Klar, färglös till gul, viskös lösning utan synliga partiklar.
Fulvestrant SUN 250 mg injektionsvätska, lösning, förfylld spruta
Varje förfylld spruta av 5 ml innehåller 250 mg fulvestrant.
Varje ml lösning innehåller 50 mg fulvestrant.
Hjälpämnen med känd effekt
Varje förfylld spruta av 5 ml innehåller 500 mg etanol 96% (alkohol), 500 mg bensylalkohol (E1519), 750 mg bensylbensoat, upp till 5 ml ricinolja, raffinerad.
För fullständig förteckning över hjälpämnen, se avsnitt 6.1.
Injektionsvätska, lösning, förfylld spruta
Klar, färglös till gul, viskös lösning utan synliga partiklar.
Sun Pharmaceutical Industries Europe B.V.
Polarisavenue 87
2132 JH Hoofddorp
Nederländerna
56205
Första godkännandet: 2018-05-28
2024-11-29
Rekommenderad dos är 500 mg en gång per månad, med en extra dos på 500 mg två veckor efter den initiala dosen.
Se även produktresumén för palbociklib när fulvestrant används i kombination med palbociklib.
Före och under hela behandlingen med kombinationen fulvestrant plus palbociklib bör pre/perimenopausala kvinnor behandlas med LHRH-agonister enligt lokal klinisk praxis.
Särskilda populationer
Nedsatt njurfunktion
Inga dosjusteringar rekommenderas hos patienter med lätt till måttligt nedsatt njurfunktion (kreatininclearance ≥ 30 ml/min). Hos patienter med svårt nedsatt njurfunktion (kreatininclearance <30 ml/min) har säkerhet och effekt inte utvärderats varför försiktighet rekommenderas i dessa fall (se avsnitt 4.4).
Nedsatt leverfunktion
Inga dosjusteringar rekommenderas hos patienter med lätt till måttligt nedsatt leverfunktion. Eftersom exponeringen av fulvestrant dock kan komma att öka bör fulvestrant användas med försiktighet hos dessa patienter. Det finns inga data för patienter med svårt nedsatt leverfunktion (se avsnitten 4.3, 4.4 och 5.2).
Pediatrisk population
Effekt och säkerhet av fulvestrant på barn från nyfödd upp till 18 års ålder har ännu inte fastställts. Tillgänglig information finns i avsnitt 5.1 och 5.2, men ingen doseringsrekommendation kan fastställas.
Administreringssätt
Fulvestrant ska administreras som två efter varandra följande 5 ml injektioner genom långsam intramuskulär injektion (1-2 minuter/injektion), en i varje skinka.
På grund av närheten till den underliggande ischiasnerven ska försiktighet iakttas om fulvestrant injiceras dorsoglutealt.
Anvisningar för läkemedlet före administrering finns i avsnitt 6.6.
överkänslighet mot den aktiva substansen eller mot något hjälpämne som anges i avsnitt 6.1
graviditet och amning (se avsnitt 4.6).
svår leverfunktionsnedsättning (se avsnitten 4.4 och 5.2).
Försiktighet bör iakttas vid användning till patienter med lätt till måttligt nedsatt leverfunktion (se avsnitten 4.2, 4.3 och 5.2).
Försiktighet bör iakttas vid användning till patienter med svårt nedsatt njurfunktion (kreatininclearance mindre än 30 ml/min).
På grund av det intramuskulära administreringssättet bör försiktighet iakttas när fulvestrant administreras till patienter med känd blödningsrubbning eller trombocytopeni eller behandlas med antikoagulantia.
Tromboemboliska händelser är vanligt förekommande hos kvinnor med avancerad bröstcancer vilket har observerats i kliniska studier med fulvestrant (se avsnitt 4.8). Detta bör tas i beaktande när fulvestrant förskrivs till patienter med ökad risk för tromboembolism.
Biverkningar relaterade till injektionsområdet såsom ischias, neuralgi, neuropatisk smärta och perifer neuropati har rapporterats vid fulvestrant-injektioner. På grund av närheten till den underliggande ischiasnerven måste försiktighet iakttas om fulvestrant administreras vid det dorsogluteala injektionsstället (se avsnitt 4.2 och 4.8).
Långtidseffektdata för fulvestrant på benvävnad saknas. På grund av fulvestrants verkningsmekanism finns det en potentiell risk för osteoporos.
Effekten och säkerheten för fulvestrant (antingen som monoterapi eller i kombination med palbociklib) har inte studerats hos patienter med kritisk visceral sjukdom.
Se även produktresumén för palbociklib när fulvestrant kombineras med palbociklib.
Interferens med östradiol-antikroppsanalyser
På grund av den strukturella likheten mellan fulvestrant och östradiol, kan fulvestrant störa antikroppsbaserade östradiolanalyser och leda till falskt förhöjda nivåer av östradiol.
Pediatrisk population
Fulvestrant rekommenderas inte till barn och ungdomar eftersom säkerhet och effekt inte har fastställts för denna patientgrupp (se avsnitt 5.1).
Hjälpämnen
Detta läkemedel innehåller 10 % vikt/volym etanol (alkohol) d.v.s. upp till 1 g per dos, motsvarande 20 ml öl, eller 8 ml vin per dos. Skadligt för personer som lider av alkoholism. Ska uppmärksammas av gravida eller ammande kvinnor och högriskgrupper såsom patienter med leversjukdom eller epilepsi.
Detta läkemedel innehåller ricinolja, vilket kan ge allvarliga allergiska reaktioner.
Detta läkemedel innehåller 1 g bensylalkohol per dos, motsvarande 100 mg/ml. Bensylalkohol kan orsaka allergiska reaktioner.
Stora volymer ska användas med försiktighet och endast om absolut nödvändigt, särskilt till gravida eller ammande kvinnor och patienter med nedsatt leverfunktion eller nedsatt njurfunktion p.g.a. risken för ackumulering och toxicitet (metabolisk acidos).
En klinisk interaktionsstudie med midazolam (substrat av CYP3A4) visade att fulvestrant inte hämmar CYP3A4. Kliniska interaktionsstudier med rifampicin (inducerare av CYP 3A4) och ketokonazol (hämmare av CYP 3A4) visade inte någon kliniskt relevant förändring i clearance av fulvestrant. Dosjustering är därför inte nödvändigt hos patienter som får fulvestrant samtidigt med CYP 3A4-hämmare eller -inducerare.
Fertila kvinnor
Patienter som kan tänkas bli gravida ska använda ett effektivt preventivmedel under behandlingen med fulvestrant och i 2 år efter sista dosen.
Graviditet
Fulvestrant är kontraindicerat under graviditet (se avsnitt 4.3). Efter enstaka intramuskulära doser i råtta och kanin har fulvestrant visats passera placentan. Djurstudier har visat reproduktionstoxikologiska effekter såsom ökad incidens av fostermissbildningar och dödsfall (se avsnitt 5.3).
Om graviditet under behandling med fulvestrant inträffar ska patienten informeras om de potentiella riskerna för fostret och den potentiella risken för missfall.
Amning
Amning måste avbrytas vid behandling med fulvestrant. Fulvestrant utsöndras i mjölk hos lakterande råtta. Det är okänt om fulvestrant utsöndras i bröstmjölk. Med hänsyn till den potentiella risken för allvarliga biverkningar orsakade av fulvestrant hos spädbarn som ammas, är användning under amning kontraindicerat (se avsnitt 4.3).
Fertilitet
Effekten av fulvestrant på fertilitet hos människa har inte studerats.
Fulvestrant har ingen eller försumbar effekt på förmågan att framföra fordon och använda maskiner. Eftersom kraftlöshet har rapporterats som en mycket vanlig biverkan vid användning av fulvestrant ska dock patienter som känner av denna biverkan iaktta försiktighet vid bilkörning och användning av maskiner.
Sammanfattning av säkerhetsprofilen
Monoterapi
Detta avsnitt omfattar information baserad på alla biverkningar som rapporterats från kliniska studier, marknadsstudier och spontana rapporter. I den poolade datauppsättningen för fulvestrant monoterapi var de mest frekventa rapporterade biverkningarna reaktioner vid injektionsstället, kraftlöshet, illamående och förhöjda nivåer av leverenzymer (ALAT, ASAT, ALP).
I tabell 1 är följande frekvenskategorier för biverkningar beräknade på basis av en grupp behandlad med fulvestrant 500 mg i de poolade säkerhetsanalyserna av studier där fulvestrant 500 mg jämförs med fulvestrant 250 mg [CONFIRM (studie D6997C00002), FINDER 1 (studie D6997C00004), FINDER 2 (studie D6997C00006) och NEWEST (studie D6997C00003)], eller från FALCON (studie D699BC00001) ensam, där fulvestrant 500 mg jämförs med anastrozol 1 mg. När frekvenserna skiljer sig mellan de poolade säkerhetsanalyserna och FALCON visas den högsta frekvensen. Frekvenserna i tabell 1 baseras på alla rapporterade fall, oavsett prövarens utvärdering av orsakssambandet.
Mediandurationen för behandling med fulvestrant 500 mg över den poolade datauppsättningen (inklusive de ovan nämnda studierna plus FALCON) var 6,5 månader.
Lista på biverkningar i tabellform
Biverkningarna listade nedan är klassificerade efter frekvens och organsystem. Frekvensgrupperna är definierade enligt följande konvention: mycket vanliga (≥1/10), vanliga (≥1/100, <1/10), mindre vanliga (≥1/1 000, <1/100). Inom varje frekvensgrupp rapporteras biverkningarna med avtagande allvarlighetsgrad.
Tabell 1 Biverkningar rapporterade hos patienter behandlade med fulvestrant som monoterapi
a. Inkluderar biverkningar för vilka den exakta omfattningen av inverkan av fulvestrant inte kan fastställas på grund av den underliggande sjukdomen.
b. Termen reaktioner vid injektionsstället inkluderar inte blödning vid injektionsstället, blåmärken vid injektionsstället, ischias, neuralgi eller perifer neuropati.
c. Biverkningen observerades inte i större kliniska studier (CONFIRM, FINDER 1, FINDER 2, NEWEST). Frekvensen har beräknats med hjälp av övre gränsen av det 95 % konfidensintervallet för punktskattningen. Detta beräknas som 3/560 (där 560 är antalet patienter i de större kliniska studierna), som motsvarar frekvenskategorin ”mindre vanliga”.
d. Omfattar: artralgi och mindre frekvent muskuloskeletal smärta, myalgi och smärta i extremitet.
e. Frekvenskategorin skiljer sig mellan poolad säkerhetsdatauppsättning och FALCON.
f. Biverkningen observerades inte i FALCON
Beskrivning av valda biverkningar
Beskrivningarna som inkluderas nedan baserar sig på säkerhetsanalyser från 228 patienter som fick minst en (1) dos fulvestrant och 232 patienter som fick minst en (1) dos anastrozol i FALCON fas 3-studien.
Ledsmärta och muskuloskeletal smärta
I FALCON-studien var antalet patienter som rapporterade biverkningarna ledsmärta och muskuloskeletal smärta 65 (31,2 %) och 48 (24,1 %) för fulvestrant- respektive anastrozolarmarna. Av de 65 patienterna i fulvestrant-armen rapporterade 40 % (26/65) av patienterna ledsmärta och muskuloskeletal smärta inom den första behandlingsmånaden, och 66,2 % (43/65) av patienterna inom de första 3 behandlingsmånaderna. Inga patienter rapporterade biverkningar som var CTCAE grad ≥ 3 eller som krävde dosreduktion, dosavbrott eller utsättning av behandlingen på grund av dessa biverkningar.
Kombinationsbehandling med palbociklib
Den övergripande säkerhetsprofilen för fulvestrant vid användning i kombination med palbociklib baseras på data från 517 patienter med HR-positiv, HER2-negativ avancerad eller metastatisk bröstcancer i den randomiserade PALOMA3-studien (se avsnitt 5.1). De vanligaste (≥ 20 %) biverkningarna av någon grad som rapporterats hos patienter som fick fulvestrant i kombination med palbociklib var neutropeni, leukopeni, infektioner, trötthet, illamående, anemi, stomatit, diarré, trombocytopeni och kräkningar. De vanligaste (≥ 2 %) grad ≥ 3 biverkningarna var neutropeni, leukopeni, anemi, infektioner, ökad ASAT, trombocytopeni och trötthet.
I tabell 2 rapporteras biverkningarna från PALOMA3.
Medianexponeringsdurationen för fulvestrant var 11,2 månader i fulvestrant + palbociklib-armen och 4,8 månader i fulvestrant + placebo-armen. Medianexponeringsdurationen för palbociklib i fulvestrant + palbociklib-armen var 10,8 månader.
Tabell 2 Biverkningar baserat på PALOMA3-studien (n=517)
ALAT=alanin aminotransferas ASAT=aspartat aminotransferas; N/n=antal patienter
a Rekommenderade termer är listade enligt MedDRA 17.1.
b Infektioner inkluderar alla rekommenderade termer som är en del av klassificeringen av organsystemet Infektioner och infestationer.
c Neutropeni inkluderar följande rekommenderade termer: Neutropeni, minskat neutrofilantal.
d Leukopeni inckuderar följande rekommenderade termer: Leukopeni, minskat antal vita blodkroppar.
e Anemi inkluderar följande rekommenderade termer: Anemi, minskat hemoglobin, minskad hematokrit
f Trombocytopeni inkluderar rekommenderade termer: Trombocytopeni, minskat antal blodplättar.
g Stomatit inkluderar följande rekommenderade termer: Aftös stomatit, cheilit, glossit, glossodyni, orala ulcerationer, mukosit, oral smärta, orofaryngealt obehag, orofaryngeal smärta, stomatit.
h Hudutslag inkluderar följande rekommenderade termer: Hudutslag, makulopapulära utslag, kliande utslag, erytematösa utslag, papulära utslag, dermatit, akneliknande dermatit, toxiska hudutslag.
Beskrivning av valda biverkningar
Neutropeni
Hos patienter som fick fulvestrant i kombination med palbociklib i PALOMA3-studien rapporterades neutropeni av någon grad hos 290 (84,1 %) patienter, där neutropeni av grad 3 rapporterades hos 200 (58,0 %) och neutropeni grad 4 rapporterades hos 40 (11,6 %) patienter. I fulvestrant + placebo-armen (n = 172) rapporterades neutropeni av någon grad hos 6 (3,5 %) patienter. Det fanns inga rapporter om neutropeni av grad 3 och 4 i fulvestrant + placeboarmen.
Hos patienter som fick fulvestrant i kombination med palbociklib var mediantiden till första episoden av neutropeni av någon grad 15 dagar (intervall: 13–512 dagar) och medianvaraktigheten för neutropeni av grad ≥3 var 16 dagar. Febril neutropeni har rapporterats hos 3 (0,9 %) patienter som erhåller fulvestrant i kombination med palbociklib.
Rapportering av misstänkta biverkningar
Det är viktigt att rapportera misstänkta biverkningar efter att läkemedlet godkänts. Det gör det möjligt att kontinuerligt övervaka läkemedlets nytta-riskförhållande. Hälso- och sjukvårdspersonal uppmanas att rapportera varje misstänkt biverkning via:
Läkemedelsverket
Box 26
751 03 Uppsala
www.lakemedelsverket.se
Det finns enstaka rapporter om överdosering med fulvestrant hos människa. Vid överdosering rekommenderas symtomatisk, stödjande behandling. Djurstudier med höga doser av fulvestrant tyder inte på några andra effekter än de som kan relateras direkt eller indirekt till antiöstrogen aktivitet (se avsnitt 5.3).
Fulvestrant är avsett:
som monoterapi för behandling av östrogenreceptorpositiv, lokalt avancerad eller metastatisk bröstcancer hos postmenopausala kvinnor:
som inte tidigare fått endokrin behandling eller
med återfall under eller efter adjuvant antiöstrogenbehandling eller sjukdomsprogression vid antiöstrogenbehandling.
i kombination med palbociklib för behandling av hormonreceptor (HR)-positiv, human epidermal tillväxtfaktorreceptor 2 (HER2)-negativ lokalt avancerad eller metastatisk bröstcancer hos kvinnor som tidigare har fått endokrinbehandling (se avsnitt 5.1).
Hos pre- eller perimenopausala kvinnor bör kombinationsbehandlingen med palbociklib kombineras med en luteiniserande hormonfrisättande hormon (LHRH)-agonist.
Dosering
Vuxna kvinnor (inklusive äldre):
Rekommenderad dos är 500 mg en gång per månad, med en extra dos på 500 mg två veckor efter den initiala dosen.
Se även produktresumén för palbociklib när fulvestrant används i kombination med palbociklib.
Före och under hela behandlingen med kombinationen fulvestrant plus palbociklib bör pre/perimenopausala kvinnor behandlas med LHRH-agonister enligt lokal klinisk praxis.
Särskilda populationer
Nedsatt njurfunktion
Inga dosjusteringar rekommenderas hos patienter med lätt till måttligt nedsatt njurfunktion (kreatininclearance ≥ 30 ml/min). Hos patienter med svårt nedsatt njurfunktion (kreatininclearance <30 ml/min) har säkerhet och effekt inte utvärderats varför försiktighet rekommenderas i dessa fall (se avsnitt 4.4).
Nedsatt leverfunktion
Inga dosjusteringar rekommenderas hos patienter med lätt till måttligt nedsatt leverfunktion. Eftersom exponeringen av fulvestrant dock kan komma att öka bör fulvestrant användas med försiktighet hos dessa patienter. Det finns inga data för patienter med svårt nedsatt leverfunktion (se avsnitten 4.3, 4.4 och 5.2).
Pediatrisk population
Effekt och säkerhet av fulvestrant på barn från nyfödd upp till 18 års ålder har ännu inte fastställts. Tillgänglig information finns i avsnitt 5.1 och 5.2, men ingen doseringsrekommendation kan fastställas.
Administreringssätt
Fulvestrant ska administreras som två efter varandra följande 5 ml injektioner genom långsam intramuskulär injektion (1-2 minuter/injektion), en i varje skinka.
På grund av närheten till den underliggande ischiasnerven ska försiktighet iakttas om fulvestrant injiceras dorsoglutealt.
Anvisningar för läkemedlet före administrering finns i avsnitt 6.6.
överkänslighet mot den aktiva substansen eller mot något hjälpämne som anges i avsnitt 6.1
graviditet och amning (se avsnitt 4.6).
svår leverfunktionsnedsättning (se avsnitten 4.4 och 5.2).
Försiktighet bör iakttas vid användning till patienter med lätt till måttligt nedsatt leverfunktion (se avsnitten 4.2, 4.3 och 5.2).
Försiktighet bör iakttas vid användning till patienter med svårt nedsatt njurfunktion (kreatininclearance mindre än 30 ml/min).
På grund av det intramuskulära administreringssättet bör försiktighet iakttas när fulvestrant administreras till patienter med känd blödningsrubbning eller trombocytopeni eller behandlas med antikoagulantia.
Tromboemboliska händelser är vanligt förekommande hos kvinnor med avancerad bröstcancer vilket har observerats i kliniska studier med fulvestrant (se avsnitt 4.8). Detta bör tas i beaktande när fulvestrant förskrivs till patienter med ökad risk för tromboembolism.
Biverkningar relaterade till injektionsområdet såsom ischias, neuralgi, neuropatisk smärta och perifer neuropati har rapporterats vid fulvestrant-injektioner. På grund av närheten till den underliggande ischiasnerven måste försiktighet iakttas om fulvestrant administreras vid det dorsogluteala injektionsstället (se avsnitt 4.2 och 4.8).
Långtidseffektdata för fulvestrant på benvävnad saknas. På grund av fulvestrants verkningsmekanism finns det en potentiell risk för osteoporos.
Effekten och säkerheten för fulvestrant (antingen som monoterapi eller i kombination med palbociklib) har inte studerats hos patienter med kritisk visceral sjukdom.
Se även produktresumén för palbociklib när fulvestrant kombineras med palbociklib.
Interferens med östradiol-antikroppsanalyser
På grund av den strukturella likheten mellan fulvestrant och östradiol, kan fulvestrant störa antikroppsbaserade östradiolanalyser och leda till falskt förhöjda nivåer av östradiol.
Pediatrisk population
Fulvestrant rekommenderas inte till barn och ungdomar eftersom säkerhet och effekt inte har fastställts för denna patientgrupp (se avsnitt 5.1).
Hjälpämnen
Detta läkemedel innehåller 10 % vikt/volym etanol (alkohol) d.v.s. upp till 1 g per dos, motsvarande 20 ml öl, eller 8 ml vin per dos. Skadligt för personer som lider av alkoholism. Ska uppmärksammas av gravida eller ammande kvinnor och högriskgrupper såsom patienter med leversjukdom eller epilepsi.
Detta läkemedel innehåller ricinolja, vilket kan ge allvarliga allergiska reaktioner.
Detta läkemedel innehåller 1 g bensylalkohol per dos, motsvarande 100 mg/ml. Bensylalkohol kan orsaka allergiska reaktioner.
Stora volymer ska användas med försiktighet och endast om absolut nödvändigt, särskilt till gravida eller ammande kvinnor och patienter med nedsatt leverfunktion eller nedsatt njurfunktion p.g.a. risken för ackumulering och toxicitet (metabolisk acidos).
En klinisk interaktionsstudie med midazolam (substrat av CYP3A4) visade att fulvestrant inte hämmar CYP3A4. Kliniska interaktionsstudier med rifampicin (inducerare av CYP 3A4) och ketokonazol (hämmare av CYP 3A4) visade inte någon kliniskt relevant förändring i clearance av fulvestrant. Dosjustering är därför inte nödvändigt hos patienter som får fulvestrant samtidigt med CYP 3A4-hämmare eller -inducerare.
Fertila kvinnor
Patienter som kan tänkas bli gravida ska använda ett effektivt preventivmedel under behandlingen med fulvestrant och i 2 år efter sista dosen.
Graviditet
Fulvestrant är kontraindicerat under graviditet (se avsnitt 4.3). Efter enstaka intramuskulära doser i råtta och kanin har fulvestrant visats passera placentan. Djurstudier har visat reproduktionstoxikologiska effekter såsom ökad incidens av fostermissbildningar och dödsfall (se avsnitt 5.3).
Om graviditet under behandling med fulvestrant inträffar ska patienten informeras om de potentiella riskerna för fostret och den potentiella risken för missfall.
Amning
Amning måste avbrytas vid behandling med fulvestrant. Fulvestrant utsöndras i mjölk hos lakterande råtta. Det är okänt om fulvestrant utsöndras i bröstmjölk. Med hänsyn till den potentiella risken för allvarliga biverkningar orsakade av fulvestrant hos spädbarn som ammas, är användning under amning kontraindicerat (se avsnitt 4.3).
Fertilitet
Effekten av fulvestrant på fertilitet hos människa har inte studerats.
Fulvestrant har ingen eller försumbar effekt på förmågan att framföra fordon och använda maskiner. Eftersom kraftlöshet har rapporterats som en mycket vanlig biverkan vid användning av fulvestrant ska dock patienter som känner av denna biverkan iaktta försiktighet vid bilkörning och användning av maskiner.
Sammanfattning av säkerhetsprofilen
Monoterapi
Detta avsnitt omfattar information baserad på alla biverkningar som rapporterats från kliniska studier, marknadsstudier och spontana rapporter. I den poolade datauppsättningen för fulvestrant monoterapi var de mest frekventa rapporterade biverkningarna reaktioner vid injektionsstället, kraftlöshet, illamående och förhöjda nivåer av leverenzymer (ALAT, ASAT, ALP).
I tabell 1 är följande frekvenskategorier för biverkningar beräknade på basis av en grupp behandlad med fulvestrant 500 mg i de poolade säkerhetsanalyserna av studier där fulvestrant 500 mg jämförs med fulvestrant 250 mg [CONFIRM (studie D6997C00002), FINDER 1 (studie D6997C00004), FINDER 2 (studie D6997C00006) och NEWEST (studie D6997C00003)], eller från FALCON (studie D699BC00001) ensam, där fulvestrant 500 mg jämförs med anastrozol 1 mg. När frekvenserna skiljer sig mellan de poolade säkerhetsanalyserna och FALCON visas den högsta frekvensen. Frekvenserna i tabell 1 baseras på alla rapporterade fall, oavsett prövarens utvärdering av orsakssambandet.
Mediandurationen för behandling med fulvestrant 500 mg över den poolade datauppsättningen (inklusive de ovan nämnda studierna plus FALCON) var 6,5 månader.
Lista på biverkningar i tabellform
Biverkningarna listade nedan är klassificerade efter frekvens och organsystem. Frekvensgrupperna är definierade enligt följande konvention: mycket vanliga (≥1/10), vanliga (≥1/100, <1/10), mindre vanliga (≥1/1 000, <1/100). Inom varje frekvensgrupp rapporteras biverkningarna med avtagande allvarlighetsgrad.
Tabell 1 Biverkningar rapporterade hos patienter behandlade med fulvestrant som monoterapi
a. Inkluderar biverkningar för vilka den exakta omfattningen av inverkan av fulvestrant inte kan fastställas på grund av den underliggande sjukdomen.
b. Termen reaktioner vid injektionsstället inkluderar inte blödning vid injektionsstället, blåmärken vid injektionsstället, ischias, neuralgi eller perifer neuropati.
c. Biverkningen observerades inte i större kliniska studier (CONFIRM, FINDER 1, FINDER 2, NEWEST). Frekvensen har beräknats med hjälp av övre gränsen av det 95 % konfidensintervallet för punktskattningen. Detta beräknas som 3/560 (där 560 är antalet patienter i de större kliniska studierna), som motsvarar frekvenskategorin ”mindre vanliga”.
d. Omfattar: artralgi och mindre frekvent muskuloskeletal smärta, myalgi och smärta i extremitet.
e. Frekvenskategorin skiljer sig mellan poolad säkerhetsdatauppsättning och FALCON.
f. Biverkningen observerades inte i FALCON
Beskrivning av valda biverkningar
Beskrivningarna som inkluderas nedan baserar sig på säkerhetsanalyser från 228 patienter som fick minst en (1) dos fulvestrant och 232 patienter som fick minst en (1) dos anastrozol i FALCON fas 3-studien.
Ledsmärta och muskuloskeletal smärta
I FALCON-studien var antalet patienter som rapporterade biverkningarna ledsmärta och muskuloskeletal smärta 65 (31,2 %) och 48 (24,1 %) för fulvestrant- respektive anastrozolarmarna. Av de 65 patienterna i fulvestrant-armen rapporterade 40 % (26/65) av patienterna ledsmärta och muskuloskeletal smärta inom den första behandlingsmånaden, och 66,2 % (43/65) av patienterna inom de första 3 behandlingsmånaderna. Inga patienter rapporterade biverkningar som var CTCAE grad ≥ 3 eller som krävde dosreduktion, dosavbrott eller utsättning av behandlingen på grund av dessa biverkningar.
Kombinationsbehandling med palbociklib
Den övergripande säkerhetsprofilen för fulvestrant vid användning i kombination med palbociklib baseras på data från 517 patienter med HR-positiv, HER2-negativ avancerad eller metastatisk bröstcancer i den randomiserade PALOMA3-studien (se avsnitt 5.1). De vanligaste (≥ 20 %) biverkningarna av någon grad som rapporterats hos patienter som fick fulvestrant i kombination med palbociklib var neutropeni, leukopeni, infektioner, trötthet, illamående, anemi, stomatit, diarré, trombocytopeni och kräkningar. De vanligaste (≥ 2 %) grad ≥ 3 biverkningarna var neutropeni, leukopeni, anemi, infektioner, ökad ASAT, trombocytopeni och trötthet.
I tabell 2 rapporteras biverkningarna från PALOMA3.
Medianexponeringsdurationen för fulvestrant var 11,2 månader i fulvestrant + palbociklib-armen och 4,8 månader i fulvestrant + placebo-armen. Medianexponeringsdurationen för palbociklib i fulvestrant + palbociklib-armen var 10,8 månader.
Tabell 2 Biverkningar baserat på PALOMA3-studien (n=517)
ALAT=alanin aminotransferas ASAT=aspartat aminotransferas; N/n=antal patienter
a Rekommenderade termer är listade enligt MedDRA 17.1.
b Infektioner inkluderar alla rekommenderade termer som är en del av klassificeringen av organsystemet Infektioner och infestationer.
c Neutropeni inkluderar följande rekommenderade termer: Neutropeni, minskat neutrofilantal.
d Leukopeni inckuderar följande rekommenderade termer: Leukopeni, minskat antal vita blodkroppar.
e Anemi inkluderar följande rekommenderade termer: Anemi, minskat hemoglobin, minskad hematokrit
f Trombocytopeni inkluderar rekommenderade termer: Trombocytopeni, minskat antal blodplättar.
g Stomatit inkluderar följande rekommenderade termer: Aftös stomatit, cheilit, glossit, glossodyni, orala ulcerationer, mukosit, oral smärta, orofaryngealt obehag, orofaryngeal smärta, stomatit.
h Hudutslag inkluderar följande rekommenderade termer: Hudutslag, makulopapulära utslag, kliande utslag, erytematösa utslag, papulära utslag, dermatit, akneliknande dermatit, toxiska hudutslag.
Beskrivning av valda biverkningar
Neutropeni
Hos patienter som fick fulvestrant i kombination med palbociklib i PALOMA3-studien rapporterades neutropeni av någon grad hos 290 (84,1 %) patienter, där neutropeni av grad 3 rapporterades hos 200 (58,0 %) och neutropeni grad 4 rapporterades hos 40 (11,6 %) patienter. I fulvestrant + placebo-armen (n = 172) rapporterades neutropeni av någon grad hos 6 (3,5 %) patienter. Det fanns inga rapporter om neutropeni av grad 3 och 4 i fulvestrant + placeboarmen.
Hos patienter som fick fulvestrant i kombination med palbociklib var mediantiden till första episoden av neutropeni av någon grad 15 dagar (intervall: 13–512 dagar) och medianvaraktigheten för neutropeni av grad ≥3 var 16 dagar. Febril neutropeni har rapporterats hos 3 (0,9 %) patienter som erhåller fulvestrant i kombination med palbociklib.
Rapportering av misstänkta biverkningar
Det är viktigt att rapportera misstänkta biverkningar efter att läkemedlet godkänts. Det gör det möjligt att kontinuerligt övervaka läkemedlets nytta-riskförhållande. Hälso- och sjukvårdspersonal uppmanas att rapportera varje misstänkt biverkning via:
Läkemedelsverket
Box 26
751 03 Uppsala
www.lakemedelsverket.se
Det finns enstaka rapporter om överdosering med fulvestrant hos människa. Vid överdosering rekommenderas symtomatisk, stödjande behandling. Djurstudier med höga doser av fulvestrant tyder inte på några andra effekter än de som kan relateras direkt eller indirekt till antiöstrogen aktivitet (se avsnitt 5.3).
Tabell 3 Summering av resultaten för primärt effektmått (PFS) och de viktigaste sekundära effektmåtten i CONFIRM-studien
aFulvestrant är indicerat för patienter vars sjukdom har recidiverat eller progredierat vid anti-östrogenterapi. Resultaten i AI-subgruppen är inte övertygande.
b OS presenteras för de slutliga överlevnadsanalyserna vid 75 % mognad.
c Nominellt p-värde utan justeringar för multiplicitet mellan de initiala analyserna av total överlevnad vid 50 % mognad och de uppdaterade analyserna av överlevnad vid 75 % mognad.
d ORR fastställdes för patienter som var möjliga att utvärdera med avseende på respons vid baslinjen (d.v.s. de med mätbar sjukdom vid baslinjen: 240 patienter i fulvestrant 500 mg-gruppen och 261 patienter i 250 mg-gruppen).
e Patienter med bästa objektiva respons av endera komplett respons, partiell respons eller stabil sjukdom ≥24 veckor.
PFS: Progressionsfri överlevnad; ORR: Objektiv responsfrekvens; OR: Objektiv respons; CBR: Frekvens för klinisk nytta; CB: Klinisk nytta; OS: Totalöverlevnad; K-M: Kaplan-Meier; CI: Konfidensintervall. AI: Aromatashämmare, AE: Antiöstrogen.
En fas 3, randomiserad, dubbelblind, dubbelplacebo, multicenterstudie av fulvestrant 500 mg jämfört med anastrozol 1 mg utfördes på postmenopausala kvinnor med ER-positiv och/eller PgR-positiv lokalt avancerad eller metastatisk bröstcancer som inte tidigare behandlats med någon hormonell behandling. Totalt randomiserades 462 patienter 1:1 i följd att få antingen fulvestrant 500 mg eller anastrozol 1 mg.
Randomiseringen stratifierades enligt sjukdomstillstånd (lokalt avancerat eller metastatiskt), tidigare kemoterapi för avancerad sjukdom och mätbar sjukdom.
Studiens primära effektmått var prövarens bedömning av progressionsfri överlevnad (PFS) beräknad enligt RECIST 1.1 (Response Evaluation Criteria in Solid Tumours). Viktiga sekundära effektmått inkluderade total överlevnad (OS) och objektiv responsfrekvens (ORR).
Medianåldern för patienterna som skrivits in i studien var 63 år (intervall 36-90). Majoriteten av patienterna (87,0 %) hade metastatisk sjukdom vid baslinjen. Femtiofem procent (55,0 %) av patienterna hade viscerala mestastaser eller visceral metastasering vid baslinjen. Totalt erhöll 17,1 % av patienterna en tidigare kemoterapibehandling för avancerad sjukdom; 84,2 % av patienterna hade mätbar sjukdom.
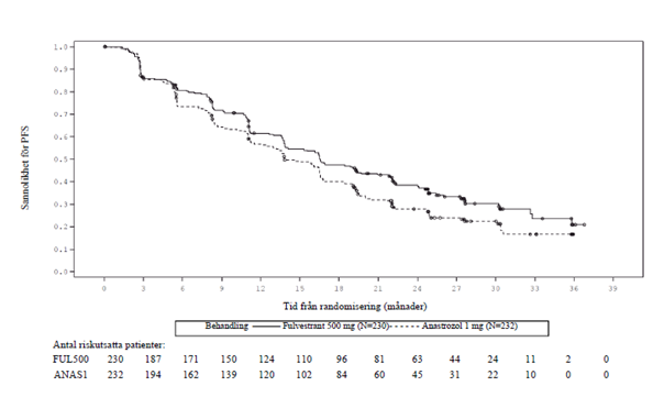
Överensstämmande resultat observerades för majoriteten av de fördefinierade patientundergrupperna. För patienter i den fördefinierade subgruppen icke-visceral metastasering. (n=208), var HR 0,592 (95 % CI: 0,419, 0,837) för fulvestrant-armen jämfört med anastrozol-armen. För patienter i subgruppen visceral metastasering (n=254), var HR 0,993 (95 % CI: 0,740, 1,331) för fulvestrant-armen jämfört med anastrozolarmen. Effektresultatet för FALCON-studien presenteras i tabell 4 och bild 1.
Tabell 4 Summering av resultaten för primärt effektmått (PFS) och de viktigaste sekundära effektmåtten (prövarens bedömning, intent-to-treat-populationen) - FALCON-studien
*(31% mognad)-inte slutgiltig OS-analys
**för patienter med mätbar sjukdom
Bild 1 Kaplan-Meier-kurva för progressionsfri överlevnad (prövarens bedömning, intent-to-treat-population) - FALCON-studie
Två kliniska studier i fas 3 genomfördes på totalt 851 postmenopausala kvinnor med avancerad bröstcancer, vilka antingen fick återfall i sjukdomen under eller efter adjuvant hormonell behandling eller progredierade efter hormonell behandling vid avancerad sjukdom. Sjuttiosju procent (77 %) av studiepopulationen hade östrogenreceptorpositiv bröstcancer. I dessa studier jämfördes säkerhet och effekt vid månadsvis administrering av fulvestrant 250 mg med en daglig administrering av 1 mg anastrozol (aromatashämmare). Sammantaget var fulvestrant, vid månadsvis dosering 250 mg, minst lika effektivt som anastrozol vad gällde progressionsfri överlevnad, objektiv respons och tid till död. Det fanns inga statistiskt signifikanta skillnader i några av dessa effektmått (endpoints) mellan de två behandlingsgrupperna. Progressionsfri överlevnad var primärt effektmått. En kombinerad analys av båda studierna visade att 83 % av patienterna som fick fulvestrant progredierade i sin sjukdom, jämfört med 85 % av patienterna som fick anastrozol. Kombinerad analys av båda studierna visade att riskförhållandet (hazard ratio) mellan fulvestrant 250 mg och anastrozol vad gäller progressionsfri överlevnad var 0,95 (95 % CI 0,82 till 1,10). Den objektiva responsen var 19,2 % för fulvestrant 250 mg jämfört med 16,5 % för anastrozol. Mediantid till död var 27,4 månader för patienter som behandlats med fulvestrant och 27,6 månader för patienter som behandlats med anastrozol. Riskförhållandet mellan fulvestrant 250 mg och anastrozol vad gäller tid till död var 1,01 (95 % CI 0,86 till 1,19).
Kombinationsbehandling med palbociklib
En fas 3, internationell, randomiserad, dubbelblind, parallellgrupp, multicenterstudie av fulvestrant 500 mg plus palbociklib 125 mg jämfört med fulvestrant 500 mg plus placebo utfördes på kvinnor med HR-positiv, HER2-negativ lokalt avancerad bröstcancer, inte mottaglig för resektion eller strålbehandling med kurativ avsikt eller metastatisk bröstcancer, oberoende av deras menopausala status, vars sjukdom fortskred efter tidigare endokrin behandling i (neo) adjuvant eller metastatiskt tillstånd.
Totalt 521 pre/peri- och postmenopausala kvinnor som hade progredierat under eller inom 12 månader efter fullgjord adjuvant endokrin behandling under eller inom 1 månad från tidigare endokrin behandling för avancerad sjukdom, randomiserades 2:1 till fulvestrant plus palbociklib eller fulvestrant plus placebo och stratifierades enligt dokumenterad känslighet för tidigare hormonell behandling, menopausal status vid studiens inledning (pre/peri- jämfört med postmenopausal) och förekomst av av viscerala metastaser. Pre/perimenopausala kvinnor fick LHRH-agonisten goserelin. Patienter med avancerad/metastatisk, symtomatisk, visceral spridning, med risk för livshotande komplikationer på kort sikt (inklusive patienter med massiva okontrollerade effusioner [pleurala, perikardiella, peritoneala], pulmonell lymfangit och mer än 50 % involvering av levern), var inte lämpliga att inkluderas i studien.
Patienter fortsatte att få den tilldelade behandlingen till objektiv sjukdomsprogression, symtomatisk försämring, oacceptabel toxicitet, död eller tillbakadraget samtycke, beroende på vilket som inträffade först. Cross-over mellan behandlingsarmar var inte tillåtet.
Patienterna var väl matchade för demografiska och prognostiska baslinjekarakteristika mellan armen fulvestrant plus palbociklib och armen fulvestrant plus placebo. Medianåldern för patienterna som inkluderats i denna studie var 57 år (intervall 29, 88). I varje behandlingsarm var största delen av patienterna vita, hade dokumenterad känslighet för tidigare hormonell behandling och var postmenopausala.
Cirka 20 % av patienterna var pre/perimenopausala. Alla patienter hade fått tidigare systemisk behandling och de flesta patienterna i varje behandlingsarm hade fått en tidigare kemoterapibehandling för sin primära diagnos. Mer än hälften (62 %) hade en ECOG PS på 0, 60 % hade viscerala metastaser och 60 % hade fått mer än 1 tidigare hormonell behandling för sin primära diagnos.
Studiens primära effektmått var prövarens bedömning av PFS beräknad enligt RECIST 1.1. Understödjande PFS-analyser baserade sig på oberoende central radiologigranskning. Sekundära effektmått inkluderade OR, CBR, totalöverlevnad (OS), säkerhet och tid till försämring (TTD) för smärteffektmått.
Studien uppfyllde det primära effektmåttet genom att förlänga det prövarbedömda PFS vid interimsanalysen som utfördes på 82 % av de planerade PFS-händelserna; resultaten överskred de förbestämda Haybittle-Peto-effektgränserna (α=0,00135), vilket visade på en statistiskt signifikant förlängning av PFS och en kliniskt meningsfull behandlingseffekt. En noggrannare uppdatering av effektivitetsdata rapporteras i tabell 5.
Efter en medianuppföljningstid på 45 månader utfördes den slutliga OS-analysen baserad på 310 händelser (60 % av de randomiserade patienterna). En skillnad på 6,9 månader i median OS observerades i armen palbociklib plus fulvestrant jämfört med armen placebo plus fulvestrant; resultatet var inte statistiskt signifikant vid den förspecificerade signifikansnivån på 0,0235 (1-sidig). I armen placebo plus fulvestrant fick 15,5 % av de randomiserade patienterna palbociklib och andra CDK-hämmare som efterföljande behandlingar efter progression.
Resultaten från prövarens bedömning av PFS och slutlig OS-data från PALOMA3-studien presenteras i tabell 5. Relevanta Kaplan-Meier-kurvor presenteras i bild 2 respektive 3.
Tabell 5 Resultat effektmått – PALOMA3-studien (prövarens bedömning, intent-to-treat-population)
CBR=frekvens för klinisk nytta; CI=konfidensintervall; N=antal patienter; OR=objektiv respons
Resultaten för sekundära effektmått är baserade på bekräftade och obekräftade svar enligt RECIST 1.1.
* Ej statistiskt signifikant.
† 1-sidigt p-värde från log-rank-testet som stratifierats efter förekomst av viscerala metastaser och känslighet för tidigare endokrin behandling per randomisering.
Bild 2. Kaplan-Meier-kurva för progressionsfri överlevnad (prövarens bedömning, intent-to-treat-population) – PALOMA3-studien (brytpunkt 23 oktober 2015)
FUL=fulvestrant; PAL=palbociklib; PCB=placebo.
En minskad risk för sjukdomsprogression eller död i armen fulvestrant plus palbociklib observerades i alla individuella patientundergrupper definierat genom stratifieringsfaktorer och baslinjekarakteristika. Detta var tydligt hos pre/perimenopausala kvinnor (HR på 0,46 [95 % CI: 0,28, 0,75]) och postmenopausala kvinnor (HR på 0,52 [95 % CI: 0,40, 0,66]) och patienter med visceral metastatisk sjukdom (HR på 0,50 [95 % CI: 0,38, 0,65]) och icke-visceral metastatisk sjukdom (HR på 0,48 [95 % CI: 0,33, 0,71]). Nyttan kunde även observeras oberoende av tidigare behandlingslinjer i det metastatiska tillståndet, om 0 (HR på 0,59 [95 % CI: 0,37, 0,93]), 1 (HR på 0,46 [95 % CI: 0,32, 0,64]), 2 (HR på 0,48 [95 % CI: 0,30, 0,76]), eller ≥3 linjer (HR på 0,59 [95 % CI: 0,28, 1,22]).
Bild 3. Kaplan-Meier-kurva för totalöverlevnad (intent-to-treat-population – PALOMA3-studien (brytpunkt 13 april 2018)
FUL=fulvestrant; PAL=palbociklib; PCB=placebo
Ytterligare effektmått (OR och TTR) bedömda i patientundergrupperna med eller utan visceral sjukdom visas i tabell 6.
Tabell 6 Resultat effektmått vid visceral och icke-visceral sjukdom från PALOMA3-studien (Intent-to-Treat-population)
*Responsresultat baserat på bekräftade och obekräftade responser.
N=antal patienter; CI=konfidensintervall; OR= objektiv respons; TTR=tid till första tumörrespons.
Patientrapporterade symtom bedömdes med frågeformuläret från European Organization for Research and Treatment of Cancer (EORTC) för livskvalitet (QLQ)-C30 och dess bröstcancermodul (EORTC QLQ-BR23). Totalt 335 patienter i armen fulvestrant plus palbociklib och 166 patienter i armen fulvestrant plus placebo fyllde i frågeformuläret vid baslinjebesöket och vid minst 1 besök efter baslinjebesöket.
Tid till försämring förspecificerades som tiden mellan baslinjen och första förekomsten av ≥ 10 poängs ökning från baslinjen vad gäller smärtsymtompoäng. Tillägg av palbociklib till fulvestrant medförde en symtomfördel genom att signifikant fördröja tid till försämring av smärtsymtomen jämfört med fulvestrant plus placebo (median 8,0 månader jämfört med 2,8 månader; HR på 0,64 [95 % CI: 0,49, 0,85]; p < 0,001).
Effekter på postmenopausalt endometrium
Prekliniska data tyder inte på någon stimulerande effekt av fulvestrant på endometriet postmenopausalt (se avsnitt 5.3). En 2 veckors studie med friska frivilliga postmenopausala kvinnor som behandlades med etinylestradiol 20 mikrogram/dag visade att förbehandling med fulvestrant 250 mg resulterade i en signifikant minskad stimulering av det postmenopausala endometriet, jämfört med förbehandling med placebo, enligt ultraljudsmätning av endometriets tjocklek.
Neoadjuvant behandling i upp till 16 veckor för bröstcancerpatienter behandlade med antingen fulvestrant 500 mg eller fulvestrant 250 mg resulterade inte i kliniskt signifikanta skillnader i endometriets tjocklek vilket indikerar frånvaro av agonist effekt. Det finns inget som tyder på biverkningar i endometriet hos de studerade bröstcancerpatienterna. Data gällande endometriets morfologi finns inte tillgängliga.
I två korttidsstudier (1 och 12 veckor) på premenopausala patienter med benign, gynekologisk sjukdom, observerades inte någon signifikant skillnad i endometriets tjocklek (mätt med ultraljud) när fulvestrant jämfördes med placebo.
Effekter på benvävnad
Långtidseffektdata för fulvestrant på benvävnad saknas. Neoadjuvant behandling av bröstcancerpatienter i upp till 16 veckor med antingen fulvestrant 500 mg eller fulvestrant 250 mg resulterade inte i kliniskt signifikanta skillnader i benomsättningsmarkörer i serum.
Pediatrisk population
Fulvestrant är ej indicerat till barn. Europeiska läkemedelsmyndigheten har beviljat undantag från kravet att skicka in studieresultat för fulvestrant för alla grupper av den pediatriska populationen för bröstcancer (information om pediatrisk användning finns i avsnitt 4.2).
I en öppen fas 2-studie undersöktes säkerhet, effekt och farmakokinetik för fulvestrant på 30 flickor i åldern 1-8 år med för tidig pubertet kopplad till McCune Albrights syndrom (MAS). De unga patienterna fick en dos av fulvestrant på 4 mg/kg per månad intramuskulärt. I denna 12‑månadersstudie undersöktes en rad olika MAS-relaterade effektmått och visade en sänkt frekvens av vaginala blödningar och en sänkt utvecklingstakt för skelettåldern. Dalkoncentrationerna av fulvestrant vid steady state hos barnen i denna studie var överensstämmande med dem hos vuxna (se avsnitt 5.2). Det framkom inga nya säkerhetsproblem från denna lilla studie, men några 5-årsdata är ännu ej tillgängliga.
Absorption
Efter administrering av fulvestrant långverkande intramuskulär injektion, absorberas fulvestrant långsamt och maximala plasmakoncentrationer (Cmax) uppnås efter ca 5 dagar. Administrering av fulvestrant 500 mg-regim ger exponeringsnivåer vid eller nära steady state inom den första månaden av doseringen (i medeltal [CV]: AUC 475 [33,4 %] ng.dagar/ml, Cmax 25,1 [35,3 %] ng/ml, Cmin 16,3 [25,9 %] ng/ml). Vid steady state håller sig plasmakoncentrationerna av fulvestrant inom ett ganska snävt intervall upp till en ca 3-faldig skillnad mellan maximum- och minimikoncentrationer. Efter intramuskulär administrering är exponeringen i stort sett dosproportionell i dosområdet 50 till 500 mg.
Distribution
Fulvestrant distribueras omfattande och snabbt efter administrering. Den stora distributionsvolymen vid steady state (Vdss) (ca 3 till 5 l/kg), tyder på att distributionen är mestadels extravaskulär. Fulvestrant har en hög plasmaproteinbindning (99 %). Fraktioner av VLDL (very low densitiy lipoprotein), LDL (low density lipoprotein) och HDL (high density lipoprotein) lipoprotein utgör huvuddelen av dessa plasmaproteiner. Inga studier avseende proteinbindningsinteraktioner har utförts. Könshormonbindande globulinets (SHGB) roll har inte utvärderats.
Metabolism
Fulvestrants metabolism har inte utvärderats fullständigt, men innefattar kombinationer av ett antal möjliga biotransformeringsvägar som ingår i metabolismen av endogena steroider. Identifierade metaboliter (inklusive 17-keton, sulfan, 3-sulfat, 3- och 17-glukuronidmetaboliter) är antingen mindre aktiva eller uppvisar en liknande aktivitetsprofil som fulvestrant i antiöstrogena modeller. Studier med humana leverpreparationer och humana rekombinanta enzymer indikerar att CYP 3A4 är det enda av P-450-isoenzym som är involverat i oxidationen av fulvestrant. In vivo förefaller dock andra metaboliseringsvägar än P450 vara vanligast förekommande. In vitro-data tyder på att fulvestrant inte hämmar CYP450-isoenzym.
Eliminering
Fulvestrant elimineras huvudsakligen i metaboliserad form. Den främsta utsöndringsvägen är via faeces och mindre än 1 % utsöndras med urinen. Fulvestrant har ett högt clearance, 11± 1,7 ml/min/kg, vilket tyder på hög extraktionsgrad i levern. Den terminala halveringstiden (t1/2) efter intramuskulär administrering styrs av absorptionshastigheten och har uppskattats till 50 dagar.
Särskilda patientgrupper
I en populationsfarmakokinetisk analys av data från fas 3-studier sågs ingen skillnad i den farmakokinetiska profilen av fulvestrant beroende på ålder (mellan 33 och 89 år), vikt (40-127 kg) eller etnicitet.
Nedsatt njurfunktion
Lätt till måttligt nedsatt njurfunktion påverkade inte fulvestrants farmakokinetik i någon kliniskt relevant omfattning.
Nedsatt leverfunktion
Fulvestrants farmakokinetik har utvärderats i en singeldosstudie genomförd på kvinnor med lätt till måttlig leverfunktionsnedsättning (Child-Pugh klass A och B). En hög dos av en formulering för intramuskulär injektion med kortare duration användes. Hos försökspersoner med nedsatt leverfunktion sågs en upp till 2,5-faldig ökning av AUC jämfört med friska kvinnor. Hos patienter som administreras fulvestrant förväntas en ökad exponering i denna omfattning vara väl tolererad. Kvinnor med svår leverfunktionsnedsättning (Child-Pugh klass C) utvärderades inte.
Pediatrisk population
Farmakokinetiken för fulvestrant utvärderades i en klinisk studie på 30 flickor med för tidig pubertet kopplad till McCune Albrights syndrom (MAS) (se avsnitt 5.1). De unga patienterna var i åldern 1‑8 år och fick en dos av fulvestrant på 4 mg/kg per månad intramuskulärt. Det geometriska medelvärdet (standardavvikelsen) för dalkoncentrationen (Cmin,ss) och för AUCss i steady state var 4,2 (0,9) ng/ml respektive 3 680 (1 020) ng*h/ml. Även om insamlade data var begränsade förefaller dalkoncentrationerna av fulvestrant vid steady state hos barn vara överensstämmande med dem hos vuxna.
Fulvestrant har låg akut toxicitet.
Fulvestrant och andra beredningsformer av fulvestrant tolererades väl i alla djurarter som testades i flerdosstudier. Lokala reaktioner, såsom myosit och granulom vid injektionsstället ansågs bero på vehikeln, men allvarlighetsgraden av myosit hos kaniner ökade med fulvestrantmängden, jämfört med kontroll (saltlösning). I multipla intramuskulära dostoxicitetsstudier på råtta och hund, kunde de flesta av effekterna hänföras till fulvestrants antiöstrogena aktivitet. Detta kunde särskilt ses i reproduktionssystemet hos honor men också i andra organ känsliga för hormoner i båda könen. Arterit som omfattade ett flertal olika vävnader sågs hos några hundar efter kronisk (12 månader) behandling.
I hundstudier efter oral och intravenös administrering, sågs effekter på kardiovaskulära systemet (mindre höjningar av ST-segmentet vid EKG [oral], i en hund sågs sinushämning [intravenöst]). Detta inträffade vid exponeringsnivåer som var högre än för patienter (Cmax > 15 gånger), och är därför sannolikt av begränsad betydelse för människans säkerhet vid kliniska doser.
Fulvestrant visade ingen gentoxicitet.
Fulvestrant visade reproduktionseffekter och effekter på embryo/fosterutveckling i överensstämmelse med dess antiöstrogena aktivitet, vid doser jämförbara den kliniska dosen. En reversibel minskad fertilitet och överlevnad av embryo, dystoci och en ökad incidens av missbildningar inklusive böjd fotled observerades hos råtta. Kaniner som fick fulvestrant kunde inte fullfölja dräktighet och en ökning av placentavikten samt post-implantationsförlust av foster sågs. En ökad incidens av fostervariationer hos kaniner (omvänd placering av bäckengördeln samt 27 pre-sakralkotor) noterades.
En två års onkogenicitetsstudie på råtta (intramuskulär administrering med fulvestrant) visade på en ökad incidens av benigna ovariala granulosa celltumörer hos honråttor vid hög dos (10 mg/råtta/15 dagar) och en ökad incidens av Leydigcelltumörer hos hanråttor. I en tvåårig onkogenicitetsstudie på mus (daglig oral administrering) fanns en ökad incidens av könssträngstumörer i äggstockarna (både benigna och maligna) i doser på 150 och 500 mg/kg/dag. Vid nivån utan effekt för dessa fynd var systemiska exponeringen (AUC), hos råttor approximativt 1,5 gånger den förväntade humana exponeringen hos honor och 0,8 gånger hos hanar, och hos möss approximativt 0,8 gånger den förväntade humana exponeringen hos både hanar och honor. Induktionen av sådana tumörer överensstämmer med farmakologiska endokrina förändringar i gonadotropinnivåer orsakade av antiöstrogener hos cykliska djur. Därför anses dessa fynd inte vara relevanta för användandet av fulvestrant hos postmenopausala kvinnor med avancerad bröstcancer.
Miljöriskbedömning (ERA)
Miljöriskbedömningsstudier har visat att fulvestrant kan ha potential att orsaka skadliga effekter på vattenmiljön (se avsnitt 6.6).
Farmakoterapeutisk grupp: Endokrin terapi, Antiöstrogener, ATC-kod: L02BA03
Verkningsmekanism och farmakodynamisk effekt
Fulvestrant är en kompetitiv östrogenreceptorantagonist (ER) med en affinitet som är jämförbar med östradiol. Fulvestrant blockerar de trofiska effekterna av östrogener utan någon partiell agonist (östrogenlik)-aktivitet. Verkningsmekanismen är associerad med nedreglering av nivåer av östrogenreceptorprotein. Kliniska studier som genomförts på postmenopausala kvinnor med primär bröstcancer har visat att fulvestrant signifikant nedreglerar östrogenreceptorprotein i östrogenreceptorpositiva tumörer jämfört med placebo. Uttrycket av progesteronreceptorer minskade också signifikant, vilket väl överensstämmer med avsaknad av egen östrogenlik agonistisk effekt. Det har även visats att fulvestrant 500 mg nedreglerar ER och proloferationsmarkören Ki67, i större utsträckning än fulvestrant 250 mg i brösttumörer vid postmenopausal neoadjuvant behandling.
Klinisk effekt och säkerhet vid avancerad bröstcancer
Monoterapi
En klinisk fas 3-studie genomfördes på 736 postmenopausala kvinnor med avancerad bröstcancer som hade recidiv under pågående eller efter adjuvant endokrin terapi. Studien inkluderade 423 patienter som hade recidiv efter eller progredierade under antiöstrogenbehandling (AE-subgrupp) och 313 patienter som hade recidiv efter eller progredierade under behandling med aromatashämmare (AI-subgrupp). I denna studie jämfördes effekten och säkerheten för fulvestrant 500 mg (n=362) med fulvestrant 250 mg (n=374). Progressionsfri överlevnad (PFS) var primärt effektmått. De viktigaste sekundära effektmåtten inkluderade den objektiva responsen (ORR), kliniska nyttan (CBR) och totalöverlevnad (OS). Effektresultat för CONFIRM-studien är summerade i tabell 3.
Tabell 3 Summering av resultaten för primärt effektmått (PFS) och de viktigaste sekundära effektmåtten i CONFIRM-studien
aFulvestrant är indicerat för patienter vars sjukdom har recidiverat eller progredierat vid anti-östrogenterapi. Resultaten i AI-subgruppen är inte övertygande.
b OS presenteras för de slutliga överlevnadsanalyserna vid 75 % mognad.
c Nominellt p-värde utan justeringar för multiplicitet mellan de initiala analyserna av total överlevnad vid 50 % mognad och de uppdaterade analyserna av överlevnad vid 75 % mognad.
d ORR fastställdes för patienter som var möjliga att utvärdera med avseende på respons vid baslinjen (d.v.s. de med mätbar sjukdom vid baslinjen: 240 patienter i fulvestrant 500 mg-gruppen och 261 patienter i 250 mg-gruppen).
e Patienter med bästa objektiva respons av endera komplett respons, partiell respons eller stabil sjukdom ≥24 veckor.
PFS: Progressionsfri överlevnad; ORR: Objektiv responsfrekvens; OR: Objektiv respons; CBR: Frekvens för klinisk nytta; CB: Klinisk nytta; OS: Totalöverlevnad; K-M: Kaplan-Meier; CI: Konfidensintervall. AI: Aromatashämmare, AE: Antiöstrogen.
En fas 3, randomiserad, dubbelblind, dubbelplacebo, multicenterstudie av fulvestrant 500 mg jämfört med anastrozol 1 mg utfördes på postmenopausala kvinnor med ER-positiv och/eller PgR-positiv lokalt avancerad eller metastatisk bröstcancer som inte tidigare behandlats med någon hormonell behandling. Totalt randomiserades 462 patienter 1:1 i följd att få antingen fulvestrant 500 mg eller anastrozol 1 mg.
Randomiseringen stratifierades enligt sjukdomstillstånd (lokalt avancerat eller metastatiskt), tidigare kemoterapi för avancerad sjukdom och mätbar sjukdom.
Studiens primära effektmått var prövarens bedömning av progressionsfri överlevnad (PFS) beräknad enligt RECIST 1.1 (Response Evaluation Criteria in Solid Tumours). Viktiga sekundära effektmått inkluderade total överlevnad (OS) och objektiv responsfrekvens (ORR).
Medianåldern för patienterna som skrivits in i studien var 63 år (intervall 36-90). Majoriteten av patienterna (87,0 %) hade metastatisk sjukdom vid baslinjen. Femtiofem procent (55,0 %) av patienterna hade viscerala mestastaser eller visceral metastasering vid baslinjen. Totalt erhöll 17,1 % av patienterna en tidigare kemoterapibehandling för avancerad sjukdom; 84,2 % av patienterna hade mätbar sjukdom.
Överensstämmande resultat observerades för majoriteten av de fördefinierade patientundergrupperna. För patienter i den fördefinierade subgruppen icke-visceral metastasering. (n=208), var HR 0,592 (95 % CI: 0,419, 0,837) för fulvestrant-armen jämfört med anastrozol-armen. För patienter i subgruppen visceral metastasering (n=254), var HR 0,993 (95 % CI: 0,740, 1,331) för fulvestrant-armen jämfört med anastrozolarmen. Effektresultatet för FALCON-studien presenteras i tabell 4 och bild 1.
Tabell 4 Summering av resultaten för primärt effektmått (PFS) och de viktigaste sekundära effektmåtten (prövarens bedömning, intent-to-treat-populationen) - FALCON-studien
*(31% mognad)-inte slutgiltig OS-analys
**för patienter med mätbar sjukdom
Bild 1 Kaplan-Meier-kurva för progressionsfri överlevnad (prövarens bedömning, intent-to-treat-population) - FALCON-studie
Två kliniska studier i fas 3 genomfördes på totalt 851 postmenopausala kvinnor med avancerad bröstcancer, vilka antingen fick återfall i sjukdomen under eller efter adjuvant hormonell behandling eller progredierade efter hormonell behandling vid avancerad sjukdom. Sjuttiosju procent (77 %) av studiepopulationen hade östrogenreceptorpositiv bröstcancer. I dessa studier jämfördes säkerhet och effekt vid månadsvis administrering av fulvestrant 250 mg med en daglig administrering av 1 mg anastrozol (aromatashämmare). Sammantaget var fulvestrant, vid månadsvis dosering 250 mg, minst lika effektivt som anastrozol vad gällde progressionsfri överlevnad, objektiv respons och tid till död. Det fanns inga statistiskt signifikanta skillnader i några av dessa effektmått (endpoints) mellan de två behandlingsgrupperna. Progressionsfri överlevnad var primärt effektmått. En kombinerad analys av båda studierna visade att 83 % av patienterna som fick fulvestrant progredierade i sin sjukdom, jämfört med 85 % av patienterna som fick anastrozol. Kombinerad analys av båda studierna visade att riskförhållandet (hazard ratio) mellan fulvestrant 250 mg och anastrozol vad gäller progressionsfri överlevnad var 0,95 (95 % CI 0,82 till 1,10). Den objektiva responsen var 19,2 % för fulvestrant 250 mg jämfört med 16,5 % för anastrozol. Mediantid till död var 27,4 månader för patienter som behandlats med fulvestrant och 27,6 månader för patienter som behandlats med anastrozol. Riskförhållandet mellan fulvestrant 250 mg och anastrozol vad gäller tid till död var 1,01 (95 % CI 0,86 till 1,19).
Kombinationsbehandling med palbociklib
En fas 3, internationell, randomiserad, dubbelblind, parallellgrupp, multicenterstudie av fulvestrant 500 mg plus palbociklib 125 mg jämfört med fulvestrant 500 mg plus placebo utfördes på kvinnor med HR-positiv, HER2-negativ lokalt avancerad bröstcancer, inte mottaglig för resektion eller strålbehandling med kurativ avsikt eller metastatisk bröstcancer, oberoende av deras menopausala status, vars sjukdom fortskred efter tidigare endokrin behandling i (neo) adjuvant eller metastatiskt tillstånd.
Totalt 521 pre/peri- och postmenopausala kvinnor som hade progredierat under eller inom 12 månader efter fullgjord adjuvant endokrin behandling under eller inom 1 månad från tidigare endokrin behandling för avancerad sjukdom, randomiserades 2:1 till fulvestrant plus palbociklib eller fulvestrant plus placebo och stratifierades enligt dokumenterad känslighet för tidigare hormonell behandling, menopausal status vid studiens inledning (pre/peri- jämfört med postmenopausal) och förekomst av av viscerala metastaser. Pre/perimenopausala kvinnor fick LHRH-agonisten goserelin. Patienter med avancerad/metastatisk, symtomatisk, visceral spridning, med risk för livshotande komplikationer på kort sikt (inklusive patienter med massiva okontrollerade effusioner [pleurala, perikardiella, peritoneala], pulmonell lymfangit och mer än 50 % involvering av levern), var inte lämpliga att inkluderas i studien.
Patienter fortsatte att få den tilldelade behandlingen till objektiv sjukdomsprogression, symtomatisk försämring, oacceptabel toxicitet, död eller tillbakadraget samtycke, beroende på vilket som inträffade först. Cross-over mellan behandlingsarmar var inte tillåtet.
Patienterna var väl matchade för demografiska och prognostiska baslinjekarakteristika mellan armen fulvestrant plus palbociklib och armen fulvestrant plus placebo. Medianåldern för patienterna som inkluderats i denna studie var 57 år (intervall 29, 88). I varje behandlingsarm var största delen av patienterna vita, hade dokumenterad känslighet för tidigare hormonell behandling och var postmenopausala.
Cirka 20 % av patienterna var pre/perimenopausala. Alla patienter hade fått tidigare systemisk behandling och de flesta patienterna i varje behandlingsarm hade fått en tidigare kemoterapibehandling för sin primära diagnos. Mer än hälften (62 %) hade en ECOG PS på 0, 60 % hade viscerala metastaser och 60 % hade fått mer än 1 tidigare hormonell behandling för sin primära diagnos.
Studiens primära effektmått var prövarens bedömning av PFS beräknad enligt RECIST 1.1. Understödjande PFS-analyser baserade sig på oberoende central radiologigranskning. Sekundära effektmått inkluderade OR, CBR, totalöverlevnad (OS), säkerhet och tid till försämring (TTD) för smärteffektmått.
Studien uppfyllde det primära effektmåttet genom att förlänga det prövarbedömda PFS vid interimsanalysen som utfördes på 82 % av de planerade PFS-händelserna; resultaten överskred de förbestämda Haybittle-Peto-effektgränserna (α=0,00135), vilket visade på en statistiskt signifikant förlängning av PFS och en kliniskt meningsfull behandlingseffekt. En noggrannare uppdatering av effektivitetsdata rapporteras i tabell 5.
Efter en medianuppföljningstid på 45 månader utfördes den slutliga OS-analysen baserad på 310 händelser (60 % av de randomiserade patienterna). En skillnad på 6,9 månader i median OS observerades i armen palbociklib plus fulvestrant jämfört med armen placebo plus fulvestrant; resultatet var inte statistiskt signifikant vid den förspecificerade signifikansnivån på 0,0235 (1-sidig). I armen placebo plus fulvestrant fick 15,5 % av de randomiserade patienterna palbociklib och andra CDK-hämmare som efterföljande behandlingar efter progression.
Resultaten från prövarens bedömning av PFS och slutlig OS-data från PALOMA3-studien presenteras i tabell 5. Relevanta Kaplan-Meier-kurvor presenteras i bild 2 respektive 3.
Tabell 5 Resultat effektmått – PALOMA3-studien (prövarens bedömning, intent-to-treat-population)
CBR=frekvens för klinisk nytta; CI=konfidensintervall; N=antal patienter; OR=objektiv respons
Resultaten för sekundära effektmått är baserade på bekräftade och obekräftade svar enligt RECIST 1.1.
* Ej statistiskt signifikant.
† 1-sidigt p-värde från log-rank-testet som stratifierats efter förekomst av viscerala metastaser och känslighet för tidigare endokrin behandling per randomisering.
Bild 2. Kaplan-Meier-kurva för progressionsfri överlevnad (prövarens bedömning, intent-to-treat-population) – PALOMA3-studien (brytpunkt 23 oktober 2015)
FUL=fulvestrant; PAL=palbociklib; PCB=placebo.
En minskad risk för sjukdomsprogression eller död i armen fulvestrant plus palbociklib observerades i alla individuella patientundergrupper definierat genom stratifieringsfaktorer och baslinjekarakteristika. Detta var tydligt hos pre/perimenopausala kvinnor (HR på 0,46 [95 % CI: 0,28, 0,75]) och postmenopausala kvinnor (HR på 0,52 [95 % CI: 0,40, 0,66]) och patienter med visceral metastatisk sjukdom (HR på 0,50 [95 % CI: 0,38, 0,65]) och icke-visceral metastatisk sjukdom (HR på 0,48 [95 % CI: 0,33, 0,71]). Nyttan kunde även observeras oberoende av tidigare behandlingslinjer i det metastatiska tillståndet, om 0 (HR på 0,59 [95 % CI: 0,37, 0,93]), 1 (HR på 0,46 [95 % CI: 0,32, 0,64]), 2 (HR på 0,48 [95 % CI: 0,30, 0,76]), eller ≥3 linjer (HR på 0,59 [95 % CI: 0,28, 1,22]).
Bild 3. Kaplan-Meier-kurva för totalöverlevnad (intent-to-treat-population – PALOMA3-studien (brytpunkt 13 april 2018)
FUL=fulvestrant; PAL=palbociklib; PCB=placebo
Ytterligare effektmått (OR och TTR) bedömda i patientundergrupperna med eller utan visceral sjukdom visas i tabell 6.
Tabell 6 Resultat effektmått vid visceral och icke-visceral sjukdom från PALOMA3-studien (Intent-to-Treat-population)
*Responsresultat baserat på bekräftade och obekräftade responser.
N=antal patienter; CI=konfidensintervall; OR= objektiv respons; TTR=tid till första tumörrespons.
Patientrapporterade symtom bedömdes med frågeformuläret från European Organization for Research and Treatment of Cancer (EORTC) för livskvalitet (QLQ)-C30 och dess bröstcancermodul (EORTC QLQ-BR23). Totalt 335 patienter i armen fulvestrant plus palbociklib och 166 patienter i armen fulvestrant plus placebo fyllde i frågeformuläret vid baslinjebesöket och vid minst 1 besök efter baslinjebesöket.
Tid till försämring förspecificerades som tiden mellan baslinjen och första förekomsten av ≥ 10 poängs ökning från baslinjen vad gäller smärtsymtompoäng. Tillägg av palbociklib till fulvestrant medförde en symtomfördel genom att signifikant fördröja tid till försämring av smärtsymtomen jämfört med fulvestrant plus placebo (median 8,0 månader jämfört med 2,8 månader; HR på 0,64 [95 % CI: 0,49, 0,85]; p < 0,001).
Effekter på postmenopausalt endometrium
Prekliniska data tyder inte på någon stimulerande effekt av fulvestrant på endometriet postmenopausalt (se avsnitt 5.3). En 2 veckors studie med friska frivilliga postmenopausala kvinnor som behandlades med etinylestradiol 20 mikrogram/dag visade att förbehandling med fulvestrant 250 mg resulterade i en signifikant minskad stimulering av det postmenopausala endometriet, jämfört med förbehandling med placebo, enligt ultraljudsmätning av endometriets tjocklek.
Neoadjuvant behandling i upp till 16 veckor för bröstcancerpatienter behandlade med antingen fulvestrant 500 mg eller fulvestrant 250 mg resulterade inte i kliniskt signifikanta skillnader i endometriets tjocklek vilket indikerar frånvaro av agonist effekt. Det finns inget som tyder på biverkningar i endometriet hos de studerade bröstcancerpatienterna. Data gällande endometriets morfologi finns inte tillgängliga.
I två korttidsstudier (1 och 12 veckor) på premenopausala patienter med benign, gynekologisk sjukdom, observerades inte någon signifikant skillnad i endometriets tjocklek (mätt med ultraljud) när fulvestrant jämfördes med placebo.
Effekter på benvävnad
Långtidseffektdata för fulvestrant på benvävnad saknas. Neoadjuvant behandling av bröstcancerpatienter i upp till 16 veckor med antingen fulvestrant 500 mg eller fulvestrant 250 mg resulterade inte i kliniskt signifikanta skillnader i benomsättningsmarkörer i serum.
Pediatrisk population
Fulvestrant är ej indicerat till barn. Europeiska läkemedelsmyndigheten har beviljat undantag från kravet att skicka in studieresultat för fulvestrant för alla grupper av den pediatriska populationen för bröstcancer (information om pediatrisk användning finns i avsnitt 4.2).
I en öppen fas 2-studie undersöktes säkerhet, effekt och farmakokinetik för fulvestrant på 30 flickor i åldern 1-8 år med för tidig pubertet kopplad till McCune Albrights syndrom (MAS). De unga patienterna fick en dos av fulvestrant på 4 mg/kg per månad intramuskulärt. I denna 12‑månadersstudie undersöktes en rad olika MAS-relaterade effektmått och visade en sänkt frekvens av vaginala blödningar och en sänkt utvecklingstakt för skelettåldern. Dalkoncentrationerna av fulvestrant vid steady state hos barnen i denna studie var överensstämmande med dem hos vuxna (se avsnitt 5.2). Det framkom inga nya säkerhetsproblem från denna lilla studie, men några 5-årsdata är ännu ej tillgängliga.
Absorption
Efter administrering av fulvestrant långverkande intramuskulär injektion, absorberas fulvestrant långsamt och maximala plasmakoncentrationer (Cmax) uppnås efter ca 5 dagar. Administrering av fulvestrant 500 mg-regim ger exponeringsnivåer vid eller nära steady state inom den första månaden av doseringen (i medeltal [CV]: AUC 475 [33,4 %] ng.dagar/ml, Cmax 25,1 [35,3 %] ng/ml, Cmin 16,3 [25,9 %] ng/ml). Vid steady state håller sig plasmakoncentrationerna av fulvestrant inom ett ganska snävt intervall upp till en ca 3-faldig skillnad mellan maximum- och minimikoncentrationer. Efter intramuskulär administrering är exponeringen i stort sett dosproportionell i dosområdet 50 till 500 mg.
Distribution
Fulvestrant distribueras omfattande och snabbt efter administrering. Den stora distributionsvolymen vid steady state (Vdss) (ca 3 till 5 l/kg), tyder på att distributionen är mestadels extravaskulär. Fulvestrant har en hög plasmaproteinbindning (99 %). Fraktioner av VLDL (very low densitiy lipoprotein), LDL (low density lipoprotein) och HDL (high density lipoprotein) lipoprotein utgör huvuddelen av dessa plasmaproteiner. Inga studier avseende proteinbindningsinteraktioner har utförts. Könshormonbindande globulinets (SHGB) roll har inte utvärderats.
Metabolism
Fulvestrants metabolism har inte utvärderats fullständigt, men innefattar kombinationer av ett antal möjliga biotransformeringsvägar som ingår i metabolismen av endogena steroider. Identifierade metaboliter (inklusive 17-keton, sulfan, 3-sulfat, 3- och 17-glukuronidmetaboliter) är antingen mindre aktiva eller uppvisar en liknande aktivitetsprofil som fulvestrant i antiöstrogena modeller. Studier med humana leverpreparationer och humana rekombinanta enzymer indikerar att CYP 3A4 är det enda av P-450-isoenzym som är involverat i oxidationen av fulvestrant. In vivo förefaller dock andra metaboliseringsvägar än P450 vara vanligast förekommande. In vitro-data tyder på att fulvestrant inte hämmar CYP450-isoenzym.
Eliminering
Fulvestrant elimineras huvudsakligen i metaboliserad form. Den främsta utsöndringsvägen är via faeces och mindre än 1 % utsöndras med urinen. Fulvestrant har ett högt clearance, 11± 1,7 ml/min/kg, vilket tyder på hög extraktionsgrad i levern. Den terminala halveringstiden (t1/2) efter intramuskulär administrering styrs av absorptionshastigheten och har uppskattats till 50 dagar.
Särskilda patientgrupper
I en populationsfarmakokinetisk analys av data från fas 3-studier sågs ingen skillnad i den farmakokinetiska profilen av fulvestrant beroende på ålder (mellan 33 och 89 år), vikt (40-127 kg) eller etnicitet.
Nedsatt njurfunktion
Lätt till måttligt nedsatt njurfunktion påverkade inte fulvestrants farmakokinetik i någon kliniskt relevant omfattning.
Nedsatt leverfunktion
Fulvestrants farmakokinetik har utvärderats i en singeldosstudie genomförd på kvinnor med lätt till måttlig leverfunktionsnedsättning (Child-Pugh klass A och B). En hög dos av en formulering för intramuskulär injektion med kortare duration användes. Hos försökspersoner med nedsatt leverfunktion sågs en upp till 2,5-faldig ökning av AUC jämfört med friska kvinnor. Hos patienter som administreras fulvestrant förväntas en ökad exponering i denna omfattning vara väl tolererad. Kvinnor med svår leverfunktionsnedsättning (Child-Pugh klass C) utvärderades inte.
Pediatrisk population
Farmakokinetiken för fulvestrant utvärderades i en klinisk studie på 30 flickor med för tidig pubertet kopplad till McCune Albrights syndrom (MAS) (se avsnitt 5.1). De unga patienterna var i åldern 1‑8 år och fick en dos av fulvestrant på 4 mg/kg per månad intramuskulärt. Det geometriska medelvärdet (standardavvikelsen) för dalkoncentrationen (Cmin,ss) och för AUCss i steady state var 4,2 (0,9) ng/ml respektive 3 680 (1 020) ng*h/ml. Även om insamlade data var begränsade förefaller dalkoncentrationerna av fulvestrant vid steady state hos barn vara överensstämmande med dem hos vuxna.
Fulvestrant har låg akut toxicitet.
Fulvestrant och andra beredningsformer av fulvestrant tolererades väl i alla djurarter som testades i flerdosstudier. Lokala reaktioner, såsom myosit och granulom vid injektionsstället ansågs bero på vehikeln, men allvarlighetsgraden av myosit hos kaniner ökade med fulvestrantmängden, jämfört med kontroll (saltlösning). I multipla intramuskulära dostoxicitetsstudier på råtta och hund, kunde de flesta av effekterna hänföras till fulvestrants antiöstrogena aktivitet. Detta kunde särskilt ses i reproduktionssystemet hos honor men också i andra organ känsliga för hormoner i båda könen. Arterit som omfattade ett flertal olika vävnader sågs hos några hundar efter kronisk (12 månader) behandling.
I hundstudier efter oral och intravenös administrering, sågs effekter på kardiovaskulära systemet (mindre höjningar av ST-segmentet vid EKG [oral], i en hund sågs sinushämning [intravenöst]). Detta inträffade vid exponeringsnivåer som var högre än för patienter (Cmax > 15 gånger), och är därför sannolikt av begränsad betydelse för människans säkerhet vid kliniska doser.
Fulvestrant visade ingen gentoxicitet.
Fulvestrant visade reproduktionseffekter och effekter på embryo/fosterutveckling i överensstämmelse med dess antiöstrogena aktivitet, vid doser jämförbara den kliniska dosen. En reversibel minskad fertilitet och överlevnad av embryo, dystoci och en ökad incidens av missbildningar inklusive böjd fotled observerades hos råtta. Kaniner som fick fulvestrant kunde inte fullfölja dräktighet och en ökning av placentavikten samt post-implantationsförlust av foster sågs. En ökad incidens av fostervariationer hos kaniner (omvänd placering av bäckengördeln samt 27 pre-sakralkotor) noterades.
En två års onkogenicitetsstudie på råtta (intramuskulär administrering med fulvestrant) visade på en ökad incidens av benigna ovariala granulosa celltumörer hos honråttor vid hög dos (10 mg/råtta/15 dagar) och en ökad incidens av Leydigcelltumörer hos hanråttor. I en tvåårig onkogenicitetsstudie på mus (daglig oral administrering) fanns en ökad incidens av könssträngstumörer i äggstockarna (både benigna och maligna) i doser på 150 och 500 mg/kg/dag. Vid nivån utan effekt för dessa fynd var systemiska exponeringen (AUC), hos råttor approximativt 1,5 gånger den förväntade humana exponeringen hos honor och 0,8 gånger hos hanar, och hos möss approximativt 0,8 gånger den förväntade humana exponeringen hos både hanar och honor. Induktionen av sådana tumörer överensstämmer med farmakologiska endokrina förändringar i gonadotropinnivåer orsakade av antiöstrogener hos cykliska djur. Därför anses dessa fynd inte vara relevanta för användandet av fulvestrant hos postmenopausala kvinnor med avancerad bröstcancer.
Miljöriskbedömning (ERA)
Miljöriskbedömningsstudier har visat att fulvestrant kan ha potential att orsaka skadliga effekter på vattenmiljön (se avsnitt 6.6).
Förvara den förfyllda sprutan i originalförpackningen. Ljuskänsligt.
Den förfyllda sprutan består av:
En, 2, 4 eller 6 förfyllda sprutor av klart typ I-glas med kolvstav av polystyren och kolvpropp av elastomer, försedd med en Plastic Rigid Tip Cap, innehållande 5 ml fulvestrant injektionsvätska, lösning.
En, 2, 4 eller 6 skyddade nåler (BD SafetyGlide) som ska kopplas på sprutorna ingår också.
Eventuellt kommer inte alla förpackningsstorlekar att marknadsföras.
Instruktioner för administrering
Administrera injektionen enligt lokala riktlinjer för utförande av intramuskulära injektioner med stor volym.
OBS! På grund av närheten till den underliggande ischiasnerven måste försiktighet iakttas om fulvestrant administreras vid det dorsogluteala injektionsstället (se avsnitt 4.4).
Varning – Autoklavera inte den skyddade nålen (BD SafetyGlide Shielding Hypodermic Needle) före användning. Händerna måste hela tiden hållas bakom nålen vid all användning och vid destruktion.
För var och en av de båda sprutorna
Ta glassprutan från brickan och kontrollera att den inte är skadad.
Ta bort den yttre förpackningen kring den skyddade nålen (SafetyGlide).
Parenterala lösningar måste granskas visuellt avseende partiklar och missfärgning före administrering.
Håll sprutan upprätt i den räfflade delen (C). Ta med andra handen tag i locket (PRTC Plastic Rigid Tip Cap) (A) och vrid försiktigt locket moturs.
Ta bort locket (A) genom att dra rakt upp. Behåll steriliteten genom att inte vidröra sprutspetsen (B) (se Figur 2).
Figur 2
Sätt fast den skyddade nålen på luerlock och vrid tills den sitter fast (se Figur 3).
Kontrollera att nålen är låst vid luerfattningen innan du flyttar sprutan från vertikalplanet.
Dra skyddshylsan rakt av nålen för att undvika att skada nålspetsen.
För den fyllda sprutan till administreringsstället.
Ta bort nålskyddet.
Tryck ut överskott av luft från sprutan.
Figur 3
Administrera intramuskulärt långsamt (1-2 minuter/injektion) i skinkan (glutealområdet). För att underlätta användning ska nålens avfasning vara riktad uppåt mot hävarmen (se Figur 4).
Figur 4
Efter injektion, tryck omedelbart med ett finger mot den aktiverade hävarmen för att aktivera skyddsmekanismen (se Figur 5).
OBSERVERA: Aktivera genom att rikta nålen bort från dig själv och andra. Lyssna efter ett klick och kontrollera visuellt att nålspetsen är fullständigt täckt.
Figur 5
Destruktion
Förfyllda sprutor är endast avsedda för engångsbruk.
Detta läkemedel kan utgöra en risk för vattenmiljön. Ej använt läkemedel och avfall ska kasseras enligt gällande anvisningar (se avsnitt 5.3).
Etanol (96%)
Bensylalkohol (E1519)
Bensylbensoat
Ricinolja, raffinerad
Då blandbarhetsstudier saknas får detta läkemedel inte blandas med andra läkemedel.
4 år.
Förvaras och transporteras kallt (2°C-8°C).
Avvikelser utanför temperaturområdet 2°C-8°C ska begränsas. Detta inkluderar att undvika förvaring vid temperaturer som överstiger 30°C och att inte överskrida en period på 28 dagar där den genomsnittliga förvaringstemperaturen för produkten är under 25°C (men över 2°C-8°C). Efter temperaturavvikelser ska produkten omedelbart återgå till de rekommenderade förvaringsförhållandena (förvaras och transporteras kallt, 2°C-8°C). Temperaturavvikelser har en kumulativ effekt på produktkvaliteten och tidsperioden på 28 dagar får inte överskridas under hela hållbarhetstiden på 4 år för fulvestrant (se avsnitt 6.3). Exponering för temperaturer under 2 °C skadar inte produkten, förutsatt att den inte förvaras under - 20°C.
Förvara den förfyllda sprutan i originalförpackningen. Ljuskänsligt.
Den förfyllda sprutan består av:
En, 2, 4 eller 6 förfyllda sprutor av klart typ I-glas med kolvstav av polystyren och kolvpropp av elastomer, försedd med en Plastic Rigid Tip Cap, innehållande 5 ml fulvestrant injektionsvätska, lösning.
En, 2, 4 eller 6 skyddade nåler (BD SafetyGlide) som ska kopplas på sprutorna ingår också.
Eventuellt kommer inte alla förpackningsstorlekar att marknadsföras.
Instruktioner för administrering
Administrera injektionen enligt lokala riktlinjer för utförande av intramuskulära injektioner med stor volym.
OBS! På grund av närheten till den underliggande ischiasnerven måste försiktighet iakttas om fulvestrant administreras vid det dorsogluteala injektionsstället (se avsnitt 4.4).
Varning – Autoklavera inte den skyddade nålen (BD SafetyGlide Shielding Hypodermic Needle) före användning. Händerna måste hela tiden hållas bakom nålen vid all användning och vid destruktion.
För var och en av de båda sprutorna
Ta glassprutan från brickan och kontrollera att den inte är skadad.
Ta bort den yttre förpackningen kring den skyddade nålen (SafetyGlide).
Parenterala lösningar måste granskas visuellt avseende partiklar och missfärgning före administrering.
Håll sprutan upprätt i den räfflade delen (C). Ta med andra handen tag i locket (PRTC Plastic Rigid Tip Cap) (A) och vrid försiktigt locket moturs.
Ta bort locket (A) genom att dra rakt upp. Behåll steriliteten genom att inte vidröra sprutspetsen (B) (se Figur 2).
Figur 2
Sätt fast den skyddade nålen på luerlock och vrid tills den sitter fast (se Figur 3).
Kontrollera att nålen är låst vid luerfattningen innan du flyttar sprutan från vertikalplanet.
Dra skyddshylsan rakt av nålen för att undvika att skada nålspetsen.
För den fyllda sprutan till administreringsstället.
Ta bort nålskyddet.
Tryck ut överskott av luft från sprutan.
Figur 3
Administrera intramuskulärt långsamt (1-2 minuter/injektion) i skinkan (glutealområdet). För att underlätta användning ska nålens avfasning vara riktad uppåt mot hävarmen (se Figur 4).
Figur 4
Efter injektion, tryck omedelbart med ett finger mot den aktiverade hävarmen för att aktivera skyddsmekanismen (se Figur 5).
OBSERVERA: Aktivera genom att rikta nålen bort från dig själv och andra. Lyssna efter ett klick och kontrollera visuellt att nålspetsen är fullständigt täckt.
Figur 5
Destruktion
Förfyllda sprutor är endast avsedda för engångsbruk.
Detta läkemedel kan utgöra en risk för vattenmiljön. Ej använt läkemedel och avfall ska kasseras enligt gällande anvisningar (se avsnitt 5.3).
Produktresumén är företagets information om läkemedlet riktat till förskrivare och personal inom sjukvård och apotek. Dokumentet är godkända av Läkemedelsverket eller den europeiska läkemedelsmyndigheten EMA i samband med att läkemedlet godkänns för marknadsföring.