Yuflyma 20 mg injektionsvätska, lösning i förfylld spruta
Yuflyma 20 mg injektionsvätska, lösning i förfylld spruta
Varje förfylld spruta 0,2 ml singeldos innehåller 20 mg adalimumab.
Adalimumab är en rekombinant human monoklonal antikropp framställd i äggstocksceller från kinesisk hamster.
För fullständig förteckning över hjälpämnen, se avsnitt 6.1.
Injektionsvätska, lösning (injektion)
Klar till något opaliserande, färglös till svagt brun vätska.
Celltrion Healthcare Hungary Kft.
1062 Budapest
Váci út 1-3. WestEnd Office Building B torony
Ungern
Yuflyma 20 mg injektionsvätska, lösning i förfylld spruta
EU/1/20/1513/017
EU/1/20/1513/018
Första godkännandet: 11 februari 2021
03/2025
Pediatrisk Crohns sjukdom
Yuflyma är indicerat för behandling av måttlig till svår aktiv Crohns sjukdom hos pediatriska patienter (från 6 års ålder) som svarat otillräckligt på konventionell behandling, inklusive primär nutritionsbehandling och en kortikosteroid och/eller en immunmodulator, eller som är intoleranta mot eller har kontraindikationer för sådana behandlingar.
Pediatrisk uveit
Yuflyma är indicerat för behandling av pediatrisk kronisk icke-infektiös främre uveit hos barn från 2 års ålder som inte har svarat tillräckligt på eller som är intoleranta mot konventionell behandling, eller när konventionell behandling är olämplig.
Behandling med Yuflyma ska inledas och övervakas av specialistläkare med erfarenhet av diagnos och behandling av tillstånd för vilka Yuflyma är indicerat. Oftalmologer rekommenderas att rådgöra med lämplig specialist innan behandling med Yuflyma påbörjas (se avsnitt 4.4). Patienter som behandlas med Yuflyma ska ges ett särskilt patientkort.
Efter korrekt utbildning i injektionsteknik kan patienterna själva injicera Yuflyma, om deras läkare anser att det är lämpligt och med medicinsk uppföljning vid behov.
Under behandling med Yuflyma ska andra samtidiga behandlingar (t.ex. kortikosteroider och/eller immunmodulerande medel) optimeras.
Dosering
Pediatrisk population
Juvenil idiopatisk artrit
Polyartikulär juvenil idiopatisk artrit från 2 års ålder
Rekommenderad dos av Yuflyma för patienter med polyartikulär juvenil idiopatisk artrit från 2 års ålder baseras på kroppsvikt (tabell 1). Yuflyma administreras varannan vecka via subkutan injektion.
Tabell 1. Dos av Yuflyma för patienter med polyartikulär juvenil idiopatisk artrit
Tillgängliga data tyder på att klinisk respons vanligtvis uppnås inom 12 veckors behandling. Fortsatt behandling ska noggrant omprövas, om patienten inte har svarat inom denna tidsperiod.
Det finns ingen relevant användning av adalimumab för patienter yngre än 2 år för denna indikation.
Yuflyma kan finnas tillgängligt i andra styrkor och/eller förpackningstyper beroende på det individuella behandlingsbehovet.
Entesitrelaterad artrit
Rekommenderad dos av Yuflyma för patienter med entesitrelaterad artrit från 6 års ålder baseras på kroppsvikt (tabell 2). Yuflyma administreras varannan vecka via subkutan injektion.
Tabell 2. Dos av Yuflyma för patienter med entesitrelaterad artrit
Adalimumab har inte studerats hos patienter med entesitrelaterad artrit som är yngre än 6 år.
Yuflyma kan finnas tillgängligt i andra styrkor och/eller förpackningstyper beroende på det individuella behandlingsbehovet.
Pediatrisk plackpsoriasis
Rekommenderad dos av Yuflyma för patienter med plackpsoriasis från 4 till 17 års ålder baseras på kroppsvikt (tabell 3). Yuflyma administreras via subkutan injektion.
Tabell 3. Dos av Yuflyma för pediatriska patienter med plackpsoriasis
Fortsatt behandling efter 16 veckor ska noggrant övervägas, om patienten inte har svarat inom denna tidsperiod.
Om förnyad behandling med adalimumab är indicerad, ska ovanstående riktlinjer för dos och behandlingstid följas.
Säkerheten för adalimumab hos pediatriska patienter med plackpsoriasis har utvärderats under i genomsnitt 13 månader.
Det finns ingen relevant användning av adalimumab för barn under 4 år för denna indikation.
Yuflyma kan finnas tillgängligt i andra styrkor och/eller förpackningstyper beroende på det individuella behandlingsbehovet.
Pediatrisk Crohns sjukdom
Rekommenderad dos av Yuflyma för patienter med Crohns sjukdom från 6 till 17 års ålder baseras på kroppsvikt (tabell 4). Yuflyma administreras via subkutan injektion.
Tabell 4. Adalimumabdos för pediatriska patienter med Crohns sjukdom
Patienter med otillräcklig respons kan ha nytta av en ökad dos:
< 40 kg: 20 mg varje vecka
≥ 40 kg: 40 mg varje vecka eller 80 mg varannan vecka
Fortsatt behandling ska övervägas noga hos en patient utan respons vid vecka 12.
Det finns ingen relevant användning av adalimumab för barn under 6 år för denna indikation.
Yuflyma kan finnas tillgängligt i andra styrkor och/eller förpackningstyper beroende på det individuella behandlingsbehovet.
Pediatrisk uveit
Rekommenderad dos av Yuflyma för pediatriska patienter med uveit från 2 års ålder baseras på kroppsvikt (tabell 5). Yuflyma administreras via subkutan injektion.
Vid pediatrisk uveit saknas erfarenhet av behandling med adalimumab utan samtidig behandling med metotrexat.
Tabell 5. Dos av Yuflyma för pediatriska patienter med uveit
När behandling med Yuflyma påbörjas kan en laddningsdos på 40 mg för patienter < 30 kg eller 80 mg för patienter ≥ 30 kg administreras en vecka innan underhållsbehandling påbörjas. Det finns inga tillgängliga kliniska data om användning av en laddningsdos av adalimumab hos barn < 6 år (se avsnitt 5.2).
Det finns ingen relevant användning av adalimumab för barn under 2 år för denna indikation.
Det rekommenderas att nytta och risk med fortsatt långtidsbehandling utvärderas årligen (se avsnitt 5.1).
Yuflyma kan finnas tillgängligt i andra styrkor och/eller förpackningstyper beroende på det individuella behandlingsbehovet.
Försämrad njur- och/eller leverfunktion
Adalimumab har inte studerats i dessa patientpopulationer. Ingen dosrekommendation kan göras.
Administreringssätt
Yuflyma administreras via subkutan injektion.
Fullständiga instruktioner för administrering finns i bipacksedeln.
Yuflyma finns tillgängligt i andra styrkor och förpackningsstorlekar.
Överkänslighet mot den aktiva substansen eller mot något hjälpämne som anges i avsnitt 6.1.
Aktiv tuberkulos eller andra allvarliga infektioner såsom sepsis och opportunistiska infektioner (se avsnitt 4.4).
Måttlig till svår hjärtsvikt (NYHA klass III/IV) (se avsnitt 4.4).
Spårbarhet
För att underlätta spårbarhet av biologiska läkemedel ska läkemedlets namn och tillverkningssatsnummer dokumenteras.
Infektioner
Patienter som tar TNF-antagonister är mer mottagliga för allvarliga infektioner. Nedsatt lungfunktion kan öka risken för att utveckla infektioner. Patienter måste därför följas noggrant med avseende på infektioner, inklusive tuberkulos, före, under och efter behandling med Yuflyma. Eftersom elimineringen av adalimumab kan ta upp till fyra månader, ska monitorering fortsätta under hela denna period.
Behandling med Yuflyma ska inte påbörjas hos patienter med aktiva infektioner, inklusive kroniska eller lokala infektioner, förrän infektionerna är under kontroll. Hos patienter som har exponerats för tuberkulos och patienter som har rest i områden med hög risk för tuberkulos eller endemiska mykoser, såsom histoplasmos, koccidioidomykos eller blastomykos, ska risk och nytta med behandling med Yuflyma övervägas innan behandling påbörjas (se Andra opportunistiska infektioner).
Patienter som utvecklar en ny infektion under behandling med Yuflyma ska övervakas noggrant och genomgå en fullständig diagnostisk utvärdering. Administrering av Yuflyma ska avbrytas om en patient utvecklar en ny allvarlig infektion eller sepsis och lämplig antimikrobiell eller antimykotisk behandling ska sättas in tills infektionen är under kontroll. Läkare ska iaktta försiktighet när behandling med Yuflyma övervägs till patienter med återkommande infektioner i anamnesen eller med underliggande tillstånd som kan medföra ökad infektionskänslighet, inklusive samtidig användning av immunsuppressiva läkemedel.
Allvarliga infektioner
Allvarliga infektioner, inklusive sepsis, på grund av bakteriella och mykobakteriella infektioner, invasiva svamp-, parasit- och virusinfektioner samt andra opportunistiska infektioner såsom listerios, legionellos och pneumocystis har rapporterats hos patienter som får adalimumab.
Andra allvarliga infektioner som observerats i kliniska prövningar är lunginflammation, pyelonefrit, septisk artrit och septikemi. Sjukhusinläggning eller dödlig utgång förknippad med infektioner har rapporterats.
Tuberkulos
Tuberkulos, inklusive reaktivering och nydebuterad tuberkulos, har rapporterats hos patienter som får adalimumab. Rapporterna inkluderade fall av pulmonell och extrapulmonell (dvs. disseminerad) tuberkulos.
Innan behandling med Yuflyma påbörjas måste alla patienter utvärderas för både aktiv och inaktiv (”latent”) tuberkulosinfektion. Denna utvärdering ska omfatta en detaljerad medicinsk bedömning av patientens anamnes på tuberkulos eller eventuell tidigare exponering för personer med aktiv tuberkulos och tidigare och/eller pågående immunsuppressiv behandling. Lämpliga screeningtester (t.ex. tuberkulinhudtest och lungröntgen) ska utföras på alla patienter (lokala rekommendationer kan gälla). Det rekommenderas att genomförandet och resultaten av dessa tester registreras på patientkortet. Förskrivare påminns om risken för falskt negativa tuberkulintestresultat, särskilt hos patienter som är svårt sjuka eller immunsupprimerade.
Om aktiv tuberkulos diagnostiseras får behandling med Yuflyma inte påbörjas (se avsnitt 4.3).
I alla situationer som beskrivs nedan ska nytta/risk-förhållandet för behandlingen noggrant övervägas.
Om latent tuberkulos misstänks ska en läkare med erfarenhet av behandling av tuberkulos konsulteras.
Om latent tuberkulos diagnostiseras, måste lämplig behandling med anti-tuberkulosprofylax initieras innan behandling med Yuflyma påbörjas, och i enlighet med lokala rekommendationer.
Behandling med anti-tuberkulosprofylax ska också övervägas innan behandling med Yuflyma påbörjas hos patienter med flera eller signifikanta riskfaktorer för tuberkulos, trots ett negativt test för tuberkulos, och hos patienter med anamnes på latent eller aktiv tuberkulos hos vilka en adekvat behandlingskur inte kan bekräftas.
Trots profylaktisk behandling mot tuberkulos har fall av reaktiverad tuberkulos förekommit hos patienter som behandlats med adalimumab. Vissa patienter som framgångsrikt har behandlats för aktiv tuberkulos har utvecklat tuberkulos igen under behandling med adalimumab.
Patienter ska instrueras att söka medicinsk rådgivning om tecken/symtom som tyder på en tuberkulosinfektion (t.ex. ihållande hosta, avmagring/viktminskning, lätt feber, håglöshet) inträffar under eller efter behandling med Yuflyma.
Andra opportunistiska infektioner
Opportunistiska infektioner, inklusive invasiva svampinfektioner, har observerats hos patienter som får adalimumab. Dessa infektioner har inte konsekvent identifierats hos patienter som tar TNF-antagonister och detta har resulterat i förseningar av lämplig behandling, vilket ibland haft dödlig utgång.
Hos patienter som utvecklar tecken och symtom såsom feber, sjukdomskänsla, viktminskning, svettningar, hosta, dyspné och/eller lunginfiltrat eller annan allvarlig systemisk sjukdom, med eller utan samtidig chock, ska en invasiv svampinfektion misstänkas och administreringen av Yuflyma omedelbart avbrytas. Diagnos och administrering av empirisk antimykotisk behandling till dessa patienter ska ske i samråd med en läkare med expertis inom vård av patienter med invasiva svampinfektioner.
Reaktivering av hepatit B-virus
Reaktivering av hepatit B har förekommit hos patienter som är kroniska bärare av detta virus (dvs. ytantigenpositiva) och som får en TNF-antagonist inklusive adalimumab. Vissa fall har haft dödlig utgång. Patienter ska testas för HBV-infektion innan behandling med Yuflyma påbörjas. För patienter som testar positivt för hepatit B-infektion rekommenderas konsultation med en läkare med expertis inom behandling av hepatit B.
Bärare av HBV som behöver behandling med Yuflyma ska övervakas noggrant för tecken och symtom på aktiv HBV-infektion under hela behandlingen och i flera månader efter avslutad behandling. Adekvata data saknas från behandling av patienter som är bärare av HBV och som i samband med behandling med TNF-antagonister fått antiviral behandling, för att förhindra HBV-reaktivering. Hos patienter som utvecklar HBV-reaktivering, ska behandling med Yuflyma avbrytas och effektiv antiviral behandling med lämplig understödjande behandling sättas in.
Neurologiska händelser
TNF-antagonister inklusive adalimumab har i sällsynta fall förknippats med nydebuterade eller förvärrade kliniska symtom och/eller radiografiska belägg för demyeliniserande sjukdom i centrala nervsystemet, inklusive multipel skleros och optisk neurit, samt perifer demyeliniserande sjukdom, inklusive Guillain-Barrés syndrom. Förskrivare ska iaktta försiktighet när de överväger att använda Yuflyma till patienter med tidigare existerande eller nyligen debuterad demyeliniserande sjukdom i centrala eller perifera nervsystemet. Utsättning av Yuflyma ska övervägas om någon av dessa sjukdomar utvecklas. Det finns ett känt samband mellan intermediär uveit och centrala demyeliniserande sjukdomar. Neurologisk utvärdering ska utföras hos patienter med icke-infektiös intermediär uveit, innan behandling med Yuflyma påbörjas och regelbundet under behandlingen, för att bedöma om det finns några tidigare existerande eller nydebuterade centrala demyeliniserande sjukdomar.
Allergiska reaktioner
Allvarliga allergiska reaktioner förknippade med adalimumab var sällsynta under kliniska prövningar. Icke-allvarliga allergiska reaktioner förknippade med adalimumab var ovanliga under kliniska prövningar. Rapporter om allvarliga allergiska reaktioner inklusive anafylaxi har erhållits efter administrering av adalimumab. Om en anafylaktisk reaktion eller annan allvarlig allergisk reaktion inträffar, ska administreringen av Yuflyma avbrytas omedelbart och lämplig behandling sättas in.
Immunsuppression
I en studie med 64 patienter med reumatoid artrit som behandlades med adalimumab, sågs inga tecken på minskad fördröjd överkänslighet, sänkta immunglobulinnivåer eller förändringar i antalet effektor T-, B- och NK-celler, monocyter/makrofager och neutrofiler.
Maligniteter och lymfoproliferativa sjukdomar
I de kontrollerade delarna av kliniska prövningar med TNF-antagonister har fler fall av maligniteter, inklusive lymfom, observerats hos patienter som fått en TNF-antagonist jämfört med kontrollpatienter. Förekomsten var dock sällsynt. Efter godkännande för försäljning har fall av leukemi rapporterats hos patienter som behandlats med en TNF-antagonist. Det finns en ökad bakgrundsrisk för lymfom och leukemi hos patienter med reumatoid artrit med långvarig, högaktiv, inflammatorisk sjukdom, vilket komplicerar riskuppskattningen. Med nuvarande kunskap kan en möjlig risk för utveckling av lymfom, leukemi och andra maligniteter hos patienter som behandlas med en TNF-antagonist inte uteslutas.
Maligniteter, vissa med dödlig utgång, har rapporterats hos barn, ungdomar och unga vuxna (upp till 22 års ålder) som behandlats med TNF-antagonister (initiering av behandling ≤ 18 års ålder), inklusive adalimumab efter marknadsintroduktion. Ungefär hälften av fallen var lymfom. De andra fallen representerade en rad olika maligniteter och omfattade sällsynta maligniteter som vanligtvis förknippas med immunsuppression. En risk för utveckling av maligniteter hos barn och ungdomar som behandlas med TNF-antagonister kan inte uteslutas.
Sällsynta fall av hepatosplenärt T-cellslymfom har efter marknadsintroduktionen identifierats hos patienter som behandlats med adalimumab. Denna sällsynta typ av T-cellslymfom har ett mycket aggressivt sjukdomsförlopp och är vanligtvis dödlig. Vissa av dessa hepatosplenära T-cellslymfom med adalimumab har förekommit hos unga vuxna patienter som samtidigt behandlats med azatioprin eller 6-merkaptopurin för inflammatorisk tarmsjukdom. Den potentiella risken med kombinationen av azatioprin eller 6-merkaptopurin och Yuflyma ska noggrant övervägas. En risk för utveckling av hepatosplenärt T-cellslymfom hos patienter som behandlas med Yuflyma kan inte uteslutas (se avsnitt 4.8).
Inga studier har utförts som inkluderar patienter med malignitet i anamnesen eller hos vilka behandling med adalimumab fortsatt efter utveckling av malignitet. Därför ska ytterligare försiktighet iakttas vid övervägande av behandling med Yuflyma för dessa patienter (se avsnitt 4.8).
Alla patienter, särskilt patienter med anamnes på omfattande immunsuppressiv behandling eller psoriasispatienter med anamnes på PUVA-behandling, ska undersökas för förekomst av icke-melanom hudcancer före och under behandling med Yuflyma. Melanom och Merkelcellskarcinom har också rapporterats hos patienter som behandlats med TNF-antagonister inklusive adalimumab (se avsnitt 4.8).
I en explorativ klinisk prövning som utvärderade användningen av en annan TNF-antagonist, infliximab, hos patienter med måttlig till svår kronisk obstruktiv lungsjukdom (KOL), rapporterades fler maligniteter, huvudsakligen i lungan eller huvud och hals, hos infliximab-behandlade patienter jämfört med kontrollpatienter. Alla patienter hade anamnes på att vara storrökare. Därför bör försiktighet iakttas vid användning av någon TNF-antagonist till KOL-patienter, liksom till patienter med ökad risk för malignitet orsakad av storrökning.
Med aktuella data är det inte känt om behandling med adalimumab påverkar risken för utveckling av dysplasi eller koloncancer. Alla patienter med ulcerös kolit som löper ökad risk för dysplasi eller kolonkarcinom (till exempel patienter med långvarig ulcerös kolit eller primär skleroserande kolangit) eller som tidigare haft dysplasi eller kolonkarcinom bör undersökas regelbundet med avseende på dysplasi före behandling och under hela sjukdomsförloppet. Denna undersökning bör omfatta koloskopi och biopsier enligt lokala rekommendationer.
Hematologiska reaktioner
Sällsynta rapporter om pancytopeni, inklusive aplastisk anemi, har rapporterats med TNF-antagonister. Hematologiska biverkningar, inklusive medicinskt signifikant cytopeni (t.ex. trombocytopeni, leukopeni) har rapporterats med adalimumab. Alla patienter ska uppmanas att omedelbart uppsöka läkare om de utvecklar tecken och symtom som tyder på bloddyskrasier (t.ex. ihållande feber, blåmärken, blödning, blekhet) under behandling med Yuflyma. Utsättande av Yuflyma-behandling bör övervägas hos patienter med bekräftade signifikanta hematologiska avvikelser.
Vaccinationer
Liknande antikroppssvar som mot standardtyperna av det 23-valenta pneumokockvaccinet och trivalenta influensavirusvaccinet observerades i en studie hos 226 vuxna patienter med reumatoid artrit som behandlades med adalimumab eller placebo. Inga data finns tillgängliga om sekundär överföring av infektion av levande vacciner hos patienter som får adalimumab.
Det rekommenderas att pediatriska patienter, om möjligt, vaccineras enligt gällande riktlinjer för allmän vaccination innan behandling med Yuflyma påbörjas.
Patienter som behandlas med Yuflyma kan få samtidiga vaccinationer, med undantag för levande vacciner. Administrering av levande vacciner (t.ex. BCG-vaccin) till spädbarn som exponerats för adalimumab i livmodern rekommenderas inte under 5 månader efter moderns sista adalimumabinjektion under graviditeten.
Kronisk hjärtsvikt
I en klinisk prövning med en annan TNF-antagonist har förvärrad kronisk hjärtsvikt och ökad mortalitet på grund av kronisk hjärtsvikt observerats. Fall av förvärrad kronisk hjärtsvikt har också rapporterats hos patienter som får adalimumab. Yuflyma ska användas med försiktighet hos patienter med lindrig hjärtsvikt (NYHA klass I/II). Yuflyma är kontraindicerat vid måttlig till svår hjärtsvikt (se avsnitt 4.3). Behandling med Yuflyma måste avbrytas hos patienter som utvecklar nya eller förvärrade symtom på kronisk hjärtsvikt.
Autoimmuna processer
Behandling med Yuflyma kan resultera i att autoimmuna antikroppar bildas. Inverkan av långtidsbehandling med adalimumab på utvecklingen av autoimmuna sjukdomar är okänd. Om en patient utvecklar symtom som tyder på lupusliknande syndrom efter behandling med Yuflyma och är positiv för antikroppar mot dubbelsträngat DNA, ska fortsatt behandling med Yuflyma inte ges (se avsnitt 4.8).
Samtidig administrering av biologiska DMARDs eller TNF-antagonister
Allvarliga infektioner sågs i kliniska studier med samtidig användning av anakinra och en annan TNF-antagonist, etanercept, utan någon ytterligare klinisk fördel jämfört med enbart etanercept. På grund av biverkningsbilden som observerats vid kombinationsbehandling med etanercept och anakinra, kan liknande toxiciteter också uppstå vid kombination med anakinra och andra TNF-antagonister. Kombinationen av adalimumab och anakinra rekommenderas därför inte (se avsnitt 4.5).
Samtidig administrering av adalimumab och andra biologiska DMARD:er (t.ex. anakinra och abatacept) eller andra TNF-antagonister rekommenderas inte baserat på den möjliga ökade risken för infektioner, inklusive allvarliga infektioner och andra potentiella farmakologiska interaktioner (se avsnitt 4.5).
Kirurgi
Det finns begränsad erfarenhet avseende säkerhet vid kirurgiska ingrepp hos patienter som behandlas med adalimumab. Den långa halveringstiden för adalimumab ska beaktas om ett kirurgiskt ingrepp planeras. En patient som behöver opereras under behandling med Yuflyma ska övervakas noggrant med avseende på infektioner och lämpliga åtgärder ska vidtas. Det finns begränsad erfarenhet avseende säkerhet hos patienter som genomgår artroplastik under pågående adalimumab-behandling.
Tunntarmsobstruktion
Uteblivet svarpå behandling av Crohns sjukdom kan indikera närvaro av fast fibrotisk striktur som kan kräva kirurgisk behandling. Tillgängliga data tyder på att adalimumab inte förvärrar eller orsakar strikturer.
Äldre
Frekvensen av allvarliga infektioner hos adalimumab-behandlade personer över 65 år (3,7 %) var högre än hos patienter under 65 år (1,5 %). Några av infektionerna hade dödlig utgång. Särskild uppmärksamhet bör ägnas åt infektionsrisken vid behandling av äldre.
Pediatrisk population
Se Vaccinationer ovan.
Natriuminnehåll
Detta läkemedel innehåller mindre än 1 mmol (23 mg) natrium per 0,2 ml-dos, d.v.s. är näst intill “natriumfritt”.
Adalimumab i monoterapi och i kombination med metotrexat har studerats hos patienter med reumatoid artrit, polyartikulär juvenil idiopatisk artrit och psoriasisartrit. Antikroppsbildningen var lägre när adalimumab gavs tillsammans med metotrexat jämfört med användning som monoterapi. Administrering av adalimumab utan metotrexat resulterade i ökad bildning av antikroppar, ökad clearance och minskad effekt av adalimumab (se avsnitt 5.1).
Kombinationen av adalimumab och anakinra rekommenderas inte (se avsnitt 4.4 ”Samtidig administrering av biologiska DMARD:er eller TNF-antagonister”).
Kombinationen av adalimumab och abatacept rekommenderas inte (se avsnitt 4.4 ”Samtidig administrering av biologiska DMARD:er eller TNF-antagonister”).
Fertila kvinnor
Fertila kvinnor ska överväga att använda adekvat preventivmetod för att förhindra graviditet och fortsätta att använda detta i minst fem månader efter den sista behandlingen med Yuflyma.
Graviditet
Prospektivt insamlad data från ett stort antal (cirka 2100) graviditeter, med exponering för adalimumab, som resulterat i levande födsel med känt utfall, inklusive mer än 1500 fall med exponering under första trimestern, tyder inte på en ökning i antalet nyfödda barn med missbildning.
I ett prospektivt kohortregister inkluderades 257 kvinnor med reumatoid artrit (RA) eller Crohns sjukdom (Crohns) som behandlades med adalimumab åtminstone under den första trimestern och 120 kvinnor med RA eller Crohns som inte behandlades med adalimumab. Det primära resultatmåttet var prevalensen av större medfödda missbildningar. Frekvensen graviditeter som ledde till minst ett levande fött spädbarn med en större missbildning var 6/69 (8,7 %) hos kvinnorna med RA som behandlades med adalimumab och 5/74 (6,8 %) hos kvinnorna med obehandlad RA (ojusterad oddskvot 1,31, 95 % KI 0,38-4,52) och 16/152 (10,5 %) hos de kvinnor med Crohns som behandlades med adalimumab och 3/32 (9,4 %) av kvinnorna med obehandlad Crohns (ojusterad oddskvot 1,14, 95 % KI 0,31-4,16). Justerad oddskvot (med hänsyn till skillnader vid baslinjen) var 1,10 (95% KI 0,45-2,73) med RA och Crohns kombinerat. Det fanns inga distinkta skillnader mellan kvinnor som behandlades med adalimumab och obehandlade kvinnor för de sekundära resultatmåtten spontana aborter, smärre missbildningar, för tidig förlossning, födelsestorlek och allvarliga eller opportunistiska infektioner och inga dödfödslar eller maligniteter rapporterades. Tolkningen av data kan påverkas på grund av studiens metodologiska begränsningar, inklusive liten gruppstorlek och icke-randomiserad design.
I en utvecklingstoxicitetsstudie på apor sågs inga tecken på maternell toxicitet, embryotoxicitet eller teratogenicitet. Prekliniska data avseende toxicitet efter födseln för adalimumab saknas (se avsnitt 5.3).
På grund av dess hämning av TNFα kan adalimumab som administreras under graviditet påverka det normala immunsvaret hos det nyfödda barnet. Adalimumab ska endast användas under graviditet om det finns ett uttalat behov.
Adalimumab kan överföras via placenta till serum hos nyfödda barn som fötts av kvinnor som behandlats med adalimumab under graviditet. Följaktligen kan dessa spädbarn löpa ökad risk för infektion. Administrering av levande vacciner (t.ex. BCG-vaccin) till spädbarn som exponerats för adalimumab i livmodern rekommenderas inte under 5 månader efter moderns sista adalimumabinjektion under graviditeten.
Amning
Begränsad information från publicerad litteratur tyder på att adalimumab utsöndras i bröstmjölk vid mycket låga koncentrationer. Koncentrationerna av adalimumab i bröstmjölk var 0,1 % till 1 % av moderns serumnivå. Vid peroral administrering genomgår immunglobulin G-proteiner proteolys i magtarmkanalen och har dålig biotillgänglighet. Inga effekter förväntas på ammade nyfödda/spädbarn. Följaktligen kan Yuflyma användas under amning.
Fertilitet
Prekliniska data om fertilitetseffekter av adalimumab finns inte tillgängliga.
Yuflyma har mindre effekt på förmågan att framföra fordon och använda maskiner. Yrsel och nedsatt syn kan uppträda efter administrering av Yuflyma (se avsnitt 4.8).
Sammanfattning av säkerhetsprofilen
Adalimumab studerades hos 9 506 patienter i pivotala kontrollerade och öppna studier i upp till 60 månader eller mer. Dessa studier omfattade patienter med reumatoid artrit med kortvarig och långvarig sjukdom, juvenil idiopatisk artrit (polyartikulär juvenil idiopatisk artrit och entesitrelaterad artrit) såväl som patienter med axial spondylartrit (ankyloserande spondylit och axial spondylartrit utan radiografiska tecken på AS), psoriasisartrit, Crohns sjukdom, ulcerös kolit, psoriasis, hidradenitis suppurativa och uveit. De pivotala kontrollerade studierna omfattade 6 089 patienter som fick adalimumab och 3 801 patienter som fick placebo eller en aktiv komparator under den kontrollerade perioden.
Andelen patienter som avbröt behandlingen på grund av biverkningar under den dubbelblinda, kontrollerade delen av de pivotala studierna var 5,9 % för patienter som tog adalimumab och 5,4 % för kontrollbehandlade patienter.
De vanligaste rapporterade biverkningarna är infektioner (såsom nasofaryngit, övre luftvägsinfektion och bihåleinflammation), reaktioner vid injektionsstället (erytem, klåda, blödning, smärta eller svullnad), huvudvärk och muskuloskeletal smärta.
Allvarliga biverkningar har rapporterats för adalimumab. TNF-antagonister, såsom adalimumab, påverkar immunsystemet och deras användning kan påverka kroppens försvar mot infektion och cancer.
Dödliga och livshotande infektioner (inklusive sepsis, opportunistiska infektioner och TBC), reaktivering av hepatit B-virus (HBV) och olika maligniteter (inklusive leukemi, lymfom och hepatosplenärt T-cellslymfom) har också rapporterats vid användning av adalimumab.
Allvarliga hematologiska, neurologiska och autoimmuna reaktioner har också rapporterats. Dessa omfattar sällsynta rapporter om pancytopeni, aplastisk anemi, centrala och perifera demyeliniserande händelser och rapporter om lupus, lupusrelaterade tillstånd och Stevens-Johnsons syndrom.
Pediatrisk population
I allmänhet var biverkningarna hos pediatriska patienter likartade de som sågs hos vuxna patienter, både med avseende på frekvens och typ.
Lista över biverkningar i tabellform
Följande lista över biverkningar är baserad på erfarenhet från kliniska prövningar och erfarenhet efter introduktion för försäljning och visas efter organsystemklass och frekvens i tabell 6 nedan: mycket vanliga
(≥ 1/10); vanliga (≥ 1/100, < 1/10); mindre vanliga (≥ 1/1 000, < 1/100); sällsynta (≥ 1/10 000, < 1/1 000); och ingen känd frekvens (kan inte beräknas från tillgängliga data). Inom varje frekvensgrupp presenteras biverkningarna enligt fallande svårighetsgrad. Den högsta frekvensen som ses bland de olika indikationerna har inkluderats. En asterisk (*) visas i kolumnen för organsystemklass om ytterligare information finns på annan plats i avsnitt 4.3, 4.4 och 4.8.
Tabell 6 Biverkningar
* ytterligare information finns på andra ställen i avsnitt 4.3, 4.4 och 4.8
** inklusive öppna förlängningsstudier
1) inklusive spontana rapporteringsdata
2) Medelförändringen av kroppsvikten från baslinjen för adalimumab varierade mellan 0,3 kg och 1,0 kg för alla indikationer för vuxna jämfört med (minus) -0,4 kg till 0,4 kg för placebo under en behandlingsperiod på 4–6 månader. Viktökning på 5–6 kg har även observerats i långvariga förlängningsstudier med en medelexponeringstid på ca 1–2 år utan kontrollgrupp, i synnerhet hos patienter med Crohns sjukdom och ulcerös kolit. Mekanismen bakom denna effekt är oklar men kan vara associerad med adalimumabs antiinflammatoriska effekt.
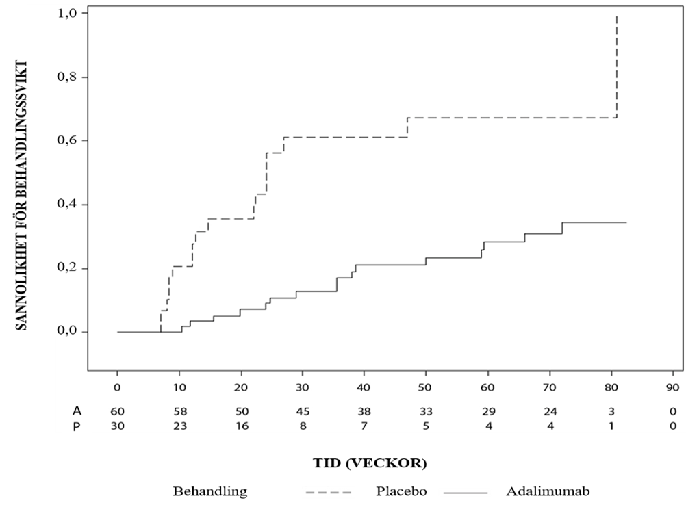
Uveit
Säkerhetsprofilen för patienter med uveit som behandlades med adalimumab varannan vecka överensstämde med den kända säkerhetsprofilen för adalimumab.
Beskrivning av utvalda biverkningar
Reaktioner på injektionsstället
I de pivotala kontrollerade studierna med vuxna och barn utvecklade 12,9 % av patienterna som behandlades med adalimumab reaktioner vid injektionsstället (erytem och/eller klåda, blödning, smärta eller svullnad), jämfört med 7,2 % av patienterna som fick placebo eller aktiv kontroll. Reaktioner på injektionsstället krävde i allmänhet inte utsättning av läkemedlet.
Infektioner
I de pivotala kontrollerade studierna med vuxna och barn var infektionsfrekvensen 1,51 per patientår hos de patienter som behandlades med adalimumab och 1,46 per patientår hos patienter som behandlades med placebo och aktiv kontrollbehandling. Infektionerna bestod främst av nasofaryngit, övre luftvägsinfektion och bihåleinflammation. De flesta patienter fortsatte med adalimumab efter att infektionen hade försvunnit.
Incidensen av allvarliga infektioner var 0,04 per patientår hos patienter som behandlades med adalimumab och 0,03 per patientår hos patienter som behandlades med placebo och aktiv kontrollbehandling.
I kontrollerade och öppna studier hos vuxna och barn med adalimumab har allvarliga infektioner (inklusive dödliga infektioner, som förekom i sällsynta fall) rapporterats, vilket inkluderar rapporter om tuberkulos (inklusive miliärt och extrapulmonellt läge) och invasiva opportunistiska infektioner (t.ex. disseminerad eller extrapulmonell histoplasmos, blastomykos, koccidioidomykos, pneumocystis-pneumoni, kandidos, candosis, aspergillos och listerios). De flesta fallen av tuberkulos inträffade inom de första åtta månaderna efter behandlingsstart och kan tänkas återspegla återfall av latent sjukdom.
Maligniteter och lymfoproliferativa sjukdomar
Inga maligniteter observerades hos 249 pediatriska patienter med en exponering på 655,6 patientår i adalimumab studier hos patienter med juvenil idiopatisk artrit (polyartikulär juvenil idiopatisk artrit och entesitrelaterad artrit). Inga maligniteter observerades heller hos 192 pediatriska patienter med en exponering på 498,1 patientår under adalimumab studier hos pediatriska patienter med Crohns sjukdom. Inga maligniteter observerades hos 77 pediatriska patienter med en exponering på 80,0 patientår under en adalimumab studie hos pediatriska patienter med kronisk plackpsoriasis. Inga maligniteter observerades hos 60 pediatriska patienter med en exponering på 58,4 patientår under en adalimumab studie hos pediatriska patienter med uveit.
Under de kontrollerade delarna av de pivotala adalimumab studierna på vuxna med minst 12 veckors varaktighet hos patienter med måttlig till svår aktiv reumatoid artrit, ankyloserande spondylit, axial spondylartrit utan radiografiska tecken på ankyloserande spondylit, psoriasisartrit, psoriasis hidradenitis suppurativa, Crohns sjukdom, ulcerös kolit och uveit, maligniteter, utöver lymfom och icke-melanom hudcancer, observerades med en frekvens (95 % konfidensintervall) på 6,8 (4,4, 10,5) per 1 000 patientår bland 5 291 patienter som behandlades med adalimumab jämfört med en frekvens på 6,3 (3,4, 11,8) per 1 000 patientår bland 3 444 kontrollpatienter (medianbehandlingstiden var 4,0 månader för adalimumab och 3,8 månader för kontrollbehandlade patienter). Frekvensen (95 % konfidensintervall) av icke-melanom hudcancer var 8,8 (6,0; 13,0) per 1 000 patientår bland patienter som behandlades med adalimumab och 3,2 (1,3; 7,6) per 1 000 patientår bland kontrollpatienter. Av dessa hudcancerfall förekom skivepitelkarcinom med en frekvens (95 % konfidensintervall) på 2,7 (1,4, 5,4) per 1 000 patientår hos patienter som behandlades med adalimumab och 0,6 (0,1, 4,5) per 1 000 patientår bland kontrollpatienter. Frekvensen (95 % konfidensintervall) av lymfom var 0,7 (0,2; 2,7) per 1 000 patientår bland patienter som behandlades med adalimumab och 0,6 (0,1; 4,5) per 1 000 patientår bland kontrollpatienter.
När man kombinerar kontrollerade delar av dessa studier och pågående och avslutade öppna förlängningsstudier med en medianvaraktighet på cirka 3,3 år, inklusive 6 427 patienter och över 26 439 patientår av behandling, är den observerade frekvensen av maligniteter, förutom lymfom och icke-melanom hudcancer, cirka 8,5 per 1 000 patientår. Den observerade frekvensen av icke-melanom hudcancer är cirka 9,6 per 1 000 patientår och den observerade frekvensen av lymfom är cirka 1,3 per 1 000 patientår.
Efter godkännande för försäljning från januari 2003 till december 2010, främst hos patienter med reumatoid artrit, är den rapporterade frekvensen av spontant maligniteter cirka 2,7 per 1 000 patientår. De spontant rapporterade frekvenserna för icke-melanom hudcancer och lymfom är cirka 0,2 respektive 0,3 per 1 000 patientbehandlingsår (se avsnitt 4.4).
Sällsynta fall av hepatosplenärt T-cellslymfom har efter godkännande för försäljning identifierats hos patienter som behandlats med adalimumab (se avsnitt 4.4).
Autoantikroppar
Patienterna fick lämna serumprover som testades för autoantikroppar vid flera tidpunkter i reumatoid artrit-studie I − V. I dessa studier hade 11,9% av patienterna som behandlades med adalimumab och 8,1% av patienterna som behandlades med placebo och aktiv kontroll, och som hade negativa antinukleära antikroppstitrar vid baslinjen, positiva titrar vid vecka 24. Två av 3 441 patienter som behandlades med adalimumab i alla reumatoid artrit- och psoriasisartritstudier utvecklade kliniska tecken som tyder på nydebuterat lupusliknande syndrom. Patienterna förbättrades efter utsättande av behandlingen. Inga patienter utvecklade lupusnefrit eller symtom i centrala nervsystemet.
Lever och gallvägar
I kontrollerade fas 3-studier med adalimumab hos patienter med reumatoid artrit och psoriasisartrit med en kontrollperiod som sträcker sig från 4 till 104 veckor, förekom ALAT-stegringar ≥ 3 x ULN (övre normalvärdet [upper limit of normal]) hos 3,7 % av patienterna som behandlades med adalimumab och 1,6 % av de kontrollbehandlade patienterna.
I kontrollerade fas 3-studier av adalimumab hos patienter med polyartikulär juvenil idiopatisk artrit som var 4 till 17 år och patienter entesitrelaterad artrit som var 6 till 17 år, förekom ALAT-stegringar ≥ 3 x ULN hos 6,1 % av patienterna som behandlades med adalimumab och 1,3 % av de kontrollbehandlade patienterna. De flesta ALAT-stegringar inträffade vid samtidig metotrexatbehandling. Inga ALAT-stegringar ≥ 3 x ULN förekom i fas 3-studien av adalimumab hos patienter med polyartikulär juvenil idiopatisk artrit som var 2 till < 4 år.
I kontrollerade fas 3-studier med adalimumab hos patienter med Crohns sjukdom och ulcerös kolit med en kontrollperiod på 4 till 52 veckor förekom ALAT-stegringar ≥ 3 x ULN hos 0,9 % av patienter som behandlades med adalimumab och 0,9 % av kontrollbehandlade patienter.
I fas 3-studien av adalimumab hos patienter med pediatrisk Crohns sjukdom, som utvärderade effekt och säkerhet med två kroppsviktsjusterade underhållsdosregimer efter kroppsviktsjusterad induktionsbehandling med upp till 52 veckors behandling, förekom ALAT-stegringar ≥ 3 x ULN hos 2,6 % (5/192) av patienter av vilka 4 fick samtidiga immunsuppressiva medel vid baslinjen.
I kontrollerade fas 3-studier med adalimumab hos patienter med plackpsoriasis med en kontrollperiod som sträcker sig från 12 till 24 veckor, förekom ALAT-stegringar ≥ 3 x ULN hos 1,8 % av patienter som behandlades med adalimumab och 1,8 % av kontrollbehandlade patienter.
Inga ALAT-stegringar ≥ 3 X ULN inträffade i fas 3-studien av adalimumab hos pediatriska patienter med plackpsoriasis.
I kontrollerade studier med adalimumab (inledande doser på 80 mg vid vecka 0 följt av 40 mg varannan vecka med början vid vecka 1) hos vuxna patienter med uveit i upp till 80 veckor med en medianexponering på 166,5 dagar respektive 105,0 dagar hos adalimumabbehandlade respektive kontrollbehandlade patienter, förekom ALAT-stegringar ≥ 3 x ULN hos 2,4 % av patienter som behandlades med adalimumab respektive 2,4 % av kontrollbehandlade patienter.
Över alla indikationer i kliniska prövningar var patienter med förhöjt ALAT asymtomatiska och i de flesta fall var förhöjningarna övergående och försvann vid fortsatt behandling. Det har dock även förekommit rapporter efter marknadsintroduktion om leversvikt samt mindre allvarliga leversjukdomar som kan föregå leversvikt, såsom hepatit inklusive autoimmun hepatit, hos patienter som får adalimumab.
Samtidig behandling med azatioprin/6-merkaptopurin
I studier av vuxna patienter med Crohns sjukdom sågs högre incidens av maligna och allvarliga infektionsrelaterade biverkningar med kombinationen adalimumab och azatioprin/6-merkaptopurin jämfört med adalimumab ensamt.
Ingen dosbegränsande toxicitet observerades under kliniska prövningar. Den högsta dosnivån som utvärderats har varit multipla intravenösa doser på 10 mg/kg, vilket är cirka 15 gånger den rekommenderade dosen.
Juvenil idiopatisk artrit
Polyartikulär juvenil idiopatisk artrit
Yuflyma i kombination med metotrexat är indicerat för behandling av aktiv polyartikulär juvenil idiopatisk artrit hos patienter från 2 års ålder med otillräcklig respons på ett eller flera sjukdomsmodifierande antireumatiska läkemedel (DMARDs). Yuflyma kan ges som monoterapi vid intolerans mot metotrexat eller när fortsatt behandling med metotrexat är olämplig (för effekt vid monoterapi se avsnitt 5.1). Adalimumab har inte studerats hos patienter yngre än 2 år.
Entesitrelaterad artrit
Yuflyma är indicerat för behandling av aktiv entesitrelaterad artrit hos patienter, 6 år eller äldre, som har svarat otillräckligt på eller som är intoleranta mot konventionell behandling (se avsnitt 5.1).
Pediatrisk plackpsoriasis
Yuflyma är indicerat för behandling av svår kronisk plackpsoriasis hos barn och ungdomar från 4 års ålder, som inte har svarat tillräcklig på eller som är olämpliga för topikal behandling och fototerapi.
Pediatrisk Crohns sjukdom
Yuflyma är indicerat för behandling av måttlig till svår aktiv Crohns sjukdom hos pediatriska patienter (från 6 års ålder) som svarat otillräckligt på konventionell behandling, inklusive primär nutritionsbehandling och en kortikosteroid och/eller en immunmodulator, eller som är intoleranta mot eller har kontraindikationer för sådana behandlingar.
Pediatrisk uveit
Yuflyma är indicerat för behandling av pediatrisk kronisk icke-infektiös främre uveit hos barn från 2 års ålder som inte har svarat tillräckligt på eller som är intoleranta mot konventionell behandling, eller när konventionell behandling är olämplig.
Behandling med Yuflyma ska inledas och övervakas av specialistläkare med erfarenhet av diagnos och behandling av tillstånd för vilka Yuflyma är indicerat. Oftalmologer rekommenderas att rådgöra med lämplig specialist innan behandling med Yuflyma påbörjas (se avsnitt 4.4). Patienter som behandlas med Yuflyma ska ges ett särskilt patientkort.
Efter korrekt utbildning i injektionsteknik kan patienterna själva injicera Yuflyma, om deras läkare anser att det är lämpligt och med medicinsk uppföljning vid behov.
Under behandling med Yuflyma ska andra samtidiga behandlingar (t.ex. kortikosteroider och/eller immunmodulerande medel) optimeras.
Dosering
Pediatrisk population
Juvenil idiopatisk artrit
Polyartikulär juvenil idiopatisk artrit från 2 års ålder
Rekommenderad dos av Yuflyma för patienter med polyartikulär juvenil idiopatisk artrit från 2 års ålder baseras på kroppsvikt (tabell 1). Yuflyma administreras varannan vecka via subkutan injektion.
Tabell 1. Dos av Yuflyma för patienter med polyartikulär juvenil idiopatisk artrit
Tillgängliga data tyder på att klinisk respons vanligtvis uppnås inom 12 veckors behandling. Fortsatt behandling ska noggrant omprövas, om patienten inte har svarat inom denna tidsperiod.
Det finns ingen relevant användning av adalimumab för patienter yngre än 2 år för denna indikation.
Yuflyma kan finnas tillgängligt i andra styrkor och/eller förpackningstyper beroende på det individuella behandlingsbehovet.
Entesitrelaterad artrit
Rekommenderad dos av Yuflyma för patienter med entesitrelaterad artrit från 6 års ålder baseras på kroppsvikt (tabell 2). Yuflyma administreras varannan vecka via subkutan injektion.
Tabell 2. Dos av Yuflyma för patienter med entesitrelaterad artrit
Adalimumab har inte studerats hos patienter med entesitrelaterad artrit som är yngre än 6 år.
Yuflyma kan finnas tillgängligt i andra styrkor och/eller förpackningstyper beroende på det individuella behandlingsbehovet.
Pediatrisk plackpsoriasis
Rekommenderad dos av Yuflyma för patienter med plackpsoriasis från 4 till 17 års ålder baseras på kroppsvikt (tabell 3). Yuflyma administreras via subkutan injektion.
Tabell 3. Dos av Yuflyma för pediatriska patienter med plackpsoriasis
Fortsatt behandling efter 16 veckor ska noggrant övervägas, om patienten inte har svarat inom denna tidsperiod.
Om förnyad behandling med adalimumab är indicerad, ska ovanstående riktlinjer för dos och behandlingstid följas.
Säkerheten för adalimumab hos pediatriska patienter med plackpsoriasis har utvärderats under i genomsnitt 13 månader.
Det finns ingen relevant användning av adalimumab för barn under 4 år för denna indikation.
Yuflyma kan finnas tillgängligt i andra styrkor och/eller förpackningstyper beroende på det individuella behandlingsbehovet.
Pediatrisk Crohns sjukdom
Rekommenderad dos av Yuflyma för patienter med Crohns sjukdom från 6 till 17 års ålder baseras på kroppsvikt (tabell 4). Yuflyma administreras via subkutan injektion.
Tabell 4. Adalimumabdos för pediatriska patienter med Crohns sjukdom
Patienter med otillräcklig respons kan ha nytta av en ökad dos:
< 40 kg: 20 mg varje vecka
≥ 40 kg: 40 mg varje vecka eller 80 mg varannan vecka
Fortsatt behandling ska övervägas noga hos en patient utan respons vid vecka 12.
Det finns ingen relevant användning av adalimumab för barn under 6 år för denna indikation.
Yuflyma kan finnas tillgängligt i andra styrkor och/eller förpackningstyper beroende på det individuella behandlingsbehovet.
Pediatrisk uveit
Rekommenderad dos av Yuflyma för pediatriska patienter med uveit från 2 års ålder baseras på kroppsvikt (tabell 5). Yuflyma administreras via subkutan injektion.
Vid pediatrisk uveit saknas erfarenhet av behandling med adalimumab utan samtidig behandling med metotrexat.
Tabell 5. Dos av Yuflyma för pediatriska patienter med uveit
När behandling med Yuflyma påbörjas kan en laddningsdos på 40 mg för patienter < 30 kg eller 80 mg för patienter ≥ 30 kg administreras en vecka innan underhållsbehandling påbörjas. Det finns inga tillgängliga kliniska data om användning av en laddningsdos av adalimumab hos barn < 6 år (se avsnitt 5.2).
Det finns ingen relevant användning av adalimumab för barn under 2 år för denna indikation.
Det rekommenderas att nytta och risk med fortsatt långtidsbehandling utvärderas årligen (se avsnitt 5.1).
Yuflyma kan finnas tillgängligt i andra styrkor och/eller förpackningstyper beroende på det individuella behandlingsbehovet.
Försämrad njur- och/eller leverfunktion
Adalimumab har inte studerats i dessa patientpopulationer. Ingen dosrekommendation kan göras.
Administreringssätt
Yuflyma administreras via subkutan injektion.
Fullständiga instruktioner för administrering finns i bipacksedeln.
Yuflyma finns tillgängligt i andra styrkor och förpackningsstorlekar.
Överkänslighet mot den aktiva substansen eller mot något hjälpämne som anges i avsnitt 6.1.
Aktiv tuberkulos eller andra allvarliga infektioner såsom sepsis och opportunistiska infektioner (se avsnitt 4.4).
Måttlig till svår hjärtsvikt (NYHA klass III/IV) (se avsnitt 4.4).
Spårbarhet
För att underlätta spårbarhet av biologiska läkemedel ska läkemedlets namn och tillverkningssatsnummer dokumenteras.
Infektioner
Patienter som tar TNF-antagonister är mer mottagliga för allvarliga infektioner. Nedsatt lungfunktion kan öka risken för att utveckla infektioner. Patienter måste därför följas noggrant med avseende på infektioner, inklusive tuberkulos, före, under och efter behandling med Yuflyma. Eftersom elimineringen av adalimumab kan ta upp till fyra månader, ska monitorering fortsätta under hela denna period.
Behandling med Yuflyma ska inte påbörjas hos patienter med aktiva infektioner, inklusive kroniska eller lokala infektioner, förrän infektionerna är under kontroll. Hos patienter som har exponerats för tuberkulos och patienter som har rest i områden med hög risk för tuberkulos eller endemiska mykoser, såsom histoplasmos, koccidioidomykos eller blastomykos, ska risk och nytta med behandling med Yuflyma övervägas innan behandling påbörjas (se Andra opportunistiska infektioner).
Patienter som utvecklar en ny infektion under behandling med Yuflyma ska övervakas noggrant och genomgå en fullständig diagnostisk utvärdering. Administrering av Yuflyma ska avbrytas om en patient utvecklar en ny allvarlig infektion eller sepsis och lämplig antimikrobiell eller antimykotisk behandling ska sättas in tills infektionen är under kontroll. Läkare ska iaktta försiktighet när behandling med Yuflyma övervägs till patienter med återkommande infektioner i anamnesen eller med underliggande tillstånd som kan medföra ökad infektionskänslighet, inklusive samtidig användning av immunsuppressiva läkemedel.
Allvarliga infektioner
Allvarliga infektioner, inklusive sepsis, på grund av bakteriella och mykobakteriella infektioner, invasiva svamp-, parasit- och virusinfektioner samt andra opportunistiska infektioner såsom listerios, legionellos och pneumocystis har rapporterats hos patienter som får adalimumab.
Andra allvarliga infektioner som observerats i kliniska prövningar är lunginflammation, pyelonefrit, septisk artrit och septikemi. Sjukhusinläggning eller dödlig utgång förknippad med infektioner har rapporterats.
Tuberkulos
Tuberkulos, inklusive reaktivering och nydebuterad tuberkulos, har rapporterats hos patienter som får adalimumab. Rapporterna inkluderade fall av pulmonell och extrapulmonell (dvs. disseminerad) tuberkulos.
Innan behandling med Yuflyma påbörjas måste alla patienter utvärderas för både aktiv och inaktiv (”latent”) tuberkulosinfektion. Denna utvärdering ska omfatta en detaljerad medicinsk bedömning av patientens anamnes på tuberkulos eller eventuell tidigare exponering för personer med aktiv tuberkulos och tidigare och/eller pågående immunsuppressiv behandling. Lämpliga screeningtester (t.ex. tuberkulinhudtest och lungröntgen) ska utföras på alla patienter (lokala rekommendationer kan gälla). Det rekommenderas att genomförandet och resultaten av dessa tester registreras på patientkortet. Förskrivare påminns om risken för falskt negativa tuberkulintestresultat, särskilt hos patienter som är svårt sjuka eller immunsupprimerade.
Om aktiv tuberkulos diagnostiseras får behandling med Yuflyma inte påbörjas (se avsnitt 4.3).
I alla situationer som beskrivs nedan ska nytta/risk-förhållandet för behandlingen noggrant övervägas.
Om latent tuberkulos misstänks ska en läkare med erfarenhet av behandling av tuberkulos konsulteras.
Om latent tuberkulos diagnostiseras, måste lämplig behandling med anti-tuberkulosprofylax initieras innan behandling med Yuflyma påbörjas, och i enlighet med lokala rekommendationer.
Behandling med anti-tuberkulosprofylax ska också övervägas innan behandling med Yuflyma påbörjas hos patienter med flera eller signifikanta riskfaktorer för tuberkulos, trots ett negativt test för tuberkulos, och hos patienter med anamnes på latent eller aktiv tuberkulos hos vilka en adekvat behandlingskur inte kan bekräftas.
Trots profylaktisk behandling mot tuberkulos har fall av reaktiverad tuberkulos förekommit hos patienter som behandlats med adalimumab. Vissa patienter som framgångsrikt har behandlats för aktiv tuberkulos har utvecklat tuberkulos igen under behandling med adalimumab.
Patienter ska instrueras att söka medicinsk rådgivning om tecken/symtom som tyder på en tuberkulosinfektion (t.ex. ihållande hosta, avmagring/viktminskning, lätt feber, håglöshet) inträffar under eller efter behandling med Yuflyma.
Andra opportunistiska infektioner
Opportunistiska infektioner, inklusive invasiva svampinfektioner, har observerats hos patienter som får adalimumab. Dessa infektioner har inte konsekvent identifierats hos patienter som tar TNF-antagonister och detta har resulterat i förseningar av lämplig behandling, vilket ibland haft dödlig utgång.
Hos patienter som utvecklar tecken och symtom såsom feber, sjukdomskänsla, viktminskning, svettningar, hosta, dyspné och/eller lunginfiltrat eller annan allvarlig systemisk sjukdom, med eller utan samtidig chock, ska en invasiv svampinfektion misstänkas och administreringen av Yuflyma omedelbart avbrytas. Diagnos och administrering av empirisk antimykotisk behandling till dessa patienter ska ske i samråd med en läkare med expertis inom vård av patienter med invasiva svampinfektioner.
Reaktivering av hepatit B-virus
Reaktivering av hepatit B har förekommit hos patienter som är kroniska bärare av detta virus (dvs. ytantigenpositiva) och som får en TNF-antagonist inklusive adalimumab. Vissa fall har haft dödlig utgång. Patienter ska testas för HBV-infektion innan behandling med Yuflyma påbörjas. För patienter som testar positivt för hepatit B-infektion rekommenderas konsultation med en läkare med expertis inom behandling av hepatit B.
Bärare av HBV som behöver behandling med Yuflyma ska övervakas noggrant för tecken och symtom på aktiv HBV-infektion under hela behandlingen och i flera månader efter avslutad behandling. Adekvata data saknas från behandling av patienter som är bärare av HBV och som i samband med behandling med TNF-antagonister fått antiviral behandling, för att förhindra HBV-reaktivering. Hos patienter som utvecklar HBV-reaktivering, ska behandling med Yuflyma avbrytas och effektiv antiviral behandling med lämplig understödjande behandling sättas in.
Neurologiska händelser
TNF-antagonister inklusive adalimumab har i sällsynta fall förknippats med nydebuterade eller förvärrade kliniska symtom och/eller radiografiska belägg för demyeliniserande sjukdom i centrala nervsystemet, inklusive multipel skleros och optisk neurit, samt perifer demyeliniserande sjukdom, inklusive Guillain-Barrés syndrom. Förskrivare ska iaktta försiktighet när de överväger att använda Yuflyma till patienter med tidigare existerande eller nyligen debuterad demyeliniserande sjukdom i centrala eller perifera nervsystemet. Utsättning av Yuflyma ska övervägas om någon av dessa sjukdomar utvecklas. Det finns ett känt samband mellan intermediär uveit och centrala demyeliniserande sjukdomar. Neurologisk utvärdering ska utföras hos patienter med icke-infektiös intermediär uveit, innan behandling med Yuflyma påbörjas och regelbundet under behandlingen, för att bedöma om det finns några tidigare existerande eller nydebuterade centrala demyeliniserande sjukdomar.
Allergiska reaktioner
Allvarliga allergiska reaktioner förknippade med adalimumab var sällsynta under kliniska prövningar. Icke-allvarliga allergiska reaktioner förknippade med adalimumab var ovanliga under kliniska prövningar. Rapporter om allvarliga allergiska reaktioner inklusive anafylaxi har erhållits efter administrering av adalimumab. Om en anafylaktisk reaktion eller annan allvarlig allergisk reaktion inträffar, ska administreringen av Yuflyma avbrytas omedelbart och lämplig behandling sättas in.
Immunsuppression
I en studie med 64 patienter med reumatoid artrit som behandlades med adalimumab, sågs inga tecken på minskad fördröjd överkänslighet, sänkta immunglobulinnivåer eller förändringar i antalet effektor T-, B- och NK-celler, monocyter/makrofager och neutrofiler.
Maligniteter och lymfoproliferativa sjukdomar
I de kontrollerade delarna av kliniska prövningar med TNF-antagonister har fler fall av maligniteter, inklusive lymfom, observerats hos patienter som fått en TNF-antagonist jämfört med kontrollpatienter. Förekomsten var dock sällsynt. Efter godkännande för försäljning har fall av leukemi rapporterats hos patienter som behandlats med en TNF-antagonist. Det finns en ökad bakgrundsrisk för lymfom och leukemi hos patienter med reumatoid artrit med långvarig, högaktiv, inflammatorisk sjukdom, vilket komplicerar riskuppskattningen. Med nuvarande kunskap kan en möjlig risk för utveckling av lymfom, leukemi och andra maligniteter hos patienter som behandlas med en TNF-antagonist inte uteslutas.
Maligniteter, vissa med dödlig utgång, har rapporterats hos barn, ungdomar och unga vuxna (upp till 22 års ålder) som behandlats med TNF-antagonister (initiering av behandling ≤ 18 års ålder), inklusive adalimumab efter marknadsintroduktion. Ungefär hälften av fallen var lymfom. De andra fallen representerade en rad olika maligniteter och omfattade sällsynta maligniteter som vanligtvis förknippas med immunsuppression. En risk för utveckling av maligniteter hos barn och ungdomar som behandlas med TNF-antagonister kan inte uteslutas.
Sällsynta fall av hepatosplenärt T-cellslymfom har efter marknadsintroduktionen identifierats hos patienter som behandlats med adalimumab. Denna sällsynta typ av T-cellslymfom har ett mycket aggressivt sjukdomsförlopp och är vanligtvis dödlig. Vissa av dessa hepatosplenära T-cellslymfom med adalimumab har förekommit hos unga vuxna patienter som samtidigt behandlats med azatioprin eller 6-merkaptopurin för inflammatorisk tarmsjukdom. Den potentiella risken med kombinationen av azatioprin eller 6-merkaptopurin och Yuflyma ska noggrant övervägas. En risk för utveckling av hepatosplenärt T-cellslymfom hos patienter som behandlas med Yuflyma kan inte uteslutas (se avsnitt 4.8).
Inga studier har utförts som inkluderar patienter med malignitet i anamnesen eller hos vilka behandling med adalimumab fortsatt efter utveckling av malignitet. Därför ska ytterligare försiktighet iakttas vid övervägande av behandling med Yuflyma för dessa patienter (se avsnitt 4.8).
Alla patienter, särskilt patienter med anamnes på omfattande immunsuppressiv behandling eller psoriasispatienter med anamnes på PUVA-behandling, ska undersökas för förekomst av icke-melanom hudcancer före och under behandling med Yuflyma. Melanom och Merkelcellskarcinom har också rapporterats hos patienter som behandlats med TNF-antagonister inklusive adalimumab (se avsnitt 4.8).
I en explorativ klinisk prövning som utvärderade användningen av en annan TNF-antagonist, infliximab, hos patienter med måttlig till svår kronisk obstruktiv lungsjukdom (KOL), rapporterades fler maligniteter, huvudsakligen i lungan eller huvud och hals, hos infliximab-behandlade patienter jämfört med kontrollpatienter. Alla patienter hade anamnes på att vara storrökare. Därför bör försiktighet iakttas vid användning av någon TNF-antagonist till KOL-patienter, liksom till patienter med ökad risk för malignitet orsakad av storrökning.
Med aktuella data är det inte känt om behandling med adalimumab påverkar risken för utveckling av dysplasi eller koloncancer. Alla patienter med ulcerös kolit som löper ökad risk för dysplasi eller kolonkarcinom (till exempel patienter med långvarig ulcerös kolit eller primär skleroserande kolangit) eller som tidigare haft dysplasi eller kolonkarcinom bör undersökas regelbundet med avseende på dysplasi före behandling och under hela sjukdomsförloppet. Denna undersökning bör omfatta koloskopi och biopsier enligt lokala rekommendationer.
Hematologiska reaktioner
Sällsynta rapporter om pancytopeni, inklusive aplastisk anemi, har rapporterats med TNF-antagonister. Hematologiska biverkningar, inklusive medicinskt signifikant cytopeni (t.ex. trombocytopeni, leukopeni) har rapporterats med adalimumab. Alla patienter ska uppmanas att omedelbart uppsöka läkare om de utvecklar tecken och symtom som tyder på bloddyskrasier (t.ex. ihållande feber, blåmärken, blödning, blekhet) under behandling med Yuflyma. Utsättande av Yuflyma-behandling bör övervägas hos patienter med bekräftade signifikanta hematologiska avvikelser.
Vaccinationer
Liknande antikroppssvar som mot standardtyperna av det 23-valenta pneumokockvaccinet och trivalenta influensavirusvaccinet observerades i en studie hos 226 vuxna patienter med reumatoid artrit som behandlades med adalimumab eller placebo. Inga data finns tillgängliga om sekundär överföring av infektion av levande vacciner hos patienter som får adalimumab.
Det rekommenderas att pediatriska patienter, om möjligt, vaccineras enligt gällande riktlinjer för allmän vaccination innan behandling med Yuflyma påbörjas.
Patienter som behandlas med Yuflyma kan få samtidiga vaccinationer, med undantag för levande vacciner. Administrering av levande vacciner (t.ex. BCG-vaccin) till spädbarn som exponerats för adalimumab i livmodern rekommenderas inte under 5 månader efter moderns sista adalimumabinjektion under graviditeten.
Kronisk hjärtsvikt
I en klinisk prövning med en annan TNF-antagonist har förvärrad kronisk hjärtsvikt och ökad mortalitet på grund av kronisk hjärtsvikt observerats. Fall av förvärrad kronisk hjärtsvikt har också rapporterats hos patienter som får adalimumab. Yuflyma ska användas med försiktighet hos patienter med lindrig hjärtsvikt (NYHA klass I/II). Yuflyma är kontraindicerat vid måttlig till svår hjärtsvikt (se avsnitt 4.3). Behandling med Yuflyma måste avbrytas hos patienter som utvecklar nya eller förvärrade symtom på kronisk hjärtsvikt.
Autoimmuna processer
Behandling med Yuflyma kan resultera i att autoimmuna antikroppar bildas. Inverkan av långtidsbehandling med adalimumab på utvecklingen av autoimmuna sjukdomar är okänd. Om en patient utvecklar symtom som tyder på lupusliknande syndrom efter behandling med Yuflyma och är positiv för antikroppar mot dubbelsträngat DNA, ska fortsatt behandling med Yuflyma inte ges (se avsnitt 4.8).
Samtidig administrering av biologiska DMARDs eller TNF-antagonister
Allvarliga infektioner sågs i kliniska studier med samtidig användning av anakinra och en annan TNF-antagonist, etanercept, utan någon ytterligare klinisk fördel jämfört med enbart etanercept. På grund av biverkningsbilden som observerats vid kombinationsbehandling med etanercept och anakinra, kan liknande toxiciteter också uppstå vid kombination med anakinra och andra TNF-antagonister. Kombinationen av adalimumab och anakinra rekommenderas därför inte (se avsnitt 4.5).
Samtidig administrering av adalimumab och andra biologiska DMARD:er (t.ex. anakinra och abatacept) eller andra TNF-antagonister rekommenderas inte baserat på den möjliga ökade risken för infektioner, inklusive allvarliga infektioner och andra potentiella farmakologiska interaktioner (se avsnitt 4.5).
Kirurgi
Det finns begränsad erfarenhet avseende säkerhet vid kirurgiska ingrepp hos patienter som behandlas med adalimumab. Den långa halveringstiden för adalimumab ska beaktas om ett kirurgiskt ingrepp planeras. En patient som behöver opereras under behandling med Yuflyma ska övervakas noggrant med avseende på infektioner och lämpliga åtgärder ska vidtas. Det finns begränsad erfarenhet avseende säkerhet hos patienter som genomgår artroplastik under pågående adalimumab-behandling.
Tunntarmsobstruktion
Uteblivet svarpå behandling av Crohns sjukdom kan indikera närvaro av fast fibrotisk striktur som kan kräva kirurgisk behandling. Tillgängliga data tyder på att adalimumab inte förvärrar eller orsakar strikturer.
Äldre
Frekvensen av allvarliga infektioner hos adalimumab-behandlade personer över 65 år (3,7 %) var högre än hos patienter under 65 år (1,5 %). Några av infektionerna hade dödlig utgång. Särskild uppmärksamhet bör ägnas åt infektionsrisken vid behandling av äldre.
Pediatrisk population
Se Vaccinationer ovan.
Natriuminnehåll
Detta läkemedel innehåller mindre än 1 mmol (23 mg) natrium per 0,2 ml-dos, d.v.s. är näst intill “natriumfritt”.
Adalimumab i monoterapi och i kombination med metotrexat har studerats hos patienter med reumatoid artrit, polyartikulär juvenil idiopatisk artrit och psoriasisartrit. Antikroppsbildningen var lägre när adalimumab gavs tillsammans med metotrexat jämfört med användning som monoterapi. Administrering av adalimumab utan metotrexat resulterade i ökad bildning av antikroppar, ökad clearance och minskad effekt av adalimumab (se avsnitt 5.1).
Kombinationen av adalimumab och anakinra rekommenderas inte (se avsnitt 4.4 ”Samtidig administrering av biologiska DMARD:er eller TNF-antagonister”).
Kombinationen av adalimumab och abatacept rekommenderas inte (se avsnitt 4.4 ”Samtidig administrering av biologiska DMARD:er eller TNF-antagonister”).
Fertila kvinnor
Fertila kvinnor ska överväga att använda adekvat preventivmetod för att förhindra graviditet och fortsätta att använda detta i minst fem månader efter den sista behandlingen med Yuflyma.
Graviditet
Prospektivt insamlad data från ett stort antal (cirka 2100) graviditeter, med exponering för adalimumab, som resulterat i levande födsel med känt utfall, inklusive mer än 1500 fall med exponering under första trimestern, tyder inte på en ökning i antalet nyfödda barn med missbildning.
I ett prospektivt kohortregister inkluderades 257 kvinnor med reumatoid artrit (RA) eller Crohns sjukdom (Crohns) som behandlades med adalimumab åtminstone under den första trimestern och 120 kvinnor med RA eller Crohns som inte behandlades med adalimumab. Det primära resultatmåttet var prevalensen av större medfödda missbildningar. Frekvensen graviditeter som ledde till minst ett levande fött spädbarn med en större missbildning var 6/69 (8,7 %) hos kvinnorna med RA som behandlades med adalimumab och 5/74 (6,8 %) hos kvinnorna med obehandlad RA (ojusterad oddskvot 1,31, 95 % KI 0,38-4,52) och 16/152 (10,5 %) hos de kvinnor med Crohns som behandlades med adalimumab och 3/32 (9,4 %) av kvinnorna med obehandlad Crohns (ojusterad oddskvot 1,14, 95 % KI 0,31-4,16). Justerad oddskvot (med hänsyn till skillnader vid baslinjen) var 1,10 (95% KI 0,45-2,73) med RA och Crohns kombinerat. Det fanns inga distinkta skillnader mellan kvinnor som behandlades med adalimumab och obehandlade kvinnor för de sekundära resultatmåtten spontana aborter, smärre missbildningar, för tidig förlossning, födelsestorlek och allvarliga eller opportunistiska infektioner och inga dödfödslar eller maligniteter rapporterades. Tolkningen av data kan påverkas på grund av studiens metodologiska begränsningar, inklusive liten gruppstorlek och icke-randomiserad design.
I en utvecklingstoxicitetsstudie på apor sågs inga tecken på maternell toxicitet, embryotoxicitet eller teratogenicitet. Prekliniska data avseende toxicitet efter födseln för adalimumab saknas (se avsnitt 5.3).
På grund av dess hämning av TNFα kan adalimumab som administreras under graviditet påverka det normala immunsvaret hos det nyfödda barnet. Adalimumab ska endast användas under graviditet om det finns ett uttalat behov.
Adalimumab kan överföras via placenta till serum hos nyfödda barn som fötts av kvinnor som behandlats med adalimumab under graviditet. Följaktligen kan dessa spädbarn löpa ökad risk för infektion. Administrering av levande vacciner (t.ex. BCG-vaccin) till spädbarn som exponerats för adalimumab i livmodern rekommenderas inte under 5 månader efter moderns sista adalimumabinjektion under graviditeten.
Amning
Begränsad information från publicerad litteratur tyder på att adalimumab utsöndras i bröstmjölk vid mycket låga koncentrationer. Koncentrationerna av adalimumab i bröstmjölk var 0,1 % till 1 % av moderns serumnivå. Vid peroral administrering genomgår immunglobulin G-proteiner proteolys i magtarmkanalen och har dålig biotillgänglighet. Inga effekter förväntas på ammade nyfödda/spädbarn. Följaktligen kan Yuflyma användas under amning.
Fertilitet
Prekliniska data om fertilitetseffekter av adalimumab finns inte tillgängliga.
Yuflyma har mindre effekt på förmågan att framföra fordon och använda maskiner. Yrsel och nedsatt syn kan uppträda efter administrering av Yuflyma (se avsnitt 4.8).
Sammanfattning av säkerhetsprofilen
Adalimumab studerades hos 9 506 patienter i pivotala kontrollerade och öppna studier i upp till 60 månader eller mer. Dessa studier omfattade patienter med reumatoid artrit med kortvarig och långvarig sjukdom, juvenil idiopatisk artrit (polyartikulär juvenil idiopatisk artrit och entesitrelaterad artrit) såväl som patienter med axial spondylartrit (ankyloserande spondylit och axial spondylartrit utan radiografiska tecken på AS), psoriasisartrit, Crohns sjukdom, ulcerös kolit, psoriasis, hidradenitis suppurativa och uveit. De pivotala kontrollerade studierna omfattade 6 089 patienter som fick adalimumab och 3 801 patienter som fick placebo eller en aktiv komparator under den kontrollerade perioden.
Andelen patienter som avbröt behandlingen på grund av biverkningar under den dubbelblinda, kontrollerade delen av de pivotala studierna var 5,9 % för patienter som tog adalimumab och 5,4 % för kontrollbehandlade patienter.
De vanligaste rapporterade biverkningarna är infektioner (såsom nasofaryngit, övre luftvägsinfektion och bihåleinflammation), reaktioner vid injektionsstället (erytem, klåda, blödning, smärta eller svullnad), huvudvärk och muskuloskeletal smärta.
Allvarliga biverkningar har rapporterats för adalimumab. TNF-antagonister, såsom adalimumab, påverkar immunsystemet och deras användning kan påverka kroppens försvar mot infektion och cancer.
Dödliga och livshotande infektioner (inklusive sepsis, opportunistiska infektioner och TBC), reaktivering av hepatit B-virus (HBV) och olika maligniteter (inklusive leukemi, lymfom och hepatosplenärt T-cellslymfom) har också rapporterats vid användning av adalimumab.
Allvarliga hematologiska, neurologiska och autoimmuna reaktioner har också rapporterats. Dessa omfattar sällsynta rapporter om pancytopeni, aplastisk anemi, centrala och perifera demyeliniserande händelser och rapporter om lupus, lupusrelaterade tillstånd och Stevens-Johnsons syndrom.
Pediatrisk population
I allmänhet var biverkningarna hos pediatriska patienter likartade de som sågs hos vuxna patienter, både med avseende på frekvens och typ.
Lista över biverkningar i tabellform
Följande lista över biverkningar är baserad på erfarenhet från kliniska prövningar och erfarenhet efter introduktion för försäljning och visas efter organsystemklass och frekvens i tabell 6 nedan: mycket vanliga
(≥ 1/10); vanliga (≥ 1/100, < 1/10); mindre vanliga (≥ 1/1 000, < 1/100); sällsynta (≥ 1/10 000, < 1/1 000); och ingen känd frekvens (kan inte beräknas från tillgängliga data). Inom varje frekvensgrupp presenteras biverkningarna enligt fallande svårighetsgrad. Den högsta frekvensen som ses bland de olika indikationerna har inkluderats. En asterisk (*) visas i kolumnen för organsystemklass om ytterligare information finns på annan plats i avsnitt 4.3, 4.4 och 4.8.
Tabell 6 Biverkningar
* ytterligare information finns på andra ställen i avsnitt 4.3, 4.4 och 4.8
** inklusive öppna förlängningsstudier
1) inklusive spontana rapporteringsdata
2) Medelförändringen av kroppsvikten från baslinjen för adalimumab varierade mellan 0,3 kg och 1,0 kg för alla indikationer för vuxna jämfört med (minus) -0,4 kg till 0,4 kg för placebo under en behandlingsperiod på 4–6 månader. Viktökning på 5–6 kg har även observerats i långvariga förlängningsstudier med en medelexponeringstid på ca 1–2 år utan kontrollgrupp, i synnerhet hos patienter med Crohns sjukdom och ulcerös kolit. Mekanismen bakom denna effekt är oklar men kan vara associerad med adalimumabs antiinflammatoriska effekt.
Uveit
Säkerhetsprofilen för patienter med uveit som behandlades med adalimumab varannan vecka överensstämde med den kända säkerhetsprofilen för adalimumab.
Beskrivning av utvalda biverkningar
Reaktioner på injektionsstället
I de pivotala kontrollerade studierna med vuxna och barn utvecklade 12,9 % av patienterna som behandlades med adalimumab reaktioner vid injektionsstället (erytem och/eller klåda, blödning, smärta eller svullnad), jämfört med 7,2 % av patienterna som fick placebo eller aktiv kontroll. Reaktioner på injektionsstället krävde i allmänhet inte utsättning av läkemedlet.
Infektioner
I de pivotala kontrollerade studierna med vuxna och barn var infektionsfrekvensen 1,51 per patientår hos de patienter som behandlades med adalimumab och 1,46 per patientår hos patienter som behandlades med placebo och aktiv kontrollbehandling. Infektionerna bestod främst av nasofaryngit, övre luftvägsinfektion och bihåleinflammation. De flesta patienter fortsatte med adalimumab efter att infektionen hade försvunnit.
Incidensen av allvarliga infektioner var 0,04 per patientår hos patienter som behandlades med adalimumab och 0,03 per patientår hos patienter som behandlades med placebo och aktiv kontrollbehandling.
I kontrollerade och öppna studier hos vuxna och barn med adalimumab har allvarliga infektioner (inklusive dödliga infektioner, som förekom i sällsynta fall) rapporterats, vilket inkluderar rapporter om tuberkulos (inklusive miliärt och extrapulmonellt läge) och invasiva opportunistiska infektioner (t.ex. disseminerad eller extrapulmonell histoplasmos, blastomykos, koccidioidomykos, pneumocystis-pneumoni, kandidos, candosis, aspergillos och listerios). De flesta fallen av tuberkulos inträffade inom de första åtta månaderna efter behandlingsstart och kan tänkas återspegla återfall av latent sjukdom.
Maligniteter och lymfoproliferativa sjukdomar
Inga maligniteter observerades hos 249 pediatriska patienter med en exponering på 655,6 patientår i adalimumab studier hos patienter med juvenil idiopatisk artrit (polyartikulär juvenil idiopatisk artrit och entesitrelaterad artrit). Inga maligniteter observerades heller hos 192 pediatriska patienter med en exponering på 498,1 patientår under adalimumab studier hos pediatriska patienter med Crohns sjukdom. Inga maligniteter observerades hos 77 pediatriska patienter med en exponering på 80,0 patientår under en adalimumab studie hos pediatriska patienter med kronisk plackpsoriasis. Inga maligniteter observerades hos 60 pediatriska patienter med en exponering på 58,4 patientår under en adalimumab studie hos pediatriska patienter med uveit.
Under de kontrollerade delarna av de pivotala adalimumab studierna på vuxna med minst 12 veckors varaktighet hos patienter med måttlig till svår aktiv reumatoid artrit, ankyloserande spondylit, axial spondylartrit utan radiografiska tecken på ankyloserande spondylit, psoriasisartrit, psoriasis hidradenitis suppurativa, Crohns sjukdom, ulcerös kolit och uveit, maligniteter, utöver lymfom och icke-melanom hudcancer, observerades med en frekvens (95 % konfidensintervall) på 6,8 (4,4, 10,5) per 1 000 patientår bland 5 291 patienter som behandlades med adalimumab jämfört med en frekvens på 6,3 (3,4, 11,8) per 1 000 patientår bland 3 444 kontrollpatienter (medianbehandlingstiden var 4,0 månader för adalimumab och 3,8 månader för kontrollbehandlade patienter). Frekvensen (95 % konfidensintervall) av icke-melanom hudcancer var 8,8 (6,0; 13,0) per 1 000 patientår bland patienter som behandlades med adalimumab och 3,2 (1,3; 7,6) per 1 000 patientår bland kontrollpatienter. Av dessa hudcancerfall förekom skivepitelkarcinom med en frekvens (95 % konfidensintervall) på 2,7 (1,4, 5,4) per 1 000 patientår hos patienter som behandlades med adalimumab och 0,6 (0,1, 4,5) per 1 000 patientår bland kontrollpatienter. Frekvensen (95 % konfidensintervall) av lymfom var 0,7 (0,2; 2,7) per 1 000 patientår bland patienter som behandlades med adalimumab och 0,6 (0,1; 4,5) per 1 000 patientår bland kontrollpatienter.
När man kombinerar kontrollerade delar av dessa studier och pågående och avslutade öppna förlängningsstudier med en medianvaraktighet på cirka 3,3 år, inklusive 6 427 patienter och över 26 439 patientår av behandling, är den observerade frekvensen av maligniteter, förutom lymfom och icke-melanom hudcancer, cirka 8,5 per 1 000 patientår. Den observerade frekvensen av icke-melanom hudcancer är cirka 9,6 per 1 000 patientår och den observerade frekvensen av lymfom är cirka 1,3 per 1 000 patientår.
Efter godkännande för försäljning från januari 2003 till december 2010, främst hos patienter med reumatoid artrit, är den rapporterade frekvensen av spontant maligniteter cirka 2,7 per 1 000 patientår. De spontant rapporterade frekvenserna för icke-melanom hudcancer och lymfom är cirka 0,2 respektive 0,3 per 1 000 patientbehandlingsår (se avsnitt 4.4).
Sällsynta fall av hepatosplenärt T-cellslymfom har efter godkännande för försäljning identifierats hos patienter som behandlats med adalimumab (se avsnitt 4.4).
Autoantikroppar
Patienterna fick lämna serumprover som testades för autoantikroppar vid flera tidpunkter i reumatoid artrit-studie I − V. I dessa studier hade 11,9% av patienterna som behandlades med adalimumab och 8,1% av patienterna som behandlades med placebo och aktiv kontroll, och som hade negativa antinukleära antikroppstitrar vid baslinjen, positiva titrar vid vecka 24. Två av 3 441 patienter som behandlades med adalimumab i alla reumatoid artrit- och psoriasisartritstudier utvecklade kliniska tecken som tyder på nydebuterat lupusliknande syndrom. Patienterna förbättrades efter utsättande av behandlingen. Inga patienter utvecklade lupusnefrit eller symtom i centrala nervsystemet.
Lever och gallvägar
I kontrollerade fas 3-studier med adalimumab hos patienter med reumatoid artrit och psoriasisartrit med en kontrollperiod som sträcker sig från 4 till 104 veckor, förekom ALAT-stegringar ≥ 3 x ULN (övre normalvärdet [upper limit of normal]) hos 3,7 % av patienterna som behandlades med adalimumab och 1,6 % av de kontrollbehandlade patienterna.
I kontrollerade fas 3-studier av adalimumab hos patienter med polyartikulär juvenil idiopatisk artrit som var 4 till 17 år och patienter entesitrelaterad artrit som var 6 till 17 år, förekom ALAT-stegringar ≥ 3 x ULN hos 6,1 % av patienterna som behandlades med adalimumab och 1,3 % av de kontrollbehandlade patienterna. De flesta ALAT-stegringar inträffade vid samtidig metotrexatbehandling. Inga ALAT-stegringar ≥ 3 x ULN förekom i fas 3-studien av adalimumab hos patienter med polyartikulär juvenil idiopatisk artrit som var 2 till < 4 år.
I kontrollerade fas 3-studier med adalimumab hos patienter med Crohns sjukdom och ulcerös kolit med en kontrollperiod på 4 till 52 veckor förekom ALAT-stegringar ≥ 3 x ULN hos 0,9 % av patienter som behandlades med adalimumab och 0,9 % av kontrollbehandlade patienter.
I fas 3-studien av adalimumab hos patienter med pediatrisk Crohns sjukdom, som utvärderade effekt och säkerhet med två kroppsviktsjusterade underhållsdosregimer efter kroppsviktsjusterad induktionsbehandling med upp till 52 veckors behandling, förekom ALAT-stegringar ≥ 3 x ULN hos 2,6 % (5/192) av patienter av vilka 4 fick samtidiga immunsuppressiva medel vid baslinjen.
I kontrollerade fas 3-studier med adalimumab hos patienter med plackpsoriasis med en kontrollperiod som sträcker sig från 12 till 24 veckor, förekom ALAT-stegringar ≥ 3 x ULN hos 1,8 % av patienter som behandlades med adalimumab och 1,8 % av kontrollbehandlade patienter.
Inga ALAT-stegringar ≥ 3 X ULN inträffade i fas 3-studien av adalimumab hos pediatriska patienter med plackpsoriasis.
I kontrollerade studier med adalimumab (inledande doser på 80 mg vid vecka 0 följt av 40 mg varannan vecka med början vid vecka 1) hos vuxna patienter med uveit i upp till 80 veckor med en medianexponering på 166,5 dagar respektive 105,0 dagar hos adalimumabbehandlade respektive kontrollbehandlade patienter, förekom ALAT-stegringar ≥ 3 x ULN hos 2,4 % av patienter som behandlades med adalimumab respektive 2,4 % av kontrollbehandlade patienter.
Över alla indikationer i kliniska prövningar var patienter med förhöjt ALAT asymtomatiska och i de flesta fall var förhöjningarna övergående och försvann vid fortsatt behandling. Det har dock även förekommit rapporter efter marknadsintroduktion om leversvikt samt mindre allvarliga leversjukdomar som kan föregå leversvikt, såsom hepatit inklusive autoimmun hepatit, hos patienter som får adalimumab.
Samtidig behandling med azatioprin/6-merkaptopurin
I studier av vuxna patienter med Crohns sjukdom sågs högre incidens av maligna och allvarliga infektionsrelaterade biverkningar med kombinationen adalimumab och azatioprin/6-merkaptopurin jämfört med adalimumab ensamt.
Rapportering av misstänkta biverkningar
Ingen dosbegränsande toxicitet observerades under kliniska prövningar. Den högsta dosnivån som utvärderats har varit multipla intravenösa doser på 10 mg/kg, vilket är cirka 15 gånger den rekommenderade dosen.
En snabb minskning av CRP-nivåerna observerades också hos patienter med polyartikulär juvenil idiopatisk artrit, Crohns sjukdom, ulcerös kolit och hidradenitis suppurativa efter behandling med adalimumab. Hos patienter med Crohns sjukdom sågs en minskning av antalet celler som uttryckte inflammatoriska markörer i tjocktarmen, inklusive en signifikant minskning av uttryckande av TNFα. Endoskopiska studier av tarmslemhinna har visat tecken på slemhinneläkning hos patienter behandlade med adalimumab.
Klinisk effekt och säkerhet
Vuxna med reumatoid artrit
Adalimumab utvärderades hos över 3 000 patienter i alla kliniska prövningar av reumatoid artrit. Effekten och säkerheten av adalimumab utvärderades i fem randomiserade, dubbelblinda och välkontrollerade studier. Vissa patienter behandlades i upp till 120 månader.
RA-studie I utvärderade 271 patienter, ≥ 18 år gamla, med måttlig till svår aktiv reumatoid artrit som inte hade svarat på behandling med minst ett sjukdomsmodifierande antireumatiskt läkemedel och som haft otillräcklig effekt av metotrexat vid doser på 12,5 till 25 mg (10 mg om metotrexatintolerant) varje vecka och vars metotrexatdos förblev konstant på 10 till 25 mg varje vecka. Doser på 20, 40 eller 80 mg adalimumab eller placebo gavs varannan vecka i 24 veckor.
RA-studie II utvärderade 544 patienter, ≥ 18 år gamla, med måttlig till svår aktiv reumatoid artrit som inte hade svarat på behandling med minst ett sjukdomsmodifierande antireumatiskt läkemedel. Doser på 20 eller 40 mg adalimumab gavs genom subkutan injektion varannan vecka och med placebo på alternativa veckor eller varje vecka i 26 veckor. Placebo gavs varje vecka under samma tidsperiod. Inga andra sjukdomsmodifierande antireumatiska läkemedel var tillåtna.
RA-studie III utvärderade 619 patienter, ≥ 18 år gamla, med måttlig till svår aktiv reumatoid artrit som inte svarat tillräckligt på metotrexat vid doser på 12,5 till 25 mg eller som varit intoleranta mot 10 mg metotrexat varje vecka. Det fanns tre grupper i denna studie. Den första fick placeboinjektioner varje vecka i 52 veckor. Den andra fick 20 mg adalimumab varje vecka i 52 veckor. Den tredje gruppen fick 40 mg adalimumab varannan vecka med placeboinjektioner på alternativa veckor. Efter att de första 52 veckorna fullbordats inkluderades 457 patienter i en öppen förlängningsfas där 40 mg adalimumab/MTX administrerades varannan vecka i upp till 10 år.
RA-studie IV bedömde främst säkerheten hos 636 patienter, ≥ 18 år gamla, med måttlig till svår aktiv reumatoid artrit. Patienter fick antingen vara DMARD-naiva eller stå kvar på sin redan befintliga reumatologiska behandling, under förutsättning att behandlingen var stabil sedan minst 28 dagar. Dessa behandlingar inkluderade metotrexat, leflunomid, hydroxiklorokin, sulfasalazin och/eller guldsalter. Patienterna randomiserades till 40 mg adalimumab eller placebo varannan vecka i 24 veckor.
RA-studie V utvärderade 799 metotrexat-naiva, vuxna patienter med måttlig till svår aktiv tidig reumatoid artrit (genomsnittlig sjukdomsvaraktighet kortare än 9 månader). Denna studie utvärderade effekten av behandling med adalimumab 40 mg varannan vecka i kombination med metotrexat, adalimumab 40 mg varannan vecka som monoterapi respektive metotrexat som monoterapi, för att minska tecken och symtom och progressionshastighet för ledskada vid reumatoid artrit i 104 veckor. Efter att de första 104 veckorna fullbordats inkluderades 497 patienter i en öppen förlängningsfas, där 40 mg adalimumab administrerades varannan vecka i upp till 10 år.
Det primära resultatmåttet i RA-studie I, II och III och det sekundära resultatmåttet i RA-studie IV var procentandelen patienter som uppnådde en ACR 20-respons (respons enligt amerikanska reumatologikollegiets [American College of Rheuamtology, ACR] kriterier) vid vecka 24 eller 26. Det primära resultatmåttet i RA-studie V var procentandelen patienter som uppnådde en ACR 50-respons vid vecka 52. RA-studie III och V hade ett ytterligare primärt resultatmått vid 52 veckor bestående av fördröjning av sjukdomsprogression (som fastställdes med röntgenresultat). RA-studie III hade också ett primärt resultatmått bestående av förändringar i livskvalitet.
ACR-respons
Andelen patienter som behandlades med adalimumab som uppnådde ACR 20-, 50- och 70-respons var konsekvent tvärsöver RA-studie I, II och III. Resultaten för dosen 40 mg varannan vecka sammanfattas i tabell 7.
Tabell 7.
ACR-respons i placebokontrollerade studier (procentandel patienter)
a RA-studie I vid 24 veckor, RA-studie II vid 26 veckor och RA-studie III vid 24 och 52 veckor
b 40 mg adalimumab administrerat varannan vecka
c MTX = metotrexat
**p < 0,01, adalimumab jämfört med placebo
I RA-studie I-IV förbättrades alla enskilda komponenter i ACR-responskriterierna (antal ömma och svullna leder, läkarens och patientens bedömning av sjukdomsaktivitet och smärta, poäng på funktionshinderindex på frågeformulär för hälsobedömning (Health Assessment Questionnaire, HAQ) och CRP-värden (mg/dl)) vid 24 eller 26 veckor jämfört med placebo. I RA-studie III kvarstod dessa förbättringar under 52 veckor.
I den öppna förlängningsstudien för RA-studie III bibehöll de flesta patienter som visade ACR-respons denna respons när de följdes i upp till 10 år. Av 207 patienter som randomiserades till adalimumab 40 mg varannan vecka fortsatte 114 patienter med adalimumab 40 mg varannan vecka i 5 år. Bland dessa hade 86 patienter (75,4 %) ACR 20-respons, 72 patienter (63,2 %) hade ACR 50-respons och 41 patienter (36 %) hade ACR 70-respons. Av 207 patienter fortsatte 81 patienter med adalimumab 40 mg varannan vecka i 10 år. Bland dessa hade 64 patienter (79,0 %) ACR 20-respons, 56 patienter (69,1 %) hade ACR 50-respons och 43 patienter (53,1 %) hade ACR 70-respons.
I RA-studie IV var ACR 20-responsen hos patienter som behandlades med adalimumab plus standardvård statistiskt signifikant bättre än hos patienter som behandlades med placebo plus standardvård (p < 0,001).
I RA-studie I-IV uppnådde patienter som behandlades med adalimumab statistiskt signifikanta ACR 20- och 50-responser jämfört med placebo så tidigt som en till två veckor efter behandlingsstart.
I RA-studie V med patienter med tidig reumatoid artrit som var metotrexatnaiva ledde kombinationsbehandling med adalimumab och metotrexat till en snabbare och signifikant större ACR-respons än metotrexat som monoterapi och adalimumab som monoterapi vid vecka 52 och responserna kvarstod vid vecka 104 (se tabell 8).
Tabell 8.
ACR-responser i RA-studie V
Procent av patienter
a p-värde är från den parvisa jämförelsen av monoterapi med metotrexat och kombinationsbehandling med adalimumab/metotrexat med hjälp av Mann-Whitney U-testet.
b p-värde är från den parvisa jämförelsen av monoterapi med adalimumab och kombinationsbehandling med adalimumab/metotrexat med hjälp av Mann-Whitney U-testet
c p-värde är från den parvisa jämförelsen av monoterapi med adalimumab och monoterapi med metotrexat med hjälp av Mann-Whitney U-testet
I den öppna förlängningsstudien för RA-studie V bibehölls ACR-responsfrekvenser när de följdes i upp till 10 år. Av 542 patienter som randomiserades till adalimumab 40 mg varannan vecka fortsatte 170 patienter med adalimumab 40 mg varannan vecka i 10 år. Bland dessa hade 154 patienter (90,6 %) ACR 20-respons, 127 patienter (74,7 %) hade ACR 50-respons och 102 patienter (60,0 %) hade ACR 70-respons.
Vid vecka 52 uppnådde 42,9 % av patienterna som fick kombinationsbehandling med adalimumab/metotrexat klinisk remission (DAS28 [skala för sjukdomsaktivitet i 28 leder (Disease Activity Score-28)] (CRP) < 2,6) jämfört med 20,6 % av patienterna som fick metotrexat som monoterapi och 23,4 % av patienterna som fick adalimumab som monoterapi. Kombinationsbehandling med adalimumab/metotrexat var kliniskt och statistiskt överlägsen metotrexat (p < 0,001) och adalimumab som monoterapi (p < 0,001) för att uppnå ett lågt sjukdomstillstånd hos patienter med nyligen diagnostiserad måttlig till svår reumatoid artrit. Respons för de två monoterapiarmarna var liknande (p = 0,447). Av 342 patienter som ursprungligen randomiserades till adalimumab som monoterapi eller kombinationsbehandling med adalimumab/metotrexat som påbörjade den öppna förlängningsstudien slutförde 171 patienter 10 år av behandling med adalimumab. Bland dessa rapporterades 109 patienter (63,7 %) befinna sig i remission vid 10 år.
Radiografisk respons
I RA-studie III, där patienter som behandlades med adalimumab hade en genomsnittlig varaktighet av reumatoid artrit på cirka 11 år, bedömdes strukturell ledskada radiografiskt och uttrycktes som förändring på modifierad Total Sharp Score (TSS) och dess komponenter, erosionspoäng och poäng för förträngning av ledutrymme. Patienter med adalimumab/metotrexat uppvisade signifikant mindre radiografisk progression än patienter som enbart fick metotrexat vid 6 och 12 månader (se tabell 9).
I den öppna förlängningen av RA-studie III bibehålls minskningen av progressionshastigheten för strukturell skada under 8 och 10 år i en undergrupp av patienter. Vid 8 år utvärderades 81 av 207 patienter som ursprungligen behandlades med 40 mg adalimumab varannan vecka radiografiskt. Bland dessa visade 48 patienter ingen progression av strukturell skada definierad som en förändring från baslinjen på mTSS på 0,5 eller mindre. Vid 10 år utvärderades 79 av 207 patienter som ursprungligen behandlades med 40 mg adalimumab varannan vecka radiografiskt. Bland dessa visade 40 patienter ingen progression av strukturell skada definierad som en förändring från baslinjen på mTSS på 0,5 eller mindre.
Tabell 9.
Genomsnittliga radiografiska förändringar över 12 månader i RA-studie III
a metotrexat
b 95 % konfidensintervaller för skillnaderna i förändringspoäng mellan metotrexat och adalimumab.
c Baserat på rankningsanalys
d Förträngning av ledutrymme (Joint Space Narrowing)
I RA-studie V bedömdes strukturell ledskada radiografiskt och uttrycktes som förändring i modifierad Total Sharp Score (se tabell 10).
Tabell 10.
Genomsnittlig radiografisk förändring vid vecka 52 i RA-studie V
a p-värde är från den parvisa jämförelsen av monoterapi med metotrexat och kombinationsbehandling med adalimumab/metotrexat med hjälp av Mann-Whitney U-testet.
b p-värde är från den parvisa jämförelsen av monoterapi med adalimumab och kombinationsbehandling med adalimumab/metotrexat med hjälp av Mann-Whitney U-testet
c p-värde är från den parvisa jämförelsen av monoterapi med adalimumab och monoterapi med metotrexat med hjälp av Mann-Whitney U-testet
Efter 52 veckors och 104 veckors behandling var procentandelen patienter utan progression (förändring från baslinjen med avseende på modifierad Total Sharp Score ≤ 0,5) signifikant högre med kombinationsbehandling med adalimumab/metotrexat (63,8 % respektive 61,2 %) jämfört med metotrexat som monoterapi (37,4 % respektive 33,5 %, p < 0,001) och adalimumab som monoterapi (50,7 %, p < 0,002 respektive 44,5 %, p < 0,001).
I den öppna förlängningen av RA-studie V var den genomsnittliga förändringen från baslinjen vid år 10 med avseende på modifierad Total Sharp Score 10,8, 9,2 och 3,9 hos patienter som ursprungligen randomiserades till monoterapi med metotrexat, monoterapi med adalimumab respektive kombinationsbehandling med adalimumab/metotrexat. Motsvarande andel patienter utan radiografisk progression var 31,3 %, 23,7 % respektive 36,7 %.
Livskvalitet och fysisk funktion
Hälsorelaterad livskvalitet och fysisk funktion bedömdes med hjälp av invaliditetsindexet i frågeformuläret för bedömning av hälsa (HAQ) i de fyra ursprungliga adekvata och välkontrollerade studierna, vilket var ett förspecificerat primärt resultatmått vid vecka 52 i RA-studie III. Alla doser/scheman för adalimumab i alla fyra studierna visade statistiskt signifikant större förbättring av funktionshinderindex i HAQ från baslinjen till månad 6 jämfört med placebo och i RA-studie III sågs samma sak vid vecka 52. Resultat från den kortfattade hälsoenkäten (Short Form Health Survey, SF 36) för alla doser/scheman för adalimumab i alla fyra studierna stödjer dessa fynd, med statistiskt signifikanta poäng för sammanfattning av fysiska komponenter (physical component summary, PCS), såväl som statistiskt signifikanta poäng för smärt- och vitalitetsdomäner för dosen på 40 mg varannan vecka. En statistiskt signifikant minskning av utmattning mätt genom funktionell bedömning av behandling av kronisk sjukdom (Functional Assessment of Chronic Illness Therapy, FACIT) sågs i alla tre studierna där den bedömdes (RA-studier I, III, IV).
I RA-studie III bibehöll de flesta patienter som uppnådde förbättring av fysisk funktion och fortsatte behandling förbättring till och med vecka 520 (120 månader) av öppenbehandling. Förbättring av livskvalitet mättes fram till vecka 156 (36 månader) och förbättringen bibehölls under denna tid.
I RA-studie V visade förbättringen av HAQ funktionshinderindex och den fysiska komponenten i SF 36 större förbättring (p < 0,001) för kombinationsbehandling med adalimumab/metotrexat jämfört med monoterapi med metotrexat och monoterapi med adalimumab vid vecka 52, vilken bibehölls till och med vecka 104. Bland de 250 patienter som fullföljde den öppna förlängningsstudien, bibehölls förbättringar i fysisk funktion under 10 års behandling.
Vuxna patienter med plackpsoriasis
Säkerheten och effekten med adalimumab studerades hos vuxna patienter med kronisk plackpsoriasis (≥ 10 % BSA-engagemang och index för omfattning och svårighetsgrad av psoriasis (Psoriasis Area and Severity Index, PASI) ≥ 12 eller ≥ 10) som var kandidater för systemisk behandling eller fototerapi i randomiserade, dubbelblinda studier. 73 % av patienterna som var inkluderade i psoriasisstudie I och II hade tidigare fått systemisk behandling eller fototerapi. Säkerhet och effekt med adalimumab studerades också hos vuxna patienter med måttlig till svår kronisk plackpsoriasis med samtidig hand- och/eller fotpsoriasis som var kandidater för systemisk behandling i en randomiserad dubbelblind studie (Psoriasisstudie III).
Psoriasisstudie I (REVEAL) utvärderade 1 212 patienter inom tre behandlingsperioder. I period A fick patienterna placebo eller adalimumab med en initial dos på 80 mg följt av 40 mg varannan vecka med början en vecka efter den initiala dosen. Efter 16 veckors behandling påbörjade patienter som uppnådde minst en PASI 75-respons (poängförbättring på PASI på minst 75 % i förhållande till baslinjen) period B och fick öppen behandling med 40 mg adalimumab varannan vecka. Patienter som bibehöll ≥PASI 75-respons vid vecka 33 och ursprungligen randomiserades till aktiv behandling i period A, återrandomiserades i period C för att få 40 mg adalimumab varannan vecka eller placebo i ytterligare 19 veckor. Över alla behandlingsgrupper var den genomsnittliga PASI-poängen vid baslinjen 18,9 och poängen för läkarens globala bedömning (Physician’s Global Assessment, PGA) vid baslinjen varierade från ”måttlig” (53 % av patienterna inkluderade) till ”svår” (41 %) till ”mycket svår” (6 %).
Psoriasisstudie II (CHAMPION) jämförde effekt och säkerhet med adalimumab jämfört med metotrexat och placebo hos 271 patienter. Patienterna fick placebo, en initial dos av MTX 7,5 mg och därefter dosökningar upp till vecka 12, med en maximal dos på 25 mg eller en initial dos på 80 mg adalimumab följt av 40 mg varannan vecka (med början en vecka efter den initiala dosen) i 16 veckor. Det finns inga data tillgängliga som jämför adalimumab och MTX efter 16 veckors behandling. Patienter som fick MTX och som uppnådde en ≥PASI 50-respons vid vecka 8 och/eller 12 fick inga ytterligare dosökningar. Över alla behandlingsgrupper var den genomsnittliga PASI-poängen vid baslinjen 19,7 och PGA-poängen vid baslinjen varierade från ”lindrig” (<1 %) till ”måttlig” (48 %) till ”svår” (46 %) till ”mycket svår” (6 %).
Patienter som deltog i alla fas 2- och fas 3-psoriasisstudier var lämpade att delta i en öppen förlängningsstudie där adalimumab gavs i minst ytterligare 108 veckor.
I psoriasisstudie I och II var ett primärt resultatmått den andel patienter som uppnådde en PASI 75-respons från baslinjen vid vecka 16 (se tabell 11 och 12).
Tabell 11
Ps-studie I (REVEAL) – effektresultat vid 16 veckor
Tabell 12
Ps-studie II (CHAMPION) – effektresultat vid 16 veckor
I psoriasisstudie I, upplevde 28 % av patienter med PASI 75-respons och återrandomiserades till placebo vid vecka 33 jämfört med 5 % som fortsatte med adalimumab, p < 0,001, “förlust av adekvat respons” (PASI-poäng efter vecka 33 och vid eller innan vecka 52 som ledde till en <PASI 50-respons relativ till baslinjen med minst en 6-poängsökning av PASI-poäng relativt till vecka 33). Av de patienter som förlorade adekvat respons efter återrandomisering till placebo och som sedan inkluderades i den öppna förlängningsstudien återfick 38 % (25/66) och 55 % (36/66) PASI 75-respons efter 12 respektive 24 veckors återbehandling.
Totalt 233 med PASI 75-respons vid vecka 16 och vecka 33 fick kontinuerlig behandling med adalimumab i 52 veckor i Psoriasisstudie I och fortsatte med adalimumab i den öppna förlängningsstudien. PASI 75 och PGA med klara eller minimala responsfrekvenser hos dessa patienter var 74,7 % respektive 59,0 % efter ytterligare 108 veckors med öppen behandling (totalt 160 veckor). I en analys där alla patienter som hoppade av studien för biverkningar eller utebliven effekt, eller som trappade upp dos, betraktades som icke-respons, var PASI 75 och PGA med klara eller minimala responsfrekvenser hos dessa patienter 69,6 % respektive 55,7 % efter ytterligare 108 veckor med öppen behandling (totalt 160 veckor).
Totalt 347 med stabil respons deltog i en utvärdering av utsättning och återbehandling i en öppen förlängningsstudie. Under utsättningsperioden återkom symtomen på psoriasis över tid med en mediantid till återfall (minskning till PGA ”måttlig” eller sämre) på cirka 5 månader. Ingen av dessa patienter upplevde rebound-effekt under utsättningsperioden. Totalt 76,5 % (218/285) av patienterna som påbörjade återbehandlingsperioden hade en PGA-respons som motsvarade ”klar” eller ”minimal” efter 16 veckors återbehandling, oavsett om de recidiverade under utsättningsperioden (69,1 % [123/178] respektive 88,8 % [95/107] för patienter som recidiverade respektive patienter som inte recidiverade under utsättningsperioden). En liknande säkerhetsprofil observerades under återbehandling som före utsättning.
Signifikanta förbättringar vid vecka 16 från baslinjen jämfört med placebo (Studie I och II) och MTX (Studie II) visades i index för dermatologisk livskvalitet (Dermatology Life Quality Index, DLQI). I Studie I var förbättringarna i de fysiska och mentala komponentsammanfattningspoängerna för SF-36 också signifikanta jämfört med placebo.
I en öppen förlängningsstudie, för patienter som fick en doshöjning från 40 mg varannan vecka till 40 mg varje vecka på grund av en PASI-respons under 50 %, uppnådde 26,4 % (92/349) och 37,8 % (132/349) av patienterna PASI 75-respons vid vecka 12 respektive vecka 24.
I psoriasisstudie III (REACH) jämfördes effekten och säkerheten med adalimumab med effekten och säkerheten med placebo hos 72 patienter med måttlig till svår kronisk plackpsoriasis samt hand- och/eller fotpsoriasis. Patienterna fick en initial dos på 80 mg adalimumab följt av 40 mg varannan vecka (med början en vecka efter den initiala dosen) eller placebo i 16 veckor. Vid vecka 16 uppnådde en statistiskt signifikant större andel av patienterna som fick adalimumab PGA ”klar” eller ”nästan klar” för händer och/eller fötter jämfört med patienter som fick placebo (30,6 % respektive 4,3 % [P = 0,014]).
I psoriasisstudie IV jämfördes effekt och säkerhet för adalimumab med placebo hos 217 vuxna patienter med måttlig till svår nagelpsoriasis. Patienterna fick en initial dos på 80 mg adalimumab följt av 40 mg varannan vecka (med början en vecka efter den initiala dosen) eller placebo i 26 veckor följt av öppen behandling i ytterligare 26 veckor. Bedömningar av nagelpsoriasis omfattade modifierat index för svårighetsgrad av nagelpsoriasis (Modified Nail Psoriasis Severity Index, mNAPSI), läkarens globala bedömning av fingernagelpsoriasis (Physician’s Global Assessment of Fingernail Psoriasis, PGA-F) och index för svårighetsgrad av nagelpsoriasis (Nail Psoriasis Severity Index, NAPSI) (se tabell 13). Adalimumab visade en behandlingsfördel hos nagelpsoriasispatienter med olika omfattning av hudengagemang (BSA ≥ 10 % (60 % av patienterna) och BSA < 10 % och ≥ 5 % (40 % av patienterna)).
Tabell 13
Effektresultat i Ps-studie IV vid 16, 26 och 52 veckor
Patienter som behandlades med adalimumab visade statistiskt signifikanta förbättringar vid vecka 26 jämfört med placebo på DLQI.
Crohns sjukdom hos vuxna
Säkerheten och effekten av adalimumab bedömdes hos över 1 500 patienter med måttlig till svår aktiv Crohns sjukdom (Crohns sjukdomsaktivitetsindex [Crohn’s Disease Activity Index, CDAI] ≥ 220 och ≤ 450) i randomiserade, dubbelblinda, placebokontrollerade studier. Samtidiga stabila doser av aminosalicylater, kortikosteroider och/eller immunmodulerande medel tilläts och 80 % av patienterna fortsatte att få minst ett av dessa läkemedel.
Induktion av klinisk remission (definierad som CDAI < 150) utvärderades i två studier, CD-studie I (CLASSIC I) och CD-studie II (GAIN). I CD-studie I randomiserades 299 TNF-antagonistnaiva patienter till en av fyra behandlingsgrupper: placebo vid vecka 0 och 2, 160 mg adalimumab vid vecka 0 och 80 mg vid vecka 2, 80 mg vid vecka 0 och 40 mg vid vecka 2 och 40 mg vid vecka 0 och 20 mg vid vecka 2. I CD-studie II randomiserades 325 patienter som hade förlorat respons till eller var intoleranta mot infliximab till att få antingen 160 mg adalimumab vid vecka 0 och 80 mg vid vecka 2 eller placebo vid vecka 0 och 2. Primära patienter med icke-respons exkluderades från studierna och därför utvärderades inte dessa patienter ytterligare.
Bibehållande av klinisk remission utvärderades i CD-studie III (CHARM). I CD-studie III fick 854 patienter öppen behandling med 80 mg vid vecka 0 och 40 mg vid vecka 2. Vid vecka 4 randomiserades patienterna till 40 mg varannan vecka, 40 mg varje vecka eller placebo med en total studielängd på 56 veckor. Patienter med klinisk respons (minskning av CDAI ≥ 70) vid vecka 4 stratifierades och analyserades separat från dem utan klinisk respons vid vecka 4. Nedtrappning av kortikosteroider tilläts efter vecka 8.
Induktion av remission och responsfrekvens för CD-studie I och CD-studie II presenteras i tabell 14.
Tabell 14
Induktion av klinisk remission och respons (procentandel patienter)
Alla p-värden är parvisa jämförelser av andel för adalimumab jämfört med placebo
*p < 0,001
**p <0,01
Liknande remissionsfrekvenser observerades för induktionsregimerna 160/80 mg och 80/40 mg vid vecka 8 och biverkningar observerades oftare i 160/80 mg-gruppen.
I CD-studie III, vid vecka 4, uppvisade 58% (499/854) av patienterna klinisk respons och utvärderades i den primära analysen. Av dem som uppvisade klinisk respons vid vecka 4 hade 48 % tidigare exponerats för andra TNF-antagonister. Bibehållande av remission och behandlingsrespons presenteras i tabell 15. Kliniska remissionsresultat förblev relativt konstanta oavsett tidigare exponering för TNF-antagonister.
Sjukdomsrelaterade sjukhusinläggningar och operationer minskade statistiskt signifikant med adalimumab jämfört med placebo vid vecka 56.
Tabell 15
Bibehållande av klinisk remission och respons (procentandel patienter)
*p < 0,001 för adalimumab jämfört med placebo parvisa jämförelser av andelar
**p < 0,02 för adalimumab jämfört med placebo parvisa jämförelser av andelar
a Av dem som får kortikosteroider vid baslinjen
Bland de patienter som inte uppvisade respons vid vecka 4, uppvisade 43 procent av patienterna som fick adalimumab som underhållsbehandling respons vid vecka 12 jämfört med 30 % av patienterna som fick underhållsbehandling med placebo. Dessa resultat tyder på att vissa patienter som inte uppvisat respons vid vecka 4 har nytta av fortsatt underhållsbehandling till och med vecka 12. Fortsatt behandling efter 12 veckor resulterade inte i signifikant fler responser (se avsnitt 4.2).
117/276 patienter från CD-studie I och 272/777 patienter från CD-studie II och III följdes under minst 3 år med öppen behandling med adalimumab. 88 respektive 189 patienter fortsatte att vara i klinisk remission. Klinisk respons (CR-100) bibehölls hos 102 respektive 233 patienter.
Livskvalitet
I CD-studie I och CD-studie II uppnåddes statistiskt signifikant förbättring av den totala poängen på det sjukdomsspecifika frågeformuläret för inflammatorisk tarmsjukdom (inflammatory bowel disease questionnaire, IBDQ) vid vecka 4 hos patienter som randomiserats till adalimumab 80/40 mg och 160/80 mg jämfört med placebo och sågs vid vecka 26 och 56 i CD-studie III såväl i grupperna som behandlades med adalimumab som grupperna som fick placebo.
Vuxna: Uveit
Säkerhet och effekt med adalimumab utvärderades hos vuxna patienter med icke-infektiös intermediär uveit, posterior uveit och panuveit, exklusive patienter med isolerad främre uveit, i två randomiserade, dubbelmaskerade, placebokontrollerade studier (UV I och II). Patienterna fick placebo eller adalimumab med en initial dos på 80 mg följt av 40 mg varannan vecka med början en vecka efter den initiala dosen. Samtidiga stabila doser av ett icke-biologiskt immunsuppressivt läkemedel tilläts.
Studie UV I utvärderade 217 patienter med aktiv uveit trots behandling med kortikosteroider (peroralt prednison vid en dos på 10 till 60 mg/dag). Alla patienter fick en standardiserad 2-veckorsdos med prednison 60 mg/dag vid inträde i studien följt av ett obligatoriskt nedtrappningsschema, med fullständigt kortikosteroidavbrott vid vecka 15.
Studie UV II utvärderade 226 patienter med inaktiv uveit som krävde kronisk kortikosteroidbehandling (peroralt prednison 10 till 35 mg/dag) vid baslinjen för att kontrollera deras sjukdom. Patienterna genomgick därefter ett obligatoriskt nedtrappningsschema, med fullständigt kortikosteroidavbrott vid vecka 19.
Det primära effektresultatmåttet i båda studierna var ”tid till behandlingssvikt”. Behandlingssvikt definierades av ett multikomponentutfall baserat på inflammatorisk korioretinala och/eller inflammatoriska retinala kärllesioner, cellgrad i främre kammaren (Anterior Chamber, AC), grumling i glaskroppen (vitreous haze, VH) och bästa korrigerade synskärpa (best corrected visual acuity, BCVA).
Patienter som fullföljde studie UV I och UV II var lämpade att inkluderas i en okontrollerad långvarig förlängningsstudie med en ursprungligen planerad varaktighet på 78 veckor. Patienterna tilläts fortsätta med studieläkemedlet efter vecka 78 tills de hade tillgång till adalimumab.
Klinisk respons
Resultat från båda studierna visade en statistiskt signifikant minskning av risk för behandlingssvikt hos patienter som behandlades med adalimumab jämfört med patienter som fick placebo (se tabell 16). Båda studierna visade en tidig och bibehållen effekt från adalimumab på frekvensen av behandlingssvikt jämfört med placebo (se figur 1).
Tabell 16.
Tid till behandlingssvikt i studie UV I och UV II
Obs! Behandlingssvikt vid eller efter vecka 6 (studie UV I), eller vid eller efter vecka 2 (studie UV II), räknades som händelse. Avhopp på grund av andra orsaker än behandlingssvikt censurerades vid tidpunkten för avhoppet.
a Riskkvot för adalimumab jämfört med placebo från proportionell riskregression med behandling som faktor.
b 2-sidigt P-värde från log rank-test.
c NE = ej uppskattningsbar (not estimable). Färre än hälften av patienterna i riskzonen hade en händelse.
Figur 1: Kaplan-Meier-kurvor som sammanfattar tid till behandlingsvikt på eller efter vecka 6 (studie UV I) eller vecka 2 (studie UV II)
Obs! P# = Placebo (antal händelser/antal i riskzonen); A# = adalimumab (antal händelser/antal i riskzonen).
I studie UV I observerades statistiskt signifikanta skillnader till fördel för adalimumab jämfört med placebo för varje komponent av behandlingssvikt. I studie UV II observerades statistiskt signifikanta skillnader endast för synskärpa, men de andra komponenterna var numeriskt till fördel för adalimumab.
Av de 424 patienter som ingick i den okontrollerade långvariga förlängningen av studie UV I och UV II, ansågs 60 patienter vara olämpliga (t.ex. på grund av avvikelser eller på grund av komplikationer sekundärt till diabetisk retinopati, på grund av starrkirurgi eller vitrektomi) och exkluderades från den primära effektanalysen. Av de 364 återstående patienterna uppnådde 269 utvärderbara patienter (74 %) 78 veckors öppen behandling med adalimumab. Baserat på metod med observation av data var 216 (80,3 %) i vila (inga aktiva inflammatoriska lesioner, AC-cellgrad ≤ 0,5+, VH-grad ≤ 0,5+) med en samtidig steroiddos på ≤ 7,5 mg per dag, och 178 (66,2 %) i steroidfri vila. BCVA antingen förbättrades eller bibehölls (< 5 bokstävers försämring) för 88,6 % av ögonen vid vecka 78. Data efter vecka 78 överensstämde i allmänhet med dessa resultat men antalet inkluderade patienter minskade efter denna tid. Sammantaget, av de patienter som avbröt studien, avbröt 18 % deltagande på grund av biverkningar och 8 % på grund av otillräcklig respons på behandling med adalimumab.
Livskvalitet
Patientrapporterade utfall avseende synrelaterad funktion mättes i båda kliniska studier med hjälp av Nationella institutets frågeformulär med 25 frågor om visuell funktion (National Eye Institute 25-Item Visual Function Questionnaire, NEI VFQ-25). Adalimumab hade numeriskt fördel för majoriteten av delpoängerna med statistiskt signifikanta medelskillnader för allmän syn, ögonsmärta, närseende, psykisk hälsa och totalpoäng i studie UV I, och för allmän syn och psykisk hälsa i studie UV II. Synrelaterade effekter var inte numeriskt fördelaktigt för adalimumab för färgseende i studie UV I eller för färgseende, perifer syn och närseende i studie UV II.
Immungenicitet
Bildning av anti-adalimumab antikroppar är sammankopplad med ökad clearance och minskad effekt av adalimumab. Det finns ingen tydlig korrelation mellan anti-adalimumab antikroppar och förekomsten av biverkningar.
Hos patienter med polyartikulär juvenil idiopatisk artrit som var 4-17 år, identifierades anti-adalimumab antikroppar hos 15,8% (27/171) av patienter som behandlades med adalimumab. Hos patienter som inte samtidigt fick metotrexat, var incidensen 25,6% (22/86) jämfört med 5,9% (5/85) då adalimumab gavs som tillägg till metotrexat. Hos patienter med polyartikulär juvenil idiopatisk artrit som var 2 till <4 år eller 4 år och äldre med en kroppsvikt <15 kg, identifierades anti-adalimumab antikroppar hos 7% (1/15) av patienterna och den patienten fick samtidig metotrexat-behandling.
Hos patienter med entesitrelaterad artrit, identifierades anti-adalimumab antikroppar hos 10,9% (5/46) av patienterna som behandlades med adalimumab. Hos patienter som inte samtidigt fick metotrexat, var incidensen 13,6% (3/22), jämfört med 8,3% (2/24) då adalimumab gavs som tillägg till metotrexat.
Patienter i reumatoid artrit-studie I, II och III testades vid ett flertal tidpunkter för anti-adalimumab antikroppar under perioden 6 till 12 månader. I de pivotala studierna identifierades anti-adalimumab antikroppar hos 5,5% (58/1053) av adalimumab-behandlade patienter i jämförelse med 0,5% (2/370) för placebo. Hos patienter som inte samtidigt gavs metotrexat var incidensen 12,4% i jämförelse med 0,6% då adalimumab användes som tillägg till metotrexat.
Hos pediatriska patienter med psoriasis identifierades anti-adalimumab antikroppar hos 5/38 patienter (13%) som behandlats med 0,8 mg/kg adalimumab som monoterapi.
Hos vuxna patienter med psoriasis identifierades anti-adalimumab antikroppar hos 77/920 patienter (8,4%) som behandlats med adalimumab som monoterapi.
Hos vuxna patienter med plackpsoriasis som stod på långtidsbehandling med adalimumab som monoterapi och som deltog i en utsättnings- och återbehandlingsstudie, var förekomsten av antikroppar mot adalimumab efter återbehandlingen (11 av 482 patienter, 2,3%) liknande den som sågs innan utsättandet (11 av 590 patienter, 1,9%).
Hos pediatriska patienter med måttlig till svår aktiv Crohns sjukdom utvecklades anti-adalimumab antikroppar hos 3,3% av patienter som behandlats med adalimumab.
Hos vuxna patienter med Crohns sjukdom identifierades anti-adalimumab antikroppar hos 7/269 patienter (2,6%).
Hos vuxna patienter med icke-infektiös uveit identifierades anti-adalimumab antikroppar hos 4,8% (12/249) av patienterna som behandlats med adalimumab.
Eftersom immunogenicitetsanalyser är produktspecifika, är en jämförelse med antikroppsförekomst från andra produkter inte tillämpbar.
Pediatrisk population
Juvenil idiopatisk artrit (JIA)
Polyartikulär juvenil idiopatisk artrit (pJIA)
Säkerheten och effekten av adalimumab utvärderades i två studier (pJIA I och II) hos barn med aktiv polyartikulär eller polyartikulär juvenil idiopatisk artrit, som hade en mängd olika JIA-debuttyper (oftast reumatoid faktor-negativ eller positiv polyartrit och förlängd oligoartrit).
pJIA I
Säkerheten och effekten av adalimumab utvärderades i en randomiserad, dubbelblind, parallellgrupperad multicenterstudie hos 171 barn (4-17 år) med polyartikulär JIA. I den öppna inledningsfasen (Open Label Lead In, OL LI) stratifierades patienterna till två grupper, MTX-behandlade (metotrexatbehandlade) eller icke-MTX-behandlade. Patienter som befann sig i icke-MTX-stratumet var antingen MTX-naiva eller hade avbrutit MTX minst två veckor före administrering av studieläkemedel. Patienterna stod kvar på stabila doser av NSAID:er och/eller prednison (≤ 0,2 mg/kg/dag eller högst 10 mg/dag). I OL LI-fasen fick alla patienter 24 mg/m2 upp till maximalt 40 mg adalimumab varannan vecka i 16 veckor. Fördelningen av patienter efter ålder och minimi-, median- och maximidos som erhölls under OL LI-fasen presenteras i tabell 17.
Tabell 17
Fördelning av patienter enligt ålder och adalimumabdos som erhållits under OL LI-fasen
Patienter som uppvisade en pediatrisk ACR 30-respons vid vecka 16 var lämpade att randomiseras till den dubbelblinda (DB) fasen och fick antingen 24 mg/m2 adalimumab upp till maximalt 40 mg, eller placebo varannan vecka i ytterligare 32 veckor eller tills sjukdomsskov. Kriterier för sjukdomsskov definierades som en försämring på ≥ 30 % från baslinjen i ≥ 3 av 6 kärnkriterier för pediatrisk ACR, ≥ 2 aktiva leder och en förbättring på > 30 % för högst 1 av 6 kriterier. Efter 32 veckor eller vid sjukdomsskov var patienterna lämpade att inkluderas i den öppna förlängningsfasen.
Tabell 18
Ped ACR 30-responser i JIA-studien
a Ped ACR 30/50/70-responser vecka 48 signifikant större än hos placebobehandlade patienter
b p = 0,015
c p = 0,031
Bland dem med respons vid vecka 16 (n = 144) kvarstod den pediatriska ACR 30/50/70/90-responsen i upp till sex år i den öppna förlängningsfasen hos patienter som fick adalimumab under hela studien. Totalt 19 patienter, varav 11 i åldersgruppen 4 till 12 år vid baslinjen och 8 i åldersgruppen 13 till 17 år vid baslinjen, behandlades 6 år eller längre.
Responserna var generellt bättre och färre patienter utvecklade antikroppar vid behandling med kombinationen adalimumab och MTX jämfört med adalimumab ensamt. Med hänsyn till dessa resultat rekommenderas Yuflyma för användning i kombination med MTX och för användning som monoterapi hos patienter för vilka MTX inte är lämpligt (se avsnitt 4.2).
pJIA II
Säkerheten och effekten av adalimumab utvärderades i en öppen multicenterstudie hos 32 barn
(2 - < 4 år eller 4 år och äldre som väger < 15 kg) med måttlig till svår aktiv polyartikulär JIA. Patienterna fick 24 mg/m2 kroppsyta (Body Surface Area, BSA) adalimumab upp till maximalt 20 mg varannan vecka som en singeldos via subkutan injektion under minst 24 veckor. Under studien använde de flesta patienter metotrexat samtidigt, med färre patienter som rapporterade användning av kortikosteroider eller NSAID:er.
Vid vecka 12 och vecka 24 var PedACR30-responsen 93,5 % respektive 90,0 % med hjälp av metod med observation av data. Andelen patienter med PedACR50/70/90 vid vecka 12 och vecka 24 var 90,3 %/61,3 %/38,7 % respektive 83,3 %/73,3 %/36,7 %. Bland dem med respons (pediatrisk ACR 30) vid vecka 24 (n = 27 av 30 patienter) bibehölls de pediatriska ACR 30-responserna i upp till 60 veckor i den öppna förlängningsfasen hos patienter som fick adalimumab under hela denna tidsperiod. Totalt behandlades 20 patienter i 60 veckor eller längre.
Entesitrelaterad artrit
Säkerheten och effekten av adalimumab utvärderades i en randomiserad, dubbelblind multicenterstudie hos 46 pediatriska patienter (6 till 17 år) med måttlig entesitrelaterad artrit. Patienterna randomiserades till att få antingen 24 mg/m2 kroppsyta (BSA) adalimumab upp till maximalt 40 mg, eller placebo varannan vecka i 12 veckor. Den dubbelblinda perioden följs av en öppen period (Open Label, OL) under vilken patienterna fick 24 mg/m2 BSA av adalimumab upp till maximalt 40 mg varannan vecka subkutant i upp till ytterligare 192 veckor. Det primära resultatmåttet var den procentuella förändringen från baslinjen till vecka 12 i antalet aktiva leder med artrit (svullnad som inte berodde på deformitet eller leder med rörelseförlust plus smärta och/eller ömhet), vilket uppnåddes med en genomsnittlig procentuell minskning på - 62,6 % (median procentuell förändring -88,9 %) hos patienter i adalimumabgruppen jämfört med -11,6 % (median procentuell förändring -50,0 %) hos patienter i placebogruppen. Förbättringen av antalet aktiva leder med artrit bibehölls under OL till och med vecka 156 för 26 av 31 (84 %) patienter i adalimumabgruppen som var kvar i studien. Även om det inte var statistiskt signifikant uppvisade majoriteten av patienterna klinisk förbättring med avseende på sekundära resultatmått såsom antal ställen med entesit, antal ömma leder (Tender Joint Count, TJC), antal svullna leder (Swollen joint Count, SJC), pediatrisk ACR 50-respons och pediatrisk ACR 70-respons.
Pediatrisk plackpsoriasis
Effekten av adalimumab utvärderades i en randomiserad, dubbelblind, kontrollerad studie av 114 pediatriska patienter från 4 års ålder med svår kronisk plackpsoriasis (definierat som PGA ≥ 4 eller > 20 % BSA-engagemang eller > 10 % BSA-engagemang med mycket tjocka lesioner eller PASI ≥ 20 eller ≥ 10 med kliniskt relevant ansikts-, köns- eller hand-/fotengagemang) som var otillräckligt kontrollerade med topikal behandling och helioterapi eller fototerapi.
Patienterna fick adalimumab 0,8 mg/kg varannan vecka (upp till 40 mg), 0,4 mg/kg varannan vecka (upp till 20 mg) eller metotrexat 0,1-0,4 mg/kg varannan vecka (upp till 25 mg). Vid vecka 16 hade fler patienter som randomiserats till adalimumab 0,8 mg/kg en positiv effektrespons (t.ex. PASI 75) än de som randomiserats till 0,4 mg/kg varannan vecka eller metotrexat.
Tabell 19
Effektresultat för pediatrisk plackpsoriasis efter 16 veckor
Patienter som uppnådde PASI 75 och PGA klar eller minimal avbröts från behandlingen i upp till
36 veckor och övervakades för förlust av sjukdomskontroll (dvs. en försämring av PGA med minst 2 grader). Patienterna behandlades sedan på nytt med adalimumab 0,8 mg/kg varannan vecka i ytterligare 16 veckor och responsfrekvenser som observerades under återbehandling var liknande med dem under den föregående dubbelblinda perioden: PASI 75-respons på 78,9 %
(15 av 19 patienter) och PGA klar eller minimal hos 52,6 % (10 av 19 patienter).
I den öppna perioden av studien, bibehölls PASI 75-responser och PGA klar eller minimal i upp till ytterligare 52 veckor utan några nya säkerhetsfynd.
Pediatrisk Crohns sjukdom
Adalimumab utvärderades i en randomiserad, dubbelblind, klinisk multicenterstudie utformad för att utvärdera effekt och säkerhet av induktions- och underhållsbehandling med doser som är beroende av kroppsvikt (< 40 kg eller ≥ 40 kg) hos 192 pediatriska patienter i åldrarna 6 och 17 år (inklusive) med måttlig till svår Crohns sjukdom (Crohns) definierad som poäng på sjukdomsaktivitetsindex för pediatrisk Crohns sjukdom (Paediatric Crohn's Disease Activity Index, PCDAI) > 30 poäng. Patienterna var tvungna att ha fått konventionell behandling som misslyckats (inklusive en kortikosteroid och/eller en immunmodulator) för Crohns sjukdom. Patienter kan också ha tidigare förlorat respons till eller varit intoleranta mot infliximab.
Alla patienter fick öppen induktionsbehandling med en dos baserad på deras kroppsvikt vd baslinjen: 160 mg vid vecka 0 och 80 mg vid vecka 2 för patienter ≥ 40 kg och 80 mg respektive 40 mg för patienter
< 40 kg
Vid vecka 4 randomiserades patienterna i förhållandet 1:1 baserat på sin kroppsvikt vid den tidpunkten till underhållsregimerna med antingen låg dos eller standarddos som det visas i tabell 20.
Tabell 20 Underhållsregim
Effektresultat
Studiens primära resultatmått var klinisk remission vid vecka 26, definierat som PCDAI-poäng ≤ 10.
Frekvenser för klinisk remission och klinisk respons (definierat som en minskning av PCDAI-poäng med minst 15 poäng från baslinjen) presenteras i tabell 21. Frekvensen för utsättande av kortikosteroider eller immunmodulerare presenteras i tabell 22.
p-värde för jämförelse av standarddos jämfört med lågdos.
Immunsuppressiv behandling kunde endast avbrytas vid eller efter vecka 26 enligt prövarens bedömning om patienten uppfyllde det kliniska responskriteriet
definierat som en stängning av alla dränerande fistlar vid baslinjen under minst 2 på varandra följande besök efter baslinjen
Statistiskt signifikanta ökningar (förbättring) från baslinjen till vecka 26 och 52 i BMI och längdhastighet observerades för båda behandlingsgrupperna.
Statistiskt och kliniskt signifikanta förbättringar från baslinjen observerades också i båda behandlingsgrupperna för livskvalitetsparametrar (inklusive IMPACT III).
Etthundra patienter (n=100) från den pediatriska CD-studien fortsatte i en öppen långvarig förlängningsstudie. Efter fem års behandling med adalimumab fortsatte 74,0% (37/50) av de 50 patienter som var kvar i studien att vara i klinisk remission och 92,0% (46/50) av patienterna fortsatte ha klinisk respons enligt PCDAI.
Pediatrisk uveit
Säkerheten och effekten av adalimumab utvärderades i en randomiserad, dubbelmaskerad, kontrollerad studie med 90 pediatriska patienter från 2 till < 18 års ålder med aktiv JIA-förknippad icke-infektiös främre uveit som var refraktär mot minst 12 veckors metotrexatbehandling. Patienterna fick antingen placebo eller 20 mg adalimumab (om < 30 kg) eller 40 mg adalimumab (om ≥ 30 kg) varannan vecka i kombination med sin dos vid baslinjen med metotrexat.
Det primära resultatmåttet var ”tid till behandlingssvikt”. Kriterierna för att fastställa behandlingssvikt var försämring eller ihållande icke-förbättring av okulär inflammation, partiell förbättring med utveckling av ihållande okulär komorbiditet eller försämring av okulära komorbiditeter, icke-tillåten användning av samtidiga läkemedel, och behandlingsuppehåll under en längre tidsperiod.
Klinisk respons
Adalimumab fördröjde signifikant tiden till behandlingssvikt, jämfört med placebo (se figur 2, P < 0,0001 från log-ranktest). Mediantiden till behandlingssvikt var 24,1 veckor för patienter som behandlades med placebo, medan mediantiden till behandlingssvikt inte var uppskattningsbar för patienter som behandlades med adalimumab eftersom mindre än hälften av dessa patienter upplevde behandlingssvikt. Adalimumab minskade signifikant risken för behandlingssvikt med 75 % i jämförelse med placebo, vilket visas av riskkvoten (hazard ratio, HR) (HR = 0,25 [95 % KI: 0,12, 0,49]).
Figur 2: Kaplan-Meier-kurvor som sammanfattar tid till behandlingssvikt i den pediatriska uveitstudien
Obs! P = Placebo (antal i riskzonen); A = Adalimumab (antal i riskzonen).
Absorption och distribution
Efter administrering av 24 mg/m2 (maximalt 40 mg) subkutant varannan vecka till patienter med polyartikulär juvenil idiopatisk artrit (JIA) som var 4 till 17 år var genomsnittligt värde för dalkoncentrationen vid steady-state (mätt från vecka 20 till 48) för adalimumab i serum 5,6 ± 5,6 μg/ml (102 % CV) för adalimumab utan samtidig metotrexat och 10,9 μg ± 5,2 (47,7 % CV) med samtidig metotrexat.
Hos patienter med polyartikulär JIA som var 2 till < 4 år gamla eller 4 år eller äldre och vägde < 15 kg, som fick dosen adalimumab 24 mg/m2, var medelvärdet för dalkoncentrationen av adalimumab i serum vid steady-state 6,0 ± 6,1 μg/ml (101 % CV) för adalimumab utan samtidig metotrexat och 7,9 ± 5,6 μg/ml (71,2 % CV) med samtidig metotrexat.
Efter administrering av 24 mg/m2 (maximalt 40 mg) subkutant varannan vecka till patienter med entesitrelaterad artrit som var 6 till 17 år var genomsnittligt värde för dalkoncentrationen vid steady-state (värden mätta vid vecka 24) för adalimumab i serum 8,8 ± 6,6 μg/ml för adalimumab utan samtidig metotrexat och 11,8 μg ± 4,3 μg/ml med samtidig metotrexat.
Efter administrering av 0,8 mg/kg (maximalt 40 mg) subkutant varannan vecka till pediatriska patienter med kronisk plackpsoriasis var medelvärdet ± standardavvikelse för dalkoncentrationen av adalimumab vid steady-state cirka 7,4 ± 5,8 μg/ml (79 % CV).
Hos pediatriska patienter med måttlig till svår Crohns sjukdom var induktionsdosen av adalimumab vid öppen behandling 160/80 mg eller 80/40 mg vid vecka 0 respektive 2, beroende av en kroppsviktsgräns på 40 kg. Vid vecka 4 randomiserades patienterna i förhållandet 1:1 till antingen standarddos för underhållsbehandling (40/20 mg varannan vecka) eller lågdos (20/10 mg varannan vecka) baserat på deras kroppsvikt. Medelvärde (± standardavvikelse) för dalkoncentrationer av adalimumab i serum som uppnåddes vid vecka 4 var 15,7 ± 6,6 μg/ml för patienter ≥ 40 kg (160/80 mg) och 10,6 ± 6,1 μg/ml för patienter < 40 kg (80/40 mg).
För patienter som stod kvar på sin randomiserade behandling var medelvärdet (± standardavvikelse) för dalkoncentrationerna av adalimumab vid vecka 52 9,5 ± 5,6 μg/ml för standarddosgruppen och 3,5 ± 2,2 μg/ml för lågdosgruppen. Medelvärdet för dalkoncentrationerna bibehölls hos patienter som fortsatte att få behandling med adalimumab i 52 veckor. För patienter som fick upptrappad dos från varannan vecka till varje vecka var medelvärdet (± standardavvikelse) för serumkoncentrationer av adalimumab vid vecka 52 15,3 ± 11,4 μg/ml (40/20 mg, varje vecka) och 6,7 ± 3,5 μg/ml (20/10 mg, varje vecka).
Exponeringen för adalimumab hos patienter med pediatrisk uveit förutsågs med hjälp av populationsfarmakokinetisk modellering och simulering baserat på korsindikationsfarmakokinetik hos andra pediatriska patienter (pediatrisk psoriasis, juvenil idiopatisk artrit, pediatrisk Crohns sjukdom och entesitrelaterad artrit). Inga kliniska exponeringsdata finns tillgängliga för användning av en laddningsdos hos barn < 6 år. De förutspådda exponeringarna indikerar att i frånvaro av metotrexat kan en laddningsdos leda till en initial ökning av systemisk exponering.
Exponerings-responsförhållande i pediatrisk population
Baserat på data från kliniska prövningar hos patienter med JIA (pJIA och entesitrelaterad artrit) fastställdes ett exponerings-responsförhållande mellan plasmakoncentrationer och PedACR 50-respons. Den uppenbara plasmakoncentrationen av adalimumab som ger halva den maximala sannolikheten för PedACR 50-respons (EC50) var 3 μg/ml (95 % KI: 1-6 μg/ml).
Exponerings-responsförhållande mellan adalimumabkoncentration och effekt hos pediatriska patienter med svår kronisk plackpsoriasis fastställdes för PASI 75 respektive PGA klar eller minimal. PASI 75 och PGA klar eller minimal ökade med ökande adalimumabkoncentrationer, båda med en liknande uppenbar EC50 på cirka 4,5 μg/ml (95 % KI 0,4–47,6 respektive 1,9–10,5).
Vuxna
Efter subkutan administrering av en singeldos på 40 mg var absorptionen och distributionen av adalimumab långsam, och maximala serumkoncentrationer uppnåddes cirka fem dagar efter administrering. Den genomsnittliga absoluta biotillgängligheten för adalimumab uppskattad från tre studier efter en 40 mg subkutan singeldos var 64 %. Efter intravenösa singeldoser på mellan 0,25 och 10 mg/kg var koncentrationerna dosproportionella. Efter doser på 0,5 mg/kg (ca 40 mg) varierade clearance mellan 11 och 15 ml/timme, distributionsvolymen (Vss) varierade från 5 till 6 liter och den genomsnittliga terminalfashalveringstiden var cirka två veckor. Koncentrationerna av adalimumab i synovialvätska från flera patienter med reumatoid artrit varierade mellan 31-96 % av koncentrationerna i serum.
Efter subkutan administrering av 40 mg adalimumab varannan vecka till vuxna patienter med reumatoid artrit (RA) var medelvärdet för dalkoncentrationen vid steady-state cirka 5 μg/ml (utan samtidig metotrexat) respektive 8 till 9 μg/ml (med samtidig metotrexat). Dalvärdena för adalimumab i serum vid steady-state ökade i stort sett proportionellt med dosen efter subkutan dosering med 20, 40 och 80 mg varannan vecka och varje vecka.
Hos vuxna patienter med psoriasis var medelvärdet för dalkoncentrationen vid steady-state 5 μg/ml vid monoterapi med adalimumab 40 mg varannan vecka.
Hos patienter med Crohns sjukdom uppnår laddningsdosen 80 mg adalimumab vid vecka 0 följt av 40 mg adalimumab vid vecka 2 dalkoncentrationer av adalimumab i serum på cirka 5,5 μg/ml under induktionsperioden. En laddningsdos på 160 mg adalimumab vid vecka 0 följt av 80 mg adalimumab vid vecka 2 uppnår dalkoncentrationer av adalimumab på cirka 12 μg/ml under induktionsperioden. Medelvärde för dalkoncentrationer vid steady-state på cirka 7 μg/ml observerades hos patienter med Crohns sjukdom som fick en underhållsdos på 40 mg adalimumab varannan vecka.
Hos vuxna patienter med uveit resulterade en laddningsdos på 80 mg adalimumab vid vecka 0 följt av 40 mg adalimumab varannan vecka med början vid vecka 1 i ett medelvärde för steady-state-koncentrationer på cirka 8 till 10 μg/ml.
Populationsfarmakokinetisk och farmakokinetisk/farmakodynamisk modellering och simulering förutspådde jämförbar exponering för och effekt av adalimumab hos patienter behandlade med 80 mg varannan vecka jämfört med 40 mg varje vecka (inklusive vuxna patienter med RA, HS, ulcerös kolit, Crohns sjukdom eller Ps, patienter med HS i ungdomsålder och pediatriska patienter ≥ 40 kg med CD och UC).
Eliminering
Populationsfarmakokinetiska analyser med data från över 1 300 RA-patienter visade en trend mot högre uppenbar clearance av adalimumab med ökande kroppsvikt. Efter justering för viktskillnader verkade kön och ålder ha en minimal effekt på adalimumabs clearance. Serumnivåerna av fritt adalimumab (inte bundet till anti-adalimumab-antikroppar, AAA) observerades vara lägre hos patienter med mätbara AAA.
Nedsatt lever- eller njurfunktion
Adalimumab har inte studerats hos patienter med nedsatt lever- eller njurfunktion.
Gängse studier avseende säkerhetsfarmakologi, allmäntoxicitet, gentoxicitet, karcinogenicitet, reproduktionseffekter och effekter på utveckling visade inte några särskilda risker för människa.
En embryofetal utvecklingstoxicitets-/perinatal utvecklingsstudie har utförts på cynomolgusapormed doser på 0, 30 och 100 mg/kg (9-17 apor/grupp) och inga tecken på fosterskador beroende av adalimumab, kunde påvisas. Varken carcinogenicitetsstudier eller standardbedömning av fertilitet och postnatal toxicitet har genomförts med adalimumab, på grund av att lämpliga modeller saknas för en antikropp med begränsad korsreaktivitet med gnagar-TNF och bildandet av neutraliserande antikroppar i gnagare.
Farmakoterapeutisk grupp: Immunsuppressiva medel, hämmare av tumörnekrosfaktor alfa (TNF-α). ATC-kod: L04AB04
Yuflyma tillhör gruppen ”biosimilars”. Ytterligare information om detta läkemedel finns på Europeiska läkemedelsmyndighetens webbplats http://www.ema.europa.eu.
Verkningsmekanism
Adalimumab binder specifikt till TNF och neutraliserar den biologiska funktionen hos TNF genom att blockera dess interaktion med TNF-receptorerna p55 och p75 på cellytan.
Adalimumab modulerar även biologiska svar som induceras eller regleras av TNF, inklusive förändringar i nivåerna av adhesionsmolekyler som ansvarar för leukocytmigration (ELAM-1, VCAM-1 och ICAM-1 med en IC50 på 0,1–0,2 nM).
Farmakodynamisk effekt
Efter behandling med adalimumab observerades en snabb minskning av nivåerna av inflammationsreaktanter i akutfasen (C-reaktivt protein (CRP) och erytrocytsedimenteringshastighet (erythrocyte sedimentation rate, ESR)) och serumcytokiner (IL-6) jämfört med baslinjen hos patienter med reumatoid artrit. Serumnivåerna av matrixmetalloproteinaser (MMP-1 och MMP-3) som producerar vävnadsremodellering som ansvarar för broskdestruktion minskade också efter administrering av adalimumab. Patienter som behandlades med adalimumab upplevde vanligtvis en förbättring av hematologiska tecken på kronisk inflammation.
En snabb minskning av CRP-nivåerna observerades också hos patienter med polyartikulär juvenil idiopatisk artrit, Crohns sjukdom, ulcerös kolit och hidradenitis suppurativa efter behandling med adalimumab. Hos patienter med Crohns sjukdom sågs en minskning av antalet celler som uttryckte inflammatoriska markörer i tjocktarmen, inklusive en signifikant minskning av uttryckande av TNFα. Endoskopiska studier av tarmslemhinna har visat tecken på slemhinneläkning hos patienter behandlade med adalimumab.
Klinisk effekt och säkerhet
Vuxna med reumatoid artrit
Adalimumab utvärderades hos över 3 000 patienter i alla kliniska prövningar av reumatoid artrit. Effekten och säkerheten av adalimumab utvärderades i fem randomiserade, dubbelblinda och välkontrollerade studier. Vissa patienter behandlades i upp till 120 månader.
RA-studie I utvärderade 271 patienter, ≥ 18 år gamla, med måttlig till svår aktiv reumatoid artrit som inte hade svarat på behandling med minst ett sjukdomsmodifierande antireumatiskt läkemedel och som haft otillräcklig effekt av metotrexat vid doser på 12,5 till 25 mg (10 mg om metotrexatintolerant) varje vecka och vars metotrexatdos förblev konstant på 10 till 25 mg varje vecka. Doser på 20, 40 eller 80 mg adalimumab eller placebo gavs varannan vecka i 24 veckor.
RA-studie II utvärderade 544 patienter, ≥ 18 år gamla, med måttlig till svår aktiv reumatoid artrit som inte hade svarat på behandling med minst ett sjukdomsmodifierande antireumatiskt läkemedel. Doser på 20 eller 40 mg adalimumab gavs genom subkutan injektion varannan vecka och med placebo på alternativa veckor eller varje vecka i 26 veckor. Placebo gavs varje vecka under samma tidsperiod. Inga andra sjukdomsmodifierande antireumatiska läkemedel var tillåtna.
RA-studie III utvärderade 619 patienter, ≥ 18 år gamla, med måttlig till svår aktiv reumatoid artrit som inte svarat tillräckligt på metotrexat vid doser på 12,5 till 25 mg eller som varit intoleranta mot 10 mg metotrexat varje vecka. Det fanns tre grupper i denna studie. Den första fick placeboinjektioner varje vecka i 52 veckor. Den andra fick 20 mg adalimumab varje vecka i 52 veckor. Den tredje gruppen fick 40 mg adalimumab varannan vecka med placeboinjektioner på alternativa veckor. Efter att de första 52 veckorna fullbordats inkluderades 457 patienter i en öppen förlängningsfas där 40 mg adalimumab/MTX administrerades varannan vecka i upp till 10 år.
RA-studie IV bedömde främst säkerheten hos 636 patienter, ≥ 18 år gamla, med måttlig till svår aktiv reumatoid artrit. Patienter fick antingen vara DMARD-naiva eller stå kvar på sin redan befintliga reumatologiska behandling, under förutsättning att behandlingen var stabil sedan minst 28 dagar. Dessa behandlingar inkluderade metotrexat, leflunomid, hydroxiklorokin, sulfasalazin och/eller guldsalter. Patienterna randomiserades till 40 mg adalimumab eller placebo varannan vecka i 24 veckor.
RA-studie V utvärderade 799 metotrexat-naiva, vuxna patienter med måttlig till svår aktiv tidig reumatoid artrit (genomsnittlig sjukdomsvaraktighet kortare än 9 månader). Denna studie utvärderade effekten av behandling med adalimumab 40 mg varannan vecka i kombination med metotrexat, adalimumab 40 mg varannan vecka som monoterapi respektive metotrexat som monoterapi, för att minska tecken och symtom och progressionshastighet för ledskada vid reumatoid artrit i 104 veckor. Efter att de första 104 veckorna fullbordats inkluderades 497 patienter i en öppen förlängningsfas, där 40 mg adalimumab administrerades varannan vecka i upp till 10 år.
Det primära resultatmåttet i RA-studie I, II och III och det sekundära resultatmåttet i RA-studie IV var procentandelen patienter som uppnådde en ACR 20-respons (respons enligt amerikanska reumatologikollegiets [American College of Rheuamtology, ACR] kriterier) vid vecka 24 eller 26. Det primära resultatmåttet i RA-studie V var procentandelen patienter som uppnådde en ACR 50-respons vid vecka 52. RA-studie III och V hade ett ytterligare primärt resultatmått vid 52 veckor bestående av fördröjning av sjukdomsprogression (som fastställdes med röntgenresultat). RA-studie III hade också ett primärt resultatmått bestående av förändringar i livskvalitet.
ACR-respons
Andelen patienter som behandlades med adalimumab som uppnådde ACR 20-, 50- och 70-respons var konsekvent tvärsöver RA-studie I, II och III. Resultaten för dosen 40 mg varannan vecka sammanfattas i tabell 7.
Tabell 7.
ACR-respons i placebokontrollerade studier (procentandel patienter)
a RA-studie I vid 24 veckor, RA-studie II vid 26 veckor och RA-studie III vid 24 och 52 veckor
b 40 mg adalimumab administrerat varannan vecka
c MTX = metotrexat
**p < 0,01, adalimumab jämfört med placebo
I RA-studie I-IV förbättrades alla enskilda komponenter i ACR-responskriterierna (antal ömma och svullna leder, läkarens och patientens bedömning av sjukdomsaktivitet och smärta, poäng på funktionshinderindex på frågeformulär för hälsobedömning (Health Assessment Questionnaire, HAQ) och CRP-värden (mg/dl)) vid 24 eller 26 veckor jämfört med placebo. I RA-studie III kvarstod dessa förbättringar under 52 veckor.
I den öppna förlängningsstudien för RA-studie III bibehöll de flesta patienter som visade ACR-respons denna respons när de följdes i upp till 10 år. Av 207 patienter som randomiserades till adalimumab 40 mg varannan vecka fortsatte 114 patienter med adalimumab 40 mg varannan vecka i 5 år. Bland dessa hade 86 patienter (75,4 %) ACR 20-respons, 72 patienter (63,2 %) hade ACR 50-respons och 41 patienter (36 %) hade ACR 70-respons. Av 207 patienter fortsatte 81 patienter med adalimumab 40 mg varannan vecka i 10 år. Bland dessa hade 64 patienter (79,0 %) ACR 20-respons, 56 patienter (69,1 %) hade ACR 50-respons och 43 patienter (53,1 %) hade ACR 70-respons.
I RA-studie IV var ACR 20-responsen hos patienter som behandlades med adalimumab plus standardvård statistiskt signifikant bättre än hos patienter som behandlades med placebo plus standardvård (p < 0,001).
I RA-studie I-IV uppnådde patienter som behandlades med adalimumab statistiskt signifikanta ACR 20- och 50-responser jämfört med placebo så tidigt som en till två veckor efter behandlingsstart.
I RA-studie V med patienter med tidig reumatoid artrit som var metotrexatnaiva ledde kombinationsbehandling med adalimumab och metotrexat till en snabbare och signifikant större ACR-respons än metotrexat som monoterapi och adalimumab som monoterapi vid vecka 52 och responserna kvarstod vid vecka 104 (se tabell 8).
Tabell 8.
ACR-responser i RA-studie V
Procent av patienter
a p-värde är från den parvisa jämförelsen av monoterapi med metotrexat och kombinationsbehandling med adalimumab/metotrexat med hjälp av Mann-Whitney U-testet.
b p-värde är från den parvisa jämförelsen av monoterapi med adalimumab och kombinationsbehandling med adalimumab/metotrexat med hjälp av Mann-Whitney U-testet
c p-värde är från den parvisa jämförelsen av monoterapi med adalimumab och monoterapi med metotrexat med hjälp av Mann-Whitney U-testet
I den öppna förlängningsstudien för RA-studie V bibehölls ACR-responsfrekvenser när de följdes i upp till 10 år. Av 542 patienter som randomiserades till adalimumab 40 mg varannan vecka fortsatte 170 patienter med adalimumab 40 mg varannan vecka i 10 år. Bland dessa hade 154 patienter (90,6 %) ACR 20-respons, 127 patienter (74,7 %) hade ACR 50-respons och 102 patienter (60,0 %) hade ACR 70-respons.
Vid vecka 52 uppnådde 42,9 % av patienterna som fick kombinationsbehandling med adalimumab/metotrexat klinisk remission (DAS28 [skala för sjukdomsaktivitet i 28 leder (Disease Activity Score-28)] (CRP) < 2,6) jämfört med 20,6 % av patienterna som fick metotrexat som monoterapi och 23,4 % av patienterna som fick adalimumab som monoterapi. Kombinationsbehandling med adalimumab/metotrexat var kliniskt och statistiskt överlägsen metotrexat (p < 0,001) och adalimumab som monoterapi (p < 0,001) för att uppnå ett lågt sjukdomstillstånd hos patienter med nyligen diagnostiserad måttlig till svår reumatoid artrit. Respons för de två monoterapiarmarna var liknande (p = 0,447). Av 342 patienter som ursprungligen randomiserades till adalimumab som monoterapi eller kombinationsbehandling med adalimumab/metotrexat som påbörjade den öppna förlängningsstudien slutförde 171 patienter 10 år av behandling med adalimumab. Bland dessa rapporterades 109 patienter (63,7 %) befinna sig i remission vid 10 år.
Radiografisk respons
I RA-studie III, där patienter som behandlades med adalimumab hade en genomsnittlig varaktighet av reumatoid artrit på cirka 11 år, bedömdes strukturell ledskada radiografiskt och uttrycktes som förändring på modifierad Total Sharp Score (TSS) och dess komponenter, erosionspoäng och poäng för förträngning av ledutrymme. Patienter med adalimumab/metotrexat uppvisade signifikant mindre radiografisk progression än patienter som enbart fick metotrexat vid 6 och 12 månader (se tabell 9).
I den öppna förlängningen av RA-studie III bibehålls minskningen av progressionshastigheten för strukturell skada under 8 och 10 år i en undergrupp av patienter. Vid 8 år utvärderades 81 av 207 patienter som ursprungligen behandlades med 40 mg adalimumab varannan vecka radiografiskt. Bland dessa visade 48 patienter ingen progression av strukturell skada definierad som en förändring från baslinjen på mTSS på 0,5 eller mindre. Vid 10 år utvärderades 79 av 207 patienter som ursprungligen behandlades med 40 mg adalimumab varannan vecka radiografiskt. Bland dessa visade 40 patienter ingen progression av strukturell skada definierad som en förändring från baslinjen på mTSS på 0,5 eller mindre.
Tabell 9.
Genomsnittliga radiografiska förändringar över 12 månader i RA-studie III
a metotrexat
b 95 % konfidensintervaller för skillnaderna i förändringspoäng mellan metotrexat och adalimumab.
c Baserat på rankningsanalys
d Förträngning av ledutrymme (Joint Space Narrowing)
I RA-studie V bedömdes strukturell ledskada radiografiskt och uttrycktes som förändring i modifierad Total Sharp Score (se tabell 10).
Tabell 10.
Genomsnittlig radiografisk förändring vid vecka 52 i RA-studie V
a p-värde är från den parvisa jämförelsen av monoterapi med metotrexat och kombinationsbehandling med adalimumab/metotrexat med hjälp av Mann-Whitney U-testet.
b p-värde är från den parvisa jämförelsen av monoterapi med adalimumab och kombinationsbehandling med adalimumab/metotrexat med hjälp av Mann-Whitney U-testet
c p-värde är från den parvisa jämförelsen av monoterapi med adalimumab och monoterapi med metotrexat med hjälp av Mann-Whitney U-testet
Efter 52 veckors och 104 veckors behandling var procentandelen patienter utan progression (förändring från baslinjen med avseende på modifierad Total Sharp Score ≤ 0,5) signifikant högre med kombinationsbehandling med adalimumab/metotrexat (63,8 % respektive 61,2 %) jämfört med metotrexat som monoterapi (37,4 % respektive 33,5 %, p < 0,001) och adalimumab som monoterapi (50,7 %, p < 0,002 respektive 44,5 %, p < 0,001).
I den öppna förlängningen av RA-studie V var den genomsnittliga förändringen från baslinjen vid år 10 med avseende på modifierad Total Sharp Score 10,8, 9,2 och 3,9 hos patienter som ursprungligen randomiserades till monoterapi med metotrexat, monoterapi med adalimumab respektive kombinationsbehandling med adalimumab/metotrexat. Motsvarande andel patienter utan radiografisk progression var 31,3 %, 23,7 % respektive 36,7 %.
Livskvalitet och fysisk funktion
Hälsorelaterad livskvalitet och fysisk funktion bedömdes med hjälp av invaliditetsindexet i frågeformuläret för bedömning av hälsa (HAQ) i de fyra ursprungliga adekvata och välkontrollerade studierna, vilket var ett förspecificerat primärt resultatmått vid vecka 52 i RA-studie III. Alla doser/scheman för adalimumab i alla fyra studierna visade statistiskt signifikant större förbättring av funktionshinderindex i HAQ från baslinjen till månad 6 jämfört med placebo och i RA-studie III sågs samma sak vid vecka 52. Resultat från den kortfattade hälsoenkäten (Short Form Health Survey, SF 36) för alla doser/scheman för adalimumab i alla fyra studierna stödjer dessa fynd, med statistiskt signifikanta poäng för sammanfattning av fysiska komponenter (physical component summary, PCS), såväl som statistiskt signifikanta poäng för smärt- och vitalitetsdomäner för dosen på 40 mg varannan vecka. En statistiskt signifikant minskning av utmattning mätt genom funktionell bedömning av behandling av kronisk sjukdom (Functional Assessment of Chronic Illness Therapy, FACIT) sågs i alla tre studierna där den bedömdes (RA-studier I, III, IV).
I RA-studie III bibehöll de flesta patienter som uppnådde förbättring av fysisk funktion och fortsatte behandling förbättring till och med vecka 520 (120 månader) av öppenbehandling. Förbättring av livskvalitet mättes fram till vecka 156 (36 månader) och förbättringen bibehölls under denna tid.
I RA-studie V visade förbättringen av HAQ funktionshinderindex och den fysiska komponenten i SF 36 större förbättring (p < 0,001) för kombinationsbehandling med adalimumab/metotrexat jämfört med monoterapi med metotrexat och monoterapi med adalimumab vid vecka 52, vilken bibehölls till och med vecka 104. Bland de 250 patienter som fullföljde den öppna förlängningsstudien, bibehölls förbättringar i fysisk funktion under 10 års behandling.
Vuxna patienter med plackpsoriasis
Säkerheten och effekten med adalimumab studerades hos vuxna patienter med kronisk plackpsoriasis (≥ 10 % BSA-engagemang och index för omfattning och svårighetsgrad av psoriasis (Psoriasis Area and Severity Index, PASI) ≥ 12 eller ≥ 10) som var kandidater för systemisk behandling eller fototerapi i randomiserade, dubbelblinda studier. 73 % av patienterna som var inkluderade i psoriasisstudie I och II hade tidigare fått systemisk behandling eller fototerapi. Säkerhet och effekt med adalimumab studerades också hos vuxna patienter med måttlig till svår kronisk plackpsoriasis med samtidig hand- och/eller fotpsoriasis som var kandidater för systemisk behandling i en randomiserad dubbelblind studie (Psoriasisstudie III).
Psoriasisstudie I (REVEAL) utvärderade 1 212 patienter inom tre behandlingsperioder. I period A fick patienterna placebo eller adalimumab med en initial dos på 80 mg följt av 40 mg varannan vecka med början en vecka efter den initiala dosen. Efter 16 veckors behandling påbörjade patienter som uppnådde minst en PASI 75-respons (poängförbättring på PASI på minst 75 % i förhållande till baslinjen) period B och fick öppen behandling med 40 mg adalimumab varannan vecka. Patienter som bibehöll ≥PASI 75-respons vid vecka 33 och ursprungligen randomiserades till aktiv behandling i period A, återrandomiserades i period C för att få 40 mg adalimumab varannan vecka eller placebo i ytterligare 19 veckor. Över alla behandlingsgrupper var den genomsnittliga PASI-poängen vid baslinjen 18,9 och poängen för läkarens globala bedömning (Physician’s Global Assessment, PGA) vid baslinjen varierade från ”måttlig” (53 % av patienterna inkluderade) till ”svår” (41 %) till ”mycket svår” (6 %).
Psoriasisstudie II (CHAMPION) jämförde effekt och säkerhet med adalimumab jämfört med metotrexat och placebo hos 271 patienter. Patienterna fick placebo, en initial dos av MTX 7,5 mg och därefter dosökningar upp till vecka 12, med en maximal dos på 25 mg eller en initial dos på 80 mg adalimumab följt av 40 mg varannan vecka (med början en vecka efter den initiala dosen) i 16 veckor. Det finns inga data tillgängliga som jämför adalimumab och MTX efter 16 veckors behandling. Patienter som fick MTX och som uppnådde en ≥PASI 50-respons vid vecka 8 och/eller 12 fick inga ytterligare dosökningar. Över alla behandlingsgrupper var den genomsnittliga PASI-poängen vid baslinjen 19,7 och PGA-poängen vid baslinjen varierade från ”lindrig” (<1 %) till ”måttlig” (48 %) till ”svår” (46 %) till ”mycket svår” (6 %).
Patienter som deltog i alla fas 2- och fas 3-psoriasisstudier var lämpade att delta i en öppen förlängningsstudie där adalimumab gavs i minst ytterligare 108 veckor.
I psoriasisstudie I och II var ett primärt resultatmått den andel patienter som uppnådde en PASI 75-respons från baslinjen vid vecka 16 (se tabell 11 och 12).
Tabell 11
Ps-studie I (REVEAL) – effektresultat vid 16 veckor
Tabell 12
Ps-studie II (CHAMPION) – effektresultat vid 16 veckor
I psoriasisstudie I, upplevde 28 % av patienter med PASI 75-respons och återrandomiserades till placebo vid vecka 33 jämfört med 5 % som fortsatte med adalimumab, p < 0,001, “förlust av adekvat respons” (PASI-poäng efter vecka 33 och vid eller innan vecka 52 som ledde till en <PASI 50-respons relativ till baslinjen med minst en 6-poängsökning av PASI-poäng relativt till vecka 33). Av de patienter som förlorade adekvat respons efter återrandomisering till placebo och som sedan inkluderades i den öppna förlängningsstudien återfick 38 % (25/66) och 55 % (36/66) PASI 75-respons efter 12 respektive 24 veckors återbehandling.
Totalt 233 med PASI 75-respons vid vecka 16 och vecka 33 fick kontinuerlig behandling med adalimumab i 52 veckor i Psoriasisstudie I och fortsatte med adalimumab i den öppna förlängningsstudien. PASI 75 och PGA med klara eller minimala responsfrekvenser hos dessa patienter var 74,7 % respektive 59,0 % efter ytterligare 108 veckors med öppen behandling (totalt 160 veckor). I en analys där alla patienter som hoppade av studien för biverkningar eller utebliven effekt, eller som trappade upp dos, betraktades som icke-respons, var PASI 75 och PGA med klara eller minimala responsfrekvenser hos dessa patienter 69,6 % respektive 55,7 % efter ytterligare 108 veckor med öppen behandling (totalt 160 veckor).
Totalt 347 med stabil respons deltog i en utvärdering av utsättning och återbehandling i en öppen förlängningsstudie. Under utsättningsperioden återkom symtomen på psoriasis över tid med en mediantid till återfall (minskning till PGA ”måttlig” eller sämre) på cirka 5 månader. Ingen av dessa patienter upplevde rebound-effekt under utsättningsperioden. Totalt 76,5 % (218/285) av patienterna som påbörjade återbehandlingsperioden hade en PGA-respons som motsvarade ”klar” eller ”minimal” efter 16 veckors återbehandling, oavsett om de recidiverade under utsättningsperioden (69,1 % [123/178] respektive 88,8 % [95/107] för patienter som recidiverade respektive patienter som inte recidiverade under utsättningsperioden). En liknande säkerhetsprofil observerades under återbehandling som före utsättning.
Signifikanta förbättringar vid vecka 16 från baslinjen jämfört med placebo (Studie I och II) och MTX (Studie II) visades i index för dermatologisk livskvalitet (Dermatology Life Quality Index, DLQI). I Studie I var förbättringarna i de fysiska och mentala komponentsammanfattningspoängerna för SF-36 också signifikanta jämfört med placebo.
I en öppen förlängningsstudie, för patienter som fick en doshöjning från 40 mg varannan vecka till 40 mg varje vecka på grund av en PASI-respons under 50 %, uppnådde 26,4 % (92/349) och 37,8 % (132/349) av patienterna PASI 75-respons vid vecka 12 respektive vecka 24.
I psoriasisstudie III (REACH) jämfördes effekten och säkerheten med adalimumab med effekten och säkerheten med placebo hos 72 patienter med måttlig till svår kronisk plackpsoriasis samt hand- och/eller fotpsoriasis. Patienterna fick en initial dos på 80 mg adalimumab följt av 40 mg varannan vecka (med början en vecka efter den initiala dosen) eller placebo i 16 veckor. Vid vecka 16 uppnådde en statistiskt signifikant större andel av patienterna som fick adalimumab PGA ”klar” eller ”nästan klar” för händer och/eller fötter jämfört med patienter som fick placebo (30,6 % respektive 4,3 % [P = 0,014]).
I psoriasisstudie IV jämfördes effekt och säkerhet för adalimumab med placebo hos 217 vuxna patienter med måttlig till svår nagelpsoriasis. Patienterna fick en initial dos på 80 mg adalimumab följt av 40 mg varannan vecka (med början en vecka efter den initiala dosen) eller placebo i 26 veckor följt av öppen behandling i ytterligare 26 veckor. Bedömningar av nagelpsoriasis omfattade modifierat index för svårighetsgrad av nagelpsoriasis (Modified Nail Psoriasis Severity Index, mNAPSI), läkarens globala bedömning av fingernagelpsoriasis (Physician’s Global Assessment of Fingernail Psoriasis, PGA-F) och index för svårighetsgrad av nagelpsoriasis (Nail Psoriasis Severity Index, NAPSI) (se tabell 13). Adalimumab visade en behandlingsfördel hos nagelpsoriasispatienter med olika omfattning av hudengagemang (BSA ≥ 10 % (60 % av patienterna) och BSA < 10 % och ≥ 5 % (40 % av patienterna)).
Tabell 13
Effektresultat i Ps-studie IV vid 16, 26 och 52 veckor
Patienter som behandlades med adalimumab visade statistiskt signifikanta förbättringar vid vecka 26 jämfört med placebo på DLQI.
Crohns sjukdom hos vuxna
Säkerheten och effekten av adalimumab bedömdes hos över 1 500 patienter med måttlig till svår aktiv Crohns sjukdom (Crohns sjukdomsaktivitetsindex [Crohn’s Disease Activity Index, CDAI] ≥ 220 och ≤ 450) i randomiserade, dubbelblinda, placebokontrollerade studier. Samtidiga stabila doser av aminosalicylater, kortikosteroider och/eller immunmodulerande medel tilläts och 80 % av patienterna fortsatte att få minst ett av dessa läkemedel.
Induktion av klinisk remission (definierad som CDAI < 150) utvärderades i två studier, CD-studie I (CLASSIC I) och CD-studie II (GAIN). I CD-studie I randomiserades 299 TNF-antagonistnaiva patienter till en av fyra behandlingsgrupper: placebo vid vecka 0 och 2, 160 mg adalimumab vid vecka 0 och 80 mg vid vecka 2, 80 mg vid vecka 0 och 40 mg vid vecka 2 och 40 mg vid vecka 0 och 20 mg vid vecka 2. I CD-studie II randomiserades 325 patienter som hade förlorat respons till eller var intoleranta mot infliximab till att få antingen 160 mg adalimumab vid vecka 0 och 80 mg vid vecka 2 eller placebo vid vecka 0 och 2. Primära patienter med icke-respons exkluderades från studierna och därför utvärderades inte dessa patienter ytterligare.
Bibehållande av klinisk remission utvärderades i CD-studie III (CHARM). I CD-studie III fick 854 patienter öppen behandling med 80 mg vid vecka 0 och 40 mg vid vecka 2. Vid vecka 4 randomiserades patienterna till 40 mg varannan vecka, 40 mg varje vecka eller placebo med en total studielängd på 56 veckor. Patienter med klinisk respons (minskning av CDAI ≥ 70) vid vecka 4 stratifierades och analyserades separat från dem utan klinisk respons vid vecka 4. Nedtrappning av kortikosteroider tilläts efter vecka 8.
Induktion av remission och responsfrekvens för CD-studie I och CD-studie II presenteras i tabell 14.
Tabell 14
Induktion av klinisk remission och respons (procentandel patienter)
Alla p-värden är parvisa jämförelser av andel för adalimumab jämfört med placebo
*p < 0,001
**p <0,01
Liknande remissionsfrekvenser observerades för induktionsregimerna 160/80 mg och 80/40 mg vid vecka 8 och biverkningar observerades oftare i 160/80 mg-gruppen.
I CD-studie III, vid vecka 4, uppvisade 58% (499/854) av patienterna klinisk respons och utvärderades i den primära analysen. Av dem som uppvisade klinisk respons vid vecka 4 hade 48 % tidigare exponerats för andra TNF-antagonister. Bibehållande av remission och behandlingsrespons presenteras i tabell 15. Kliniska remissionsresultat förblev relativt konstanta oavsett tidigare exponering för TNF-antagonister.
Sjukdomsrelaterade sjukhusinläggningar och operationer minskade statistiskt signifikant med adalimumab jämfört med placebo vid vecka 56.
Tabell 15
Bibehållande av klinisk remission och respons (procentandel patienter)
*p < 0,001 för adalimumab jämfört med placebo parvisa jämförelser av andelar
**p < 0,02 för adalimumab jämfört med placebo parvisa jämförelser av andelar
a Av dem som får kortikosteroider vid baslinjen
Bland de patienter som inte uppvisade respons vid vecka 4, uppvisade 43 procent av patienterna som fick adalimumab som underhållsbehandling respons vid vecka 12 jämfört med 30 % av patienterna som fick underhållsbehandling med placebo. Dessa resultat tyder på att vissa patienter som inte uppvisat respons vid vecka 4 har nytta av fortsatt underhållsbehandling till och med vecka 12. Fortsatt behandling efter 12 veckor resulterade inte i signifikant fler responser (se avsnitt 4.2).
117/276 patienter från CD-studie I och 272/777 patienter från CD-studie II och III följdes under minst 3 år med öppen behandling med adalimumab. 88 respektive 189 patienter fortsatte att vara i klinisk remission. Klinisk respons (CR-100) bibehölls hos 102 respektive 233 patienter.
Livskvalitet
I CD-studie I och CD-studie II uppnåddes statistiskt signifikant förbättring av den totala poängen på det sjukdomsspecifika frågeformuläret för inflammatorisk tarmsjukdom (inflammatory bowel disease questionnaire, IBDQ) vid vecka 4 hos patienter som randomiserats till adalimumab 80/40 mg och 160/80 mg jämfört med placebo och sågs vid vecka 26 och 56 i CD-studie III såväl i grupperna som behandlades med adalimumab som grupperna som fick placebo.
Vuxna: Uveit
Säkerhet och effekt med adalimumab utvärderades hos vuxna patienter med icke-infektiös intermediär uveit, posterior uveit och panuveit, exklusive patienter med isolerad främre uveit, i två randomiserade, dubbelmaskerade, placebokontrollerade studier (UV I och II). Patienterna fick placebo eller adalimumab med en initial dos på 80 mg följt av 40 mg varannan vecka med början en vecka efter den initiala dosen. Samtidiga stabila doser av ett icke-biologiskt immunsuppressivt läkemedel tilläts.
Studie UV I utvärderade 217 patienter med aktiv uveit trots behandling med kortikosteroider (peroralt prednison vid en dos på 10 till 60 mg/dag). Alla patienter fick en standardiserad 2-veckorsdos med prednison 60 mg/dag vid inträde i studien följt av ett obligatoriskt nedtrappningsschema, med fullständigt kortikosteroidavbrott vid vecka 15.
Studie UV II utvärderade 226 patienter med inaktiv uveit som krävde kronisk kortikosteroidbehandling (peroralt prednison 10 till 35 mg/dag) vid baslinjen för att kontrollera deras sjukdom. Patienterna genomgick därefter ett obligatoriskt nedtrappningsschema, med fullständigt kortikosteroidavbrott vid vecka 19.
Det primära effektresultatmåttet i båda studierna var ”tid till behandlingssvikt”. Behandlingssvikt definierades av ett multikomponentutfall baserat på inflammatorisk korioretinala och/eller inflammatoriska retinala kärllesioner, cellgrad i främre kammaren (Anterior Chamber, AC), grumling i glaskroppen (vitreous haze, VH) och bästa korrigerade synskärpa (best corrected visual acuity, BCVA).
Patienter som fullföljde studie UV I och UV II var lämpade att inkluderas i en okontrollerad långvarig förlängningsstudie med en ursprungligen planerad varaktighet på 78 veckor. Patienterna tilläts fortsätta med studieläkemedlet efter vecka 78 tills de hade tillgång till adalimumab.
Klinisk respons
Resultat från båda studierna visade en statistiskt signifikant minskning av risk för behandlingssvikt hos patienter som behandlades med adalimumab jämfört med patienter som fick placebo (se tabell 16). Båda studierna visade en tidig och bibehållen effekt från adalimumab på frekvensen av behandlingssvikt jämfört med placebo (se figur 1).
Tabell 16.
Tid till behandlingssvikt i studie UV I och UV II
Obs! Behandlingssvikt vid eller efter vecka 6 (studie UV I), eller vid eller efter vecka 2 (studie UV II), räknades som händelse. Avhopp på grund av andra orsaker än behandlingssvikt censurerades vid tidpunkten för avhoppet.
a Riskkvot för adalimumab jämfört med placebo från proportionell riskregression med behandling som faktor.
b 2-sidigt P-värde från log rank-test.
c NE = ej uppskattningsbar (not estimable). Färre än hälften av patienterna i riskzonen hade en händelse.
Figur 1: Kaplan-Meier-kurvor som sammanfattar tid till behandlingsvikt på eller efter vecka 6 (studie UV I) eller vecka 2 (studie UV II)
Obs! P# = Placebo (antal händelser/antal i riskzonen); A# = adalimumab (antal händelser/antal i riskzonen).
I studie UV I observerades statistiskt signifikanta skillnader till fördel för adalimumab jämfört med placebo för varje komponent av behandlingssvikt. I studie UV II observerades statistiskt signifikanta skillnader endast för synskärpa, men de andra komponenterna var numeriskt till fördel för adalimumab.
Av de 424 patienter som ingick i den okontrollerade långvariga förlängningen av studie UV I och UV II, ansågs 60 patienter vara olämpliga (t.ex. på grund av avvikelser eller på grund av komplikationer sekundärt till diabetisk retinopati, på grund av starrkirurgi eller vitrektomi) och exkluderades från den primära effektanalysen. Av de 364 återstående patienterna uppnådde 269 utvärderbara patienter (74 %) 78 veckors öppen behandling med adalimumab. Baserat på metod med observation av data var 216 (80,3 %) i vila (inga aktiva inflammatoriska lesioner, AC-cellgrad ≤ 0,5+, VH-grad ≤ 0,5+) med en samtidig steroiddos på ≤ 7,5 mg per dag, och 178 (66,2 %) i steroidfri vila. BCVA antingen förbättrades eller bibehölls (< 5 bokstävers försämring) för 88,6 % av ögonen vid vecka 78. Data efter vecka 78 överensstämde i allmänhet med dessa resultat men antalet inkluderade patienter minskade efter denna tid. Sammantaget, av de patienter som avbröt studien, avbröt 18 % deltagande på grund av biverkningar och 8 % på grund av otillräcklig respons på behandling med adalimumab.
Livskvalitet
Patientrapporterade utfall avseende synrelaterad funktion mättes i båda kliniska studier med hjälp av Nationella institutets frågeformulär med 25 frågor om visuell funktion (National Eye Institute 25-Item Visual Function Questionnaire, NEI VFQ-25). Adalimumab hade numeriskt fördel för majoriteten av delpoängerna med statistiskt signifikanta medelskillnader för allmän syn, ögonsmärta, närseende, psykisk hälsa och totalpoäng i studie UV I, och för allmän syn och psykisk hälsa i studie UV II. Synrelaterade effekter var inte numeriskt fördelaktigt för adalimumab för färgseende i studie UV I eller för färgseende, perifer syn och närseende i studie UV II.
Immungenicitet
Bildning av anti-adalimumab antikroppar är sammankopplad med ökad clearance och minskad effekt av adalimumab. Det finns ingen tydlig korrelation mellan anti-adalimumab antikroppar och förekomsten av biverkningar.
Hos patienter med polyartikulär juvenil idiopatisk artrit som var 4-17 år, identifierades anti-adalimumab antikroppar hos 15,8% (27/171) av patienter som behandlades med adalimumab. Hos patienter som inte samtidigt fick metotrexat, var incidensen 25,6% (22/86) jämfört med 5,9% (5/85) då adalimumab gavs som tillägg till metotrexat. Hos patienter med polyartikulär juvenil idiopatisk artrit som var 2 till <4 år eller 4 år och äldre med en kroppsvikt <15 kg, identifierades anti-adalimumab antikroppar hos 7% (1/15) av patienterna och den patienten fick samtidig metotrexat-behandling.
Hos patienter med entesitrelaterad artrit, identifierades anti-adalimumab antikroppar hos 10,9% (5/46) av patienterna som behandlades med adalimumab. Hos patienter som inte samtidigt fick metotrexat, var incidensen 13,6% (3/22), jämfört med 8,3% (2/24) då adalimumab gavs som tillägg till metotrexat.
Patienter i reumatoid artrit-studie I, II och III testades vid ett flertal tidpunkter för anti-adalimumab antikroppar under perioden 6 till 12 månader. I de pivotala studierna identifierades anti-adalimumab antikroppar hos 5,5% (58/1053) av adalimumab-behandlade patienter i jämförelse med 0,5% (2/370) för placebo. Hos patienter som inte samtidigt gavs metotrexat var incidensen 12,4% i jämförelse med 0,6% då adalimumab användes som tillägg till metotrexat.
Hos pediatriska patienter med psoriasis identifierades anti-adalimumab antikroppar hos 5/38 patienter (13%) som behandlats med 0,8 mg/kg adalimumab som monoterapi.
Hos vuxna patienter med psoriasis identifierades anti-adalimumab antikroppar hos 77/920 patienter (8,4%) som behandlats med adalimumab som monoterapi.
Hos vuxna patienter med plackpsoriasis som stod på långtidsbehandling med adalimumab som monoterapi och som deltog i en utsättnings- och återbehandlingsstudie, var förekomsten av antikroppar mot adalimumab efter återbehandlingen (11 av 482 patienter, 2,3%) liknande den som sågs innan utsättandet (11 av 590 patienter, 1,9%).
Hos pediatriska patienter med måttlig till svår aktiv Crohns sjukdom utvecklades anti-adalimumab antikroppar hos 3,3% av patienter som behandlats med adalimumab.
Hos vuxna patienter med Crohns sjukdom identifierades anti-adalimumab antikroppar hos 7/269 patienter (2,6%).
Hos vuxna patienter med icke-infektiös uveit identifierades anti-adalimumab antikroppar hos 4,8% (12/249) av patienterna som behandlats med adalimumab.
Eftersom immunogenicitetsanalyser är produktspecifika, är en jämförelse med antikroppsförekomst från andra produkter inte tillämpbar.
Pediatrisk population
Juvenil idiopatisk artrit (JIA)
Polyartikulär juvenil idiopatisk artrit (pJIA)
Säkerheten och effekten av adalimumab utvärderades i två studier (pJIA I och II) hos barn med aktiv polyartikulär eller polyartikulär juvenil idiopatisk artrit, som hade en mängd olika JIA-debuttyper (oftast reumatoid faktor-negativ eller positiv polyartrit och förlängd oligoartrit).
pJIA I
Säkerheten och effekten av adalimumab utvärderades i en randomiserad, dubbelblind, parallellgrupperad multicenterstudie hos 171 barn (4-17 år) med polyartikulär JIA. I den öppna inledningsfasen (Open Label Lead In, OL LI) stratifierades patienterna till två grupper, MTX-behandlade (metotrexatbehandlade) eller icke-MTX-behandlade. Patienter som befann sig i icke-MTX-stratumet var antingen MTX-naiva eller hade avbrutit MTX minst två veckor före administrering av studieläkemedel. Patienterna stod kvar på stabila doser av NSAID:er och/eller prednison (≤ 0,2 mg/kg/dag eller högst 10 mg/dag). I OL LI-fasen fick alla patienter 24 mg/m2 upp till maximalt 40 mg adalimumab varannan vecka i 16 veckor. Fördelningen av patienter efter ålder och minimi-, median- och maximidos som erhölls under OL LI-fasen presenteras i tabell 17.
Tabell 17
Fördelning av patienter enligt ålder och adalimumabdos som erhållits under OL LI-fasen
Patienter som uppvisade en pediatrisk ACR 30-respons vid vecka 16 var lämpade att randomiseras till den dubbelblinda (DB) fasen och fick antingen 24 mg/m2 adalimumab upp till maximalt 40 mg, eller placebo varannan vecka i ytterligare 32 veckor eller tills sjukdomsskov. Kriterier för sjukdomsskov definierades som en försämring på ≥ 30 % från baslinjen i ≥ 3 av 6 kärnkriterier för pediatrisk ACR, ≥ 2 aktiva leder och en förbättring på > 30 % för högst 1 av 6 kriterier. Efter 32 veckor eller vid sjukdomsskov var patienterna lämpade att inkluderas i den öppna förlängningsfasen.
Tabell 18
Ped ACR 30-responser i JIA-studien
a Ped ACR 30/50/70-responser vecka 48 signifikant större än hos placebobehandlade patienter
b p = 0,015
c p = 0,031
Bland dem med respons vid vecka 16 (n = 144) kvarstod den pediatriska ACR 30/50/70/90-responsen i upp till sex år i den öppna förlängningsfasen hos patienter som fick adalimumab under hela studien. Totalt 19 patienter, varav 11 i åldersgruppen 4 till 12 år vid baslinjen och 8 i åldersgruppen 13 till 17 år vid baslinjen, behandlades 6 år eller längre.
Responserna var generellt bättre och färre patienter utvecklade antikroppar vid behandling med kombinationen adalimumab och MTX jämfört med adalimumab ensamt. Med hänsyn till dessa resultat rekommenderas Yuflyma för användning i kombination med MTX och för användning som monoterapi hos patienter för vilka MTX inte är lämpligt (se avsnitt 4.2).
pJIA II
Säkerheten och effekten av adalimumab utvärderades i en öppen multicenterstudie hos 32 barn
(2 - < 4 år eller 4 år och äldre som väger < 15 kg) med måttlig till svår aktiv polyartikulär JIA. Patienterna fick 24 mg/m2 kroppsyta (Body Surface Area, BSA) adalimumab upp till maximalt 20 mg varannan vecka som en singeldos via subkutan injektion under minst 24 veckor. Under studien använde de flesta patienter metotrexat samtidigt, med färre patienter som rapporterade användning av kortikosteroider eller NSAID:er.
Vid vecka 12 och vecka 24 var PedACR30-responsen 93,5 % respektive 90,0 % med hjälp av metod med observation av data. Andelen patienter med PedACR50/70/90 vid vecka 12 och vecka 24 var 90,3 %/61,3 %/38,7 % respektive 83,3 %/73,3 %/36,7 %. Bland dem med respons (pediatrisk ACR 30) vid vecka 24 (n = 27 av 30 patienter) bibehölls de pediatriska ACR 30-responserna i upp till 60 veckor i den öppna förlängningsfasen hos patienter som fick adalimumab under hela denna tidsperiod. Totalt behandlades 20 patienter i 60 veckor eller längre.
Entesitrelaterad artrit
Säkerheten och effekten av adalimumab utvärderades i en randomiserad, dubbelblind multicenterstudie hos 46 pediatriska patienter (6 till 17 år) med måttlig entesitrelaterad artrit. Patienterna randomiserades till att få antingen 24 mg/m2 kroppsyta (BSA) adalimumab upp till maximalt 40 mg, eller placebo varannan vecka i 12 veckor. Den dubbelblinda perioden följs av en öppen period (Open Label, OL) under vilken patienterna fick 24 mg/m2 BSA av adalimumab upp till maximalt 40 mg varannan vecka subkutant i upp till ytterligare 192 veckor. Det primära resultatmåttet var den procentuella förändringen från baslinjen till vecka 12 i antalet aktiva leder med artrit (svullnad som inte berodde på deformitet eller leder med rörelseförlust plus smärta och/eller ömhet), vilket uppnåddes med en genomsnittlig procentuell minskning på - 62,6 % (median procentuell förändring -88,9 %) hos patienter i adalimumabgruppen jämfört med -11,6 % (median procentuell förändring -50,0 %) hos patienter i placebogruppen. Förbättringen av antalet aktiva leder med artrit bibehölls under OL till och med vecka 156 för 26 av 31 (84 %) patienter i adalimumabgruppen som var kvar i studien. Även om det inte var statistiskt signifikant uppvisade majoriteten av patienterna klinisk förbättring med avseende på sekundära resultatmått såsom antal ställen med entesit, antal ömma leder (Tender Joint Count, TJC), antal svullna leder (Swollen joint Count, SJC), pediatrisk ACR 50-respons och pediatrisk ACR 70-respons.
Pediatrisk plackpsoriasis
Effekten av adalimumab utvärderades i en randomiserad, dubbelblind, kontrollerad studie av 114 pediatriska patienter från 4 års ålder med svår kronisk plackpsoriasis (definierat som PGA ≥ 4 eller > 20 % BSA-engagemang eller > 10 % BSA-engagemang med mycket tjocka lesioner eller PASI ≥ 20 eller ≥ 10 med kliniskt relevant ansikts-, köns- eller hand-/fotengagemang) som var otillräckligt kontrollerade med topikal behandling och helioterapi eller fototerapi.
Patienterna fick adalimumab 0,8 mg/kg varannan vecka (upp till 40 mg), 0,4 mg/kg varannan vecka (upp till 20 mg) eller metotrexat 0,1-0,4 mg/kg varannan vecka (upp till 25 mg). Vid vecka 16 hade fler patienter som randomiserats till adalimumab 0,8 mg/kg en positiv effektrespons (t.ex. PASI 75) än de som randomiserats till 0,4 mg/kg varannan vecka eller metotrexat.
Tabell 19
Effektresultat för pediatrisk plackpsoriasis efter 16 veckor
Patienter som uppnådde PASI 75 och PGA klar eller minimal avbröts från behandlingen i upp till
36 veckor och övervakades för förlust av sjukdomskontroll (dvs. en försämring av PGA med minst 2 grader). Patienterna behandlades sedan på nytt med adalimumab 0,8 mg/kg varannan vecka i ytterligare 16 veckor och responsfrekvenser som observerades under återbehandling var liknande med dem under den föregående dubbelblinda perioden: PASI 75-respons på 78,9 %
(15 av 19 patienter) och PGA klar eller minimal hos 52,6 % (10 av 19 patienter).
I den öppna perioden av studien, bibehölls PASI 75-responser och PGA klar eller minimal i upp till ytterligare 52 veckor utan några nya säkerhetsfynd.
Pediatrisk Crohns sjukdom
Adalimumab utvärderades i en randomiserad, dubbelblind, klinisk multicenterstudie utformad för att utvärdera effekt och säkerhet av induktions- och underhållsbehandling med doser som är beroende av kroppsvikt (< 40 kg eller ≥ 40 kg) hos 192 pediatriska patienter i åldrarna 6 och 17 år (inklusive) med måttlig till svår Crohns sjukdom (Crohns) definierad som poäng på sjukdomsaktivitetsindex för pediatrisk Crohns sjukdom (Paediatric Crohn's Disease Activity Index, PCDAI) > 30 poäng. Patienterna var tvungna att ha fått konventionell behandling som misslyckats (inklusive en kortikosteroid och/eller en immunmodulator) för Crohns sjukdom. Patienter kan också ha tidigare förlorat respons till eller varit intoleranta mot infliximab.
Alla patienter fick öppen induktionsbehandling med en dos baserad på deras kroppsvikt vd baslinjen: 160 mg vid vecka 0 och 80 mg vid vecka 2 för patienter ≥ 40 kg och 80 mg respektive 40 mg för patienter
< 40 kg
Vid vecka 4 randomiserades patienterna i förhållandet 1:1 baserat på sin kroppsvikt vid den tidpunkten till underhållsregimerna med antingen låg dos eller standarddos som det visas i tabell 20.
Tabell 20 Underhållsregim
Effektresultat
Studiens primära resultatmått var klinisk remission vid vecka 26, definierat som PCDAI-poäng ≤ 10.
Frekvenser för klinisk remission och klinisk respons (definierat som en minskning av PCDAI-poäng med minst 15 poäng från baslinjen) presenteras i tabell 21. Frekvensen för utsättande av kortikosteroider eller immunmodulerare presenteras i tabell 22.
p-värde för jämförelse av standarddos jämfört med lågdos.
Immunsuppressiv behandling kunde endast avbrytas vid eller efter vecka 26 enligt prövarens bedömning om patienten uppfyllde det kliniska responskriteriet
definierat som en stängning av alla dränerande fistlar vid baslinjen under minst 2 på varandra följande besök efter baslinjen
Statistiskt signifikanta ökningar (förbättring) från baslinjen till vecka 26 och 52 i BMI och längdhastighet observerades för båda behandlingsgrupperna.
Statistiskt och kliniskt signifikanta förbättringar från baslinjen observerades också i båda behandlingsgrupperna för livskvalitetsparametrar (inklusive IMPACT III).
Etthundra patienter (n=100) från den pediatriska CD-studien fortsatte i en öppen långvarig förlängningsstudie. Efter fem års behandling med adalimumab fortsatte 74,0% (37/50) av de 50 patienter som var kvar i studien att vara i klinisk remission och 92,0% (46/50) av patienterna fortsatte ha klinisk respons enligt PCDAI.
Pediatrisk uveit
Säkerheten och effekten av adalimumab utvärderades i en randomiserad, dubbelmaskerad, kontrollerad studie med 90 pediatriska patienter från 2 till < 18 års ålder med aktiv JIA-förknippad icke-infektiös främre uveit som var refraktär mot minst 12 veckors metotrexatbehandling. Patienterna fick antingen placebo eller 20 mg adalimumab (om < 30 kg) eller 40 mg adalimumab (om ≥ 30 kg) varannan vecka i kombination med sin dos vid baslinjen med metotrexat.
Det primära resultatmåttet var ”tid till behandlingssvikt”. Kriterierna för att fastställa behandlingssvikt var försämring eller ihållande icke-förbättring av okulär inflammation, partiell förbättring med utveckling av ihållande okulär komorbiditet eller försämring av okulära komorbiditeter, icke-tillåten användning av samtidiga läkemedel, och behandlingsuppehåll under en längre tidsperiod.
Klinisk respons
Adalimumab fördröjde signifikant tiden till behandlingssvikt, jämfört med placebo (se figur 2, P < 0,0001 från log-ranktest). Mediantiden till behandlingssvikt var 24,1 veckor för patienter som behandlades med placebo, medan mediantiden till behandlingssvikt inte var uppskattningsbar för patienter som behandlades med adalimumab eftersom mindre än hälften av dessa patienter upplevde behandlingssvikt. Adalimumab minskade signifikant risken för behandlingssvikt med 75 % i jämförelse med placebo, vilket visas av riskkvoten (hazard ratio, HR) (HR = 0,25 [95 % KI: 0,12, 0,49]).
Figur 2: Kaplan-Meier-kurvor som sammanfattar tid till behandlingssvikt i den pediatriska uveitstudien
Obs! P = Placebo (antal i riskzonen); A = Adalimumab (antal i riskzonen).
Absorption och distribution
Efter administrering av 24 mg/m2 (maximalt 40 mg) subkutant varannan vecka till patienter med polyartikulär juvenil idiopatisk artrit (JIA) som var 4 till 17 år var genomsnittligt värde för dalkoncentrationen vid steady-state (mätt från vecka 20 till 48) för adalimumab i serum 5,6 ± 5,6 μg/ml (102 % CV) för adalimumab utan samtidig metotrexat och 10,9 μg ± 5,2 (47,7 % CV) med samtidig metotrexat.
Hos patienter med polyartikulär JIA som var 2 till < 4 år gamla eller 4 år eller äldre och vägde < 15 kg, som fick dosen adalimumab 24 mg/m2, var medelvärdet för dalkoncentrationen av adalimumab i serum vid steady-state 6,0 ± 6,1 μg/ml (101 % CV) för adalimumab utan samtidig metotrexat och 7,9 ± 5,6 μg/ml (71,2 % CV) med samtidig metotrexat.
Efter administrering av 24 mg/m2 (maximalt 40 mg) subkutant varannan vecka till patienter med entesitrelaterad artrit som var 6 till 17 år var genomsnittligt värde för dalkoncentrationen vid steady-state (värden mätta vid vecka 24) för adalimumab i serum 8,8 ± 6,6 μg/ml för adalimumab utan samtidig metotrexat och 11,8 μg ± 4,3 μg/ml med samtidig metotrexat.
Efter administrering av 0,8 mg/kg (maximalt 40 mg) subkutant varannan vecka till pediatriska patienter med kronisk plackpsoriasis var medelvärdet ± standardavvikelse för dalkoncentrationen av adalimumab vid steady-state cirka 7,4 ± 5,8 μg/ml (79 % CV).
Hos pediatriska patienter med måttlig till svår Crohns sjukdom var induktionsdosen av adalimumab vid öppen behandling 160/80 mg eller 80/40 mg vid vecka 0 respektive 2, beroende av en kroppsviktsgräns på 40 kg. Vid vecka 4 randomiserades patienterna i förhållandet 1:1 till antingen standarddos för underhållsbehandling (40/20 mg varannan vecka) eller lågdos (20/10 mg varannan vecka) baserat på deras kroppsvikt. Medelvärde (± standardavvikelse) för dalkoncentrationer av adalimumab i serum som uppnåddes vid vecka 4 var 15,7 ± 6,6 μg/ml för patienter ≥ 40 kg (160/80 mg) och 10,6 ± 6,1 μg/ml för patienter < 40 kg (80/40 mg).
För patienter som stod kvar på sin randomiserade behandling var medelvärdet (± standardavvikelse) för dalkoncentrationerna av adalimumab vid vecka 52 9,5 ± 5,6 μg/ml för standarddosgruppen och 3,5 ± 2,2 μg/ml för lågdosgruppen. Medelvärdet för dalkoncentrationerna bibehölls hos patienter som fortsatte att få behandling med adalimumab i 52 veckor. För patienter som fick upptrappad dos från varannan vecka till varje vecka var medelvärdet (± standardavvikelse) för serumkoncentrationer av adalimumab vid vecka 52 15,3 ± 11,4 μg/ml (40/20 mg, varje vecka) och 6,7 ± 3,5 μg/ml (20/10 mg, varje vecka).
Exponeringen för adalimumab hos patienter med pediatrisk uveit förutsågs med hjälp av populationsfarmakokinetisk modellering och simulering baserat på korsindikationsfarmakokinetik hos andra pediatriska patienter (pediatrisk psoriasis, juvenil idiopatisk artrit, pediatrisk Crohns sjukdom och entesitrelaterad artrit). Inga kliniska exponeringsdata finns tillgängliga för användning av en laddningsdos hos barn < 6 år. De förutspådda exponeringarna indikerar att i frånvaro av metotrexat kan en laddningsdos leda till en initial ökning av systemisk exponering.
Exponerings-responsförhållande i pediatrisk population
Baserat på data från kliniska prövningar hos patienter med JIA (pJIA och entesitrelaterad artrit) fastställdes ett exponerings-responsförhållande mellan plasmakoncentrationer och PedACR 50-respons. Den uppenbara plasmakoncentrationen av adalimumab som ger halva den maximala sannolikheten för PedACR 50-respons (EC50) var 3 μg/ml (95 % KI: 1-6 μg/ml).
Exponerings-responsförhållande mellan adalimumabkoncentration och effekt hos pediatriska patienter med svår kronisk plackpsoriasis fastställdes för PASI 75 respektive PGA klar eller minimal. PASI 75 och PGA klar eller minimal ökade med ökande adalimumabkoncentrationer, båda med en liknande uppenbar EC50 på cirka 4,5 μg/ml (95 % KI 0,4–47,6 respektive 1,9–10,5).
Vuxna
Efter subkutan administrering av en singeldos på 40 mg var absorptionen och distributionen av adalimumab långsam, och maximala serumkoncentrationer uppnåddes cirka fem dagar efter administrering. Den genomsnittliga absoluta biotillgängligheten för adalimumab uppskattad från tre studier efter en 40 mg subkutan singeldos var 64 %. Efter intravenösa singeldoser på mellan 0,25 och 10 mg/kg var koncentrationerna dosproportionella. Efter doser på 0,5 mg/kg (ca 40 mg) varierade clearance mellan 11 och 15 ml/timme, distributionsvolymen (Vss) varierade från 5 till 6 liter och den genomsnittliga terminalfashalveringstiden var cirka två veckor. Koncentrationerna av adalimumab i synovialvätska från flera patienter med reumatoid artrit varierade mellan 31-96 % av koncentrationerna i serum.
Efter subkutan administrering av 40 mg adalimumab varannan vecka till vuxna patienter med reumatoid artrit (RA) var medelvärdet för dalkoncentrationen vid steady-state cirka 5 μg/ml (utan samtidig metotrexat) respektive 8 till 9 μg/ml (med samtidig metotrexat). Dalvärdena för adalimumab i serum vid steady-state ökade i stort sett proportionellt med dosen efter subkutan dosering med 20, 40 och 80 mg varannan vecka och varje vecka.
Hos vuxna patienter med psoriasis var medelvärdet för dalkoncentrationen vid steady-state 5 μg/ml vid monoterapi med adalimumab 40 mg varannan vecka.
Hos patienter med Crohns sjukdom uppnår laddningsdosen 80 mg adalimumab vid vecka 0 följt av 40 mg adalimumab vid vecka 2 dalkoncentrationer av adalimumab i serum på cirka 5,5 μg/ml under induktionsperioden. En laddningsdos på 160 mg adalimumab vid vecka 0 följt av 80 mg adalimumab vid vecka 2 uppnår dalkoncentrationer av adalimumab på cirka 12 μg/ml under induktionsperioden. Medelvärde för dalkoncentrationer vid steady-state på cirka 7 μg/ml observerades hos patienter med Crohns sjukdom som fick en underhållsdos på 40 mg adalimumab varannan vecka.
Hos vuxna patienter med uveit resulterade en laddningsdos på 80 mg adalimumab vid vecka 0 följt av 40 mg adalimumab varannan vecka med början vid vecka 1 i ett medelvärde för steady-state-koncentrationer på cirka 8 till 10 μg/ml.
Populationsfarmakokinetisk och farmakokinetisk/farmakodynamisk modellering och simulering förutspådde jämförbar exponering för och effekt av adalimumab hos patienter behandlade med 80 mg varannan vecka jämfört med 40 mg varje vecka (inklusive vuxna patienter med RA, HS, ulcerös kolit, Crohns sjukdom eller Ps, patienter med HS i ungdomsålder och pediatriska patienter ≥ 40 kg med CD och UC).
Eliminering
Populationsfarmakokinetiska analyser med data från över 1 300 RA-patienter visade en trend mot högre uppenbar clearance av adalimumab med ökande kroppsvikt. Efter justering för viktskillnader verkade kön och ålder ha en minimal effekt på adalimumabs clearance. Serumnivåerna av fritt adalimumab (inte bundet till anti-adalimumab-antikroppar, AAA) observerades vara lägre hos patienter med mätbara AAA.
Nedsatt lever- eller njurfunktion
Adalimumab har inte studerats hos patienter med nedsatt lever- eller njurfunktion.
Gängse studier avseende säkerhetsfarmakologi, allmäntoxicitet, gentoxicitet, karcinogenicitet, reproduktionseffekter och effekter på utveckling visade inte några särskilda risker för människa.
En embryofetal utvecklingstoxicitets-/perinatal utvecklingsstudie har utförts på cynomolgusapormed doser på 0, 30 och 100 mg/kg (9-17 apor/grupp) och inga tecken på fosterskador beroende av adalimumab, kunde påvisas. Varken carcinogenicitetsstudier eller standardbedömning av fertilitet och postnatal toxicitet har genomförts med adalimumab, på grund av att lämpliga modeller saknas för en antikropp med begränsad korsreaktivitet med gnagar-TNF och bildandet av neutraliserande antikroppar i gnagare.
Yuflyma 20 mg injektionsvätska, lösning i förfylld spruta
Injektionsvätska, lösning, i en förfylld spruta (typ I glas) med en kolv (bromobutyl gummi) och en nål med ett nålhätta (termoplastisk elastomer).
Förpackningar med:
1 förfylld spruta (0,2 ml steril lösning) med 2 spritsuddar.
2 förfyllda sprutor (0,2 ml steril lösning) med 2 spritsuddar.
Eventuellt kommer inte alla förpackningsstorlekar att marknadsföras.
Ej använt läkemedel och avfall ska kasseras enligt gällande anvisningar.
Ättiksyra
Natriumacetattrihydrat
Glycin
Polysorbat 80
Vatten för injektionsvätskor
Då blandbarhetsstudier saknas får detta läkemedel inte blandas med andra läkemedel.
3 år
Förvaras i kylskåp (2 °C – 8 °C). Får ej frysas.
Förvara den förfyllda sprutan i ytterkartongen. Ljuskänsligt.
En förfylld spruta med Yuflyma kan förvaras vid temperaturer på maximalt 25 °C i upp till 31 dagar. Den förfyllda sprutan måste skyddas från ljus och kasseras om den inte använts inom 31-dagarsperioden.
Yuflyma 20 mg injektionsvätska, lösning i förfylld spruta
Injektionsvätska, lösning, i en förfylld spruta (typ I glas) med en kolv (bromobutyl gummi) och en nål med ett nålhätta (termoplastisk elastomer).
Förpackningar med:
1 förfylld spruta (0,2 ml steril lösning) med 2 spritsuddar.
2 förfyllda sprutor (0,2 ml steril lösning) med 2 spritsuddar.
Eventuellt kommer inte alla förpackningsstorlekar att marknadsföras.
Ej använt läkemedel och avfall ska kasseras enligt gällande anvisningar.
Produktresumén är företagets information om läkemedlet riktat till förskrivare och personal inom sjukvård och apotek. Dokumentet är godkända av Läkemedelsverket eller den europeiska läkemedelsmyndigheten EMA i samband med att läkemedlet godkänns för marknadsföring.