Ituxredi 100 mg koncentrat till infusionsvätska, lösning
Ituxredi 500 mg koncentrat till infusionsvätska, lösning
Koncentrat till infusionsvätska, lösning
Klar till opalescent, färglös till gulaktig vätska med pH-värde på 6,3 - 6,7 och osmolalitet på 324 - 396 mOsm/kg.
Reddy Holding GmbH
Kobelweg 95
86156 Augsburg
Tyskland
EU/1/24/1861/001
EU/1/24/1861/002
EU/1/24/1861/003
EU/1/24/1861/004
Första godkännandet: 2024-09-19
2024-09-19. Ytterligare information om detta läkemedel finns på Europeiska läkemedelsmyndighetens webbplats http://www.ema.europa.eu/.
Produktresumén är företagets information om läkemedlet riktat till förskrivare och personal inom sjukvård och apotek. Dokumentet är godkända av Läkemedelsverket eller den europeiska läkemedelsmyndigheten EMA i samband med att läkemedlet godkänns för marknadsföring.
En injektionsflaska med 50 ml innehåller 11,4 mmol (261,2 mg) natrium.
För fullständig förteckning över hjälpämnen, se avsnitt 6.1.
Ituxredi 100 mg koncentrat till infusionsvätska, lösning
Varje ml innehåller 10 mg rituximab.
En injektionsflaska med 10 ml innehåller 100 mg rituximab.
Ituxredi 500 mg koncentrat till infusionsvätska, lösning
Varje ml innehåller 10 mg rituximab.
En injektionsflaska med 50 ml innehåller 500 mg rituximab.
Rituximab är en genetiskt framställd chimär mus/human monoklonal antikropp som består av ett glykosylerat immunglobulin med humana IgG1 konstanta regioner och murina variabla regioner av de lätta och tunga kedjorna. Antikroppen produceras av mammalie- (ovarium från kinesisk hamster) cellsuspensionskultur och renas med affinitetskromatografi och jonbytare, samt specifik viral inaktivering och reningssteg.
Hjälpämnen med känd effekt:
En injektionsflaska med 10 ml innehåller 2,3 mmol (52,2 mg) natrium.
En injektionsflaska med 50 ml innehåller 11,4 mmol (261,2 mg) natrium.
För fullständig förteckning över hjälpämnen, se avsnitt 6.1.
Kronisk lymfatisk leukemi (KLL)
Rituximab i kombination med kemoterapi är indicerat vid tidigare obehandlad KLL och vid återfall eller refraktär sjukdom. Endast begränsade data finns tillgängliga avseende effekt och säkerhet för patienter som tidigare behandlats med monoklonala antikroppar inklusive rituximab, eller för patienter refraktära till tidigare behandling med rituximab plus kemoterapi.
Se avsnitt 5.1 för ytterligare information.
Reumatoid artrit
Rituximab i kombination med metotrexat är indicerat för behandling av vuxna patienter med svår aktiv reumatoid artrit som har haft ett otillräckligt svar eller är intoleranta mot andra sjukdomsmodifierande antireumatiska läkemedel (DMARD) inklusive behandling med en eller flera tumörnekrosfaktor (TNF) hämmare.
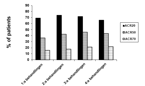
Rituximab har visats bromsa utvecklingen av leddestruktion mätt med röntgen och förbättra den fysiska funktionen när det ges i kombination med metotrexat.
Granulomatos med polyangit och mikroskopisk polyangit
Rituximab i kombination med glukokortikoider är indicerat för behandling av vuxna patienter med svår aktiv granulomatos med polyangit (Wegeners) (GPA) och mikroskopisk polyangit (MPA).
Rituximab i kombination med glukokortikoider är indicerat för induktion av remission hos barn (ålder ≥ 2 år till < 18 år) med svår, aktiv GPA (Wegeners) och MPA.
Pemfigus vulgaris
Rituximab är indicerat för behandling av patienter med måttlig till svår pemfigus vulgaris (PV).
Rituximab ska administreras under noggrann övervakning av en erfaren sjukvårdspersonal och i en miljö där det finns omedelbar tillgång till fullständig återupplivningsutrustning (se avsnitt 4.4).
Premedicinering och profylaktisk medicinering
Premedicinering bestående av ett antipyretikum och ett antihistaminläkemedel, t ex. paracetamol och difenhydramin, bör alltid administreras före varje administrering med rituximab.
För vuxna patienter med non-Hodgkins lymfom och kronisk lymfatisk leukemi bör premedicinering med glukokortikoider övervägas om rituximab inte ges i kombination med glukokortikoidinnehållande kemoterapi.
Hos pediatriska patienter med non-Hodgkins lymfom bör premedicinering med paracetamol och H1- antihistamin (= difenhydramin eller motsvarande) administreras 30 till 60 minuter innan infusionen av rituximab påbörjas. I tillägg bör prednison ges enligt tabell 1.
Profylax med adekvat hydrering och administrering av medel som minskar urinsyraproduktionen bör påbörjas 48 timmar innan behandlingen påbörjas för KLL-patienter för att minska risken för tumörlyssyndrom. För KLL-patienter vars lymfocytnivåer är >25 x 109/l rekommenderas att administrera prednison/prednisolon 100 mg intravenöst strax innan infusion med rituximab för att minska frekvensen och svårighetsgraden av akuta infusionsreaktioner och/eller cytokinfrisättningssyndrom.
Patienter med reumatoid artrit, GPA eller MPA eller pemfigus vulgaris bör ha premedicinerats med 100 mg intravenöst metylprednisolon 30 minuter före varje infusion av rituximab för att minska förekomsten och svårighetsgraden av infusionsrelaterade reaktioner.
För vuxna patienter patienter med GPA eller MPA rekommenderas metylprednisolon intravenöst under 1-3 dagar i dosen 1000 mg per dag innan den första infusionen av rituximab (den sista dosen av metylprednisolon kan ges på samma dag som den första infusionen av rituximab). Detta bör efterföljas av peroralt prednison i dosen 1 mg/kg/dag (högst 80 mg/dag med en så snabb nedtrappning som möjligt baserad på det kliniska behovet) under och efter den 4 veckor långa induktionsbehandlingen med rituximab.
Profylax mot Pneumocystis jiroveci pneumoni (PJP) rekommenderas för vuxna patienter med GPA/MPA eller PV under och efter behandling med rituximab, som lämpligt enligt lokala riktlinjer och klinisk praxis.
Pediatrisk population
Pediatriska patienter med GPA eller MPA ska ges metylprednisolon intravenöst i tre dagliga doser om 30 mg/kg/dag (dosen ska inte överstiga 1 g/dag) innan den första intravenösa infusionen av rituximab, för att behandla allvarliga vaskulitsymptom. Upp till ytterligare tre doser på 30mg/kg/dag kan ges innan den första infusionen av rituximab.
Efter avslutad administrering av intravenöst metylprednisolon ska patienter få oralt prednison 1 mg/kg/dag (dosen ska inte överstiga 60 mg/dag). Dosen ska trappas ut så snabbt som möjligt enligt kliniskt behov (se avsnitt 5.1).
Profylax mot Pneumocystis jiroveci pneumoni (PJP) rekommenderas för pediatriska patienter med GPA eller MPA under och efter behandling med rituximab, enligt vad som är lämpligt.
Dosering
Det är viktigt att kontrollera produktens märkning för att säkerställa att korrekt formulering (intravenös eller subkutan formulering) ges till patienten så som förskrivet.
Non-Hodgkins lymfom
Follikulära non-Hodgkins lymfom
Kombinationsbehandling
Den rekommenderade dosen av rituximab givet i kombination med kemoterapi för induktionsbehandling av tidigare obehandlade patienter eller patienter med relapserade/refraktära follikulära lymfom är: 375 mg/m2 kroppsyta per behandlingscykel upp till 8 behandlingscykler. Rituximab bör ges dag 1 i varje behandlingscykel efter intravenös administrering av glukokortikoidkomponenten i kemoterapin om möjligt.
Underhållsbehandling
• Tidigare obehandlat follikulärt lymfom
Den rekommenderade dosen av rituximab givet som underhållsbehandling till patienter med tidigare obehandlat follikulärt lymfom som har svarat på induktionsbehandling är: 375 mg/m2 kroppsyta givet en gång varannan månad (med start 2 månader efter senaste dos av induktionsbehandlingen) till sjukdomsprogression eller under maximalt två år (totalt 12 infusioner).
• Relapserade/refraktära follikulära lymfom
Den rekommenderade dosen av rituximab givet som underhållsbehandling till patienter med relapserade/refraktära follikulära lymfom som har svarat på induktionsbehandling är: 375 mg/m² kroppsyta givet en gång var tredje månad (med start 3 månader efter senaste dos av induktionsbehandlingen) till sjukdomsprogression eller under maximalt två år (totalt 8 infusioner).
Monoterapi
• Relapserade/refraktära follikulära lymfom
Den rekommenderade dosen av rituximab givet som monoterapi för induktionsbehandling av vuxna patienter med stadium III-IV follikulära lymfom som är kemoterapiresistenta eller har minst sitt andra recidiv efter kemoterapi är: 375 mg/m² kroppsyta, givet som en intravenös infusion en gång per vecka i fyra veckor.
För förnyad behandling med rituximab givet som monoterapi till patienter som svarat på tidigare behandling med rituximab givet som monoterapi vid relapserade/refraktära follikulära lymfom är den rekommenderade dosen: 375 mg/m² kroppsyta, givet som en intravenös infusion en gång per vecka i fyra veckor (se avsnitt 5.1).
Diffusa storcelliga B-cells non-Hodgkins lymfom hos vuxna
Rituximab skall användas i kombination med CHOP. Den rekommenderade dosen är 375 mg/m2 kroppsyta, givet dag 1 i varje behandlingscykel efter intravenös infusion av glukokortikoidkomponenten i CHOP, och under 8 behandlingscykler. Säkerhet och effekt av Rituximab har ej visats i kombination med annan kemoterapi vid diffusa storcelliga B-cells non- Hodgkins lymfom.
Dosjusteringar under behandling
Ingen dosjustering av rituximab rekommenderas. När rituximab ges i kombination med kemoterapi, bör standardiserade dosjusteringar för de kemoterapeutiska läkemedlen tillämpas.
Kronisk lymfatisk leukemi
Den rekommenderade dosen av rituximab i kombination med kemoterapi vid tidigare obehandlad KLL och vid återfall/refraktär sjukdom är 375 mg/m2 kroppsyta administrerat dag 0 i den första behandlingscykeln följt av 500 mg/m2 kroppsyta administrerat på dag 1 varje efterföljande cykel, totalt 6 cykler. Kemoterapin bör ges efter rituximab-infusionen.
Reumatoid artrit.
Patienter som behandlas med rituximab måste få patientkortet vid varje infusion.
En behandlingsomgång med rituximab består av två intravenösa infusioner à 1000 mg. Den rekommenderade doseringen är 1000 mg som intravenös infusion följt av en andra infusion om 1000 mg två veckor senare.
Behovet av flera behandlingsomgångar bör utvärderas 24 veckor efter föregående behandlingsomgång. Behandling bör upprepas vid detta tillfälle om sjukdomsaktivitet kvarstår, i annat fall bör behandlingen sättas in igen då sjukdomsaktiviteten återkommer. Tillgängliga data tyder på att kliniskt svar vanligen uppnås inom 16-24 veckor efter påbörjad behandling. För patienter som inte svarat på behandlingen inom denna period bör fortsatt behandling noggrant övervägas.
Granulomatos med polyangit (GPA) och mikroskopisk polyangit (MPA)
Patienter som behandlas med rituximab måste få patientkortet vid varje infusion.
Induktion av remission hos vuxna patienter
Den rekommenderade dosen av rituximab för induktion av remission hos vuxna patienter med GPA och MPA är 375 mg/m2 kroppsyta, givet som en intravenös infusion en gång per vecka under 4 veckor (fyra infusioner totalt).
Underhållsbehandling av vuxna patienter
Efter induktion av remission med rituximab bör inte underhållsbehandling hos vuxna patienter med GPA och MPA initieras tidigare än 16 veckor efter den sista infusionen av rituximab.
Efter induktion av remission med annan immunsuppressiv standardbehandling bör underhållsbehandling med rituximab initieras under den 4-veckorsperiod som följer remission av sjukdomen.
Rituximab bör administreras som två intravenösa 500 mg-infusioner med två veckors mellanrum, efterföljt av en intravenös 500 mg-infusion var 6:e månad därefter. Patienter bör få rituximab i minst 24 månader efter att remission uppnåtts (avsaknad av kliniska tecken och symtom). För patienter som har högre risk för återfall bör läkarna överväga en längre duration av underhållsbehandling med rituximab, upp till 5 år.
Pemfigus vulgaris
Patienter som behandlas med rituximab måste få patientkortet vid varje infusion.
Den rekommenderade dosen av rituximab för behandling av pemfigus vulgaris är 1000 mg administrerat som en intravenös infusion efterföljt av en andra intravenös infusion på 1000 mg två veckor senare, i kombination med nedtrappning av glukokortikoider.
Underhållsbehandling
En intravenös underhållsinfusion på 500 mg bör administreras efter 12 samt 18 månader och därefter var 6:e månad efter behov, baserat på klinisk bedömning.
Behandling av återfall
Vid återfall kan 1000 mg ges intravenöst. Förskrivaren bör också överväga att återuppta eller öka patientens glukokortikoiddos, baserat på klinisk bedömning.
Efterföljande infusioner bör inte administreras tidigare än 16 veckor efter förgående infusion.
Särskilda patientgrupper
Pediatrisk population
Non-Hodgkins lymfom
Hos pediatriska patienter från ≥ 6 månader till < 18 års ålder med tidigare obehandlat avancerat stadium av CD20-positiv DLBCL/BL/BAL/BLL, ska rituximab användas i kombination med systemisk kemoterapi Lymfom Malin B (LMB) (se tabell 1 och 2). Den rekommenderade dosen av rituximab är 375 mg/m2 kroppsyta administrerat som en intravenös infusion. Ingen dosjustering av rituximab, annat än för kroppsyta, är nödvändig.
Säkerheten och effekten av rituximab hos pediatriska patienter ≥ 6 månader till < 18 års ålder har ännu ej fastställts för andra indikationer än vid tidigare obehandlat avancerat stadium av CD20-positiv DLBCL/BL/BAL/BLL. Endast begränsade data finns tillgängliga för patienter under 3 års ålder. Se avsnitt 5.1 för ytterligare information.
Rituximab ska inte användas hos pediatriska patienter från födsel till < 6 månaders ålder med CD20- positivt diffust storcelligt B-cellslymfom (se avsnitt 5.1).
Tabell 1 Dosering av rituximab-administrering hos pediatriska patienter med Non- Hodgkins lymfom
Tabell 2 Behandlingsplan för Non-Hodgkins lymfom, pediatriska patienter: Kemoterapi tillsammans med rituximab
Granulomatos med polyangit (GPA) och mikroskopisk polyangit (MPA)
Induktion av remission
Den rekommenderade dosen av rituximab för induktion av remission hos pediatriska patienter med svår, aktiv GPA och MPA är 375 mg/m2 kroppsyta, givet som en intravenös infusion en gång per vecka under 4 veckor.
Säkerheten och effekten av rituximab hos barn (ålder ≥ 2 år till < 18 år) har ej fastställts för andra indikationer än svår, aktiv GPA eller MPA.
Rituximab ska inte användas hos patienter yngre än 2 års ålder som har svår, aktiv GPA eller MPA. Det finns risk för ett otillräckligt immunsvar mot barnvaccinationer som används för att förebygga vanliga barnsjukdomar (exempelvis mässlingen, påssjuka, rödahund och polio) (se avsnitt 5.1).
Äldre
Ingen dosjustering krävs hos äldre patienter (> 65 år).
Administreringssätt
Den beredda rituximab-lösningen ska ges som en intravenös infusion genom en där för avsedd infusionskanal. Administrera inte den beredda infusionslösningen som intravenös injektion eller som bolusinfusion.
Patienter skall noggrant övervakas med avseende på cytokinfrisättningssyndrom (se avsnitt 4.4). Om patienten utvecklar symtom på svåra reaktioner, särskilt svår dyspné, bronkospasm eller hypoxi, skall infusionen omedelbart avbrytas. Patienter med non-Hodgkins lymfom skall då utvärderas med avseende på tecken på tumörlyssyndrom, inklusive lämpliga laboratorietester, och med avseende på lunginfiltrat med lungröntgen. För alla patienter gäller att infusionen inte ska återupptas förrän symtomen avklingat fullständigt och det skett en normalisering av laboratorievärden och lungröntgenfynd. När så är fallet kan infusionen återupptas igen med högst halva den föregående infusionshastigheten. Om samma svåra reaktioner uppträder en andra gång bör definitivt behandlingsavbrott noggrant övervägas från fall till fall.
Milda eller måttliga infusionsrelaterade reaktioner (se avsnitt 4.8) svarar ofta på en minskning av infusionshastigheten. Infusionshastigheten kan ökas vid förbättring av symtomen.
Första infusionen
Den rekommenderade inledande infusionshastigheten är 50 mg/timme. Efter de första 30 minuterna kan hastigheten gradvis ökas med 50 mg/timme var 30:e minut till maximalt 400 mg/timme.
Efterföljande infusioner
För alla indikationer
Efterföljande infusioner av rituximab kan ges med en inledande infusionshastighet av 100 mg/timme och ökas med 100 mg/timme var 30:e minut, till maximalt 400 mg/timme.
Pediatriska patienter - non-Hodgkins lymfom
Första infusionen
Den rekommenderade inledande infusionshastigheten är 0,5 mg/kg/timme (maximalt 50 mg/timme); som kan ökas med 0,5 mg/kg/timme var 30:e minut om ingen överkänslighetsreaktion eller infusionsrelaterad reaktion uppstår, till maximalt 400 mg/timme.
Efterföljande infusioner
Efterföljande infusioner av rituximab kan ges med en inledande infusionshastighet av 1 mg/kg/timme (maximalt 50 mg/timme) och kan ökas med 1 mg/kg/timme var 30:e minut, till maximalt 400 mg/timme.
Endast för reumatoid artrit
Alternativa efterföljande infusioner med snabbare administreringsschema
Om patienter inte upplevde en allvarlig infusionsrelaterad reaktion under deras första eller efterföljande infusioner med en dos på 1000 mg rituximab som administrerades enligt ordinarie administreringsschema, kan en snabbare infusion ges vid den andra och efterföljande infusioner med samma koncentration som vid tidigare infusioner (4 mg/ml i 250 ml volym). Inled med en hastighet av 250 mg/timme under de första 30 minuterna och sedan 600 mg/timme under de efterföljande 90 minuterna. Om den snabbare infusionen tolereras kan samma administreringsschema användas för efterföljande infusioner.
Patienter med kliniskt signifikant kardiovaskulär sjukdom, inklusive arytmier, eller tidigare allvarliga infusionsreaktioner mot något annat biologiskt läkemedel eller mot rituximab, bör inte få den snabbare infusionen.
Kontraindikationer vid användning vid non-Hodgkins lymfom och kronisk lymfatisk leukemi
Överkänslighet mot den aktiva substansen eller mot murina proteiner, eller mot något annat hjälpämne som anges i avsnitt 6.1.
Aktiva, svåra infektioner (se avsnitt 4.4).
Patienter med svår immunsuppression.
Kontraindikationer vid användning vid reumatoid artrit, granulomatos med polyangit, mikroskopisk polyangit och pemfigus vulgaris
Överkänslighet mot den aktiva substansen eller mot murina proteiner, eller mot något annat hjälpämne som anges i avsnitt 6.1.
Aktiva, svåra infektioner (se avsnitt 4.4).
Patienter med svår immunsuppression.
Svår hjärtsvikt (New York Heart Association klass IV) eller svår okontrollerad hjärtsjukdom (se avsnitt 4.4 gällande andra hjärtsjukdomar).
Spårbarhet
För att förbättra spårbarheten av biologiska läkemedel ska produktnamnet och batchnumret (Sats/Lot) på det administrerade läkemedlet tydligt noteras.
Progressiv multifokal leukoencefalopati
Samtliga patienter som behandlas med rituximab för reumatoid artrit, GPA, MPA eller pemfigus vulgaris måste få patientkortet vid varje infusion. Patientkortet innehåller viktig säkerhetsinformation till patienten gällande möjligt ökad risk för infektioner, inklusive progressiv multifokal leukoencefalopati (PML).
Mycket sällsynta fall av dödlig PML har rapporterats till följd av användning av rituximab. Patienter måste övervakas med regelbundna intervaller för nya eller förvärrade neurologiska symtom eller tecken som kan tyda på PML. Om PML misstänks, måste fortsatt dosering avbrytas tills dess att PML har uteslutits. Läkaren ska utvärdera patienten för att avgöra om symtomen visar på neurologisk nedsättning, och om så är fallet, om dessa symtom möjligen skulle kunna tyda på PML. Konsultation med en neurolog bör övervägas om det är kliniskt indicerat.
Om det finns några tvivel, ska ytterligare utredning, inklusive MRI företrädelsevis med kontrast, cerebrospinalvätska (CSF) test för JC-virus DNA och upprepade neurologiska utredningar, övervägas.
Läkaren ska vara särskilt observant på symtom som tyder på PML som patienten kanske inte märker själv (t.ex. kognitiva, neurologiska eller psykiatriska symtom). Patienter ska också få rådet att informera sin partner eller vårdgivare om sin behandling, eftersom de kan upptäcka symtom som patienten inte själv är medveten om.
Om en patient utvecklar PML, måste doseringen av rituximab upphöra permanent.
Efter återställande av immunsystemet hos immunförsvagde patienter med PML, har stabilisering eller förbättring setts. Det är fortfarande okänt om tidig upptäckt av PML och avbruten rituximab- behandling kan leda till liknande stabilisering eller förbättring.
Non-Hodgkins lymfom och kronisk lymfatisk leukemi
Infusionsrelaterade reaktioner
Rituximab associeras med infusionsrelaterade reaktioner, vilka kan vara relaterade till frisättning av cytokiner och/eller andra kemiska mediatorer. Cytokinfrisättningssyndrom kan kliniskt sett vara svårskiljbara från akuta överkänslighetsreaktioner.
Dessa reaktioner som inkluderar cytokinfrisättningssyndrom, tumörlyssyndrom och anafylaktiska och överkänslighetsreaktioner, beskrivs nedan. De är inte specifikt relaterade till administreringssättet av Rituximab och kan observeras med båda formuleringarna.
Efter marknadsintroduktionen av den intravenösa formuleringen av rituximab har allvarliga infusionsrelaterade reaktioner med dödlig utgång rapporterats, vilka inträder från 30 minuter till 2 timmar efter start av den första intravenösa infusionen med rituximab. Dessa reaktioner kännetecknades av pulmonella händelser och i vissa fall snabb tumörlys och tecken på tumörlyssyndrom i tillägg till feber, frossa, stelhet, hypotension, urtikaria, angioödem och andra symtom (se avsnitt 4.8 ).
Allvarligt cytokinfrisättningssyndrom karakteriseras av svår dyspné ofta förenad med bronkospasm och hypoxi. Dessutom förekommer feber, frossa, stelhet, urtikaria och angioödem. Syndromet kan uppvisa tecken som vid tumörlyssyndrom såsom hyperurikemi, hyperkalemi, hypokalcemi, hyperfosfatemi, akut njurinsufficiens och laktatdehydrogenas (LDH)-stegring. Syndromet kan också vara associerat med akut andningsinsufficiens och leda till döden. Med den akuta respiratoriska svikten kan pulmonella lunginfiltrat och ödem förekomma (fynd vid lungröntgen). Syndromet uppkommer vanligen inom en till två timmar efter att första infusionen påbörjats. Patienter med känd lunginsufficiens eller med tumörinfiltrat i lungorna kan löpa större risk och skall behandlas med stor försiktighet. Infusionen skall omedelbart avbrytas om patienten utvecklar symtom på svår cytokinfrisättning (se avsnitt 4.2) och ges optimal symtomatisk behandling. Då en initial förbättring av kliniska symtom kan följas av en försämring av tillståndet skall dessa patienter kontrolleras noga tills tecken på tumörlyssyndrom och lunginfiltrat försvunnit eller uteslutits. Det är ovanligt att upprepad behandling av patienter, vars reaktioner helt gått tillbaka, på nytt gett upphov till allvarligt cytokinfrisättningssyndrom.
Patienter med stor tumörbörda eller ett stort antal (≥ 25 x 109/l) cirkulerande maligna celler så som patienter med KLL, vilka kan löpa större risk för utveckling av särskilt allvarligt cytokinfrisättningssyndrom, bör behandlas med yttersta försiktighet. Dessa patienter måste övervakas mycket noggrant under den första infusionen. För dessa patienter bör man överväga en reducerad infusionshastighet under den första infusionen eller en delad dosering under två dygn under den första cykeln och de efterföljande cyklerna om antalet lymfocyter fortfarande är >25 x 109/l.
Infusionsrelaterade biverkningar av alla typer har observerats hos 77% av patienterna behandlade med rituximab (inklusive cytokinfrisättningssyndrom med hypotension och bronkospasm hos 10 % av patienterna), se avsnitt 4.8. Dessa symtom är vanligtvis reversibla efter avbrytande av infusionen och följt av behandling med ett antipyretikum och ett antihistamin. I vissa fall kan behandling med syrgas, koksaltinfusion, bronkdilaterare och glukokortikoider behövas. För svåra reaktioner hänvisas till texten ovan om cytokinfrisättningssyndromet.
Anafylaktiska och andra överkänslighetsreaktioner har rapporterats efter intravenös administrering av proteiner till patienter. Typiskt för dessa reaktioner är att de, i motsats till cytokinfrisättningssyndromet, inträffar inom några minuter efter det att infusionen påbörjats. Läkemedel för behandling av överkänslighetsreaktioner, som t ex epinefrin (adrenalin), antihistaminer och glukokortikoider, skall finnas tillgängliga för akut insättande i händelse av en allergisk reaktion orsakad av rituximab. Kliniska tecken på anafylaxi kan likna de vid ett cytokinfrisättningssyndrom (se ovan). Reaktioner som hänför sig till överkänslighet har rapporterats mindre frekvent än de som relateras till cytokinfrisättning.
I vissa fall rapporterades ytterligare reaktioner vilka var hjärtinfarkt, förmaksflimmer, lungödem och akut reversibel trombocytopeni.
Eftersom hypotension kan inträffa vid administrering av rituximab bör utsättning av antihypertensiva läkemedel övervägas 12 timmar före rituximab-infusionen.
Hjärtat
Angina pectoris, hjärtarytmier såsom förmaksfladder och -flimmer, hjärtsvikt och hjärtinfarkt har förekommit hos patienter behandlade med rituximab. Patienter med kardiell anamnes och/eller som behandlats med kardiotoxisk kemoterapi ska övervakas noga.
Hematologisk toxicitet
Även om rituximab i monoterapi inte är myelosuppressiv, skall försiktighet iakttas då behandling av patienter med neutrofiler < 1,5 x 109/l och/eller trombocyter < 75 x 109/l övervägs, eftersom klinisk erfarenhet från denna patientgrupp är begränsad. Rituximab har använts av 21 patienter som har genomgått autolog benmärgstransplantation och av andra riskgrupper med en förmodad reducerad benmärgsfunktion utan att inducera myelotoxicitet.
Regelbunden komplett blodstatus, inklusive neutrofil- och trombocyträkning, bör genomföras vid rituximab-behandling.
Infektioner
Allvarliga infektioner, inklusive de med dödlig utgång, kan inträffa vid behandling med rituximab (se avsnitt 4.8). Rituximab ska inte administreras till patienter med en aktiv svår infektion (t.ex. tuberkulos, sepsis och oppotunistiska infektioner, se avsnitt 4.3).
Läkare ska iaktta försiktighet vid övervägande av användning av rituximab på patienter med en anamnes av återkommande eller kroniska infektioner eller med bakomliggande tillstånd som ytterligare kan öka mottagligheten för allvarliga infektioner (se avsnitt 4.8).
Fall av hepatit B-reaktivering inklusive fulminant hepatit med dödlig utgång har rapporterats hos personer som fått rituximab. Majoriteten av dessa personer var dock även exponerade för cytostatika. Begränsad information från en studie hos patienter med återfall/refraktär kronisk lymfatisk leukemi antyder att rituximab-behandling även kan försämra utfallet av primära hepatit B-infektioner. Screening för hepatit B-virus (HBV) ska utföras hos alla patienter innan behandling med rituximab inleds. Screening bör åtminstone omfatta HBsAg-status och antiHBc-status, vilka kan kompletteras med andra lämpliga markörer enligt lokala riktlinjer. Patienter med aktiv hepatit B-infektion bör inte behandlas med rituximab. Patienter med positiv hepatit B-serologi (antingen HBsAg eller antiHBc) ska konsultera experter på leversjukdomar innan behandling startas och ska övervakas samt omhändertas enligt lokala medicinska riktlinjer för att förhindra hepatit B-reaktivering.
Mycket sällsynta fall av progressiv multifokal leukoencefalopati (PML) har rapporterats efter marknadsintroduktionen av rituximab vid behandling av non-Hodgkins lymfom (NHL) och kronisk lymfatisk leukemi (KLL) (se avsnitt 4.8). Majoriteten av patienterna hade fått rituximab i kombination med kemoterapi eller som en del av en hematopoetisk stamcellstransplantation.
Fall av enteroviral meningoencefalit, inklusive dödsfall, har rapporterats efter användning av rituximab.
Falskt negativ serologisk testning av infektioner
På grund av risken för falskt negativa serologiska tester av infektioner bör alternativa diagnostiska verktyg övervägas hos patienter som uppvisar symtom som tyder på sällsynt infektionssjukdom, t.ex. West Nile-virus och neuroborrelios.
Immunisering
Säkerheten vid immunisering med levande virala vacciner efter behandling med rituximab har inte studerats hos patienter med NHL och KLL och vaccination med levande virusvacciner rekommenderas inte. Patienter som behandlas med rituximab kan få vaccinationer med avdödade vacciner. Svarsfrekvensen kan emellertid vara lägre med avdödade vacciner. I en icke randomiserad studie, hade vuxna patienter med relapserad låggradig NHL, som fick rituximab i monoterapi vid jämförelse med friska obehandlade kontroller, lägre svarsfrekvens på stelkrampsvaccination (16 % jämfört med 81 %) och Keyhole Limpet-hemocyanin (KLH) neoantigen (4 % jämfört med 76 % vid en uppskattning av >2 gånger så stor ökning i antikroppstiter). För patienter med KLL är resultaten troligen liknande med tanke på likheterna mellan de båda sjukdomarna, men detta har inte studerats i kliniska studier.
Medelvärdet av pre-terapeutisk antikroppstiter mot en rad olika antigener (streptokockpneumoni, influensa A, påssjuka, röda hund, vattkoppor) kvarstod under minst 6 månader efter behandling med rituximab.
Hudreaktioner
Svåra hudreaktioner såsom toxisk epidermal nekrolys (Lyells syndrom) och Stevens-Johnsons syndrom, varav några fall med dödlig utgång, har rapporterats (se avsnitt 4.8). Om reaktionerna misstänks kunna associeras till rituximab bör behandlingen sättas ut permanent.
Pediatrisk population
Endast begränsade data finns tillgängliga för patienter under 3 års ålder. Se avsnitt 5.1 för ytterligare information.
Reumatoid artrit, granulomatos med polyangit (GPA) och mikroskopisk polyangit (MPA) och pemfigus vulgaris
Metotrexat (MTX) naiva populationer med reumatoid artrit
Rituximab rekommenderas inte för behandling av metotrexat-naiva patienter då en gynnsam risk/nytta-balans inte kunnat visas.
Infusionsrelaterade reaktioner
Rituximab är förknippat med infusionsrelaterade reaktioner (IRR), vilka kan vara relaterade till frisättning av cytokiner och/eller andra kemiska mediatorer.
Svåra infusionsrelaterade reaktioner med fatal utgång har rapporterats hos patienter med reumatoid artrit efter marknadsgodkännande. Vid reumatoid artrit var majoriteten av infusionsrelaterade händelser som rapporterades i kliniska studier, milda till måttliga i svårighetsgrad. Vanligaste symtomen var allergiska reaktioner såsom huvudvärk, pruritus, halsirritation, rodnad, hudutslag, urtikaria, hypertoni samt feber. I allmänhet var andelen patienter som fick infusionsrelaterade reaktioner större under första infusionen än under andra infusionen i varje behandlingsomgång. Incidensen av IRR minskade vid upprepade behandlingsomgångar (se avsnitt 4.8). De rapporterade reaktionerna var vanligen reversibla vid en minskning i hastighet, eller avbrott, av rituximab- infusionen och administrering av ett antipyretikum, ett antihistamin och i vissa fall syrgas, intravenös koksaltlösning eller bronkdilaterare, samt vid behov glukokortikoider. Patienter med redan existerande hjärtproblem samt de som tidigare upplevt kardiopulmonära biverkningar ska monitoreras noga.
Beroende på svårighetsgraden av den infusionsrelaterade reaktionen och nödvändiga åtgärder sätts rituximab ut temporärt eller permanent. I de flesta fall kan infusionen återupptas med en 50 % -ig minskning i infusionshastighet (t ex från 100 mg/timme till 50 mg/timme) då symtomen helt har avklingat.
Läkemedel för behandling av överkänslighetsreaktioner som t ex epinefrin (adrenalin), antihistaminer och glukokortikoider, ska finnas tillgängliga för omedelbar användning om en allergisk reaktion skulle inträffa under administrering med rituximab.
Det finns inga data avseende säkerheten av rituximab hos patienter med måttlig hjärtsvikt (NYHA klass III) eller svår okontrollerad kardiovaskulär sjukdom. Hos patienter behandlade med rituximab har man observerat att kända ischemiska hjärttillstånd blivit symtomatiska, såsom angina pectoris och även förmaksflimmer och förmaksfladder. Därför bör risken för att patienter med känd hjärtsjukdom samt de som tidigare upplevt kardiopulmonära biverkningar, ska få kardiovaskulära komplikationer som ett resultat av infusionsreaktioner tas i beaktande innan behandling med rituximab inleds och patienterna bör övervakas noga under administreringen. Eftersom hypotension kan inträffa under rituximab-infusion bör man överväga att avstå från att ge antihypertensiv behandling 12 timmar före rituximab-infusionen.
Infusionsrelaterade reaktioner hos patienter med GPA, MPA och pemfigus vulgaris överensstämde med dem som sågs hos patienter med reumatoid artrit i kliniska studier och efter marknadsintroduktionen (se avsnitt 4.8).
Hjärtsjukdomar
Angina pectoris, hjärtarytmier såsom förmaksfladder och -flimmer, hjärtsvikt och/eller hjärtinfarkt har förekommit hos patienter behandlade med rituximab. Patienter som har eller har haft hjärtsjukdom skall därför följas noga (se Infusionsrelaterade reaktioner ovan).
Infektioner
Baserat på verkningsmekanismen för rituximab och kunskapen om att B-celler spelar en viktig roll för att upprätthålla ett normalt immunsvar har patienter en ökad infektionsrisk till följd av behandling med rituximab (se avsnitt 5.1). Allvarliga infektioner, inklusive dödsfall, kan inträffa vid rituximab-behandling (se avsnitt 4.8). Rituximab ska inte ges till patienter med en aktiv svår infektion (t ex tuberkulos, sepsis och opportunistiska infektioner, se avsnitt 4.3) eller svårt immunsupprimerade patienter (t ex då nivåerna av CD4 och CD8 är mycket låga). Läkare bör iaktta försiktighet då de överväger att använda rituximab hos patienter med tidigare återkommande eller kroniska infektioner eller med underliggande tillstånd som kan göra patienten ytterligare predisponerad för allvarliga infektioner t.ex. hypogammaglobulinemi (se avsnitt 4.8). Före initiering av rituximab-behandling rekommenderas att immunoglobulinnivåerna fastställs.
Patienter som rapporterar tecken eller symtom på infektion efter rituximab-behandling ska omedelbart utvärderas och behandlas på lämpligt sätt. Innan en ytterligare behandling med rituximab ges ska patienten åter utvärderas för eventuell infektionsrisk.
Mycket sällsynta fall av fatal progressiv multifokal leukoencefalopati (PML) har rapporterats efter användning av rituximab vid behandling av reumatoid artrit och autoimmuna sjukdomar inklusive systemisk lupus erythematosus (SLE) och vaskulit.
Fall av enteroviral meningoencefalit, inklusive dödsfall, har rapporterats efter användning av rituximab.
Falskt negativ serologisk testning av infektioner
På grund av risken för falskt negativa serologiska tester av infektioner bör alternativa diagnostiska verktyg övervägas hos patienter som uppvisar symtom som tyder på sällsynt infektionssjukdom, t.ex. West Nile-virus och neuroborrelios.
Hepatit B-infektioner
Fall av hepatit B-reaktivering, inklusive de med dödlig utgång, har rapporterats hos patienter med reumatoid artrit, GPA och MPA, som fått rituximab.
Screening för hepatit B-virus (HBV) ska utföras hos alla patienter innan behandling med rituximab inleds. Screening bör åtminstone omfatta HBsAg-status och antiHBc-status, vilka kan kompletteras med andra lämpliga markörer enligt lokala riktlinjer. Patienter med aktiv hepatit B-infektion bör inte behandlas med rituximab. Patienter med positiv hepatit B-serologi (antingen HBsAg eller antiHBc) ska konsultera experter på leversjukdomar innan behandling startar och ska övervakas samt omhändertas enligt lokala medicinska riktlinjer för att förhindra hepatit B-reaktivering.
Sent insättande neutropeni
Mät blodneutrofiler före varje behandling med rituximab och regelbundet upp till 6 månader efter avslutad behandling, samt vid tecken eller symtom på infektion (se avsnitt 4.8).
Hudreaktioner
Svåra hudreaktioner såsom toxisk epidermal nekrolys (Lyells syndrom) och Stevens-Johnsons syndrom, varav några fall med dödlig utgång, har rapporterats (se avsnitt 4.8). Om reaktionerna misstänks kunna associeras till rituximab bör behandlingen sättas ut permanent.
Immunisering
Läkare ska gå igenom patientens vaccinationstatus och patienter ska om möjligt uppdateras med alla vaccinationer enligt gällande immuniseringsriktlinjer innan påbörjad rituximab-behandling. Vaccinationer ska vara avslutade minst 4 veckor före första administrering av Rituximab.
Säkerheten av immunisering med levande virala vacciner efter rituximab-behandling har inte studerats. Därför rekommenderas inte vaccinering med levande virala vacciner vid rituximab- behandling eller vid låga perifiera B cells nivåer.
Patienter behandlade med rituximab kan få vaccinationer med avdödat vaccin. Svarsfrekvensen för avdödade vacciner kan emellertid vara reducerad. I en randomiserad studie, hade patienter med reumatoid artrit som behandlades med rituximab och metotrexat jämförbara svarsfrekvenser av stelkrampsvaccination (39 % jämfört med 42 %), minskad svarsfrekvens av pneumokock polysackarid vaccin (43 % jämfört med 82 % till minst 2 serotyper av pneumokockantikroppar), och KLH neoantigen (47 % jämfört med 93 %), då det gavs 6 månader efter rituximab-behandling jämfört med patienter som bara fått metotrexat. Skulle vaccinationer med avdödat vaccin behövas under rituximab-behandling, bör dessa avslutats minst 4 veckor innan nästa behandlingsomgång med rituximab inleds.
Den övergripande erfarenheten av upprepad behandling med rituximab vid reumatoid artrit under ett år, är att andelen av patienter med positiv antikroppstiter mot S.pneumoniae, influensa, påssjuka, röda hund, vattkoppor och tetanustoxin i allmänhet motsvarade andelen innan behandlingen inleddes.
Samtidig/sekventiell användning av andra DMARDs vid reumatoid artrit
Samtidig användning av rituximab och andra antireumatiska behandlingar än de som specificeras under reumatoid artrits indikation och dosering rekommenderas inte.
Det finns begränsade data från kliniska studier för att helt utvärdera säkerheten vid sekventiell användning av andra DMARDs (inklusive TNF-hämmare och andra biologiska läkemedel) efter behandling med rituximab (se avsnitt 4.5). Tillgängliga data tyder på att frekvensen av klinisk relevant infektion är oförändrad när sådana behandlingar används hos patienter som tidigare behandlats med rituximab. Patienterna ska emellertid observeras noggrant avseende tecken på infektion om biologiska läkemedel och/eller DMARDs används efter rituximab-behandling.
Maligniteter
Immunmodulerande läkemedel kan öka risken för maligniteter. Dock tyder tillgängliga data inte på någon ökad risk för maligniteter för rituximab vid behandling av autoimmuna indikationer utöver risken för maligniteter som redan är associerad till underliggande autoimmuna tillstånd.
Hjälpämnen
Detta läkemedel innehåller 2,3 mmol (52,2 mg) natrium per 10 ml injektionsflaska och 11,4 mmol (261,2 mg) natrium per 50 ml injektionsflaska, vilket motsvarar 2,6% (för 10 ml injektionsflaska) och 13,2% (för 50 ml injektionsflaska) av WHO rekommenderat maximalt dagligt intag av 2 g natrium för en vuxen.
För tillfället finns begränsade data över möjliga interaktioner med rituximab.
Hos KLL-patienter, verkade samtidig behandling med rituximab inte ha någon effekt på fludarabins eller cyklofosfamids farmakokinetik. Dessutom var det heller ingen tydlig effekt av fludarabin och cyklofosfamid på rituximabs farmakokinetik.
Samtidig behandling med metotrexat hade ingen effekt på farmakokinetiken för rituximab hos patienter med reumatoid artrit.
Patienter med titrar av humana antimusantikroppar (HAMA) eller antikroppar mot läkemedel (ADA) kan få allergiska- eller överkänslighetsreaktioner vid behandling med andra diagnostiska eller terapeutiska monoklonala antikroppar.
Av patienter med reumatoid artrit fick 283 patienter efterföljande behandling med ett biologiskt DMARD efter behandling med rituximab. Hos dessa patienter var frekvensen av klinisk relevant infektion, under behandlingen med rituximab, 6,01 per 100 patientår jämfört med 4,97 per 100 patientår efter behandling med ett biologiskt DMARD.
Preventivmedel för män och kvinnor
På grund av den långa retentionstiden för rituximab hos patienter med låga halter av B-celler ska fertila kvinnor använda effektiva preventivmedel under behandling och i 12 månader efter avslutad behandling med rituximab.
Graviditet
IgG immunoglobuliner passerar placentabarriären.
B-cellsnivåerna hos nyfödda barn vars mamma exponerats för rituximab har inte undersökts i kliniska studier. Det finns inga tillräckliga och välkontrollerade data från studier på gravida kvinnor, däremot har övergående förlust av B-celler och lymfocytopeni rapporterats hos några nyfödda vars mödrar har exponerats för rituximab under graviditeten. Liknande effekter har observerats i djurstudier (se avsnitt 5.3). På grund av detta ska rituximab inte administreras till gravida kvinnor om inte de möjliga fördelarna överväger den eventuella risken.
Amning
Begränsade data på utsöndring av rituximab i bröstmjölk tyder på mycket låga rituximabkoncentrationer i mjölken (relativ spädbarnsdos mindre än 0,4%). Några få fall av spädbarn som ammats har följts upp och dessa har beskrivits ha en normal tillväxt och utveckling upp till 2 års ålder. Eftersom dessa data är begränsade och effekterna på längre sikt hos spädbarn som ammas fortfarande är okända rekommenderas emellertid inte amning vid behandling med rituximab och optimalt inte på 6 månader efter avslutad behandling med rituximab.
Fertilitet
Djurstudier har inte visat på skadliga effekter av rituximab på fortplantningsorganen.
Inga studier om effekterna av rituximab på förmågan att framföra fordon och använda maskiner har genomförts, men den farmakologiska effekten och de biverkningar som hittills rapporterats tyder på ingen eller försumbar effekt på förmågan att framföra fordon och använda maskiner.
Erfarenhet från non-Hodgkins lymfom och kronisk lymfatisk leukemi hos vuxna
Summering av säkerhetsprofilen
Den sammantagna säkerhetsprofilen av rituximab vid non-Hodgkins lymfom och kronisk lymfatisk leukemi är baserad på data från patienter från kliniska studier och från data som inkommit efter marknadsintroduktionen. Dessa patienter var behandlade med antingen rituximab i monoterapi (som induktionsbehandling eller underhållningsbehandling efter induktionsbehandlingen) eller i kombination med kemoterapi.
De mest frekvent observerade biverkningarna hos patienter som fick rituximab var infusionsrelaterade reaktioner som uppstod hos majoriteten av patienterna under den första infusionen. Incidensen av infusionsrelaterade symtom minskar väsentligt med efterföljande infusioner och är mindre än 1 %
efter åtta doser av rituximab.
Infektioner (framförallt bakteriella och virala) uppstod hos ungefär 30-55 % av patienterna i kliniska studier hos patienter med NHL och hos 30-50 % av patienterna i kliniska studier hos patienter med KLL.
De mest frekventa rapporterade eller observerade allvarliga biverkningarna var:
Infusionsrelaterade reaktioner (inklusive cytokinfrisättningssyndrom, tumörlyssyndrom), se avsnitt 4.4
Infektioner, se avsnitt 4.4
Hjärt-kärlrubbningar, se avsnitt 4.4
Andra allvarliga biverkningar rapporterade är hepatit B-reaktivering och PML (se avsnitt 4.4).
Tabell över biverkningar
Förekomsten av biverkningar som har rapporterats med rituximab enbart eller i kombination med cytostatika summeras i tabell 3. Frekvenserna definieras som mycket vanliga (≥1/10), vanliga (≥1/100, <1/10), mindre vanliga (≥1/1 000, <1/100), sällsynta (≥1/10 000, <1/1000), mycket sällsynta (< 1/10000) och ingen känd frekvens (kan inte beräknas från tillgänglig data). Biverkningarna presenteras inom varje frekvensområde och är presenterade efter minskande allvarlighetsgrad.
De biverkningar som bara identifierats efter marknadsintroduktion, och där frekvens inte kunnat uppskattats, är listade under ”Ingen känd frekvens”.
Tabell 3 Biverkningar som rapporterats i kliniska studier eller efter marknadsintroduktion hos patienter med NHL och KLL behandlade med rituximab monoterapi/underhållsbehandling eller i kombination med kemoterapi
Följande biverkningar har rapporterats under kliniska studier, men rapporterades med en likvärdig eller lägre incidens i behandlingsgruppen med rituximab jämfört med kontrollgruppen: hematotoxicitet, neutropen infektion, urinvägsinfektion, sensorisk störning, pyrexi.
Tecken och symtom som talade för en infusionsrelaterad reaktion rapporterades hos mer än 50 % av patienterna i kliniska studier och sågs övervägande vid den första infusionen, vanligen under den första eller andra timmen. Dessa symtom omfattade i huvudsak feber, frossa och stelhet. Andra symtom var rodnad, angiödem, bronkospasm, kräkningar, illamående, urtikaria/utslag, trötthet, huvudvärk, halsirritation, rhinit, klåda, värk, takykardi, hypertension, hypotension, dyspné, dyspepsi, asteni och tecken på tumörlyssyndrom. Svåra infusionsrelaterade reaktioner (så som bronkospasm, hypotension) uppstod i upp till 12 % av fallen.
Ytterligare rapporterade reaktioner var i vissa fall hjärtinfarkt, förmaksflimmer, lungödem och akut reversibel trombocytopeni. Försämring av existerande hjärtproblem så som angina pectoris eller hjärtsvikt eller svåra hjärtproblem (hjärtsvikt, hjärtinfarkt, förmaksflimmer), lungödem, multi- organsvikt, tumörlyssyndrom, cytokinfrisättningssyndrom, njursvikt och respiratorisk svikt rapporterades vid lägre eller okänd frekvens. Incidensen av infusionsrelaterade symtom minskar väsentligt med efterföljande infusioner och ses hos <1 % av patienterna efter åtta cyklers behandling med rituximab.
Beskrivning av utvalda biverkningar
Infektioner
Rituximab framkallade B-cellsdepletion hos 70-80 % av patienterna men har associerats med en minskad mängd immunoglobuliner i serum hos endast en minoritet av patienterna.
Lokaliserad candidainfektion och Herpes zoster rapporterades med en högre incidens i gruppen behandlad med rituximab i randomiserade studier. Svåra infektioner rapporterades hos cirka 4 % av patienterna som behandlats med rituximab i monoterapi. Högre frekvens av infektioner överlag, inklusive grad 3- och 4-infektioner, observerades vid underhållsbehandling med rituximab upp till 2 år vid jämförelse med kontrollgruppen. Ingen kumulativ toxicitet i form av infektioner rapporterades över en 2-årig behandlingsperiod. Dessutom har andra allvarliga virusinfektioner antingen nya, reaktiverade eller försämrade, några med dödlig utgång, rapporterats med rituximab-behandling. Majoriteten av patienterna hade behandlats med rituximab i kombination med kemoterapi eller som en del av en hematopoetisk stamcellstransplantation. Exempel på dessa allvarliga virusinfektioner är infektioner orsakade av herpesvirus (Cytomegalovirus, Varicella Zoster-virus och Herpes Simplex- virus), JC-virus (progressivt multifocalt leukoencephalopati (PML)), enterovirus (meningoencefalit) och hepatit C-virus (se avsnitt 4.4). Fall av fatal PML som uppkommit efter sjukdomsprogression och upprepad behandling har även rapporterats i kliniska studier. Fall av hepatit B-reaktivering har rapporterats, majoriteten av de patienterna fick rituximab i kombination med cytotoxisk kemoterapi. Hos patienter med återfall/refraktär KLL, var incidensen av hepatit B-infektion grad 3/4 (reaktivering och primär infektion) 2 % i R-FC jämfört med 0 % FC. Progression av Kaposis sarkom har observerats vid behandling med rituximab hos patienter med existerande Kaposis sarkom. Dessa fall uppstod vid ej godkända indikationer och majoriteten av patienterna var HIV-positiva.
Hematologiska biverkningar
I kliniska studier med monoterapi av rituximab givet i 4 veckor, uppstod i en minoritet av patienterna hematologiska abnormaliteter och de var vanligen milda och reversibla. Svår (grad 3/4) neutropeni rapporterades hos 4,2 %, anemi hos 1,1 % och trombocytopeni hos 1,7 % av patienterna. Vid underhållsbehandling med rituximab upp till 2 år rapporterades, leukopeni (5 % jämfört med 2 %, grad 3/4) och neutropeni (10 % jämfört med 4 %, grad 3/4) vid en högre incidens i jämförelse med kontrollgruppen. Incidensen av trombocytopeni var låg (<1 %, grad 3/4) och det fanns ingen skillnad mellan behandlingsarmarna. I studier med rituximab i kombination med kemoterapi, rapporterades under behandlingens gång oftare grad 3/4 leukopeni (R-CHOP 88 % jämfört med CHOP 79 %, R-FC 23 % jämfört med FC 12 %), neutropeni (R-CVP 24 % jämfört med CVP 14 %; R-CHOP 97 % jämfört med CHOP 88 %, R-FC 30 % jämfört med FC 19 % i tidigare obehandlad KLL), pancytopeni(R-FC 3 % jämfört med FC 1 % i tidigare obehandlad KLL) med högre frekvens jämfört med enbart kemoterapi. Däremot var den högre incidensen neutropeni hos patienter behandlade med rituximab och kemoterapi inte associerad med en högre incidens av infektioner och infestationer i jämförelse med patienter behandlade med enbart kemoterapi. Studier på tidigare obehandlad och refräktär/terapisviktande KLL har fastställt att i upp till 25% av patienterna behandlade med R-FC var neutropenin förlängd (definierat som neutrofilantal under 1 x 109/l som kvarstod mellan dag 24 och 42 efter sista dosen) eller inträffade med sen debut (definierat som neutrofilantal under 1 x 109/l efter dag 42 efter sista dosen hos patienter utan tidigare förlängd neutropeni eller som återhämtat sig före dag 42) efter behandling med rituximab plus FC. Ingen skillnad rapporterades för incidensen av anemi. Några fall av fördröjd neutropeni, som uppstått mer än fyra veckor efter sista infusionen av rituximab har rapporterats. I studien för första linjens behandling av KLL, upplevde patienterna i Binet stadium C mer biverkningar i R-FC-armen jämfört med FC-armen (R-FC 83 % jämfört med FC 71 %). I studien med återfall/refraktär KLL, rapporterades grad 3/4 trombocytopeni hos 11 % av patienterna i R-FC-gruppen jämfört med 9 % av patienterna i FC-gruppen.
I studier med rituximab på patienter med Waldenströms makroglobulinemi, observerades övergående IgM-stegringar i serum efter behandlingens början, vilket kan vara associerad med hyperviskositet och relaterade symtom. Den övergående ökningen av IgM återgick vanligen till åtminstone de ursprungliga nivåerna inom 4 månader.
Hjärt-kärlbiverkningar
Hjärt-kärlbiverkningar rapporterades hos 18,8 % av patienterna under kliniska studier med rituximab i monoterapi varav de mest frekvent rapporterade händelserna var hypotension och hypertension. Fall av grad 3- eller 4-arytmi (inklusive ventrikulär och supraventrikulär takykardi) och angina pectoris under infusion rapporterades. Vid underhållsbehandling var incidesen av grad 3/4 hjärtfel jämförbar mellan patienter behandlade med rituximab och kontrollgruppen. Kardiella händelser rapporterades som allvarliga biverkningar (inklusive förmaksflimmer, myokardinfarkt, vänsterkammarsvikt, myokardischemi) hos 3 % av patienterna som behandlades med rituximab jämfört med <1 % av de i kontrollgruppen. I studier som utvärderar rituximab i kombination med kemoterapi, var incidensen av grad 3 och 4 hjärtarytmier, övervägande supraventrikulära arytmier så som takykardi och förmaksflimmer, högre i R-CHOP-gruppen (14 patienter, 6,9 %) i jämförelse med CHOP-gruppen (3 patienter, 1,5 %). Alla dessa arytmier uppstod antingen i samband med en rituximab infusion eller var associerad med känsliga tillstånd så som feber, infektion, akut hjärtinfarkt eller existerande respiratorisk- och kardiovaskulär sjukdom. Ingen skillnad observerades i incidensen av andra grad 3 och 4 hjärthändelser inklusive hjärtsvikt, myokardsjukdom och manifest kranskärlssjukdom mellan R‑CHOP- och CHOP-gruppen. Vid KLL, var den totala incidensen av hjärtbiverkningar av grad 3 eller 4 låg både i studien för första linjens behandling (4 % R-FC, 3 % FC) och i studien för återfall/refraktär KLL (4 % R-FC, 4 % FC).
Andningsvägar
Fall av interstitiell lungsjukdom, några med dödlig utgång har rapporterats.
Neurologiska rubbningar
Under behandlingsperioden (induktionsbehandling med R-CHOP i som mest åtta cykler) upplevde fyra patienter (2 %), som alla hade kardiovaskulära riskfaktorer och behandlades med R-CHOP, tromboembolisk cerebrovaskulära händelser under första behandlingscykeln. Det var ingen skillnad i incidensen av andra tromoemboliska händelser mellan behandlingsgrupperna. Däremot fick tre patienter (1,5 %) i CHOP-gruppen cerebrovaskulära händelser, som alla uppstod under uppföljningstiden. Vid KLL, var den totala incidensen av nervsystemsbiverkningar av grad 3 eller 4 låg både i studien för första linjens behandling (4 % R-FC, 4 % FC) och i studien för återfall/refraktär KLL (3 % R-FC, 3 % FC).
Fall av PRES (Posteriort reversibelt encefalopatisyndrom)/ RPLS (Reversibelt posteriort leukoencefalopatisyndrom) har rapporterats. Tecken och symtom inkluderade synstörning, huvudvärk, krampanfall och ändrad mental status, med eller utan associerad hypertoni. En PRES/RPLS-diagnos behöver bekräftas genom bilddiagnostik av hjärnan. De rapporterade fallen hade kända riskfaktorer för PRES/RPLS, inkluderande patientens bakomliggande sjukdom, hypertoni, immunosuppressiv behandling och/eller kemoterapi.
Gastrointentiella rubbningar
Gastrointestial perforation som i vissa fall lett till dödsfall har observerats hos patienter som behandlats med rituximab mot non-Hodgkins lymfom. I majoriteten av dessa fall administrerades rituximab tillsammans med kemoterapi.
IgG-nivåer
I de kliniska studierna som studerade rituximab som underhållsbehandling vid relapserande/refraktära follikulära lymfom var median IgG-nivåerna under den lägsta gränsen för normalvärdet (LLN) (<7 g/l) i både observationsgruppen och rituximab-gruppen efter induktionsbehandling. I observationsgruppen ökade IgG nivåerna efterhand till över LLN, men i rituximab gruppen förblev de konstanta. Andelen patienter med IgG-nivåer under LLN var ungefär 60 % i rituximab gruppen under hela den 2 åriga behandlingsperioden, medan andelen minskade i observationsgruppen (36 % efter 2 år).
Ett litet antal spontana rapporter och litteraturfall av hypogammaglobulinemi har observerats hos barn som behandlats med rituximab. Vissa fall har varit allvarliga och krävt substitutionsbehandling med immunglobuliner under lång tid. Konsekvenserna av långvarig B-cellsdepletion hos barn är okända.
Hud och subkutan vävnad
Toxisk epidermal nekrolys (Lyells syndrom) och Stevens-Johnsons syndrom, vissa med dödlig utgång, har rapporterats i mycket sällsynta fall.
Patientundergrupper - rituximab i monoterapi
Äldre (≥ 65 år)
Incidensen av biverkningar av alla grader och grad 3/4 var lika hos äldre patienter jämfört med yngre patienter (< 65 år).
Stor tumörbörda
Det var en högre incidens av grad 3/4 biverkningar hos patienter med stor tumörbörda än hos patienter utan stor tumörbörda (25,6 % jämfört med 15,4 %) Incidensen av biverkningar av någon grad var liknande i de två grupperna.
Förnyad behandling
Andelen patienter som rapporterade biverkningar efter förnyad behandling med ytterligare kurer av rituximab var ungefär densamma som andelen patienter som rapporterade biverkningar efter initial exponering (för någon biverkan och för grad 3/4 biverkningar).
Patientundergrupper - rituximab i kombinationsbehandling
Äldre (≥ 65 år)
Incidensen av grad 3/4 blod- och lymfatiska biverkningar var högre hos äldre patienter jämfört med yngre patienter (< 65 år), med tidigare obehandlad KLL eller återfall/refraktär KLL.
Erfarenhet av pediatriska patienter DLBCL/BL/BAL/BLL
Summering av säkerhetsprofilen
En öppen och randomiserad multicenterstudie med Lymfom Malin B kemoterapi (LMB), med eller utan rituximab, genomfördes hos pediatriska patienter (ålder ≥ 6 månader till < 18 års ålder) med tidigare obehandlat avancerat stadium av CD20-positiv DLBCL/BL/BAL/BLL.
Totalt 309 pediatriska patienter fick rituximab och inkluderades i populationen för säkerhetsanalysen. Pediatriska patienter randomiserades till armen med LMB-kemoterapi med Rituximab, eller till studiens enarmade del där rituximab administrerades i en dos av 375 mg/m2 kroppsyta. Där fick patienterna totalt sex intravenösa infusioner av rituximab (två under var och en av de två induktionsbehandlingarna och en under var och en av de två konsolideringsbehandlingarna av LMB schemat).
Säkerhetsprofilen för rituximab hos pediatriska patienter (ålder ≥ 6 månader till < 18 års ålder) med tidigare obehandlat avancerat stadium av CD20-positiv DLBCL/BL/BAL/BLL överensstämde i allmänhet i typ, art och svårighetsgrad med den kända säkerhetsprofilen hos vuxna patienter med NHL och KLL. Tillägg av rituximab till kemoterapi resulterade i en ökad risk för vissa biverkningar inklusive infektioner (inklusive sepsis) jämfört med endast kemoterapi.
Erfarenhet av reumatoid artrit
Summering av säkerhetsprofilen
Den övergripande säkerhetsprofilen av rituximab inom reumatoid artrit baseras på data från patienter från kliniska studier och efter marknadsintroduktion.
Säkerhetsprofilen för rituximab hos patienter med svår reumatoid artrit (RA) sammanfattas i avsnitten nedan. I kliniska studier har fler än 3100 patienter fått minst en behandlingsomgång och följts under perioder från 6 månader till över 5 år; cirka 2400 patienter har fått två eller flera behandlingsomgångar varav fler än 1000 patienter har fått fem eller flera behandlingsomgångar. Säkerhetsinformation samlad efter marknadsintroduktion motsvarar den förväntade biverkningsprofilen, samma som setts i kliniska studier för rituximab (se avsnitt 4.4).
Patienterna fick 2 x 1000 mg rituximab med ett intervall på två veckor mellan doserna; i tillägg till metotrexat (10-25 mg/vecka). rituximab-infusionerna gavs efter intravenös infusion av 100 mg metylprednisolon och patienterna fick även oralt prednison under 15 dagar.
Tabell över biverkningar
Biverkningar är listade i Tabell 4. Frekvenserna definieras som mycket vanliga (≥1/10), vanliga (≥1/100, <1/10), mindre vanliga (≥1/1 000, <1/100), sällsynta (≥1/10 000, <1/1000), mycket sällsynta (<1/10 000) och ingen känd frekvens (kan inte beräknas från tillgängliga data). Inom varje frekvensgrupp är biverkningarna presenterade i fallande allvarlighetsgrad.
De vanligaste biverkningarna som ansågs bero på behandling med rituximab var infusionsrelaterade reaktioner (IRR). Den totala incidensen av IRR i kliniska studier var 23 % efter den första infusionen och minskade vid efterföljande infusioner. Allvarliga IRR var mindre vanliga (hos 0,5 % av patienterna) och sågs främst under första behandlingsomgången. Förutom biverkningar som setts i RA-studier med rituximab har progressiv multifokal leukoencefalopati (PML) (se avsnitt 4.4) och serumsjukeliknande reaktion rapporterats efter marknadsintroduktionen.
Tabell 4 Summering av biverkningar som rapporterats hos patienter med reumatoid artrit som fått rituximab i kliniska studier och efter marknadsintroduktion
Upprepade behandlingsomgångar
Upprepade behandlingsomgångar förknippas med en biverkningsprofil liknande den som observerades efter första exponeringen. Frekvensen av samtliga biverkningar efter första exponeringen av rituximab var högst under de första 6 månaderna, och minskade därefter. Detta beror främst på de infusionsrelaterade reaktionerna (mest frekvent förekommande under första behandlingsomgången), förvärrad RA och infektioner, vilka alla förekom mer frekvent under de första 6 månaderna av behandling.
Beskrivning av utvalda biverkningar
Infusionsrelaterade reaktioner
I kliniska studier var den mest frekventa biverkningen efter behandling med rituximab infusionsrelaterade reaktioner (IRR) (se Tabell 4). Av 3189 patienter som behandlades med rituximab fick 1135 (36%) minst en infusionsrelaterad reaktion, 733 patienter av 3189 (23%) fick en infusionsrelaterad reaktion efter första infusionen av rituximab. Incidensen av IRR minskade vid efterföljande infusioner. I kliniska studier fick färre än 1% (17 av 3189 patienter) en allvarlig IRR.
Inga IRR med CTC grad 4 eller IRR med fatal utgång rapporterades i de kliniska studierna. Andelen händelser av CTC grad 3 och IRR som ledde till behandlingsutsättande minskade med antalet behandlingsomgångar, och var sällsynta från behandlingsomgång 3 och framåt. Premedicinering med intravenösa glukokortikoider minskade signifikant incidensen och svårighetsgraden av IRR (se avsnitt 4.2 och 4.4). Svåra infusionsrelaterade reaktioner med dödlig utgång har rapporterats efter marknadsintroduktionen.
I en studie designad för att utvärdera säkerheten av en snabbare rituximab-infusion hos patienter med reumatoid artrit, tilläts patienter med måttlig till svår aktiv reumatoid artrit som inte fått en allvarlig IRR under eller inom 24 timmar från deras första infusion att få en 2-timmars intravenös infusion av rituximab. Patienter med tidigare allvarliga infusionsreaktioner mot en biologisk behandling för RA exkluderades från studien. Incidensen, typer och allvarlighetsgrad av IRR överensstämde med vad som tidigare observerats. Inga allvarliga IRR observerades.
Infektioner
Infektionsfrekvensen som rapporterades i kliniska studier var ungefär 94 per 100 patientår hos rituximab-behandlade patienter. Infektionerna var övervägande milda till måttliga och bestod oftast av övre luftvägsinfektioner och urinvägsinfektioner. Incidensen av infektioner som var allvarliga eller krävde behandling med intravenös antibiotika var ungefär 4 per 100 patientår. Flera behandlingsomgångar med rituximab visade ingen signifikant ökning av frekvensen av allvarliga infektioner. I kliniska studier har nedre luftvägsinfektioner (inklusive pneumoni) rapporteras med samma frekvens i rituximab-grupper som i kontrollgrupper. Efter marknadsintroduktion har allvarliga virusinfektioner rapporterats hos patienter som behandlats för RA med rituximab.
Fall av progressiv multifokal leukoencefalopati (PML) med dödlig utgång har rapporterats efter användning av rituximab vid behandling av autoimmuna sjukdomar. De innefattar reumatoid artrit och andra autoimmuna sjukdomar utanför godkänd indikation, inklusive systemisk lupus erythematosus (SLE) och vaskulit.
Hos patienter med non-Hodgkins lymfom som behandlas med rituximab i kombination med cytotoxisk kemoterapi har fall ha reaktivering av hepatit B rapporterats (se non-Hodgkins lymfom). Reaktivering av hepatit B-infektioner har också rapporterats i mycket sällsynta fall hos patienter som behandlas för RA med rituximab (se avsnitt 4.4).
Hjärt-kärlbiverkningar
Allvarliga kardiella händelser rapporterades med en frekvens av 1,3 per 100 patientår hos rituximab- behandlade patienter jämfört med 1,3 per 100 patientår hos placebo-behandlade patienter. Andelen patienter som fick kardiella händelser (alla eller allvarliga) ökade inte vid flera behandlingsomgångar.
Neurologiska händelser
Fall av PRES (Posteriort reversibelt encefalopatisyndrom)/RPLS (Reversibelt posteriort leukoencefalopatisyndrom) har rapporterats. Tecken och symtom inkluderade synstörning, huvudvärk, krampanfall och ändrad mental status, med eller utan associerad hypertoni. En PRES/RPLS-diagnos behöver bekräftas genom bilddiagnostik av hjärnan. De rapporterade fallen hade kända riskfaktorer för PRES/RPLS, inkluderande patientens bakomliggande sjukdom, hypertoni, immunosuppressiv behandling och/eller kemoterapi.
Neutropeni
Fall av neutropeni i samband med rituximab-behandling har observerats, av vilka majoriteten var övergående och milda eller måttliga i svårighetsgrad. Neutropeni kan uppkomma flera månader efter administrering av rituximab (se avsnitt 4.4).
I placebokontrollerade delar av kliniska studier hade 0,94 % (13/1382) av rituximab-behandlade patienter och 0,27 % (2/731) av placebopatienter utvecklat svår neutropeni.
Sällsynta fall av neutropeni, inklusive svåra fall med sen debut och persistent neutropeni, har rapporterats efter marknadsgodkännandet. Vissa av dessa var associerade med fatala infektioner.
Hud och subkutan vävnad
Toxisk epidermal nekrolys (Lyells syndrom) och Stevens-Johnsons syndrom, vissa med dödlig utgång, har rapporterats i mycket sällsynta fall.
Avvikelser i laboratorievärden
Hypogammaglobulinemi (IgG eller IgM under den nedre normalvärdesgränsen) har observerats hos RA-patienter behandlade med rituximab. Utvecklandet av låga IgG- eller IgM-nivåer medförde inte en ökad frekvens av det totala antalet infektioner eller allvarliga infektioner (se avsnitt 4.4)
Ett litet antal spontana rapporter och litteraturfall av hypogammaglobulinemi har observerats hos barn som behandlats med rituximab. Vissa fall har varit allvarliga och krävt substitutionsbehandling med immunglobuliner under lång tid. Konsekvenserna av långvarig B-cellsdepletion hos barn är okända.
Erfarenheter från granulomatos med polyangit (GPA) och mikroskopisk polyangit (MPA)
Induktion av remission (GPA/MPA studie 1) hos vuxna patienter
I GPA/MPA studie 1 behandlades 99 vuxna patienter för induktion av remission av GPA och MPA med rituximab (375 mg/m2, en gång i veckan under 4 veckor) och glukokortikoider (se avsnitt 5.1). Biverkningarna som anges i tabell 5 var alla biverkningar som inträffade med en incidens av ≥ 5 % I rituximab-gruppen och med en högre frekvens än jämförelsegruppen.
Tabell 5 Biverkningar som förekom under 6 månader hos ≥ 5 % av vuxna patienter som fick rituximab i GPA/MPA studie 1 (rituximab n=99, och i en högre frekvens än kontrollgruppen), eller under övervakning efter marknadsintroduktion.
1Observerat under övervakning efter marknadsintroduktion.
2Se även avsnitt infektioner nedan.
Underhållsbehandling (GPA/MPA studie 2) av vuxna patienter
I GPA/MPA studie 2 behandlades totalt 57 vuxna patienter med svår, aktiv GPA och MPA med rituximab för underhåll av remission (se avsnitt 5.1).
Tabell 6 Biverkningar som förekommer hos ≥5% av vuxna patienter som får rituximab för underhållsbehandling i GPA/MPA studie 2 (retuximab n=57), och med en högre frekvens än jämförelsegruppen, eller under övervakning efter marknadsintroduktion.
Den övergripande säkerhetsprofilen överensstämde med den väletablerade säkerhetsprofilen för rituximab vid godkända autoimmuna indikationer, inklusive GPA och MPA. Sammantaget upplevde 4% av patienterna i rituximab-gruppen biverkningar som ledde till behandlingsavbrott. De flesta biverkningarna i rituximab-gruppen var milda eller måttliga i intensitet. Inga patienter i rituximab- gruppen hade dödliga biverkningar.
De vanligast rapporterade händelserna som betraktades som biverkningar var infusionsrelaterade reaktioner och infektioner.
Långtidsuppföljning (GPA/MPA studie 3)
I en långtidsobservationsstudie av säkerhet fick 97 patienter med GPA och MPA behandling med rituximab (medelvärde 8 infusioner [intervall 1-28]) i upp till 4 år enligt läkarens normala praxis och omdöme. Den övergripande säkerhetsprofilen överensstämde med den väletablerade säkerhetsprofilen för rituximab vid RA och GPA och MPA och inga nya biverkningar rapporterades.
Pediatrisk population
En öppen enarmad studie genomfördes med 25 barn med svår, aktiv GPA eller MPA. Den totala studietiden bestod av en 6 månader lång remissions- och induktionsfas med minst en 18 månader lång uppföljning, i upp till 4,5 år totalt. Under uppföljningsfasen gavs rituximab utifrån prövarens bedömning (17 av 25 patienter fick ytterligare rituximab-behandling). Samtidig behandling med annan immunosuppressiv terapi var tillåten (se avsnitt 5.1).
Biverkningar ansågs vara de biverkningar som inträffat med en frekvens av ≥ 10%. Dessa inkluderade: infektioner (17 patienter [68%] i remissions- och induktionsfasen; 23 patienter [92%] under hela studietiden), infusionsrelaterade reaktioner (15 patienter [60%] i remissions- och induktionsfasen; 17 patienter [68%] under hela studietiden) och illamående (4 patienter [16%] i remissions och induktionsfasen; 5 patienter [20%] under hela studietiden).
Säkerhetsprofilen för rituximab under den totala studietiden överensstämde med den som rapporterades under remissions och induktionsfasen.
Säkerhetsprofilen för rituximab hos pediatriska patienter med GPA eller MPA överensstämde i typ, art och svårighetsgrad med den kända säkerhetsprofilen hos vuxna patienter behandlade för godkända autoimmuna indikationer, inklusive vuxna med GPA eller MPA.
Beskrivning av utvalda biverkningar
Infusionsrelaterade reaktioner
I GPA/MPA studie 1 (induktion av remission hos vuxna), definierades infusionsrelaterade reaktioner (IRR) som någon biverkan som inträffade inom 24 timmar efter en infusion och som av prövare ansågs vara infusionsrelaterad. Av de nittionio patienter som behandlades med rituximab fick 12 (12%) minst en IRR. Alla IRR var av CTC grad 1 eller 2. De vanligaste infusionsrelaterade reaktionerna var cytokinfrisättningssyndrom, blodvallning, halsirritation, och tremor. rituximab gavs i kombination med intravenösa glukokortikoider vilket kan minska incidensen och allvarlighetsgraden av dessa händelser.
I GPA/MPA studie 2 (underhållsbehandling hos vuxna) upplevde 7/57 (12%) patienter i gruppen med rituximab minst en infusionsrelaterad reaktion. Förekomsten av IRR-symtom var högst under eller efter den första infusionen (9%) och minskade med efterföljande infusioner (<4%). Alla IRR-symtom var milda till måttliga och de flesta rapporterades från organsystemen andningsvägar, bröstkorg och mediastinum samt hud och subkutan vävnad.
I den kliniska studien med pediatriska patienter med GPA eller MPA sågs de rapporterade infusionsrelaterade reaktionerna (IRR) huvudsakligen vid den första infusionen (8 patienter [32%]) och minskade därefter över tiden med antalet rituximab-infusioner (20% med den andra infusionen, 12% med den tredje infusionen och 8% med den fjärde infusionen). De vanligaste IRR-symtomen som rapporterades under remissions- och induktionsfasen var: huvudvärk, utslag, rinorré och pyrexi (8% för respektive symptom). De observerade IRR-symptomen liknande de som är kända hos vuxna patienter med GPA eller MPA som behandlats med rituximab. Majoriteten av IRR-symtomen var av grad 1 och grad 2, det fanns två icke-allvarliga IRR-symtom av grad 3 och inga rapporterade IRR- symtom av grad 4 eller grad 5. En allvarlig IRR av grad 2 (generaliserat ödem som löstes med behandling) rapporterades hos en patient (se avsnitt 4.4).
Infektioner
I GPA/MPA studie 1 var den övergripande infektionsfrekvensen cirka 237 per 100 patientår (95% KI 197-285) vid 6 månaders primär endpoint. Infektionerna var huvudsakligen lindriga till måttliga och bestod främst av övre luftvägsinfektioner, herpes zoster och urinvägsinfektioner. Frekvensen av allvarliga infektioner var cirka 25 per 100 patientår. Den vanligast rapporterade allvarliga infektionen I rituximab-gruppen var lunginflammation med en frekvens på 4%.
I GPA/MPA studie 2 upplevde 30/57 (53%) patienter i rituximab-gruppen infektioner. Förekomsten av alla grader av infektioner var likartade mellan grupperna. Infektionerna var övervägande lindriga till måttliga. De vanligaste infektionerna i rituximab-gruppen omfattade övre luftvägsinfektioner, gastroenterit, urinvägsinfektioner och herpes zoster. Förekomsten av allvarliga infektioner var likartade i båda grupperna (cirka 12%). Den vanligast rapporterade allvarliga infektionen i rituximab- gruppen var mild eller måttlig bronkit.
I den kliniska studien med pediatriska patienter med svår, aktiv GPA och MPA var 91% av rapporterade infektioner icke allvarliga och 90% var milda till måttliga.
De vanligaste infektionerna i den övergripande fasen var: infektioner i övre luftvägarna (48%), influensa (24%), konjunktivit (20%), nasofaryngit (20%), nedre luftvägsinfektioner (16%), sinuit (16%), virusinfektioner i övre luftväg (16%), öroninfektion (12%), gastroenterit (12%), faryngit (12%) och urinvägsinfektion (12%). Allvarliga infektioner rapporterades hos 7 patienter (28%) och de vanligaste rapporterade händelserna inkluderade: influensa (2 patienter [8%]) och infektion i nedre luftvägarna (2 patienter [8%]).
Efter marknadsintroduktion har allvarliga virusinfektioner rapporterats hos patienter som behandlats för GPA/MPA med rituximab.
Maligniteter
I GPA/MPA studie 1 var förekomsten av malignitet hos vuxna patienter som behandlades med rituximab i kliniska studier för GPA och MPA, 2,00 per 100 patientår vid studiens stängning (när sista patienten hade avslutat uppföljningsperioden). Baserat på standardiserade incidensförhållanden, förefaller förekomsten av maligniteter vara snarlik den som tidigare rapporterats hos patienter med ANCA-associerad vaskulit.
I den kliniska prövningen med pediatriska patienter rapporterades inga maligniteter under uppföljningsperioden på upp till 54 månader.
Hjärt-kärlbiverkningar
I GPA/MPA studie 1 var hjärtbiverkningar inträffade med en frekvens på ungefär 273 per 100 patientår (95% KI 149-470) vid 6 månaders primär endpoint. Förekomsten av allvarliga hjärtbiverkningar var 2,1 per 100 patientår (95% KI 3 -15). De vanligast rapporterade biverkningarna var takykardi (4%) och förmaksflimmer (3%) (se avsnitt 4.4).
Neurologiska händelser
Fall av PRES (Posteriort reversibelt encefalopatisyndrom) / RPLS (Reversibelt posteriort leukoencefalopatisyndrom) har rapporterats hos patienter med autoimmuna sjukdomar. Tecken och symtom inkluderade synstörning, huvudvärk, krampanfall och ändrad mental status, med eller utan associerad hypertoni. En PRES/RPLS-diagnos behöver bekräftas genom bilddiagnostik av hjärnan. De rapporterade fallen hade kända riskfaktorer för PRES/RPLS, inkluderande patientens bakomliggande sjukdom, hypertoni, immunosuppressiv behandling och/eller kemoterapi.
Hepatit B-reaktivering
Ett fåtal fall av hepatit B-reaktivering varav några med dödlig utgång, har rapporterats hos patienter med granulomatos med polyangit och mikroskopisk polyangit som behandlats med rituximab efter marknadsintroduktion.
Hypogammaglobulinemi
Hypogammaglobulinemi (IgA, IgG eller IgM under nedre normalvärde) har observerats hos vuxna och pediatriska patienter med GPA och MPA som behandlats med rituximab.
I GPA/MPA studie 1 hade vid 6 månader, 27%, 58% och 51% av patienterna i rituximab-gruppen med normala immunglobulinnivåer vid studiestart, låga IgA, IgG och IgM-nivåer jämfört med 25%, 50% och 46% i cyklofosfamid-gruppen. Frekvensen av totalt antal infektioner och allvarliga infektioner ökade inte efter utvecklingen av lågt antal IgA, IgG eller IgM.
I GPA/MPA studie 2 observerades ingen kliniskt betydelsefull skillnad mellan de två behandlingsgrupperna eller minskning i totalt immunoglobulin, IgG, IgM eller IgA under studiens gång.
I den kliniska studien med pediatriska patienter rapporterade 3/25 (12%) av patienterna en händelse av hypogammaglobulinemi. 18 patienter (72%) hade förlängt låga (definierat som Ig-nivåer under lägsta normala gränsvärdet i minst 4 månader) IgG-nivåer (varav 15 patienter också hade långvarigt lågt IgM). Tre patienter fick behandling med intravenöst immunoglobulin (IV-IG). Baserat på begränsade data kan ingen säker slutsats dras om långvarigt lågt IgG och IgM ledde till en ökad risk för allvarlig infektion hos dessa patienter. Konsekvensen av långvarig B-cellsdepletion hos pediatriska patienter är okänd.
Neutropeni
I GPA/MPA studie 1 utvecklade 24% av patienterna i rituximab-gruppen (en behandlingsomgång) och 23% av patienterna i cyklofosfamid-gruppen, neutropeni av CTC grad 3 eller högre. Neutropeni förknippades inte med en observerad ökning av allvarlig infektion hos patienter behandlade med rituximab.
I GPA/MPA studie 2 var förekomsten av neutropeni av alla grader 0% för rituximab-behandlade patienter jämfört med 5% för azatioprin-behandlade patienter.
Hud och subkutan vävnad
Toxisk epidermal nekrolys (Lyells syndrom) och Stevens-Johnsons syndrom, vissa med dödlig utgång, har rapporterats i mycket sällsynta fall.
Erfarenhet från pemfigus vulgaris
Sammanfattning av säkerhetsprofilen vid PV studie 1 (studie ML22196) och PV studie 2 (studie WA29330)
Säkerhetsprofilen för rituximab i kombination med korttidsanvändning av glukokortikoider i låg dos vid behandling av patienter med pemfigus vulgaris studerades i en fas 3, randomiserad, kontrollerad, öppen multicenterstudie med pemfiguspatienter som inkluderade 38 pemfigus vulgaris (PV)-patienter som randomiserades till rituximab-gruppen (PV studie 1). Patienter randomiserade till rituximab- gruppen fick en initial intravenös dos på 1000 mg studiedag 1 och en andra intravenös dos på 1000 mg studiedag 15. Underhållsdoser på 500 mg intravenöst administrerades vid månad 12 och 18. Patienter kunde få 1000 mg intravenöst vid återfall (se avsnitt 5.1).
I PV studie 2, en randomiserad, dubbelblind, double-dummy, aktiv-komparator, multicenterstudie, utvärderades effekten och säkerheten av rituximab jämfört med mykofenolatmofetil (MMF) hos patienter med måttlig till svår PV som kräver orala kortikosteroider. 67 patienter med PV fick behandling med rituximab (initialt intravenös dos på 1000 mg studiedag 1 och en andra intravenös dos på 1000 mg studiedag 15 som upprepades vid vecka 24 och 26) i upp till 52 veckor (se avsnitt 5.1).
Säkerhetsprofilen för rituximab vid PV överensstämde med den etablerade säkerhetsprofilen vid andra godkända autoimmuna sjukdomar.
Tabell över biverkningar för PV studie 1 och 2
Biverkningar från PV studie 1 och 2 presenteras i tabell 7. I PV studie 1 definierades biverkningar som händelser som inträffade med en frekvens ≥ 5% av rituximab-behandlade PV-patienter, med en ≥ 2% absolut skillnad i incidens mellan den rituximab-behandlade gruppen och prednisongruppen med standarddos upp till månad 24. Inga patienter togs ur behandling på grund av biverkningar i studie 1. I PV studie 2 definerades biverkningar som händelser som inträffade hos ≥ 5% av patienterna i rituximab-armen och bedömdes som relaterade.
Tabell 7 Biverkningar hos rituximab-behandlade pemfigus vulgaris-patienter i PV studie 1 (upp till 24 månader) och PV studie 2 (upp till vecka 52), eller under övervakning efter marknadsintroduktion
Beskrivning av utvalda biverkningar
Infusionsrelaterade reaktioner
I PV studie 1 var infusionsrelaterade reaktioner vanliga (58%). Nästan alla infusionsrelaterade reaktioner var milda eller måttliga. Andelen patienter som fick en infusionsrelaterad reaktion var 29% (11 patienter), 40% (15 patienter), 13% (5 patienter) och 10% (4 patienter) efter de första, andra, tredje respektive fjärde infusionerna. Inga patienter togs ur behandling på grund av en infusionsrelaterade reaktioner. Symtom på infusionsrelaterade reaktioner var likartade i typ och svårighetsgrad jämfört med de som ses hos patienter med RA och GPA / MPA.
I PV studie 2 inträffade IRR:er främst vid den första infusionen och frekvensen av IRR:er minskade med efterföljande infusioner. 17,9% av patienterna upplevde en IRR vid den första infusionen, 4,5% vid den andra, 3% vid den tredje och 3 % vid den fjärde infusionen. Hos 11/15 patienter som upplevde minst en IRR var dessa av grad 1 eller 2. Hos 4/15 patienter rapporterades IRR av grad ≥3 vilket ledde till avbrott av rituximab-behandlingen; tre av de fyra patienterna upplevde allvarliga (livshotande) IRR:er. Allvarliga IRR:er inträffade vid den första infusionen (2 patienter) eller den andra infusionen (1 patient) och försvann med symptomatisk behandling.
Infektioner
I PV studie 1 fick 14 patienter (37%) i rituximab-gruppen behandlingsrelaterade infektioner jämfört med 15 patienter (42%) i prednisongruppen med standarddos. De vanligaste infektionerna i rituximab-gruppen var herpes simplex- och zosterinfektioner, bronkit, urinvägsinfektion, svampinfektion och konjunktivit. Tre patienter (8%) i rituximab-gruppen fick totalt 5 allvarliga infektioner (lunginflammation orsakad av pneumocystis jirovecii, infektiös trombos, intervertebral diskit, lunginfektion, stafylokocksepsis) och en patient (3%) i prednisongruppen med standarddos upplevde en allvarlig infektion (lunginflammation orsakad av pneumocystis jirovecii).
I PV-studie 2 upplevde 42 patienter (62,7%) i rituximab-armen infektioner. De vanligaste infektionerna i rituximab-gruppen var infektioner i övre luftvägarna, nasofaryngit, oral candidiasis och urinvägsinfektion. Sex patienter (9%) i rituximab-armen upplevde allvarliga infektioner.
Efter marknadsintroduktion har allvarliga virusinfektioner rapporterats hos patienter som behandlats för PV med rituximab.
Laboratorieavvikelser
I PVstudie 2 var en vanlig observervation efter infusion i rituximab-armen en övergående minskning av lymfocytantalet, driven av en minskning i de perifera T-cellpopulationerna såväl som en övergående minskning av fosfornivån. Dessa ansågs induceras av premedicinering med metylprednisolon intravenös infusion.
I PV studie 2 var låga IgG-nivårer vanligt observerade och låga IgM-nivåer var mycket vanligt observerade. Emellertid fanns inga tecken på en ökad risk för allvarliga infektioner efter utvecklingen av låga IgG eller IgM.
Begränsad erfarenhet med doser högre än den godkända dosen av rituximab intravenös formulering är tillgängliga från kliniska studier på människa. Den högsta intravenösa dosen av rituximab som testats på människor hittills är 5000 mg (2250 mg/m2). Denna dos testades i en dosupptrappningsstudie hos patienter med kronisk lymfatisk leukemi. Inga ytterligare säkerhetssignaler identifierades.
Hos patienter som får en överdos bör infusionen omedelbart avbrytas och patienterna noga övervakas. Fem fall av överdosering med rituximab har rapporterats efter marknadsintroduktion. Tre fall hade inga rapporterade biverkningar. De två fall av biverkningar som rapporterades var influensaliknande symtom efter en dos av 1,8 g rituximab och fatal andningssvikt efter en dos av 2 g rituximab.
Rituximab är indicerat för vuxna vid följande indikationer:
Non-Hodgkins lymfom (NHL)
Rituximab är indicerat för behandling av tidigare obehandlade vuxna patienter med stadium III-IV follikulära lymfom i kombination med kemoterapi.
Underhållsbehandling med rituximab är indicerat för behandling av vuxna patienter med follikulära lymfom som svarat på induktionsbehandling.
Rituximab givet som monoterapi är indicerat för behandling av vuxna patienter med stadium III-IV follikulära lymfom som är kemoterapiresistenta eller har minst sitt andra recidiv efter kemoterapi. Rituximab är indicerat för behandling av vuxna patienter med CD20-positiva diffusa storcelliga B- cells non-Hodgkins lymfom i kombination med CHOP (cyklofosfamid, doxorubicin, vinkristin, prednisolon).
Rituximab i kombination med kemoterapi är indicerat för behandling av pediatriska patienter (ålder ≥ 6 månader till < 18 år) med tidigare obehandlat avancerat stadium av CD20-positiva diffusa storcelliga B‑cellslymfom (DLBCL, Diffuse Large B-Cell Lymphoma), Burkitt-lymfom (BL)/Burkitt-leukemi (mogen akut B-cellsleukemi) (BAL) eller Burkitt-liknande lymfom (BLL).
Kronisk lymfatisk leukemi (KLL)
Rituximab i kombination med kemoterapi är indicerat vid tidigare obehandlad KLL och vid återfall eller refraktär sjukdom. Endast begränsade data finns tillgängliga avseende effekt och säkerhet för patienter som tidigare behandlats med monoklonala antikroppar inklusive rituximab, eller för patienter refraktära till tidigare behandling med rituximab plus kemoterapi.
Se avsnitt 5.1 för ytterligare information.
Reumatoid artrit
Rituximab i kombination med metotrexat är indicerat för behandling av vuxna patienter med svår aktiv reumatoid artrit som har haft ett otillräckligt svar eller är intoleranta mot andra sjukdomsmodifierande antireumatiska läkemedel (DMARD) inklusive behandling med en eller flera tumörnekrosfaktor (TNF) hämmare.
Rituximab har visats bromsa utvecklingen av leddestruktion mätt med röntgen och förbättra den fysiska funktionen när det ges i kombination med metotrexat.
Granulomatos med polyangit och mikroskopisk polyangit
Rituximab i kombination med glukokortikoider är indicerat för behandling av vuxna patienter med svår aktiv granulomatos med polyangit (Wegeners) (GPA) och mikroskopisk polyangit (MPA).
Rituximab i kombination med glukokortikoider är indicerat för induktion av remission hos barn (ålder ≥ 2 år till < 18 år) med svår, aktiv GPA (Wegeners) och MPA.
Pemfigus vulgaris
Rituximab är indicerat för behandling av patienter med måttlig till svår pemfigus vulgaris (PV).
Rituximab ska administreras under noggrann övervakning av en erfaren sjukvårdspersonal och i en miljö där det finns omedelbar tillgång till fullständig återupplivningsutrustning (se avsnitt 4.4).
Premedicinering och profylaktisk medicinering
Premedicinering bestående av ett antipyretikum och ett antihistaminläkemedel, t ex. paracetamol och difenhydramin, bör alltid administreras före varje administrering med rituximab.
För vuxna patienter med non-Hodgkins lymfom och kronisk lymfatisk leukemi bör premedicinering med glukokortikoider övervägas om rituximab inte ges i kombination med glukokortikoidinnehållande kemoterapi.
Hos pediatriska patienter med non-Hodgkins lymfom bör premedicinering med paracetamol och H1- antihistamin (= difenhydramin eller motsvarande) administreras 30 till 60 minuter innan infusionen av rituximab påbörjas. I tillägg bör prednison ges enligt tabell 1.
Profylax med adekvat hydrering och administrering av medel som minskar urinsyraproduktionen bör påbörjas 48 timmar innan behandlingen påbörjas för KLL-patienter för att minska risken för tumörlyssyndrom. För KLL-patienter vars lymfocytnivåer är >25 x 109/l rekommenderas att administrera prednison/prednisolon 100 mg intravenöst strax innan infusion med rituximab för att minska frekvensen och svårighetsgraden av akuta infusionsreaktioner och/eller cytokinfrisättningssyndrom.
Patienter med reumatoid artrit, GPA eller MPA eller pemfigus vulgaris bör ha premedicinerats med 100 mg intravenöst metylprednisolon 30 minuter före varje infusion av rituximab för att minska förekomsten och svårighetsgraden av infusionsrelaterade reaktioner.
För vuxna patienter patienter med GPA eller MPA rekommenderas metylprednisolon intravenöst under 1-3 dagar i dosen 1000 mg per dag innan den första infusionen av rituximab (den sista dosen av metylprednisolon kan ges på samma dag som den första infusionen av rituximab). Detta bör efterföljas av peroralt prednison i dosen 1 mg/kg/dag (högst 80 mg/dag med en så snabb nedtrappning som möjligt baserad på det kliniska behovet) under och efter den 4 veckor långa induktionsbehandlingen med rituximab.
Profylax mot Pneumocystis jiroveci pneumoni (PJP) rekommenderas för vuxna patienter med GPA/MPA eller PV under och efter behandling med rituximab, som lämpligt enligt lokala riktlinjer och klinisk praxis.
Pediatrisk population
Pediatriska patienter med GPA eller MPA ska ges metylprednisolon intravenöst i tre dagliga doser om 30 mg/kg/dag (dosen ska inte överstiga 1 g/dag) innan den första intravenösa infusionen av rituximab, för att behandla allvarliga vaskulitsymptom. Upp till ytterligare tre doser på 30mg/kg/dag kan ges innan den första infusionen av rituximab.
Efter avslutad administrering av intravenöst metylprednisolon ska patienter få oralt prednison 1 mg/kg/dag (dosen ska inte överstiga 60 mg/dag). Dosen ska trappas ut så snabbt som möjligt enligt kliniskt behov (se avsnitt 5.1).
Profylax mot Pneumocystis jiroveci pneumoni (PJP) rekommenderas för pediatriska patienter med GPA eller MPA under och efter behandling med rituximab, enligt vad som är lämpligt.
Dosering
Det är viktigt att kontrollera produktens märkning för att säkerställa att korrekt formulering (intravenös eller subkutan formulering) ges till patienten så som förskrivet.
Non-Hodgkins lymfom
Follikulära non-Hodgkins lymfom
Kombinationsbehandling
Den rekommenderade dosen av rituximab givet i kombination med kemoterapi för induktionsbehandling av tidigare obehandlade patienter eller patienter med relapserade/refraktära follikulära lymfom är: 375 mg/m2 kroppsyta per behandlingscykel upp till 8 behandlingscykler. Rituximab bör ges dag 1 i varje behandlingscykel efter intravenös administrering av glukokortikoidkomponenten i kemoterapin om möjligt.
Underhållsbehandling
• Tidigare obehandlat follikulärt lymfom
Den rekommenderade dosen av rituximab givet som underhållsbehandling till patienter med tidigare obehandlat follikulärt lymfom som har svarat på induktionsbehandling är: 375 mg/m2 kroppsyta givet en gång varannan månad (med start 2 månader efter senaste dos av induktionsbehandlingen) till sjukdomsprogression eller under maximalt två år (totalt 12 infusioner).
• Relapserade/refraktära follikulära lymfom
Den rekommenderade dosen av rituximab givet som underhållsbehandling till patienter med relapserade/refraktära follikulära lymfom som har svarat på induktionsbehandling är: 375 mg/m² kroppsyta givet en gång var tredje månad (med start 3 månader efter senaste dos av induktionsbehandlingen) till sjukdomsprogression eller under maximalt två år (totalt 8 infusioner).
Monoterapi
• Relapserade/refraktära follikulära lymfom
Den rekommenderade dosen av rituximab givet som monoterapi för induktionsbehandling av vuxna patienter med stadium III-IV follikulära lymfom som är kemoterapiresistenta eller har minst sitt andra recidiv efter kemoterapi är: 375 mg/m² kroppsyta, givet som en intravenös infusion en gång per vecka i fyra veckor.
För förnyad behandling med rituximab givet som monoterapi till patienter som svarat på tidigare behandling med rituximab givet som monoterapi vid relapserade/refraktära follikulära lymfom är den rekommenderade dosen: 375 mg/m² kroppsyta, givet som en intravenös infusion en gång per vecka i fyra veckor (se avsnitt 5.1).
Diffusa storcelliga B-cells non-Hodgkins lymfom hos vuxna
Rituximab skall användas i kombination med CHOP. Den rekommenderade dosen är 375 mg/m2 kroppsyta, givet dag 1 i varje behandlingscykel efter intravenös infusion av glukokortikoidkomponenten i CHOP, och under 8 behandlingscykler. Säkerhet och effekt av Rituximab har ej visats i kombination med annan kemoterapi vid diffusa storcelliga B-cells non- Hodgkins lymfom.
Dosjusteringar under behandling
Ingen dosjustering av rituximab rekommenderas. När rituximab ges i kombination med kemoterapi, bör standardiserade dosjusteringar för de kemoterapeutiska läkemedlen tillämpas.
Kronisk lymfatisk leukemi
Den rekommenderade dosen av rituximab i kombination med kemoterapi vid tidigare obehandlad KLL och vid återfall/refraktär sjukdom är 375 mg/m2 kroppsyta administrerat dag 0 i den första behandlingscykeln följt av 500 mg/m2 kroppsyta administrerat på dag 1 varje efterföljande cykel, totalt 6 cykler. Kemoterapin bör ges efter rituximab-infusionen.
Reumatoid artrit.
Patienter som behandlas med rituximab måste få patientkortet vid varje infusion.
En behandlingsomgång med rituximab består av två intravenösa infusioner à 1000 mg. Den rekommenderade doseringen är 1000 mg som intravenös infusion följt av en andra infusion om 1000 mg två veckor senare.
Behovet av flera behandlingsomgångar bör utvärderas 24 veckor efter föregående behandlingsomgång. Behandling bör upprepas vid detta tillfälle om sjukdomsaktivitet kvarstår, i annat fall bör behandlingen sättas in igen då sjukdomsaktiviteten återkommer. Tillgängliga data tyder på att kliniskt svar vanligen uppnås inom 16-24 veckor efter påbörjad behandling. För patienter som inte svarat på behandlingen inom denna period bör fortsatt behandling noggrant övervägas.
Granulomatos med polyangit (GPA) och mikroskopisk polyangit (MPA)
Patienter som behandlas med rituximab måste få patientkortet vid varje infusion.
Induktion av remission hos vuxna patienter
Den rekommenderade dosen av rituximab för induktion av remission hos vuxna patienter med GPA och MPA är 375 mg/m2 kroppsyta, givet som en intravenös infusion en gång per vecka under 4 veckor (fyra infusioner totalt).
Underhållsbehandling av vuxna patienter
Efter induktion av remission med rituximab bör inte underhållsbehandling hos vuxna patienter med GPA och MPA initieras tidigare än 16 veckor efter den sista infusionen av rituximab.
Efter induktion av remission med annan immunsuppressiv standardbehandling bör underhållsbehandling med rituximab initieras under den 4-veckorsperiod som följer remission av sjukdomen.
Rituximab bör administreras som två intravenösa 500 mg-infusioner med två veckors mellanrum, efterföljt av en intravenös 500 mg-infusion var 6:e månad därefter. Patienter bör få rituximab i minst 24 månader efter att remission uppnåtts (avsaknad av kliniska tecken och symtom). För patienter som har högre risk för återfall bör läkarna överväga en längre duration av underhållsbehandling med rituximab, upp till 5 år.
Pemfigus vulgaris
Patienter som behandlas med rituximab måste få patientkortet vid varje infusion.
Den rekommenderade dosen av rituximab för behandling av pemfigus vulgaris är 1000 mg administrerat som en intravenös infusion efterföljt av en andra intravenös infusion på 1000 mg två veckor senare, i kombination med nedtrappning av glukokortikoider.
Underhållsbehandling
En intravenös underhållsinfusion på 500 mg bör administreras efter 12 samt 18 månader och därefter var 6:e månad efter behov, baserat på klinisk bedömning.
Behandling av återfall
Vid återfall kan 1000 mg ges intravenöst. Förskrivaren bör också överväga att återuppta eller öka patientens glukokortikoiddos, baserat på klinisk bedömning.
Efterföljande infusioner bör inte administreras tidigare än 16 veckor efter förgående infusion.
Särskilda patientgrupper
Pediatrisk population
Non-Hodgkins lymfom
Hos pediatriska patienter från ≥ 6 månader till < 18 års ålder med tidigare obehandlat avancerat stadium av CD20-positiv DLBCL/BL/BAL/BLL, ska rituximab användas i kombination med systemisk kemoterapi Lymfom Malin B (LMB) (se tabell 1 och 2). Den rekommenderade dosen av rituximab är 375 mg/m2 kroppsyta administrerat som en intravenös infusion. Ingen dosjustering av rituximab, annat än för kroppsyta, är nödvändig.
Säkerheten och effekten av rituximab hos pediatriska patienter ≥ 6 månader till < 18 års ålder har ännu ej fastställts för andra indikationer än vid tidigare obehandlat avancerat stadium av CD20-positiv DLBCL/BL/BAL/BLL. Endast begränsade data finns tillgängliga för patienter under 3 års ålder. Se avsnitt 5.1 för ytterligare information.
Rituximab ska inte användas hos pediatriska patienter från födsel till < 6 månaders ålder med CD20- positivt diffust storcelligt B-cellslymfom (se avsnitt 5.1).
Tabell 1 Dosering av rituximab-administrering hos pediatriska patienter med Non- Hodgkins lymfom
Tabell 2 Behandlingsplan för Non-Hodgkins lymfom, pediatriska patienter: Kemoterapi tillsammans med rituximab
Granulomatos med polyangit (GPA) och mikroskopisk polyangit (MPA)
Induktion av remission
Den rekommenderade dosen av rituximab för induktion av remission hos pediatriska patienter med svår, aktiv GPA och MPA är 375 mg/m2 kroppsyta, givet som en intravenös infusion en gång per vecka under 4 veckor.
Säkerheten och effekten av rituximab hos barn (ålder ≥ 2 år till < 18 år) har ej fastställts för andra indikationer än svår, aktiv GPA eller MPA.
Rituximab ska inte användas hos patienter yngre än 2 års ålder som har svår, aktiv GPA eller MPA. Det finns risk för ett otillräckligt immunsvar mot barnvaccinationer som används för att förebygga vanliga barnsjukdomar (exempelvis mässlingen, påssjuka, rödahund och polio) (se avsnitt 5.1).
Äldre
Ingen dosjustering krävs hos äldre patienter (> 65 år).
Administreringssätt
Den beredda rituximab-lösningen ska ges som en intravenös infusion genom en där för avsedd infusionskanal. Administrera inte den beredda infusionslösningen som intravenös injektion eller som bolusinfusion.
Patienter skall noggrant övervakas med avseende på cytokinfrisättningssyndrom (se avsnitt 4.4). Om patienten utvecklar symtom på svåra reaktioner, särskilt svår dyspné, bronkospasm eller hypoxi, skall infusionen omedelbart avbrytas. Patienter med non-Hodgkins lymfom skall då utvärderas med avseende på tecken på tumörlyssyndrom, inklusive lämpliga laboratorietester, och med avseende på lunginfiltrat med lungröntgen. För alla patienter gäller att infusionen inte ska återupptas förrän symtomen avklingat fullständigt och det skett en normalisering av laboratorievärden och lungröntgenfynd. När så är fallet kan infusionen återupptas igen med högst halva den föregående infusionshastigheten. Om samma svåra reaktioner uppträder en andra gång bör definitivt behandlingsavbrott noggrant övervägas från fall till fall.
Milda eller måttliga infusionsrelaterade reaktioner (se avsnitt 4.8) svarar ofta på en minskning av infusionshastigheten. Infusionshastigheten kan ökas vid förbättring av symtomen.
Första infusionen
Den rekommenderade inledande infusionshastigheten är 50 mg/timme. Efter de första 30 minuterna kan hastigheten gradvis ökas med 50 mg/timme var 30:e minut till maximalt 400 mg/timme.
Efterföljande infusioner
För alla indikationer
Efterföljande infusioner av rituximab kan ges med en inledande infusionshastighet av 100 mg/timme och ökas med 100 mg/timme var 30:e minut, till maximalt 400 mg/timme.
Pediatriska patienter - non-Hodgkins lymfom
Första infusionen
Den rekommenderade inledande infusionshastigheten är 0,5 mg/kg/timme (maximalt 50 mg/timme); som kan ökas med 0,5 mg/kg/timme var 30:e minut om ingen överkänslighetsreaktion eller infusionsrelaterad reaktion uppstår, till maximalt 400 mg/timme.
Efterföljande infusioner
Efterföljande infusioner av rituximab kan ges med en inledande infusionshastighet av 1 mg/kg/timme (maximalt 50 mg/timme) och kan ökas med 1 mg/kg/timme var 30:e minut, till maximalt 400 mg/timme.
Endast för reumatoid artrit
Alternativa efterföljande infusioner med snabbare administreringsschema
Om patienter inte upplevde en allvarlig infusionsrelaterad reaktion under deras första eller efterföljande infusioner med en dos på 1000 mg rituximab som administrerades enligt ordinarie administreringsschema, kan en snabbare infusion ges vid den andra och efterföljande infusioner med samma koncentration som vid tidigare infusioner (4 mg/ml i 250 ml volym). Inled med en hastighet av 250 mg/timme under de första 30 minuterna och sedan 600 mg/timme under de efterföljande 90 minuterna. Om den snabbare infusionen tolereras kan samma administreringsschema användas för efterföljande infusioner.
Patienter med kliniskt signifikant kardiovaskulär sjukdom, inklusive arytmier, eller tidigare allvarliga infusionsreaktioner mot något annat biologiskt läkemedel eller mot rituximab, bör inte få den snabbare infusionen.
Kontraindikationer vid användning vid non-Hodgkins lymfom och kronisk lymfatisk leukemi
Överkänslighet mot den aktiva substansen eller mot murina proteiner, eller mot något annat hjälpämne som anges i avsnitt 6.1.
Aktiva, svåra infektioner (se avsnitt 4.4).
Patienter med svår immunsuppression.
Kontraindikationer vid användning vid reumatoid artrit, granulomatos med polyangit, mikroskopisk polyangit och pemfigus vulgaris
Överkänslighet mot den aktiva substansen eller mot murina proteiner, eller mot något annat hjälpämne som anges i avsnitt 6.1.
Aktiva, svåra infektioner (se avsnitt 4.4).
Patienter med svår immunsuppression.
Svår hjärtsvikt (New York Heart Association klass IV) eller svår okontrollerad hjärtsjukdom (se avsnitt 4.4 gällande andra hjärtsjukdomar).
Spårbarhet
För att förbättra spårbarheten av biologiska läkemedel ska produktnamnet och batchnumret (Sats/Lot) på det administrerade läkemedlet tydligt noteras.
Progressiv multifokal leukoencefalopati
Samtliga patienter som behandlas med rituximab för reumatoid artrit, GPA, MPA eller pemfigus vulgaris måste få patientkortet vid varje infusion. Patientkortet innehåller viktig säkerhetsinformation till patienten gällande möjligt ökad risk för infektioner, inklusive progressiv multifokal leukoencefalopati (PML).
Mycket sällsynta fall av dödlig PML har rapporterats till följd av användning av rituximab. Patienter måste övervakas med regelbundna intervaller för nya eller förvärrade neurologiska symtom eller tecken som kan tyda på PML. Om PML misstänks, måste fortsatt dosering avbrytas tills dess att PML har uteslutits. Läkaren ska utvärdera patienten för att avgöra om symtomen visar på neurologisk nedsättning, och om så är fallet, om dessa symtom möjligen skulle kunna tyda på PML. Konsultation med en neurolog bör övervägas om det är kliniskt indicerat.
Om det finns några tvivel, ska ytterligare utredning, inklusive MRI företrädelsevis med kontrast, cerebrospinalvätska (CSF) test för JC-virus DNA och upprepade neurologiska utredningar, övervägas.
Läkaren ska vara särskilt observant på symtom som tyder på PML som patienten kanske inte märker själv (t.ex. kognitiva, neurologiska eller psykiatriska symtom). Patienter ska också få rådet att informera sin partner eller vårdgivare om sin behandling, eftersom de kan upptäcka symtom som patienten inte själv är medveten om.
Om en patient utvecklar PML, måste doseringen av rituximab upphöra permanent.
Efter återställande av immunsystemet hos immunförsvagde patienter med PML, har stabilisering eller förbättring setts. Det är fortfarande okänt om tidig upptäckt av PML och avbruten rituximab- behandling kan leda till liknande stabilisering eller förbättring.
Non-Hodgkins lymfom och kronisk lymfatisk leukemi
Infusionsrelaterade reaktioner
Rituximab associeras med infusionsrelaterade reaktioner, vilka kan vara relaterade till frisättning av cytokiner och/eller andra kemiska mediatorer. Cytokinfrisättningssyndrom kan kliniskt sett vara svårskiljbara från akuta överkänslighetsreaktioner.
Dessa reaktioner som inkluderar cytokinfrisättningssyndrom, tumörlyssyndrom och anafylaktiska och överkänslighetsreaktioner, beskrivs nedan. De är inte specifikt relaterade till administreringssättet av Rituximab och kan observeras med båda formuleringarna.
Efter marknadsintroduktionen av den intravenösa formuleringen av rituximab har allvarliga infusionsrelaterade reaktioner med dödlig utgång rapporterats, vilka inträder från 30 minuter till 2 timmar efter start av den första intravenösa infusionen med rituximab. Dessa reaktioner kännetecknades av pulmonella händelser och i vissa fall snabb tumörlys och tecken på tumörlyssyndrom i tillägg till feber, frossa, stelhet, hypotension, urtikaria, angioödem och andra symtom (se avsnitt 4.8 ).
Allvarligt cytokinfrisättningssyndrom karakteriseras av svår dyspné ofta förenad med bronkospasm och hypoxi. Dessutom förekommer feber, frossa, stelhet, urtikaria och angioödem. Syndromet kan uppvisa tecken som vid tumörlyssyndrom såsom hyperurikemi, hyperkalemi, hypokalcemi, hyperfosfatemi, akut njurinsufficiens och laktatdehydrogenas (LDH)-stegring. Syndromet kan också vara associerat med akut andningsinsufficiens och leda till döden. Med den akuta respiratoriska svikten kan pulmonella lunginfiltrat och ödem förekomma (fynd vid lungröntgen). Syndromet uppkommer vanligen inom en till två timmar efter att första infusionen påbörjats. Patienter med känd lunginsufficiens eller med tumörinfiltrat i lungorna kan löpa större risk och skall behandlas med stor försiktighet. Infusionen skall omedelbart avbrytas om patienten utvecklar symtom på svår cytokinfrisättning (se avsnitt 4.2) och ges optimal symtomatisk behandling. Då en initial förbättring av kliniska symtom kan följas av en försämring av tillståndet skall dessa patienter kontrolleras noga tills tecken på tumörlyssyndrom och lunginfiltrat försvunnit eller uteslutits. Det är ovanligt att upprepad behandling av patienter, vars reaktioner helt gått tillbaka, på nytt gett upphov till allvarligt cytokinfrisättningssyndrom.
Patienter med stor tumörbörda eller ett stort antal (≥ 25 x 109/l) cirkulerande maligna celler så som patienter med KLL, vilka kan löpa större risk för utveckling av särskilt allvarligt cytokinfrisättningssyndrom, bör behandlas med yttersta försiktighet. Dessa patienter måste övervakas mycket noggrant under den första infusionen. För dessa patienter bör man överväga en reducerad infusionshastighet under den första infusionen eller en delad dosering under två dygn under den första cykeln och de efterföljande cyklerna om antalet lymfocyter fortfarande är >25 x 109/l.
Infusionsrelaterade biverkningar av alla typer har observerats hos 77% av patienterna behandlade med rituximab (inklusive cytokinfrisättningssyndrom med hypotension och bronkospasm hos 10 % av patienterna), se avsnitt 4.8. Dessa symtom är vanligtvis reversibla efter avbrytande av infusionen och följt av behandling med ett antipyretikum och ett antihistamin. I vissa fall kan behandling med syrgas, koksaltinfusion, bronkdilaterare och glukokortikoider behövas. För svåra reaktioner hänvisas till texten ovan om cytokinfrisättningssyndromet.
Anafylaktiska och andra överkänslighetsreaktioner har rapporterats efter intravenös administrering av proteiner till patienter. Typiskt för dessa reaktioner är att de, i motsats till cytokinfrisättningssyndromet, inträffar inom några minuter efter det att infusionen påbörjats. Läkemedel för behandling av överkänslighetsreaktioner, som t ex epinefrin (adrenalin), antihistaminer och glukokortikoider, skall finnas tillgängliga för akut insättande i händelse av en allergisk reaktion orsakad av rituximab. Kliniska tecken på anafylaxi kan likna de vid ett cytokinfrisättningssyndrom (se ovan). Reaktioner som hänför sig till överkänslighet har rapporterats mindre frekvent än de som relateras till cytokinfrisättning.
I vissa fall rapporterades ytterligare reaktioner vilka var hjärtinfarkt, förmaksflimmer, lungödem och akut reversibel trombocytopeni.
Eftersom hypotension kan inträffa vid administrering av rituximab bör utsättning av antihypertensiva läkemedel övervägas 12 timmar före rituximab-infusionen.
Hjärtat
Angina pectoris, hjärtarytmier såsom förmaksfladder och -flimmer, hjärtsvikt och hjärtinfarkt har förekommit hos patienter behandlade med rituximab. Patienter med kardiell anamnes och/eller som behandlats med kardiotoxisk kemoterapi ska övervakas noga.
Hematologisk toxicitet
Även om rituximab i monoterapi inte är myelosuppressiv, skall försiktighet iakttas då behandling av patienter med neutrofiler < 1,5 x 109/l och/eller trombocyter < 75 x 109/l övervägs, eftersom klinisk erfarenhet från denna patientgrupp är begränsad. Rituximab har använts av 21 patienter som har genomgått autolog benmärgstransplantation och av andra riskgrupper med en förmodad reducerad benmärgsfunktion utan att inducera myelotoxicitet.
Regelbunden komplett blodstatus, inklusive neutrofil- och trombocyträkning, bör genomföras vid rituximab-behandling.
Infektioner
Allvarliga infektioner, inklusive de med dödlig utgång, kan inträffa vid behandling med rituximab (se avsnitt 4.8). Rituximab ska inte administreras till patienter med en aktiv svår infektion (t.ex. tuberkulos, sepsis och oppotunistiska infektioner, se avsnitt 4.3).
Läkare ska iaktta försiktighet vid övervägande av användning av rituximab på patienter med en anamnes av återkommande eller kroniska infektioner eller med bakomliggande tillstånd som ytterligare kan öka mottagligheten för allvarliga infektioner (se avsnitt 4.8).
Fall av hepatit B-reaktivering inklusive fulminant hepatit med dödlig utgång har rapporterats hos personer som fått rituximab. Majoriteten av dessa personer var dock även exponerade för cytostatika. Begränsad information från en studie hos patienter med återfall/refraktär kronisk lymfatisk leukemi antyder att rituximab-behandling även kan försämra utfallet av primära hepatit B-infektioner. Screening för hepatit B-virus (HBV) ska utföras hos alla patienter innan behandling med rituximab inleds. Screening bör åtminstone omfatta HBsAg-status och antiHBc-status, vilka kan kompletteras med andra lämpliga markörer enligt lokala riktlinjer. Patienter med aktiv hepatit B-infektion bör inte behandlas med rituximab. Patienter med positiv hepatit B-serologi (antingen HBsAg eller antiHBc) ska konsultera experter på leversjukdomar innan behandling startas och ska övervakas samt omhändertas enligt lokala medicinska riktlinjer för att förhindra hepatit B-reaktivering.
Mycket sällsynta fall av progressiv multifokal leukoencefalopati (PML) har rapporterats efter marknadsintroduktionen av rituximab vid behandling av non-Hodgkins lymfom (NHL) och kronisk lymfatisk leukemi (KLL) (se avsnitt 4.8). Majoriteten av patienterna hade fått rituximab i kombination med kemoterapi eller som en del av en hematopoetisk stamcellstransplantation.
Fall av enteroviral meningoencefalit, inklusive dödsfall, har rapporterats efter användning av rituximab.
Falskt negativ serologisk testning av infektioner
På grund av risken för falskt negativa serologiska tester av infektioner bör alternativa diagnostiska verktyg övervägas hos patienter som uppvisar symtom som tyder på sällsynt infektionssjukdom, t.ex. West Nile-virus och neuroborrelios.
Immunisering
Säkerheten vid immunisering med levande virala vacciner efter behandling med rituximab har inte studerats hos patienter med NHL och KLL och vaccination med levande virusvacciner rekommenderas inte. Patienter som behandlas med rituximab kan få vaccinationer med avdödade vacciner. Svarsfrekvensen kan emellertid vara lägre med avdödade vacciner. I en icke randomiserad studie, hade vuxna patienter med relapserad låggradig NHL, som fick rituximab i monoterapi vid jämförelse med friska obehandlade kontroller, lägre svarsfrekvens på stelkrampsvaccination (16 % jämfört med 81 %) och Keyhole Limpet-hemocyanin (KLH) neoantigen (4 % jämfört med 76 % vid en uppskattning av >2 gånger så stor ökning i antikroppstiter). För patienter med KLL är resultaten troligen liknande med tanke på likheterna mellan de båda sjukdomarna, men detta har inte studerats i kliniska studier.
Medelvärdet av pre-terapeutisk antikroppstiter mot en rad olika antigener (streptokockpneumoni, influensa A, påssjuka, röda hund, vattkoppor) kvarstod under minst 6 månader efter behandling med rituximab.
Hudreaktioner
Svåra hudreaktioner såsom toxisk epidermal nekrolys (Lyells syndrom) och Stevens-Johnsons syndrom, varav några fall med dödlig utgång, har rapporterats (se avsnitt 4.8). Om reaktionerna misstänks kunna associeras till rituximab bör behandlingen sättas ut permanent.
Pediatrisk population
Endast begränsade data finns tillgängliga för patienter under 3 års ålder. Se avsnitt 5.1 för ytterligare information.
Reumatoid artrit, granulomatos med polyangit (GPA) och mikroskopisk polyangit (MPA) och pemfigus vulgaris
Metotrexat (MTX) naiva populationer med reumatoid artrit
Rituximab rekommenderas inte för behandling av metotrexat-naiva patienter då en gynnsam risk/nytta-balans inte kunnat visas.
Infusionsrelaterade reaktioner
Rituximab är förknippat med infusionsrelaterade reaktioner (IRR), vilka kan vara relaterade till frisättning av cytokiner och/eller andra kemiska mediatorer.
Svåra infusionsrelaterade reaktioner med fatal utgång har rapporterats hos patienter med reumatoid artrit efter marknadsgodkännande. Vid reumatoid artrit var majoriteten av infusionsrelaterade händelser som rapporterades i kliniska studier, milda till måttliga i svårighetsgrad. Vanligaste symtomen var allergiska reaktioner såsom huvudvärk, pruritus, halsirritation, rodnad, hudutslag, urtikaria, hypertoni samt feber. I allmänhet var andelen patienter som fick infusionsrelaterade reaktioner större under första infusionen än under andra infusionen i varje behandlingsomgång. Incidensen av IRR minskade vid upprepade behandlingsomgångar (se avsnitt 4.8). De rapporterade reaktionerna var vanligen reversibla vid en minskning i hastighet, eller avbrott, av rituximab- infusionen och administrering av ett antipyretikum, ett antihistamin och i vissa fall syrgas, intravenös koksaltlösning eller bronkdilaterare, samt vid behov glukokortikoider. Patienter med redan existerande hjärtproblem samt de som tidigare upplevt kardiopulmonära biverkningar ska monitoreras noga.
Beroende på svårighetsgraden av den infusionsrelaterade reaktionen och nödvändiga åtgärder sätts rituximab ut temporärt eller permanent. I de flesta fall kan infusionen återupptas med en 50 % -ig minskning i infusionshastighet (t ex från 100 mg/timme till 50 mg/timme) då symtomen helt har avklingat.
Läkemedel för behandling av överkänslighetsreaktioner som t ex epinefrin (adrenalin), antihistaminer och glukokortikoider, ska finnas tillgängliga för omedelbar användning om en allergisk reaktion skulle inträffa under administrering med rituximab.
Det finns inga data avseende säkerheten av rituximab hos patienter med måttlig hjärtsvikt (NYHA klass III) eller svår okontrollerad kardiovaskulär sjukdom. Hos patienter behandlade med rituximab har man observerat att kända ischemiska hjärttillstånd blivit symtomatiska, såsom angina pectoris och även förmaksflimmer och förmaksfladder. Därför bör risken för att patienter med känd hjärtsjukdom samt de som tidigare upplevt kardiopulmonära biverkningar, ska få kardiovaskulära komplikationer som ett resultat av infusionsreaktioner tas i beaktande innan behandling med rituximab inleds och patienterna bör övervakas noga under administreringen. Eftersom hypotension kan inträffa under rituximab-infusion bör man överväga att avstå från att ge antihypertensiv behandling 12 timmar före rituximab-infusionen.
Infusionsrelaterade reaktioner hos patienter med GPA, MPA och pemfigus vulgaris överensstämde med dem som sågs hos patienter med reumatoid artrit i kliniska studier och efter marknadsintroduktionen (se avsnitt 4.8).
Hjärtsjukdomar
Angina pectoris, hjärtarytmier såsom förmaksfladder och -flimmer, hjärtsvikt och/eller hjärtinfarkt har förekommit hos patienter behandlade med rituximab. Patienter som har eller har haft hjärtsjukdom skall därför följas noga (se Infusionsrelaterade reaktioner ovan).
Infektioner
Baserat på verkningsmekanismen för rituximab och kunskapen om att B-celler spelar en viktig roll för att upprätthålla ett normalt immunsvar har patienter en ökad infektionsrisk till följd av behandling med rituximab (se avsnitt 5.1). Allvarliga infektioner, inklusive dödsfall, kan inträffa vid rituximab-behandling (se avsnitt 4.8). Rituximab ska inte ges till patienter med en aktiv svår infektion (t ex tuberkulos, sepsis och opportunistiska infektioner, se avsnitt 4.3) eller svårt immunsupprimerade patienter (t ex då nivåerna av CD4 och CD8 är mycket låga). Läkare bör iaktta försiktighet då de överväger att använda rituximab hos patienter med tidigare återkommande eller kroniska infektioner eller med underliggande tillstånd som kan göra patienten ytterligare predisponerad för allvarliga infektioner t.ex. hypogammaglobulinemi (se avsnitt 4.8). Före initiering av rituximab-behandling rekommenderas att immunoglobulinnivåerna fastställs.
Patienter som rapporterar tecken eller symtom på infektion efter rituximab-behandling ska omedelbart utvärderas och behandlas på lämpligt sätt. Innan en ytterligare behandling med rituximab ges ska patienten åter utvärderas för eventuell infektionsrisk.
Mycket sällsynta fall av fatal progressiv multifokal leukoencefalopati (PML) har rapporterats efter användning av rituximab vid behandling av reumatoid artrit och autoimmuna sjukdomar inklusive systemisk lupus erythematosus (SLE) och vaskulit.
Fall av enteroviral meningoencefalit, inklusive dödsfall, har rapporterats efter användning av rituximab.
Falskt negativ serologisk testning av infektioner
På grund av risken för falskt negativa serologiska tester av infektioner bör alternativa diagnostiska verktyg övervägas hos patienter som uppvisar symtom som tyder på sällsynt infektionssjukdom, t.ex. West Nile-virus och neuroborrelios.
Hepatit B-infektioner
Fall av hepatit B-reaktivering, inklusive de med dödlig utgång, har rapporterats hos patienter med reumatoid artrit, GPA och MPA, som fått rituximab.
Screening för hepatit B-virus (HBV) ska utföras hos alla patienter innan behandling med rituximab inleds. Screening bör åtminstone omfatta HBsAg-status och antiHBc-status, vilka kan kompletteras med andra lämpliga markörer enligt lokala riktlinjer. Patienter med aktiv hepatit B-infektion bör inte behandlas med rituximab. Patienter med positiv hepatit B-serologi (antingen HBsAg eller antiHBc) ska konsultera experter på leversjukdomar innan behandling startar och ska övervakas samt omhändertas enligt lokala medicinska riktlinjer för att förhindra hepatit B-reaktivering.
Sent insättande neutropeni
Mät blodneutrofiler före varje behandling med rituximab och regelbundet upp till 6 månader efter avslutad behandling, samt vid tecken eller symtom på infektion (se avsnitt 4.8).
Hudreaktioner
Svåra hudreaktioner såsom toxisk epidermal nekrolys (Lyells syndrom) och Stevens-Johnsons syndrom, varav några fall med dödlig utgång, har rapporterats (se avsnitt 4.8). Om reaktionerna misstänks kunna associeras till rituximab bör behandlingen sättas ut permanent.
Immunisering
Läkare ska gå igenom patientens vaccinationstatus och patienter ska om möjligt uppdateras med alla vaccinationer enligt gällande immuniseringsriktlinjer innan påbörjad rituximab-behandling. Vaccinationer ska vara avslutade minst 4 veckor före första administrering av Rituximab.
Säkerheten av immunisering med levande virala vacciner efter rituximab-behandling har inte studerats. Därför rekommenderas inte vaccinering med levande virala vacciner vid rituximab- behandling eller vid låga perifiera B cells nivåer.
Patienter behandlade med rituximab kan få vaccinationer med avdödat vaccin. Svarsfrekvensen för avdödade vacciner kan emellertid vara reducerad. I en randomiserad studie, hade patienter med reumatoid artrit som behandlades med rituximab och metotrexat jämförbara svarsfrekvenser av stelkrampsvaccination (39 % jämfört med 42 %), minskad svarsfrekvens av pneumokock polysackarid vaccin (43 % jämfört med 82 % till minst 2 serotyper av pneumokockantikroppar), och KLH neoantigen (47 % jämfört med 93 %), då det gavs 6 månader efter rituximab-behandling jämfört med patienter som bara fått metotrexat. Skulle vaccinationer med avdödat vaccin behövas under rituximab-behandling, bör dessa avslutats minst 4 veckor innan nästa behandlingsomgång med rituximab inleds.
Den övergripande erfarenheten av upprepad behandling med rituximab vid reumatoid artrit under ett år, är att andelen av patienter med positiv antikroppstiter mot S.pneumoniae, influensa, påssjuka, röda hund, vattkoppor och tetanustoxin i allmänhet motsvarade andelen innan behandlingen inleddes.
Samtidig/sekventiell användning av andra DMARDs vid reumatoid artrit
Samtidig användning av rituximab och andra antireumatiska behandlingar än de som specificeras under reumatoid artrits indikation och dosering rekommenderas inte.
Det finns begränsade data från kliniska studier för att helt utvärdera säkerheten vid sekventiell användning av andra DMARDs (inklusive TNF-hämmare och andra biologiska läkemedel) efter behandling med rituximab (se avsnitt 4.5). Tillgängliga data tyder på att frekvensen av klinisk relevant infektion är oförändrad när sådana behandlingar används hos patienter som tidigare behandlats med rituximab. Patienterna ska emellertid observeras noggrant avseende tecken på infektion om biologiska läkemedel och/eller DMARDs används efter rituximab-behandling.
Maligniteter
Immunmodulerande läkemedel kan öka risken för maligniteter. Dock tyder tillgängliga data inte på någon ökad risk för maligniteter för rituximab vid behandling av autoimmuna indikationer utöver risken för maligniteter som redan är associerad till underliggande autoimmuna tillstånd.
Hjälpämnen
Detta läkemedel innehåller 2,3 mmol (52,2 mg) natrium per 10 ml injektionsflaska och 11,4 mmol (261,2 mg) natrium per 50 ml injektionsflaska, vilket motsvarar 2,6% (för 10 ml injektionsflaska) och 13,2% (för 50 ml injektionsflaska) av WHO rekommenderat maximalt dagligt intag av 2 g natrium för en vuxen.
För tillfället finns begränsade data över möjliga interaktioner med rituximab.
Hos KLL-patienter, verkade samtidig behandling med rituximab inte ha någon effekt på fludarabins eller cyklofosfamids farmakokinetik. Dessutom var det heller ingen tydlig effekt av fludarabin och cyklofosfamid på rituximabs farmakokinetik.
Samtidig behandling med metotrexat hade ingen effekt på farmakokinetiken för rituximab hos patienter med reumatoid artrit.
Patienter med titrar av humana antimusantikroppar (HAMA) eller antikroppar mot läkemedel (ADA) kan få allergiska- eller överkänslighetsreaktioner vid behandling med andra diagnostiska eller terapeutiska monoklonala antikroppar.
Av patienter med reumatoid artrit fick 283 patienter efterföljande behandling med ett biologiskt DMARD efter behandling med rituximab. Hos dessa patienter var frekvensen av klinisk relevant infektion, under behandlingen med rituximab, 6,01 per 100 patientår jämfört med 4,97 per 100 patientår efter behandling med ett biologiskt DMARD.
Preventivmedel för män och kvinnor
På grund av den långa retentionstiden för rituximab hos patienter med låga halter av B-celler ska fertila kvinnor använda effektiva preventivmedel under behandling och i 12 månader efter avslutad behandling med rituximab.
Graviditet
IgG immunoglobuliner passerar placentabarriären.
B-cellsnivåerna hos nyfödda barn vars mamma exponerats för rituximab har inte undersökts i kliniska studier. Det finns inga tillräckliga och välkontrollerade data från studier på gravida kvinnor, däremot har övergående förlust av B-celler och lymfocytopeni rapporterats hos några nyfödda vars mödrar har exponerats för rituximab under graviditeten. Liknande effekter har observerats i djurstudier (se avsnitt 5.3). På grund av detta ska rituximab inte administreras till gravida kvinnor om inte de möjliga fördelarna överväger den eventuella risken.
Amning
Begränsade data på utsöndring av rituximab i bröstmjölk tyder på mycket låga rituximabkoncentrationer i mjölken (relativ spädbarnsdos mindre än 0,4%). Några få fall av spädbarn som ammats har följts upp och dessa har beskrivits ha en normal tillväxt och utveckling upp till 2 års ålder. Eftersom dessa data är begränsade och effekterna på längre sikt hos spädbarn som ammas fortfarande är okända rekommenderas emellertid inte amning vid behandling med rituximab och optimalt inte på 6 månader efter avslutad behandling med rituximab.
Fertilitet
Djurstudier har inte visat på skadliga effekter av rituximab på fortplantningsorganen.
Inga studier om effekterna av rituximab på förmågan att framföra fordon och använda maskiner har genomförts, men den farmakologiska effekten och de biverkningar som hittills rapporterats tyder på ingen eller försumbar effekt på förmågan att framföra fordon och använda maskiner.
Erfarenhet från non-Hodgkins lymfom och kronisk lymfatisk leukemi hos vuxna
Summering av säkerhetsprofilen
Den sammantagna säkerhetsprofilen av rituximab vid non-Hodgkins lymfom och kronisk lymfatisk leukemi är baserad på data från patienter från kliniska studier och från data som inkommit efter marknadsintroduktionen. Dessa patienter var behandlade med antingen rituximab i monoterapi (som induktionsbehandling eller underhållningsbehandling efter induktionsbehandlingen) eller i kombination med kemoterapi.
De mest frekvent observerade biverkningarna hos patienter som fick rituximab var infusionsrelaterade reaktioner som uppstod hos majoriteten av patienterna under den första infusionen. Incidensen av infusionsrelaterade symtom minskar väsentligt med efterföljande infusioner och är mindre än 1 %
efter åtta doser av rituximab.
Infektioner (framförallt bakteriella och virala) uppstod hos ungefär 30-55 % av patienterna i kliniska studier hos patienter med NHL och hos 30-50 % av patienterna i kliniska studier hos patienter med KLL.
De mest frekventa rapporterade eller observerade allvarliga biverkningarna var:
Infusionsrelaterade reaktioner (inklusive cytokinfrisättningssyndrom, tumörlyssyndrom), se avsnitt 4.4
Infektioner, se avsnitt 4.4
Hjärt-kärlrubbningar, se avsnitt 4.4
Andra allvarliga biverkningar rapporterade är hepatit B-reaktivering och PML (se avsnitt 4.4).
Tabell över biverkningar
Förekomsten av biverkningar som har rapporterats med rituximab enbart eller i kombination med cytostatika summeras i tabell 3. Frekvenserna definieras som mycket vanliga (≥1/10), vanliga (≥1/100, <1/10), mindre vanliga (≥1/1 000, <1/100), sällsynta (≥1/10 000, <1/1000), mycket sällsynta (< 1/10000) och ingen känd frekvens (kan inte beräknas från tillgänglig data). Biverkningarna presenteras inom varje frekvensområde och är presenterade efter minskande allvarlighetsgrad.
De biverkningar som bara identifierats efter marknadsintroduktion, och där frekvens inte kunnat uppskattats, är listade under ”Ingen känd frekvens”.
Tabell 3 Biverkningar som rapporterats i kliniska studier eller efter marknadsintroduktion hos patienter med NHL och KLL behandlade med rituximab monoterapi/underhållsbehandling eller i kombination med kemoterapi
Följande biverkningar har rapporterats under kliniska studier, men rapporterades med en likvärdig eller lägre incidens i behandlingsgruppen med rituximab jämfört med kontrollgruppen: hematotoxicitet, neutropen infektion, urinvägsinfektion, sensorisk störning, pyrexi.
Tecken och symtom som talade för en infusionsrelaterad reaktion rapporterades hos mer än 50 % av patienterna i kliniska studier och sågs övervägande vid den första infusionen, vanligen under den första eller andra timmen. Dessa symtom omfattade i huvudsak feber, frossa och stelhet. Andra symtom var rodnad, angiödem, bronkospasm, kräkningar, illamående, urtikaria/utslag, trötthet, huvudvärk, halsirritation, rhinit, klåda, värk, takykardi, hypertension, hypotension, dyspné, dyspepsi, asteni och tecken på tumörlyssyndrom. Svåra infusionsrelaterade reaktioner (så som bronkospasm, hypotension) uppstod i upp till 12 % av fallen.
Ytterligare rapporterade reaktioner var i vissa fall hjärtinfarkt, förmaksflimmer, lungödem och akut reversibel trombocytopeni. Försämring av existerande hjärtproblem så som angina pectoris eller hjärtsvikt eller svåra hjärtproblem (hjärtsvikt, hjärtinfarkt, förmaksflimmer), lungödem, multi- organsvikt, tumörlyssyndrom, cytokinfrisättningssyndrom, njursvikt och respiratorisk svikt rapporterades vid lägre eller okänd frekvens. Incidensen av infusionsrelaterade symtom minskar väsentligt med efterföljande infusioner och ses hos <1 % av patienterna efter åtta cyklers behandling med rituximab.
Beskrivning av utvalda biverkningar
Infektioner
Rituximab framkallade B-cellsdepletion hos 70-80 % av patienterna men har associerats med en minskad mängd immunoglobuliner i serum hos endast en minoritet av patienterna.
Lokaliserad candidainfektion och Herpes zoster rapporterades med en högre incidens i gruppen behandlad med rituximab i randomiserade studier. Svåra infektioner rapporterades hos cirka 4 % av patienterna som behandlats med rituximab i monoterapi. Högre frekvens av infektioner överlag, inklusive grad 3- och 4-infektioner, observerades vid underhållsbehandling med rituximab upp till 2 år vid jämförelse med kontrollgruppen. Ingen kumulativ toxicitet i form av infektioner rapporterades över en 2-årig behandlingsperiod. Dessutom har andra allvarliga virusinfektioner antingen nya, reaktiverade eller försämrade, några med dödlig utgång, rapporterats med rituximab-behandling. Majoriteten av patienterna hade behandlats med rituximab i kombination med kemoterapi eller som en del av en hematopoetisk stamcellstransplantation. Exempel på dessa allvarliga virusinfektioner är infektioner orsakade av herpesvirus (Cytomegalovirus, Varicella Zoster-virus och Herpes Simplex- virus), JC-virus (progressivt multifocalt leukoencephalopati (PML)), enterovirus (meningoencefalit) och hepatit C-virus (se avsnitt 4.4). Fall av fatal PML som uppkommit efter sjukdomsprogression och upprepad behandling har även rapporterats i kliniska studier. Fall av hepatit B-reaktivering har rapporterats, majoriteten av de patienterna fick rituximab i kombination med cytotoxisk kemoterapi. Hos patienter med återfall/refraktär KLL, var incidensen av hepatit B-infektion grad 3/4 (reaktivering och primär infektion) 2 % i R-FC jämfört med 0 % FC. Progression av Kaposis sarkom har observerats vid behandling med rituximab hos patienter med existerande Kaposis sarkom. Dessa fall uppstod vid ej godkända indikationer och majoriteten av patienterna var HIV-positiva.
Hematologiska biverkningar
I kliniska studier med monoterapi av rituximab givet i 4 veckor, uppstod i en minoritet av patienterna hematologiska abnormaliteter och de var vanligen milda och reversibla. Svår (grad 3/4) neutropeni rapporterades hos 4,2 %, anemi hos 1,1 % och trombocytopeni hos 1,7 % av patienterna. Vid underhållsbehandling med rituximab upp till 2 år rapporterades, leukopeni (5 % jämfört med 2 %, grad 3/4) och neutropeni (10 % jämfört med 4 %, grad 3/4) vid en högre incidens i jämförelse med kontrollgruppen. Incidensen av trombocytopeni var låg (<1 %, grad 3/4) och det fanns ingen skillnad mellan behandlingsarmarna. I studier med rituximab i kombination med kemoterapi, rapporterades under behandlingens gång oftare grad 3/4 leukopeni (R-CHOP 88 % jämfört med CHOP 79 %, R-FC 23 % jämfört med FC 12 %), neutropeni (R-CVP 24 % jämfört med CVP 14 %; R-CHOP 97 % jämfört med CHOP 88 %, R-FC 30 % jämfört med FC 19 % i tidigare obehandlad KLL), pancytopeni(R-FC 3 % jämfört med FC 1 % i tidigare obehandlad KLL) med högre frekvens jämfört med enbart kemoterapi. Däremot var den högre incidensen neutropeni hos patienter behandlade med rituximab och kemoterapi inte associerad med en högre incidens av infektioner och infestationer i jämförelse med patienter behandlade med enbart kemoterapi. Studier på tidigare obehandlad och refräktär/terapisviktande KLL har fastställt att i upp till 25% av patienterna behandlade med R-FC var neutropenin förlängd (definierat som neutrofilantal under 1 x 109/l som kvarstod mellan dag 24 och 42 efter sista dosen) eller inträffade med sen debut (definierat som neutrofilantal under 1 x 109/l efter dag 42 efter sista dosen hos patienter utan tidigare förlängd neutropeni eller som återhämtat sig före dag 42) efter behandling med rituximab plus FC. Ingen skillnad rapporterades för incidensen av anemi. Några fall av fördröjd neutropeni, som uppstått mer än fyra veckor efter sista infusionen av rituximab har rapporterats. I studien för första linjens behandling av KLL, upplevde patienterna i Binet stadium C mer biverkningar i R-FC-armen jämfört med FC-armen (R-FC 83 % jämfört med FC 71 %). I studien med återfall/refraktär KLL, rapporterades grad 3/4 trombocytopeni hos 11 % av patienterna i R-FC-gruppen jämfört med 9 % av patienterna i FC-gruppen.
I studier med rituximab på patienter med Waldenströms makroglobulinemi, observerades övergående IgM-stegringar i serum efter behandlingens början, vilket kan vara associerad med hyperviskositet och relaterade symtom. Den övergående ökningen av IgM återgick vanligen till åtminstone de ursprungliga nivåerna inom 4 månader.
Hjärt-kärlbiverkningar
Hjärt-kärlbiverkningar rapporterades hos 18,8 % av patienterna under kliniska studier med rituximab i monoterapi varav de mest frekvent rapporterade händelserna var hypotension och hypertension. Fall av grad 3- eller 4-arytmi (inklusive ventrikulär och supraventrikulär takykardi) och angina pectoris under infusion rapporterades. Vid underhållsbehandling var incidesen av grad 3/4 hjärtfel jämförbar mellan patienter behandlade med rituximab och kontrollgruppen. Kardiella händelser rapporterades som allvarliga biverkningar (inklusive förmaksflimmer, myokardinfarkt, vänsterkammarsvikt, myokardischemi) hos 3 % av patienterna som behandlades med rituximab jämfört med <1 % av de i kontrollgruppen. I studier som utvärderar rituximab i kombination med kemoterapi, var incidensen av grad 3 och 4 hjärtarytmier, övervägande supraventrikulära arytmier så som takykardi och förmaksflimmer, högre i R-CHOP-gruppen (14 patienter, 6,9 %) i jämförelse med CHOP-gruppen (3 patienter, 1,5 %). Alla dessa arytmier uppstod antingen i samband med en rituximab infusion eller var associerad med känsliga tillstånd så som feber, infektion, akut hjärtinfarkt eller existerande respiratorisk- och kardiovaskulär sjukdom. Ingen skillnad observerades i incidensen av andra grad 3 och 4 hjärthändelser inklusive hjärtsvikt, myokardsjukdom och manifest kranskärlssjukdom mellan R‑CHOP- och CHOP-gruppen. Vid KLL, var den totala incidensen av hjärtbiverkningar av grad 3 eller 4 låg både i studien för första linjens behandling (4 % R-FC, 3 % FC) och i studien för återfall/refraktär KLL (4 % R-FC, 4 % FC).
Andningsvägar
Fall av interstitiell lungsjukdom, några med dödlig utgång har rapporterats.
Neurologiska rubbningar
Under behandlingsperioden (induktionsbehandling med R-CHOP i som mest åtta cykler) upplevde fyra patienter (2 %), som alla hade kardiovaskulära riskfaktorer och behandlades med R-CHOP, tromboembolisk cerebrovaskulära händelser under första behandlingscykeln. Det var ingen skillnad i incidensen av andra tromoemboliska händelser mellan behandlingsgrupperna. Däremot fick tre patienter (1,5 %) i CHOP-gruppen cerebrovaskulära händelser, som alla uppstod under uppföljningstiden. Vid KLL, var den totala incidensen av nervsystemsbiverkningar av grad 3 eller 4 låg både i studien för första linjens behandling (4 % R-FC, 4 % FC) och i studien för återfall/refraktär KLL (3 % R-FC, 3 % FC).
Fall av PRES (Posteriort reversibelt encefalopatisyndrom)/ RPLS (Reversibelt posteriort leukoencefalopatisyndrom) har rapporterats. Tecken och symtom inkluderade synstörning, huvudvärk, krampanfall och ändrad mental status, med eller utan associerad hypertoni. En PRES/RPLS-diagnos behöver bekräftas genom bilddiagnostik av hjärnan. De rapporterade fallen hade kända riskfaktorer för PRES/RPLS, inkluderande patientens bakomliggande sjukdom, hypertoni, immunosuppressiv behandling och/eller kemoterapi.
Gastrointentiella rubbningar
Gastrointestial perforation som i vissa fall lett till dödsfall har observerats hos patienter som behandlats med rituximab mot non-Hodgkins lymfom. I majoriteten av dessa fall administrerades rituximab tillsammans med kemoterapi.
IgG-nivåer
I de kliniska studierna som studerade rituximab som underhållsbehandling vid relapserande/refraktära follikulära lymfom var median IgG-nivåerna under den lägsta gränsen för normalvärdet (LLN) (<7 g/l) i både observationsgruppen och rituximab-gruppen efter induktionsbehandling. I observationsgruppen ökade IgG nivåerna efterhand till över LLN, men i rituximab gruppen förblev de konstanta. Andelen patienter med IgG-nivåer under LLN var ungefär 60 % i rituximab gruppen under hela den 2 åriga behandlingsperioden, medan andelen minskade i observationsgruppen (36 % efter 2 år).
Ett litet antal spontana rapporter och litteraturfall av hypogammaglobulinemi har observerats hos barn som behandlats med rituximab. Vissa fall har varit allvarliga och krävt substitutionsbehandling med immunglobuliner under lång tid. Konsekvenserna av långvarig B-cellsdepletion hos barn är okända.
Hud och subkutan vävnad
Toxisk epidermal nekrolys (Lyells syndrom) och Stevens-Johnsons syndrom, vissa med dödlig utgång, har rapporterats i mycket sällsynta fall.
Patientundergrupper - rituximab i monoterapi
Äldre (≥ 65 år)
Incidensen av biverkningar av alla grader och grad 3/4 var lika hos äldre patienter jämfört med yngre patienter (< 65 år).
Stor tumörbörda
Det var en högre incidens av grad 3/4 biverkningar hos patienter med stor tumörbörda än hos patienter utan stor tumörbörda (25,6 % jämfört med 15,4 %) Incidensen av biverkningar av någon grad var liknande i de två grupperna.
Förnyad behandling
Andelen patienter som rapporterade biverkningar efter förnyad behandling med ytterligare kurer av rituximab var ungefär densamma som andelen patienter som rapporterade biverkningar efter initial exponering (för någon biverkan och för grad 3/4 biverkningar).
Patientundergrupper - rituximab i kombinationsbehandling
Äldre (≥ 65 år)
Incidensen av grad 3/4 blod- och lymfatiska biverkningar var högre hos äldre patienter jämfört med yngre patienter (< 65 år), med tidigare obehandlad KLL eller återfall/refraktär KLL.
Erfarenhet av pediatriska patienter DLBCL/BL/BAL/BLL
Summering av säkerhetsprofilen
En öppen och randomiserad multicenterstudie med Lymfom Malin B kemoterapi (LMB), med eller utan rituximab, genomfördes hos pediatriska patienter (ålder ≥ 6 månader till < 18 års ålder) med tidigare obehandlat avancerat stadium av CD20-positiv DLBCL/BL/BAL/BLL.
Totalt 309 pediatriska patienter fick rituximab och inkluderades i populationen för säkerhetsanalysen. Pediatriska patienter randomiserades till armen med LMB-kemoterapi med Rituximab, eller till studiens enarmade del där rituximab administrerades i en dos av 375 mg/m2 kroppsyta. Där fick patienterna totalt sex intravenösa infusioner av rituximab (två under var och en av de två induktionsbehandlingarna och en under var och en av de två konsolideringsbehandlingarna av LMB schemat).
Säkerhetsprofilen för rituximab hos pediatriska patienter (ålder ≥ 6 månader till < 18 års ålder) med tidigare obehandlat avancerat stadium av CD20-positiv DLBCL/BL/BAL/BLL överensstämde i allmänhet i typ, art och svårighetsgrad med den kända säkerhetsprofilen hos vuxna patienter med NHL och KLL. Tillägg av rituximab till kemoterapi resulterade i en ökad risk för vissa biverkningar inklusive infektioner (inklusive sepsis) jämfört med endast kemoterapi.
Erfarenhet av reumatoid artrit
Summering av säkerhetsprofilen
Den övergripande säkerhetsprofilen av rituximab inom reumatoid artrit baseras på data från patienter från kliniska studier och efter marknadsintroduktion.
Säkerhetsprofilen för rituximab hos patienter med svår reumatoid artrit (RA) sammanfattas i avsnitten nedan. I kliniska studier har fler än 3100 patienter fått minst en behandlingsomgång och följts under perioder från 6 månader till över 5 år; cirka 2400 patienter har fått två eller flera behandlingsomgångar varav fler än 1000 patienter har fått fem eller flera behandlingsomgångar. Säkerhetsinformation samlad efter marknadsintroduktion motsvarar den förväntade biverkningsprofilen, samma som setts i kliniska studier för rituximab (se avsnitt 4.4).
Patienterna fick 2 x 1000 mg rituximab med ett intervall på två veckor mellan doserna; i tillägg till metotrexat (10-25 mg/vecka). rituximab-infusionerna gavs efter intravenös infusion av 100 mg metylprednisolon och patienterna fick även oralt prednison under 15 dagar.
Tabell över biverkningar
Biverkningar är listade i Tabell 4. Frekvenserna definieras som mycket vanliga (≥1/10), vanliga (≥1/100, <1/10), mindre vanliga (≥1/1 000, <1/100), sällsynta (≥1/10 000, <1/1000), mycket sällsynta (<1/10 000) och ingen känd frekvens (kan inte beräknas från tillgängliga data). Inom varje frekvensgrupp är biverkningarna presenterade i fallande allvarlighetsgrad.
De vanligaste biverkningarna som ansågs bero på behandling med rituximab var infusionsrelaterade reaktioner (IRR). Den totala incidensen av IRR i kliniska studier var 23 % efter den första infusionen och minskade vid efterföljande infusioner. Allvarliga IRR var mindre vanliga (hos 0,5 % av patienterna) och sågs främst under första behandlingsomgången. Förutom biverkningar som setts i RA-studier med rituximab har progressiv multifokal leukoencefalopati (PML) (se avsnitt 4.4) och serumsjukeliknande reaktion rapporterats efter marknadsintroduktionen.
Tabell 4 Summering av biverkningar som rapporterats hos patienter med reumatoid artrit som fått rituximab i kliniska studier och efter marknadsintroduktion
Upprepade behandlingsomgångar
Upprepade behandlingsomgångar förknippas med en biverkningsprofil liknande den som observerades efter första exponeringen. Frekvensen av samtliga biverkningar efter första exponeringen av rituximab var högst under de första 6 månaderna, och minskade därefter. Detta beror främst på de infusionsrelaterade reaktionerna (mest frekvent förekommande under första behandlingsomgången), förvärrad RA och infektioner, vilka alla förekom mer frekvent under de första 6 månaderna av behandling.
Beskrivning av utvalda biverkningar
Infusionsrelaterade reaktioner
I kliniska studier var den mest frekventa biverkningen efter behandling med rituximab infusionsrelaterade reaktioner (IRR) (se Tabell 4). Av 3189 patienter som behandlades med rituximab fick 1135 (36%) minst en infusionsrelaterad reaktion, 733 patienter av 3189 (23%) fick en infusionsrelaterad reaktion efter första infusionen av rituximab. Incidensen av IRR minskade vid efterföljande infusioner. I kliniska studier fick färre än 1% (17 av 3189 patienter) en allvarlig IRR.
Inga IRR med CTC grad 4 eller IRR med fatal utgång rapporterades i de kliniska studierna. Andelen händelser av CTC grad 3 och IRR som ledde till behandlingsutsättande minskade med antalet behandlingsomgångar, och var sällsynta från behandlingsomgång 3 och framåt. Premedicinering med intravenösa glukokortikoider minskade signifikant incidensen och svårighetsgraden av IRR (se avsnitt 4.2 och 4.4). Svåra infusionsrelaterade reaktioner med dödlig utgång har rapporterats efter marknadsintroduktionen.
I en studie designad för att utvärdera säkerheten av en snabbare rituximab-infusion hos patienter med reumatoid artrit, tilläts patienter med måttlig till svår aktiv reumatoid artrit som inte fått en allvarlig IRR under eller inom 24 timmar från deras första infusion att få en 2-timmars intravenös infusion av rituximab. Patienter med tidigare allvarliga infusionsreaktioner mot en biologisk behandling för RA exkluderades från studien. Incidensen, typer och allvarlighetsgrad av IRR överensstämde med vad som tidigare observerats. Inga allvarliga IRR observerades.
Infektioner
Infektionsfrekvensen som rapporterades i kliniska studier var ungefär 94 per 100 patientår hos rituximab-behandlade patienter. Infektionerna var övervägande milda till måttliga och bestod oftast av övre luftvägsinfektioner och urinvägsinfektioner. Incidensen av infektioner som var allvarliga eller krävde behandling med intravenös antibiotika var ungefär 4 per 100 patientår. Flera behandlingsomgångar med rituximab visade ingen signifikant ökning av frekvensen av allvarliga infektioner. I kliniska studier har nedre luftvägsinfektioner (inklusive pneumoni) rapporteras med samma frekvens i rituximab-grupper som i kontrollgrupper. Efter marknadsintroduktion har allvarliga virusinfektioner rapporterats hos patienter som behandlats för RA med rituximab.
Fall av progressiv multifokal leukoencefalopati (PML) med dödlig utgång har rapporterats efter användning av rituximab vid behandling av autoimmuna sjukdomar. De innefattar reumatoid artrit och andra autoimmuna sjukdomar utanför godkänd indikation, inklusive systemisk lupus erythematosus (SLE) och vaskulit.
Hos patienter med non-Hodgkins lymfom som behandlas med rituximab i kombination med cytotoxisk kemoterapi har fall ha reaktivering av hepatit B rapporterats (se non-Hodgkins lymfom). Reaktivering av hepatit B-infektioner har också rapporterats i mycket sällsynta fall hos patienter som behandlas för RA med rituximab (se avsnitt 4.4).
Hjärt-kärlbiverkningar
Allvarliga kardiella händelser rapporterades med en frekvens av 1,3 per 100 patientår hos rituximab- behandlade patienter jämfört med 1,3 per 100 patientår hos placebo-behandlade patienter. Andelen patienter som fick kardiella händelser (alla eller allvarliga) ökade inte vid flera behandlingsomgångar.
Neurologiska händelser
Fall av PRES (Posteriort reversibelt encefalopatisyndrom)/RPLS (Reversibelt posteriort leukoencefalopatisyndrom) har rapporterats. Tecken och symtom inkluderade synstörning, huvudvärk, krampanfall och ändrad mental status, med eller utan associerad hypertoni. En PRES/RPLS-diagnos behöver bekräftas genom bilddiagnostik av hjärnan. De rapporterade fallen hade kända riskfaktorer för PRES/RPLS, inkluderande patientens bakomliggande sjukdom, hypertoni, immunosuppressiv behandling och/eller kemoterapi.
Neutropeni
Fall av neutropeni i samband med rituximab-behandling har observerats, av vilka majoriteten var övergående och milda eller måttliga i svårighetsgrad. Neutropeni kan uppkomma flera månader efter administrering av rituximab (se avsnitt 4.4).
I placebokontrollerade delar av kliniska studier hade 0,94 % (13/1382) av rituximab-behandlade patienter och 0,27 % (2/731) av placebopatienter utvecklat svår neutropeni.
Sällsynta fall av neutropeni, inklusive svåra fall med sen debut och persistent neutropeni, har rapporterats efter marknadsgodkännandet. Vissa av dessa var associerade med fatala infektioner.
Hud och subkutan vävnad
Toxisk epidermal nekrolys (Lyells syndrom) och Stevens-Johnsons syndrom, vissa med dödlig utgång, har rapporterats i mycket sällsynta fall.
Avvikelser i laboratorievärden
Hypogammaglobulinemi (IgG eller IgM under den nedre normalvärdesgränsen) har observerats hos RA-patienter behandlade med rituximab. Utvecklandet av låga IgG- eller IgM-nivåer medförde inte en ökad frekvens av det totala antalet infektioner eller allvarliga infektioner (se avsnitt 4.4)
Ett litet antal spontana rapporter och litteraturfall av hypogammaglobulinemi har observerats hos barn som behandlats med rituximab. Vissa fall har varit allvarliga och krävt substitutionsbehandling med immunglobuliner under lång tid. Konsekvenserna av långvarig B-cellsdepletion hos barn är okända.
Erfarenheter från granulomatos med polyangit (GPA) och mikroskopisk polyangit (MPA)
Induktion av remission (GPA/MPA studie 1) hos vuxna patienter
I GPA/MPA studie 1 behandlades 99 vuxna patienter för induktion av remission av GPA och MPA med rituximab (375 mg/m2, en gång i veckan under 4 veckor) och glukokortikoider (se avsnitt 5.1). Biverkningarna som anges i tabell 5 var alla biverkningar som inträffade med en incidens av ≥ 5 % I rituximab-gruppen och med en högre frekvens än jämförelsegruppen.
Tabell 5 Biverkningar som förekom under 6 månader hos ≥ 5 % av vuxna patienter som fick rituximab i GPA/MPA studie 1 (rituximab n=99, och i en högre frekvens än kontrollgruppen), eller under övervakning efter marknadsintroduktion.
1Observerat under övervakning efter marknadsintroduktion.
2Se även avsnitt infektioner nedan.
Underhållsbehandling (GPA/MPA studie 2) av vuxna patienter
I GPA/MPA studie 2 behandlades totalt 57 vuxna patienter med svår, aktiv GPA och MPA med rituximab för underhåll av remission (se avsnitt 5.1).
Tabell 6 Biverkningar som förekommer hos ≥5% av vuxna patienter som får rituximab för underhållsbehandling i GPA/MPA studie 2 (retuximab n=57), och med en högre frekvens än jämförelsegruppen, eller under övervakning efter marknadsintroduktion.
Den övergripande säkerhetsprofilen överensstämde med den väletablerade säkerhetsprofilen för rituximab vid godkända autoimmuna indikationer, inklusive GPA och MPA. Sammantaget upplevde 4% av patienterna i rituximab-gruppen biverkningar som ledde till behandlingsavbrott. De flesta biverkningarna i rituximab-gruppen var milda eller måttliga i intensitet. Inga patienter i rituximab- gruppen hade dödliga biverkningar.
De vanligast rapporterade händelserna som betraktades som biverkningar var infusionsrelaterade reaktioner och infektioner.
Långtidsuppföljning (GPA/MPA studie 3)
I en långtidsobservationsstudie av säkerhet fick 97 patienter med GPA och MPA behandling med rituximab (medelvärde 8 infusioner [intervall 1-28]) i upp till 4 år enligt läkarens normala praxis och omdöme. Den övergripande säkerhetsprofilen överensstämde med den väletablerade säkerhetsprofilen för rituximab vid RA och GPA och MPA och inga nya biverkningar rapporterades.
Pediatrisk population
En öppen enarmad studie genomfördes med 25 barn med svår, aktiv GPA eller MPA. Den totala studietiden bestod av en 6 månader lång remissions- och induktionsfas med minst en 18 månader lång uppföljning, i upp till 4,5 år totalt. Under uppföljningsfasen gavs rituximab utifrån prövarens bedömning (17 av 25 patienter fick ytterligare rituximab-behandling). Samtidig behandling med annan immunosuppressiv terapi var tillåten (se avsnitt 5.1).
Biverkningar ansågs vara de biverkningar som inträffat med en frekvens av ≥ 10%. Dessa inkluderade: infektioner (17 patienter [68%] i remissions- och induktionsfasen; 23 patienter [92%] under hela studietiden), infusionsrelaterade reaktioner (15 patienter [60%] i remissions- och induktionsfasen; 17 patienter [68%] under hela studietiden) och illamående (4 patienter [16%] i remissions och induktionsfasen; 5 patienter [20%] under hela studietiden).
Säkerhetsprofilen för rituximab under den totala studietiden överensstämde med den som rapporterades under remissions och induktionsfasen.
Säkerhetsprofilen för rituximab hos pediatriska patienter med GPA eller MPA överensstämde i typ, art och svårighetsgrad med den kända säkerhetsprofilen hos vuxna patienter behandlade för godkända autoimmuna indikationer, inklusive vuxna med GPA eller MPA.
Beskrivning av utvalda biverkningar
Infusionsrelaterade reaktioner
I GPA/MPA studie 1 (induktion av remission hos vuxna), definierades infusionsrelaterade reaktioner (IRR) som någon biverkan som inträffade inom 24 timmar efter en infusion och som av prövare ansågs vara infusionsrelaterad. Av de nittionio patienter som behandlades med rituximab fick 12 (12%) minst en IRR. Alla IRR var av CTC grad 1 eller 2. De vanligaste infusionsrelaterade reaktionerna var cytokinfrisättningssyndrom, blodvallning, halsirritation, och tremor. rituximab gavs i kombination med intravenösa glukokortikoider vilket kan minska incidensen och allvarlighetsgraden av dessa händelser.
I GPA/MPA studie 2 (underhållsbehandling hos vuxna) upplevde 7/57 (12%) patienter i gruppen med rituximab minst en infusionsrelaterad reaktion. Förekomsten av IRR-symtom var högst under eller efter den första infusionen (9%) och minskade med efterföljande infusioner (<4%). Alla IRR-symtom var milda till måttliga och de flesta rapporterades från organsystemen andningsvägar, bröstkorg och mediastinum samt hud och subkutan vävnad.
I den kliniska studien med pediatriska patienter med GPA eller MPA sågs de rapporterade infusionsrelaterade reaktionerna (IRR) huvudsakligen vid den första infusionen (8 patienter [32%]) och minskade därefter över tiden med antalet rituximab-infusioner (20% med den andra infusionen, 12% med den tredje infusionen och 8% med den fjärde infusionen). De vanligaste IRR-symtomen som rapporterades under remissions- och induktionsfasen var: huvudvärk, utslag, rinorré och pyrexi (8% för respektive symptom). De observerade IRR-symptomen liknande de som är kända hos vuxna patienter med GPA eller MPA som behandlats med rituximab. Majoriteten av IRR-symtomen var av grad 1 och grad 2, det fanns två icke-allvarliga IRR-symtom av grad 3 och inga rapporterade IRR- symtom av grad 4 eller grad 5. En allvarlig IRR av grad 2 (generaliserat ödem som löstes med behandling) rapporterades hos en patient (se avsnitt 4.4).
Infektioner
I GPA/MPA studie 1 var den övergripande infektionsfrekvensen cirka 237 per 100 patientår (95% KI 197-285) vid 6 månaders primär endpoint. Infektionerna var huvudsakligen lindriga till måttliga och bestod främst av övre luftvägsinfektioner, herpes zoster och urinvägsinfektioner. Frekvensen av allvarliga infektioner var cirka 25 per 100 patientår. Den vanligast rapporterade allvarliga infektionen I rituximab-gruppen var lunginflammation med en frekvens på 4%.
I GPA/MPA studie 2 upplevde 30/57 (53%) patienter i rituximab-gruppen infektioner. Förekomsten av alla grader av infektioner var likartade mellan grupperna. Infektionerna var övervägande lindriga till måttliga. De vanligaste infektionerna i rituximab-gruppen omfattade övre luftvägsinfektioner, gastroenterit, urinvägsinfektioner och herpes zoster. Förekomsten av allvarliga infektioner var likartade i båda grupperna (cirka 12%). Den vanligast rapporterade allvarliga infektionen i rituximab- gruppen var mild eller måttlig bronkit.
I den kliniska studien med pediatriska patienter med svår, aktiv GPA och MPA var 91% av rapporterade infektioner icke allvarliga och 90% var milda till måttliga.
De vanligaste infektionerna i den övergripande fasen var: infektioner i övre luftvägarna (48%), influensa (24%), konjunktivit (20%), nasofaryngit (20%), nedre luftvägsinfektioner (16%), sinuit (16%), virusinfektioner i övre luftväg (16%), öroninfektion (12%), gastroenterit (12%), faryngit (12%) och urinvägsinfektion (12%). Allvarliga infektioner rapporterades hos 7 patienter (28%) och de vanligaste rapporterade händelserna inkluderade: influensa (2 patienter [8%]) och infektion i nedre luftvägarna (2 patienter [8%]).
Efter marknadsintroduktion har allvarliga virusinfektioner rapporterats hos patienter som behandlats för GPA/MPA med rituximab.
Maligniteter
I GPA/MPA studie 1 var förekomsten av malignitet hos vuxna patienter som behandlades med rituximab i kliniska studier för GPA och MPA, 2,00 per 100 patientår vid studiens stängning (när sista patienten hade avslutat uppföljningsperioden). Baserat på standardiserade incidensförhållanden, förefaller förekomsten av maligniteter vara snarlik den som tidigare rapporterats hos patienter med ANCA-associerad vaskulit.
I den kliniska prövningen med pediatriska patienter rapporterades inga maligniteter under uppföljningsperioden på upp till 54 månader.
Hjärt-kärlbiverkningar
I GPA/MPA studie 1 var hjärtbiverkningar inträffade med en frekvens på ungefär 273 per 100 patientår (95% KI 149-470) vid 6 månaders primär endpoint. Förekomsten av allvarliga hjärtbiverkningar var 2,1 per 100 patientår (95% KI 3 -15). De vanligast rapporterade biverkningarna var takykardi (4%) och förmaksflimmer (3%) (se avsnitt 4.4).
Neurologiska händelser
Fall av PRES (Posteriort reversibelt encefalopatisyndrom) / RPLS (Reversibelt posteriort leukoencefalopatisyndrom) har rapporterats hos patienter med autoimmuna sjukdomar. Tecken och symtom inkluderade synstörning, huvudvärk, krampanfall och ändrad mental status, med eller utan associerad hypertoni. En PRES/RPLS-diagnos behöver bekräftas genom bilddiagnostik av hjärnan. De rapporterade fallen hade kända riskfaktorer för PRES/RPLS, inkluderande patientens bakomliggande sjukdom, hypertoni, immunosuppressiv behandling och/eller kemoterapi.
Hepatit B-reaktivering
Ett fåtal fall av hepatit B-reaktivering varav några med dödlig utgång, har rapporterats hos patienter med granulomatos med polyangit och mikroskopisk polyangit som behandlats med rituximab efter marknadsintroduktion.
Hypogammaglobulinemi
Hypogammaglobulinemi (IgA, IgG eller IgM under nedre normalvärde) har observerats hos vuxna och pediatriska patienter med GPA och MPA som behandlats med rituximab.
I GPA/MPA studie 1 hade vid 6 månader, 27%, 58% och 51% av patienterna i rituximab-gruppen med normala immunglobulinnivåer vid studiestart, låga IgA, IgG och IgM-nivåer jämfört med 25%, 50% och 46% i cyklofosfamid-gruppen. Frekvensen av totalt antal infektioner och allvarliga infektioner ökade inte efter utvecklingen av lågt antal IgA, IgG eller IgM.
I GPA/MPA studie 2 observerades ingen kliniskt betydelsefull skillnad mellan de två behandlingsgrupperna eller minskning i totalt immunoglobulin, IgG, IgM eller IgA under studiens gång.
I den kliniska studien med pediatriska patienter rapporterade 3/25 (12%) av patienterna en händelse av hypogammaglobulinemi. 18 patienter (72%) hade förlängt låga (definierat som Ig-nivåer under lägsta normala gränsvärdet i minst 4 månader) IgG-nivåer (varav 15 patienter också hade långvarigt lågt IgM). Tre patienter fick behandling med intravenöst immunoglobulin (IV-IG). Baserat på begränsade data kan ingen säker slutsats dras om långvarigt lågt IgG och IgM ledde till en ökad risk för allvarlig infektion hos dessa patienter. Konsekvensen av långvarig B-cellsdepletion hos pediatriska patienter är okänd.
Neutropeni
I GPA/MPA studie 1 utvecklade 24% av patienterna i rituximab-gruppen (en behandlingsomgång) och 23% av patienterna i cyklofosfamid-gruppen, neutropeni av CTC grad 3 eller högre. Neutropeni förknippades inte med en observerad ökning av allvarlig infektion hos patienter behandlade med rituximab.
I GPA/MPA studie 2 var förekomsten av neutropeni av alla grader 0% för rituximab-behandlade patienter jämfört med 5% för azatioprin-behandlade patienter.
Hud och subkutan vävnad
Toxisk epidermal nekrolys (Lyells syndrom) och Stevens-Johnsons syndrom, vissa med dödlig utgång, har rapporterats i mycket sällsynta fall.
Erfarenhet från pemfigus vulgaris
Sammanfattning av säkerhetsprofilen vid PV studie 1 (studie ML22196) och PV studie 2 (studie WA29330)
Säkerhetsprofilen för rituximab i kombination med korttidsanvändning av glukokortikoider i låg dos vid behandling av patienter med pemfigus vulgaris studerades i en fas 3, randomiserad, kontrollerad, öppen multicenterstudie med pemfiguspatienter som inkluderade 38 pemfigus vulgaris (PV)-patienter som randomiserades till rituximab-gruppen (PV studie 1). Patienter randomiserade till rituximab- gruppen fick en initial intravenös dos på 1000 mg studiedag 1 och en andra intravenös dos på 1000 mg studiedag 15. Underhållsdoser på 500 mg intravenöst administrerades vid månad 12 och 18. Patienter kunde få 1000 mg intravenöst vid återfall (se avsnitt 5.1).
I PV studie 2, en randomiserad, dubbelblind, double-dummy, aktiv-komparator, multicenterstudie, utvärderades effekten och säkerheten av rituximab jämfört med mykofenolatmofetil (MMF) hos patienter med måttlig till svår PV som kräver orala kortikosteroider. 67 patienter med PV fick behandling med rituximab (initialt intravenös dos på 1000 mg studiedag 1 och en andra intravenös dos på 1000 mg studiedag 15 som upprepades vid vecka 24 och 26) i upp till 52 veckor (se avsnitt 5.1).
Säkerhetsprofilen för rituximab vid PV överensstämde med den etablerade säkerhetsprofilen vid andra godkända autoimmuna sjukdomar.
Tabell över biverkningar för PV studie 1 och 2
Biverkningar från PV studie 1 och 2 presenteras i tabell 7. I PV studie 1 definierades biverkningar som händelser som inträffade med en frekvens ≥ 5% av rituximab-behandlade PV-patienter, med en ≥ 2% absolut skillnad i incidens mellan den rituximab-behandlade gruppen och prednisongruppen med standarddos upp till månad 24. Inga patienter togs ur behandling på grund av biverkningar i studie 1. I PV studie 2 definerades biverkningar som händelser som inträffade hos ≥ 5% av patienterna i rituximab-armen och bedömdes som relaterade.
Tabell 7 Biverkningar hos rituximab-behandlade pemfigus vulgaris-patienter i PV studie 1 (upp till 24 månader) och PV studie 2 (upp till vecka 52), eller under övervakning efter marknadsintroduktion
Beskrivning av utvalda biverkningar
Infusionsrelaterade reaktioner
I PV studie 1 var infusionsrelaterade reaktioner vanliga (58%). Nästan alla infusionsrelaterade reaktioner var milda eller måttliga. Andelen patienter som fick en infusionsrelaterad reaktion var 29% (11 patienter), 40% (15 patienter), 13% (5 patienter) och 10% (4 patienter) efter de första, andra, tredje respektive fjärde infusionerna. Inga patienter togs ur behandling på grund av en infusionsrelaterade reaktioner. Symtom på infusionsrelaterade reaktioner var likartade i typ och svårighetsgrad jämfört med de som ses hos patienter med RA och GPA / MPA.
I PV studie 2 inträffade IRR:er främst vid den första infusionen och frekvensen av IRR:er minskade med efterföljande infusioner. 17,9% av patienterna upplevde en IRR vid den första infusionen, 4,5% vid den andra, 3% vid den tredje och 3 % vid den fjärde infusionen. Hos 11/15 patienter som upplevde minst en IRR var dessa av grad 1 eller 2. Hos 4/15 patienter rapporterades IRR av grad ≥3 vilket ledde till avbrott av rituximab-behandlingen; tre av de fyra patienterna upplevde allvarliga (livshotande) IRR:er. Allvarliga IRR:er inträffade vid den första infusionen (2 patienter) eller den andra infusionen (1 patient) och försvann med symptomatisk behandling.
Infektioner
I PV studie 1 fick 14 patienter (37%) i rituximab-gruppen behandlingsrelaterade infektioner jämfört med 15 patienter (42%) i prednisongruppen med standarddos. De vanligaste infektionerna i rituximab-gruppen var herpes simplex- och zosterinfektioner, bronkit, urinvägsinfektion, svampinfektion och konjunktivit. Tre patienter (8%) i rituximab-gruppen fick totalt 5 allvarliga infektioner (lunginflammation orsakad av pneumocystis jirovecii, infektiös trombos, intervertebral diskit, lunginfektion, stafylokocksepsis) och en patient (3%) i prednisongruppen med standarddos upplevde en allvarlig infektion (lunginflammation orsakad av pneumocystis jirovecii).
I PV-studie 2 upplevde 42 patienter (62,7%) i rituximab-armen infektioner. De vanligaste infektionerna i rituximab-gruppen var infektioner i övre luftvägarna, nasofaryngit, oral candidiasis och urinvägsinfektion. Sex patienter (9%) i rituximab-armen upplevde allvarliga infektioner.
Efter marknadsintroduktion har allvarliga virusinfektioner rapporterats hos patienter som behandlats för PV med rituximab.
Laboratorieavvikelser
I PVstudie 2 var en vanlig observervation efter infusion i rituximab-armen en övergående minskning av lymfocytantalet, driven av en minskning i de perifera T-cellpopulationerna såväl som en övergående minskning av fosfornivån. Dessa ansågs induceras av premedicinering med metylprednisolon intravenös infusion.
I PV studie 2 var låga IgG-nivårer vanligt observerade och låga IgM-nivåer var mycket vanligt observerade. Emellertid fanns inga tecken på en ökad risk för allvarliga infektioner efter utvecklingen av låga IgG eller IgM.
Rapportering av misstänkta biverkningar
Begränsad erfarenhet med doser högre än den godkända dosen av rituximab intravenös formulering är tillgängliga från kliniska studier på människa. Den högsta intravenösa dosen av rituximab som testats på människor hittills är 5000 mg (2250 mg/m2). Denna dos testades i en dosupptrappningsstudie hos patienter med kronisk lymfatisk leukemi. Inga ytterligare säkerhetssignaler identifierades.
Hos patienter som får en överdos bör infusionen omedelbart avbrytas och patienterna noga övervakas. Fem fall av överdosering med rituximab har rapporterats efter marknadsintroduktion. Tre fall hade inga rapporterade biverkningar. De två fall av biverkningar som rapporterades var influensaliknande symtom efter en dos av 1,8 g rituximab och fatal andningssvikt efter en dos av 2 g rituximab.
Antalet perifera B-celler sjönk under normalvärdet efter att den första infusionen med rituximab fullföljts. Hos patienter behandlade för hematologiska maligniteter började B-cellsnivåerna att återhämta sig inom 6 månader efter avslutad behandling och generellt återgå till normala värden inom 12 månader efter avslutad behandling, även om det hos vissa patienter kan ta längre tid (upp till en median återhämtningstid på 23 månader efter induktionsbehandling). Hos patienter med reumatoid artrit observerades en omedelbar minskning av antalet B-celler i perifert blod efter två rituximab- infusioner à 1000 mg givna med 14 dagars intervall. Antalet B-celler i perifert blod började återkomma från vecka 24 och normalisering av B-cellsnivåerna observerades hos majoriteten av patienterna efter 40 veckor, oavsett om rituximab gavs som monoterapi eller i kombination med metotrexat. En liten andel patienter hade en förlängd perifer B-cellsdepletion som varade i 2 år eller längre efter sista dosen rituximab. Hos patienter med GPA eller MPA, minskade antalet perifera B- celler till <10 celler/μl efter två veckovisa infusioner av rituximab 375 mg/m2, och låg kvar på den nivån hos de flesta patienter i upp till 6 månader. Majoriteten av patienterna (81 %) visade tecken på återkomst av B-celler med ett antal > 10 celler/μl vid månad 12, som ökade till 87 % av patienterna vid månad 18.
Klinisk erfarenhet av non-Hodgkins lymfom och kronisk lymfatisk leukemi
Follikulära lymfom
Monoterapi
Initial behandling, 1 dos per vecka i 4 veckor
I den pivotala studien deltog 166 patienter, med låggradigt eller follikulärt B-cells non-Hodgkins lymfom (NHL) som recidiverat eller varit kemoterapiresistent. Patienterna gavs rituximab 375 mg/m2 kroppsyta som en intravenös infusion en gång per vecka i fyra veckor. Den totala responsfrekvensen (ORR) i intention-to-treat (ITT)- populationen var 48 % (95 % Konfidensintervall (KI) 41 % - 56 %), med 6 % komplett respons- (CR) och 42 % partiell respons- (PR)frekvens. Mediantiden till progression (TTP) var 13,0 månader för patienter som svarade på behandlingen. I en undergruppsanalys var den totala responsfrekvensen högre hos patienter med de histologiska kategorierna IWF B, C och D jämfört med IWF A (58 % jämfört med 12 %), högre hos patienter vars största lesion var < 5 cm jämfört med >7 cm vid störst diameter (53 % jämfört med 38 %), samt högre hos patienter med kemosensitivt återfall jämfört med kemoterapiresistent (definierad som responsduration < 3 månader) återfall (50 % jämfört med 22 %). Den totala responsfrekvensen hos patienter som tidigare behandlats med autolog benmärgstransplantation (ABMT) var 78 % jämfört med 43 % hos patienter utan ABMT. Varken ålder, kön, grad av lymfom, initial diagnos, närvaro eller frånvaro av stor tumörbörda, normal eller hög LDH eller närvaro av extranodal sjukdom hade en statistisk signifikant effekt (Fishers exakta test) på det kliniska svaret av rituximab. En statistisk signifikant korrelation noterades mellan responsfrekvenserna och benmärgsengagemang, 40 % av patienterna med benmärgsengagemang svarade jämfört med 59 % av patienterna utan benmärgsengagemang (p=0,0186). Denna skillnad bekräftades dock inte av en stegvis logistisk regressionsanalys i vilken följande faktorer identifierades som prognostiska faktorer: histologisk typ, bcl-2-positivitet före behandling, resistens mot senaste kemoterapi och stor tumörbörda (”bulky”).
Initial behandling, 1 dos per vecka i 8 veckor
I en icke-kontrollerad multicenter-studie fick 37 patienter med recidiverat eller kemoterapiresistent, låggradigt eller follikulärt B-cells-NHL, 375 mg/m2 rituximab som intravenös infusion 1 gång per vecka i sammanlagt åtta veckor. Den totala responsfrekvensen var 57 % (95 % KI; 41 % – 73 %; CR 14 %, PR 43 %) med en median-TTP på 19,4 månader (intervall 5,3 till 38,9 månader) för de patienter som svarade på behandlingen.
Initial behandling vid stor tumörbörda, 1 dos per vecka i 4 veckor
I poolade data från tre studier fick 39 patienter med recidiverat eller kemoterapiresistent, låggradigt eller follikulärt B-cells-NHL, med stor tumörbörda (enstaka lesion ≥ 10 cm i diameter), 375 mg/m2
rituximab som intravenös infusion 1 gång per vecka i sammanlagt fyra veckor. Den totala responsfrekvensen var 36 % (95 % KI 21 % – 51 %; CR 3 %, PR 33 %) med en median-TTP på 9,6 månader (intervall 4,5 till 26,8 månader) för de patienter som svarade på behandlingen.
Förnyad behandling, 1 dos per vecka i 4 veckor
I en icke-kontrollerad multicenter-studie deltog 58 patienter med recidiverat eller kemoterapiresistent, låggradigt eller follikulärt B-cells-NHL, och som hade uppnått ett objektivt kliniskt svar vid en tidigare behandlingskur med rituximab. Dessa patienter fick rituximab, 375 mg/m2 som intravenös infusion 1 gång per vecka i sammanlagt fyra veckor. Tre av patienterna hade tidigare erhållit två kurer av rituximab och gavs därefter en tredje kur inom studien. Två patienter fick förnyad behandling två gånger i studien. För de 60 förnyade behandlingarna som studerades, var den totala responsfrekvensen 38 % (95 % KI; 26 % – 51 %; 10 % CR 28 % PR) med en median-TTP på 17,8 månader (interval 5,4 - 26,6) för de patienter som svarade på behandlingen. Detta framstår som fördelaktigt jämfört med den TTP som uppnåddes efter den första kuren av rituximab (12,4 månader).
Initial behandling, i kombination med kemoterapi
I en öppen randomiserad studie blev totalt 322 tidigare obehandlade patienter med follikulära lymfom randomiserade till behandling med antingen CVP (cyklofosfamid 750 mg/m2, vinkristin 1,4 mg/m2 till maximalt 2 mg dag 1, och prednisolon 40 mg/m2/dag under dag 1-5) var tredje vecka under 8 cykler eller till behandling med rituximab 375 mg/m2 i kombination med CVP (R-CVP). Rituximab gavs dag 1 i varje behandlingscykel. Totalt 321 patienter (162 R-CVP, 159 CVP) erhöll behandling och analyserades avseende effekt. Mediantiden för uppföljning av patienterna var 53 månader. R-CVP gav en signifikant fördel jämfört med CVP avseende det primära effektmåttet, tid till behandlingssvikt (27 månader jämfört med 6,6 månader, p< 0,0001, log-rank test). Andelen patienter med ett tumörsvar (CR, CRu, PR) var signifikant högre (p< 0,0001 Chi-Square test) i R-CVP-gruppen (80,9 %) än i CVP-gruppen (57,2 %). Behandling med R-CVP medförde en signifikant förlängning av tid till sjukdomsprogress eller död jämfört med CVP, 33,6 månader respektive 14,7 månader (p< 0,0001, log- rank test). Mediantiden för responsduration var 37,7 månader i R-CVP-gruppen och 13,5 månader i CVP-gruppen (p< 0,0001, log-rank test).
Skillnaden mellan behandlingsgrupperna avseende överlevnad visade en signifikant klinisk skillnad (p=0,029, log-rank test stratifierad efter center): överlevnaden vid 53 månaders uppföljning var 80,9 % för patienterna i R-CVP-gruppen jämfört med 71,1 % för patienterna i CVP-gruppen.
Resultaten från tre andra randomiserade studier med rituximab i kombination med annan kemoterapibehandling än CVP (CHOP, MCP, CHVP/interferon-α) har också visat signifikanta förbättringar avseende responsfrekvens, tidsberoende parametrar liksom överlevnad.
De huvudsakliga resultaten från alla fyra studierna finns summerade i tabell 8.
Tabell 8 Översikt över de huvudsakliga resultaten från fyra randomiserade fas III-studier som utvärderar fördelarna med rituximab och olika kemoterapibehandlingar vid follikulära lymfom
EFS – Händelsefri överlevnad
TTP – Tid till sjukdomsprogress eller död
PFS – Progressionsfri överlevnad
TTF – Tid till behandlingssvikt
OS – överlevnad vid tidpunkten för analyserna
Underhållsbehandling
Tidigare obehandlat follikulärt lymfom
I en prospektiv, öppen, internationell, multicenter, fas III-studie fick 1193 patienter med tidigare obehandlat avancerat follikulärt lymfom induktionsbehandling med R-CHOP (n=881), R-CVP (n=268) eller R-FCM (n=44) enligt läkarens val. Totalt svarade 1078 patienter på induktionsbehandlingen av vilka 1018 randomiserades till underhållsbehandling med rituximab (n=505) eller observation (n=513). De två behandlingsgrupperna var väl balanserade avseende patientkaraktäristik vid studiestart samt sjukdomsstatus. Underhållsbehandling med rituximab bestod av en infusion av rituximab 375 mg/m2 kroppsyta givet varannan månad till sjukdomsprogression eller under en period av maximalt 2 år.
Den fördefinierade primära analysen genomfördes viden median observationstid på 25 månader från randomisering, resulterade underhållsbehandling med rituximab i kliniskt relevant och statistiskt signifikant förbättring i primär effektvariabel, progressionsfri överlevnad (PFS) bedömd av prövaren, i jämförelse med observation av patienter med tidigare obehandlat follikulärt lymfom (Tabell 9).
Signifikant nytta av underhållsbehandling med rituximab sågs också för de sekundära effektvariablerna händelsefri överlevnad (EFS, event-free survival), tid till nästa anti- lymfombehandling (TNLT), tid till nästa kemoterapibehandling (TNCT) samt responsfrekvens (ORR, overall response rate) i den primära analysen (Tabell 9).
Data från den förlängda uppföljningen av patienter i studien (median uppföljningstid 9 år) bekräftade den långsiktiga nyttan av rituximab underhållsbehandling avseende PFS, EFS, TNLT och TNCT (Tabell 9).
Tabell 9 Översikt av effektresultat för rituximab underhållsbehandling jämfört med observation vid den protokolldefinierade primära analysen och efter median uppföljningstid på 9 år (slutlig analys)
*Vid slutet av underhållsbehandling/observation; slutliga anlysresultat baserat på 73 månaders median uppföljningstid.
Uppföljning: NR; ej nåbar vid tidpunkt för klinisk cut-off, TNCT: tid till nästa kemoterapibehandling, TNLT: tid till nästa anti-lymfombehandling.
Underhållsbehandling med rituximab gav genomgående nytta i alla predefinierade testade sub- grupper: kön (man, kvinna), ålder (<60 år, >= 60 år), FLIPI score (<=1, 2 eller >=3), induktionsbehandling (R-CHOP, R-CVP eller R-FCM) och oberoende av kvaliteten på svaret på induktionsbehandlingen (CR, CRu eller PR). Explorativa analyser av nyttan med underhållsbehandling visade mindre uttalad effekt hos äldre patienter (>70 år), dock var antalet mycket litet.
Relapserade/refraktära follikulära lymfom
I en prospektiv, öppen, internationell, multicenter, fas III-studie randomiserades 465 patienter med relapserat/refraktärt follikulärt lymfom i ett första steg till induktionsbehandling med antingen CHOP (cyklofosfamid, doxorubicin, vinkristin, prednisolon; n=231) eller rituximab plus CHOP (R-CHOP, n=234). De två behandlingsgrupperna var väl balanserade avseende patientkaraktäristik vid studiestart samt sjukdomsstatus. Totalt 334 patienter som uppnådde total eller partiell remission efter induktionsbehandlingen randomiserades i ett andra steg till rituximab underhållsbehandling (n=167) eller observation (n=167). Rituximab underhållsbehandling bestod av en infusion av rituximab 375 mg/m2 kroppsyta givet var tredje månad till sjukdomsprogression eller under en period av maximalt 2 år.
Den finala effektanalysen inkluderade alla patienter som randomiserades till båda delarna av studien. Efter en medianobservationstid på 31 månader för patienter som randomiserades till induktionsfasen, ökade R-CHOP signifikant behandlingsutfallet för patienterna med relapserat/refraktärt follikulärt lymfom jämfört med CHOP (se Tabell 10).
Tabell 10 Induktionsfas: Översikt av effektresultaten för CHOP jämfört med R-CHOP (31 månaders medianobservationstid)
1) Estimaten beräknades som riskkvot.
2) Sista tumörsvar enligt bedömning av prövaren. Det “primära” statistiska testet för “svar” var trendanalys av CR kontra PR kontra non-response (inget svar) (p < 0,0001)
Förkortningar: NA (not available) = inte tillgängligt; ORR (overall response rate) = responsfrekvens; CR (complete response)= komplett respons; PR ( partial response) = partiell respons.
För patienter som randomiserades till studiens underhållsfas var mediantiden för observation 28 månader från randomisering till underhållsbehandling. Underhållsbehandling med rituximab ledde till kliniskt relevanta och statistiskt signifikanta förbättringar i primära effektvariabler, PFS, (tid från randomisering till underhållsbehandling till relaps, sjukdomsprogression eller död) vid jämförelse med enbart observation (p < 0,0001 log-rank test). Medianvärdet för PFS var 42,2 månader i gruppen med rituximab underhållsbehandling jämfört med 14,3 månader i observationsgruppen. Användning av cox regressionsanalys visade att risken för sjukdomsprogress eller död reducerades med 61 % med rituximab underhållsbehandling jämfört med observation (95 % KI; 45 % -72 %). Kaplan-Meier- estimerad progressionsfri frekvens efter 12 månader var 78 % i gruppen med rituximab underhållsbehandling jämfört med 57 % i observationsgruppen. En analys av överlevnad bekräftade den signifikanta nyttan med rituximab underhållsbehandling framför observation (p=0,0039 log-rank test). Rituximab underhållsbehandling reducerade risken för död med 56 % (95 % KI; 22 % -75 %).
Tabell 11 Underhållsbehandlingsfas: Översikt av effektresultaten för rituximab jämfört med observation (28 månaders medianobservationstid)
NR (not reached) = inte uppnått; a: endast tillämpligt för patienter som får ett komplett respons.
Nyttan med rituximab underhållsbehandling bekräftades i alla subgrupper som analyserades, oavsett induktionsbehandling (CHOP eller R-CHOP) eller kvaliteten på svaret på induktionsbehandlingen (CR eller PR) (tabell 11). Rituximab underhållsbehandling förlängde signifikant medianvärdet för PFS hos patienter som svarade på CHOP induktionsbehandling (median PFS 37,5 månader jämfört med 11,6 månader, p<0,0001) liksom hos dem som svarade på R-CHOP induktionsbehandling (median PFS 51,9 månader jämfört med 22,1 månader, p<0,0071). Trots att subgrupperna var små, gav rituximab underhållsbehandling en signifikant fördel beträffande överlevnad för både patienter som svarade på CHOP och patienter som svarade på R-CHOP, även om en längre uppföljningsperiod krävs för att bekräfta denna observation.
Diffusa storcelliga B-cells non-Hodgkins lymfom hos vuxna
I en randomiserad och öppen studie erhöll totalt 399 tidigare obehandlade äldre patienter (60-80 år) med diffusa storcelliga B-cells non-Hodgkins lymfom CHOP enligt standardbehandling (cyklofosfamid 750 mg/m2, doxorubicin 50 mg/m2, vinkristin 1,4 mg/m2 upp till ett maximum av 2 mg dag 1, och prednisolon 40 mg/m2/dag under dag 1-5) var tredje vecka under 8 behandlingscykler, eller rituximab 375 mg/m2 plus CHOP (R-CHOP). Rituximab administrerades under den första dagen av behandlingscykeln.
Den finala effektanalysen inkluderade samtliga randomiserade patienter (197 CHOP, 202 R-CHOP) och hade en mediantid för uppföljning på ca 31 månader. De två behandlingsgrupperna var väl balanserade avseende sjukdomskarakteristika och sjukdomsstatus vid studiestart. Den finala analysen bekräftade att R-CHOP-behandling medförde en kliniskt relevant och statistiskt signifikant förlängning av händelsefri överlevnad (primär effektparameter; händelserna bestod av död, återfall eller progression av lymfom, eller insättning av ny antilymfombehandling) (p=0,0001). Mediantiden för händelsefri överlevnad beräknad enligt Kaplan Meier var 35 månader för R-CHOP jämfört med 13 månader för CHOP, motsvarande en riskreduktion på 41 %. Vid 24 månader skattades överlevnaden till 68,2 % för R-CHOP jämfört med 57,4 % för CHOP. En uppföljande analys av överlevnad, gjord vid en mediantid för uppföljning på 60 månader, bekräftade fördelen med R-CHOP jämfört med CHOP (p=0,0071), motsvarande en riskreduktion på 32 %.
Analysen av samtliga sekundära parametrar (responsfrekvenser, progressionsfri överlevnad, sjukdomsfri överlevnad, responsduration) bekräftade behandlingseffekten av R-CHOP jämfört med CHOP. Andelen komplett respons efter behandlingscykel 8 var 76,2 % i R-CHOP-gruppen och 62,4 % i CHOP-gruppen (p=0,0028). Risken för sjukdomsprogress reducerades med 46 % och risken för återfall med 51 %. För samtliga patientundergrupper (kön, ålder, åldersjusterad IPI, Ann Arbor stadium, ECOG, β2-mikroglobulin, LDH, albumin, B-symtom, stor tumörbörda (”bulky”), extranodala lokalisationer, benmärgsengagemang) var riskförhållandet för händelsefri överlevnad och överlevnad (vid en jämförelse av R-CHOP med CHOP) mindre än 0,83 respektive 0,95. Enligt åldersjusterad IPI förbättrade R-CHOP utfallet både för högrisk- och lågriskpatienter.
Kliniska laboratoriefynd
Av 67 patienter utvärderade avseende human anti-mus antikropp (HAMA), kunde ingen respons noteras. Av 356 patienter utvärderade avseende antikroppar mot läkemedel (ADA) var 1,1 % (fyra patienter) positiva.
Kronisk lymfatisk leukemi
I två öppna randomiserade studier, randomiserades totalt 817 tidigare obehandlade patienter och 552 patienter med återfall/refraktär KLL till att antingen få FC-kemoterapi (fludarabin 25 mg/m2, cyklofosfamid 250 mg/m2, dag 1-3) var 4:e vecka i 6 cykler eller rituximab i kombination med FC (R- FC). Rituximab administreras med en dos på 375 mg/m2 under den första cykeln en dag före kemoterapin och med en dos på 500 mg/m2 dag 1 i varje efterföljande behandlingscykel. Patienter exkluderades från studien med återfall/refraktär KLL om de tidigare behandlats med monoklonala antikroppar, eller om de var refraktära (definierat som oförmåga att uppnå partiell remission under minst 6 månader) mot fludarabin eller någon nukleosidanalog. Totalt analyserades 810 patienter (403 R-FC, 407 FC) för effekt i studien för första linjens behandling (tabell 12a och tabell 12b) och 552 patienter (276 R-FC, 276 FC) i studien med återfall/refraktär KLL (tabell 13).
I studien för första linjens behandling, efter en medianobservationstid på 48,1 månader var mediantiden för progressionsfri överlevnad 55 månader i R-FC-gruppen och 33 månader i FC-gruppen (p<0,0001, log-rank test). Analysen av överlevnad visade en signifikant nytta med R-FC-behandling jämfört med enbart FC kemoterapi (p=0,0319, log-rank test) (tabell 12a). Nyttan i form av progressionsfri överlevnad observerades genomgående i de flesta patientsubgrupperna analyserade i enlighet med sjukdomsrisken innan behandling (dvs Binet stadium A-C) (tabell 12b).
Tabell 12a Första linjens behandling av kronisk lymfatisk leukemi
Översikt av effektresultat för rituximab plus FC jämfört med enbart FC - 48,1 månaders medianobservationstid
Responsfrekvens och CR frekvens analyserades genom att använda Chi-square test. NR (not reached): inte uppnått; n.a. (not applicable): inte applicerbart
*: bara applicerbar på patienter som uppnått CR, nPR, PR
**: bara applicerbart på patienter som uppnått CR
Tabell 12b Första linjens behandling av kronisk lymfatisk leukemi
Hazard ratio för progressionsfri överlevnad enligt Binet stadium (ITT) – 48,1 månaders medianobservationstid
KI: Konfidensintervall
I studien med återfall/refraktär KLL, var mediantid för progressionsfri överlevnad (primär effektvariabel) 30,6 månader i R-FC-gruppen och 20,6 månader i FC-gruppen (p=0,0002, log-rank test). Nyttan i form av progressionsfri överlevnad observerades i nästan alla patientundergrupper som analyserades enligt sjukdomsrisk vid studiestart. En liten men inte signifikant förbättring i överlevnad rapporterades i R-FC armen jämfört med FC-armen.
Tabell 13 Behandling av återfall/refraktär kronisk lymfatisk leukemi – översikt över effektresultat för rituximab plus FC jämfört med FC i monoterapi (25,3 månader i medianobservationstid)
Responsfrekvens och CR frekvens analyserades genom att använda Chi-square test.
*: bara applicerbar på patienter som uppnått CR, nPR, PR; NR (not reached): inte uppnått n.a. (not applicable): inte applicerbart
**: bara applicerbart på patienter som uppnått CR;
Resultat från andra stödjande studier där rituximab används i kombination med andra kemoterapiregimer (inklusive CHOP, FCM, PC, PCM, bendamustin och kladribin) för behandling av tidigare obehandlad KLL och/eller vid återfall/refraktär KLL har också visat hög total responsfrekvens med nytta i form av PFS-frekvens, om än med måttligt högre toxicitet (särskilt myelotoxicitet). Dessa studier stödjer användningen av rituximab med kemoterapi. Data från cirka 180 patienter som tidigare behandlats med rituximab har visat klinisk nytta (inklusive CR) och styrker återbehandling med rituximab.
Pediatrisk population
En öppen och randomiserad multicenterstudie med Lymfom Malin B (LMB)-kemoterapi (kortikosteroider, vinkristin, cyklofosfamid, högdos metotrexat, cytarabin, doxorubicin, etoposid och trippel-läkemedelskombination [metotrexat/cytarabin/kortikosteroid] intratekal behandling) ensamt eller i kombination med rituximab genomfördes hos barn med tidigare obehandlat avancerat stadium av CD20-positiv DLBCL/BL/BAL/BLL. Avancerat stadium definieras som stadium III med förhöjd LDH-nivå ("B-hög"), [LDH > två gånger den institutionella övre gränsen för normalvärden hos vuxna (> N x 2)] eller något stadium av IV eller BAL. Patienter randomiserades för att få antingen LMB- kemoterapi eller sex intravenösa infusioner av rituximab i en dos på 375 mg/m2 kroppsyta i kombination med LMB-kemoterapi (två under var och en av de två induktionsbehandlingarna och en under var och en av de två konsolideringsbehandlingarna) enligt LMB-schemat. Totalt 328 randomiserade patienter inkluderades i effektanalyserna, varav en patient under 3 år fick rituximab i kombination med LMB-kemoterapi.
De två behandlingsarmarna, LMB (LMB-kemoterapi) och R-LMB (LMB-kemoterapi med rituximab), var väl balanserade avseende patientkaraktäristik vid studiestart. Patienterna hade en medianålder på 7 år i LMB-armen respektive 8 år i R-LMB-armen. Cirka hälften av patienterna var i grupp B (50,6% i LMB-armen och 49,4% i R-LMB-armen), 39,6% i grupp C1 i vardera arm, 9,8% i grupp C3 var i LMB-armen och 11,0% i R-LMB-armen. Baserat på klassificering enligt Murphy var de flesta patienterna antingen i BL stadium III (45,7% i LMB-armen och 43,3% i R-LMB-armen) eller BAL, CNS-negativt (21,3% i LMB-armen och 24,4% i R-LMB-armen). Mindre än hälften av patienterna (45,1% i båda armarna) hade benmärgsengagemang och de flesta patienter (72,6% i LMB- armen och 73,2% i R-LMB-armen) hade inget CNS-engagemang. Det primära effektmåttet var EFS där en händelse definierades som förekomst av progressiv sjukdom, återfall, annan malignitet, död av någon orsak eller uteblivet svar, vilket framgår genom detektering av livskraftiga celler i återstoden efter den andra CYVE-behandlingen, beroende på vilken som inträffar först. De sekundära effektmåtten var OS och CR (fullständig remission).
Vid den fördefinierade interimsanalysen med ungefär ett års median uppföljningstid observerades kliniskt relevant förbättring av det primära effektmåttet EFS, med 1 års bedömning på 94,2% (95% KI, 88,5% - 97,2%) i R-LMB-armen jämfört med 81,5% (95% Kl, 73,0% - 87,8%) i LMB-armen och justerade Cox HR 0,33 (95% Kl, 0,14 - 0,79). Baserat på detta resultat och efter rekommendation från IDMC (oberoende dataövervakningskommittén), stoppades randomiseringen och patienter i LMB- armen fick gå över till att få rituximab.
Primära effektanalyser utfördes hos 328 randomiserade patienter med en median uppföljningstid på 3,1 år. Resultaten visas i tabell 14.
Tabell 14: Översikt av primära effektmått (intention-to-treat- populationen)
Den primära effektanalysen visade en fördel på EFS vid tillägg av rituximab till LMB-kemoterapi jämfört med enbart LMB-kemoterapi, med EFS HR 0,32 (90% KI 0,17 - 0,58) för en Cox regressionsanalys som justerades för nationell grupp, histologi och terapeutisk grupp. Medan inga större skillnader i antal patienter som uppnådde CR observerades mellan de två behandlingsgrupperna. Fördelen med tillägg av rituximab till LMB-kemoterapi visades också i det sekundära effektmåttet för OS, med OS HR på 0,36 (95% KI, 0,16 - 0,81).
Europeiska läkemedelsmyndigheten har tagit bort kravet att skicka in studieresultaten för rituximab för alla undergrupper av den pediatriska populationen för follikulärt lymfom, kronisk lymfatisk leukemi och hos pediatriska patienter från födsel till <6 månaders ålder med CD20-positivt diffust storcelligt B-cellslymfom. Se avsnitt 4.2 för information om pediatrisk användning.
Klinisk erfarenhet vid reumatoid artrit
Effekt och säkerhet av rituximab vid symtomlindring av reumatoid artrit hos patienter som har haft ett otillräckligt svar av TNF-hämmare visades i en pivotal randomiserad, kontrollerad, dubbelblind multicenterstudie (Studie 1).
Studie 1 utvärderade 517 patienter som hade fått otillräckligt svar eller var intoleranta mot en eller flera behandlingar med TNF-hämmare. Deltagande patienter hade aktiv reumatoid artrit enligt kriterierna från American College of Reumatology (ACR). Rituximab administrerades som två intravenösa infusioner med 15 dagars mellanrum. Patienterna fick 2 x 1000 mg rituximab som intravenös infusion eller placebo i kombination med metotrexat. Samtliga patienter fick samtidig behandling med 60 mg peroralt prednisolon dag 2-7 och 30 mg dag 8-14 efter första infusionen. Den primära effektparametern var andelen patienter som fick ett ACR20 svar efter 24 veckor. Patienterna följdes längre än 24 veckor för långtidsuppföljning av effektvariabler, inklusive radiologisk utvärdering efter 56 veckor och efter 104 veckor. Under denna tidsperiod fick 81 % av patienterna som ursprungligen ingick i placebo-gruppen, behandling med rituximab mellan vecka 24 och 56 i en öppen uppföljningsstudie.
Studier av rituximab hos patienter med tidig reumatoid artrit (patienter tidigare obehandlade med metotrexat) och patienter med otillräckligt svar mot metotrexat och som ännu inte behandlats med TNF-alfa hämmare har uppnått det primära effektmåttet. Rituximab är inte indikerat för dessa patienter då säkerhetsdata från långtidsbehandling med rituximab är otillräckliga, i synnerhet gällande risken för utveckling av maligniteter och PML.
Utfall i sjukdomsaktivitet
Rituximab i kombination med metotrexat ökade signifikant andelen patienter som uppnådde minst en 20 % -ig förbättring av ACR-svar jämfört med patienter som behandlades med enbart metotrexat (Tabell 15). I samtliga studier var fördelarna med behandling liknande hos patienter oavsett ålder, kön, kroppsyta, etnicitet, antal tidigare behandlingar och sjukdomsstatus.
Kliniskt och statistiskt signifikant förbättring noterades också för alla individuella komponenter av ACR-svar (antal ömma och antal svullna leder, patientens och läkarens globala bedömning, patientens hälsobedömning enligt frågeformuläret HAQ, smärtbedömning och C-Reaktivt Protein (mg/dl)).
Tabell 15 Kliniska resultat vid primärt effektmått studie 1 (ITT population)
†Resultat vid vecka 24
Signifikant skillnad jämfört mot placebo + MTX vid tidpunkten för primär endpoint ***p≤0.0001
I samtliga studier hade patienter som behandlades med rituximab i kombination med metotrexat en signifikant större reduktion i sjukdomsaktivitet (DAS28) än patienter som behandlades med enbart metotrexat (Tabell 15). I likhet erhölls ett måttligt till bra svar enligt European League Against Rheumatism (EULAR) av signifikant fler rituximab + metotrexat-behandlade patienter jämfört med patienter som behandlades enbart med metotrexat (Tabell 15).
Radiologiskt svar
Strukturell leddestruktion utvärderades radiologiskt, och redovisades som förändring i modifierat total ”Sharp Score”(mTSS) och dess komponenter erosions-”score” samt minskning av ledspalt (joint space narrowing score).
I studie 1, som genomfördes hos patienter med otillräckligt svar eller intolerans mot en eller flera TNF-hämmare, uppvisades signifikant mindre radiologisk progression hos patienter som behandlades med rituximab i kombination med metotrexat än hos patienter som ursprungligen enbart fick metotrexat i 56 veckor. Av de patienter som ursprungligen enbart behandlades med metotrexat erhöll 81 % rituximab antingen som ”rescue”-medicinering mellan vecka 16-24 eller före vecka 56 i uppföljningsstudien. Trots detta hade en högre andel patienter som fick den ursprungliga behandlingen rituximab/metotrexat ingen progression av erosionen under 56 veckor (Tabell 16).
Tabell 16 Radiologiskt utfall vid 1 år (mITT population)
150 patienter ursprungligen randomiserade till placebo + MTX i Studie 1 fick minst en behandling av RTX + MTX inom ett år.
* p <0,05. ** p < 0,001. Förkortning: NS = ej signifikant (non significant).
Hämning av leddestruktion observerades också under lång tid. Radiologisk analys vid 2 år i Studie 1 visade signifikant reducerad progression av strukturell leddestruktion hos patienter behandlade med rituximab i kombination med metotrexat jämfört med enbart metotrexat samt en signifikant högre andel patienter utan progression av leddestruktion efter 2 år.
Utfall av fysisk funktion och livskvalitet
Signifikanta förbättringar i fysisk funktion mätt med HAQ-DI och trötthet (FACIT-Fatigue) observerades hos patienter behandlade med rituximab jämfört med patienter behandlade med enbart metotrexat. Andelen rituximab-behandlade patienter som visade tydliga förbättringar (MCID) i HAQ- DI (definierat som en individuell minskning på >0,22) var också större jämfört med patienter som endast behandlades med metotrexat (Tabell 17).
Signifikant förbättring i hälsorelaterad livskvalitet visades genom signifikant förbättring I både ”Physical Health Score” (PHS) och ”Mental health score” (MHS) av SF-36. Dessutom uppnådde en signifikant högre andel patienter MDIC för dessa värden (Tabell 17).
Tabell 17 Fysisk funktion och livskvalitet vid vecka 24 i Studie 1
†Utfall vid vecka 24
Signifikant skiljt från placebo vid tiden för primär endpoint: *p<0,05, **p<0,001 ***p≤0,0001
MCID HAQ-DI ≥0,22, MCID SF-36 PHS>5,42, MCID SF-36 MHS>6,33
Effekt hos autoantikropps-seropositiva patienter (RF och/eller anti-CCP antikroppar)
Patienter seropositiva för reumatoid faktor (RF) och/eller anti-Cylisk Citrullinerad Peptid (anti-CCP antikroppar) som behandlades med rituximab i kombination med metotrexat visade ökat svar jämfört med patienter negativa för båda.
Effekten hos rituximab-behandlade patienter analyserades utifrån autoantikroppstatus före behandlingsstart. Vid vecka 24 hade patienter som var seropositiva för RF och/eller anti-CCP antikroppar vid behandlingens påbörjande signifikant ökad möjlighet att uppnå ACR20 och 50 jämfört med seronegativa patienter (p=0,0312 och p=0,0096) (Tabell 18). Samma resultat uppnåddes vid vecka 48, då autoantikropps-seropositivitet signifikant ökade sannolikheten att nå ACR70. Vid vecka 48 var det 2-3 gånger mer sannolikt att seropositiva patienter uppnådde ACR svar jämfört med seronegativa patienter. Seropositiva patienter hade också signifikant större minskning i DAS28-ESR jämfört med seronegativa patienter (Bild 1).
Tabell 18 Sammanfattning av effekt baserad på ursprunglig autoantikroppstatus
Signifikansnivåerna definierades som *p<0,05, **p<0,001, ***p<0,0001
Bild 1: Förändring av DAS28-ESR baserat på ursprunglig autoantikroppstatus
Långtidseffekt vid upprepade behandlingsomgångar
Behandling med rituximab i kombination med metotrexat vid upprepade behandlingsomgångar resulterade i varaktiga förbättringar av kliniska tecken och symtom av RA, mätt som ACR, DAS28- ESR och EULAR svar, vilket visades i alla studerade patientgrupper (Bild 2). Varaktig förbättring i fysisk funktion mätt med HAQ-DI och andelen patienter som uppnådde MCID för HAQ-DI observerades.
Bild 2: ACR respons för 4 behandlingsomgångar (24 veckor efter varje behandlingsomgång, mätt för varje patient vid varje besök) hos patienter som har haft ett otillräckligt svar av TNF-hämmare (n=146)
Kliniska laboratoriefynd
Totalt testade 392/3095 (12,7 %) av patienterna med reumatoid artrit positivt för ADA i kliniska studier efter behandling med rituximab. Uppkomsten av ADA förknippades inte med klinisk försämring eller med en ökad risk för reaktioner mot efterföljande infusioner hos majoriteten av patienterna. Förekomst av ADA kan förknippas med förvärrade infusionsreaktioner eller allergiska reaktioner efter den andra infusionen av efterföljande behandlingsomgångar.
Pediatrisk population
Europeiska läkemedelsmyndigheten har tagit bort kravet att skicka in studieresultaten för rituximab för alla undergrupper av den pediatriska populationen med autoimmun artrit. Se avsnitt 4.2 för information om pediatrisk användning.
Klinisk erfarenhet av granulomatos med polyangit (GPA) och mikroskopisk polyangit (MPA)
Induktion av remission hos vuxna patienter
Totalt 197 patienter i åldern 15 år eller äldre med allvarlig aktiv GPA (75%) och MPA (24%) rekryterades och behandlades i GPA/MPA studie 1, en randomiserad, dubbelblind, multicenter, non- inferiority-studie med aktiv komparator.
Patienterna randomiserades i förhållandet 1:1 till att få antingen oralt cyklofosfamid dagligen (2mg/kg/dag) under 3-6 månader eller rituximab (375 mg/m2) en gång i veckan under 4 veckor. Samtliga patienter i cyklofosfamid-armen fick underhållsbehandling med azatioprin under uppföljningen. Patienter i båda armarna fick 1000 mg intravenöst metylprednisolon (eller annan likvärdig dos glukokortikoid) per dag under 1 till 3 dagar, följt av prednison peroralt (1 mg/kg/dag, högst 80 mg/dag). Nedtrappning av prednison skulle vara avslutad efter 6 månader från studiebehandlingens början.
Det primära effektmåttet var att uppnå fullständig remission vid 6 månader definierat som 0 på Birmingham Vasculitis Activity Score för Wegeners granulomatos (BVAS/WG), och utan behandling med glukokortikoider. Den pre-specificerade non-inferiority gränsen för skillnad i behandling var
20%. Studien visade non-inferiority för rituximab jämfört med cyklofosfamid för fullständig remission vid 6 månader (tabell 19).
Effekt observerades både för patienter med nyligen diagnostiserad sjukdom och för patienter med recidiverande sjukdom (tabell 20).
Tabell 19 Andel av vuxnapatienter som uppnådde fullständig remission vid 6 månader (Intent-to-Treat population *)
Tabell 20 Fullständig remission vid 6 månader per sjukdomsstatus
Worst case imputering används för patienter med saknade data
Fullständig remission vid 12 och 18 månader
I rituximab-gruppen uppnådde 48% av patienterna fullständig remission vid 12 månader, och 39% av patienterna uppnådde fullständig remission vid 18 månader. Hos patienter som behandlades med cyklofosfamid (följt av azatioprin för att bibehålla fullständig remission), uppnådde 39% av patienterna fullständig remission vid 12 månader och 33% av patienterna uppnådde fullständig remission vid 18 månader. Från månad 12 till månad 18 observerades 8 recidiv i rituximab-gruppen jämfört med fyra i cyklofosfamid-gruppen.
Laboratoriesvar
Totalt testades 23/99 (23%) patienter som fick rituximab från studien av induktion av remission positivt för ADA vid 18 månader. Ingen av de 99 patienter som fick rituximab var ADA-positiva vid screening. Det fanns ingen uppenbar trend eller negativ inverkan på säkerhet och effekt vid närvaron av ADA i studien av induktion av remission.
Underhållsbehandling av vuxna patienter
Totalt 117 patienter (88 med GPA, 24 med MPA och 5 med njurbegränsad ANCA-associerad vaskulit) i remission av sjukdomen randomiserades till att få azatioprin (59 patienter) eller rituximab (58 patienter) i en prospektiv, multicenter, kontrollerad, öppen studie. Patienterna som inkluderades var 21 till 75 år gamla och hade nyligen diagnostiserad eller återfall av sjukdom i fullständig remission efter kombinerad behandling med glukokortikoider och upprepade doser cyklofosfamid. Majoriteten av patienterna var ANCA-positiva vid diagnostisering eller under sjukdomsförloppet. De hade histologiskt bekräftad nekrotiserande vaskulit i små kärl med en klinisk fenotyp av GPA eller MPA eller njurbegränsad ANCA-associerad vaskulit; eller båda.
Remissionsinducerad behandling inkluderade intravenöst prednison administrerat enligt prövarens omdöme. Hos vissa patienter föregicks behandling av upprepade doser metylprednisolon och upprepade doser cyklofosfamid tills att remission uppnåtts efter 4 till 6 månader. Vid den tidpunkten och inom max 1 månad efter sista dosen cyklofosfamid randomiserades patienter till antingen behandling med rituximab (två intravenösa infusioner om 500 mg med två veckors mellanrum (på dag 1 och på dag 15) efterföljt av 500 mg intravenös infusion var 6:e månad i 18 månader) eller azatioprin (administrerat oralt i en dos på 2mg/kg/dag i 12 månader, därefter 1,5 mg/kg/dag i 6 månader och slutligen 1mg/kg/dag i 4 månader (behandlingen avbröts efter dessa 22 månader)). Prednison- behandlingen trappades ned och hölls sedan på en låg dos (ungefär 5 mg om dagen) i minst 18 månader efter randomiseringen. Nedtrappning av prednisondos och beslut om att avsluta prednison- behandling efter 18 månader lämnades åt prövarens omdöme.
Alla patienter följdes till månad 28 (10 respektive 6 månader efter sista infusionen med irtuximab eller azatioprin-dosen). Profylax mot lunginflammation orsakad av Pneumocystis jirovecii krävdes för alla patienter med antal CD4+ T-lymfocyter mindre än 250 per kubikmillimenter.
Det primära utfallsmåttet var frekvensen allvarliga återfall vid månad 28.
Resultat
Vid månad 28 inträffade allvarligt återfall (definierat som återuppträdande av kliniska tecken och/eller laboratorievärden för vaskulär aktivitet ([BVAS]> 0) som kan leda till organsvikt eller skada, eller kan vara livshotande) hos 3 patienter (5%) i rituximab-gruppen och hos 17 patienter (29%) i azatioprin-gruppen (p=0,0007). Mindre återfall (ej livshotande och ej involverande organsvikt) förekom hos sju patienter i rituximab-gruppen (12%) och åtta patienter i azatiopringruppen (14%).
Kurvan över den kumulativa förekomstfrekvensen visade att tiden till första allvarliga återfallet var längre hos patienter med rituximab från och med månad 2 och bibehölls fram till månad 28 (Bild 3).
Bild 3: Kumulativ förekomst av första allvarliga återfall över tid
Antal patienter med allvarligt återfall
Antal patienter med risk
Notera: patienter exkluderadees vid månad 28 om det inte inträffat någon händelse
Laboratoriesvar
Totalt utvecklade 6/34 (18%) av de rituximab-behandlade patienterna i den kliniska studien med underhållsbehandling ADA. Det fanns ingen uppenbar trend eller negativ inverkan på säkerhet och effekt vid närvaro av ADA i den kliniska studien med underhållsbehandling.
Pediatrisk population
Granulomatos med polyangit (GPA) och mikroskopisk polyangit (MPA)
Studie WA25615 (PePRS) var en multicenter, öppen, enarmad, okontrollerad studie med 25 barn (≥2 år till <18 år) med svår, aktiv GPA eller MPA. Medianåldern hos patienterna i studien var 14 år (intervall: 6-17 år) och majoriteten av patienterna (20/25 [80%]) var kvinnor. Totalt 19 patienter (76%) hade GPA och 6 patienter (24%) hade MPA vid studiestart. Arton patienter (72%) hade nyligen diagnostiserad sjukdom vid inträdet i studien (13 patienter med GPA och 5 patienter med MPA) och 7 patienter hade relapserande sjukdom (6 patienter med GPA och 1 patient med MPA).
Studiedesignen bestod av en initial remissions- och induktionsfas på 6 månader meden uppföljning på minst 18 månader upp till högst 54 månader (4,5 år) totalt. Patienterna skulle ges minst 3 doser av intravenöst metylprednisolon (30 mg/kg/dag, högst 1 g/dag) före den första intravenösa infusionen av rituximab. Om kliniskt nödvändigt kunde ytterligare dagliga doser (upp till tre) av intravenöst metylprednisolon ges. Behandlingsregimen för remission och induktion bestod av fyra intravenösa rituximab-infusioner en gång per vecka med en dos på 375 mg/m2 kroppsyta på studiedag: 1, 8, 15 och 22. Infusionerna gavs i kombination med oralt prednisolon eller prednison i en dos av 1 mg/kg/dag (maximalt 60 mg/dag) nedtrappat till minst 0,2 mg/kg/dag (maximalt 10 mg/dag) efter 6 månader. Efter remissions- och induktionsfasen, kunde patienter efter prövarens bedömning, få efterföljande rituximab-infusioner från och med månad 6 för att upprätthålla remission och kontroll av sjukdomsaktivitet (inklusive progressiv sjukdom eller skov) enligt Pediatric Vasculitis Activity Score (PVAS) eller för att uppnå första remission.
Alla 25 patienter avslutade alla fyra veckovisa intravenösa infusionerna för den 6 månader långa remissions- och induktionsfasen. Totalt 24 av 25 patienter avslutade minst 18 månader av uppföljningen.
Syftet med denna studie var att utvärdera säkerhet, farmakokinetiska parametrar och effekt av rituximab hos pediatriska patienter med GPA och MPA (≥ 2 år till <18 år). Effektmåtten för studien var undersökande och bedömdes huvudsakligen med hjälp av PVAS (Tabell 21).
Kumulativ glukokortikoiddos (intravenös och oral) efter månad 6:
24 av 25 patienter (96%) i studie WA25615 uppnådde oral glukokortikoidnedtrappning till 0,2 mg/kg/dag (eller mindre än eller lika med 10 mg/dag, beroende på vilket som var lägst) vid eller senast månad 6 under den protokolldefinerade nedtrappningen av orala steroider.
En minskning i medianen av total oral glukokortikoidanvändning observerades från vecka 1 (median = 45 mg prednison ekvivalent dos [IQR: 35-60]) till månad 6 (median = 7,5 mg [IQR: 4-10]), vilket därefter upprätthölls vid månad 12 (median = 5 mg [IQR: 2-10]) och månad 18 (median = 5 mg [IQR: 1-5]).
Uppföljningsbehandling
Under hela studietiden fick patienter mellan 4 och 28 infusioner av rituximab (upp till 4,5 år [53,8 månader]). Patienter fick upp till 375 mg/m2 x 4 av rituximab ungefär var 6:e månad, efter prövarens bedömning. Totalt fick 17 av 25 patienter (68%) ytterligare behandling med rituximab vid eller efter månad 6 fram till studieavslutet. Av dessa patienter fick 14 av 17 ytterligare behandling med rituximab mellan månad 6 och månad 18.
Tabell 21: Studie WA25615 (PePRS) – PVAS remission vid månad 1, 2, 4, 6, 12 och 18
Laboratoriesvar
Totalt utvecklade 4/25 patienter (16%) ADA under hela studietiden. Begränsad data visar att det inte observerades någon trend i de biverkningar som rapporterats hos patienter som var positiva för ADA.
Det fanns ingen uppenbar trend eller negativ inverkan på säkerhet eller effekt vid närvaro av ADA i de kliniska prövningarna med pediatriska patienter med GPA och MPA.
Europeiska läkemedelsmyndigheten har avstått från kravet om att resultaten måste skickas in för de rituximab-studier med en pediatrisk population < 2 år och med svår, aktiv GPA eller MPA. Se avsnitt 4.2 för information om pediatrisk användning.
Klinisk erfarenhet vid pemfigus vulgaris
PV studie 1 (studie ML22196)
Effekten och säkerheten av rituximab i kombination med korttidsbehandling med glukokortikoider (prednison) i låg dos utvärderades hos nyligen diagnostiserade patienter med måttligt till svår pemfigus (74 pemfigus vulgaris [PV] och 16 pemfigus foliaceus [PF]), i denna randomiserade, öppna och kontrollerade multicenterstudie. Patienterna var mellan 19 och 79 år och hade inte fått någon behandling för pemfigus tidgare. I PV-populationen hade 5 (13%) patienter i rituximab-gruppen och 3 (8%) patienter i prednisongruppen med standarddos en måttlig sjukdom och 33 (87%) patienter i rituximab-gruppen och 33 (92%) patienter i prednisongruppen med standarddos en svår sjukdom enligt sjukdomssvårighetsgrad definierad enligt Harmans kriterier.
Patienterna stratifierades med utgångspunkt i sjukdomens svårighetsgrad (måttlig eller svår) och randomiserades 1:1 för att få antingen rituximab och lågdos prednison eller standarddos prednison. Patienter som randomiserades till rituximab-gruppen fick en initial intravenös infusion med rituximab om 1000 mg på studiedag 1 i kombination med 0,5 mg/kg/dag oralt prednison, nedtrappat över 3 månader vid måttlig sjukdom eller 1 mg/kg/dag oralt prednison nedtrappat över 6 månader vid svår sjukdom och en andra intravenös infusion på 1000 mg på studiedag 15. Underhållsinfusioner av rituximab 500 mg administrerades vid månad 12 och 18. Patienter som randomiserades till prednisongruppen med standarddos fick en initial oral dos 1 mg/kg/dag nedtrappat över 12 månader om de hade måttlig sjukdom eller 1,5 mg/kg/dag oralt prednison nedtrappat över 18 månader om de hade svår sjukdom. Patienter i rituximab-gruppen som fick återfall kunde få en ytterligare infusion av rituximab 1000 mg i kombination med återinsatt eller ökad prednisondos. Underhållsinfusioner och infusioner vid återfall administrerades inte tidigare än 16 veckor efter föregående infusion.
Det primära syftet med studien var fullständig remission (fullständig epitelialisering och frånvaro av ny och/eller etablerade lesioner) vid månad 24 utan användning av prednisonterapi under två månader eller mer (CRoff för ≥2 månader).
Resultat: PV studie 1
Studien visade statistiskt signifikanta resultat på rituximab och lågdos prednison över standarddos prednison genom att uppnå CRoff ≥2 månader vid månad 24 hos PV-patienter (se tabell 22).
Tabell 22 Procent av PV-patienter som uppnådde fullständig remission utan kortikosteroidbehandling i två månader eller mer vid månad 24 (Intent-to-Treat population – PV)
Antalet patienter med rituximab plus låg dos med prednison utan prednisonbehandling eller med minimal behandling (prednisondos på 10 mg eller mindre om dagen) jämfört med patienter med standarddos av prednison över en 24 månaders behandlingsperiod, visar en steroidbesparande effekt av rituximab (bild 4).
Bild 4: Antal patienter utan eller med minimal kortikosteroidbehandling (≤10mg/dag) över tid
Post-hoc retrospektiv utvärdering av laboratoriesvar
Totalt 19/34 (56%) patienter med PV, som behandlades med rituximab, testades positivt för ADA- antikroppar vid 18 månader. Den kliniska relevansen av att utveckla ADA hos rituximab-behandlade patienter med PV är oklar.
PV studie 2 (studie WA29330)
I en randomiserad, dubbelblind, double-dummy, aktiv-komparator, multicenterstudie, utvärderades effekten och säkerheten av rituximab jämfört med mykofenolatmofetil (MMF) hos patienter med måttlig till allvarlig PV som fick 60-120 mg/dag av oralt prednison eller motsvarande (1,0-1,5 mg/kg/dag) vid studiestart och trappades ned till en dos på 60 eller 80 mg/dag vid dag 1. Patienter hade en faststäld PV-diagnos inom de föregående 24 månaderna och med tecken på måttlig till allvarlig sjukdom (definierat som en total aktivitetspoäng på ≥15 enligt Pemphigus Disease Area Index (PDAI)).
Etthundratrettiofem patienter randomiserades till behandling med antingen rituximab 1000 mg administrerad på dag 1, dag 15, vecka 24 och vecka 26, eller oral MMF 2 g/dag i 52 veckor i kombination med 60 eller 80 mg oral prednison, med målet att trappa ner prednison till 0 mg/dag vid vecka 24.
Det primära effektivitetsmålet för denna studie var att utvärdera effekten av rituximab jämfört med MMF vid vecka 52 för att uppnå en varaktig fullständig remission. Fullständig remission definierades som uppnådd läkning av lesioner utan nya aktiva lesioner (dvs. en PDAI-aktivitetspoäng på 0) med 0 mg/dag prednison eller motsvarande, och upprätthålla detta svar under minst 16 veckor i följd under 52 veckors behandlingsperiod.
Resultat: PV-studie 2
Studien visade överlägsenheten av rituximab jämfört med MMF i kombination med en nedtrappning av orala kortikosteroider för att uppnå CRoff kortikosteroid ≥ 16 veckor vid vecka 52 hos PV-patienter (tabell 23). Majoriteten av patienter i mITT populationen var nyligen diagnostiserade (74 %) och 26 % av patienterna hade en fastställd sjukdom (sjukdomsvaraktighet ≥ 6 månader och fick tidigare behandling för PV).
Tabell 23 Andel av PV-patienter som uppnått bibehållen komplett remission utan behandling med kortikosteroider i 16 veckor eller mer vid vecka 52 (modifierad Intent-To-Treat population)
Analysen av alla sekundära parametrar (inklusive kumulativ oral kortikosteroiddos, det totala antalet sjukdomsskov och förändring i hälsorelaterad livskvalitet, mätt med Dermatology Life Quality Index), bekräftade de statistiskt signifikanta resultaten av rituximab jämfört med MMF. Testning av sekundära effektmått kontrollerades för mångfald.
Glukokortikoid exponering
Den kumulativa orala kortikosteroiddosen var signifikant lägre hos patienter behandlade med rituximab. Median (min, max) kumulativ prednisondos vid vecka 52 var 2775 mg (450, 22180) i rituximab-gruppen jämfört med 4005 mg (900, 19920) i MMF-gruppen (p = 0,0005).
Sjukdomsskov
Det totala antalet sjukdomsskov var signifikant lägre hos patienter som behandlades med rituximab jämfört med MMF (6 jämfört med 44, p <0,0001) och det var färre patienter som fick minst ett skov (8,1% jämfört med 41,3%).
Laboratorieutvärderingar
Vid vecka 52 testades totalt 20/63 (31,7%) (19 behandlingsinducerade och 1 behandlingsförbättrad) rituximab-behandlade PV-patienter positiva för ADA. Det fanns ingen uppenbar negativ påverkan av närvaron av ADA på säkerhet eller effekt i PV studie 2.
Vuxna med Non-Hodgkins lymfom
Baserat på data från en populationsfarmakokinetisk analys av 298 patienter med NHL som fick enstaka eller upprepade infusioner av rituximab som enda läkemedel eller i kombination med CHOP- behandling (använda rituximab-doser varierade från 100-500 mg/m2) var de typiska populationsestimaten av ospecifikt clearance (CL1), specifikt clearance (CL2) troligen påverkade av B- cells eller tumörbörda, och central kompartments distributionsvolym (V1) 0,14 l/dag, 0,59 l/dag, respektive 2,7 l. Uppskattad median terminal eliminationshalveringstid för rituximab var 22 dagar (intervall, 6,1 till 52 dagar). Baseline-värdet för antal CD19-positiva celler och storleken på mätbara tumörlesioner bidrog delvis till variabiliteten i CL2 för rituximab i data från 161 patienter som fick 375 mg/m2 som en intravenös infusion en gång per vecka i sammanlagt 4 veckor. Patienter med högre antal CD19-positiva celler eller tumörlesioner hade ett högre CL2. Däremot kvarstod en stor andel av den interindividuella variabiliten för CL2 efter korrigering för antal CD19-positiva celler och storlek av tumörlesion. V1 varierade med kroppsytan (=body surface area, BSA) och CHOP-behandling. Variabiliteten i V1 (27,1 % och 19,0 %) påverkades till relativt liten grad av intervallet i BSA (1,53 till 2,32 m2) respektive samtidig CHOP-behandling. Ålder, kön, ras och ”WHO performance status” hade ingen effekt på farmakokinetiken för rituximab. Denna analys tyder på att dosjustering av rituximab med någon av de testade covariaterna inte förväntas medföra en meningsfull reduktion av dess farmakokinetiska variabilitet.
Rituximab administrerat som en intravenös infusion med en dos av 375 mg/m2 en gång per vecka i 4 veckor till 203 patienter med NHL som inte tidigare behandlats med rituximab, gav ett medelvärde för Cmax efter den fjärde infusionen på 486 µg/ml (intervall 77,5 till 996,6 µg/ml). Rituximab detekterades i serum hos patienter 3 – 6 månader efter det att senaste behandlingen avslutats.
Vid administrering av rituximab med dosen 375 mg/m2 som en intravenös infusion en gång per vecka i 8 veckor till 37 patienter med NHL ökade medelvärdet för Cmax efter varje infusion och sträckte sig från ett medelvärde på 243 µg/ml (intervall 16 – 582 µg/ml) efter den första infusionen till 550 µg/ml (intervall 171 – 1 177 µg/ml) efter den åttonde infusionen.
Den farmakokinetiska profilen för rituximab då det administrerades som 6 infusioner om 375 mg/m2 i kombination med 6 cykler CHOP kemoterapi var jämförbar med den som sågs då enbart rituximab gavs.
Pediatriska patienter med DLBCL/BL/BAL/BLL
I den kliniska studien med pediatriska DLBCL/BL/BAL/BLL- patienter studerades farmakokinetiken i en undergrupp med 35 patienter i åldrarna 3 år och äldre. Farmakokinetiken var jämförbar mellan de båda åldersgrupperna (≥3 till <12 år jämfört med ≥12 till <18 år). Efter två intravenösa rituximab infusioner på 375 mg/m2 i var och en av de två induktionscyklerna (cykel 1 och 2), följt av en intravenös rituximab infusion på 375 mg/m2 i var och en av konsolideringscyklerna (cykel 3 och 4), var den maximala koncentrationen högst efter den fjärde infusionen (cykel 2). Det geometriska medelvärdet var 347 µg/ml följt av lägre geometriska genomsnittliga maximala koncentrationer därefter (cykel 4: 247 µg/ml). Med denna dosregim bibehölls nivåer av dalkoncentrationen (geometriskt medelvärde: 41,8 µg/ml (före dosering vid cykel 2; efter cykel 1), 67,7 µg/ml (före dosering vid cykel 3, efter cykel 2) och 58,5 µg/ml (före dosering vid cykel 4, efter cykel 3)). Medianhalveringstid för eliminering hos pediatriska patienter i åldern 3 år och äldre var 26 dagar.
De farmakokinetiska egenskaperna av rituximab hos barn med DLBCL/BL/BAL/BLL liknande de som har observerats hos vuxna patienter med NHL.
Inga farmakokinetiska data finns tillgängliga för åldersgruppen ≥6 månader till <3 år. Populationsfarmakokinetisk prediktion stödjer emellertid jämförbar systemisk exponering (AUC, Ctrough) i denna åldersgrupp jämfört med ≥3 år (tabell 24). Mindre tumörstorlek vid baseline är relaterat till högre exponering på grund av lägre tidsberoende clearance. Systemexponeringar påverkade av olika tumörstorlekar kvarstod däremot inom intervallet för exponering som var effektiv och hade en acceptabel säkerhetsprofil.
Tabell 24: Predikterade farmakokinetiska parametrar efter dosering med rituximab hos pediatriska patienter med DLBCL/BL/BAL/BLL
Resultaten är presenterade som median (min – max); Ctrough är pre-dos Cykel 4.
Kronisk lymfatisk leukemi
Rituximab administrerades som en intravenös infusion med en första cykeldos på 375 mg/m2 ökad till 500 mg/m2 i varje efterföljande cykel i 5 doser i kombination med fludarabin och cyklofosfamid hos KLL-patienter. Medelvärdet av Cmax (n=15) var 408 µg/ml (intervall, 97-764 µg/ml) efter den femte 500 mg/m2 infusionen och medelvärdet för den terminala halveringstiden var 32 dagar (intervall, 14-62 dagar).
Reumatoid artrit
Efter två intravenösa infusioner av rituximab med doseringen 1000 mg med två veckors mellanrum, var medelvärdet för den terminala halveringstiden 20,8 dagar (intervall 8,58-35,9 dagar), medelvärdet för systemiskt clearance var 0,23 l/dag (intervall 0,091 till 0,67 l/dag), och medelvärdet för distributionsvolymen vid steady state var 4,6 l (intervall 1,7 till 7,51 l). Populationsfarmakokinetisk analys av samma data gav liknande medelvärden för systemiskt clearance och halveringstid; 0,26 l/dag respektive 20,4 dagar. Populationsfarmakokinetisk analys visade att kroppsyta och kön var de mest signifikanta kovariaterna som förklarar inter-individuell variabilitet i de farmakokinetiska parametrarna. Efter anpassning för kroppsytan hade män en större distributionsvolym och ett snabbare clearance än kvinnor. Denna könsrelaterade farmakokinetiska skillnad anses inte vara kliniskt relevant och ingen dosjustering krävs. Inga farmakokinetiska data finns tillgängliga för patienter med nedsatt lever- eller njurfunktion.
Rituximabs farmakokinetik utvärderades efter två intravenösa doser av 500 mg och 1000 mg vid dag 1 och 15 i fyra studier. I samtliga studier var rituximabs farmakokinetik dosproportionerlig inom det begränsade dosintervall som studerades. Medelvärdet för Cmax för rituximab i serum efter första infusionen varierade mellan 157 och 171 µg/ml för dosen 2 x 500 mg respektive mellan 298 och 341 µg/ml för dosen 2 x 1000 mg. Efter den andra infusionen varierade medelvärdet för Cmax mellan 183 och 198 µg/ml för dosen 2 x 500 mg respektive mellan 355 och 404 µg/ml for dosen 2 x 1000 mg. Medelvärdet för den terminala eliminationshalveringstiden varierade mellan 15 och 16 dagar för dosgruppen 2 x 500 mg respektive mellan 17 och 21 dagar för dosgruppen 2 x 1000 mg. Medelvärdet för Cmax var 16 till 19% högre efter andra infusionen jämfört med första infusionen för båda doserna.
Rituximabs farmakokinetik utvärderades efter två intravenösa doser av 500 mg och 1000 mg vid andra behandlingsomgången. Medelvärdet för Cmax för rituximab i serum efter första infusionen varierade mellan 170 och 175 µg/ml för dosen 2 x 500 mg respektive mellan 317 och 370 µg/ml för dosen 2 x 1000 mg. Efter den andra infusionen var medelvärdet för Cmax 207 µg/ml för dosen 2 x 500 mg respektive varierade mellan 377 och 386 µg/ml för dosen 2 x 1000 mg. Medelvärdet för den terminala eliminationshalveringstiden efter den andra infusionen efter andra behandlingsomgången var 19 dagar för dosen 2 x 500 mg respektive 21 till 22 dagar för dosen 2 x 1000 mg. Farmakokinetiska parametrar för rituximab var jämförbara över de två behandlingsomgångarna.
De farmakokinetiska (PK) parametrarna hos populationen med otillräckligt svar på TNF-hämmare som fick samma doseringsregim (2 x 1000 mg, IV med 2 veckors mellanrum) var jämförbara med ett medelvärde för maximal serumkoncentration på 369 μg/ml och ett medelvärde för terminal halveringstid på 19,2 dagar.
Granulomatos med polyangit (GPA) och mikroskopisk polyangit (MPA)
Vuxen population
Baserat på den populationsfarmakokinetiska analysen av data från 97 patienter med granulomatos med polyangit och mikroskopisk polyangit som fick 375 mg/m2 rituximab en gång per vecka i fyra veckor, var det beräknade medianvärdet för den terminala eliminationshalveringstiden 23 dagar (intervall 9 till 49 dagar). Genomsnittlig clearance och distributionsvolym för rituximab var 0,313 l/dag (intervall 0,116 till 0,726 l/dag) respektive 4,50 l (intervall 2,25 till 7,39 l). Maximal koncentration under de första 180 dagarna (Cmax) var 372,6 (252,3-533,5) µg/ml (median [intervall]), lägsta koncentrationen vid dag 180 (C180) var 2,1 (0-29,3) µg/ml och den kumulativa arean under kurvan under 180 dagar (AUC180) var 10302 (3653-21874) µg/ml*dagar. De farmakokinetiska parametrarna för rituximab hos vuxna patienter med GPA och MPA verkar snarlika de som observerats hos patienter med reumatoid artrit.
Pediatrisk population
Baserat på den populationsfarmakokinetiska analysen av data från 25 barn (6-17 år) med GPA och MPA och som fått 4 doser på 375 mg/m2 av rituximab en gång i veckan var det uppskattade medianvärdet för den terminala eliminationshalveringstiden 22 dagar (intervall, 11 till 42 dagar). Rituximabs genomsnittliga clearance och distributionsvolym var 0,221 l /dag (intervall, 0 0996 till 0,381 l/dag) respektive 2,27 l (intervall 1,43 till 3,17 l). Maximal koncentration under de första 180 dagarna (Cmax) var 382,8 (270,6-513,6) µg/ml (median [intervall]), lägsta koncentration vid dag 180 (C180) var 0,9 (0-17,7) µg/ml och den kumulativa arean under kurvan under 180 dagar (AUC180) var 9787 (4838-20446) μg/ml * dag. De farmakokinetiska parametrarna för rituximab hos barn med GPA eller MPA var liknande de hos vuxna med GPA eller MPA, när hänsyn togs till kroppsytans effekt på paramentrerna för clearance och distributionsvolym.
Pemfigus vulgaris
De farmakokinetiska parametrarna hos vuxna patienter med PV som fick rituximab 1000 mg dag 1, 15, 168 och 182 sammanfattas i tabell 25.
Tabell 25 Populationsfarmakokinetiska parametrar hos vuxna patienter med PV från PVstudie 2
Efter de första två administreringarna av rituximab(dag 1 och 15, motsvarande cykel 1), var de farmakokinetiska parametrarna för rituximab hos patienter med PV liknande de hos GPA/MPA- och RA-patienter. Efter de två sista administreringarna (dag 168 och 182, motsvarande cykel 2), minskade rituximab-clearance medan den centrala distributionsvolymen förblev oförändrad.
Rituximab har visat sig ha hög specificitet för CD20 antigenet på B-celler. Toxicitetsstudier hos Cynomolgusapor har inte visat några andra effekter förutom den förväntade farmakologiska elimineringen av B-celler i perifert blod och lymfatisk vävnad.
Utvecklingstoxicitetsstudier har utförts med cynomolgusapor i doser upp till 100 mg/kg (behandling på gestationsdag 20-50) och visade inga tecken på toxicitet hos fostret förorsakat av rituximab. Däremot har farmakologiskt dosberoende låga nivåer av B-celler i de lymfoida organen observerats hos fostret, som kvarstod postnatalt och följdes av en minskning av IgG-nivåer i de nyfödda djuren som berördes. Antalet B-celler återgick till det normala hos dessa djur inom 6 månader efter födseln och äventyrade inte reaktionen vid vaccinering.
Standardtester för att undersöka mutageniciteten har inte utförts eftersom sådana tester inte är relevanta för denna molekyl. Inga långtidsstudier på djur har utförts för att fastställa karcinogeniciteten hos rituximab. Specifika studier för att fastställa effekten av rituximab på fertilitet har inte utförts. I allmänna toxicitetsstudier hos cynomolgusapor observerades inga skadliga effekter på fortplantningsorganen hos hanar eller honor.
Farmakoterapeutisk grupp: antineoplastiska ämnen, monoklonala antikroppar, ATC-kod L01XC02
Ituxredi tillhör gruppen ”biosimilars”. Ytterligare information om detta läkemedel finns på Europeiska läkemedelsmyndighetens webbplats https://www.ema.europa.eu/.
Rituximab binder specifikt till det transmembrana antigenet, CD20, ett icke glykosylerat fosfoprotein, lokaliserat på pre-B och mogna B-lymfocyter. Antigenet uttrycks på > 95 % av alla B-cells non- Hodgkins lymfom.
CD20 återfinns både på normala och maligna B-celler, men inte på hematopoietiska stamceller, pro-B-celler, normala plasmaceller eller annan normal vävnad. Detta antigen internaliseras inte vid antikroppsbindning och secerneras inte. CD20 cirkulerar inte i plasma som ett fritt antigen och konkurrerar således inte om antikroppsbindningen.
Fab-domänen hos rituximab binder till CD20 antigenet på B-lymfocyter och Fc-domänen kan inrikta immunsystemets effektorsteg till att mediera B-cellslys. Möjliga mekanismer för effektormedierad lys av celler inkluderar komplement-beroende cytotoxicitet (CDC) som ett resultat av C1q-bindningen och antikroppsberoende cellulär cytotoxicitet (ADCC) medierad av en eller flera Fcγ-receptorer på ytan av granulocyter, makrofager och NK-celler. Genom bindning till CD20 antigenet på B- lymfocyter har rituximab även visats inducera celldöd via apoptos.
Antalet perifera B-celler sjönk under normalvärdet efter att den första infusionen med rituximab fullföljts. Hos patienter behandlade för hematologiska maligniteter började B-cellsnivåerna att återhämta sig inom 6 månader efter avslutad behandling och generellt återgå till normala värden inom 12 månader efter avslutad behandling, även om det hos vissa patienter kan ta längre tid (upp till en median återhämtningstid på 23 månader efter induktionsbehandling). Hos patienter med reumatoid artrit observerades en omedelbar minskning av antalet B-celler i perifert blod efter två rituximab- infusioner à 1000 mg givna med 14 dagars intervall. Antalet B-celler i perifert blod började återkomma från vecka 24 och normalisering av B-cellsnivåerna observerades hos majoriteten av patienterna efter 40 veckor, oavsett om rituximab gavs som monoterapi eller i kombination med metotrexat. En liten andel patienter hade en förlängd perifer B-cellsdepletion som varade i 2 år eller längre efter sista dosen rituximab. Hos patienter med GPA eller MPA, minskade antalet perifera B- celler till <10 celler/μl efter två veckovisa infusioner av rituximab 375 mg/m2, och låg kvar på den nivån hos de flesta patienter i upp till 6 månader. Majoriteten av patienterna (81 %) visade tecken på återkomst av B-celler med ett antal > 10 celler/μl vid månad 12, som ökade till 87 % av patienterna vid månad 18.
Klinisk erfarenhet av non-Hodgkins lymfom och kronisk lymfatisk leukemi
Follikulära lymfom
Monoterapi
Initial behandling, 1 dos per vecka i 4 veckor
I den pivotala studien deltog 166 patienter, med låggradigt eller follikulärt B-cells non-Hodgkins lymfom (NHL) som recidiverat eller varit kemoterapiresistent. Patienterna gavs rituximab 375 mg/m2 kroppsyta som en intravenös infusion en gång per vecka i fyra veckor. Den totala responsfrekvensen (ORR) i intention-to-treat (ITT)- populationen var 48 % (95 % Konfidensintervall (KI) 41 % - 56 %), med 6 % komplett respons- (CR) och 42 % partiell respons- (PR)frekvens. Mediantiden till progression (TTP) var 13,0 månader för patienter som svarade på behandlingen. I en undergruppsanalys var den totala responsfrekvensen högre hos patienter med de histologiska kategorierna IWF B, C och D jämfört med IWF A (58 % jämfört med 12 %), högre hos patienter vars största lesion var < 5 cm jämfört med >7 cm vid störst diameter (53 % jämfört med 38 %), samt högre hos patienter med kemosensitivt återfall jämfört med kemoterapiresistent (definierad som responsduration < 3 månader) återfall (50 % jämfört med 22 %). Den totala responsfrekvensen hos patienter som tidigare behandlats med autolog benmärgstransplantation (ABMT) var 78 % jämfört med 43 % hos patienter utan ABMT. Varken ålder, kön, grad av lymfom, initial diagnos, närvaro eller frånvaro av stor tumörbörda, normal eller hög LDH eller närvaro av extranodal sjukdom hade en statistisk signifikant effekt (Fishers exakta test) på det kliniska svaret av rituximab. En statistisk signifikant korrelation noterades mellan responsfrekvenserna och benmärgsengagemang, 40 % av patienterna med benmärgsengagemang svarade jämfört med 59 % av patienterna utan benmärgsengagemang (p=0,0186). Denna skillnad bekräftades dock inte av en stegvis logistisk regressionsanalys i vilken följande faktorer identifierades som prognostiska faktorer: histologisk typ, bcl-2-positivitet före behandling, resistens mot senaste kemoterapi och stor tumörbörda (”bulky”).
Initial behandling, 1 dos per vecka i 8 veckor
I en icke-kontrollerad multicenter-studie fick 37 patienter med recidiverat eller kemoterapiresistent, låggradigt eller follikulärt B-cells-NHL, 375 mg/m2 rituximab som intravenös infusion 1 gång per vecka i sammanlagt åtta veckor. Den totala responsfrekvensen var 57 % (95 % KI; 41 % – 73 %; CR 14 %, PR 43 %) med en median-TTP på 19,4 månader (intervall 5,3 till 38,9 månader) för de patienter som svarade på behandlingen.
Initial behandling vid stor tumörbörda, 1 dos per vecka i 4 veckor
I poolade data från tre studier fick 39 patienter med recidiverat eller kemoterapiresistent, låggradigt eller follikulärt B-cells-NHL, med stor tumörbörda (enstaka lesion ≥ 10 cm i diameter), 375 mg/m2
rituximab som intravenös infusion 1 gång per vecka i sammanlagt fyra veckor. Den totala responsfrekvensen var 36 % (95 % KI 21 % – 51 %; CR 3 %, PR 33 %) med en median-TTP på 9,6 månader (intervall 4,5 till 26,8 månader) för de patienter som svarade på behandlingen.
Förnyad behandling, 1 dos per vecka i 4 veckor
I en icke-kontrollerad multicenter-studie deltog 58 patienter med recidiverat eller kemoterapiresistent, låggradigt eller follikulärt B-cells-NHL, och som hade uppnått ett objektivt kliniskt svar vid en tidigare behandlingskur med rituximab. Dessa patienter fick rituximab, 375 mg/m2 som intravenös infusion 1 gång per vecka i sammanlagt fyra veckor. Tre av patienterna hade tidigare erhållit två kurer av rituximab och gavs därefter en tredje kur inom studien. Två patienter fick förnyad behandling två gånger i studien. För de 60 förnyade behandlingarna som studerades, var den totala responsfrekvensen 38 % (95 % KI; 26 % – 51 %; 10 % CR 28 % PR) med en median-TTP på 17,8 månader (interval 5,4 - 26,6) för de patienter som svarade på behandlingen. Detta framstår som fördelaktigt jämfört med den TTP som uppnåddes efter den första kuren av rituximab (12,4 månader).
Initial behandling, i kombination med kemoterapi
I en öppen randomiserad studie blev totalt 322 tidigare obehandlade patienter med follikulära lymfom randomiserade till behandling med antingen CVP (cyklofosfamid 750 mg/m2, vinkristin 1,4 mg/m2 till maximalt 2 mg dag 1, och prednisolon 40 mg/m2/dag under dag 1-5) var tredje vecka under 8 cykler eller till behandling med rituximab 375 mg/m2 i kombination med CVP (R-CVP). Rituximab gavs dag 1 i varje behandlingscykel. Totalt 321 patienter (162 R-CVP, 159 CVP) erhöll behandling och analyserades avseende effekt. Mediantiden för uppföljning av patienterna var 53 månader. R-CVP gav en signifikant fördel jämfört med CVP avseende det primära effektmåttet, tid till behandlingssvikt (27 månader jämfört med 6,6 månader, p< 0,0001, log-rank test). Andelen patienter med ett tumörsvar (CR, CRu, PR) var signifikant högre (p< 0,0001 Chi-Square test) i R-CVP-gruppen (80,9 %) än i CVP-gruppen (57,2 %). Behandling med R-CVP medförde en signifikant förlängning av tid till sjukdomsprogress eller död jämfört med CVP, 33,6 månader respektive 14,7 månader (p< 0,0001, log- rank test). Mediantiden för responsduration var 37,7 månader i R-CVP-gruppen och 13,5 månader i CVP-gruppen (p< 0,0001, log-rank test).
Skillnaden mellan behandlingsgrupperna avseende överlevnad visade en signifikant klinisk skillnad (p=0,029, log-rank test stratifierad efter center): överlevnaden vid 53 månaders uppföljning var 80,9 % för patienterna i R-CVP-gruppen jämfört med 71,1 % för patienterna i CVP-gruppen.
Resultaten från tre andra randomiserade studier med rituximab i kombination med annan kemoterapibehandling än CVP (CHOP, MCP, CHVP/interferon-α) har också visat signifikanta förbättringar avseende responsfrekvens, tidsberoende parametrar liksom överlevnad.
De huvudsakliga resultaten från alla fyra studierna finns summerade i tabell 8.
Tabell 8 Översikt över de huvudsakliga resultaten från fyra randomiserade fas III-studier som utvärderar fördelarna med rituximab och olika kemoterapibehandlingar vid follikulära lymfom
EFS – Händelsefri överlevnad
TTP – Tid till sjukdomsprogress eller död
PFS – Progressionsfri överlevnad
TTF – Tid till behandlingssvikt
OS – överlevnad vid tidpunkten för analyserna
Underhållsbehandling
Tidigare obehandlat follikulärt lymfom
I en prospektiv, öppen, internationell, multicenter, fas III-studie fick 1193 patienter med tidigare obehandlat avancerat follikulärt lymfom induktionsbehandling med R-CHOP (n=881), R-CVP (n=268) eller R-FCM (n=44) enligt läkarens val. Totalt svarade 1078 patienter på induktionsbehandlingen av vilka 1018 randomiserades till underhållsbehandling med rituximab (n=505) eller observation (n=513). De två behandlingsgrupperna var väl balanserade avseende patientkaraktäristik vid studiestart samt sjukdomsstatus. Underhållsbehandling med rituximab bestod av en infusion av rituximab 375 mg/m2 kroppsyta givet varannan månad till sjukdomsprogression eller under en period av maximalt 2 år.
Den fördefinierade primära analysen genomfördes viden median observationstid på 25 månader från randomisering, resulterade underhållsbehandling med rituximab i kliniskt relevant och statistiskt signifikant förbättring i primär effektvariabel, progressionsfri överlevnad (PFS) bedömd av prövaren, i jämförelse med observation av patienter med tidigare obehandlat follikulärt lymfom (Tabell 9).
Signifikant nytta av underhållsbehandling med rituximab sågs också för de sekundära effektvariablerna händelsefri överlevnad (EFS, event-free survival), tid till nästa anti- lymfombehandling (TNLT), tid till nästa kemoterapibehandling (TNCT) samt responsfrekvens (ORR, overall response rate) i den primära analysen (Tabell 9).
Data från den förlängda uppföljningen av patienter i studien (median uppföljningstid 9 år) bekräftade den långsiktiga nyttan av rituximab underhållsbehandling avseende PFS, EFS, TNLT och TNCT (Tabell 9).
Tabell 9 Översikt av effektresultat för rituximab underhållsbehandling jämfört med observation vid den protokolldefinierade primära analysen och efter median uppföljningstid på 9 år (slutlig analys)
*Vid slutet av underhållsbehandling/observation; slutliga anlysresultat baserat på 73 månaders median uppföljningstid.
Uppföljning: NR; ej nåbar vid tidpunkt för klinisk cut-off, TNCT: tid till nästa kemoterapibehandling, TNLT: tid till nästa anti-lymfombehandling.
Underhållsbehandling med rituximab gav genomgående nytta i alla predefinierade testade sub- grupper: kön (man, kvinna), ålder (<60 år, >= 60 år), FLIPI score (<=1, 2 eller >=3), induktionsbehandling (R-CHOP, R-CVP eller R-FCM) och oberoende av kvaliteten på svaret på induktionsbehandlingen (CR, CRu eller PR). Explorativa analyser av nyttan med underhållsbehandling visade mindre uttalad effekt hos äldre patienter (>70 år), dock var antalet mycket litet.
Relapserade/refraktära follikulära lymfom
I en prospektiv, öppen, internationell, multicenter, fas III-studie randomiserades 465 patienter med relapserat/refraktärt follikulärt lymfom i ett första steg till induktionsbehandling med antingen CHOP (cyklofosfamid, doxorubicin, vinkristin, prednisolon; n=231) eller rituximab plus CHOP (R-CHOP, n=234). De två behandlingsgrupperna var väl balanserade avseende patientkaraktäristik vid studiestart samt sjukdomsstatus. Totalt 334 patienter som uppnådde total eller partiell remission efter induktionsbehandlingen randomiserades i ett andra steg till rituximab underhållsbehandling (n=167) eller observation (n=167). Rituximab underhållsbehandling bestod av en infusion av rituximab 375 mg/m2 kroppsyta givet var tredje månad till sjukdomsprogression eller under en period av maximalt 2 år.
Den finala effektanalysen inkluderade alla patienter som randomiserades till båda delarna av studien. Efter en medianobservationstid på 31 månader för patienter som randomiserades till induktionsfasen, ökade R-CHOP signifikant behandlingsutfallet för patienterna med relapserat/refraktärt follikulärt lymfom jämfört med CHOP (se Tabell 10).
Tabell 10 Induktionsfas: Översikt av effektresultaten för CHOP jämfört med R-CHOP (31 månaders medianobservationstid)
1) Estimaten beräknades som riskkvot.
2) Sista tumörsvar enligt bedömning av prövaren. Det “primära” statistiska testet för “svar” var trendanalys av CR kontra PR kontra non-response (inget svar) (p < 0,0001)
Förkortningar: NA (not available) = inte tillgängligt; ORR (overall response rate) = responsfrekvens; CR (complete response)= komplett respons; PR ( partial response) = partiell respons.
För patienter som randomiserades till studiens underhållsfas var mediantiden för observation 28 månader från randomisering till underhållsbehandling. Underhållsbehandling med rituximab ledde till kliniskt relevanta och statistiskt signifikanta förbättringar i primära effektvariabler, PFS, (tid från randomisering till underhållsbehandling till relaps, sjukdomsprogression eller död) vid jämförelse med enbart observation (p < 0,0001 log-rank test). Medianvärdet för PFS var 42,2 månader i gruppen med rituximab underhållsbehandling jämfört med 14,3 månader i observationsgruppen. Användning av cox regressionsanalys visade att risken för sjukdomsprogress eller död reducerades med 61 % med rituximab underhållsbehandling jämfört med observation (95 % KI; 45 % -72 %). Kaplan-Meier- estimerad progressionsfri frekvens efter 12 månader var 78 % i gruppen med rituximab underhållsbehandling jämfört med 57 % i observationsgruppen. En analys av överlevnad bekräftade den signifikanta nyttan med rituximab underhållsbehandling framför observation (p=0,0039 log-rank test). Rituximab underhållsbehandling reducerade risken för död med 56 % (95 % KI; 22 % -75 %).
Tabell 11 Underhållsbehandlingsfas: Översikt av effektresultaten för rituximab jämfört med observation (28 månaders medianobservationstid)
NR (not reached) = inte uppnått; a: endast tillämpligt för patienter som får ett komplett respons.
Nyttan med rituximab underhållsbehandling bekräftades i alla subgrupper som analyserades, oavsett induktionsbehandling (CHOP eller R-CHOP) eller kvaliteten på svaret på induktionsbehandlingen (CR eller PR) (tabell 11). Rituximab underhållsbehandling förlängde signifikant medianvärdet för PFS hos patienter som svarade på CHOP induktionsbehandling (median PFS 37,5 månader jämfört med 11,6 månader, p<0,0001) liksom hos dem som svarade på R-CHOP induktionsbehandling (median PFS 51,9 månader jämfört med 22,1 månader, p<0,0071). Trots att subgrupperna var små, gav rituximab underhållsbehandling en signifikant fördel beträffande överlevnad för både patienter som svarade på CHOP och patienter som svarade på R-CHOP, även om en längre uppföljningsperiod krävs för att bekräfta denna observation.
Diffusa storcelliga B-cells non-Hodgkins lymfom hos vuxna
I en randomiserad och öppen studie erhöll totalt 399 tidigare obehandlade äldre patienter (60-80 år) med diffusa storcelliga B-cells non-Hodgkins lymfom CHOP enligt standardbehandling (cyklofosfamid 750 mg/m2, doxorubicin 50 mg/m2, vinkristin 1,4 mg/m2 upp till ett maximum av 2 mg dag 1, och prednisolon 40 mg/m2/dag under dag 1-5) var tredje vecka under 8 behandlingscykler, eller rituximab 375 mg/m2 plus CHOP (R-CHOP). Rituximab administrerades under den första dagen av behandlingscykeln.
Den finala effektanalysen inkluderade samtliga randomiserade patienter (197 CHOP, 202 R-CHOP) och hade en mediantid för uppföljning på ca 31 månader. De två behandlingsgrupperna var väl balanserade avseende sjukdomskarakteristika och sjukdomsstatus vid studiestart. Den finala analysen bekräftade att R-CHOP-behandling medförde en kliniskt relevant och statistiskt signifikant förlängning av händelsefri överlevnad (primär effektparameter; händelserna bestod av död, återfall eller progression av lymfom, eller insättning av ny antilymfombehandling) (p=0,0001). Mediantiden för händelsefri överlevnad beräknad enligt Kaplan Meier var 35 månader för R-CHOP jämfört med 13 månader för CHOP, motsvarande en riskreduktion på 41 %. Vid 24 månader skattades överlevnaden till 68,2 % för R-CHOP jämfört med 57,4 % för CHOP. En uppföljande analys av överlevnad, gjord vid en mediantid för uppföljning på 60 månader, bekräftade fördelen med R-CHOP jämfört med CHOP (p=0,0071), motsvarande en riskreduktion på 32 %.
Analysen av samtliga sekundära parametrar (responsfrekvenser, progressionsfri överlevnad, sjukdomsfri överlevnad, responsduration) bekräftade behandlingseffekten av R-CHOP jämfört med CHOP. Andelen komplett respons efter behandlingscykel 8 var 76,2 % i R-CHOP-gruppen och 62,4 % i CHOP-gruppen (p=0,0028). Risken för sjukdomsprogress reducerades med 46 % och risken för återfall med 51 %. För samtliga patientundergrupper (kön, ålder, åldersjusterad IPI, Ann Arbor stadium, ECOG, β2-mikroglobulin, LDH, albumin, B-symtom, stor tumörbörda (”bulky”), extranodala lokalisationer, benmärgsengagemang) var riskförhållandet för händelsefri överlevnad och överlevnad (vid en jämförelse av R-CHOP med CHOP) mindre än 0,83 respektive 0,95. Enligt åldersjusterad IPI förbättrade R-CHOP utfallet både för högrisk- och lågriskpatienter.
Kliniska laboratoriefynd
Av 67 patienter utvärderade avseende human anti-mus antikropp (HAMA), kunde ingen respons noteras. Av 356 patienter utvärderade avseende antikroppar mot läkemedel (ADA) var 1,1 % (fyra patienter) positiva.
Kronisk lymfatisk leukemi
I två öppna randomiserade studier, randomiserades totalt 817 tidigare obehandlade patienter och 552 patienter med återfall/refraktär KLL till att antingen få FC-kemoterapi (fludarabin 25 mg/m2, cyklofosfamid 250 mg/m2, dag 1-3) var 4:e vecka i 6 cykler eller rituximab i kombination med FC (R- FC). Rituximab administreras med en dos på 375 mg/m2 under den första cykeln en dag före kemoterapin och med en dos på 500 mg/m2 dag 1 i varje efterföljande behandlingscykel. Patienter exkluderades från studien med återfall/refraktär KLL om de tidigare behandlats med monoklonala antikroppar, eller om de var refraktära (definierat som oförmåga att uppnå partiell remission under minst 6 månader) mot fludarabin eller någon nukleosidanalog. Totalt analyserades 810 patienter (403 R-FC, 407 FC) för effekt i studien för första linjens behandling (tabell 12a och tabell 12b) och 552 patienter (276 R-FC, 276 FC) i studien med återfall/refraktär KLL (tabell 13).
I studien för första linjens behandling, efter en medianobservationstid på 48,1 månader var mediantiden för progressionsfri överlevnad 55 månader i R-FC-gruppen och 33 månader i FC-gruppen (p<0,0001, log-rank test). Analysen av överlevnad visade en signifikant nytta med R-FC-behandling jämfört med enbart FC kemoterapi (p=0,0319, log-rank test) (tabell 12a). Nyttan i form av progressionsfri överlevnad observerades genomgående i de flesta patientsubgrupperna analyserade i enlighet med sjukdomsrisken innan behandling (dvs Binet stadium A-C) (tabell 12b).
Tabell 12a Första linjens behandling av kronisk lymfatisk leukemi
Översikt av effektresultat för rituximab plus FC jämfört med enbart FC - 48,1 månaders medianobservationstid
Responsfrekvens och CR frekvens analyserades genom att använda Chi-square test. NR (not reached): inte uppnått; n.a. (not applicable): inte applicerbart
*: bara applicerbar på patienter som uppnått CR, nPR, PR
**: bara applicerbart på patienter som uppnått CR
Tabell 12b Första linjens behandling av kronisk lymfatisk leukemi
Hazard ratio för progressionsfri överlevnad enligt Binet stadium (ITT) – 48,1 månaders medianobservationstid
KI: Konfidensintervall
I studien med återfall/refraktär KLL, var mediantid för progressionsfri överlevnad (primär effektvariabel) 30,6 månader i R-FC-gruppen och 20,6 månader i FC-gruppen (p=0,0002, log-rank test). Nyttan i form av progressionsfri överlevnad observerades i nästan alla patientundergrupper som analyserades enligt sjukdomsrisk vid studiestart. En liten men inte signifikant förbättring i överlevnad rapporterades i R-FC armen jämfört med FC-armen.
Tabell 13 Behandling av återfall/refraktär kronisk lymfatisk leukemi – översikt över effektresultat för rituximab plus FC jämfört med FC i monoterapi (25,3 månader i medianobservationstid)
Responsfrekvens och CR frekvens analyserades genom att använda Chi-square test.
*: bara applicerbar på patienter som uppnått CR, nPR, PR; NR (not reached): inte uppnått n.a. (not applicable): inte applicerbart
**: bara applicerbart på patienter som uppnått CR;
Resultat från andra stödjande studier där rituximab används i kombination med andra kemoterapiregimer (inklusive CHOP, FCM, PC, PCM, bendamustin och kladribin) för behandling av tidigare obehandlad KLL och/eller vid återfall/refraktär KLL har också visat hög total responsfrekvens med nytta i form av PFS-frekvens, om än med måttligt högre toxicitet (särskilt myelotoxicitet). Dessa studier stödjer användningen av rituximab med kemoterapi. Data från cirka 180 patienter som tidigare behandlats med rituximab har visat klinisk nytta (inklusive CR) och styrker återbehandling med rituximab.
Pediatrisk population
En öppen och randomiserad multicenterstudie med Lymfom Malin B (LMB)-kemoterapi (kortikosteroider, vinkristin, cyklofosfamid, högdos metotrexat, cytarabin, doxorubicin, etoposid och trippel-läkemedelskombination [metotrexat/cytarabin/kortikosteroid] intratekal behandling) ensamt eller i kombination med rituximab genomfördes hos barn med tidigare obehandlat avancerat stadium av CD20-positiv DLBCL/BL/BAL/BLL. Avancerat stadium definieras som stadium III med förhöjd LDH-nivå ("B-hög"), [LDH > två gånger den institutionella övre gränsen för normalvärden hos vuxna (> N x 2)] eller något stadium av IV eller BAL. Patienter randomiserades för att få antingen LMB- kemoterapi eller sex intravenösa infusioner av rituximab i en dos på 375 mg/m2 kroppsyta i kombination med LMB-kemoterapi (två under var och en av de två induktionsbehandlingarna och en under var och en av de två konsolideringsbehandlingarna) enligt LMB-schemat. Totalt 328 randomiserade patienter inkluderades i effektanalyserna, varav en patient under 3 år fick rituximab i kombination med LMB-kemoterapi.
De två behandlingsarmarna, LMB (LMB-kemoterapi) och R-LMB (LMB-kemoterapi med rituximab), var väl balanserade avseende patientkaraktäristik vid studiestart. Patienterna hade en medianålder på 7 år i LMB-armen respektive 8 år i R-LMB-armen. Cirka hälften av patienterna var i grupp B (50,6% i LMB-armen och 49,4% i R-LMB-armen), 39,6% i grupp C1 i vardera arm, 9,8% i grupp C3 var i LMB-armen och 11,0% i R-LMB-armen. Baserat på klassificering enligt Murphy var de flesta patienterna antingen i BL stadium III (45,7% i LMB-armen och 43,3% i R-LMB-armen) eller BAL, CNS-negativt (21,3% i LMB-armen och 24,4% i R-LMB-armen). Mindre än hälften av patienterna (45,1% i båda armarna) hade benmärgsengagemang och de flesta patienter (72,6% i LMB- armen och 73,2% i R-LMB-armen) hade inget CNS-engagemang. Det primära effektmåttet var EFS där en händelse definierades som förekomst av progressiv sjukdom, återfall, annan malignitet, död av någon orsak eller uteblivet svar, vilket framgår genom detektering av livskraftiga celler i återstoden efter den andra CYVE-behandlingen, beroende på vilken som inträffar först. De sekundära effektmåtten var OS och CR (fullständig remission).
Vid den fördefinierade interimsanalysen med ungefär ett års median uppföljningstid observerades kliniskt relevant förbättring av det primära effektmåttet EFS, med 1 års bedömning på 94,2% (95% KI, 88,5% - 97,2%) i R-LMB-armen jämfört med 81,5% (95% Kl, 73,0% - 87,8%) i LMB-armen och justerade Cox HR 0,33 (95% Kl, 0,14 - 0,79). Baserat på detta resultat och efter rekommendation från IDMC (oberoende dataövervakningskommittén), stoppades randomiseringen och patienter i LMB- armen fick gå över till att få rituximab.
Primära effektanalyser utfördes hos 328 randomiserade patienter med en median uppföljningstid på 3,1 år. Resultaten visas i tabell 14.
Tabell 14: Översikt av primära effektmått (intention-to-treat- populationen)
Den primära effektanalysen visade en fördel på EFS vid tillägg av rituximab till LMB-kemoterapi jämfört med enbart LMB-kemoterapi, med EFS HR 0,32 (90% KI 0,17 - 0,58) för en Cox regressionsanalys som justerades för nationell grupp, histologi och terapeutisk grupp. Medan inga större skillnader i antal patienter som uppnådde CR observerades mellan de två behandlingsgrupperna. Fördelen med tillägg av rituximab till LMB-kemoterapi visades också i det sekundära effektmåttet för OS, med OS HR på 0,36 (95% KI, 0,16 - 0,81).
Europeiska läkemedelsmyndigheten har tagit bort kravet att skicka in studieresultaten för rituximab för alla undergrupper av den pediatriska populationen för follikulärt lymfom, kronisk lymfatisk leukemi och hos pediatriska patienter från födsel till <6 månaders ålder med CD20-positivt diffust storcelligt B-cellslymfom. Se avsnitt 4.2 för information om pediatrisk användning.
Klinisk erfarenhet vid reumatoid artrit
Effekt och säkerhet av rituximab vid symtomlindring av reumatoid artrit hos patienter som har haft ett otillräckligt svar av TNF-hämmare visades i en pivotal randomiserad, kontrollerad, dubbelblind multicenterstudie (Studie 1).
Studie 1 utvärderade 517 patienter som hade fått otillräckligt svar eller var intoleranta mot en eller flera behandlingar med TNF-hämmare. Deltagande patienter hade aktiv reumatoid artrit enligt kriterierna från American College of Reumatology (ACR). Rituximab administrerades som två intravenösa infusioner med 15 dagars mellanrum. Patienterna fick 2 x 1000 mg rituximab som intravenös infusion eller placebo i kombination med metotrexat. Samtliga patienter fick samtidig behandling med 60 mg peroralt prednisolon dag 2-7 och 30 mg dag 8-14 efter första infusionen. Den primära effektparametern var andelen patienter som fick ett ACR20 svar efter 24 veckor. Patienterna följdes längre än 24 veckor för långtidsuppföljning av effektvariabler, inklusive radiologisk utvärdering efter 56 veckor och efter 104 veckor. Under denna tidsperiod fick 81 % av patienterna som ursprungligen ingick i placebo-gruppen, behandling med rituximab mellan vecka 24 och 56 i en öppen uppföljningsstudie.
Studier av rituximab hos patienter med tidig reumatoid artrit (patienter tidigare obehandlade med metotrexat) och patienter med otillräckligt svar mot metotrexat och som ännu inte behandlats med TNF-alfa hämmare har uppnått det primära effektmåttet. Rituximab är inte indikerat för dessa patienter då säkerhetsdata från långtidsbehandling med rituximab är otillräckliga, i synnerhet gällande risken för utveckling av maligniteter och PML.
Utfall i sjukdomsaktivitet
Rituximab i kombination med metotrexat ökade signifikant andelen patienter som uppnådde minst en 20 % -ig förbättring av ACR-svar jämfört med patienter som behandlades med enbart metotrexat (Tabell 15). I samtliga studier var fördelarna med behandling liknande hos patienter oavsett ålder, kön, kroppsyta, etnicitet, antal tidigare behandlingar och sjukdomsstatus.
Kliniskt och statistiskt signifikant förbättring noterades också för alla individuella komponenter av ACR-svar (antal ömma och antal svullna leder, patientens och läkarens globala bedömning, patientens hälsobedömning enligt frågeformuläret HAQ, smärtbedömning och C-Reaktivt Protein (mg/dl)).
Tabell 15 Kliniska resultat vid primärt effektmått studie 1 (ITT population)
†Resultat vid vecka 24
Signifikant skillnad jämfört mot placebo + MTX vid tidpunkten för primär endpoint ***p≤0.0001
I samtliga studier hade patienter som behandlades med rituximab i kombination med metotrexat en signifikant större reduktion i sjukdomsaktivitet (DAS28) än patienter som behandlades med enbart metotrexat (Tabell 15). I likhet erhölls ett måttligt till bra svar enligt European League Against Rheumatism (EULAR) av signifikant fler rituximab + metotrexat-behandlade patienter jämfört med patienter som behandlades enbart med metotrexat (Tabell 15).
Radiologiskt svar
Strukturell leddestruktion utvärderades radiologiskt, och redovisades som förändring i modifierat total ”Sharp Score”(mTSS) och dess komponenter erosions-”score” samt minskning av ledspalt (joint space narrowing score).
I studie 1, som genomfördes hos patienter med otillräckligt svar eller intolerans mot en eller flera TNF-hämmare, uppvisades signifikant mindre radiologisk progression hos patienter som behandlades med rituximab i kombination med metotrexat än hos patienter som ursprungligen enbart fick metotrexat i 56 veckor. Av de patienter som ursprungligen enbart behandlades med metotrexat erhöll 81 % rituximab antingen som ”rescue”-medicinering mellan vecka 16-24 eller före vecka 56 i uppföljningsstudien. Trots detta hade en högre andel patienter som fick den ursprungliga behandlingen rituximab/metotrexat ingen progression av erosionen under 56 veckor (Tabell 16).
Tabell 16 Radiologiskt utfall vid 1 år (mITT population)
150 patienter ursprungligen randomiserade till placebo + MTX i Studie 1 fick minst en behandling av RTX + MTX inom ett år.
* p <0,05. ** p < 0,001. Förkortning: NS = ej signifikant (non significant).
Hämning av leddestruktion observerades också under lång tid. Radiologisk analys vid 2 år i Studie 1 visade signifikant reducerad progression av strukturell leddestruktion hos patienter behandlade med rituximab i kombination med metotrexat jämfört med enbart metotrexat samt en signifikant högre andel patienter utan progression av leddestruktion efter 2 år.
Utfall av fysisk funktion och livskvalitet
Signifikanta förbättringar i fysisk funktion mätt med HAQ-DI och trötthet (FACIT-Fatigue) observerades hos patienter behandlade med rituximab jämfört med patienter behandlade med enbart metotrexat. Andelen rituximab-behandlade patienter som visade tydliga förbättringar (MCID) i HAQ- DI (definierat som en individuell minskning på >0,22) var också större jämfört med patienter som endast behandlades med metotrexat (Tabell 17).
Signifikant förbättring i hälsorelaterad livskvalitet visades genom signifikant förbättring I både ”Physical Health Score” (PHS) och ”Mental health score” (MHS) av SF-36. Dessutom uppnådde en signifikant högre andel patienter MDIC för dessa värden (Tabell 17).
Tabell 17 Fysisk funktion och livskvalitet vid vecka 24 i Studie 1
†Utfall vid vecka 24
Signifikant skiljt från placebo vid tiden för primär endpoint: *p<0,05, **p<0,001 ***p≤0,0001
MCID HAQ-DI ≥0,22, MCID SF-36 PHS>5,42, MCID SF-36 MHS>6,33
Effekt hos autoantikropps-seropositiva patienter (RF och/eller anti-CCP antikroppar)
Patienter seropositiva för reumatoid faktor (RF) och/eller anti-Cylisk Citrullinerad Peptid (anti-CCP antikroppar) som behandlades med rituximab i kombination med metotrexat visade ökat svar jämfört med patienter negativa för båda.
Effekten hos rituximab-behandlade patienter analyserades utifrån autoantikroppstatus före behandlingsstart. Vid vecka 24 hade patienter som var seropositiva för RF och/eller anti-CCP antikroppar vid behandlingens påbörjande signifikant ökad möjlighet att uppnå ACR20 och 50 jämfört med seronegativa patienter (p=0,0312 och p=0,0096) (Tabell 18). Samma resultat uppnåddes vid vecka 48, då autoantikropps-seropositivitet signifikant ökade sannolikheten att nå ACR70. Vid vecka 48 var det 2-3 gånger mer sannolikt att seropositiva patienter uppnådde ACR svar jämfört med seronegativa patienter. Seropositiva patienter hade också signifikant större minskning i DAS28-ESR jämfört med seronegativa patienter (Bild 1).
Tabell 18 Sammanfattning av effekt baserad på ursprunglig autoantikroppstatus
Signifikansnivåerna definierades som *p<0,05, **p<0,001, ***p<0,0001
Bild 1: Förändring av DAS28-ESR baserat på ursprunglig autoantikroppstatus
Långtidseffekt vid upprepade behandlingsomgångar
Behandling med rituximab i kombination med metotrexat vid upprepade behandlingsomgångar resulterade i varaktiga förbättringar av kliniska tecken och symtom av RA, mätt som ACR, DAS28- ESR och EULAR svar, vilket visades i alla studerade patientgrupper (Bild 2). Varaktig förbättring i fysisk funktion mätt med HAQ-DI och andelen patienter som uppnådde MCID för HAQ-DI observerades.
Bild 2: ACR respons för 4 behandlingsomgångar (24 veckor efter varje behandlingsomgång, mätt för varje patient vid varje besök) hos patienter som har haft ett otillräckligt svar av TNF-hämmare (n=146)
Kliniska laboratoriefynd
Totalt testade 392/3095 (12,7 %) av patienterna med reumatoid artrit positivt för ADA i kliniska studier efter behandling med rituximab. Uppkomsten av ADA förknippades inte med klinisk försämring eller med en ökad risk för reaktioner mot efterföljande infusioner hos majoriteten av patienterna. Förekomst av ADA kan förknippas med förvärrade infusionsreaktioner eller allergiska reaktioner efter den andra infusionen av efterföljande behandlingsomgångar.
Pediatrisk population
Europeiska läkemedelsmyndigheten har tagit bort kravet att skicka in studieresultaten för rituximab för alla undergrupper av den pediatriska populationen med autoimmun artrit. Se avsnitt 4.2 för information om pediatrisk användning.
Klinisk erfarenhet av granulomatos med polyangit (GPA) och mikroskopisk polyangit (MPA)
Induktion av remission hos vuxna patienter
Totalt 197 patienter i åldern 15 år eller äldre med allvarlig aktiv GPA (75%) och MPA (24%) rekryterades och behandlades i GPA/MPA studie 1, en randomiserad, dubbelblind, multicenter, non- inferiority-studie med aktiv komparator.
Patienterna randomiserades i förhållandet 1:1 till att få antingen oralt cyklofosfamid dagligen (2mg/kg/dag) under 3-6 månader eller rituximab (375 mg/m2) en gång i veckan under 4 veckor. Samtliga patienter i cyklofosfamid-armen fick underhållsbehandling med azatioprin under uppföljningen. Patienter i båda armarna fick 1000 mg intravenöst metylprednisolon (eller annan likvärdig dos glukokortikoid) per dag under 1 till 3 dagar, följt av prednison peroralt (1 mg/kg/dag, högst 80 mg/dag). Nedtrappning av prednison skulle vara avslutad efter 6 månader från studiebehandlingens början.
Det primära effektmåttet var att uppnå fullständig remission vid 6 månader definierat som 0 på Birmingham Vasculitis Activity Score för Wegeners granulomatos (BVAS/WG), och utan behandling med glukokortikoider. Den pre-specificerade non-inferiority gränsen för skillnad i behandling var
20%. Studien visade non-inferiority för rituximab jämfört med cyklofosfamid för fullständig remission vid 6 månader (tabell 19).
Effekt observerades både för patienter med nyligen diagnostiserad sjukdom och för patienter med recidiverande sjukdom (tabell 20).
Tabell 19 Andel av vuxnapatienter som uppnådde fullständig remission vid 6 månader (Intent-to-Treat population *)
Tabell 20 Fullständig remission vid 6 månader per sjukdomsstatus
Worst case imputering används för patienter med saknade data
Fullständig remission vid 12 och 18 månader
I rituximab-gruppen uppnådde 48% av patienterna fullständig remission vid 12 månader, och 39% av patienterna uppnådde fullständig remission vid 18 månader. Hos patienter som behandlades med cyklofosfamid (följt av azatioprin för att bibehålla fullständig remission), uppnådde 39% av patienterna fullständig remission vid 12 månader och 33% av patienterna uppnådde fullständig remission vid 18 månader. Från månad 12 till månad 18 observerades 8 recidiv i rituximab-gruppen jämfört med fyra i cyklofosfamid-gruppen.
Laboratoriesvar
Totalt testades 23/99 (23%) patienter som fick rituximab från studien av induktion av remission positivt för ADA vid 18 månader. Ingen av de 99 patienter som fick rituximab var ADA-positiva vid screening. Det fanns ingen uppenbar trend eller negativ inverkan på säkerhet och effekt vid närvaron av ADA i studien av induktion av remission.
Underhållsbehandling av vuxna patienter
Totalt 117 patienter (88 med GPA, 24 med MPA och 5 med njurbegränsad ANCA-associerad vaskulit) i remission av sjukdomen randomiserades till att få azatioprin (59 patienter) eller rituximab (58 patienter) i en prospektiv, multicenter, kontrollerad, öppen studie. Patienterna som inkluderades var 21 till 75 år gamla och hade nyligen diagnostiserad eller återfall av sjukdom i fullständig remission efter kombinerad behandling med glukokortikoider och upprepade doser cyklofosfamid. Majoriteten av patienterna var ANCA-positiva vid diagnostisering eller under sjukdomsförloppet. De hade histologiskt bekräftad nekrotiserande vaskulit i små kärl med en klinisk fenotyp av GPA eller MPA eller njurbegränsad ANCA-associerad vaskulit; eller båda.
Remissionsinducerad behandling inkluderade intravenöst prednison administrerat enligt prövarens omdöme. Hos vissa patienter föregicks behandling av upprepade doser metylprednisolon och upprepade doser cyklofosfamid tills att remission uppnåtts efter 4 till 6 månader. Vid den tidpunkten och inom max 1 månad efter sista dosen cyklofosfamid randomiserades patienter till antingen behandling med rituximab (två intravenösa infusioner om 500 mg med två veckors mellanrum (på dag 1 och på dag 15) efterföljt av 500 mg intravenös infusion var 6:e månad i 18 månader) eller azatioprin (administrerat oralt i en dos på 2mg/kg/dag i 12 månader, därefter 1,5 mg/kg/dag i 6 månader och slutligen 1mg/kg/dag i 4 månader (behandlingen avbröts efter dessa 22 månader)). Prednison- behandlingen trappades ned och hölls sedan på en låg dos (ungefär 5 mg om dagen) i minst 18 månader efter randomiseringen. Nedtrappning av prednisondos och beslut om att avsluta prednison- behandling efter 18 månader lämnades åt prövarens omdöme.
Alla patienter följdes till månad 28 (10 respektive 6 månader efter sista infusionen med irtuximab eller azatioprin-dosen). Profylax mot lunginflammation orsakad av Pneumocystis jirovecii krävdes för alla patienter med antal CD4+ T-lymfocyter mindre än 250 per kubikmillimenter.
Det primära utfallsmåttet var frekvensen allvarliga återfall vid månad 28.
Resultat
Vid månad 28 inträffade allvarligt återfall (definierat som återuppträdande av kliniska tecken och/eller laboratorievärden för vaskulär aktivitet ([BVAS]> 0) som kan leda till organsvikt eller skada, eller kan vara livshotande) hos 3 patienter (5%) i rituximab-gruppen och hos 17 patienter (29%) i azatioprin-gruppen (p=0,0007). Mindre återfall (ej livshotande och ej involverande organsvikt) förekom hos sju patienter i rituximab-gruppen (12%) och åtta patienter i azatiopringruppen (14%).
Kurvan över den kumulativa förekomstfrekvensen visade att tiden till första allvarliga återfallet var längre hos patienter med rituximab från och med månad 2 och bibehölls fram till månad 28 (Bild 3).
Bild 3: Kumulativ förekomst av första allvarliga återfall över tid
Antal patienter med allvarligt återfall
Antal patienter med risk
Notera: patienter exkluderadees vid månad 28 om det inte inträffat någon händelse
Laboratoriesvar
Totalt utvecklade 6/34 (18%) av de rituximab-behandlade patienterna i den kliniska studien med underhållsbehandling ADA. Det fanns ingen uppenbar trend eller negativ inverkan på säkerhet och effekt vid närvaro av ADA i den kliniska studien med underhållsbehandling.
Pediatrisk population
Granulomatos med polyangit (GPA) och mikroskopisk polyangit (MPA)
Studie WA25615 (PePRS) var en multicenter, öppen, enarmad, okontrollerad studie med 25 barn (≥2 år till <18 år) med svår, aktiv GPA eller MPA. Medianåldern hos patienterna i studien var 14 år (intervall: 6-17 år) och majoriteten av patienterna (20/25 [80%]) var kvinnor. Totalt 19 patienter (76%) hade GPA och 6 patienter (24%) hade MPA vid studiestart. Arton patienter (72%) hade nyligen diagnostiserad sjukdom vid inträdet i studien (13 patienter med GPA och 5 patienter med MPA) och 7 patienter hade relapserande sjukdom (6 patienter med GPA och 1 patient med MPA).
Studiedesignen bestod av en initial remissions- och induktionsfas på 6 månader meden uppföljning på minst 18 månader upp till högst 54 månader (4,5 år) totalt. Patienterna skulle ges minst 3 doser av intravenöst metylprednisolon (30 mg/kg/dag, högst 1 g/dag) före den första intravenösa infusionen av rituximab. Om kliniskt nödvändigt kunde ytterligare dagliga doser (upp till tre) av intravenöst metylprednisolon ges. Behandlingsregimen för remission och induktion bestod av fyra intravenösa rituximab-infusioner en gång per vecka med en dos på 375 mg/m2 kroppsyta på studiedag: 1, 8, 15 och 22. Infusionerna gavs i kombination med oralt prednisolon eller prednison i en dos av 1 mg/kg/dag (maximalt 60 mg/dag) nedtrappat till minst 0,2 mg/kg/dag (maximalt 10 mg/dag) efter 6 månader. Efter remissions- och induktionsfasen, kunde patienter efter prövarens bedömning, få efterföljande rituximab-infusioner från och med månad 6 för att upprätthålla remission och kontroll av sjukdomsaktivitet (inklusive progressiv sjukdom eller skov) enligt Pediatric Vasculitis Activity Score (PVAS) eller för att uppnå första remission.
Alla 25 patienter avslutade alla fyra veckovisa intravenösa infusionerna för den 6 månader långa remissions- och induktionsfasen. Totalt 24 av 25 patienter avslutade minst 18 månader av uppföljningen.
Syftet med denna studie var att utvärdera säkerhet, farmakokinetiska parametrar och effekt av rituximab hos pediatriska patienter med GPA och MPA (≥ 2 år till <18 år). Effektmåtten för studien var undersökande och bedömdes huvudsakligen med hjälp av PVAS (Tabell 21).
Kumulativ glukokortikoiddos (intravenös och oral) efter månad 6:
24 av 25 patienter (96%) i studie WA25615 uppnådde oral glukokortikoidnedtrappning till 0,2 mg/kg/dag (eller mindre än eller lika med 10 mg/dag, beroende på vilket som var lägst) vid eller senast månad 6 under den protokolldefinerade nedtrappningen av orala steroider.
En minskning i medianen av total oral glukokortikoidanvändning observerades från vecka 1 (median = 45 mg prednison ekvivalent dos [IQR: 35-60]) till månad 6 (median = 7,5 mg [IQR: 4-10]), vilket därefter upprätthölls vid månad 12 (median = 5 mg [IQR: 2-10]) och månad 18 (median = 5 mg [IQR: 1-5]).
Uppföljningsbehandling
Under hela studietiden fick patienter mellan 4 och 28 infusioner av rituximab (upp till 4,5 år [53,8 månader]). Patienter fick upp till 375 mg/m2 x 4 av rituximab ungefär var 6:e månad, efter prövarens bedömning. Totalt fick 17 av 25 patienter (68%) ytterligare behandling med rituximab vid eller efter månad 6 fram till studieavslutet. Av dessa patienter fick 14 av 17 ytterligare behandling med rituximab mellan månad 6 och månad 18.
Tabell 21: Studie WA25615 (PePRS) – PVAS remission vid månad 1, 2, 4, 6, 12 och 18
Laboratoriesvar
Totalt utvecklade 4/25 patienter (16%) ADA under hela studietiden. Begränsad data visar att det inte observerades någon trend i de biverkningar som rapporterats hos patienter som var positiva för ADA.
Det fanns ingen uppenbar trend eller negativ inverkan på säkerhet eller effekt vid närvaro av ADA i de kliniska prövningarna med pediatriska patienter med GPA och MPA.
Europeiska läkemedelsmyndigheten har avstått från kravet om att resultaten måste skickas in för de rituximab-studier med en pediatrisk population < 2 år och med svår, aktiv GPA eller MPA. Se avsnitt 4.2 för information om pediatrisk användning.
Klinisk erfarenhet vid pemfigus vulgaris
PV studie 1 (studie ML22196)
Effekten och säkerheten av rituximab i kombination med korttidsbehandling med glukokortikoider (prednison) i låg dos utvärderades hos nyligen diagnostiserade patienter med måttligt till svår pemfigus (74 pemfigus vulgaris [PV] och 16 pemfigus foliaceus [PF]), i denna randomiserade, öppna och kontrollerade multicenterstudie. Patienterna var mellan 19 och 79 år och hade inte fått någon behandling för pemfigus tidgare. I PV-populationen hade 5 (13%) patienter i rituximab-gruppen och 3 (8%) patienter i prednisongruppen med standarddos en måttlig sjukdom och 33 (87%) patienter i rituximab-gruppen och 33 (92%) patienter i prednisongruppen med standarddos en svår sjukdom enligt sjukdomssvårighetsgrad definierad enligt Harmans kriterier.
Patienterna stratifierades med utgångspunkt i sjukdomens svårighetsgrad (måttlig eller svår) och randomiserades 1:1 för att få antingen rituximab och lågdos prednison eller standarddos prednison. Patienter som randomiserades till rituximab-gruppen fick en initial intravenös infusion med rituximab om 1000 mg på studiedag 1 i kombination med 0,5 mg/kg/dag oralt prednison, nedtrappat över 3 månader vid måttlig sjukdom eller 1 mg/kg/dag oralt prednison nedtrappat över 6 månader vid svår sjukdom och en andra intravenös infusion på 1000 mg på studiedag 15. Underhållsinfusioner av rituximab 500 mg administrerades vid månad 12 och 18. Patienter som randomiserades till prednisongruppen med standarddos fick en initial oral dos 1 mg/kg/dag nedtrappat över 12 månader om de hade måttlig sjukdom eller 1,5 mg/kg/dag oralt prednison nedtrappat över 18 månader om de hade svår sjukdom. Patienter i rituximab-gruppen som fick återfall kunde få en ytterligare infusion av rituximab 1000 mg i kombination med återinsatt eller ökad prednisondos. Underhållsinfusioner och infusioner vid återfall administrerades inte tidigare än 16 veckor efter föregående infusion.
Det primära syftet med studien var fullständig remission (fullständig epitelialisering och frånvaro av ny och/eller etablerade lesioner) vid månad 24 utan användning av prednisonterapi under två månader eller mer (CRoff för ≥2 månader).
Resultat: PV studie 1
Studien visade statistiskt signifikanta resultat på rituximab och lågdos prednison över standarddos prednison genom att uppnå CRoff ≥2 månader vid månad 24 hos PV-patienter (se tabell 22).
Tabell 22 Procent av PV-patienter som uppnådde fullständig remission utan kortikosteroidbehandling i två månader eller mer vid månad 24 (Intent-to-Treat population – PV)
Antalet patienter med rituximab plus låg dos med prednison utan prednisonbehandling eller med minimal behandling (prednisondos på 10 mg eller mindre om dagen) jämfört med patienter med standarddos av prednison över en 24 månaders behandlingsperiod, visar en steroidbesparande effekt av rituximab (bild 4).
Bild 4: Antal patienter utan eller med minimal kortikosteroidbehandling (≤10mg/dag) över tid
Post-hoc retrospektiv utvärdering av laboratoriesvar
Totalt 19/34 (56%) patienter med PV, som behandlades med rituximab, testades positivt för ADA- antikroppar vid 18 månader. Den kliniska relevansen av att utveckla ADA hos rituximab-behandlade patienter med PV är oklar.
PV studie 2 (studie WA29330)
I en randomiserad, dubbelblind, double-dummy, aktiv-komparator, multicenterstudie, utvärderades effekten och säkerheten av rituximab jämfört med mykofenolatmofetil (MMF) hos patienter med måttlig till allvarlig PV som fick 60-120 mg/dag av oralt prednison eller motsvarande (1,0-1,5 mg/kg/dag) vid studiestart och trappades ned till en dos på 60 eller 80 mg/dag vid dag 1. Patienter hade en faststäld PV-diagnos inom de föregående 24 månaderna och med tecken på måttlig till allvarlig sjukdom (definierat som en total aktivitetspoäng på ≥15 enligt Pemphigus Disease Area Index (PDAI)).
Etthundratrettiofem patienter randomiserades till behandling med antingen rituximab 1000 mg administrerad på dag 1, dag 15, vecka 24 och vecka 26, eller oral MMF 2 g/dag i 52 veckor i kombination med 60 eller 80 mg oral prednison, med målet att trappa ner prednison till 0 mg/dag vid vecka 24.
Det primära effektivitetsmålet för denna studie var att utvärdera effekten av rituximab jämfört med MMF vid vecka 52 för att uppnå en varaktig fullständig remission. Fullständig remission definierades som uppnådd läkning av lesioner utan nya aktiva lesioner (dvs. en PDAI-aktivitetspoäng på 0) med 0 mg/dag prednison eller motsvarande, och upprätthålla detta svar under minst 16 veckor i följd under 52 veckors behandlingsperiod.
Resultat: PV-studie 2
Studien visade överlägsenheten av rituximab jämfört med MMF i kombination med en nedtrappning av orala kortikosteroider för att uppnå CRoff kortikosteroid ≥ 16 veckor vid vecka 52 hos PV-patienter (tabell 23). Majoriteten av patienter i mITT populationen var nyligen diagnostiserade (74 %) och 26 % av patienterna hade en fastställd sjukdom (sjukdomsvaraktighet ≥ 6 månader och fick tidigare behandling för PV).
Tabell 23 Andel av PV-patienter som uppnått bibehållen komplett remission utan behandling med kortikosteroider i 16 veckor eller mer vid vecka 52 (modifierad Intent-To-Treat population)
Analysen av alla sekundära parametrar (inklusive kumulativ oral kortikosteroiddos, det totala antalet sjukdomsskov och förändring i hälsorelaterad livskvalitet, mätt med Dermatology Life Quality Index), bekräftade de statistiskt signifikanta resultaten av rituximab jämfört med MMF. Testning av sekundära effektmått kontrollerades för mångfald.
Glukokortikoid exponering
Den kumulativa orala kortikosteroiddosen var signifikant lägre hos patienter behandlade med rituximab. Median (min, max) kumulativ prednisondos vid vecka 52 var 2775 mg (450, 22180) i rituximab-gruppen jämfört med 4005 mg (900, 19920) i MMF-gruppen (p = 0,0005).
Sjukdomsskov
Det totala antalet sjukdomsskov var signifikant lägre hos patienter som behandlades med rituximab jämfört med MMF (6 jämfört med 44, p <0,0001) och det var färre patienter som fick minst ett skov (8,1% jämfört med 41,3%).
Laboratorieutvärderingar
Vid vecka 52 testades totalt 20/63 (31,7%) (19 behandlingsinducerade och 1 behandlingsförbättrad) rituximab-behandlade PV-patienter positiva för ADA. Det fanns ingen uppenbar negativ påverkan av närvaron av ADA på säkerhet eller effekt i PV studie 2.
Vuxna med Non-Hodgkins lymfom
Baserat på data från en populationsfarmakokinetisk analys av 298 patienter med NHL som fick enstaka eller upprepade infusioner av rituximab som enda läkemedel eller i kombination med CHOP- behandling (använda rituximab-doser varierade från 100-500 mg/m2) var de typiska populationsestimaten av ospecifikt clearance (CL1), specifikt clearance (CL2) troligen påverkade av B- cells eller tumörbörda, och central kompartments distributionsvolym (V1) 0,14 l/dag, 0,59 l/dag, respektive 2,7 l. Uppskattad median terminal eliminationshalveringstid för rituximab var 22 dagar (intervall, 6,1 till 52 dagar). Baseline-värdet för antal CD19-positiva celler och storleken på mätbara tumörlesioner bidrog delvis till variabiliteten i CL2 för rituximab i data från 161 patienter som fick 375 mg/m2 som en intravenös infusion en gång per vecka i sammanlagt 4 veckor. Patienter med högre antal CD19-positiva celler eller tumörlesioner hade ett högre CL2. Däremot kvarstod en stor andel av den interindividuella variabiliten för CL2 efter korrigering för antal CD19-positiva celler och storlek av tumörlesion. V1 varierade med kroppsytan (=body surface area, BSA) och CHOP-behandling. Variabiliteten i V1 (27,1 % och 19,0 %) påverkades till relativt liten grad av intervallet i BSA (1,53 till 2,32 m2) respektive samtidig CHOP-behandling. Ålder, kön, ras och ”WHO performance status” hade ingen effekt på farmakokinetiken för rituximab. Denna analys tyder på att dosjustering av rituximab med någon av de testade covariaterna inte förväntas medföra en meningsfull reduktion av dess farmakokinetiska variabilitet.
Rituximab administrerat som en intravenös infusion med en dos av 375 mg/m2 en gång per vecka i 4 veckor till 203 patienter med NHL som inte tidigare behandlats med rituximab, gav ett medelvärde för Cmax efter den fjärde infusionen på 486 µg/ml (intervall 77,5 till 996,6 µg/ml). Rituximab detekterades i serum hos patienter 3 – 6 månader efter det att senaste behandlingen avslutats.
Vid administrering av rituximab med dosen 375 mg/m2 som en intravenös infusion en gång per vecka i 8 veckor till 37 patienter med NHL ökade medelvärdet för Cmax efter varje infusion och sträckte sig från ett medelvärde på 243 µg/ml (intervall 16 – 582 µg/ml) efter den första infusionen till 550 µg/ml (intervall 171 – 1 177 µg/ml) efter den åttonde infusionen.
Den farmakokinetiska profilen för rituximab då det administrerades som 6 infusioner om 375 mg/m2 i kombination med 6 cykler CHOP kemoterapi var jämförbar med den som sågs då enbart rituximab gavs.
Pediatriska patienter med DLBCL/BL/BAL/BLL
I den kliniska studien med pediatriska DLBCL/BL/BAL/BLL- patienter studerades farmakokinetiken i en undergrupp med 35 patienter i åldrarna 3 år och äldre. Farmakokinetiken var jämförbar mellan de båda åldersgrupperna (≥3 till <12 år jämfört med ≥12 till <18 år). Efter två intravenösa rituximab infusioner på 375 mg/m2 i var och en av de två induktionscyklerna (cykel 1 och 2), följt av en intravenös rituximab infusion på 375 mg/m2 i var och en av konsolideringscyklerna (cykel 3 och 4), var den maximala koncentrationen högst efter den fjärde infusionen (cykel 2). Det geometriska medelvärdet var 347 µg/ml följt av lägre geometriska genomsnittliga maximala koncentrationer därefter (cykel 4: 247 µg/ml). Med denna dosregim bibehölls nivåer av dalkoncentrationen (geometriskt medelvärde: 41,8 µg/ml (före dosering vid cykel 2; efter cykel 1), 67,7 µg/ml (före dosering vid cykel 3, efter cykel 2) och 58,5 µg/ml (före dosering vid cykel 4, efter cykel 3)). Medianhalveringstid för eliminering hos pediatriska patienter i åldern 3 år och äldre var 26 dagar.
De farmakokinetiska egenskaperna av rituximab hos barn med DLBCL/BL/BAL/BLL liknande de som har observerats hos vuxna patienter med NHL.
Inga farmakokinetiska data finns tillgängliga för åldersgruppen ≥6 månader till <3 år. Populationsfarmakokinetisk prediktion stödjer emellertid jämförbar systemisk exponering (AUC, Ctrough) i denna åldersgrupp jämfört med ≥3 år (tabell 24). Mindre tumörstorlek vid baseline är relaterat till högre exponering på grund av lägre tidsberoende clearance. Systemexponeringar påverkade av olika tumörstorlekar kvarstod däremot inom intervallet för exponering som var effektiv och hade en acceptabel säkerhetsprofil.
Tabell 24: Predikterade farmakokinetiska parametrar efter dosering med rituximab hos pediatriska patienter med DLBCL/BL/BAL/BLL
Resultaten är presenterade som median (min – max); Ctrough är pre-dos Cykel 4.
Kronisk lymfatisk leukemi
Rituximab administrerades som en intravenös infusion med en första cykeldos på 375 mg/m2 ökad till 500 mg/m2 i varje efterföljande cykel i 5 doser i kombination med fludarabin och cyklofosfamid hos KLL-patienter. Medelvärdet av Cmax (n=15) var 408 µg/ml (intervall, 97-764 µg/ml) efter den femte 500 mg/m2 infusionen och medelvärdet för den terminala halveringstiden var 32 dagar (intervall, 14-62 dagar).
Reumatoid artrit
Efter två intravenösa infusioner av rituximab med doseringen 1000 mg med två veckors mellanrum, var medelvärdet för den terminala halveringstiden 20,8 dagar (intervall 8,58-35,9 dagar), medelvärdet för systemiskt clearance var 0,23 l/dag (intervall 0,091 till 0,67 l/dag), och medelvärdet för distributionsvolymen vid steady state var 4,6 l (intervall 1,7 till 7,51 l). Populationsfarmakokinetisk analys av samma data gav liknande medelvärden för systemiskt clearance och halveringstid; 0,26 l/dag respektive 20,4 dagar. Populationsfarmakokinetisk analys visade att kroppsyta och kön var de mest signifikanta kovariaterna som förklarar inter-individuell variabilitet i de farmakokinetiska parametrarna. Efter anpassning för kroppsytan hade män en större distributionsvolym och ett snabbare clearance än kvinnor. Denna könsrelaterade farmakokinetiska skillnad anses inte vara kliniskt relevant och ingen dosjustering krävs. Inga farmakokinetiska data finns tillgängliga för patienter med nedsatt lever- eller njurfunktion.
Rituximabs farmakokinetik utvärderades efter två intravenösa doser av 500 mg och 1000 mg vid dag 1 och 15 i fyra studier. I samtliga studier var rituximabs farmakokinetik dosproportionerlig inom det begränsade dosintervall som studerades. Medelvärdet för Cmax för rituximab i serum efter första infusionen varierade mellan 157 och 171 µg/ml för dosen 2 x 500 mg respektive mellan 298 och 341 µg/ml för dosen 2 x 1000 mg. Efter den andra infusionen varierade medelvärdet för Cmax mellan 183 och 198 µg/ml för dosen 2 x 500 mg respektive mellan 355 och 404 µg/ml for dosen 2 x 1000 mg. Medelvärdet för den terminala eliminationshalveringstiden varierade mellan 15 och 16 dagar för dosgruppen 2 x 500 mg respektive mellan 17 och 21 dagar för dosgruppen 2 x 1000 mg. Medelvärdet för Cmax var 16 till 19% högre efter andra infusionen jämfört med första infusionen för båda doserna.
Rituximabs farmakokinetik utvärderades efter två intravenösa doser av 500 mg och 1000 mg vid andra behandlingsomgången. Medelvärdet för Cmax för rituximab i serum efter första infusionen varierade mellan 170 och 175 µg/ml för dosen 2 x 500 mg respektive mellan 317 och 370 µg/ml för dosen 2 x 1000 mg. Efter den andra infusionen var medelvärdet för Cmax 207 µg/ml för dosen 2 x 500 mg respektive varierade mellan 377 och 386 µg/ml för dosen 2 x 1000 mg. Medelvärdet för den terminala eliminationshalveringstiden efter den andra infusionen efter andra behandlingsomgången var 19 dagar för dosen 2 x 500 mg respektive 21 till 22 dagar för dosen 2 x 1000 mg. Farmakokinetiska parametrar för rituximab var jämförbara över de två behandlingsomgångarna.
De farmakokinetiska (PK) parametrarna hos populationen med otillräckligt svar på TNF-hämmare som fick samma doseringsregim (2 x 1000 mg, IV med 2 veckors mellanrum) var jämförbara med ett medelvärde för maximal serumkoncentration på 369 μg/ml och ett medelvärde för terminal halveringstid på 19,2 dagar.
Granulomatos med polyangit (GPA) och mikroskopisk polyangit (MPA)
Vuxen population
Baserat på den populationsfarmakokinetiska analysen av data från 97 patienter med granulomatos med polyangit och mikroskopisk polyangit som fick 375 mg/m2 rituximab en gång per vecka i fyra veckor, var det beräknade medianvärdet för den terminala eliminationshalveringstiden 23 dagar (intervall 9 till 49 dagar). Genomsnittlig clearance och distributionsvolym för rituximab var 0,313 l/dag (intervall 0,116 till 0,726 l/dag) respektive 4,50 l (intervall 2,25 till 7,39 l). Maximal koncentration under de första 180 dagarna (Cmax) var 372,6 (252,3-533,5) µg/ml (median [intervall]), lägsta koncentrationen vid dag 180 (C180) var 2,1 (0-29,3) µg/ml och den kumulativa arean under kurvan under 180 dagar (AUC180) var 10302 (3653-21874) µg/ml*dagar. De farmakokinetiska parametrarna för rituximab hos vuxna patienter med GPA och MPA verkar snarlika de som observerats hos patienter med reumatoid artrit.
Pediatrisk population
Baserat på den populationsfarmakokinetiska analysen av data från 25 barn (6-17 år) med GPA och MPA och som fått 4 doser på 375 mg/m2 av rituximab en gång i veckan var det uppskattade medianvärdet för den terminala eliminationshalveringstiden 22 dagar (intervall, 11 till 42 dagar). Rituximabs genomsnittliga clearance och distributionsvolym var 0,221 l /dag (intervall, 0 0996 till 0,381 l/dag) respektive 2,27 l (intervall 1,43 till 3,17 l). Maximal koncentration under de första 180 dagarna (Cmax) var 382,8 (270,6-513,6) µg/ml (median [intervall]), lägsta koncentration vid dag 180 (C180) var 0,9 (0-17,7) µg/ml och den kumulativa arean under kurvan under 180 dagar (AUC180) var 9787 (4838-20446) μg/ml * dag. De farmakokinetiska parametrarna för rituximab hos barn med GPA eller MPA var liknande de hos vuxna med GPA eller MPA, när hänsyn togs till kroppsytans effekt på paramentrerna för clearance och distributionsvolym.
Pemfigus vulgaris
De farmakokinetiska parametrarna hos vuxna patienter med PV som fick rituximab 1000 mg dag 1, 15, 168 och 182 sammanfattas i tabell 25.
Tabell 25 Populationsfarmakokinetiska parametrar hos vuxna patienter med PV från PVstudie 2
Efter de första två administreringarna av rituximab(dag 1 och 15, motsvarande cykel 1), var de farmakokinetiska parametrarna för rituximab hos patienter med PV liknande de hos GPA/MPA- och RA-patienter. Efter de två sista administreringarna (dag 168 och 182, motsvarande cykel 2), minskade rituximab-clearance medan den centrala distributionsvolymen förblev oförändrad.
Rituximab har visat sig ha hög specificitet för CD20 antigenet på B-celler. Toxicitetsstudier hos Cynomolgusapor har inte visat några andra effekter förutom den förväntade farmakologiska elimineringen av B-celler i perifert blod och lymfatisk vävnad.
Utvecklingstoxicitetsstudier har utförts med cynomolgusapor i doser upp till 100 mg/kg (behandling på gestationsdag 20-50) och visade inga tecken på toxicitet hos fostret förorsakat av rituximab. Däremot har farmakologiskt dosberoende låga nivåer av B-celler i de lymfoida organen observerats hos fostret, som kvarstod postnatalt och följdes av en minskning av IgG-nivåer i de nyfödda djuren som berördes. Antalet B-celler återgick till det normala hos dessa djur inom 6 månader efter födseln och äventyrade inte reaktionen vid vaccinering.
Standardtester för att undersöka mutageniciteten har inte utförts eftersom sådana tester inte är relevanta för denna molekyl. Inga långtidsstudier på djur har utförts för att fastställa karcinogeniciteten hos rituximab. Specifika studier för att fastställa effekten av rituximab på fertilitet har inte utförts. I allmänna toxicitetsstudier hos cynomolgusapor observerades inga skadliga effekter på fortplantningsorganen hos hanar eller honor.
Den färdiga infusionslösningen med rituximab utspädd i 0,9% natriumkloridlösning är fysikaliskt och kemiskt stabil i 60 dagar vid 5±3°C och 30 dagar vid 25±2°C.
Efter aseptisk utspädning i D-glukoskösning
Den färdiga infusionslösningen med rituximab utspädd i 5% D-glukoslösning är fysikaliskt och kemiskt stabil i 48 timmar vid 2 °C – 8 °C och 25±2°C.
Ur mikrobiologisk synvinkel skall den utspädda lösningen användas omedelbart. Om lösningen inte används omedelbart är tillämpad förvaringstid och förvaring innan administrering användarens ansvar och bör normalt inte överstiga 24 timmar vid 2 °C – 8 °C.
Förvaras i kylskåp (2 °C – 8 °C). Får inte frysas. Förvaras i ytterkartongen.
Ljuskänsligt. Förvaringsanvisningar för läkemedlet efter spädning finns i avsnitt 6.3.
Ituxredi 100 mg koncentrat till infusionsvätska, lösning
Injektionsflaskor av klart typ I-glas med butylgummipropp som innehåller 100 mg rituximab i 10 ml. Förpackningar med 1 eller 2 injektionsflaskor.
Ituxredi 500 mg koncentrat till infusionsvätska, lösning
Injektionsflaskor av klart typ I-glas med butylgummipropp som innehåller 500 mg rituximab i 50 ml. Förpackningar med 1eller 2 injektionsflaska.
Rituximab tillhandahålls i sterila, konserveringsmedelsfria, pyrogenfria, injektionsflaskor för engångsbruk.
Använd steril nål och spruta vid beredning av rituximab. Drag upp erforderlig mängd rituximab aseptiskt och späd till önskad koncentration, mellan 1-4 mg/ml rituximab, genom tillsats till en infusionspåse innehållande steril pyrogenfri 9 mg/ml (0,9 %) natriumkloridlösning för injektion eller 5 % D-glukoslösning. För att undvika skumbildning blandas lösningen genom att sakta vända påsen. Försiktighet ska iakttas så att steriliteten hos den utspädda lösningen bibehålls. Eftersom läkemedlet inte innehåller några antimikrobiella konserveringsmedel eller bakteriostatiska ämnen måste beredningen utföras aseptiskt. Parenterala läkemedel ska inspekteras visuellt med avseende på partiklar och missfärgningar före administrering.
Ej använt läkemedel och avfall ska kasseras enligt gällande anvisningar.
Natriumcitrat (E331)
Citronsyra (E330)
Polysorbat 80 (E433)
Natriumklorid
Vatten för injektionsvätskor
Ingen inkompatibilitet har observerats med irtuximab och polyvinylklorid- eller polyetylenpåsar eller infusionsset.
Oöppnad injektionsflaska
3 år
Utspätt läkemedel
Efter aseptisk utspädning i natriumkloridlösning
Den färdiga infusionslösningen med rituximab utspädd i 0,9% natriumkloridlösning är fysikaliskt och kemiskt stabil i 60 dagar vid 5±3°C och 30 dagar vid 25±2°C.
Efter aseptisk utspädning i D-glukoskösning
Den färdiga infusionslösningen med rituximab utspädd i 5% D-glukoslösning är fysikaliskt och kemiskt stabil i 48 timmar vid 2 °C – 8 °C och 25±2°C.
Ur mikrobiologisk synvinkel skall den utspädda lösningen användas omedelbart. Om lösningen inte används omedelbart är tillämpad förvaringstid och förvaring innan administrering användarens ansvar och bör normalt inte överstiga 24 timmar vid 2 °C – 8 °C.
Förvaras i kylskåp (2 °C – 8 °C). Får inte frysas. Förvaras i ytterkartongen.
Ljuskänsligt. Förvaringsanvisningar för läkemedlet efter spädning finns i avsnitt 6.3.
Ituxredi 100 mg koncentrat till infusionsvätska, lösning
Injektionsflaskor av klart typ I-glas med butylgummipropp som innehåller 100 mg rituximab i 10 ml. Förpackningar med 1 eller 2 injektionsflaskor.
Ituxredi 500 mg koncentrat till infusionsvätska, lösning
Injektionsflaskor av klart typ I-glas med butylgummipropp som innehåller 500 mg rituximab i 50 ml. Förpackningar med 1eller 2 injektionsflaska.
Rituximab tillhandahålls i sterila, konserveringsmedelsfria, pyrogenfria, injektionsflaskor för engångsbruk.
Använd steril nål och spruta vid beredning av rituximab. Drag upp erforderlig mängd rituximab aseptiskt och späd till önskad koncentration, mellan 1-4 mg/ml rituximab, genom tillsats till en infusionspåse innehållande steril pyrogenfri 9 mg/ml (0,9 %) natriumkloridlösning för injektion eller 5 % D-glukoslösning. För att undvika skumbildning blandas lösningen genom att sakta vända påsen. Försiktighet ska iakttas så att steriliteten hos den utspädda lösningen bibehålls. Eftersom läkemedlet inte innehåller några antimikrobiella konserveringsmedel eller bakteriostatiska ämnen måste beredningen utföras aseptiskt. Parenterala läkemedel ska inspekteras visuellt med avseende på partiklar och missfärgningar före administrering.
Ej använt läkemedel och avfall ska kasseras enligt gällande anvisningar.