Zilbrysq 16,6 mg injektionsvätska, lösning i förfylld spruta
Zilbrysq 23 mg injektionsvätska, lösning i förfylld spruta
Zilbrysq 32,4 mg injektionsvätska, lösning i förfylld spruta
Zilbrysq 16,6 mg injektionsvätska, lösning i förfylld spruta
Varje förfylld spruta innehåller zilukoplannatrium motsvarande 16,6 mg zilukoplan i 0,416 ml (40 mg/ml).
Zilbrysq 23 mg injektionsvätska, lösning i förfylld spruta
Varje förfylld spruta innehåller zilukoplannatrium motsvarande 23 mg zilukoplan i 0,574 ml (40 mg/ml).
Zilbrysq 32,4 mg injektionsvätska, lösning i förfylld spruta
Varje förfylld spruta innehåller zilukoplannatrium motsvarande 32,4 mg zilukoplan i 0,810 ml (40 mg/ml).
För fullständig förteckning över hjälpämnen, se avsnitt 6.1.
Injektionsvätska, lösning (injektionsvätska)
Lösningen är klar till lätt opaliserande och färglös, fri från synliga partiklar. Lösningens pH-värde och osmolalitet är cirka 7,0 respektive 300 mOsm/kg.
UCB Pharma S.A.
Allée de la Recherche 60
B‑1070 Bruxelles
Belgien
Zilbrysq 16,6 mg injektionsvätska, lösning i förfylld spruta
EU/1/23/1764/001
EU/1/23/1764/002
Zilbrysq 23 mg injektionsvätska, lösning i förfylld spruta
EU/1/23/1764/003
EU/1/23/1764/004
Zilbrysq 32,4 mg injektionsvätska, lösning i förfylld spruta
EU/1/23/1764/005
EU/1/23/1764/006
Första godkännandet: 1 december 2023
05/2024 Ytterligare information om detta läkemedel finns på Europeiska läkemedelsmyndighetens webbplats http://www.ema.europa.eu.
Zilukoplan har inte studerats hos patienter med gMG klass V enligt Myasthenia Gravis Foundation of America (MGFA).
Missad dos
Om en dos missas ska den administreras samma dag, varefter normal dosering ska fortsätta följande dag. Högst en dos ska administreras per dag.
Särskilda populationer
Äldre
Ingen dosjustering krävs hos äldre patienter (se avsnitt 5.2). Erfarenheten av zilukoplan hos äldre patienter i kliniska studier är begränsad.
Nedsatt njurfunktion
Ingen dosjustering krävs för patienter med nedsatt njurfunktion (kreatininclearance ≥ 15 ml/min). Det finns inga data om patienter som behöver dialys.
Nedsatt leverfunktion
Ingen dosjustering krävs för patienter med lätt och måttligt nedsatt leverfunktion (Child-Pugh-poäng på 9 eller lägre).
Säkerhet och effekt för Zilbrysq för patienter med svår leverfunktionsnedsättning har inte fastställts. Ingen doseringsrekommendation kan göras (se avsnitt 5.2).
Pediatrisk population
Säkerhet och effekt för Zilbrysq hos barn under 18 år har inte fastställts. Inga data finns tillgängliga.
Administreringssätt
Detta läkemedel administreras genom subkutan injektion.
Lämpliga injektionsställen omfattar framsidan av låren, buken och baksidan av överarmarna.
Injektionsställena ska roteras och injektioner ska inte ges i områden där huden är öm, erytematös, har blåmärken eller förhårdnader, eller där huden har ärr eller bristningar.
Zilbrysq är avsett att självadministreras av patienten och/eller en annan person som har fått lämplig utbildning i att administrera subkutana injektioner och som följer de detaljerade anvisningar som ges i bruksanvisningen i slutet av bipacksedeln.
Överkänslighet mot den aktiva substansen eller mot något hjälpämne som anges i avsnitt 6.1.
Patienter som för närvarande inte är vaccinerade mot Neisseria meningitidis (se avsnitt 4.4).
Patienter med pågående Neisseria meningitidis-infektion.
Neisseria-infektioner
Meningokockinfektion
På grund av dess verkningsmekanism kan användning av zilukoplan öka patientens mottaglighet för infektioner med Neisseria meningitidis. Som en försiktighetsåtgärd måste alla patienter vaccineras mot meningokockinfektioner, minst 2 veckor före behandlingsstart.
Om behandlingen behöver påbörjas mindre än 2 veckor efter vaccination mot meningokockinfektioner, måste patienten få lämplig profylaktisk antibiotikabehandling fram till 2 veckor efter den första vaccinationsdosen. Meningokockvacciner minskar men eliminerar inte helt risken för meningokockinfektioner.
Vacciner mot serogrupperna A, C, Y och W, samt om tillgängligt, serogrupp B, rekommenderas för att förhindra de allmänt patogena meningokockserogrupperna. Vaccination och profylaktisk antibiotikabehandling ska ske enligt de mest aktuella relevanta riktlinjerna.
Under behandlingen ska patienterna övervakas för tecken och symtom på meningokockinfektion och utvärderas omedelbart om infektion misstänks. Vid misstänkt meningokockinfektion ska lämpliga åtgärder, som antibiotikabehandling och utsättning av behandling, vidtas tills meningokockinfektion kan uteslutas. Patienter ska instrueras att omedelbart söka medicinsk rådgivning om tecken eller symtom på meningokockinfektioner uppstår.
Förskrivare ska känna till utbildningsmaterialet för hantering av meningokockinfektioner och tillhandahålla patienter som behandlas med zilukoplan ett patientkort och en guide för patienter/vårdare.
Andra Neisseria-infektioner
Förutom Neisseria meningitidis kan patienter som behandlas med zilukoplan också vara mottagliga för infektioner med andra Neisseria-arter, såsom gonokockinfektioner. Patienterna bör informeras om vikten av att förebygga och behandla gonorré.
Immunisering
Det rekommenderas att patienten inleder immuniseringar enligt gällande immuniseringsriktlinjer innan zilukoplanbehandling påbörjas.
Natriuminnehåll
Detta läkemedel innehåller mindre än 1 mmol (23 mg) natrium per förfylld spruta, d.v.s. är näst intill ”natriumfritt”.
Inga interaktionsstudier har utförts. Baserat på resultat från in vitro-analyser kommer zilukoplan inte att hämma eller inducera läkemedelsmetaboliserande enzymer (CYP- och UGT-enzymer) och vanliga transportörer på ett kliniskt relevant sätt.
Baserat på den potentiella hämmande effekten av zilukoplan på komplementberoende cytotoxicitet av rituximab, kan zilukoplan minska de förväntade farmakodynamiska effekterna av rituximab.
Graviditet
Det finns inga data från användningen av zilukoplan hos gravida kvinnor.
Djurstudier visar inga direkta eller indirekta skadliga reproduktionstoxikologiska effekter (se avsnitt 5.3).
Behandling av gravida kvinnor med Zilbrysq ska endast övervägas om den kliniska nyttan uppväger riskerna.
Amning
Det är okänt om zilukoplan utsöndras i bröstmjölk eller om det absorberas systemiskt efter oralt intag av barnet. En risk för det nyfödda barnet/spädbarnet kan inte uteslutas.
Ett beslut måste fattas om man ska avbryta amningen eller avbryta/avstå från behandling med zilukoplan efter att man tagit hänsyn till fördelen med amning för barnet och fördelen med behandling för kvinnan.
Fertilitet
Effekten av zilukoplan på fertilitet hos människa har inte utvärderats. I vissa fertilitetsstudier och toxicitetsstudier med upprepad dos hos icke-humana primater observerades fynd av osäker klinisk relevans i könsorganen hos hanar och honor (se avsnitt 5.3).
Zilbrysq har ingen eller försumbar effekt på förmågan att framföra fordon och använda maskiner.
Sammanfattning av säkerhetsprofilen
De vanligaste rapporterade biverkningarna var reaktioner på injektionsstället (blåmärke på injektionsstället [13,9 %] och smärta på injektionsstället [7,0 %]) och övre luftvägsinfektioner (nasofaryngit [5,2 %], övre luftvägsinfektion [3,5 %] och sinuit [3,5 %]).
Lista över biverkningar i tabellform
Tabell 2 visar biverkningarna från de sammanslagna placebokontrollerade studierna (n = 115) och öppna förlängningsstudierna (n = 213) vid gMG tillsammans med en klassificering av frekvensen hos de patienter som behandlats med zilukoplan, enligt följande konvention: mycket vanliga (≥ 1/10), vanliga (≥ 1/100, < 1/10), mindre vanliga (≥ 1/1 000, < 1/100), sällsynta (≥ 1/10 000, < 1/1 000), mycket sällsynta (< 1/10 000), ingen känd frekvens (kan inte beräknas från tillgängliga data). Inom varje frekvensgrupp presenteras biverkningarna enligt fallande allvarlighetsgrad.
Tabell 2: Biverkningar
* Se avsnitt ”Beskrivning av utvalda biverkningar”.
a Morfea rapporterades endast i långvariga öppna kliniska studier. Den längsta varaktigheten av exponering för zilukoplan under de långvariga kliniska studierna var mer än fyra år.
Beskrivning av utvalda biverkningar
Reaktioner på injektionsstället
De vanligaste reaktionerna var blåmärken, smärta, knöl, klåda och hematom på injektionsstället. Alla fall var lindriga eller måttliga i svårighetsgrad och mindre än 3 % av reaktionerna ledde till utsättning av behandlingen.
Övre luftvägsinfektioner
De vanligaste infektionerna var nasofaryngit, övre luftvägsinfektion och bihåleinflammation. Mer än 95 % av fallen var lindriga eller måttliga i svårighetsgrad och ledde inte till utsättning av behandlingen. I sammanslagna placebokontrollerade studier rapporterades övre luftvägsinfektioner hos 13,0 % av patienterna som behandlades med zilukoplan och hos 7,8 % av patienterna som behandlades med placebo.
Förhöjda nivåer av bukspottkörtelenzymer
Fall av förhöjda nivåer av lipas (5,2 %) och/eller amylas (6,1 %) observerades. Dessa förhöjningar var övergående och ledde sällan till utsättning av behandlingen. De flesta inträffade inom två månader efter insättande av zilukoplan och normaliserades inom två månader.
Ökning av antalet eosinofiler i blodet
Ökning av antalet eosinofiler i blodet observerades. Detta var övergående och ledde inte till utsättning av behandlingen. De flesta inträffade inom två månader efter insättande av zilukoplan och normaliserades inom en månad.
Morfea
Fall av morfea observerades efter långvarig behandling under den öppna förlängningsstudien. Majoriteten av fallen hade en tid till debut som översteg ett år efter behandlingsstart, var av lindrig eller måttlig svårighetsgrad samt ledde inte till utsättning av behandlingen.
I en studie med friska frivilliga försökspersoner där 32 deltagare exponerades för doser som var två gånger den rekommenderade dosen (motsvarande cirka 0,6 mg/kg; tabell 1), subkutant administrerade i upp till 7 dagar, överensstämde säkerhetsdata med säkerhetsprofilen för den rekommenderade dosen.
Vid överdosering rekommenderas att patienterna övervakas noggrant med avseende på eventuella biverkningar och lämpliga understödjande åtgärder ska sättas in omedelbart.
Zilbrysq är avsett som en tilläggsbehandling till standardterapi vid generaliserad myasthenia gravis (gMG) hos vuxna patienter som är positiva för antikroppar mot acetylkolinreceptorer (AChR).
Zilbrysq är avsett att användas under vägledning och överinseende av hälso- och sjukvårdspersonal med erfarenhet av behandling av patienter med neuromuskulära sjukdomar.
Innan behandlingen påbörjas måste patienterna vaccineras mot Neisseria meningitidis. Om behandlingen behöver påbörjas mindre än 2 veckor efter vaccination måste patienten få lämplig profylaktisk antibiotikabehandling fram till 2 veckor efter den första vaccinationsdosen (se avsnitt 4.3 och 4.4).
Dosering
Den rekommenderade dosen ska administreras som en subkutan injektion en gång dagligen och administreras vid ungefär samma tidpunkt varje dag.
Tabell 1: Total daglig dos enligt kroppsviktsintervall
*Rekommenderad dos motsvarar cirka 0,3 mg/kg.
Zilukoplan har inte studerats hos patienter med gMG klass V enligt Myasthenia Gravis Foundation of America (MGFA).
Missad dos
Om en dos missas ska den administreras samma dag, varefter normal dosering ska fortsätta följande dag. Högst en dos ska administreras per dag.
Särskilda populationer
Äldre
Ingen dosjustering krävs hos äldre patienter (se avsnitt 5.2). Erfarenheten av zilukoplan hos äldre patienter i kliniska studier är begränsad.
Nedsatt njurfunktion
Ingen dosjustering krävs för patienter med nedsatt njurfunktion (kreatininclearance ≥ 15 ml/min). Det finns inga data om patienter som behöver dialys.
Nedsatt leverfunktion
Ingen dosjustering krävs för patienter med lätt och måttligt nedsatt leverfunktion (Child-Pugh-poäng på 9 eller lägre).
Säkerhet och effekt för Zilbrysq för patienter med svår leverfunktionsnedsättning har inte fastställts. Ingen doseringsrekommendation kan göras (se avsnitt 5.2).
Pediatrisk population
Säkerhet och effekt för Zilbrysq hos barn under 18 år har inte fastställts. Inga data finns tillgängliga.
Administreringssätt
Detta läkemedel administreras genom subkutan injektion.
Lämpliga injektionsställen omfattar framsidan av låren, buken och baksidan av överarmarna.
Injektionsställena ska roteras och injektioner ska inte ges i områden där huden är öm, erytematös, har blåmärken eller förhårdnader, eller där huden har ärr eller bristningar.
Zilbrysq är avsett att självadministreras av patienten och/eller en annan person som har fått lämplig utbildning i att administrera subkutana injektioner och som följer de detaljerade anvisningar som ges i bruksanvisningen i slutet av bipacksedeln.
Överkänslighet mot den aktiva substansen eller mot något hjälpämne som anges i avsnitt 6.1.
Patienter som för närvarande inte är vaccinerade mot Neisseria meningitidis (se avsnitt 4.4).
Patienter med pågående Neisseria meningitidis-infektion.
Neisseria-infektioner
Meningokockinfektion
På grund av dess verkningsmekanism kan användning av zilukoplan öka patientens mottaglighet för infektioner med Neisseria meningitidis. Som en försiktighetsåtgärd måste alla patienter vaccineras mot meningokockinfektioner, minst 2 veckor före behandlingsstart.
Om behandlingen behöver påbörjas mindre än 2 veckor efter vaccination mot meningokockinfektioner, måste patienten få lämplig profylaktisk antibiotikabehandling fram till 2 veckor efter den första vaccinationsdosen. Meningokockvacciner minskar men eliminerar inte helt risken för meningokockinfektioner.
Vacciner mot serogrupperna A, C, Y och W, samt om tillgängligt, serogrupp B, rekommenderas för att förhindra de allmänt patogena meningokockserogrupperna. Vaccination och profylaktisk antibiotikabehandling ska ske enligt de mest aktuella relevanta riktlinjerna.
Under behandlingen ska patienterna övervakas för tecken och symtom på meningokockinfektion och utvärderas omedelbart om infektion misstänks. Vid misstänkt meningokockinfektion ska lämpliga åtgärder, som antibiotikabehandling och utsättning av behandling, vidtas tills meningokockinfektion kan uteslutas. Patienter ska instrueras att omedelbart söka medicinsk rådgivning om tecken eller symtom på meningokockinfektioner uppstår.
Förskrivare ska känna till utbildningsmaterialet för hantering av meningokockinfektioner och tillhandahålla patienter som behandlas med zilukoplan ett patientkort och en guide för patienter/vårdare.
Andra Neisseria-infektioner
Förutom Neisseria meningitidis kan patienter som behandlas med zilukoplan också vara mottagliga för infektioner med andra Neisseria-arter, såsom gonokockinfektioner. Patienterna bör informeras om vikten av att förebygga och behandla gonorré.
Immunisering
Det rekommenderas att patienten inleder immuniseringar enligt gällande immuniseringsriktlinjer innan zilukoplanbehandling påbörjas.
Natriuminnehåll
Detta läkemedel innehåller mindre än 1 mmol (23 mg) natrium per förfylld spruta, d.v.s. är näst intill ”natriumfritt”.
Inga interaktionsstudier har utförts. Baserat på resultat från in vitro-analyser kommer zilukoplan inte att hämma eller inducera läkemedelsmetaboliserande enzymer (CYP- och UGT-enzymer) och vanliga transportörer på ett kliniskt relevant sätt.
Baserat på den potentiella hämmande effekten av zilukoplan på komplementberoende cytotoxicitet av rituximab, kan zilukoplan minska de förväntade farmakodynamiska effekterna av rituximab.
Graviditet
Det finns inga data från användningen av zilukoplan hos gravida kvinnor.
Djurstudier visar inga direkta eller indirekta skadliga reproduktionstoxikologiska effekter (se avsnitt 5.3).
Behandling av gravida kvinnor med Zilbrysq ska endast övervägas om den kliniska nyttan uppväger riskerna.
Amning
Det är okänt om zilukoplan utsöndras i bröstmjölk eller om det absorberas systemiskt efter oralt intag av barnet. En risk för det nyfödda barnet/spädbarnet kan inte uteslutas.
Ett beslut måste fattas om man ska avbryta amningen eller avbryta/avstå från behandling med zilukoplan efter att man tagit hänsyn till fördelen med amning för barnet och fördelen med behandling för kvinnan.
Fertilitet
Effekten av zilukoplan på fertilitet hos människa har inte utvärderats. I vissa fertilitetsstudier och toxicitetsstudier med upprepad dos hos icke-humana primater observerades fynd av osäker klinisk relevans i könsorganen hos hanar och honor (se avsnitt 5.3).
Zilbrysq har ingen eller försumbar effekt på förmågan att framföra fordon och använda maskiner.
Sammanfattning av säkerhetsprofilen
De vanligaste rapporterade biverkningarna var reaktioner på injektionsstället (blåmärke på injektionsstället [13,9 %] och smärta på injektionsstället [7,0 %]) och övre luftvägsinfektioner (nasofaryngit [5,2 %], övre luftvägsinfektion [3,5 %] och sinuit [3,5 %]).
Lista över biverkningar i tabellform
Tabell 2 visar biverkningarna från de sammanslagna placebokontrollerade studierna (n = 115) och öppna förlängningsstudierna (n = 213) vid gMG tillsammans med en klassificering av frekvensen hos de patienter som behandlats med zilukoplan, enligt följande konvention: mycket vanliga (≥ 1/10), vanliga (≥ 1/100, < 1/10), mindre vanliga (≥ 1/1 000, < 1/100), sällsynta (≥ 1/10 000, < 1/1 000), mycket sällsynta (< 1/10 000), ingen känd frekvens (kan inte beräknas från tillgängliga data). Inom varje frekvensgrupp presenteras biverkningarna enligt fallande allvarlighetsgrad.
Tabell 2: Biverkningar
* Se avsnitt ”Beskrivning av utvalda biverkningar”.
a Morfea rapporterades endast i långvariga öppna kliniska studier. Den längsta varaktigheten av exponering för zilukoplan under de långvariga kliniska studierna var mer än fyra år.
Beskrivning av utvalda biverkningar
Reaktioner på injektionsstället
De vanligaste reaktionerna var blåmärken, smärta, knöl, klåda och hematom på injektionsstället. Alla fall var lindriga eller måttliga i svårighetsgrad och mindre än 3 % av reaktionerna ledde till utsättning av behandlingen.
Övre luftvägsinfektioner
De vanligaste infektionerna var nasofaryngit, övre luftvägsinfektion och bihåleinflammation. Mer än 95 % av fallen var lindriga eller måttliga i svårighetsgrad och ledde inte till utsättning av behandlingen. I sammanslagna placebokontrollerade studier rapporterades övre luftvägsinfektioner hos 13,0 % av patienterna som behandlades med zilukoplan och hos 7,8 % av patienterna som behandlades med placebo.
Förhöjda nivåer av bukspottkörtelenzymer
Fall av förhöjda nivåer av lipas (5,2 %) och/eller amylas (6,1 %) observerades. Dessa förhöjningar var övergående och ledde sällan till utsättning av behandlingen. De flesta inträffade inom två månader efter insättande av zilukoplan och normaliserades inom två månader.
Ökning av antalet eosinofiler i blodet
Ökning av antalet eosinofiler i blodet observerades. Detta var övergående och ledde inte till utsättning av behandlingen. De flesta inträffade inom två månader efter insättande av zilukoplan och normaliserades inom en månad.
Morfea
Fall av morfea observerades efter långvarig behandling under den öppna förlängningsstudien. Majoriteten av fallen hade en tid till debut som översteg ett år efter behandlingsstart, var av lindrig eller måttlig svårighetsgrad samt ledde inte till utsättning av behandlingen.
Rapportering av misstänkta biverkningar
I en studie med friska frivilliga försökspersoner där 32 deltagare exponerades för doser som var två gånger den rekommenderade dosen (motsvarande cirka 0,6 mg/kg; tabell 1), subkutant administrerade i upp till 7 dagar, överensstämde säkerhetsdata med säkerhetsprofilen för den rekommenderade dosen.
Vid överdosering rekommenderas att patienterna övervakas noggrant med avseende på eventuella biverkningar och lämpliga understödjande åtgärder ska sättas in omedelbart.
Säkerhet och effekt av zilukoplan utvärderades i en 12 veckor lång randomiserad, dubbelblind, placebokontrollerad multicenterstudie MG0010 (RAISE) och i den öppna förlängningsstudien MG0011 (RAISE‑XT).
Studie MG0010 (RAISE)
Totalt 174 patienter inkluderades. De var minst 18 år, hade acetylkolinreceptorantikroppspositiv generaliserad myasthenia gravis, ≥ 6 poäng på Myastenia Gravis Activities of Daily Living-skalan (MG‑ADL) och ≥ 12 poäng på Quantitative Myasthenia Gravis-skalan (QMG Score) (se tabell 3).
Patienterna behandlades en gång dagligen med antingen zilukoplan (dosering enligt tabell 1) eller placebo med 86 respektive 88 patienter randomiserade till varje behandlingsgrupp. Etablerad standardbehandling (stable standard of care, SOC) var tillåten. Majoriteten av patienterna fick behandling för gMG vid baslinjen som inkluderade parasympatomimetika (84,5 %), systemiska kortikosteroider (63,2 %) och icke-steroida immunsuppressiva medel (51,1 %).
Det primära resultatmåttet var förändring från baslinje till vecka 12 i MG-ADL-totalpoäng. Viktiga sekundära resultatmått var förändring från baslinje till vecka 12 i totalpoäng för QMG, totalpoäng för Myasthenia Gravis Composite (MGC) och totalpoäng för MG Quality of Life (MG‐QoL15r) (tabell 4). Som kliniska respondenter på MG‐ADL definierades de som hade en minskning på minst 3 poäng och som QMG-respondenter definierades de som hade en minskning på minst 5 poäng utan rescue-behandling.
Tabell 3: Demografiska egenskaper och sjukdomsegenskaper vid baslinjen hos patienter inkluderade i studie MG0010
Tabell 4 visar förändring från baslinje vid vecka 12 i de totala poängen för MG‑ADL, QMG, MGC och MG‐QoL15r. De genomsnittliga baslinjepoängen var 10,9 och 10,3 för MG-ADL, 19,4 och 18,7 för QMG, 21,6 och 20,1 för MGC samt 18,9 och 18,6 för MG-QoL15r för placebo- respektive zilukoplangrupperna.
Tabell 4: Förändring från baslinje vid vecka 12 i totalpoäng för MG‐ADL, QMG, MGC och MG‐QoL15r
*Analys baserad på en MMRM ANCOVA-modell
Behandlingseffekten i zilukoplangruppen för alla 4 resultatmåtten började snabbt vid vecka 1, ökade ytterligare till vecka 4 och kvarstod till och med vecka 12.
Vid vecka 12 observerades en kliniskt betydelsefull och i hög grad statistiskt signifikant förbättring av MG-ADL-totalpoäng (figur 1) och QMG-totalpoäng för zilukoplan jämfört med placebo.
Figur 1: Förändring från baslinje i MG‐ADL-totalpoängVecka 12p-värde:
Analys baserad på MMRM ANCOVA-modell
Kliniskt betydelsefull förändring = 2 poängs förändring i MG‐ADL-poäng
Vid vecka 12 var 73,1 % av patienterna i zilukoplangruppen kliniska respondenter på MG‐ADL utan rescue-behandling, jämfört med 46,1 % i placebogruppen (p < 0,001). Femtioåtta procent (58,0 %) av patienterna i zilukoplangruppen var kliniska respondenter på QMG utan rescue-behandling, jämfört med 33,0 % i placebogruppen (p = 0,0012).
Vid vecka 12 var den kumulativa andelen patienter som behövde rescue-behandling 5 % i zilukoplangruppen och 11 % i placebogruppen. Rescue-behandling definierades som intravenöst immunglobulin G (IVIG) eller plasmabyte (PLEX).
Studie MG0011 (RAISE‐XT)
Tvåhundra patienter som slutförde en placebokontrollerad fas 2-studie (MG0009) eller fas 3-studien (MG0010) fortsatte i den öppna förlängningsstudien MG0011 där alla patienter fick zilukoplan (dosering enligt tabell 1) dagligen. Primärt mål var långvarig säkerhet. Sekundära resultatmått för effekt var förändring från baslinjen i den dubbelblinda studien i poäng för MG‐ADL, QMG, MGC och MG‐QoL15r vid vecka 24. För tidigare MG0010-deltagare visas resultaten nedan (tabell 5).
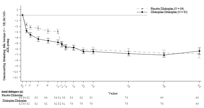
Tabell 5: Genomsnittlig förändring från den dubbelblinda studiens baslinje (MG0010) till vecka 24 (vecka 12 i MG0011) och vecka 60 (vecka 48 i MG0011) i totalpoäng för MG‐ADL, QMG, MGC och MG‐QoL15r
Analys baserad på en MMRM ANCOVA-modell där rescue-behandling och utsättning imputeras som misslyckad behandling. Dödsfall imputeras med sämsta möjliga poäng (t.ex. 24 poäng för MG-ADL).SE = Standard error (standardfel)
Figur 2: Genomsnittlig förändring från den dubbelblinda studiens baslinje till vecka 60 för MG‑ADL-totalpoäng
Immunogenicitet
I MG0010 och MG0011 (RAISE-XT) testades patienterna för positivitet för anti-läkemedelsantikroppar (ADA) och anti-polyetylenglykol (PEG)-antikroppar.
I båda studierna var antikroppstitrarna låga och det fanns inga evidens för någon inverkan på farmakokinetik eller farmakodynamik. Inte heller fanns det evidens för någon kliniskt betydelsefull inverkan på effekt eller säkerhet.
I MG0010 och MG0011 var två patienter (2,4 %) i såväl gruppen som fick zilukoplan/zilukoplan som placebo-/zilukoplangruppen positiva för behandlingsrelaterade ADA och anti-PEG-antikroppar. Tretton försökspersoner (16 %) per grupp var positiva för behandlingsrelaterade anti-PEG-antikroppar men ADA-negativa. Två patienter (2,4 %) per grupp var anti-PEG-negativa men positiva för behandlingsrelaterade ADA.
Pediatrisk population
Europeiska läkemedelsmyndigheten har senarelagt kravet att skicka in studieresultat för zilukoplan för en eller flera grupper av den pediatriska populationen för behandling av myasthenia gravis. (information om pediatrisk användning finns i avsnitt 4.2).
Absorption
Efter en och flera dagliga subkutana administreringar av den rekommenderade dosen av zilukoplan (tabell 1) till friska försökspersoner nådde zilukoplan i allmänhet maximal plasmakoncentration 3–6 timmar efter dosering.
I studie MG0010 hos patienter med gMG var plasmakoncentrationerna av zilukoplan konsistenta efter daglig upprepad subkutan administrering av den rekommenderade dosen av zilukoplan (tabell 1), med steady state-dalkoncentrationer som uppnåddes vid vecka 4 och bibehölls till och med vecka 12.
Exponeringarna efter subkutan administrering av engångsdoser av zilukoplan i buken, låret eller överarmen var jämförbara.
Distribution
Zilukoplan och de aktiva (RA103488) och betydande inaktiva (RA102758) cirkulerande metaboliterna är starkt bundna till plasmaproteiner (> 99 %). Den genomsnittliga distributionsvolymen för zilukoplan (Vc/F) med en populationsfarmakokinetisk analys är 3,51 l. Zilukoplan är inte ett substrat för vanliga läkemedelstransportörer.
Metabolism
Zilukoplan är inte ett substrat för betydande CYP-enzymer. I plasma detekterades två metaboliter, den aktiva (RA103488) och den betydande inaktiva metaboliten (RA102758). Bildandet av RA103488 beror huvudsakligen på cytokrom CYP450 4F2. RA103488 har en farmakologisk aktivitet som liknar zilukoplan men förekommer vid en mycket lägre koncentration jämfört med zilukoplan. Bidraget från RA103488 till den farmakologiska aktiviteten är lågt. Vidare förväntas zilukoplan, i egenskap av peptid, brytas ned till mindre peptider och aminosyror via kataboliska vägar.
Zilukoplan hämmar MRP3 in vitro vid terapeutiska koncentrationer. Den kliniska relevansen av denna hämning är inte känd.
Eliminering
I egenskap av peptid förväntas zilukoplan brytas ned till mindre peptider och aminosyror via kataboliska vägar. Den genomsnittliga terminala halveringstiden för eliminering i plasma var cirka 172 timmar (7–8 dagar). Halveringstiden var 220 timmar respektive 96 timmar för den aktiva (RA103488) och den betydande inaktiva metaboliten (RA102758). Utsöndringen av zilukoplan och dess metaboliter (RA103488 och RA102758) mätt i både urin och feces var försumbar. Den pegylerade delen av zilukoplan förväntas utsöndras huvudsakligen via njurarna och den huvudsakliga nedbrytningen av fettsyradelen sker via β-oxidation till acetyl-CoA.
Linjäritet/icke-linjäritet
I den populationsfarmakokinetiska analysen (doser motsvarande 0,05 till 0,6 mg/kg) kännetecknas farmakokinetiken för zilukoplan av målberoende läkemedelsdisposition med mindre än dosproportionerlig ökning av exponeringen vid ökande doser samt efter flera doser jämfört med engångsdos.
Antikroppar
Incidensen av ADA- och anti-PEG-antikroppar i fas 3-studien hos patienter med gMG var jämförbar mellan zilukoplanbehandlingsgruppen och placebobehandlingsgruppen (se avsnitt 5.1).
ADA- och anti-PEG-antikroppsstatus hos patienter som behandlades med zilukoplan påverkade inte zilukoplankoncentrationerna.
Särskilda populationer
Vikt
Populationsfarmakokinetisk analys av data som samlats in från studier av gMG visade att kroppsvikten signifikant påverkar farmakokinetiken för zilukoplan. Doseringen av zilukoplan baseras på kroppsviktskategorier (se avsnitt 4.2) och ingen ytterligare dosjustering behövs.
Äldre
Baserat på populationsfarmakokinetisk analys påverkade åldern inte farmakokinetiken för zilukoplan. Ingen dosjustering krävs.
Nedsatt njurfunktion
Effekten av nedsatt njurfunktion på farmakokinetiken för zilukoplan och dess metaboliter studerades i en öppen fas 1-studie där en engångsdos av den rekommenderade dosen av zilukoplan (tabell 1) administrerades till friska försökspersoner och försökspersoner med svårt nedsatt njurfunktion (kreatininclearance mellan 15 och < 30 ml/min).
Den systemiska exponeringen för zilukoplan och den betydande inaktiva metaboliten RA102758 var inte annorlunda hos försökspersoner med svårt nedsatt njurfunktion jämfört med patienter med normal njurfunktion. Exponeringen för den aktiva metaboliten RA103488 var cirka 1,5 gånger högre hos försökspersoner med svårt nedsatt njurfunktion jämfört med patienter med normal njurfunktion.
Baserat på de farmakokinetiska resultaten krävs ingen dosjustering för patienter med nedsatt njurfunktion.
Nedsatt leverfunktion
Effekterna av måttligt nedsatt leverfunktion (definierat som en Child-Pugh-poäng på 7–9) på farmakokinetiken för zilukoplan och dess metaboliter studerades i en öppen fas 1-studie där en engångsdos av den rekommenderade dosen av zilukoplan (tabell 1) administrerades till friska försökspersoner och försökspersoner med måttligt nedsatt leverfunktion.
Den systemiska exponeringen för zilukoplan var 24 % lägre hos försökspersoner med måttligt nedsatt leverfunktion jämfört med friska försökspersoner, vilket var i linje med en högre systemisk och maximal exponering för båda metaboliterna hos försökspersoner med nedsatt leverfunktion jämfört med friska försökspersoner. Zilukoplans toppexponering och terminala halveringstid var jämförbara mellan båda grupperna. Ytterligare farmakodynamisk analys identifierade inte några betydelsefulla skillnader i komplementnivåer eller hämning av komplementaktivitet mellan de två grupperna. Baserat på dessa resultat krävs ingen dosjustering för patienter med lätt och måttligt nedsatt leverfunktion.
Etniska grupper
I en klinisk fas 1-studie på friska kaukasiska och japanska försökspersoner jämfördes den farmakokinetiska profilen för zilukoplan och dess två metaboliter (RA102758 och RA103488) efter en engångsdos (tabell 1) och efter upprepad dosering i 14 dagar. Resultaten var i allmänhet likartade i båda grupperna. Den populationsfarmakokinetiska analysen för zilukoplan visade att det inte finns några skillnader mellan de olika etniska kategorierna (svarta/afrikansk-amerikanska, asiatiska/japanska och kaukasier). Ingen dosjustering krävs.
Kön
I den populationsfarmakokinetiska analysen observerades ingen skillnad i farmakokinetik mellan könen. Ingen dosjustering krävs.
I toxicitetsstudier med upprepad dos som utfördes hos icke-humana primater förekom vesikulär degeneration/hyperplasi av epitelceller och mononukleära cellinfiltrat i flera olika vävnader vid kliniskt relevant exponering. I bukspottkörteln manifesterades detta ibland som pankreatisk acinärcellsdegeneration, varav en del med fibros och duktal degeneration/regeneration och åtföljt av förhöjda plasmakoncentrationer av amylas och lipas. I honors fortplantningsorgan (vagina, cervix, uterus) sågs mononukleära cellinfiltrat med epiteldegeneration och cervikal skivepitelmetaplasi. I en fertilitetsstudie med hanapor observerades minimal till lindrig degeneration/minskning av könsceller vid kliniskt relevanta exponeringar, men svårighetsgraden ökade inte med dosen. Ingen inverkan på spermatogenesen observerades. Fynden i icke-humana primater är av osäker klinisk relevans och vissa kan vara relaterade till infektioner som är en följd av den farmakologiska effekten av zilukoplan men andra mekanismer kan inte uteslutas. Fynden korrelerade inte med några effekter på embryofetal utveckling eller dräktighetsutfall (missfall, födande, dräktighetsutfall eller postnatal utveckling hos ungen) hos icke-humana primater vid liknande dosnivåer.
Inga karcinogenicitetsstudier har utförts med zilukoplan.
Farmakoterapeutisk grupp: Immunsuppressiva medel, komplementhämmare, ATC-kod: L04AJ06
Verkningsmekanism
Zilukoplan är en syntetisk makrocyklisk peptid bestående av 15 aminosyror som hämmar effekterna av komplementproteinet C5 genom en dubbel verkningsmekanism. Det binder specifikt till C5 och hämmar därigenom dess klyvning med hjälp av C5-konvertaset till C5a och C5b, vilket resulterar i en nedreglering av sammansättningen och den cytolytiska aktiviteten hos membranattackkomplexet (MAC). Genom att binda till C5b-delen av C5 hindrar zilukoplan dessutom steriskt bindningen av C5b till C6, vilket förhindrar efterföljande sammansättning och aktivitet hos MAC, om C5b bildas.
Farmakodynamisk effekt
Den farmakodynamiska effekten av zilukoplan analyserades genom dess förmåga att hämma ex vivo komplementinducerad lysering av röda blodkroppar hos får (sRBC).
Data från fas 2- och fas 3-studierna demonstrerar snabb, fullständig (> 95 %) och ihållande komplementhämning med zilukoplan vid dosering enligt tabell 1.
Klinisk effekt och säkerhet
Säkerhet och effekt av zilukoplan utvärderades i en 12 veckor lång randomiserad, dubbelblind, placebokontrollerad multicenterstudie MG0010 (RAISE) och i den öppna förlängningsstudien MG0011 (RAISE‑XT).
Studie MG0010 (RAISE)
Totalt 174 patienter inkluderades. De var minst 18 år, hade acetylkolinreceptorantikroppspositiv generaliserad myasthenia gravis, ≥ 6 poäng på Myastenia Gravis Activities of Daily Living-skalan (MG‑ADL) och ≥ 12 poäng på Quantitative Myasthenia Gravis-skalan (QMG Score) (se tabell 3).
Patienterna behandlades en gång dagligen med antingen zilukoplan (dosering enligt tabell 1) eller placebo med 86 respektive 88 patienter randomiserade till varje behandlingsgrupp. Etablerad standardbehandling (stable standard of care, SOC) var tillåten. Majoriteten av patienterna fick behandling för gMG vid baslinjen som inkluderade parasympatomimetika (84,5 %), systemiska kortikosteroider (63,2 %) och icke-steroida immunsuppressiva medel (51,1 %).
Det primära resultatmåttet var förändring från baslinje till vecka 12 i MG-ADL-totalpoäng. Viktiga sekundära resultatmått var förändring från baslinje till vecka 12 i totalpoäng för QMG, totalpoäng för Myasthenia Gravis Composite (MGC) och totalpoäng för MG Quality of Life (MG‐QoL15r) (tabell 4). Som kliniska respondenter på MG‐ADL definierades de som hade en minskning på minst 3 poäng och som QMG-respondenter definierades de som hade en minskning på minst 5 poäng utan rescue-behandling.
Tabell 3: Demografiska egenskaper och sjukdomsegenskaper vid baslinjen hos patienter inkluderade i studie MG0010
Tabell 4 visar förändring från baslinje vid vecka 12 i de totala poängen för MG‑ADL, QMG, MGC och MG‐QoL15r. De genomsnittliga baslinjepoängen var 10,9 och 10,3 för MG-ADL, 19,4 och 18,7 för QMG, 21,6 och 20,1 för MGC samt 18,9 och 18,6 för MG-QoL15r för placebo- respektive zilukoplangrupperna.
Tabell 4: Förändring från baslinje vid vecka 12 i totalpoäng för MG‐ADL, QMG, MGC och MG‐QoL15r
*Analys baserad på en MMRM ANCOVA-modell
Behandlingseffekten i zilukoplangruppen för alla 4 resultatmåtten började snabbt vid vecka 1, ökade ytterligare till vecka 4 och kvarstod till och med vecka 12.
Vid vecka 12 observerades en kliniskt betydelsefull och i hög grad statistiskt signifikant förbättring av MG-ADL-totalpoäng (figur 1) och QMG-totalpoäng för zilukoplan jämfört med placebo.
Figur 1: Förändring från baslinje i MG‐ADL-totalpoängVecka 12p-värde:
Analys baserad på MMRM ANCOVA-modell
Kliniskt betydelsefull förändring = 2 poängs förändring i MG‐ADL-poäng
Vid vecka 12 var 73,1 % av patienterna i zilukoplangruppen kliniska respondenter på MG‐ADL utan rescue-behandling, jämfört med 46,1 % i placebogruppen (p < 0,001). Femtioåtta procent (58,0 %) av patienterna i zilukoplangruppen var kliniska respondenter på QMG utan rescue-behandling, jämfört med 33,0 % i placebogruppen (p = 0,0012).
Vid vecka 12 var den kumulativa andelen patienter som behövde rescue-behandling 5 % i zilukoplangruppen och 11 % i placebogruppen. Rescue-behandling definierades som intravenöst immunglobulin G (IVIG) eller plasmabyte (PLEX).
Studie MG0011 (RAISE‐XT)
Tvåhundra patienter som slutförde en placebokontrollerad fas 2-studie (MG0009) eller fas 3-studien (MG0010) fortsatte i den öppna förlängningsstudien MG0011 där alla patienter fick zilukoplan (dosering enligt tabell 1) dagligen. Primärt mål var långvarig säkerhet. Sekundära resultatmått för effekt var förändring från baslinjen i den dubbelblinda studien i poäng för MG‐ADL, QMG, MGC och MG‐QoL15r vid vecka 24. För tidigare MG0010-deltagare visas resultaten nedan (tabell 5).
Tabell 5: Genomsnittlig förändring från den dubbelblinda studiens baslinje (MG0010) till vecka 24 (vecka 12 i MG0011) och vecka 60 (vecka 48 i MG0011) i totalpoäng för MG‐ADL, QMG, MGC och MG‐QoL15r
Analys baserad på en MMRM ANCOVA-modell där rescue-behandling och utsättning imputeras som misslyckad behandling. Dödsfall imputeras med sämsta möjliga poäng (t.ex. 24 poäng för MG-ADL).SE = Standard error (standardfel)
Figur 2: Genomsnittlig förändring från den dubbelblinda studiens baslinje till vecka 60 för MG‑ADL-totalpoäng
Immunogenicitet
I MG0010 och MG0011 (RAISE-XT) testades patienterna för positivitet för anti-läkemedelsantikroppar (ADA) och anti-polyetylenglykol (PEG)-antikroppar.
I båda studierna var antikroppstitrarna låga och det fanns inga evidens för någon inverkan på farmakokinetik eller farmakodynamik. Inte heller fanns det evidens för någon kliniskt betydelsefull inverkan på effekt eller säkerhet.
I MG0010 och MG0011 var två patienter (2,4 %) i såväl gruppen som fick zilukoplan/zilukoplan som placebo-/zilukoplangruppen positiva för behandlingsrelaterade ADA och anti-PEG-antikroppar. Tretton försökspersoner (16 %) per grupp var positiva för behandlingsrelaterade anti-PEG-antikroppar men ADA-negativa. Två patienter (2,4 %) per grupp var anti-PEG-negativa men positiva för behandlingsrelaterade ADA.
Pediatrisk population
Europeiska läkemedelsmyndigheten har senarelagt kravet att skicka in studieresultat för zilukoplan för en eller flera grupper av den pediatriska populationen för behandling av myasthenia gravis. (information om pediatrisk användning finns i avsnitt 4.2).
Absorption
Efter en och flera dagliga subkutana administreringar av den rekommenderade dosen av zilukoplan (tabell 1) till friska försökspersoner nådde zilukoplan i allmänhet maximal plasmakoncentration 3–6 timmar efter dosering.
I studie MG0010 hos patienter med gMG var plasmakoncentrationerna av zilukoplan konsistenta efter daglig upprepad subkutan administrering av den rekommenderade dosen av zilukoplan (tabell 1), med steady state-dalkoncentrationer som uppnåddes vid vecka 4 och bibehölls till och med vecka 12.
Exponeringarna efter subkutan administrering av engångsdoser av zilukoplan i buken, låret eller överarmen var jämförbara.
Distribution
Zilukoplan och de aktiva (RA103488) och betydande inaktiva (RA102758) cirkulerande metaboliterna är starkt bundna till plasmaproteiner (> 99 %). Den genomsnittliga distributionsvolymen för zilukoplan (Vc/F) med en populationsfarmakokinetisk analys är 3,51 l. Zilukoplan är inte ett substrat för vanliga läkemedelstransportörer.
Metabolism
Zilukoplan är inte ett substrat för betydande CYP-enzymer. I plasma detekterades två metaboliter, den aktiva (RA103488) och den betydande inaktiva metaboliten (RA102758). Bildandet av RA103488 beror huvudsakligen på cytokrom CYP450 4F2. RA103488 har en farmakologisk aktivitet som liknar zilukoplan men förekommer vid en mycket lägre koncentration jämfört med zilukoplan. Bidraget från RA103488 till den farmakologiska aktiviteten är lågt. Vidare förväntas zilukoplan, i egenskap av peptid, brytas ned till mindre peptider och aminosyror via kataboliska vägar.
Zilukoplan hämmar MRP3 in vitro vid terapeutiska koncentrationer. Den kliniska relevansen av denna hämning är inte känd.
Eliminering
I egenskap av peptid förväntas zilukoplan brytas ned till mindre peptider och aminosyror via kataboliska vägar. Den genomsnittliga terminala halveringstiden för eliminering i plasma var cirka 172 timmar (7–8 dagar). Halveringstiden var 220 timmar respektive 96 timmar för den aktiva (RA103488) och den betydande inaktiva metaboliten (RA102758). Utsöndringen av zilukoplan och dess metaboliter (RA103488 och RA102758) mätt i både urin och feces var försumbar. Den pegylerade delen av zilukoplan förväntas utsöndras huvudsakligen via njurarna och den huvudsakliga nedbrytningen av fettsyradelen sker via β-oxidation till acetyl-CoA.
Linjäritet/icke-linjäritet
I den populationsfarmakokinetiska analysen (doser motsvarande 0,05 till 0,6 mg/kg) kännetecknas farmakokinetiken för zilukoplan av målberoende läkemedelsdisposition med mindre än dosproportionerlig ökning av exponeringen vid ökande doser samt efter flera doser jämfört med engångsdos.
Antikroppar
Incidensen av ADA- och anti-PEG-antikroppar i fas 3-studien hos patienter med gMG var jämförbar mellan zilukoplanbehandlingsgruppen och placebobehandlingsgruppen (se avsnitt 5.1).
ADA- och anti-PEG-antikroppsstatus hos patienter som behandlades med zilukoplan påverkade inte zilukoplankoncentrationerna.
Särskilda populationer
Vikt
Populationsfarmakokinetisk analys av data som samlats in från studier av gMG visade att kroppsvikten signifikant påverkar farmakokinetiken för zilukoplan. Doseringen av zilukoplan baseras på kroppsviktskategorier (se avsnitt 4.2) och ingen ytterligare dosjustering behövs.
Äldre
Baserat på populationsfarmakokinetisk analys påverkade åldern inte farmakokinetiken för zilukoplan. Ingen dosjustering krävs.
Nedsatt njurfunktion
Effekten av nedsatt njurfunktion på farmakokinetiken för zilukoplan och dess metaboliter studerades i en öppen fas 1-studie där en engångsdos av den rekommenderade dosen av zilukoplan (tabell 1) administrerades till friska försökspersoner och försökspersoner med svårt nedsatt njurfunktion (kreatininclearance mellan 15 och < 30 ml/min).
Den systemiska exponeringen för zilukoplan och den betydande inaktiva metaboliten RA102758 var inte annorlunda hos försökspersoner med svårt nedsatt njurfunktion jämfört med patienter med normal njurfunktion. Exponeringen för den aktiva metaboliten RA103488 var cirka 1,5 gånger högre hos försökspersoner med svårt nedsatt njurfunktion jämfört med patienter med normal njurfunktion.
Baserat på de farmakokinetiska resultaten krävs ingen dosjustering för patienter med nedsatt njurfunktion.
Nedsatt leverfunktion
Effekterna av måttligt nedsatt leverfunktion (definierat som en Child-Pugh-poäng på 7–9) på farmakokinetiken för zilukoplan och dess metaboliter studerades i en öppen fas 1-studie där en engångsdos av den rekommenderade dosen av zilukoplan (tabell 1) administrerades till friska försökspersoner och försökspersoner med måttligt nedsatt leverfunktion.
Den systemiska exponeringen för zilukoplan var 24 % lägre hos försökspersoner med måttligt nedsatt leverfunktion jämfört med friska försökspersoner, vilket var i linje med en högre systemisk och maximal exponering för båda metaboliterna hos försökspersoner med nedsatt leverfunktion jämfört med friska försökspersoner. Zilukoplans toppexponering och terminala halveringstid var jämförbara mellan båda grupperna. Ytterligare farmakodynamisk analys identifierade inte några betydelsefulla skillnader i komplementnivåer eller hämning av komplementaktivitet mellan de två grupperna. Baserat på dessa resultat krävs ingen dosjustering för patienter med lätt och måttligt nedsatt leverfunktion.
Etniska grupper
I en klinisk fas 1-studie på friska kaukasiska och japanska försökspersoner jämfördes den farmakokinetiska profilen för zilukoplan och dess två metaboliter (RA102758 och RA103488) efter en engångsdos (tabell 1) och efter upprepad dosering i 14 dagar. Resultaten var i allmänhet likartade i båda grupperna. Den populationsfarmakokinetiska analysen för zilukoplan visade att det inte finns några skillnader mellan de olika etniska kategorierna (svarta/afrikansk-amerikanska, asiatiska/japanska och kaukasier). Ingen dosjustering krävs.
Kön
I den populationsfarmakokinetiska analysen observerades ingen skillnad i farmakokinetik mellan könen. Ingen dosjustering krävs.
I toxicitetsstudier med upprepad dos som utfördes hos icke-humana primater förekom vesikulär degeneration/hyperplasi av epitelceller och mononukleära cellinfiltrat i flera olika vävnader vid kliniskt relevant exponering. I bukspottkörteln manifesterades detta ibland som pankreatisk acinärcellsdegeneration, varav en del med fibros och duktal degeneration/regeneration och åtföljt av förhöjda plasmakoncentrationer av amylas och lipas. I honors fortplantningsorgan (vagina, cervix, uterus) sågs mononukleära cellinfiltrat med epiteldegeneration och cervikal skivepitelmetaplasi. I en fertilitetsstudie med hanapor observerades minimal till lindrig degeneration/minskning av könsceller vid kliniskt relevanta exponeringar, men svårighetsgraden ökade inte med dosen. Ingen inverkan på spermatogenesen observerades. Fynden i icke-humana primater är av osäker klinisk relevans och vissa kan vara relaterade till infektioner som är en följd av den farmakologiska effekten av zilukoplan men andra mekanismer kan inte uteslutas. Fynden korrelerade inte med några effekter på embryofetal utveckling eller dräktighetsutfall (missfall, födande, dräktighetsutfall eller postnatal utveckling hos ungen) hos icke-humana primater vid liknande dosnivåer.
Inga karcinogenicitetsstudier har utförts med zilukoplan.
Förfylld spruta (typ I-glas) med en 29G ½” tunnväggig nål försluten med en grå fluoropolymerlaminerad kolvpropp av bromobutylgummi. Nålen skyddas med ett styvt nålhölje som består av ett nålhölje av termoplastisk elastomer och ett styvt hölje av polypropen.
Varje förfylld spruta är förmonterad med en nålsäkerhetsanordning, ett fingergrepp och en färgad kolv:
Zilbrysq 16,6 mg injektionsvätska, lösning i förfylld spruta
0,416 ml injektionsvätska, lösning i förfylld spruta med rubinröd kolv
Zilbrysq 23 mg injektionsvätska, lösning i förfylld spruta
0,574 ml injektionsvätska, lösning i förfylld spruta med orange kolv
Zilbrysq 32,4 mg injektionsvätska, lösning i förfylld spruta
0,810 ml injektionsvätska, lösning i förfylld spruta med mörkblå kolv.
Förpackningsstorlek med 7 förfyllda sprutor för 16,6 mg, 23 mg och 32,4 mg injektionsvätska, lösning.
Flerpack som innehåller 28 (4 förpackningar om 7) förfyllda sprutor.
Eventuellt kommer inte alla förpackningsstorlekar att marknadsföras.
Ej använt läkemedel och avfall ska kasseras enligt gällande anvisningar.
Natriumdivätefosfatmonohydrat
Dinatriumfosfat (vattenfritt)
Natriumklorid
Vatten för injektionsvätskor
Ej relevant
3 år
Förvaras i kylskåp (2 °C‑8 °C).
Får ej frysas.
Förvara den förfyllda sprutan i ytterkartongen. Ljuskänsligt.
Patienterna kan förvara den förfyllda sprutan i originalkartongen vid rumstemperatur upp till 30 °C under en enstaka period på högst 3 månader. När Zilbrysq har förvarats i rumstemperatur ska det inte sättas tillbaka i kylskåpet och ska kasseras om det inte används inom 3 månader eller före utgångsdatumet, beroende på vilket som inträffar först.
Förfylld spruta (typ I-glas) med en 29G ½” tunnväggig nål försluten med en grå fluoropolymerlaminerad kolvpropp av bromobutylgummi. Nålen skyddas med ett styvt nålhölje som består av ett nålhölje av termoplastisk elastomer och ett styvt hölje av polypropen.
Varje förfylld spruta är förmonterad med en nålsäkerhetsanordning, ett fingergrepp och en färgad kolv:
Zilbrysq 16,6 mg injektionsvätska, lösning i förfylld spruta
0,416 ml injektionsvätska, lösning i förfylld spruta med rubinröd kolv
Zilbrysq 23 mg injektionsvätska, lösning i förfylld spruta
0,574 ml injektionsvätska, lösning i förfylld spruta med orange kolv
Zilbrysq 32,4 mg injektionsvätska, lösning i förfylld spruta
0,810 ml injektionsvätska, lösning i förfylld spruta med mörkblå kolv.
Förpackningsstorlek med 7 förfyllda sprutor för 16,6 mg, 23 mg och 32,4 mg injektionsvätska, lösning.
Flerpack som innehåller 28 (4 förpackningar om 7) förfyllda sprutor.
Eventuellt kommer inte alla förpackningsstorlekar att marknadsföras.
Ej använt läkemedel och avfall ska kasseras enligt gällande anvisningar.
Produktresumén är företagets information till hälso- och sjukvårdspersonal. Godkänd av myndighet.