Evkeeza 150 mg/ml koncentrat till infusionsvätska, lösning
Varje ml koncentrat till infusionsvätska, lösning innehåller 150 mg evinakumab.
En injektionsflaska med 2,3 ml koncentrat innehåller 345 mg evinakumab.
En injektionsflaska med 8 ml koncentrat innehåller 1 200 mg evinakumab.
Evinakumab produceras i äggstocksceller från kinesisk hamster (CHO) med hjälp av rekombinant DNA-teknik.
För fullständig förteckning över hjälpämnen, se avsnitt 6.1.
Koncentrat till infusionsvätska, lösning (sterilt koncentrat)
Klar till lätt opaliserande, färglös till ljusgul steril lösning med ett pH på 6,0 och en osmolalitet på cirka 500 mmol/kg.
Ultragenyx Germany GmbH
Rahel-Hirsch-Str. 10
10557 Berlin
Tyskland
EU/1/21/1551/001
EU/1/21/1551/002
Första godkännandet: Datum för det första godkännandet: 17 juni 2021
07/2025 Ytterligare information om detta läkemedel finns på Europeiska läkemedelsmyndighetens webbplats http://www.ema.europa.eu
Evkeeza kan administreras utan hänsyn till lipoproteinaferes.
Äldre
Ingen dosjustering krävs för äldre patienter (se avsnitt 5.1 och 5.2).
Nedsatt njurfunktion
Ingen dosjustering krävs hos patienter med nedsatt njurfunktion (se avsnitt 5.2).
Nedsatt leverfunktion
Ingen dosjustering krävs hos patienter med nedsatt leverfunktion (se avsnitt 5.2).
Pediatrisk population
Ingen dosjustering krävs för pediatriska patienter i åldrarna 6 månader till 17 år (se avsnitt 4.8, 5.1 och 5.2). Säkerhet och effekt för Evkeezas för barn under 6 månader har inte fastställts. Inga data finns tillgängliga.
Administreringssätt
Evkeeza är endast avsett för intravenös infusion.
Administrering
Om lösningen förvarats i kylskåp ska lösningen nå rumstemperatur (upp till 25 ºC) före administrering.
Evinakumab ska administreras under 60 minuter som intravenös infusion genom en intravenös slang som innehåller ett sterilt, in-line-filter eller tilläggsfilter med maskstorlek 0,2 mikron–5 mikron. Administrera inte evinakumab med intravenös injektion eller bolus.
Blanda inte andra läkemedel med evinakumab eller administrera annat läkemedel samtidigt via samma infusionsslang.
Infusionshastigheten kan antingen saktas ner, avbrytas eller stoppas om patienten utvecklar tecken på biverkningar, inklusive infusionsrelaterade symtom.
Anvisningar om spädning av läkemedlet före administrering finns i avsnitt 6.6.
Överkänslighet mot den aktiva substansen eller mot något hjälpämne som anges i avsnitt 6.1.
Spårbarhet
För att underlätta spårbarhet av biologiska läkemedel ska läkemedlets namn och tillverkningssatsnummer dokumenteras.
Överkänslighetsreaktioner och infusionsreaktioner
Överkänslighetsreaktioner, inklusive anafylaxi och infusionsreaktioner, har rapporterats med evinakumab (se avsnitt 4.8). Om tecken eller symtom på allvarliga överkänslighets- eller infusionsreaktioner uppträder ska behandlingen med evinakumab avbrytas och patienten behandlas enligt gängse vårdrekommendationer samt övervakas tills tecken och symtom försvinner.
Hjälpämnen
Detta läkemedel innehåller 30 mg prolin per ml. Prolin kan vara skadligt för patienter som har hyperprolinemi typ I eller typ II.
Detta läkemedel innehåller 1 mg polysorbat 80 per ml. Polysorbater kan orsaka allergiska reaktioner.
Inga interaktionsstudier har utförts. Inga interaktionsmekanismer mellan evinakumab och andra lipidsänkande läkemedel har observerats.
Kvinnor i fertil ålder
Kvinnor i fertil ålder ska använda effektiva preventivmedel under behandling med evinakumab och i minst 5 månader efter den sista dosen av evinakumab.
Graviditet
Det finns en begränsad mängd data från användning av evinakumab hos gravida kvinnor. Djurstudier har visat reproduktionstoxicitet (se avsnitt 5.3). Humana IgG-antikroppar är kända för att passera placentabarriären; därför har evinakumab potential att överföras från modern till det utvecklande fostret. Evinakumab kan orsaka fosterskador när det ges till gravida kvinnor och det rekommenderas varken under graviditet eller till kvinnor i fertil ålder som inte använder effektiva preventivmedel om inte den förväntade nyttan för patienten överväger den potentiella risken för fostret.
Amning
Det är inte känt om evinakumab utsöndras i bröstmjölk. Humana IgG-antikroppar är kända för att utsöndras i bröstmjölk under de första dagarna efter födseln, men de minskar till låga koncentrationer strax därefter. Följaktligen kan risker för det ammade barnet inte uteslutas under denna korta period. Därefter kan Evkeeza användas under amning om det föreligger kliniskt behov.
Fertilitet
Inga humana data om evinakumabs påverkan på fertiliteten finns tillgängliga. Djurstudier tyder inte på skadliga effekter med avseende på fertilitet hos män och kvinnor (se avsnitt 5.3).
Evkeeza kan ha en mindre effekt på förmågan att cykla, framföra fordon och använda maskiner. Yrsel, fatigue och asteni kan förekomma efter administrering av Evkeeza (se avsnitt 4.8).
Sammanfattning av säkerhetsprofilen
De oftast förekommande biverkningarna är nasofaryngit (13,7 %), influensaliknande sjukdom (7,7 %), yrsel (6,0 %), ryggsmärtor (5,1 %) och illamående (5,1 %). Den allvarligaste biverkningen är anafylaxi (0,9 %).
Tabell över biverkningar
Tabell 1 visar förekomsten av biverkningar i kliniska prövningar av evinakumab-behandling hos 137 behandlade patienter (117 vuxna och ungdomar med HoFH och kvarstående hyperkolesterolemi från poolade kontrollerade kliniska prövningar och 20 pediatriska patienter i åldern > 5‑11 år med HoFH från Studie R1500-CL-17100). Biverkningar listas efter organsystemklass (SOC) och frekvens. Frekvensen definieras enligt följande: mycket vanliga (≥ 1/10); vanliga (≥ 1/100, < 1/10), mindre vanliga (≥ 1/1 000, < 1/100), sällsynta (≥ 1/10 000, < 1/1 000), mycket sällsynta (< 1/10 000), ingen känd frekvens (kan inte beräknas utifrån tillgängliga data). Inom varje frekvensgrupp anges biverkningarna efter fallande allvarlighetsgrad.
Tabell 1: Biverkningar
* Se avsnittet Pediatrisk population nedan.
Beskrivning av utvalda biverkningar
Överkänslighetsreaktioner
Anafylaxi rapporterades hos 1 (0,9 %) patient som behandlades med evinakumab (se avsnitt 4.4).
Infusionsreaktioner
Infusionsreaktioner (t.ex. klåda på infusionsstället) rapporterades hos 9 (7,7 %) patienter som behandlades med evinakumab och hos 2 (3,7 %) patienter som behandlades med placebo.
Pediatrisk population
Säkerhetsprofilen som observerades hos 14 ungdomar med HoFH i åldern 12–17 år som behandlades med intravenöst evinakumab 15 mg/kg var fjärde vecka överensstämde med säkerhetsprofilen för vuxna patienter med HoFH.
Säkerheten för evinakumab utvärderades hos 20 barn i åldern ≥ 5 till 11 år. Den säkerhetsprofil för evinakumab som observerades hos dessa patienter överensstämde med säkerhetsprofilen som observerades hos vuxna och ungdomar i åldern 12 år och äldre, med den ytterligare biverkningen trötthet. Trötthet rapporterades hos 3 (15 %) patienter (se avsnitt 5.1).
Data finns tillgängliga för fem patienter i åldern ≥ 1 till 5 år som behandlats med evinakumab genom licensförskrivning. Behandlingstiden var mellan 12 veckor och 90 veckor. Baserat på de säkerhetsdata som erhållits har inga nya säkerhetsproblem identifierats (se avsnitt 5.1).
Det finns ingen specifik behandling för överdosering med evinakumab. I händelse av överdosering ska patienten behandlas symtomatiskt och stödjande åtgärder ska sättas in vid behov.
Evkeeza är avsett som ett komplement till diet och andra behandlingar för sänkning av kolesterol av typen lågdensitetslipoproteiner (LDL-C) hos vuxna och pediatriska patienter i åldern 6 månader och äldre med homozygot familjär hyperkolesterolemi (HoFH).
Innan behandlingen med evinakumab påbörjas ska patienten vara insatt på optimal behandling för sänkning av LDL-C.
Behandling med evinakumab bör initieras och övervakas av läkare med erfarenhet av behandling av lipidsjukdomar.
Dosering
Den rekommenderade dosen är 15 mg/kg kroppsvikt administrerad som intravenös infusion under 60 minuter, en gång i månaden (var fjärde vecka).
Om patienten har missat en dos ska den ges så snart som möjligt. Därefter ska behandling med evinakumab planeras varje månad från dagen för den senaste dosen.
Infusionshastigheten kan saktas ner, avbrytas eller stoppas om patienten utvecklar tecken på biverkningar, inklusive infusionsrelaterade symtom.
Evkeeza kan administreras utan hänsyn till lipoproteinaferes.
Äldre
Ingen dosjustering krävs för äldre patienter (se avsnitt 5.1 och 5.2).
Nedsatt njurfunktion
Ingen dosjustering krävs hos patienter med nedsatt njurfunktion (se avsnitt 5.2).
Nedsatt leverfunktion
Ingen dosjustering krävs hos patienter med nedsatt leverfunktion (se avsnitt 5.2).
Pediatrisk population
Ingen dosjustering krävs för pediatriska patienter i åldrarna 6 månader till 17 år (se avsnitt 4.8, 5.1 och 5.2). Säkerhet och effekt för Evkeezas för barn under 6 månader har inte fastställts. Inga data finns tillgängliga.
Administreringssätt
Evkeeza är endast avsett för intravenös infusion.
Administrering
Om lösningen förvarats i kylskåp ska lösningen nå rumstemperatur (upp till 25 ºC) före administrering.
Evinakumab ska administreras under 60 minuter som intravenös infusion genom en intravenös slang som innehåller ett sterilt, in-line-filter eller tilläggsfilter med maskstorlek 0,2 mikron–5 mikron. Administrera inte evinakumab med intravenös injektion eller bolus.
Blanda inte andra läkemedel med evinakumab eller administrera annat läkemedel samtidigt via samma infusionsslang.
Infusionshastigheten kan antingen saktas ner, avbrytas eller stoppas om patienten utvecklar tecken på biverkningar, inklusive infusionsrelaterade symtom.
Anvisningar om spädning av läkemedlet före administrering finns i avsnitt 6.6.
Överkänslighet mot den aktiva substansen eller mot något hjälpämne som anges i avsnitt 6.1.
Spårbarhet
För att underlätta spårbarhet av biologiska läkemedel ska läkemedlets namn och tillverkningssatsnummer dokumenteras.
Överkänslighetsreaktioner och infusionsreaktioner
Överkänslighetsreaktioner, inklusive anafylaxi och infusionsreaktioner, har rapporterats med evinakumab (se avsnitt 4.8). Om tecken eller symtom på allvarliga överkänslighets- eller infusionsreaktioner uppträder ska behandlingen med evinakumab avbrytas och patienten behandlas enligt gängse vårdrekommendationer samt övervakas tills tecken och symtom försvinner.
Hjälpämnen
Detta läkemedel innehåller 30 mg prolin per ml. Prolin kan vara skadligt för patienter som har hyperprolinemi typ I eller typ II.
Detta läkemedel innehåller 1 mg polysorbat 80 per ml. Polysorbater kan orsaka allergiska reaktioner.
Inga interaktionsstudier har utförts. Inga interaktionsmekanismer mellan evinakumab och andra lipidsänkande läkemedel har observerats.
Kvinnor i fertil ålder
Kvinnor i fertil ålder ska använda effektiva preventivmedel under behandling med evinakumab och i minst 5 månader efter den sista dosen av evinakumab.
Graviditet
Det finns en begränsad mängd data från användning av evinakumab hos gravida kvinnor. Djurstudier har visat reproduktionstoxicitet (se avsnitt 5.3). Humana IgG-antikroppar är kända för att passera placentabarriären; därför har evinakumab potential att överföras från modern till det utvecklande fostret. Evinakumab kan orsaka fosterskador när det ges till gravida kvinnor och det rekommenderas varken under graviditet eller till kvinnor i fertil ålder som inte använder effektiva preventivmedel om inte den förväntade nyttan för patienten överväger den potentiella risken för fostret.
Amning
Det är inte känt om evinakumab utsöndras i bröstmjölk. Humana IgG-antikroppar är kända för att utsöndras i bröstmjölk under de första dagarna efter födseln, men de minskar till låga koncentrationer strax därefter. Följaktligen kan risker för det ammade barnet inte uteslutas under denna korta period. Därefter kan Evkeeza användas under amning om det föreligger kliniskt behov.
Fertilitet
Inga humana data om evinakumabs påverkan på fertiliteten finns tillgängliga. Djurstudier tyder inte på skadliga effekter med avseende på fertilitet hos män och kvinnor (se avsnitt 5.3).
Evkeeza kan ha en mindre effekt på förmågan att cykla, framföra fordon och använda maskiner. Yrsel, fatigue och asteni kan förekomma efter administrering av Evkeeza (se avsnitt 4.8).
Sammanfattning av säkerhetsprofilen
De oftast förekommande biverkningarna är nasofaryngit (13,7 %), influensaliknande sjukdom (7,7 %), yrsel (6,0 %), ryggsmärtor (5,1 %) och illamående (5,1 %). Den allvarligaste biverkningen är anafylaxi (0,9 %).
Tabell över biverkningar
Tabell 1 visar förekomsten av biverkningar i kliniska prövningar av evinakumab-behandling hos 137 behandlade patienter (117 vuxna och ungdomar med HoFH och kvarstående hyperkolesterolemi från poolade kontrollerade kliniska prövningar och 20 pediatriska patienter i åldern > 5‑11 år med HoFH från Studie R1500-CL-17100). Biverkningar listas efter organsystemklass (SOC) och frekvens. Frekvensen definieras enligt följande: mycket vanliga (≥ 1/10); vanliga (≥ 1/100, < 1/10), mindre vanliga (≥ 1/1 000, < 1/100), sällsynta (≥ 1/10 000, < 1/1 000), mycket sällsynta (< 1/10 000), ingen känd frekvens (kan inte beräknas utifrån tillgängliga data). Inom varje frekvensgrupp anges biverkningarna efter fallande allvarlighetsgrad.
Tabell 1: Biverkningar
* Se avsnittet Pediatrisk population nedan.
Beskrivning av utvalda biverkningar
Överkänslighetsreaktioner
Anafylaxi rapporterades hos 1 (0,9 %) patient som behandlades med evinakumab (se avsnitt 4.4).
Infusionsreaktioner
Infusionsreaktioner (t.ex. klåda på infusionsstället) rapporterades hos 9 (7,7 %) patienter som behandlades med evinakumab och hos 2 (3,7 %) patienter som behandlades med placebo.
Pediatrisk population
Säkerhetsprofilen som observerades hos 14 ungdomar med HoFH i åldern 12–17 år som behandlades med intravenöst evinakumab 15 mg/kg var fjärde vecka överensstämde med säkerhetsprofilen för vuxna patienter med HoFH.
Säkerheten för evinakumab utvärderades hos 20 barn i åldern ≥ 5 till 11 år. Den säkerhetsprofil för evinakumab som observerades hos dessa patienter överensstämde med säkerhetsprofilen som observerades hos vuxna och ungdomar i åldern 12 år och äldre, med den ytterligare biverkningen trötthet. Trötthet rapporterades hos 3 (15 %) patienter (se avsnitt 5.1).
Data finns tillgängliga för fem patienter i åldern ≥ 1 till 5 år som behandlats med evinakumab genom licensförskrivning. Behandlingstiden var mellan 12 veckor och 90 veckor. Baserat på de säkerhetsdata som erhållits har inga nya säkerhetsproblem identifierats (se avsnitt 5.1).
Rapportering av misstänkta biverkningar
Det finns ingen specifik behandling för överdosering med evinakumab. I händelse av överdosering ska patienten behandlas symtomatiskt och stödjande åtgärder ska sättas in vid behov.
Detta var en multicenter, dubbelblind, randomiserad, placebokontrollerad studie som utvärderade effekten och säkerheten för evinakumab hos 65 patienter med HoFH, jämfört med placebo. Prövningen bestod av en 24-veckors dubbelblind behandlingsperiod och en 24-veckors öppen behandlingsperiod. Under den dubbelblinda behandlingsperioden randomiserades 43 patienter för att få intravenöst evinakumab 15 mg/kg var fjärde vecka och 22 patienter fick placebo. Patienterna hade en bakgrund av andra lipidsänkande behandlingar (t.ex. statiner, ezetimib, PCSK9-hämmande antikroppar, lomitapid och lipoproteinaferes). Diagnosen av HoFH bestämdes genom genetisk testning eller genom närvaron av följande kliniska kriterier: historik av en obehandlad total kolesterol (TC) > 500 mg/dl (13 mmol/l) tillsammans med antingen xantomatos före 10 års ålder eller bevis på TC > 250 mg/dl (6,47 mmol/l) hos båda föräldrarna. Patienter oavsett mutationsstatus inkluderades i studien. Patienterna definierades som noll/noll eller negativa/negativa varianter om variationerna resulterade i liten eller ingen kvarvarande LDLR-funktion; noll/noll-varianter definierades som förekomst av < 15 % LDLR-funktion baserat på in vitro analyser och negativa/negativa varianter definierades som att de hade för tidiga avslutningskodon, splice-site-variationer, ramförskjutningar, insättning/radering eller kopieringsvariationer. I denna studie hade 32,3 % (21 av 65) av patienterna noll/noll-varianter och 18,5 % (12 av 65) patienter hade negativa/negativa varianter.
Medel LDL-C vid baslinjen var 255,1 mg/dl (6,61 mmol/l) och i undergruppen av patienter med noll/noll-varianter var medel LDL-C 311,5 mg/dl (8,07 mmol/l) och hos negativa/negativa varianter var medel LDL-C 289,4 mg/dl (7,50 mmol/l). Vid baslinjen fick 93,8 % av patienterna statiner, 75,4 % fick ezetimib, 76,9 % fick PCSK9-hämmande antikroppar, 21,5 % fick lomitapid och 33,8 % fick lipoproteinaferes. Medelåldern vid baslinjen var 42 år (intervall 12–75 år) med 12,3 % ≥ 65 år; 53,8 % kvinnor, 73,8 % vita, 15,4 % asiatiska, 3,1 % svarta och 7,7 % övriga, eller ej rapporterade.
Det primära effektmåttet var en procentuell förändring av LDL-C från baslinje till vecka 24. Vid vecka 24 var minstakvadrat (LS) medelvärdet för skillnaden mellan behandlingen för evinakumab och placebo i genomsnittlig procentuell förändring av LDL-C från baslinjen -49,0 % (95 % KI: -65,0 % till -33,1 %; p < 0,0001). För effektresultat se tabell 2.
Tabell 2: Effekten av evinakumab på lipidparametrar hos patienter med HoFH i studien ELIPSE-HoFH
a nominellt p-värde eftersom TG inte är ett viktigt sekundärt effektmått
b Resultaten för genomsnittlig procentuell förändring vid vecka 24 presenteras utifrån den faktiska behandling som säkerhetspopulationen fick (evinakumab, n = 44; placebo, n = 20); det finns ingen formell statistisk testning i säkerhetspopulationen
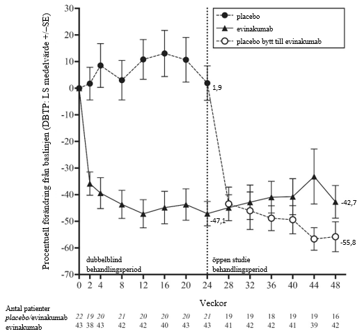
Efter den dubbelblinda behandlingsperioden fick 64 av de 65 randomiserade patienterna som gick in i den öppna behandlingsperioden evinakumab. Den genomsnittliga procentuella förändringen i LDL-C från baslinje till vecka 48 varierade från -42,7 % till -55,8 %. Figur 1 visar den genomsnittliga procentuella förändringen för LDL-C från baslinjen för den dubbelblinda och observerade genomsnittliga procentuella förändringen för de öppna behandlingsperioderna för patienter som fick evinakumab eller placebo under den dubbelblinda behandlingsperioden.
Figur 1: Beräknad genomsnittlig procentuell förändring för LDL-C LS från baslinjen över tid till vecka 24, och observerad genomsnittlig procentuell förändring från vecka 28 till vecka 48 i ELIPSE-HoFH-studien
Vid vecka 24 var den observerade minskningen av LDL-C med evinakumab liknande för alla fördefinierade undergrupper, inklusive ålder, kön noll/noll-varianter eller negativa/negativa varianter, samtidig behandling med lipoproteinaferes och samtidig lipidsänkande behandling medicinering (statiner, ezetimib, PCSK9-hämmande antikroppar och lomitapid). Effekten av evinakumab på kardiovaskulär morbiditet och mortalitet har inte fastställts.
Studie ELIPSE-OLE
Detta var en multicenter, öppen förlängningsstudiehos 116 patienter med HoFH. Data tillgängliga från 86 patienter vid 24 veckor visade en 43,6 % minskning av LDL-C efter evinakumabbehandling med 15 mg/kg var fjärde vecka i tillägg till andra lipidsänkande behandlingar (t.ex. statiner, ezetimib, PCSK9-hämmande antikroppar, lomitapid och lipoproteinaferes). Minskningar från baslinjen av LDL-C var konsekventa vid 48 och 96 veckor; den genomsnittliga procentuella förändringen från baslinjen av beräknat LDL-C vid 48 veckor (n = 95) var -43,9 % och vid 96 veckor (n = 63) -37,2 %. Patienter oavsett mutationsstatus inkluderades i studien, inklusive patienter med noll/noll eller negativa/negativa varianter.
Pediatrisk population
ELIPSE-HoFH
I ELIPSE-HoFH-studien fick 1 ungdom 15 mg/kg intravenöst evinakumab var fjärde vecka och 1 ungdom fick placebo som ett komplement till andra lipidsänkande behandlingar (t.ex. statiner, ezetimib, PCSK9-hämmande antikroppar och lipoproteinaferes). Båda ungdomarna hade noll/nollvarianter i LDLR. Vid vecka 24 var den procentuella förändringen i LDL-C med evinakumab - 73,3 % och med placebo +60 %.
ELIPSE-OLE
I ELIPSE-OLE-studien fick 14 ungdomar 15 mg/kg evinakumab intravenöst var fjärde vecka som ett komplement till andra lipidsänkande behandlingar (t.ex. statiner, ezetimib, PCSK9-hämmande antikroppar och lipoproteinaferes). Två patienter registrerades efter att ha fullföljt ELIPSE-HoFH-studien och 12 patienter var evinakumab-naiva. Medelvärdet för LDL-C vid baslinjen för dessa ungdomar var 300,4 mg/dl (7,88 mmol). Medelåldern var 14 år (intervall: 12–17 år), med 64,3 % män och 35,7 % kvinnor. Vid baslinjen fick alla patienter statiner, 71,4 % fick ezetimib, 42,9 % fick PCSK9-hämmande antikroppar och 64,3 % fick lipoproteinaferes. Fyra (28,6 %) patienter hade noll/nollvarianter och 4 (28,6 %) patienter hade negativa/negativa varianter för LDLR-mutationer. Vid vecka 24 var den procentuella förändringen i LDL-C med evinakumab -55,4 % (n = 12).
Studie R1500-CL-17100
Detta var en öppen, enarmad multicenterstudie i tre delar som utvärderar effekt, säkerhet och tolerabilitet av evinakumab hos barn i åldern ≥ 5 till 11 år med HoFH. Studien omfattar tre delar: Del A, Del B och Del C. Del A var en öppen singeldosstudie för att bedöma säkerhet, farmakokinetik (PK) och farmakodynamik (PD) för evinakumab 15 mg/kg intravenöst hos sex patienter med HoFH följt av en 16 veckor lång observationsperiod för att fastställa dosen för resten av studien. Del B var en enarmad, 24 veckor lång, öppen behandlingsperiod som utvärderade effekten och säkerheten av evinakumab 15 mg/kg intravenöst var fjärde vecka hos 14 patienter med HoFH. Del C var en förlängningsstudie från Del A och Del B som utvärderade den långvariga säkerheten av evinakumab 15 mg/kg intravenöst var fjärde vecka hos 20 patienter med HoFH. Den bestod av en 48 veckor lång behandlingsperiod och en 24 veckor lång uppföljningsperiod (pågående). Patienter i Del C inkluderades direkt från Del A eller Del B.
Patienterna stod på någon kombination av lipidsänkande behandlingar, inklusive högsta tolererade dos av statiner, ezetimib, lomitapid och lipoproteinaferes.
Diagnosen HoFH fastställdes genom genetisk testning eller genom förekomst av följande kliniska kriterier: anamnes på obehandlat total kolesterol > 13 mmol/l (> 500 mg/dl) och TG < 7,8 mmol/l (< 690 mg/dl) OCH antingen tendinöst xantom före 10 års ålder eller tecken på total kolesterol > 6,47 mmol/l (> 250 mg/dl) hos båda föräldrarna; LDL-C > 3,36 mmol/l (> 130 mg/dl); kroppsvikt ≥ 15 kg.
Totalt var medelvärdet för LDL-C vid baslinjen 7,8 mmol/l (301,9 mg/dl) för patienter i Del A och Del B. Vid baslinjen stod 90 % patienterna på statiner, 95 % på ezetimib och 60 % fick lipoproteinaferes.
Medelåldern vid baslinjen var 9,0 år (intervall ≥ 5 till < 12); 40 % män och 60 % kvinnor; 70 % vita, 5 % svarta, 10 % asiatiska, 5 % amerikansk ursprungsbefolkning eller ursprungsbefolkning i Alaska och 10 % övriga. Genomsnittlig kroppsvikt var 37,9 kg och kroppsmasseindex (BMI) var 18,8 kg/m2.
I Del B var det primära resultatmåttet för effekt procentuell förändring av beräknat LDL-C från baslinjen till Vecka 24. Vid Vecka 24 var den genomsnittliga procentuella förändringen av beräknat LDL-C från baslinjen -48,3 % (95 % konfidensintervall: -68,8 % till -27,8 %). Se tabell 3 för effektresultat.
Tabell 3: Lipidparametrar hos pediatriska patienter (≥ 5 till 11 år) med HoFH på andra lipidsänkande behandlingar vid Vecka 24
Vid Vecka 24 var minskningen av LDL-C med evinakumab liknande med avseende på alla baslinjeegenskaper, inklusive ålder, kön, begränsad LDLR-aktivitet, samtidig behandling med lipoproteinaferes och samtidiga lipidsänkande bakgrundsläkemedel (statiner, ezetimib och lomitapid).
Övriga utredningar
Effekten av evinakumab hos pediatriska patienter i åldern 6 månader till under 5 år har predikterats baserat på integrerade PK/PD-modeller och simuleringar (se avsnitt 5.2). Pediatriska patienter i åldern 6 månader till under 5 år som får evinakumab 15 mg/kg var fjärde vecka predikteras uppleva en liknande eller större procentuell förändring av LDL‑C vid vecka 24 jämfört med vuxna medan ett platåvärde uppnås vid högre absoluta LDL‑C-koncentrationer vid vecka 24.
Dessutom finns det tillgängliga data för fem patienter i åldern ≥ 1 till 5 med HoFH som fick evinakumab genom licensförskrivning. Den förskrivna dosen var 15 mg/kg evinakumab var fjärde vecka, dvs. samma dos som användes hos äldre barn och vuxna. Administrering av evinakumab visade en kliniskt meningsfull minskning av LDL‑C som var förenlig med den som i kliniska studier observerats hos patienter i åldern ≥5 år. Fördelarna omfattade en minskning av LDL‑C på 37,1 % vid vecka 90 hos en av patienterna där frekvensen av plasmaferesbehandling minskades under behandlingsperioden, och minskningar med 43,1 % vid vecka 72, 66,3 % vid vecka 62, 77,3 % vid vecka 16 respektive 75,0 % vid vecka 12 hos de andra patienterna. Hos patienter där frekvensen av plasmaferesbehandling minskades upphörde xantomatos helt efter cirka 1 års behandling med evinakumab.
Detta läkemedel har godkänts enligt reglerna om ”godkännande i undantagsfall”. Detta innebär att det inte har varit möjligt att få fullständig information om detta läkemedel eftersom sjukdomen är sällsynt. Europeiska läkemedelsmyndigheten går varje år igenom eventuell ny information som blir tillgänglig och uppdaterar denna produktresumé när så behövs.
Absorption
Evinakumab administreras intravenöst till patienter med HoFH. Baserat på populations-PK-modellering, vid slutet av infusionen vid steady-state, är den genomsnittliga ± SD Cmax 681 ± 185 mg/l hos vuxna patienter efter en dos på 15 mg/kg var fjärde vecka. Ackumuleringsförhållandet är cirka 2. Den genomsnittliga ± SD trågkoncentrationen vid steady-state är 230 ± 81,3 mg/l hos vuxna patienter.
Distribution
Distributionsvolymen vid steady-state uppskattad genom populations-PK-analys hos en typisk individ som väger 72 kg var cirka 4,9 liter hos vuxna patienter, som indikerar att evinakumab distribueras främst i det vaskulära systemet.
Metabolism
Specifika metabolismstudier genomfördes inte eftersom evinakumab är ett protein. Som en human monoklonal IgG4-antikropp förväntas evinakumab brytas ned till små peptider och aminosyror via kataboliska vägar på samma sätt som endogent IgG.
Eliminering
Eliminering av Evinakumab förmedlas genom parallella linjära och icke-linjära vägar. Vid högre koncentrationer sker eliminering av evinakumab huvudsakligen genom en icke-mättbar proteolytisk väg, medan vid lägre koncentrationer dominerar den icke-linjära mättbara ANGPTL3-målmedierade elimineringen. Halveringstiden för eliminering är en funktion av evinakumabs koncentrationer i serum och är inte konstant.
Efter den sista intravenösa steady-state-dosen på 15 mg/kg var fjärde vecka är mediantiden för reducering av evinakumab-koncentrationerna till under den nedre detektionsgränsen (78 ng/ml) cirka 21 veckor.
Linjäritet/icke-linjäritet
På grund av icke-linjär clearance sågs en något större än dosproportionell ökning med en 4,3-faldig ökning av arean under koncentrationstidskurvan vid steady-state (AUCtau.ss) för en trefaldig dosökning från intravenöst 5 mg/kg till 15 mg/kg var fjärde vecka.
Farmakokinetiska/farmakodynamiska förhållanden
Den farmakodynamiska effekten av evinakumab vid sänkning av LDL-C är indirekt och medierad genom bindning till ANGPTL3. Koncentrationen av total ANGPTL3 ökar från baslinjen efter administrering av evinakumab och ökningarna stagnerar när målmättnad närmar sig. När målet är mättat förväntas ytterligare ökning av koncentrationer av evinakumab inte leda till ytterligare minskning av LDL-C.
Särskilda populationer
En populations PK-analys utförd på data från 183 friska vuxna deltagare och 139 patienter med HoFH antyder att följande faktorer inte har någon kliniskt signifikant effekt på exponeringen för evinakumab: ålder (5 år till 75 år), kön, kroppsvikt (19,7–152 kg), etnicitet. Aferes verkade inte ha någon väsentlig inverkan på farmakokinetiken av evinakumab.
Pediatrisk population
Det fanns 14 patienter i åldern 12–17 år med HoFH som fick evinakumab intravenöst med 15 mg/kg var fjärde vecka, steady-state tråg och högsta koncentrationer låg i allmänhet inom intervallet för vuxna patienter. Medelvärdet för Cmax vid steady-state var 566 ± 206 mg/l hos patienter i åldern 12 till < 18 år med HoFH.
För de 20 patienter i åldern 5‑11 år med HoFH som fick evinakumab vid 15 mg/kg intravenöst var fjärde vecka var medelvärdet (SD) för dalvärdet vid steady-state för evinakumabkoncentration baserat på populationsfarmakokinetiska analyser 160 ± 57,6 mg/l och medelvärdet (SD) för Cmax vid steady-state 419 ± 99,4 mg/l hos patienter med HoFH i åldern 5‑11 år.
Farmakokinetiken för evinakumab hos barn under 5 år med HoFH
predikterades utifrån en modellbaserad extrapolationsanalys. Denna analys använde populationsfarmakokinetisk modellering och simulationer baserade på tidigare observerade data hos äldre barn, ungdomar och vuxna, tillsammans med antaganden om den biologiska utvecklingen och de patofysiologiska omständigheterna hos yngre barn med HoFH. De predikterade genomsnittliga dalvärdena för koncentrationer vid steady‑state och de genomsnittliga ackumuleringsförhållandena hos patienter i åldern 6 månader till under 5 år var lägre men låg inom de intervall som predikterades för patienter i åldern 5 år och äldre. Den predikterade genomsnittliga maximala koncentrationen vid steady‑state var 499 ± 185 mg/l för patienter i åldern 6 månader till under 2 år och 513 ± 179 mg/l för patienter i åldern 2 till under 5 år.
Nedsatt njurfunktion
Evinakumab förväntas inte genomgå någon signifikant elimination via njure. Observerade trågkoncentrationer vid steady-state var jämförbara mellan patienter med lätt eller måttligt nedsatt njurfunktion och patienter med normal njurfunktion. Det finna inga data om patienter med svårt nedsatt njurfunktion.
Nedsatt leverfunktion
Evinakumab förväntas inte genomgå någon signifikant elimination via lever. Det finna inga data om patienter med nedsatt leverfunktion.
Gängse studier avseende säkerhetsfarmakologi och upprepad dostoxicitet inklusiva juvenila toxicitetsstudier visade inte några särskilda risker för människa.
Cancerogenitet och mutagenicitet
Karcinogenicitets- och gentoxicitetsstudier har inte utförts med evinakumab. Monoklonala antikroppar förväntas inte förändra DNA eller kromosomer.
Reproduktionstoxikologi
Inga effekter på surrogatmarkörer för fertilitet hos manliga och kvinnliga reproduktionsorgan observerades i en 6-månaders kronisk toxikologisk studie med könsmogna cynomolgusapor. I reproduktionsstudier på djur administrerades evinakumab subkutant till dräktiga kaniner var tredje dag från graviditetsdag 7 till graviditetsdag 19 under organogenes. Maternell toxicitet (för tidig neonatal död, missfall och/eller för tidig förlossning) observerades vid alla doser och observationer i fostret (missbildningar i mjukvävnad och skelettet) gjordes i alla förutom den lägsta dosen (1 mg/kg). Den genomsnittliga systemiska exponeringen uppmätt under dräktighetsperioden hos kaniner var under den som uppmättes vid maximal rekommenderad human dos (MRHD) på 15 mg/kg var fjärde vecka. Eftersom kaninens lipidprofil skiljer sig avsevärt från människans profil, särskilt under graviditet, är den kliniska relevansen av dessa resultat osäker.
Det fanns inga effekter på embryofetal utveckling när råttor administrerades subkutant evinakumab var tredje dag från graviditetsdag 6 till graviditetsdag 18 under organogenes. Den genomsnittliga systemiska exponeringen uppmätt under dräktighetsperioden hos råttor var lägre än den som uppmättes vid MRHD 15 mg/kg var fjärde vecka.
Farmakoterapeutisk grupp: Andra lipidmodifierande medel, ATC-kod: C10AX17
Verkningsmekanism
Evinakumab är en rekombinant human monoklonal antikropp som specifikt binder till och hämmar ANGPTL3. ANGPTL3 är en medlem av den angiopoietinliknande proteinfamiljen som uttrycks främst i levern och spelar en roll i regleringen av lipidmetabolism genom att hämma lipoproteinlipas (LPL) och endotelial lipas (EL).
Evinakumab-blockad av ANGPTL3 sänker TG och HDL-C genom att frigöra respektive LPL- och EL-aktiviteter från ANGPTL3-hämningen. Evinakumab minskar LDL-C oberoende av närvaron av LDL-receptor (LDLR) genom att främja bearbetning av lipoprotein med mycket låg densitet (VLDL) och avlägsnande av VLDL-rester uppströms i förhållande till LDL-bildning genom den EL-beroende mekanismen.
Klinisk effekt och säkerhet
Homozygot familjär hyperkolesterolemi (HoFH)
Studie ELIPSE-HoFH
Detta var en multicenter, dubbelblind, randomiserad, placebokontrollerad studie som utvärderade effekten och säkerheten för evinakumab hos 65 patienter med HoFH, jämfört med placebo. Prövningen bestod av en 24-veckors dubbelblind behandlingsperiod och en 24-veckors öppen behandlingsperiod. Under den dubbelblinda behandlingsperioden randomiserades 43 patienter för att få intravenöst evinakumab 15 mg/kg var fjärde vecka och 22 patienter fick placebo. Patienterna hade en bakgrund av andra lipidsänkande behandlingar (t.ex. statiner, ezetimib, PCSK9-hämmande antikroppar, lomitapid och lipoproteinaferes). Diagnosen av HoFH bestämdes genom genetisk testning eller genom närvaron av följande kliniska kriterier: historik av en obehandlad total kolesterol (TC) > 500 mg/dl (13 mmol/l) tillsammans med antingen xantomatos före 10 års ålder eller bevis på TC > 250 mg/dl (6,47 mmol/l) hos båda föräldrarna. Patienter oavsett mutationsstatus inkluderades i studien. Patienterna definierades som noll/noll eller negativa/negativa varianter om variationerna resulterade i liten eller ingen kvarvarande LDLR-funktion; noll/noll-varianter definierades som förekomst av < 15 % LDLR-funktion baserat på in vitro analyser och negativa/negativa varianter definierades som att de hade för tidiga avslutningskodon, splice-site-variationer, ramförskjutningar, insättning/radering eller kopieringsvariationer. I denna studie hade 32,3 % (21 av 65) av patienterna noll/noll-varianter och 18,5 % (12 av 65) patienter hade negativa/negativa varianter.
Medel LDL-C vid baslinjen var 255,1 mg/dl (6,61 mmol/l) och i undergruppen av patienter med noll/noll-varianter var medel LDL-C 311,5 mg/dl (8,07 mmol/l) och hos negativa/negativa varianter var medel LDL-C 289,4 mg/dl (7,50 mmol/l). Vid baslinjen fick 93,8 % av patienterna statiner, 75,4 % fick ezetimib, 76,9 % fick PCSK9-hämmande antikroppar, 21,5 % fick lomitapid och 33,8 % fick lipoproteinaferes. Medelåldern vid baslinjen var 42 år (intervall 12–75 år) med 12,3 % ≥ 65 år; 53,8 % kvinnor, 73,8 % vita, 15,4 % asiatiska, 3,1 % svarta och 7,7 % övriga, eller ej rapporterade.
Det primära effektmåttet var en procentuell förändring av LDL-C från baslinje till vecka 24. Vid vecka 24 var minstakvadrat (LS) medelvärdet för skillnaden mellan behandlingen för evinakumab och placebo i genomsnittlig procentuell förändring av LDL-C från baslinjen -49,0 % (95 % KI: -65,0 % till -33,1 %; p < 0,0001). För effektresultat se tabell 2.
Tabell 2: Effekten av evinakumab på lipidparametrar hos patienter med HoFH i studien ELIPSE-HoFH
a nominellt p-värde eftersom TG inte är ett viktigt sekundärt effektmått
b Resultaten för genomsnittlig procentuell förändring vid vecka 24 presenteras utifrån den faktiska behandling som säkerhetspopulationen fick (evinakumab, n = 44; placebo, n = 20); det finns ingen formell statistisk testning i säkerhetspopulationen
Efter den dubbelblinda behandlingsperioden fick 64 av de 65 randomiserade patienterna som gick in i den öppna behandlingsperioden evinakumab. Den genomsnittliga procentuella förändringen i LDL-C från baslinje till vecka 48 varierade från -42,7 % till -55,8 %. Figur 1 visar den genomsnittliga procentuella förändringen för LDL-C från baslinjen för den dubbelblinda och observerade genomsnittliga procentuella förändringen för de öppna behandlingsperioderna för patienter som fick evinakumab eller placebo under den dubbelblinda behandlingsperioden.
Figur 1: Beräknad genomsnittlig procentuell förändring för LDL-C LS från baslinjen över tid till vecka 24, och observerad genomsnittlig procentuell förändring från vecka 28 till vecka 48 i ELIPSE-HoFH-studien
Vid vecka 24 var den observerade minskningen av LDL-C med evinakumab liknande för alla fördefinierade undergrupper, inklusive ålder, kön noll/noll-varianter eller negativa/negativa varianter, samtidig behandling med lipoproteinaferes och samtidig lipidsänkande behandling medicinering (statiner, ezetimib, PCSK9-hämmande antikroppar och lomitapid). Effekten av evinakumab på kardiovaskulär morbiditet och mortalitet har inte fastställts.
Studie ELIPSE-OLE
Detta var en multicenter, öppen förlängningsstudiehos 116 patienter med HoFH. Data tillgängliga från 86 patienter vid 24 veckor visade en 43,6 % minskning av LDL-C efter evinakumabbehandling med 15 mg/kg var fjärde vecka i tillägg till andra lipidsänkande behandlingar (t.ex. statiner, ezetimib, PCSK9-hämmande antikroppar, lomitapid och lipoproteinaferes). Minskningar från baslinjen av LDL-C var konsekventa vid 48 och 96 veckor; den genomsnittliga procentuella förändringen från baslinjen av beräknat LDL-C vid 48 veckor (n = 95) var -43,9 % och vid 96 veckor (n = 63) -37,2 %. Patienter oavsett mutationsstatus inkluderades i studien, inklusive patienter med noll/noll eller negativa/negativa varianter.
Pediatrisk population
ELIPSE-HoFH
I ELIPSE-HoFH-studien fick 1 ungdom 15 mg/kg intravenöst evinakumab var fjärde vecka och 1 ungdom fick placebo som ett komplement till andra lipidsänkande behandlingar (t.ex. statiner, ezetimib, PCSK9-hämmande antikroppar och lipoproteinaferes). Båda ungdomarna hade noll/nollvarianter i LDLR. Vid vecka 24 var den procentuella förändringen i LDL-C med evinakumab - 73,3 % och med placebo +60 %.
ELIPSE-OLE
I ELIPSE-OLE-studien fick 14 ungdomar 15 mg/kg evinakumab intravenöst var fjärde vecka som ett komplement till andra lipidsänkande behandlingar (t.ex. statiner, ezetimib, PCSK9-hämmande antikroppar och lipoproteinaferes). Två patienter registrerades efter att ha fullföljt ELIPSE-HoFH-studien och 12 patienter var evinakumab-naiva. Medelvärdet för LDL-C vid baslinjen för dessa ungdomar var 300,4 mg/dl (7,88 mmol). Medelåldern var 14 år (intervall: 12–17 år), med 64,3 % män och 35,7 % kvinnor. Vid baslinjen fick alla patienter statiner, 71,4 % fick ezetimib, 42,9 % fick PCSK9-hämmande antikroppar och 64,3 % fick lipoproteinaferes. Fyra (28,6 %) patienter hade noll/nollvarianter och 4 (28,6 %) patienter hade negativa/negativa varianter för LDLR-mutationer. Vid vecka 24 var den procentuella förändringen i LDL-C med evinakumab -55,4 % (n = 12).
Studie R1500-CL-17100
Detta var en öppen, enarmad multicenterstudie i tre delar som utvärderar effekt, säkerhet och tolerabilitet av evinakumab hos barn i åldern ≥ 5 till 11 år med HoFH. Studien omfattar tre delar: Del A, Del B och Del C. Del A var en öppen singeldosstudie för att bedöma säkerhet, farmakokinetik (PK) och farmakodynamik (PD) för evinakumab 15 mg/kg intravenöst hos sex patienter med HoFH följt av en 16 veckor lång observationsperiod för att fastställa dosen för resten av studien. Del B var en enarmad, 24 veckor lång, öppen behandlingsperiod som utvärderade effekten och säkerheten av evinakumab 15 mg/kg intravenöst var fjärde vecka hos 14 patienter med HoFH. Del C var en förlängningsstudie från Del A och Del B som utvärderade den långvariga säkerheten av evinakumab 15 mg/kg intravenöst var fjärde vecka hos 20 patienter med HoFH. Den bestod av en 48 veckor lång behandlingsperiod och en 24 veckor lång uppföljningsperiod (pågående). Patienter i Del C inkluderades direkt från Del A eller Del B.
Patienterna stod på någon kombination av lipidsänkande behandlingar, inklusive högsta tolererade dos av statiner, ezetimib, lomitapid och lipoproteinaferes.
Diagnosen HoFH fastställdes genom genetisk testning eller genom förekomst av följande kliniska kriterier: anamnes på obehandlat total kolesterol > 13 mmol/l (> 500 mg/dl) och TG < 7,8 mmol/l (< 690 mg/dl) OCH antingen tendinöst xantom före 10 års ålder eller tecken på total kolesterol > 6,47 mmol/l (> 250 mg/dl) hos båda föräldrarna; LDL-C > 3,36 mmol/l (> 130 mg/dl); kroppsvikt ≥ 15 kg.
Totalt var medelvärdet för LDL-C vid baslinjen 7,8 mmol/l (301,9 mg/dl) för patienter i Del A och Del B. Vid baslinjen stod 90 % patienterna på statiner, 95 % på ezetimib och 60 % fick lipoproteinaferes.
Medelåldern vid baslinjen var 9,0 år (intervall ≥ 5 till < 12); 40 % män och 60 % kvinnor; 70 % vita, 5 % svarta, 10 % asiatiska, 5 % amerikansk ursprungsbefolkning eller ursprungsbefolkning i Alaska och 10 % övriga. Genomsnittlig kroppsvikt var 37,9 kg och kroppsmasseindex (BMI) var 18,8 kg/m2.
I Del B var det primära resultatmåttet för effekt procentuell förändring av beräknat LDL-C från baslinjen till Vecka 24. Vid Vecka 24 var den genomsnittliga procentuella förändringen av beräknat LDL-C från baslinjen -48,3 % (95 % konfidensintervall: -68,8 % till -27,8 %). Se tabell 3 för effektresultat.
Tabell 3: Lipidparametrar hos pediatriska patienter (≥ 5 till 11 år) med HoFH på andra lipidsänkande behandlingar vid Vecka 24
Vid Vecka 24 var minskningen av LDL-C med evinakumab liknande med avseende på alla baslinjeegenskaper, inklusive ålder, kön, begränsad LDLR-aktivitet, samtidig behandling med lipoproteinaferes och samtidiga lipidsänkande bakgrundsläkemedel (statiner, ezetimib och lomitapid).
Övriga utredningar
Effekten av evinakumab hos pediatriska patienter i åldern 6 månader till under 5 år har predikterats baserat på integrerade PK/PD-modeller och simuleringar (se avsnitt 5.2). Pediatriska patienter i åldern 6 månader till under 5 år som får evinakumab 15 mg/kg var fjärde vecka predikteras uppleva en liknande eller större procentuell förändring av LDL‑C vid vecka 24 jämfört med vuxna medan ett platåvärde uppnås vid högre absoluta LDL‑C-koncentrationer vid vecka 24.
Dessutom finns det tillgängliga data för fem patienter i åldern ≥ 1 till 5 med HoFH som fick evinakumab genom licensförskrivning. Den förskrivna dosen var 15 mg/kg evinakumab var fjärde vecka, dvs. samma dos som användes hos äldre barn och vuxna. Administrering av evinakumab visade en kliniskt meningsfull minskning av LDL‑C som var förenlig med den som i kliniska studier observerats hos patienter i åldern ≥5 år. Fördelarna omfattade en minskning av LDL‑C på 37,1 % vid vecka 90 hos en av patienterna där frekvensen av plasmaferesbehandling minskades under behandlingsperioden, och minskningar med 43,1 % vid vecka 72, 66,3 % vid vecka 62, 77,3 % vid vecka 16 respektive 75,0 % vid vecka 12 hos de andra patienterna. Hos patienter där frekvensen av plasmaferesbehandling minskades upphörde xantomatos helt efter cirka 1 års behandling med evinakumab.
Detta läkemedel har godkänts enligt reglerna om ”godkännande i undantagsfall”. Detta innebär att det inte har varit möjligt att få fullständig information om detta läkemedel eftersom sjukdomen är sällsynt. Europeiska läkemedelsmyndigheten går varje år igenom eventuell ny information som blir tillgänglig och uppdaterar denna produktresumé när så behövs.
Absorption
Evinakumab administreras intravenöst till patienter med HoFH. Baserat på populations-PK-modellering, vid slutet av infusionen vid steady-state, är den genomsnittliga ± SD Cmax 681 ± 185 mg/l hos vuxna patienter efter en dos på 15 mg/kg var fjärde vecka. Ackumuleringsförhållandet är cirka 2. Den genomsnittliga ± SD trågkoncentrationen vid steady-state är 230 ± 81,3 mg/l hos vuxna patienter.
Distribution
Distributionsvolymen vid steady-state uppskattad genom populations-PK-analys hos en typisk individ som väger 72 kg var cirka 4,9 liter hos vuxna patienter, som indikerar att evinakumab distribueras främst i det vaskulära systemet.
Metabolism
Specifika metabolismstudier genomfördes inte eftersom evinakumab är ett protein. Som en human monoklonal IgG4-antikropp förväntas evinakumab brytas ned till små peptider och aminosyror via kataboliska vägar på samma sätt som endogent IgG.
Eliminering
Eliminering av Evinakumab förmedlas genom parallella linjära och icke-linjära vägar. Vid högre koncentrationer sker eliminering av evinakumab huvudsakligen genom en icke-mättbar proteolytisk väg, medan vid lägre koncentrationer dominerar den icke-linjära mättbara ANGPTL3-målmedierade elimineringen. Halveringstiden för eliminering är en funktion av evinakumabs koncentrationer i serum och är inte konstant.
Efter den sista intravenösa steady-state-dosen på 15 mg/kg var fjärde vecka är mediantiden för reducering av evinakumab-koncentrationerna till under den nedre detektionsgränsen (78 ng/ml) cirka 21 veckor.
Linjäritet/icke-linjäritet
På grund av icke-linjär clearance sågs en något större än dosproportionell ökning med en 4,3-faldig ökning av arean under koncentrationstidskurvan vid steady-state (AUCtau.ss) för en trefaldig dosökning från intravenöst 5 mg/kg till 15 mg/kg var fjärde vecka.
Farmakokinetiska/farmakodynamiska förhållanden
Den farmakodynamiska effekten av evinakumab vid sänkning av LDL-C är indirekt och medierad genom bindning till ANGPTL3. Koncentrationen av total ANGPTL3 ökar från baslinjen efter administrering av evinakumab och ökningarna stagnerar när målmättnad närmar sig. När målet är mättat förväntas ytterligare ökning av koncentrationer av evinakumab inte leda till ytterligare minskning av LDL-C.
Särskilda populationer
En populations PK-analys utförd på data från 183 friska vuxna deltagare och 139 patienter med HoFH antyder att följande faktorer inte har någon kliniskt signifikant effekt på exponeringen för evinakumab: ålder (5 år till 75 år), kön, kroppsvikt (19,7–152 kg), etnicitet. Aferes verkade inte ha någon väsentlig inverkan på farmakokinetiken av evinakumab.
Pediatrisk population
Det fanns 14 patienter i åldern 12–17 år med HoFH som fick evinakumab intravenöst med 15 mg/kg var fjärde vecka, steady-state tråg och högsta koncentrationer låg i allmänhet inom intervallet för vuxna patienter. Medelvärdet för Cmax vid steady-state var 566 ± 206 mg/l hos patienter i åldern 12 till < 18 år med HoFH.
För de 20 patienter i åldern 5‑11 år med HoFH som fick evinakumab vid 15 mg/kg intravenöst var fjärde vecka var medelvärdet (SD) för dalvärdet vid steady-state för evinakumabkoncentration baserat på populationsfarmakokinetiska analyser 160 ± 57,6 mg/l och medelvärdet (SD) för Cmax vid steady-state 419 ± 99,4 mg/l hos patienter med HoFH i åldern 5‑11 år.
Farmakokinetiken för evinakumab hos barn under 5 år med HoFH
predikterades utifrån en modellbaserad extrapolationsanalys. Denna analys använde populationsfarmakokinetisk modellering och simulationer baserade på tidigare observerade data hos äldre barn, ungdomar och vuxna, tillsammans med antaganden om den biologiska utvecklingen och de patofysiologiska omständigheterna hos yngre barn med HoFH. De predikterade genomsnittliga dalvärdena för koncentrationer vid steady‑state och de genomsnittliga ackumuleringsförhållandena hos patienter i åldern 6 månader till under 5 år var lägre men låg inom de intervall som predikterades för patienter i åldern 5 år och äldre. Den predikterade genomsnittliga maximala koncentrationen vid steady‑state var 499 ± 185 mg/l för patienter i åldern 6 månader till under 2 år och 513 ± 179 mg/l för patienter i åldern 2 till under 5 år.
Nedsatt njurfunktion
Evinakumab förväntas inte genomgå någon signifikant elimination via njure. Observerade trågkoncentrationer vid steady-state var jämförbara mellan patienter med lätt eller måttligt nedsatt njurfunktion och patienter med normal njurfunktion. Det finna inga data om patienter med svårt nedsatt njurfunktion.
Nedsatt leverfunktion
Evinakumab förväntas inte genomgå någon signifikant elimination via lever. Det finna inga data om patienter med nedsatt leverfunktion.
Gängse studier avseende säkerhetsfarmakologi och upprepad dostoxicitet inklusiva juvenila toxicitetsstudier visade inte några särskilda risker för människa.
Cancerogenitet och mutagenicitet
Karcinogenicitets- och gentoxicitetsstudier har inte utförts med evinakumab. Monoklonala antikroppar förväntas inte förändra DNA eller kromosomer.
Reproduktionstoxikologi
Inga effekter på surrogatmarkörer för fertilitet hos manliga och kvinnliga reproduktionsorgan observerades i en 6-månaders kronisk toxikologisk studie med könsmogna cynomolgusapor. I reproduktionsstudier på djur administrerades evinakumab subkutant till dräktiga kaniner var tredje dag från graviditetsdag 7 till graviditetsdag 19 under organogenes. Maternell toxicitet (för tidig neonatal död, missfall och/eller för tidig förlossning) observerades vid alla doser och observationer i fostret (missbildningar i mjukvävnad och skelettet) gjordes i alla förutom den lägsta dosen (1 mg/kg). Den genomsnittliga systemiska exponeringen uppmätt under dräktighetsperioden hos kaniner var under den som uppmättes vid maximal rekommenderad human dos (MRHD) på 15 mg/kg var fjärde vecka. Eftersom kaninens lipidprofil skiljer sig avsevärt från människans profil, särskilt under graviditet, är den kliniska relevansen av dessa resultat osäker.
Det fanns inga effekter på embryofetal utveckling när råttor administrerades subkutant evinakumab var tredje dag från graviditetsdag 6 till graviditetsdag 18 under organogenes. Den genomsnittliga systemiska exponeringen uppmätt under dräktighetsperioden hos råttor var lägre än den som uppmättes vid MRHD 15 mg/kg var fjärde vecka.
Ur mikrobiologisk synvinkel ska produkten användas omedelbart. Om produkten inte används omedelbart är det användarens ansvar att följa förvaringstiderna under användning och förhållandena före användning.
Om den utspädda lösningen inte administreras omedelbart kan den förvaras tillfälligt antingen:
vid 2 °C–8 °C i högst 24 timmar från infusionsberedningen till genomförd infusion
eller
vid rumstemperatur upp till 25 ºC under högst 6 timmar från tiden för infusionsberedningen till genomförd infusion.
Oöppnad injektionsflaska
Förvaras i kylskåp (2 ºC–8 ºC).
Förvara i ytterkartongen. Ljuskänsligt.
Får ej frysas.
Får ej skakas.
Förvaringsanvisningar för läkemedlet efter spädning finns i avsnitt 6.3.
2,3 ml koncentrat i en 3 ml genomskinlig injektionsflaska av typ 1 med en grå klorbutylpropp med beläggning och ett förseglingslock med snäpplock innehållande 345 mg evinakumab.
Förpackningsstorlek med 1 injektionsflaska.
8 ml koncentrat i en 20 ml genomskinlig injektionsflaska av typ 1, med en grå klorbutylpropp med beläggning och ett förseglingslock med snäpplock innehållande 1 200 mg evinakumab. Förpackningsstorlek med 1 injektionsflaska.
Förpackningsstorlek med 1 injektionsflaska.
Eventuellt kommer inte alla förpackningsstorlekar att marknadsföras.
Beredning av lösningen
Evkeeza tillhandahålls endast som en injektionsflaska för engångsbruk. Under beredning och rekonstituering ska en strikt aseptisk teknik användas.
Inspektera läkemedlet visuellt med avseende på grumlighet, missfärgning eller partiklar före administrering.
Kassera injektionsflaskan om lösningen är grumlig eller missfärgad eller innehåller partiklar.
Injektionsflaskan får inte skakas.
Dra upp volymen evinakumab som krävs från injektionsflaskan(orna) baserat på patientens kroppsvikt och överför den till en intravenös infusionspåse innehållande natriumklorid 9 mg/ml (0,9 %) eller dextros 50 mg/ml (5 %) för infusion. Blanda den utspädda lösningen genom att försiktigt vända påsen upp och ner.
För patienter som väger 45 kg eller mer ska den intravenösa infusionspåsen innehålla en högsta volym på 250 ml med 9 mg/ml (0,9 %) natriumklorid eller 50 mg/ml (5 %) dextros.
För patienter som väger 26‑44 kg ska den intravenösa infusionspåsen innehålla en högsta volym på 150 ml med 9 mg/ml (0,9 %) natriumklorid eller 50 mg/ml (5 %) dextros.
För patienter som väger 3‑25 kg ska den intravenösa infusionspåsen innehålla en högsta volym på 5 ml/kg. Motsvarande volym för patienter som väger 3‑25 kg ska ligga inom intervallet 15‑125 ml med 9 mg/ml (0,9 %) natriumklorid eller 50 mg/ml (5 %) dextros administrerad vid en hastighet på högst 5 ml/kg/timme.
Lösningen får inte frysas eller skakas.
Kassera det oanvända som finns kvar i injektionsflaskan.
Ej använt läkemedel och avfall ska kasseras enligt gällande anvisningar.
Prolin
Argininhydroklorid
Histidinhydrokloridmonohydrat
Polysorbat 80
Histidin
Vatten för injektionsvätskor
Detta läkemedel får inte blandas med andra läkemedel förutom de som nämns i avsnitt 6.6.
Oöppnad injektionsflaska
4 år
Efter spädning
Ur mikrobiologisk synvinkel ska produkten användas omedelbart. Om produkten inte används omedelbart är det användarens ansvar att följa förvaringstiderna under användning och förhållandena före användning.
Om den utspädda lösningen inte administreras omedelbart kan den förvaras tillfälligt antingen:
vid 2 °C–8 °C i högst 24 timmar från infusionsberedningen till genomförd infusion
eller
vid rumstemperatur upp till 25 ºC under högst 6 timmar från tiden för infusionsberedningen till genomförd infusion.
Oöppnad injektionsflaska
Förvaras i kylskåp (2 ºC–8 ºC).
Förvara i ytterkartongen. Ljuskänsligt.
Får ej frysas.
Får ej skakas.
Förvaringsanvisningar för läkemedlet efter spädning finns i avsnitt 6.3.
2,3 ml koncentrat i en 3 ml genomskinlig injektionsflaska av typ 1 med en grå klorbutylpropp med beläggning och ett förseglingslock med snäpplock innehållande 345 mg evinakumab.
Förpackningsstorlek med 1 injektionsflaska.
8 ml koncentrat i en 20 ml genomskinlig injektionsflaska av typ 1, med en grå klorbutylpropp med beläggning och ett förseglingslock med snäpplock innehållande 1 200 mg evinakumab. Förpackningsstorlek med 1 injektionsflaska.
Förpackningsstorlek med 1 injektionsflaska.
Eventuellt kommer inte alla förpackningsstorlekar att marknadsföras.
Beredning av lösningen
Evkeeza tillhandahålls endast som en injektionsflaska för engångsbruk. Under beredning och rekonstituering ska en strikt aseptisk teknik användas.
Inspektera läkemedlet visuellt med avseende på grumlighet, missfärgning eller partiklar före administrering.
Kassera injektionsflaskan om lösningen är grumlig eller missfärgad eller innehåller partiklar.
Injektionsflaskan får inte skakas.
Dra upp volymen evinakumab som krävs från injektionsflaskan(orna) baserat på patientens kroppsvikt och överför den till en intravenös infusionspåse innehållande natriumklorid 9 mg/ml (0,9 %) eller dextros 50 mg/ml (5 %) för infusion. Blanda den utspädda lösningen genom att försiktigt vända påsen upp och ner.
För patienter som väger 45 kg eller mer ska den intravenösa infusionspåsen innehålla en högsta volym på 250 ml med 9 mg/ml (0,9 %) natriumklorid eller 50 mg/ml (5 %) dextros.
För patienter som väger 26‑44 kg ska den intravenösa infusionspåsen innehålla en högsta volym på 150 ml med 9 mg/ml (0,9 %) natriumklorid eller 50 mg/ml (5 %) dextros.
För patienter som väger 3‑25 kg ska den intravenösa infusionspåsen innehålla en högsta volym på 5 ml/kg. Motsvarande volym för patienter som väger 3‑25 kg ska ligga inom intervallet 15‑125 ml med 9 mg/ml (0,9 %) natriumklorid eller 50 mg/ml (5 %) dextros administrerad vid en hastighet på högst 5 ml/kg/timme.
Lösningen får inte frysas eller skakas.
Kassera det oanvända som finns kvar i injektionsflaskan.
Ej använt läkemedel och avfall ska kasseras enligt gällande anvisningar.
Produktresumén är företagets information om läkemedlet riktat till förskrivare och personal inom sjukvård och apotek. Dokumentet är godkända av Läkemedelsverket eller den europeiska läkemedelsmyndigheten EMA i samband med att läkemedlet godkänns för marknadsföring.