellt för att säkerställa att inga partiklar eller missfärgning förekommer före administrering. Piasky är en klar till kraftigt opaliserande och nästan färglös till brungul lösning. Piasky ska kasseras om läkemedlet är grumligt, missfärgat eller innehåller partiklar.
Intravenös administrering
Piasky måste beredas av hälso- och sjukvårdspersonal med aseptisk teknik. Lösningen måste spädas med natriumklorid 9 mg/ml (0,9 %) infusionsvätska, lösning före administrering. Ett 0,2 μm in-line-filter måste användas med infusionssetet under administreringen.
En separat infusionsslang måste användas under intravenös administrering.
Spädning
Dra upp den volym Piasky som behövs från injektionsflaskan (se tabell 5) med en steril spruta och späd i infusionspåsen. Flera injektionsflaskor måste användas för att uppnå den volym av Piasky som ska tillsättas i infusionspåsen. Kassera eventuell överbliven lösning i injektionsflaskan.
Spädning av Piasky i infusionspåsar innehållande natriumklorid 9 mg/ml (0,9 %) infusionsvätska, lösning, måste vara inom intervallet 4–15 mg/ml (slutlig koncentration efter spädning).
Intravenösa infusionspåsar med en volym på 100 ml eller 250 ml kan användas.
Tabell 5: Dosexempel för volymbestämning
* Varje 340 mg injektionsflaska innehåller en nominell fyllnadsvolym på 2,0 ml
Inga inkompatibiliteter har observerats mellan Piasky och intravenösa infusionspåsar med material av polyvinylklorid (PVC) eller polyolefiner (PO), såsom polyeten (PE) och polypropen (PP). Inga inkompatibiliteter har heller observerats med infusionsset eller infusionshjälpmedel som är tillverkade av PVC, PE, polyuretan (PU), polybutadien (PBD), akrylnitrilbutadienstyren (ABS), polykarbonat (PC) eller polytetrafluoreten (PTFE).
Förvaringsanvisningar för infusionspåsar finns i avsnitt 6.3.
Subkutan administrering
Piasky ska användas outspätt och ska beredes med aseptisk teknik. En spruta, en överföringsnål och en injektionsnål behövs för att dra upp Piasky-lösning från injektionsflaskan och injicera den subkutant.
Varje injektion har en volym på 2 ml, motsvarande 340 mg. En 2 ml eller 3 ml spruta ska användas för varje injektion. En dos på 680 mg uppnås genom att utföra två subkutana injektioner om 340 mg i följd. En dos på 1 020 mg uppnås genom att utföra tre subkutana injektioner om 340 mg i följd.
2 ml eller 3 ml spruta
Kriterier: Genomskinlig polypropen- eller polykarbonatspruta med Luer-Lock-spets (om detta inte finns lokalt tillgänglig kan en spruta med Luer-Slip-spets användas), steril, för engångsbruk, latexfri och pyrogenfri.
Överföringsnål
Kriterier: Rostfritt stål, steril, helst 18 G med enkel avfasning om ca 45 grader, för att minska risken för nålsticksskador, eller 21 G standardnål som ett alternativ, för engångsbruk, latexfri och pyrogenfri. En överföringsnål utan filter rekommenderas.
Injektionsnål
Kriterier: Hypodermisk nål, rostfritt stål, steril, 25 G, 26 G eller 27 G, längd från 9 till 13 mm, engångsbruk, latexfri och pyrogenfri, helst inklusive säkerhetsnålskydd.
Se avsnitt 4.2 för ytterligare information om administrering.
Ej använt läkemedel och avfall ska kasseras enligt gällande anvisningar.
Följande punkter ska följas noga vad gäller användning och kassering av sprutor och andra vassa föremål:
Nålar och sprutor ska aldrig återanvändas eller delas med andra.
Placera alla använda nålar och sprutor i en behållare för vassa föremål (punktionssäker engångsbehållare).
Histidin
Asparaginsyra
Argininhydroklorid
Poloxamer 188
Vatten för injektionsvätskor
Detta läkemedel får inte blandas med andra läkemedel förutom de som nämns under avsnitt 6.6.
Oöppnad injektionsflaska
3 år.
Före administrering kan oöppnade injektionsflaskor med Piasky vid behov förvaras utanför kylskåp vid rumstemperatur och sedan ställas tillbaka i kylskåp. Vid temperaturavvikelser utanför 2 °C–8 °C kan den oöppnade injektionsflaskan förvaras vid rumstemperatur (upp till 30 °C) i ytterkartongen under en sammanlagd period på högst sju dagar. Kassera läkemedlet om det har förvarats utanför kylskåp vid rumstemperatur i mer än 7 dagar.
Utspädd lösning för intravenös infusion
Ur mikrobiologisk synvinkel ska den beredda lösningen för intravenös infusion användas omedelbart, såvida inte spädningsmetoden utesluter risken för mikrobiell kontaminering. Om den inte används omedelbart, är tillämpad förvaringstid och förvaringsbetingelser användarens ansvar.
Om den utspädda lösningen bereds under kontrollerade och validerade aseptiska förhållanden, kan läkemedlet förvaras i kylskåp vid 2 till 8 °C och i rumstemperatur (upp till 30 °C). Detaljerade förvaringsanvisningar för den färdigberedda infusionslösningen, beroende på typen av infusionspåse som används, finns i tabell 4.
Tabell 4: Förvaringsförhållanden för infusionslösningen efter beredning under aseptiska förhållanden
Polyolefiner (PO), polyetylen (PE), polypropen (PP), polyvinylklorid (PVC)
Outspädd lösning för subkutan injektion
Ur mikrobiologisk synpunkt bör produkten användas omedelbart. Om den inte används omedelbart är förvaringstid och förvaringsförhållanden före administrering användarens ansvar och ska normalt inte vara längre än 24 timmar vid 2°C - 8°C, såvida inte beredning har skett under kontrollerade och validerade aseptiska förhållanden.
Om Piasky överförs från injektionsflaskan till sprutan under kontrollerade och validerade aseptiska förhållanden, kan läkemedlet i sprutan med lock förvaras i kylskåp (2 °C till 8 °C) i upp till 14 dagar, skyddat från ljus, och i rumstemperatur (upp till 30 °C) i upp till 24 timmar i omgivande ljus.
Piasky-lösning måste skyddas från direkt solljus.
Oöppnad injektionsflaska
Förvaras i kylskåp (2 °C–8 °C).
Får ej frysas.
Förvara injektionsflaskan i ytterkartongen. Ljuskänsligt.
För förvaringsanvisningar för utspädd lösning för intravenös infusion och outspädd lösning för subkutan injektion, se avsnitt 6.3.
Injektions-/infusionsvätska, lösning, i en 2 ml injektionsflaska för engångsbruk (glas av typ I) med en propp (gummi) och en försegling (aluminium).
Varje kartong innehåller en injektionsflaska.
Injektionsflaskan är endast avsedd för engångsbruk.
Piasky används utspädd för intravenös infusion eller outspädd för subkutan injektion.
Piasky ska inspekteras visuellt för att säkerställa att inga partiklar eller missfärgning förekommer före administrering. Piasky är en klar till kraftigt opaliserande och nästan färglös till brungul lösning. Piasky ska kasseras om läkemedlet är grumligt, missfärgat eller innehåller partiklar.
Intravenös administrering
Piasky måste beredas av hälso- och sjukvårdspersonal med aseptisk teknik. Lösningen måste spädas med natriumklorid 9 mg/ml (0,9 %) infusionsvätska, lösning före administrering. Ett 0,2 μm in-line-filter måste användas med infusionssetet under administreringen.
En separat infusionsslang måste användas under intravenös administrering.
Spädning
Dra upp den volym Piasky som behövs från injektionsflaskan (se tabell 5) med en steril spruta och späd i infusionspåsen. Flera injektionsflaskor måste användas för att uppnå den volym av Piasky som ska tillsättas i infusionspåsen. Kassera eventuell överbliven lösning i injektionsflaskan.
Spädning av Piasky i infusionspåsar innehållande natriumklorid 9 mg/ml (0,9 %) infusionsvätska, lösning, måste vara inom intervallet 4–15 mg/ml (slutlig koncentration efter spädning).
Intravenösa infusionspåsar med en volym på 100 ml eller 250 ml kan användas.
Tabell 5: Dosexempel för volymbestämning
* Varje 340 mg injektionsflaska innehåller en nominell fyllnadsvolym på 2,0 ml
Inga inkompatibiliteter har observerats mellan Piasky och intravenösa infusionspåsar med material av polyvinylklorid (PVC) eller polyolefiner (PO), såsom polyeten (PE) och polypropen (PP). Inga inkompatibiliteter har heller observerats med infusionsset eller infusionshjälpmedel som är tillverkade av PVC, PE, polyuretan (PU), polybutadien (PBD), akrylnitrilbutadienstyren (ABS), polykarbonat (PC) eller polytetrafluoreten (PTFE).
Förvaringsanvisningar för infusionspåsar finns i avsnitt 6.3.
Subkutan administrering
Piasky ska användas outspätt och ska beredes med aseptisk teknik. En spruta, en överföringsnål och en injektionsnål behövs för att dra upp Piasky-lösning från injektionsflaskan och injicera den subkutant.
Varje injektion har en volym på 2 ml, motsvarande 340 mg. En 2 ml eller 3 ml spruta ska användas för varje injektion. En dos på 680 mg uppnås genom att utföra två subkutana injektioner om 340 mg i följd. En dos på 1 020 mg uppnås genom att utföra tre subkutana injektioner om 340 mg i följd.
2 ml eller 3 ml spruta
Kriterier: Genomskinlig polypropen- eller polykarbonatspruta med Luer-Lock-spets (om detta inte finns lokalt tillgänglig kan en spruta med Luer-Slip-spets användas), steril, för engångsbruk, latexfri och pyrogenfri.
Överföringsnål
Kriterier: Rostfritt stål, steril, helst 18 G med enkel avfasning om ca 45 grader, för att minska risken för nålsticksskador, eller 21 G standardnål som ett alternativ, för engångsbruk, latexfri och pyrogenfri. En överföringsnål utan filter rekommenderas.
Injektionsnål
Kriterier: Hypodermisk nål, rostfritt stål, steril, 25 G, 26 G eller 27 G, längd från 9 till 13 mm, engångsbruk, latexfri och pyrogenfri, helst inklusive säkerhetsnålskydd.
Se avsnitt 4.2 för ytterligare information om administrering.
Ej använt läkemedel och avfall ska kasseras enligt gällande anvisningar.
Följande punkter ska följas noga vad gäller användning och kassering av sprutor och andra vassa föremål:
Nålar och sprutor ska aldrig återanvändas eller delas med andra.
Placera alla använda nålar och sprutor i en behållare för vassa föremål (punktionssäker engångsbehållare).
Produktresumén är företagets information om läkemedlet riktat till förskrivare och personal inom sjukvård och apotek. Dokumentet är godkända av Läkemedelsverket eller den europeiska läkemedelsmyndigheten EMA i samband med att läkemedlet godkänns för marknadsföring.