Imnovid 1 mg hårda kapslar
Imnovid 2 mg hårda kapslar
Imnovid 3 mg hårda kapslar
Imnovid 4 mg hårda kapslar
Bristol‑Myers Squibb Pharma EEIG
Plaza 254
Blanchardstown Corporate Park 2
Dublin 15, D15 T867
Irland
Första godkännandet: 05 augusti 2013
Förnyat godkännande: 24 april 2023
2025-08-21
Ytterligare information om detta läkemedel finns på Europeiska läkemedelsmyndighetens webbplats http://www.ema.europa.eu/.
Imnovid 1 mg hårda kapslar
Varje hård kapsel innehåller 1 mg pomalidomid.
Imnovid 2 mg hårda kapslar
Varje hård kapsel innehåller 2 mg pomalidomid.
Imnovid 3 mg hårda kapslar
Varje hård kapsel innehåller 3 mg pomalidomid.
Imnovid 4 mg hårda kapslar
Varje hård kapsel innehåller 4 mg pomalidomid.
För fullständig förteckning över hjälpämnen, se avsnitt 6.1.
Hård kapsel
Imnovid 1 mg hårda kapslar
Mörkblå opak överdel och gul opak underdel, präglad med ”POML” i vitt bläck och ”1 mg” i svart bläck, storlek 3, hård gelatinkapsel.
Imnovid 2 mg hårda kapslar
Mörkblå opak överdel och orange opak underdel, präglad med ”POML 2 mg” i vitt bläck, storlek 1, hård gelatinkapsel.
Imnovid 3 mg hårda kapslar
Mörkblå opak överdel och grön opak underdel, präglad med ”POML 3 mg” i vitt bläck, storlek 1, hård gelatinkapsel.
Imnovid 4 mg hårda kapslar
Mörkblå opak överdel och blå opak underdel, präglad med ”POML 4 mg” i vitt bläck, storlek 1, hård gelatinkapsel.
Pomalidomid administreras i kombination med bortezomib och dexametason enligt tabell 1. Den rekommenderade startdosen för bortezomib är 1,3 mg/m2 intravenöst eller subkutant en gång per dag på behandlingsdagar enligt schema i tabell 1. Den rekommenderade dosen av dexametason är 20 mg som tas oralt en gång per dag på behandlingsdagar enligt schema i tabell 1.
Behandling med pomalidomid kombinerat med bortezomib och dexametason bör ges tills sjukdomen progredierar eller tills oacceptabel toxicitet uppstår.
Tabell 1. Rekommenderat doseringsschema för pomalidomid i kombination med bortezomib och dexametason
Pomalidomid dosmodifiering eller avbrott
För att påbörja en ny cykel med pomalidomid måste neutrofilantalet vara ≥ 1 x 109/l och trombocytantalet ≥ 50 x 109/l.
Anvisningar för dosavbrott eller dosminskningar för pomalidomid-relaterade biverkningar beskrivs i tabell 2 och dosnivåer specificeras i tabell 3 nedan:
Tabell 2. Anvisningar för pomalidomid dosmodifiering∞
∞Anvisningar för dosmodifieringar i denna tabell gäller för pomalidomid i kombination med bortezomib och dexametason och för pomalidomid i kombination med dexametason.
*Vid neutropeni bör läkaren överväga att använda tillväxtfaktorer. **Absolut neutrofilantal (ANC); ***Fullständig blodstatus (CBC).
Tabell 3. Anvisningar för pomalidomid dosminskning∞
∞Anvisningar för dosminskning i denna tabell gäller för pomalidomid i kombination med bortezomib och dexametason och för pomalidomid i kombination med dexametason.
Om det uppstår biverkningar efter dosminskningar till 1 mg ska behandlingen sättas ut.
Starka CYP1A2-hämmare
Om starka hämmare av CYP1A2 (t.ex. ciprofloxacin, enoxacin och fluvoxamin) administreras samtidigt med pomalidomid, ska pomalidomiddosen sänkas med 50 % (se avsnitt 4.5 och 5.2).
Bortezomib dosmodifiering eller avbrott
För anvisningar för dosavbrott eller dosminskningar på grund av bortezomib-relaterade biverkningar hänvisas läkare till produktresumén för bortezomib.
Dexametason dosmodifiering eller avbrott
Anvisningar för dosavbrott eller dosminskningar på grund av biverkningar relaterade till lågdos av dexametason ges i tabell 4 och 5 nedan. Beslut om dosavbrott eller återupptagande sker dock enligt produktresumén på läkarens ansvar.
Tabell 4. Anvisningar för dexametason dosmodifiering
Om återhämtningen från toxiciteter är längre än 14 dagar, ska dexametasondosen återupptas på en dosnivå som är en nivå lägre än föregående dos.
Tabell 5. Anvisningar för dexametason dosminskning
Dexametasonbehandling ska sättas ut om patienten inte tolererar 8 mg om ≤ 75 år eller 4 mg om > 75 år.
I händelse av att någon komponent i behandlingsregimen sätts ut permanent sker fortsatt behandling med de återstående läkemedlen på läkarens ansvar.
Pomalidomid i kombination med dexametason
Den rekommenderade startdosen för pomalidomid är 4 mg som tas oralt en gång dagligen på dag 1 till 21 i varje 28-dagarscykel.
Den rekommenderade dosen av dexametason är 40 mg som tas oralt en gång dagligen på dag 1, 8, 15 och 22 i varje 28-dagarscykel.
Behandling med pomalidomid kombinerat med dexametason bör ges tills sjukdomsprogression eller tills oacceptabel toxicitet uppstår.
Pomalidomid dosmodifiering eller avbrott
Anvisningar för dosavbrott eller dosminskningar på grund av biverkningar relaterade till pomalidomid beskrivs i tabell 2 och 3.
Dexametason dosmodifiering eller avbrott
Anvisningar för dosmodifiering på grund av biverkningar relaterade till dexametason beskrivs i tabell 4. Anvisningar för dosminskning på grund av biverkningar relaterade till dexametason beskrivs i tabell 6 nedan. Beslut om dosavbrott eller återupptagande sker dock enligt den aktuella produktresumén på läkarens ansvar.
Tabell 6. Anvisningar för dexametason dosminskning
Dexametasonbehandling ska sättas ut om patienten inte tolererar 10 mg om ≤ 75 år eller 8 mg om > 75 år.
Särskilda populationer
Äldre
Det behövs inga dosjusteringar för pomalidomid.
Pomalidomid i kombination med bortezomib och dexametason
För patienter > 75 år är startdosen för dexametason:
För cykel 1 till 8: 10 mg en gång dagligen på dag 1, 2, 4, 5, 8, 9, 11 och 12 i varje 21-dagarscykel.
För cykel 9 och vidare: 10 mg en gång dagligen på dag 1, 2, 8 och 9 i varje 21-dagarscykel.
Pomalidomid i kombination med dexametason
För patienter > 75 år är startdosen för dexametason:
20 mg en gång dagligen på dag 1, 8, 15 och 22 i varje 28-dagarscykel.
Nedsatt leverfunktion
Patienter med totalt serumbilirubin > 1,5 x ULN (övre referensnivå) uteslöts från kliniska studier. Nedsatt leverfunktion har en måttlig effekt på farmokokinetiken för pomalidomid (se avsnitt 5.2). Ingen justering av begynnelsedosen av pomalidomid krävs för patienter med nedsatt leverfunktion som definierats enligt Child-Pugh-kriterierna. Patienter med nedsatt leverfunktion ska emellertid övervakas noga avseende biverkningar och dosreducering eller avbrott av pomalidomid ska utföras vid behov.
Nedsatt njurfunktion
Ingen dosjustering av pomalidomid krävs för patienter med nedsatt njurfunktion. På hemodialysdagar ska patienter ta sin pomalidomiddos efter hemodialysen.
Pediatrisk population
Det finns ingen relevant användning av pomalidomid för barn i åldern 0–17 år för indikationen multipelt myelom.
Utanför de godkända indikationerna har pomalidomid studerats hos barn i åldrarna 4 till 18 år, med recidiverande eller progressiva hjärntumörer, men resultaten från studierna tillät inte slutsatsen att fördelarna med sådan användning uppväger riskerna. För närvarande tillgängliga data beskrivs i avsnitt 4.8, 5.1 och 5.2.
Administreringssätt
Oral användning.
Imnovid hårda kapslar ska tas oralt vid samma tidpunkt varje dag. Kapslarna får inte öppnas, krossas eller tuggas (se avsnitt 6.6). Kapslarna ska sväljas helt, helst med vatten, med eller utan mat. Om patienten har glömt att ta en dos av pomalidomid den ena dagen, ska patienten ta den normala, ordinerade dosen enligt schemat nästa dag. Patienter får inte justera dosen för att kompensera för glömd dos föregående dagar.
För att minska risken att kapseln går sönder eller deformeras när man tar ut den ur blistern ska man endast trycka på ena änden av kapseln.
Graviditet.
Fertila kvinnor, såvida inte alla villkor för graviditetspreventionsprogrammet har uppfyllts (se avsnitt 4.4 och 4.6).
Manliga patienter som inte kan följa eller uppfylla de erforderliga åtgärderna avseende graviditetsprevention (se avsnitt 4.4).
Överkänslighet mot den aktiva substansen eller mot något hjälpämne som anges i avsnitt 6.1.
Teratogenicitet
Pomalidomid får inte tas under graviditet eftersom en teratogen effekt förväntas. Pomalidomid är strukturellt besläktat med talidomid. Talidomid är en aktiv substans som har teratogena effekter hos människa och orsakar allvarliga, livshotande fosterskador. Pomalidomid befanns vara teratogent hos både råttor och kaniner när det administrerades under perioden med betydande organogenes (se avsnitt 5.3).
Villkoren i graviditetspreventionsprogrammet måste vara uppfyllda för samtliga patienter, om det inte finns tillförlitliga bevis för att patienten inte är fertil.
Kriterier för infertila kvinnor
En kvinnlig patient eller en kvinnlig partner till en manlig patient anses vara infertil om hon uppfyller minst ett av följande kriterier:
Ålder ≥ 50 år och naturligt amenorroisk i ≥ 1 år (amenorré efter cancerbehandling eller under amning utesluter inte fertilitet)
Prematur ovarial svikt som har bekräftats av en specialist inom gynekologi
Tidigare bilateral salpingooforektomi eller hysterektomi
Genotyp XY, Turners syndrom, uterin agenesi.
Rådgivning
Pomalidomid är kontraindicerat för fertila kvinnor om inte samtliga följande villkor är uppfyllda:
Hon förstår de förväntade riskerna för fosterskada.
Hon förstår nödvändigheten att utan avbrott använda effektiv preventivmetod i minst 4 veckor före behandlingsstart, under hela behandlingstiden och i minst 4 veckor efter behandlingens slut.
Även om en fertil kvinna är amenorreisk måste hon följa råden om effektiva preventivmetoder.
Hon har förmåga att följa anvisningarna om effektiva preventivmetoder.
Hon är informerad om och förstår de potentiella konsekvenserna av en graviditet och behovet av en snabb konsultation om det finns risk för att hon är gravid.
Hon förstår nödvändigheten att påbörja behandlingen så snart som pomalidomid dispenserats efter det att ett negativt graviditetstest har utförts.
Hon förstår behovet och accepterar att genomgå graviditetstest minst var 4:e vecka förutom ifall en tubarsterilisering har bekräftats.
Hon har bekräftat att hon förstår riskerna och de nödvändiga försiktighetsåtgärder som är förenade med pomalidomid.
Vid förskrivning till en fertil kvinna måste förskrivaren försäkra sig om att:
Patienten uppfyller villkoren i graviditetspreventionsprogrammet och att hon förstår förhållningsreglerna tillräckligt bra
Patienten bekräftar ovanstående villkor
Vad avser manliga patienter som tar pomalidomid har farmakokinetiska data visat att pomalidomid förekommer i human sädesvätska under behandling. Som ett försiktighetsmått och med hänsyn till populationer med potentiell förlängd elimineringstid, såsom nedsatt leverfunktion, måste alla manliga patienter som tar pomalidomid uppfylla följande villkor:
Han förstår de förväntade riskerna för fosterskada vid graviditet efter samlag med en gravid eller fertil kvinna.
Han förstår nödvändigheten av att använda en kondom i samband med sexuell aktivitet med en gravid eller fertil kvinna som inte använder ett effektivt preventivmedel, under hela behandlingstiden, under dosavbrott och 7 dagar efter dosavbrott och/eller avslutad behandling. Detta omfattar steriliserade män, som ska använda kondom i samband med sexuell aktivitet med en gravid eller fertil kvinna eftersom sädesvätska fortfarande kan innehålla pomalidomid, även i frånvaro av sperma.
Han förstår att om hans kvinnliga partner blir gravid medan han tar pomalidomid eller 7 dagar efter avslutad behandling med pomalidomid, måste han informera sin behandlande läkare omedelbart och att det rekommenderas att hans kvinnliga partner remitteras för utvärdering och rådgivning till en läkare som är specialiserad inom eller har erfarenhet av teratologi.
Preventivmetoder
Fertila kvinnor måste använda minst en effektiv preventivmetod i minst 4 veckor före behandling, under behandling och under minst 4 veckor efter behandling med pomalidomid samt även i händelse av uppehåll i behandlingen, om inte patienten förbinder sig att idka absolut och kontinuerlig avhållsamhet och bekräftar detta månatligen. Om patienten inte redan använder en effektiv preventivmetod, måste hon remitteras till sjukvårdspersonal med lämplig utbildning för preventivmedelsrådgivning så att graviditetsprevention kan inledas.
Följande kan betraktas som exempel på lämpliga preventivmetoder:
Implantat
Levonorgestrelutsöndrande intrauterint system
Depotformulering av medroxyprogesteronacetat
Tubarsterilisering
Samlag med en vasektomiserad manlig partner; vasektomi måste vara bekräftad av två negativa spermaanalyser
Ägglossningshämmande tabletter med endast progesteron (dvs. desogestrel)
På grund av den ökade risken för venös tromboembolism hos patienter med multipelt myelom som tar pomalidomid och dexametason, rekommenderas inte kombinations-p-piller (se även avsnitt 4.5). Om patienten använder kombinations-p-piller bör hon byta till en av de effektiva metoder som förtecknas ovan. Risken för venös tromboembolism kvarstår i 4–6 veckor efter avbrott av behandling med kombinations-p-piller. Effekten av kontraceptiva steroider kan försämras vid samtidig behandling med dexametason (se avsnitt 4.5).
Implantat och levonorgestrelutsöndrande intrauterina system är förenade med en ökad infektionsrisk vid insättandet och oregelbundna vaginala blödningar. Profylaktiska antibiotika bör övervägas, särskilt för patienter med neutropeni.
Insättning av kopparavgivande spiraler rekommenderas inte på grund av de potentiella infektionsriskerna vid insättandet och förlusten av menstruationsblod, som kan ha negativ effekt på patienter med svår neutropeni eller svår trombocytopeni.
Graviditetstest
För fertila kvinnor måste medicinskt övervakade graviditetstester med lägsta känslighet på 25 mIE/ml utföras i enlighet med lokal praxis och enligt nedanstående anvisningar. Detta krav inkluderar fertila kvinnor som idkar absolut och kontinuerlig avhållsamhet. Graviditetstest, förskrivning och utlämning av läkemedlet ska helst ske samma dag. Utlämning av pomalidomid till fertila kvinnor ska ske inom 7 dagar från förskrivningsdagen.
Före inledning av behandling
Ett medicinskt övervakat graviditetstest måste utföras under det läkarbesök då pomalidomid förskrivs, eller inom 3 dagar före besöket hos förskrivaren, om patienten dessförinnan har använt en effektiv preventivmetod i minst 4 veckor. Testet måste säkerställa att patienten inte är gravid när hon börjar behandlingen med pomalidomid.
Uppföljning och behandlingens slut
Ett medicinskt övervakat graviditetstest måste upprepas minst var 4:e vecka och även minst 4 veckor efter behandlingens slut, förutom i de fall en tubarsterilisering har bekräftats. Dessa graviditetstester ska utföras på förskrivningsdagen eller inom 3 dagar före besöket hos förskrivaren.
Ytterligare försiktighetsåtgärder
Patienter måste instrueras att aldrig ge detta läkemedel till någon annan och att återlämna eventuella överblivna kapslar till apoteket i slutet av behandlingen.
Patienter får inte ge blod, sädesvätska eller sperma under behandlingen (inklusive under dosavbrott) och i minst 7 dagar efter det att behandlingen med pomalidomid har avslutats.
Hälso- och sjukvårdspersonal samt vårdare ska använda engångshandskar vid hantering av blistern eller kapseln. Kvinnor som är gravida eller misstänker att de kan vara gravida ska inte hantera blisterförpackningen eller kapseln (se avsnitt 6.6).
Utbildningsmaterial och restriktioner vid förskrivning och utlämning av läkemedel
För att hjälpa patienter att undvika att foster exponeras för pomalidomid, kommer innehavaren av godkännandet för försäljning att tillhandahålla utbildningsmaterial till sjukvårdspersonal för att förstärka varningarna om pomalidomids förväntade teratogenicitet, för att tillhandahålla råd om preventivmetoder innan behandling sätts in och för att ge vägledning om behovet av graviditetstester. Förskrivaren måste informera patienten om den förväntade teratogena risken och de strikta åtgärderna för graviditetsprevention som specifieras i graviditetspreventionsprogrammet samt förse patienterna med lämplig utbildningsbroschyr, patientkort och/eller motsvarande verktyg enligt överenskommelse med respektive nationell behörig myndighet. I samarbete med respektive nationell behörig myndighet har ett program för kontrollerad tillgång införts. Detta innefattar användningen av ett patientkort och/eller motsvarande verktyg för förskrivnings- och/eller utlämningskontroller, och insamling av information relaterad till indikationen, för att övervaka användning utanför indikation, inom det nationella territoriet. Helst ska graviditetstestning, förskrivning och utlämning ske samma dag. Utlämning av pomalidomid till fertila kvinnor ska äga rum inom 7 dagar efter förskrivningen och efter ett negativt graviditetstest på klinik. Recept till fertila kvinnor får gälla för behandling under högst 4 veckor i enlighet med doseringsregimerna för de godkända indikationerna (se avsnitt 4.2), och recept till alla övriga patienter får gälla för högst 12 veckor.
Hematologiska händelser
Neutropeni var den mest frekvent rapporterade hematologiska biverkningen av grad 3 eller 4 hos patienter med recidiverande/refraktärt multipelt myelom följt av anemi och trombocytopeni. Patienter ska övervakas avseende hematologiska biverkningar, i synnerhet neutropeni. Patienter ska uppmanas att genast rapportera episoder med feber. Läkare ska observera patienter avseende tecken på blödning, inklusive näsblod, särskilt vid samtidig användning av läkemedel som har konstaterats öka risken för blödning (se avsnitt 4.8). Kompletta blodstatus ska övervakas vid baslinjen, varje vecka under de första 8 veckorna och därefter varje månad. Det kan krävas en dosmodifiering (se avsnitt 4.2). Patienter kan behöva använda stöd i form av blodprodukter och/eller tillväxtfaktorer.
Tromboemboliska händelser
Patienter som får pomalidomid antingen i kombination med bortezomib och dexametason eller i kombination med dexametason har utvecklat venösa tromboemboliska händelser (företrädesvis djup ventrombos och lungembolism) och arteriella tromboshändelser (hjärtinfarkt och cerebrovaskulär händelse) (se avsnitt 4.8). Patienter med kända riskfaktorer för tromboembolism – inklusive tidigare trombos – ska övervakas noga. Åtgärder ska vidtas för att försöka minimera alla modifierbara risker (t.ex. rökning, hypertoni och hyperlipidemi). Patienter och läkare tillråds att vara observanta på tecken och symtom på tromboembolism. Patienter ska instrueras att söka medicinsk vård om de får symtom som andfåddhet, bröstmärta, svullnad i arm eller ben. Antikoagulationsbehandling (om det inte är kontraindicerat) rekommenderas, (t.ex. acetylsalicylsyra, warfarin, heparin eller klopidogrel), särskilt till patienter med ytterligare riskfaktorer för trombos. Ett beslut att vidta profylaktiska åtgärder ska fattas efter noggrann bedömning av den enskilda patientens bakomliggande riskfaktorer. I kliniska studier fick patienter profylaktisk acetylsalicylsyra eller alternativ antitrombosbehandling. Användningen av erytropoetiska medel medför en risk för tromboshändelser inklusive tromboembolism. Därför ska erytropoetiska medel, liksom andra medel som kan öka risken för tromboembolihändelser, användas med försiktighet.
Sköldkörtelrubbningar
Fall av hypotyreoidism har rapporterats. Optimal kontroll av komorbida tillstånd som påverkar sköldkörtelns funktion rekommenderas innan behandlingen inleds. Övervakning av sköldkörtelfunktionen vid baslinjen och därefter kontinuerligt rekommenderas.
Perifer neuropati
Patienter med pågående perifer neuropati ≥ grad 2 uteslöts från kliniska studier med pomalidomid. Vederbörlig försiktighet ska iakttas när man överväger att behandla sådana patienter med pomalidomid.
Signifikant hjärtdysfunktion
Patienter med signifikant hjärtdysfunktion (kongestiv hjärtsvikt [NY Heart Association klass III eller IV]; myokardinfarkt inom 12 månader före studiestarten; instabil eller dåligt kontrollerad angina pectoris) exkluderades från kliniska studier med pomalidomid. Hjärthändelser, inklusive kongestiv hjärtsvikt, lungödem och förmaksflimmer (se avsnitt 4.8) har rapporterats, huvudsakligen hos patienter med befintlig hjärtsjukdom eller kardiella riskfaktorer. Vederbörlig försiktighet ska iakttas när man överväger att behandla sådana patienter med pomalidomid, inklusive regelbunden kontroll av tecken eller symtom på hjärthändelser.
Tumörlyssyndrom
Patienter som löper störst risk att få tumörlyssyndrom är patienter med hög tumörbörda före behandling. Dessa patienter ska övervakas noga och vederbörliga försiktighetsåtgärder ska vidtas.
Nya primära maligniteter
Nya primära maligniteter, såsom icke-melanom hudcancer har observerats hos patienter som fått pomalidomid (se avsnitt 4.8). Läkare ska bedöma patienter noga före och under behandling med användning av sedvanlig cancer screening avseende uppkomsten av nya primära maligniteter och sätta in relevant behandling.
Allergiska reaktioner och svåra hudreaktioner
Angioödem, anafylaktisk reaktion och svåra hudreaktioner, inklusive SJS, TEN och DRESS, har rapporterats vid användning av pomalidomid (se avsnitt 4.8). Förskrivaren ska informera patienterna om tecken och symtom på dessa reaktioner och uppmana dem att omedelbart söka vård om sådana symtom uppstår. Behandling med pomalidomid måste avbrytas vid exfoliativt eller bullöst hudutslag eller om man misstänker SJS, TEN eller DRESS, och ska inte återupptas efter avbrott på grund av dessa reaktioner. Patienter som tidigare haft allvarliga allergiska reaktioner i samband med talidomid eller lenalidomid uteslöts från kliniska studier. Sådana patienter kan ha en högre risk för överkänslighetsreaktioner och ska inte få pomalidomid. Uppehåll eller avbrytande av behandling med pomalidomid ska övervägas vid hudutslag av grad 2‑3. Behandling med pomalidomid måste avbrytas permanent vid angioödem och anafylaktisk reaktion.
Yrsel och förvirring
Yrsel och förvirringstillstånd har rapporterats med pomalidomid. Patienter måste undvika situationer där yrsel och förvirring kan vara ett problem samt avstå från att ta andra läkemedel som kan orsaka yrsel eller förvirring utan att först söka medicinsk rådgivning.
Interstitiell lungsjukdom
Interstitiell lungsjukdom och relaterade händelser, inklusive fall av pneumonit har observerats med pomalidomid. Noggrann utvärdering av patienter med akut eller oförklarlig försämring av lungsymtom ska ske för att utesluta interstitiell lungsjukdom. Pomalidomid ska avbrytas under utredning av dessa symtom och om interstitiell lungsjukdom bekräftas ska lämplig behandling sättas in. Behandling med pomalidomid ska endast återupptas efter noggrann utvärdering av fördelar och risker.
Leverstörningar
Markant förhöjda nivåer av alaninaminotransferas och bilirubin har observerats hos patienter som behandlats med pomalidomid (se avsnitt 4.8). Det har också förekommit fall av hepatit som resulterade i att behandling med pomalidomid avbröts. Regelbunden kontroll av leverfunktionen rekommenderas under de första sex månadernas behandling med pomalidomid och därefter när det är kliniskt indicerat.
Infektioner
Sällsynta fall av reaktivering av hepatit B har rapporterats hos patienter som får pomalidomid i kombination med dexametason och som tidigare infekterats med hepatit B-virus (HBV). Vissa av dessa fall har utvecklats till akut leversvikt, vilket medfört utsättning av pomalidomid. Status för hepatit B-virus bör fastställas innan behandling med pomalidomid påbörjas. Patienter som testar positivt för HBV-infektion rekommenderas konsultera en läkare med erfarenhet av behandling av hepatit B. Försiktighet ska också iakttas vid användning av pomalidomid i kombination med dexametason hos patienter som tidigare infekterats med HBV, inklusive patienter som är anti-HBc-positiva men HBcAg-negativa. Dessa patienter ska övervakas noga för tecken och symtom på aktiv HBV-infektion under behandlingen.
Progressiv multifokal leukoencefalopati (PML)
Fall av progressiv multifokal leukoencefalopati, inräknat fall med dödlig utgång, har rapporterats med pomalidomid. PML rapporterades från flera månader och upp till flera år efter påbörjad behandling med pomalidomid. Fallen har vanligen rapporterats hos patienter som samtidigt tar dexametason eller som tidigare behandlats med annan immunsuppressiv kemoterapi. Läkaren ska kontrollera patienten med jämna mellanrum och överväga PML som differentialdiagnos hos patienter med nya eller förvärrade neurologiska symtom eller med kognitiva eller beteendemässiga tecken eller symtom. Patienten ska också rekommenderas att informera sin partner eller vårdare om behandlingen, eftersom dessa kan upptäcka symtom som patienten inte är medveten om.
Utredningen av PML ska baseras på neurologisk undersökning, magnetresonanstomografi av hjärnan och analys av cerebrospinalvätskan avseende DNA från JC-virus (JCV) genom polymeraskedjereaktion (PCR) eller hjärnbiopsi med test avseende JCV. Ett negativt JCV PCR utesluter inte PML. Ytterligare uppföljning och utvärdering kan vara motiverad om ingen alternativ diagnos kan ställas.
Om PML misstänks måste fortsatt behandling skjutas upp tills PML har kunnat uteslutas. Om PML bekräftas måste pomalidomid sättas ut permanent.
Natriuminnehåll
Detta läkemedel innehåller mindre än 1 mmol natrium (23 mg) per kapsel, d.v.s. är näst intill ”natriumfritt”.
Effekt av pomalidomid på andra läkemedel
Pomalidomid väntas inte orsaka några kliniskt relevanta farmakokinetiska interaktioner på grund av P450 isoenzymhämning eller -induktion eller transportörhämning när det administreras samtidigt med substrat av dessa enzymer eller transportörer. Potentialen för sådana interaktioner, inklusive den potentiella påverkan av pomalidomid på farmakokinetiken för kombinerade orala preventivmedel, har inte utvärderats kliniskt, (se avsnitt 4.4, Teratogenicitet).
Effekter av andra läkemedel på pomalidomid
Pomalidomid metaboliseras delvis av CYP1A2 och CYP3A4/5. Det är även ett substrat för P-glykoprotein. Samtidig administrering av pomalidomid med den starka CYP3A4/5- och P-gp-hämmaren ketokonazol eller den starka CYP3A4/5-induceraren karbamazepin, hade ingen kliniskt relevant effekt på exponeringen för pomalidomid. Samtidig administrering av den starka CYP1A2 -hämmaren fluvoxamin med pomalidomid i närvaro av ketokonazol, ökade medelexponeringen för pomalidomid med 107 % med ett 90-procentigt konfidensintervall (91 % till 124 %) jämfört med pomalidomid plus ketokonazol. I en andra studie för att utvärdera hur mycket enbart CYP1A2-hämmare bidrar till metabolismförändringar, ökade samtidig administrering av enbart fluvoxamin tillsammans med pomalidomid medelexponeringen för pomalidomid med 125 % med ett 90 %-konfidensintervall [98 % mot 157 %] jämfört med enbart pomalidomid. Om starka hämmare av CYP1A2 (t.ex. ciprofloxacin, enoxacin och fluvoxamin) administreras samtidigt med pomalidomid, ska pomalidomiddosen sänkas med 50 %.
Dexametason
Samtidig administrering av flera doser på upp till 4 mg pomalidomid med 20 mg till 40 mg dexametason (en svag till måttlig inducerare av flera CYP-enzymer inklusive CYP3A) till patienter med multipelt myelom hade ingen effekt på farmakokinetiken för pomalidomid jämfört med när enbart pomalidomid administrerades.
Effekten av dexametason på warfarin är okänd. Noggrann övervakning av warfarinkoncentrationen rekommenderas under behandling.
Fertila kvinnor/Preventivmetoder för män och kvinnor
Fertila kvinnor ska använda effektiva preventivmetoder. Om en kvinna som behandlas med pomalidomid skulle bli gravid måste behandlingen stoppas och patienten ska remitteras till en läkare som är specialiserad inom, eller har erfarenhet av, teratologi för bedömning och rådgivning. Om partnern till en man som tar pomalidomid skulle bli gravid, rekommenderas att den kvinnliga partnern remitteras till en läkare som är specialiserad inom, eller har erfarenhet av teratologi, för bedömning och rådgivning. Pomalidomid finns i human sädesvätska. Som en försiktighetsåtgärd ska alla manliga patienter som tar pomalidomid använda kondom under hela behandlingstiden, under dosavbrott och i 7 dagar efter avslutad behandling om deras partner är gravid eller fertil och inte använder en preventivmetod (se avsnitt 4.3 och 4.4).
Graviditet
En teratogen effekt av pomalidomid hos människa är förväntad. Pomalidomid är kontraindicerat under graviditet och till fertila kvinnor, utom när alla villkor för graviditetsprevention har uppfyllts (se avsnitt 4.3 och 4.4).
Amning
Det är okänt om pomalidomid utsöndras i bröstmjölk. Pomalidomid detekterades i mjölk från lakterande råttor efter administrering till modern. På grund av risken för biverkningar hos ammade spädbarn från pomalidomid, måste ett beslut fattas om amningen ska avbrytas eller om läkemedelsbehandlingen ska avbrytas, med hänsyn till fördelarna med amning för barnet och fördelarna med behandlingen för kvinnan.
Fertilitet
Pomalidomid befanns ha en negativ påverkan på fertilitet och vara teratogent hos djur. Pomalidomid passerade placentan och påvisades i fosterblod efter administrering till dräktiga kaniner (se avsnitt 5.3).
Pomalidomid har mindre eller måttlig effekt på förmågan att framföra fordon och använda maskiner.
Trötthet, sänkt medvetandenivå, förvirring och yrsel har rapporterats vid användning av pomalidomid. Om en patient känner sig påverkad ska han/hon avstå från att köra bil, använda maskiner eller utföra riskfyllda uppgifter under behandlingen med pomalidomid.
Sammanfattning av säkerhetsprofilen
Pomalidomid i kombination med bortezomib och dexametason
De oftast rapporterade rubbningarna i blodet och lymfsystemet var neutropeni (54,0 %), trombocytopeni (39,9 %) och anemi (32,0 %). Andra frekvent rapporterade biverkningar inkluderade perifer sensorisk neuropati (48,2 %), trötthet (38,8 %), diarré (38,1 %), förstoppning (38,1 %), och perifera ödem (36,3 %). De oftast rapporterade biverkningarna av grad 3 eller 4 var rubbningar i blodet och lymfsystemet inklusive neutropeni (47,1 %), trombocytopeni (28,1 %) och anemi (15,1 %). Den oftast rapporterade allvarliga biverkningen var pneumoni (12,2 %). Övriga allvarliga biverkningar som har rapporterats innefattade pyrexi (4,3 %), nedre luftvägsinfektion (3,6 %), influensa (3,6 %), lungemboli (3,2 %), förmaksflimmer (3,2 %) och akut njurskada (2,9 %).
Pomalidomid i kombination med dexametason
De oftast rapporterade biverkningarna i kliniska studier har varit rubbningar i blodet och lymfsystemet, inklusive anemi (45,7 %), neutropeni (45,3 %) och trombocytopeni (27 %); i allmänna symtom och/eller symtom vid administreringsstället inklusive trötthet (28,3 %), pyrexi (21 %) och perifera ödem (13 %); och i infektioner och infestationer inklusive pneumoni (10,7 %). Biverkningar i form av perifer neuropati har rapporterats hos 12,3 % av patienterna och venösa tromboemboliska (VTE) biverkningar har rapporterats hos 3,3 % av patienterna. De oftast rapporterade biverkningarna av grad 3 eller 4 återfanns i blodet och lymfsystemet inklusive neutropeni (41,7 %), anemi (27 %) och trombocytopeni (20,7 %); i infektioner och infestationer inklusive pneumoni (9 %); och i allmänna symtom och/eller symtom vid administreringsstället inklusive trötthet (4,7 %), pyrexi (3 %) och perifera ödem (1,3 %). Den oftast rapporterade allvarliga biverkningen var pneumoni (9,3 %). Övriga allvarliga biverkningar som har rapporterats innefattade febril neutropeni (4,0 %), neutropeni (2,0 %), trombocytopeni (1,7 %) och VTE-biverkningar (1,7 %).
Biverkningar tenderade att uppkomma mer frekvent inom de första 2 behandlingscyklerna med pomalidomid.
Tabell över biverkningar
Biverkningarna som observerades hos patienter som behandlades med pomalidomid i kombination med bortezomib och dexametason, pomalidomid i kombination med dexametason och efter godkännande för försäljning anges nedan i tabell 7 per organsystem (SOC) och frekvens för alla biverkningar (ADR) och för biverkningar av grad 3 eller 4.
Frekvenserna definieras enligt gällande riktlinjer som: mycket vanliga (≥ 1/10), vanliga (≥ 1/100, < 1/10); och mindre vanliga (≥ 1/1 000, < 1/100) och ingen känd frekvens (kan inte beräknas från tillgängliga data).
Tabell 7: Biverkningar (ADR) rapporterade i kliniska studier och efter godkännande för försäljning
* Rapporterade efter godkännande för försäljning.
Beskrivning av särskilda biverkningar
Frekvenserna i det här avsnittet är från kliniska studier av patienter behandlade med pomalidomid i kombination med antingen bortezomib och dexametason (Pom+Btz+Dex) eller med dexametason (Pom+Dex).
Teratogenicitet
Pomalidomid är strukturellt besläktat med talidomid. Talidomid är en substans som har en känd, aktiv teratogen effekt hos människa och orsakar allvarliga, livshotande fosterskador. Pomalidomid befanns vara teratogent hos både råttor och kaniner när det administrerades under perioden med betydande organogenes (se avsnitt 4.6 och 5.3). Om pomalidomid tas under graviditet förväntas en teratogen effekt av pomalidomid hos människa (se avsnitt 4.4).
Neutropeni och trombocytopeni
Neutropeni uppkom hos upp till 54,0 % (Pom+Btz+Dex) patienter (47,1 % (Pom+Btz+Dex) grad 3 eller 4). Neutropeni ledde till att pomalidomid sattes ut hos 0,7 % av patienterna och var sällan allvarlig.
Febril neutropeni (FN) rapporterades hos 3,2 % (Pom+Btz+Dex) patienter och 6,7 % (Pom+Dex) patienter och var allvarlig hos 1,8 % (Pom+Btz+Dex) patienter och 4,0 % (Pom+Dex) patienter (se avsnitt 4.2 och 4.4).
Trombocytopeni uppkom hos 39,9 % (Pom+Btz+Dex) patienter och 27,0 % (Pom+Dex) patienter. Trombocytopeni var av grad 3 eller 4 hos 28,1 % (Pom+Btz+Dex) patienter och 20,7 % (Pom+Dex) patienter, ledde till att pomalidomid sattes ut hos 0,7 % (Pom+Btz+Dex) patienter och 0,7 % (Pom+Dex) patienter och var allvarlig hos 0,7 % (Pom+Btz+Dex) och 1,7 % (Pom+Dex) patienter (se avsnitt 4.2 och 4.4).
Neutropeni och trombocytopeni tenderade att uppkomma mer frekvent under de första två behandlingscyklerna med pomalidomid i kombination antingen med bortezomib och dexametason eller med dexametason.
Infektion
Infektion var den vanligaste icke-hematologiska biverkningen.
Infektion uppkom hos 83,1 % (Pom+Btz+Dex) patienter och 55,0 % (Pom+Dex) patienter (34,9 % (Pom+Btz+Dex) och 24,0 % (Pom+Dex) grad 3 eller 4). Övre luftvägsinfektion och pneumoni var de infektioner som uppkom mest frekvent. Dödliga infektioner (grad 5) uppkom hos 4,0 % (Pom+Btz+Dex) patienter och 2,7 % (Pom+Dex) patienter. Infektioner ledde till att pomalidomid sattes ut hos 3,6 % (Pom+Btz+Dex) patienter och 2,0 % (Pom+Dex) patienter.
Tromboemboliska händelser
Profylax med acetylsalicylsyra (och andra antikoagulanter till högriskpatienter) var obligatoriskt för alla patienter i kliniska studier. Antikoagulationsbehandling (såvida den inte är kontraindicerad) rekommenderas (se avsnitt 4.4).
Venösa emboli- eller tromboshändelser (VTE) uppkom hos 12,2 % (Pom+Btz+Dex) och 3,3 % (Pom+Dex) patienter (5,8 % (Pom+Btz+Dex) och 1,3 % (Pom+Dex) grad 3 eller 4). VTE rapporterades som allvarliga hos 4,7 % (Pom+Btz+Dex) och 1,7 % (Pom+Dex) patienter, inga dödliga reaktioner rapporterades och VTE associerades med utsättning av pomalidomid hos upp till 2,2 % (Pom+Btz+Dex) av patienterna.
Perifer neuropati - Pomalidomid i kombination med bortezomib och dexametason
Patienter med pågående perifer neuropati ≥ grad 2 med smärta inom 14 dagar före randomiseringen uteslöts från kliniska prövningar. Perifer neuropati uppkom hos 55,4 % av patienterna (10,8 % grad 3; 0,7 % grad 4). Exponeringsjusterade värden var jämförbara mellan behandlingsarmarna. Ungefär 30 % av patienterna som upplevde perifer neuropati hade en historik av neuropati vid baseline. Perifer neuropati ledde till utsättande av bortezomib hos ungefär 14,4 % av patienterna, pomalidomid hos 1,8 % och dexametason hos 1,8 % av patienterna i Pom+Btz+Dex-armen och 8,9 % av patienterna i Btz+Dex-armen.
Perifer neuropati - Pomalidomid i kombination med dexametason
Patienter med pågående perifer neuropati ≥ grad 2 exkluderades från kliniska studier. Perifer neuropati uppkom hos 12,3 % (1,0 % grad 3 eller 4). Inga reaktioner i form av perifer neuropati rapporterades som allvarliga och perifer neuropati ledde till utsättande av behandling hos 0,3 % av patienterna (se avsnitt 4.4).
Blödning
Blödningstillstånd har rapporterats i samband med behandling med pomalidomid, i synnerhet hos patienter med riskfaktorer såsom samtidig behandling med läkemedel som ökar känslighet för blödning. Blödningshändelser har omfattat näsblod, intrakraniell blödning och magtarmblödning.
Allergiska reaktioner och svåra hudreaktioner
Angioödem, anafylaktisk reaktion och svåra kutana reaktioner, inklusive SJS, TEN och DRESS, har rapporterats vid användning av pomalidomid. Pomalidomid ska inte ges till patienter som tidigare haft svåra utslag i samband med lenalidomid eller talidomid (se avsnitt 4.4).
Pediatrisk population
Biverkningarna som rapporterats hos barn (4 till 18 år) med recidiverande eller progressiva hjärntumörer, överensstämde med den kända säkerhetsprofilen för pomalidomid hos vuxna patienter (se avsnitt 5.1).
Så höga doser av pomalidomid som 50 mg som en engångsdos till friska försökspersoner har studerats utan att allvarliga biverkningar relaterade till överdos rapporterats. Doser så höga som 10 mg en gång dagligen som flergångsdoser till patienter med multipelt myelom har studerats utan rapporterade allvarliga biverkningar relaterade till överdosering. Den dosbegränsande toxiciteten var benmärgssuppression. I studier har pomalidomid visat sig avlägsnas av hemodialys.
Vid överdosering rekommenderas stödjande vård.
Imnovid i kombination med bortezomid och dexametason är indicerat vid behandling av vuxna patienter med multipelt myelom som har fått minst en tidigare behandlingsregim, inkluderande lenalidomid.
Imnovid i kombination med dexametason är indicerat vid behandling av vuxna patienter med recidiverande och refraktärt multipelt myelom som har fått minst två tidigare behandlingsregimer, inkluderande både lenalidomid och bortezomib, och som har uppvisat sjukdomsprogression efter den senaste behandlingen.
Behandlingen måste inledas och övervakas under överinseende av läkare med erfarenhet av behandling av multipelt myelom.
Doseringen fortsätter eller ändras på basis av kliniska och laboratoriemässiga fynd (se avsnitt 4.4).
Dosering
Pomalidomid i kombination med bortezomib och dexametason
Den rekommenderade startdosen för pomalidomid är 4 mg som tas oralt en gång dagligen på dag 1 till 14 i upprepade 21-dagars behandlingscykler.
Pomalidomid administreras i kombination med bortezomib och dexametason enligt tabell 1. Den rekommenderade startdosen för bortezomib är 1,3 mg/m2 intravenöst eller subkutant en gång per dag på behandlingsdagar enligt schema i tabell 1. Den rekommenderade dosen av dexametason är 20 mg som tas oralt en gång per dag på behandlingsdagar enligt schema i tabell 1.
Behandling med pomalidomid kombinerat med bortezomib och dexametason bör ges tills sjukdomen progredierar eller tills oacceptabel toxicitet uppstår.
Tabell 1. Rekommenderat doseringsschema för pomalidomid i kombination med bortezomib och dexametason
Pomalidomid dosmodifiering eller avbrott
För att påbörja en ny cykel med pomalidomid måste neutrofilantalet vara ≥ 1 x 109/l och trombocytantalet ≥ 50 x 109/l.
Anvisningar för dosavbrott eller dosminskningar för pomalidomid-relaterade biverkningar beskrivs i tabell 2 och dosnivåer specificeras i tabell 3 nedan:
Tabell 2. Anvisningar för pomalidomid dosmodifiering∞
∞Anvisningar för dosmodifieringar i denna tabell gäller för pomalidomid i kombination med bortezomib och dexametason och för pomalidomid i kombination med dexametason.
*Vid neutropeni bör läkaren överväga att använda tillväxtfaktorer. **Absolut neutrofilantal (ANC); ***Fullständig blodstatus (CBC).
Tabell 3. Anvisningar för pomalidomid dosminskning∞
∞Anvisningar för dosminskning i denna tabell gäller för pomalidomid i kombination med bortezomib och dexametason och för pomalidomid i kombination med dexametason.
Om det uppstår biverkningar efter dosminskningar till 1 mg ska behandlingen sättas ut.
Starka CYP1A2-hämmare
Om starka hämmare av CYP1A2 (t.ex. ciprofloxacin, enoxacin och fluvoxamin) administreras samtidigt med pomalidomid, ska pomalidomiddosen sänkas med 50 % (se avsnitt 4.5 och 5.2).
Bortezomib dosmodifiering eller avbrott
För anvisningar för dosavbrott eller dosminskningar på grund av bortezomib-relaterade biverkningar hänvisas läkare till produktresumén för bortezomib.
Dexametason dosmodifiering eller avbrott
Anvisningar för dosavbrott eller dosminskningar på grund av biverkningar relaterade till lågdos av dexametason ges i tabell 4 och 5 nedan. Beslut om dosavbrott eller återupptagande sker dock enligt produktresumén på läkarens ansvar.
Tabell 4. Anvisningar för dexametason dosmodifiering
Om återhämtningen från toxiciteter är längre än 14 dagar, ska dexametasondosen återupptas på en dosnivå som är en nivå lägre än föregående dos.
Tabell 5. Anvisningar för dexametason dosminskning
Dexametasonbehandling ska sättas ut om patienten inte tolererar 8 mg om ≤ 75 år eller 4 mg om > 75 år.
I händelse av att någon komponent i behandlingsregimen sätts ut permanent sker fortsatt behandling med de återstående läkemedlen på läkarens ansvar.
Pomalidomid i kombination med dexametason
Den rekommenderade startdosen för pomalidomid är 4 mg som tas oralt en gång dagligen på dag 1 till 21 i varje 28-dagarscykel.
Den rekommenderade dosen av dexametason är 40 mg som tas oralt en gång dagligen på dag 1, 8, 15 och 22 i varje 28-dagarscykel.
Behandling med pomalidomid kombinerat med dexametason bör ges tills sjukdomsprogression eller tills oacceptabel toxicitet uppstår.
Pomalidomid dosmodifiering eller avbrott
Anvisningar för dosavbrott eller dosminskningar på grund av biverkningar relaterade till pomalidomid beskrivs i tabell 2 och 3.
Dexametason dosmodifiering eller avbrott
Anvisningar för dosmodifiering på grund av biverkningar relaterade till dexametason beskrivs i tabell 4. Anvisningar för dosminskning på grund av biverkningar relaterade till dexametason beskrivs i tabell 6 nedan. Beslut om dosavbrott eller återupptagande sker dock enligt den aktuella produktresumén på läkarens ansvar.
Tabell 6. Anvisningar för dexametason dosminskning
Dexametasonbehandling ska sättas ut om patienten inte tolererar 10 mg om ≤ 75 år eller 8 mg om > 75 år.
Särskilda populationer
Äldre
Det behövs inga dosjusteringar för pomalidomid.
Pomalidomid i kombination med bortezomib och dexametason
För patienter > 75 år är startdosen för dexametason:
För cykel 1 till 8: 10 mg en gång dagligen på dag 1, 2, 4, 5, 8, 9, 11 och 12 i varje 21-dagarscykel.
För cykel 9 och vidare: 10 mg en gång dagligen på dag 1, 2, 8 och 9 i varje 21-dagarscykel.
Pomalidomid i kombination med dexametason
För patienter > 75 år är startdosen för dexametason:
20 mg en gång dagligen på dag 1, 8, 15 och 22 i varje 28-dagarscykel.
Nedsatt leverfunktion
Patienter med totalt serumbilirubin > 1,5 x ULN (övre referensnivå) uteslöts från kliniska studier. Nedsatt leverfunktion har en måttlig effekt på farmokokinetiken för pomalidomid (se avsnitt 5.2). Ingen justering av begynnelsedosen av pomalidomid krävs för patienter med nedsatt leverfunktion som definierats enligt Child-Pugh-kriterierna. Patienter med nedsatt leverfunktion ska emellertid övervakas noga avseende biverkningar och dosreducering eller avbrott av pomalidomid ska utföras vid behov.
Nedsatt njurfunktion
Ingen dosjustering av pomalidomid krävs för patienter med nedsatt njurfunktion. På hemodialysdagar ska patienter ta sin pomalidomiddos efter hemodialysen.
Pediatrisk population
Det finns ingen relevant användning av pomalidomid för barn i åldern 0–17 år för indikationen multipelt myelom.
Utanför de godkända indikationerna har pomalidomid studerats hos barn i åldrarna 4 till 18 år, med recidiverande eller progressiva hjärntumörer, men resultaten från studierna tillät inte slutsatsen att fördelarna med sådan användning uppväger riskerna. För närvarande tillgängliga data beskrivs i avsnitt 4.8, 5.1 och 5.2.
Administreringssätt
Oral användning.
Imnovid hårda kapslar ska tas oralt vid samma tidpunkt varje dag. Kapslarna får inte öppnas, krossas eller tuggas (se avsnitt 6.6). Kapslarna ska sväljas helt, helst med vatten, med eller utan mat. Om patienten har glömt att ta en dos av pomalidomid den ena dagen, ska patienten ta den normala, ordinerade dosen enligt schemat nästa dag. Patienter får inte justera dosen för att kompensera för glömd dos föregående dagar.
För att minska risken att kapseln går sönder eller deformeras när man tar ut den ur blistern ska man endast trycka på ena änden av kapseln.
Graviditet.
Fertila kvinnor, såvida inte alla villkor för graviditetspreventionsprogrammet har uppfyllts (se avsnitt 4.4 och 4.6).
Manliga patienter som inte kan följa eller uppfylla de erforderliga åtgärderna avseende graviditetsprevention (se avsnitt 4.4).
Överkänslighet mot den aktiva substansen eller mot något hjälpämne som anges i avsnitt 6.1.
Teratogenicitet
Pomalidomid får inte tas under graviditet eftersom en teratogen effekt förväntas. Pomalidomid är strukturellt besläktat med talidomid. Talidomid är en aktiv substans som har teratogena effekter hos människa och orsakar allvarliga, livshotande fosterskador. Pomalidomid befanns vara teratogent hos både råttor och kaniner när det administrerades under perioden med betydande organogenes (se avsnitt 5.3).
Villkoren i graviditetspreventionsprogrammet måste vara uppfyllda för samtliga patienter, om det inte finns tillförlitliga bevis för att patienten inte är fertil.
Kriterier för infertila kvinnor
En kvinnlig patient eller en kvinnlig partner till en manlig patient anses vara infertil om hon uppfyller minst ett av följande kriterier:
Ålder ≥ 50 år och naturligt amenorroisk i ≥ 1 år (amenorré efter cancerbehandling eller under amning utesluter inte fertilitet)
Prematur ovarial svikt som har bekräftats av en specialist inom gynekologi
Tidigare bilateral salpingooforektomi eller hysterektomi
Genotyp XY, Turners syndrom, uterin agenesi.
Rådgivning
Pomalidomid är kontraindicerat för fertila kvinnor om inte samtliga följande villkor är uppfyllda:
Hon förstår de förväntade riskerna för fosterskada.
Hon förstår nödvändigheten att utan avbrott använda effektiv preventivmetod i minst 4 veckor före behandlingsstart, under hela behandlingstiden och i minst 4 veckor efter behandlingens slut.
Även om en fertil kvinna är amenorreisk måste hon följa råden om effektiva preventivmetoder.
Hon har förmåga att följa anvisningarna om effektiva preventivmetoder.
Hon är informerad om och förstår de potentiella konsekvenserna av en graviditet och behovet av en snabb konsultation om det finns risk för att hon är gravid.
Hon förstår nödvändigheten att påbörja behandlingen så snart som pomalidomid dispenserats efter det att ett negativt graviditetstest har utförts.
Hon förstår behovet och accepterar att genomgå graviditetstest minst var 4:e vecka förutom ifall en tubarsterilisering har bekräftats.
Hon har bekräftat att hon förstår riskerna och de nödvändiga försiktighetsåtgärder som är förenade med pomalidomid.
Vid förskrivning till en fertil kvinna måste förskrivaren försäkra sig om att:
Patienten uppfyller villkoren i graviditetspreventionsprogrammet och att hon förstår förhållningsreglerna tillräckligt bra
Patienten bekräftar ovanstående villkor
Vad avser manliga patienter som tar pomalidomid har farmakokinetiska data visat att pomalidomid förekommer i human sädesvätska under behandling. Som ett försiktighetsmått och med hänsyn till populationer med potentiell förlängd elimineringstid, såsom nedsatt leverfunktion, måste alla manliga patienter som tar pomalidomid uppfylla följande villkor:
Han förstår de förväntade riskerna för fosterskada vid graviditet efter samlag med en gravid eller fertil kvinna.
Han förstår nödvändigheten av att använda en kondom i samband med sexuell aktivitet med en gravid eller fertil kvinna som inte använder ett effektivt preventivmedel, under hela behandlingstiden, under dosavbrott och 7 dagar efter dosavbrott och/eller avslutad behandling. Detta omfattar steriliserade män, som ska använda kondom i samband med sexuell aktivitet med en gravid eller fertil kvinna eftersom sädesvätska fortfarande kan innehålla pomalidomid, även i frånvaro av sperma.
Han förstår att om hans kvinnliga partner blir gravid medan han tar pomalidomid eller 7 dagar efter avslutad behandling med pomalidomid, måste han informera sin behandlande läkare omedelbart och att det rekommenderas att hans kvinnliga partner remitteras för utvärdering och rådgivning till en läkare som är specialiserad inom eller har erfarenhet av teratologi.
Preventivmetoder
Fertila kvinnor måste använda minst en effektiv preventivmetod i minst 4 veckor före behandling, under behandling och under minst 4 veckor efter behandling med pomalidomid samt även i händelse av uppehåll i behandlingen, om inte patienten förbinder sig att idka absolut och kontinuerlig avhållsamhet och bekräftar detta månatligen. Om patienten inte redan använder en effektiv preventivmetod, måste hon remitteras till sjukvårdspersonal med lämplig utbildning för preventivmedelsrådgivning så att graviditetsprevention kan inledas.
Följande kan betraktas som exempel på lämpliga preventivmetoder:
Implantat
Levonorgestrelutsöndrande intrauterint system
Depotformulering av medroxyprogesteronacetat
Tubarsterilisering
Samlag med en vasektomiserad manlig partner; vasektomi måste vara bekräftad av två negativa spermaanalyser
Ägglossningshämmande tabletter med endast progesteron (dvs. desogestrel)
På grund av den ökade risken för venös tromboembolism hos patienter med multipelt myelom som tar pomalidomid och dexametason, rekommenderas inte kombinations-p-piller (se även avsnitt 4.5). Om patienten använder kombinations-p-piller bör hon byta till en av de effektiva metoder som förtecknas ovan. Risken för venös tromboembolism kvarstår i 4–6 veckor efter avbrott av behandling med kombinations-p-piller. Effekten av kontraceptiva steroider kan försämras vid samtidig behandling med dexametason (se avsnitt 4.5).
Implantat och levonorgestrelutsöndrande intrauterina system är förenade med en ökad infektionsrisk vid insättandet och oregelbundna vaginala blödningar. Profylaktiska antibiotika bör övervägas, särskilt för patienter med neutropeni.
Insättning av kopparavgivande spiraler rekommenderas inte på grund av de potentiella infektionsriskerna vid insättandet och förlusten av menstruationsblod, som kan ha negativ effekt på patienter med svår neutropeni eller svår trombocytopeni.
Graviditetstest
För fertila kvinnor måste medicinskt övervakade graviditetstester med lägsta känslighet på 25 mIE/ml utföras i enlighet med lokal praxis och enligt nedanstående anvisningar. Detta krav inkluderar fertila kvinnor som idkar absolut och kontinuerlig avhållsamhet. Graviditetstest, förskrivning och utlämning av läkemedlet ska helst ske samma dag. Utlämning av pomalidomid till fertila kvinnor ska ske inom 7 dagar från förskrivningsdagen.
Före inledning av behandling
Ett medicinskt övervakat graviditetstest måste utföras under det läkarbesök då pomalidomid förskrivs, eller inom 3 dagar före besöket hos förskrivaren, om patienten dessförinnan har använt en effektiv preventivmetod i minst 4 veckor. Testet måste säkerställa att patienten inte är gravid när hon börjar behandlingen med pomalidomid.
Uppföljning och behandlingens slut
Ett medicinskt övervakat graviditetstest måste upprepas minst var 4:e vecka och även minst 4 veckor efter behandlingens slut, förutom i de fall en tubarsterilisering har bekräftats. Dessa graviditetstester ska utföras på förskrivningsdagen eller inom 3 dagar före besöket hos förskrivaren.
Ytterligare försiktighetsåtgärder
Patienter måste instrueras att aldrig ge detta läkemedel till någon annan och att återlämna eventuella överblivna kapslar till apoteket i slutet av behandlingen.
Patienter får inte ge blod, sädesvätska eller sperma under behandlingen (inklusive under dosavbrott) och i minst 7 dagar efter det att behandlingen med pomalidomid har avslutats.
Hälso- och sjukvårdspersonal samt vårdare ska använda engångshandskar vid hantering av blistern eller kapseln. Kvinnor som är gravida eller misstänker att de kan vara gravida ska inte hantera blisterförpackningen eller kapseln (se avsnitt 6.6).
Utbildningsmaterial och restriktioner vid förskrivning och utlämning av läkemedel
För att hjälpa patienter att undvika att foster exponeras för pomalidomid, kommer innehavaren av godkännandet för försäljning att tillhandahålla utbildningsmaterial till sjukvårdspersonal för att förstärka varningarna om pomalidomids förväntade teratogenicitet, för att tillhandahålla råd om preventivmetoder innan behandling sätts in och för att ge vägledning om behovet av graviditetstester. Förskrivaren måste informera patienten om den förväntade teratogena risken och de strikta åtgärderna för graviditetsprevention som specifieras i graviditetspreventionsprogrammet samt förse patienterna med lämplig utbildningsbroschyr, patientkort och/eller motsvarande verktyg enligt överenskommelse med respektive nationell behörig myndighet. I samarbete med respektive nationell behörig myndighet har ett program för kontrollerad tillgång införts. Detta innefattar användningen av ett patientkort och/eller motsvarande verktyg för förskrivnings- och/eller utlämningskontroller, och insamling av information relaterad till indikationen, för att övervaka användning utanför indikation, inom det nationella territoriet. Helst ska graviditetstestning, förskrivning och utlämning ske samma dag. Utlämning av pomalidomid till fertila kvinnor ska äga rum inom 7 dagar efter förskrivningen och efter ett negativt graviditetstest på klinik. Recept till fertila kvinnor får gälla för behandling under högst 4 veckor i enlighet med doseringsregimerna för de godkända indikationerna (se avsnitt 4.2), och recept till alla övriga patienter får gälla för högst 12 veckor.
Hematologiska händelser
Neutropeni var den mest frekvent rapporterade hematologiska biverkningen av grad 3 eller 4 hos patienter med recidiverande/refraktärt multipelt myelom följt av anemi och trombocytopeni. Patienter ska övervakas avseende hematologiska biverkningar, i synnerhet neutropeni. Patienter ska uppmanas att genast rapportera episoder med feber. Läkare ska observera patienter avseende tecken på blödning, inklusive näsblod, särskilt vid samtidig användning av läkemedel som har konstaterats öka risken för blödning (se avsnitt 4.8). Kompletta blodstatus ska övervakas vid baslinjen, varje vecka under de första 8 veckorna och därefter varje månad. Det kan krävas en dosmodifiering (se avsnitt 4.2). Patienter kan behöva använda stöd i form av blodprodukter och/eller tillväxtfaktorer.
Tromboemboliska händelser
Patienter som får pomalidomid antingen i kombination med bortezomib och dexametason eller i kombination med dexametason har utvecklat venösa tromboemboliska händelser (företrädesvis djup ventrombos och lungembolism) och arteriella tromboshändelser (hjärtinfarkt och cerebrovaskulär händelse) (se avsnitt 4.8). Patienter med kända riskfaktorer för tromboembolism – inklusive tidigare trombos – ska övervakas noga. Åtgärder ska vidtas för att försöka minimera alla modifierbara risker (t.ex. rökning, hypertoni och hyperlipidemi). Patienter och läkare tillråds att vara observanta på tecken och symtom på tromboembolism. Patienter ska instrueras att söka medicinsk vård om de får symtom som andfåddhet, bröstmärta, svullnad i arm eller ben. Antikoagulationsbehandling (om det inte är kontraindicerat) rekommenderas, (t.ex. acetylsalicylsyra, warfarin, heparin eller klopidogrel), särskilt till patienter med ytterligare riskfaktorer för trombos. Ett beslut att vidta profylaktiska åtgärder ska fattas efter noggrann bedömning av den enskilda patientens bakomliggande riskfaktorer. I kliniska studier fick patienter profylaktisk acetylsalicylsyra eller alternativ antitrombosbehandling. Användningen av erytropoetiska medel medför en risk för tromboshändelser inklusive tromboembolism. Därför ska erytropoetiska medel, liksom andra medel som kan öka risken för tromboembolihändelser, användas med försiktighet.
Sköldkörtelrubbningar
Fall av hypotyreoidism har rapporterats. Optimal kontroll av komorbida tillstånd som påverkar sköldkörtelns funktion rekommenderas innan behandlingen inleds. Övervakning av sköldkörtelfunktionen vid baslinjen och därefter kontinuerligt rekommenderas.
Perifer neuropati
Patienter med pågående perifer neuropati ≥ grad 2 uteslöts från kliniska studier med pomalidomid. Vederbörlig försiktighet ska iakttas när man överväger att behandla sådana patienter med pomalidomid.
Signifikant hjärtdysfunktion
Patienter med signifikant hjärtdysfunktion (kongestiv hjärtsvikt [NY Heart Association klass III eller IV]; myokardinfarkt inom 12 månader före studiestarten; instabil eller dåligt kontrollerad angina pectoris) exkluderades från kliniska studier med pomalidomid. Hjärthändelser, inklusive kongestiv hjärtsvikt, lungödem och förmaksflimmer (se avsnitt 4.8) har rapporterats, huvudsakligen hos patienter med befintlig hjärtsjukdom eller kardiella riskfaktorer. Vederbörlig försiktighet ska iakttas när man överväger att behandla sådana patienter med pomalidomid, inklusive regelbunden kontroll av tecken eller symtom på hjärthändelser.
Tumörlyssyndrom
Patienter som löper störst risk att få tumörlyssyndrom är patienter med hög tumörbörda före behandling. Dessa patienter ska övervakas noga och vederbörliga försiktighetsåtgärder ska vidtas.
Nya primära maligniteter
Nya primära maligniteter, såsom icke-melanom hudcancer har observerats hos patienter som fått pomalidomid (se avsnitt 4.8). Läkare ska bedöma patienter noga före och under behandling med användning av sedvanlig cancer screening avseende uppkomsten av nya primära maligniteter och sätta in relevant behandling.
Allergiska reaktioner och svåra hudreaktioner
Angioödem, anafylaktisk reaktion och svåra hudreaktioner, inklusive SJS, TEN och DRESS, har rapporterats vid användning av pomalidomid (se avsnitt 4.8). Förskrivaren ska informera patienterna om tecken och symtom på dessa reaktioner och uppmana dem att omedelbart söka vård om sådana symtom uppstår. Behandling med pomalidomid måste avbrytas vid exfoliativt eller bullöst hudutslag eller om man misstänker SJS, TEN eller DRESS, och ska inte återupptas efter avbrott på grund av dessa reaktioner. Patienter som tidigare haft allvarliga allergiska reaktioner i samband med talidomid eller lenalidomid uteslöts från kliniska studier. Sådana patienter kan ha en högre risk för överkänslighetsreaktioner och ska inte få pomalidomid. Uppehåll eller avbrytande av behandling med pomalidomid ska övervägas vid hudutslag av grad 2‑3. Behandling med pomalidomid måste avbrytas permanent vid angioödem och anafylaktisk reaktion.
Yrsel och förvirring
Yrsel och förvirringstillstånd har rapporterats med pomalidomid. Patienter måste undvika situationer där yrsel och förvirring kan vara ett problem samt avstå från att ta andra läkemedel som kan orsaka yrsel eller förvirring utan att först söka medicinsk rådgivning.
Interstitiell lungsjukdom
Interstitiell lungsjukdom och relaterade händelser, inklusive fall av pneumonit har observerats med pomalidomid. Noggrann utvärdering av patienter med akut eller oförklarlig försämring av lungsymtom ska ske för att utesluta interstitiell lungsjukdom. Pomalidomid ska avbrytas under utredning av dessa symtom och om interstitiell lungsjukdom bekräftas ska lämplig behandling sättas in. Behandling med pomalidomid ska endast återupptas efter noggrann utvärdering av fördelar och risker.
Leverstörningar
Markant förhöjda nivåer av alaninaminotransferas och bilirubin har observerats hos patienter som behandlats med pomalidomid (se avsnitt 4.8). Det har också förekommit fall av hepatit som resulterade i att behandling med pomalidomid avbröts. Regelbunden kontroll av leverfunktionen rekommenderas under de första sex månadernas behandling med pomalidomid och därefter när det är kliniskt indicerat.
Infektioner
Sällsynta fall av reaktivering av hepatit B har rapporterats hos patienter som får pomalidomid i kombination med dexametason och som tidigare infekterats med hepatit B-virus (HBV). Vissa av dessa fall har utvecklats till akut leversvikt, vilket medfört utsättning av pomalidomid. Status för hepatit B-virus bör fastställas innan behandling med pomalidomid påbörjas. Patienter som testar positivt för HBV-infektion rekommenderas konsultera en läkare med erfarenhet av behandling av hepatit B. Försiktighet ska också iakttas vid användning av pomalidomid i kombination med dexametason hos patienter som tidigare infekterats med HBV, inklusive patienter som är anti-HBc-positiva men HBcAg-negativa. Dessa patienter ska övervakas noga för tecken och symtom på aktiv HBV-infektion under behandlingen.
Progressiv multifokal leukoencefalopati (PML)
Fall av progressiv multifokal leukoencefalopati, inräknat fall med dödlig utgång, har rapporterats med pomalidomid. PML rapporterades från flera månader och upp till flera år efter påbörjad behandling med pomalidomid. Fallen har vanligen rapporterats hos patienter som samtidigt tar dexametason eller som tidigare behandlats med annan immunsuppressiv kemoterapi. Läkaren ska kontrollera patienten med jämna mellanrum och överväga PML som differentialdiagnos hos patienter med nya eller förvärrade neurologiska symtom eller med kognitiva eller beteendemässiga tecken eller symtom. Patienten ska också rekommenderas att informera sin partner eller vårdare om behandlingen, eftersom dessa kan upptäcka symtom som patienten inte är medveten om.
Utredningen av PML ska baseras på neurologisk undersökning, magnetresonanstomografi av hjärnan och analys av cerebrospinalvätskan avseende DNA från JC-virus (JCV) genom polymeraskedjereaktion (PCR) eller hjärnbiopsi med test avseende JCV. Ett negativt JCV PCR utesluter inte PML. Ytterligare uppföljning och utvärdering kan vara motiverad om ingen alternativ diagnos kan ställas.
Om PML misstänks måste fortsatt behandling skjutas upp tills PML har kunnat uteslutas. Om PML bekräftas måste pomalidomid sättas ut permanent.
Natriuminnehåll
Detta läkemedel innehåller mindre än 1 mmol natrium (23 mg) per kapsel, d.v.s. är näst intill ”natriumfritt”.
Effekt av pomalidomid på andra läkemedel
Pomalidomid väntas inte orsaka några kliniskt relevanta farmakokinetiska interaktioner på grund av P450 isoenzymhämning eller -induktion eller transportörhämning när det administreras samtidigt med substrat av dessa enzymer eller transportörer. Potentialen för sådana interaktioner, inklusive den potentiella påverkan av pomalidomid på farmakokinetiken för kombinerade orala preventivmedel, har inte utvärderats kliniskt, (se avsnitt 4.4, Teratogenicitet).
Effekter av andra läkemedel på pomalidomid
Pomalidomid metaboliseras delvis av CYP1A2 och CYP3A4/5. Det är även ett substrat för P-glykoprotein. Samtidig administrering av pomalidomid med den starka CYP3A4/5- och P-gp-hämmaren ketokonazol eller den starka CYP3A4/5-induceraren karbamazepin, hade ingen kliniskt relevant effekt på exponeringen för pomalidomid. Samtidig administrering av den starka CYP1A2 -hämmaren fluvoxamin med pomalidomid i närvaro av ketokonazol, ökade medelexponeringen för pomalidomid med 107 % med ett 90-procentigt konfidensintervall (91 % till 124 %) jämfört med pomalidomid plus ketokonazol. I en andra studie för att utvärdera hur mycket enbart CYP1A2-hämmare bidrar till metabolismförändringar, ökade samtidig administrering av enbart fluvoxamin tillsammans med pomalidomid medelexponeringen för pomalidomid med 125 % med ett 90 %-konfidensintervall [98 % mot 157 %] jämfört med enbart pomalidomid. Om starka hämmare av CYP1A2 (t.ex. ciprofloxacin, enoxacin och fluvoxamin) administreras samtidigt med pomalidomid, ska pomalidomiddosen sänkas med 50 %.
Dexametason
Samtidig administrering av flera doser på upp till 4 mg pomalidomid med 20 mg till 40 mg dexametason (en svag till måttlig inducerare av flera CYP-enzymer inklusive CYP3A) till patienter med multipelt myelom hade ingen effekt på farmakokinetiken för pomalidomid jämfört med när enbart pomalidomid administrerades.
Effekten av dexametason på warfarin är okänd. Noggrann övervakning av warfarinkoncentrationen rekommenderas under behandling.
Fertila kvinnor/Preventivmetoder för män och kvinnor
Fertila kvinnor ska använda effektiva preventivmetoder. Om en kvinna som behandlas med pomalidomid skulle bli gravid måste behandlingen stoppas och patienten ska remitteras till en läkare som är specialiserad inom, eller har erfarenhet av, teratologi för bedömning och rådgivning. Om partnern till en man som tar pomalidomid skulle bli gravid, rekommenderas att den kvinnliga partnern remitteras till en läkare som är specialiserad inom, eller har erfarenhet av teratologi, för bedömning och rådgivning. Pomalidomid finns i human sädesvätska. Som en försiktighetsåtgärd ska alla manliga patienter som tar pomalidomid använda kondom under hela behandlingstiden, under dosavbrott och i 7 dagar efter avslutad behandling om deras partner är gravid eller fertil och inte använder en preventivmetod (se avsnitt 4.3 och 4.4).
Graviditet
En teratogen effekt av pomalidomid hos människa är förväntad. Pomalidomid är kontraindicerat under graviditet och till fertila kvinnor, utom när alla villkor för graviditetsprevention har uppfyllts (se avsnitt 4.3 och 4.4).
Amning
Det är okänt om pomalidomid utsöndras i bröstmjölk. Pomalidomid detekterades i mjölk från lakterande råttor efter administrering till modern. På grund av risken för biverkningar hos ammade spädbarn från pomalidomid, måste ett beslut fattas om amningen ska avbrytas eller om läkemedelsbehandlingen ska avbrytas, med hänsyn till fördelarna med amning för barnet och fördelarna med behandlingen för kvinnan.
Fertilitet
Pomalidomid befanns ha en negativ påverkan på fertilitet och vara teratogent hos djur. Pomalidomid passerade placentan och påvisades i fosterblod efter administrering till dräktiga kaniner (se avsnitt 5.3).
Pomalidomid har mindre eller måttlig effekt på förmågan att framföra fordon och använda maskiner.
Trötthet, sänkt medvetandenivå, förvirring och yrsel har rapporterats vid användning av pomalidomid. Om en patient känner sig påverkad ska han/hon avstå från att köra bil, använda maskiner eller utföra riskfyllda uppgifter under behandlingen med pomalidomid.
Sammanfattning av säkerhetsprofilen
Pomalidomid i kombination med bortezomib och dexametason
De oftast rapporterade rubbningarna i blodet och lymfsystemet var neutropeni (54,0 %), trombocytopeni (39,9 %) och anemi (32,0 %). Andra frekvent rapporterade biverkningar inkluderade perifer sensorisk neuropati (48,2 %), trötthet (38,8 %), diarré (38,1 %), förstoppning (38,1 %), och perifera ödem (36,3 %). De oftast rapporterade biverkningarna av grad 3 eller 4 var rubbningar i blodet och lymfsystemet inklusive neutropeni (47,1 %), trombocytopeni (28,1 %) och anemi (15,1 %). Den oftast rapporterade allvarliga biverkningen var pneumoni (12,2 %). Övriga allvarliga biverkningar som har rapporterats innefattade pyrexi (4,3 %), nedre luftvägsinfektion (3,6 %), influensa (3,6 %), lungemboli (3,2 %), förmaksflimmer (3,2 %) och akut njurskada (2,9 %).
Pomalidomid i kombination med dexametason
De oftast rapporterade biverkningarna i kliniska studier har varit rubbningar i blodet och lymfsystemet, inklusive anemi (45,7 %), neutropeni (45,3 %) och trombocytopeni (27 %); i allmänna symtom och/eller symtom vid administreringsstället inklusive trötthet (28,3 %), pyrexi (21 %) och perifera ödem (13 %); och i infektioner och infestationer inklusive pneumoni (10,7 %). Biverkningar i form av perifer neuropati har rapporterats hos 12,3 % av patienterna och venösa tromboemboliska (VTE) biverkningar har rapporterats hos 3,3 % av patienterna. De oftast rapporterade biverkningarna av grad 3 eller 4 återfanns i blodet och lymfsystemet inklusive neutropeni (41,7 %), anemi (27 %) och trombocytopeni (20,7 %); i infektioner och infestationer inklusive pneumoni (9 %); och i allmänna symtom och/eller symtom vid administreringsstället inklusive trötthet (4,7 %), pyrexi (3 %) och perifera ödem (1,3 %). Den oftast rapporterade allvarliga biverkningen var pneumoni (9,3 %). Övriga allvarliga biverkningar som har rapporterats innefattade febril neutropeni (4,0 %), neutropeni (2,0 %), trombocytopeni (1,7 %) och VTE-biverkningar (1,7 %).
Biverkningar tenderade att uppkomma mer frekvent inom de första 2 behandlingscyklerna med pomalidomid.
Tabell över biverkningar
Biverkningarna som observerades hos patienter som behandlades med pomalidomid i kombination med bortezomib och dexametason, pomalidomid i kombination med dexametason och efter godkännande för försäljning anges nedan i tabell 7 per organsystem (SOC) och frekvens för alla biverkningar (ADR) och för biverkningar av grad 3 eller 4.
Frekvenserna definieras enligt gällande riktlinjer som: mycket vanliga (≥ 1/10), vanliga (≥ 1/100, < 1/10); och mindre vanliga (≥ 1/1 000, < 1/100) och ingen känd frekvens (kan inte beräknas från tillgängliga data).
Tabell 7: Biverkningar (ADR) rapporterade i kliniska studier och efter godkännande för försäljning
* Rapporterade efter godkännande för försäljning.
Beskrivning av särskilda biverkningar
Frekvenserna i det här avsnittet är från kliniska studier av patienter behandlade med pomalidomid i kombination med antingen bortezomib och dexametason (Pom+Btz+Dex) eller med dexametason (Pom+Dex).
Teratogenicitet
Pomalidomid är strukturellt besläktat med talidomid. Talidomid är en substans som har en känd, aktiv teratogen effekt hos människa och orsakar allvarliga, livshotande fosterskador. Pomalidomid befanns vara teratogent hos både råttor och kaniner när det administrerades under perioden med betydande organogenes (se avsnitt 4.6 och 5.3). Om pomalidomid tas under graviditet förväntas en teratogen effekt av pomalidomid hos människa (se avsnitt 4.4).
Neutropeni och trombocytopeni
Neutropeni uppkom hos upp till 54,0 % (Pom+Btz+Dex) patienter (47,1 % (Pom+Btz+Dex) grad 3 eller 4). Neutropeni ledde till att pomalidomid sattes ut hos 0,7 % av patienterna och var sällan allvarlig.
Febril neutropeni (FN) rapporterades hos 3,2 % (Pom+Btz+Dex) patienter och 6,7 % (Pom+Dex) patienter och var allvarlig hos 1,8 % (Pom+Btz+Dex) patienter och 4,0 % (Pom+Dex) patienter (se avsnitt 4.2 och 4.4).
Trombocytopeni uppkom hos 39,9 % (Pom+Btz+Dex) patienter och 27,0 % (Pom+Dex) patienter. Trombocytopeni var av grad 3 eller 4 hos 28,1 % (Pom+Btz+Dex) patienter och 20,7 % (Pom+Dex) patienter, ledde till att pomalidomid sattes ut hos 0,7 % (Pom+Btz+Dex) patienter och 0,7 % (Pom+Dex) patienter och var allvarlig hos 0,7 % (Pom+Btz+Dex) och 1,7 % (Pom+Dex) patienter (se avsnitt 4.2 och 4.4).
Neutropeni och trombocytopeni tenderade att uppkomma mer frekvent under de första två behandlingscyklerna med pomalidomid i kombination antingen med bortezomib och dexametason eller med dexametason.
Infektion
Infektion var den vanligaste icke-hematologiska biverkningen.
Infektion uppkom hos 83,1 % (Pom+Btz+Dex) patienter och 55,0 % (Pom+Dex) patienter (34,9 % (Pom+Btz+Dex) och 24,0 % (Pom+Dex) grad 3 eller 4). Övre luftvägsinfektion och pneumoni var de infektioner som uppkom mest frekvent. Dödliga infektioner (grad 5) uppkom hos 4,0 % (Pom+Btz+Dex) patienter och 2,7 % (Pom+Dex) patienter. Infektioner ledde till att pomalidomid sattes ut hos 3,6 % (Pom+Btz+Dex) patienter och 2,0 % (Pom+Dex) patienter.
Tromboemboliska händelser
Profylax med acetylsalicylsyra (och andra antikoagulanter till högriskpatienter) var obligatoriskt för alla patienter i kliniska studier. Antikoagulationsbehandling (såvida den inte är kontraindicerad) rekommenderas (se avsnitt 4.4).
Venösa emboli- eller tromboshändelser (VTE) uppkom hos 12,2 % (Pom+Btz+Dex) och 3,3 % (Pom+Dex) patienter (5,8 % (Pom+Btz+Dex) och 1,3 % (Pom+Dex) grad 3 eller 4). VTE rapporterades som allvarliga hos 4,7 % (Pom+Btz+Dex) och 1,7 % (Pom+Dex) patienter, inga dödliga reaktioner rapporterades och VTE associerades med utsättning av pomalidomid hos upp till 2,2 % (Pom+Btz+Dex) av patienterna.
Perifer neuropati - Pomalidomid i kombination med bortezomib och dexametason
Patienter med pågående perifer neuropati ≥ grad 2 med smärta inom 14 dagar före randomiseringen uteslöts från kliniska prövningar. Perifer neuropati uppkom hos 55,4 % av patienterna (10,8 % grad 3; 0,7 % grad 4). Exponeringsjusterade värden var jämförbara mellan behandlingsarmarna. Ungefär 30 % av patienterna som upplevde perifer neuropati hade en historik av neuropati vid baseline. Perifer neuropati ledde till utsättande av bortezomib hos ungefär 14,4 % av patienterna, pomalidomid hos 1,8 % och dexametason hos 1,8 % av patienterna i Pom+Btz+Dex-armen och 8,9 % av patienterna i Btz+Dex-armen.
Perifer neuropati - Pomalidomid i kombination med dexametason
Patienter med pågående perifer neuropati ≥ grad 2 exkluderades från kliniska studier. Perifer neuropati uppkom hos 12,3 % (1,0 % grad 3 eller 4). Inga reaktioner i form av perifer neuropati rapporterades som allvarliga och perifer neuropati ledde till utsättande av behandling hos 0,3 % av patienterna (se avsnitt 4.4).
Blödning
Blödningstillstånd har rapporterats i samband med behandling med pomalidomid, i synnerhet hos patienter med riskfaktorer såsom samtidig behandling med läkemedel som ökar känslighet för blödning. Blödningshändelser har omfattat näsblod, intrakraniell blödning och magtarmblödning.
Allergiska reaktioner och svåra hudreaktioner
Angioödem, anafylaktisk reaktion och svåra kutana reaktioner, inklusive SJS, TEN och DRESS, har rapporterats vid användning av pomalidomid. Pomalidomid ska inte ges till patienter som tidigare haft svåra utslag i samband med lenalidomid eller talidomid (se avsnitt 4.4).
Pediatrisk population
Biverkningarna som rapporterats hos barn (4 till 18 år) med recidiverande eller progressiva hjärntumörer, överensstämde med den kända säkerhetsprofilen för pomalidomid hos vuxna patienter (se avsnitt 5.1).
Rapportering av misstänkta biverkningar
Så höga doser av pomalidomid som 50 mg som en engångsdos till friska försökspersoner har studerats utan att allvarliga biverkningar relaterade till överdos rapporterats. Doser så höga som 10 mg en gång dagligen som flergångsdoser till patienter med multipelt myelom har studerats utan rapporterade allvarliga biverkningar relaterade till överdosering. Den dosbegränsande toxiciteten var benmärgssuppression. I studier har pomalidomid visat sig avlägsnas av hemodialys.
Vid överdosering rekommenderas stödjande vård.
Klinisk effekt och säkerhet
Pomalidomid i kombination med bortezomib och dexametason
Pomalidomids effekt och säkerhet i kombination med bortezomib och lågdos dexametason (Pom+Btz+LD-Dex) jämfördes med bortezomib och lågdos dexametason (Btz+LD-Dex) i en fas III multicenter, randomiserad, öppen studie (CC-4047-MM-007), hos tidigare behandlade vuxna patienter med multipelt myelom vilka hade fått minst en tidigare behandling, inklusive lenalidomid och har uppvisat sjukdomsprogression under eller efter den senaste behandlingen. Totalt 559 patienter rekryterades och randomiserades till studien: 281 till Pom+Btz+LD-Dex-armen och 278 till Btz+LD-Dex-armen. 54 % av patienterna var män och medianåldern för den totala populationen var 68 år (min, max: 27, 89 år). Ungefär 70 % av patienterna var refraktära mot lenalidomid (71,2 % i Pom+Btz+LD-Dex, 68,7 % i Btz+LD-Dex). Ungefär 40 % av patienterna var i sitt första recidiv och ungefär 73 % av patienterna hade fått bortezomib i tidigare behandling.
Patienter i Pom+Btz+LD-Dex-armen gavs 4 mg pomalidomid oralt på dag 1 till 14 i varje 21-dagarscykel. Bortezomib (1,3 mg/m2/dos) gavs till patienter i båda studiearmarna på dag 1, 4, 8 och 11 i en 21-dagarscykel i cykel 1-8; och på dag 1 och 8 i en 21-dagarscykel i cykel 9 och vidare. Lågdos dexametason (20 mg/dag [≤ 75 år] eller 10 mg/dag [> 75 år]) gavs till patienter i båda studiearmarna på dag 1, 2, 4, 5, 8, 9, 11 och 12 i en 21-dagarscykel i cykel 1-8 och på dag 1, 2, 8 och 9 i varje påföljande 21-dagarscykel från cykel 9 och vidare. Doser minskades och behandlingen avbröts tillfälligt eller permanent vid behov för att hantera toxicitet (se avsnitt 4.2).
Det primära effektmåttet var progressionsfri överlevnad (progression free survival, PFS) enligt kriterier från IMWG (International Myeloma Working Group), vilket bedömdes av IRAC (Independent Review Adjudication Committee) med användning av ITT-populationen (intention to treat). Efter en medianuppföljningstid på 15,9 månader var mediantiden för PFS 11,20 månader (95 % CI: 9,66, 13,73) i Pom+Btz+LD-Dex-armen. I Btz+LD-Dex-armen, var mediantiden för PFS 7,1 månader (95 % CI: 5,88, 8,48).
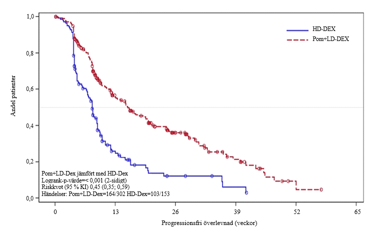
Sammanfattning av övergripande effektivitetsdata presenteras i tabell 8 med cut-off för dataanalys 26 oktober 2017. Kaplan-Meier-kurva för PFS för ITT-populationen tillhandahålls i figur 1.
Tabell 8. Sammanfattning av övergripande effektivitetsdata
Btz = bortezomib; CI = Konfidensintervall; CR = Komplett respons (Complete response); DoR = Varaktighet av respons (Duration of response); HR = Hazard Ratio; LD‑Dex = lågdos dexametason; OR = Odds ratio; ORR = Total svarsfrekvens (Overall response rate); PFS = Progressionsfri överlevnad; POM = pomalidomid; PR = Partiell respons; sCR = Stringent komplett respons VGPR = Mycket bra partiell respons.
a Medianen baseras på Kaplan-Meier-beräkning.
b 95 % CI kring medianen.
c Baserat på Cox proportionella riskmodell.
d P-värdet baseras på ett stratifierat log-rank-test.
e Odds ratio är för Pom+Btz+LD-Dex:Btz+LD-Dex.
f P-värdet är baserat på ett CMH-test, stratifierat enligt ålder (<=75 vs >75), tidigare antal antimyelom-terapier (1 vs >1), och Beta-2 mikroglobulin vid screening (< 3,5 mg/l kontra ≥ 3.5 mg/l, ≤ 5,5 mg/l kontra > 5,5 mg/l).
Median för behandlingstid var 8,8 månader (12 behandlingscykler) i Pom+Btz+LD-Dex-armen och 4,9 månader (7 behandlingscykler) i Btz+LD-Dex-armen.
Fördelen i PFS var mer uttalad hos de patienter som erhållit enbart en tidigare behandlingslinje. Hos patienter som erhållit 1 tidigare anti-myelomlinje var medianvärdet för PFS-tid 20,73 månader (95 % CI: 15,11, 27,99) i Pom + Btz + LD-Dex-armen och 11,63 månader (95 % CI: 7,52, 15,74) i Btz + LD-Dex-armen. En riskreduktion på 46 % observerades med Pom + Btz + LD-Dex-behandling (HR = 0,54, 95 % CI: 0,36, 0,82).
Figur 1. Progressionsfri överlevnad baserad på IRAC-granskning av svar enligt IMWG-kriterier (stratifierat log-rank-test) (ITT-population)
Final analys för total överlevnad (OS) med cut-off för dataanalys 13 maj 2022 (median uppföljningsperiod på 64,5 månader), var mediantiden för OS beräknad med Kaplan-Meier metoden 35,6 månader för Pom + Btz + LD-Dex-armen och 31,6 månader för Btz + LD-Dex-armen; HR=0,94, 95 % CI: 0,77, 1,15, med en total händelsefrekvens (event rate) på 70,0 %. Analysen för total överlevnad var inte justerad med hänsyn till efterföljande behandlingar.
Pomalidomid i kombination med dexametason
Pomalidomids effekt och säkerhet i kombination med dexametason utvärderades i en öppen, randomiserad, fas III-multicenterstudie (CC-4047-MM-003) där behandling med pomalidomid plus dexametason i låg dos (Pom + LD-Dex) jämfördes med enbart dexametason i hög dos (HD-Dex) hos tidigare behandlade vuxna patienter med recidiverande och refraktärt multipelt myelom, vilka hade fått minst två tidigare behandlingar, inklusive både lenalidomid och bortezomib, och hade uppvisat sjukdomsprogression på den senaste terapin. Totalt 455 patienter rekryterades till studien: 302 till Pom+LD-Dex-armen och 153 till HD-Dex-armen. De flesta av patienterna var män (59 %) och vita (79 %); medianåldern för den totala populationen var 64 år (min, max: 35, 87 år).
Patienter i Pom+LD-Dex-armen gavs 4 mg pomalidomid oralt på dag 1 till 21 i varje 28-dagarscykel. LD-Dex (40 mg) gavs en gång dagligen på dag 1, 8, 15 och 22 i en 28‑dagarscykel. För HD-Dex-armen gavs dexametason (40 mg) en gång dagligen på dag 1 till och med 4, 9 till och med 12 och 17 till och med 20 i en 28-dagarscykel. Patienter > 75 år startade behandlingen med 20 mg dexametason. Behandlingen fortsatte tills patienterna fick sjukdomsprogression.
Det primära effektmåttet var progressionsfri överlevnad (PFS) enligt kriterier från IMWG (International Myeloma Working Group). För ITT-populationen (intention to treat) var mediantiden för PFS enligt granskningen av IRAC (Independent Review Adjudication Committee) baserad på IMWG-kriterier 15,7 veckor (95 % KI: 13,0; 20,1) i armen Pom + LD-Dex; den beräknade 26-veckors händelsefria överlevnadsfrekvensen var 35,99 % (± 3,46 %). I armen HD-Dex var mediantiden för PFS 8,0 veckor (95 % KI: 7,0; 9,0); den beräknade 26-veckors händelsefria överlevnadsfrekvensen var 12,15 % (± 3,63 %).
Progressionsfri överlevnad (PFS) utvärderades i flera relevanta delgrupper: kön, etnisk tillhörighet, ECOG-funktionsstatus, stratifieringsfaktorer (ålder, sjukdomspopulation, tidigare anti-myelomterapier [2, > 2]), selekterade parametrar för prognostisk signifikans (beta-2-mikroglobulinnivå vid baslinjen, albuminnivåer vid baslinjen, nedsatt njurfunktion vid baslinjen och cytogenetisk risk), och exponering och refraktäritet för tidigare anti-myelomterapier. Oavsett vilken delgrupp som utvärderades var PFS i allmänhet förenlig med den som observerades i ITT-populationen för båda behandlingsgrupperna.
Progessionsfri överlevnad (PFS) sammanfattas i tabell 9 för ITT-populationen. Kaplan-Meier-kurva för PFS för ITT-populationen tillhandahålls i figur 2.
Tabell 9: Progressionsfri överlevnadstid enligt IRAC-granskning baserat på IMWG-kriterier (stratifierat log rank-test) (ITT-population)
Obs: KI= konfidensintervall; IRAC=Independent Review Adjudicated Committee; NE=Not Estimable (kan inte beräknas).
a Medianen baseras på Kaplan-Meier-beräkning.
b 95 % konfidensintervall om mediantiden för progressionsfri överlevnad.
c Baserat på Cox proportionella riskmodell med jämförelse av riskfunktionerna som associeras med behandlingsgrupperna, stratifierade enligt ålder (≤ 75 mot > 75), sjukdomspopulation (refraktär mot både lenalidomid och bortezomib jämfört med icke-refraktär mot båda aktiva substanserna) och föregående antal anti-myelomterapier (=2 mot > 2).
d P-värdet baseras på ett stratiferat log-rank-test med samma strafieringsfaktorer som för ovanstående Cox-modell.
Databrytpunkt: 7 sept 2012.
Figur 2. Progressionsfri överlevnad baserad på IRAC-granskning av svar enligt IMWG-kriterier (stratifierat log-rank-test) (ITT-population)
Databrytpunkt: 7 sept 2012
Total överlevnad var det viktigaste sekundära effektmåttet i studien. Totalt 226 (74,8 %) av Pom + LD‑Dex-patienterna och 95 (62,1 %) av HD‑Dex-patienterna var i livet vid brytdatumet (7 sept 2012). Mediantiden för total överlevnad från Kaplan-Meier-beräkningar har inte uppnåtts för Pom + LD Dex, men skulle väntas vara minst 48 veckor, vilket är den nedre gränsen för 95 % KI. Mediantiden för total överlevnad för armen HD‑Dex var 34 veckor (95 % KI: 23,4; 39,9). Den 1‑åriga händelsefria frekvensen var 52,6 % (± 5,72 %) för armen Pom + LD-Dex och 28,4 % (± 7,51 %) för armen HD-Dex. Skillnaden i total överlevnad mellan de två behandlingarna var statistiskt signifikant (p < 0,001).
Total överlevnad sammanfattas i tabell 10 för ITT-populationen. Kaplan‑Meier-kurva för total överlevnad för ITT-populationen tillhandahålls i figur 3.
Baserat på resultaten för effektmåtten för både PFS och total överlevnad rekommenderade dataövervakningskommittén som upprättats för studien att studien skulle slutföras och att patienter i armen HD‑Dex skulle överföras till armen Pom + LD‑Dex.
Tabell 10. Total överlevnad: ITT-population
Obs: KI=Konfidensintervall. NE = Not Estimable (kan inte beräknas).
a Medianen baseras på Kaplan-Meier-beräkning.
b 95 % konfidensintervall om mediantiden för total överlevnad.
c Baserat på Cox proportionella riskmodell med jämförelse av riskfunktionerna som associeras med behandlingsgrupper.
d P-värdet baseras på ett icke-stratifierat log-rank-test.
Databrytpunkt: 7 sept 2012.
Figur 3. Kaplan-Meier-kurva för total överlevnad (ITT-population)
Brytpunkt: 7 sep 2012
Pediatrisk population
I en enarmad, öppen, doshöjande fas 1-studie bestämdes maximala tolererade dosen (MTD) och/eller den rekommenderad fas2-dosen (RP2D) av pomalidomid hos pediatriska patienter vara 2,6 mg/m2/dag, administrerad oralt från Dag 1 till Dag 21 i en upprepad cykel på 28 dagar.
Effekt påvisades inte i en fas 2, multicenter, öppen, parallellgruppsstudie, som utfördes med 52 pomalidomidbehandlade, pediatriska patienter i åldern 4 till 18 år, med recidiverande eller progressivt, höggradigt gliom, medulloblastom, ependymom eller diffust infiltrerat pontinegliom (DIPG) med primär lokalisation i centrala nervsystemet (CNS).
I fas 2-studien uppnådde två patienter i den höggradiga gliomgruppen (N = 19) ett behandlingssvar enligt definitionen i protokollet. En av dessa patienter uppnådde ett partiellt behandlingssvar (PR) och den andra patienten uppnådde en långvarig stabil sjukdom (SD), vilket ledde till ett objektivt svar (OR) och långvarig SD-frekvens på 10,5 % (95 % KI: 1.3, 33.1). En patient i ependymomgruppen (N = 9) uppnådde en långvarig SD, som ledde till en OR och långvarig SD-frekvens på 11,1 % (95 % KI: 0.3, 48.2). Ingen bekräftad ELLER eller långvarig SD observerades hos någon av de utvärderbara patienterna i antingen gruppen med DIPG (N = 9) eller gruppen med medulloblastom (N = 9). Ingen av de 4 parallella grupperna som bedömdes i denna fas 2-studie uppfyllde det primära effektmåttet för objektivt behandlingssvar eller långvarig, stabil sjukdomsfrekvens.
Den övergripande säkerhetsprofilen för pomalidomid hos barn överensstämde med den kända säkerhetsprofilen för vuxna. Farmakokinetiska (PK) parametrar utvärderades i en integrerad PK-analys av fas 1- och fas 2-studierna, och befanns inte ha någon signifikant skillnad jämfört med de som observerats hos vuxna patienter (se avsnitt 5.2).
Absorption
Pomalidomid absorberas med en maximal plasmakoncentration (Cmax) som inträffar mellan 2 och 3 timmar och absorberas till minst 73 % efter administrering av en oral engångsdos. Den systemiska exponeringen (AUC) för pomalidomid ökar på ett ungefärligt linjärt och dosproportionellt sätt. Efter flera doser har pomalidomid en ackumuleringskvot på 27 till 31 % i AUC.
Samtidig administrering med mat med högt fettinnehåll och högt kaloriinnehåll saktar ned absorptionens hastighet, vilket sänker medel-Cmax i plasma med cirka 27 %, men har minimal effekt på den totala omfattningen av absorptionen med en minskning på 8 % av medel-AUC. Därför kan pomalidomid administreras oavsett födointag.
Distribution
Pomalidomid har en genomsnittlig uppenbar distributionsvolym (Vd/F) mellan 62 och 138 liter vid steady state. Pomalidomid distribueras i sädesvätska hos friska försökspersoner vid en koncentration på cirka 67 % av plasmanivån vid 4 timmar efter dosering (ungefärligt Tmax) efter 4 dagar med doseringen 2 mg en gång dagligen. In vitro-bindning av pomalidomid-enantiomerer till proteiner i human plasma varierar från 12 % till 44 % och är inte koncentrationsberoende.
Metabolism
Pomalidomid är den huvudsakliga cirkulerande komponenten (cirka 70 % av plasmaradioaktivitet) in vivo hos friska försökspersoner som fick en oral engångsdos av [14C]-pomalidomid (2 mg). Det fanns inga metaboliter vid > 10 % i relation till moderläkemedlet eller total radioaktivitet i plasma.
De dominerande metabola kanalerna för utsöndrad radioaktivitet är hydoxylering med påföljande glukuronisering, eller hydrolys. In vitro identifierades CYP1A2 och CYP3A4 som de primära enzymer som är involverade i den CYP-medierade hydroxyleringen av pomalidomid, med ytterligare mindre bidrag från CYP2C19 och CYP2D6. Pomalidomid är dessutom ett substrat för P-glykoprotein in vitro. Samtidig administrering av pomalidomid och den starka CYP3A4/5- och P-gp-hämmaren ketokonazol eller den starka CYP3A4/5-induceraren karbamazepin, hade ingen kliniskt relevant effekt på exponeringen för pomalidomid. Samtidig administrering av den starka CYP1A2-hämmaren fluvoxamin med pomalidomid i närvaro av ketokonazol, ökade medelexponeringen för pomalidomid med 107 % med ett 90‑procentigt konfidensintervall [91 % till 124 %] jämfört med pomalidomid plus ketokonazol. I en andra studie för att utvärdera hur mycket enbart CYP1A2-hämmare bidrar till metabolismförändringar, ökade samtidig administrering av enbart fluvoxamin tillsammans med pomalidomid medelexponeringen för pomalidomid med 125 % med ett 90 %-konfidensintervall [98 % mot 157 %] jämfört med enbart pomalidomid. Om starka hämmare av CYP1A2 (t.ex. ciprofloxacin, enoxacin och fluvoxamin) administreras samtidigt med pomalidomid, ska pomalidomiddosen sänkas med 50 %. Administrering av pomalidomid till rökare som använder tobak som är känd att inducera CYP1A2-isoform hade ingen kliniskt relevant effekt på exponering av pomalidomid jämfört med den pomalidomid som observerades hos icke-rökare.
Baserat på in vitro-data är pomalidomid inte någon hämmare eller inducerare av cytokrom P-450-isozymer och hämmar inte några av de studerade läkemedelstransportörerna. Kliniskt relevanta interaktioner förutses inte när pomalidomid samtidigt administreras med substrat för dessa kanaler.
Eliminering
Pomalidomid elimineras med en median halveringstid i plasma på cirka 9,5 timmar hos friska försökspersoner och cirka 7,5 timmar hos patienter med multipelt myelom. Pomalidomid har en genomsnittlig total kroppsclearance (CL/F) på cirka 7 till 10 liter/timme.
Efter en oral engångsadministrering av [14C]-pomalidomid (2 mg) till friska försökspersoner eliminerades cirka 73 % och 15 % av den radioaktiva dosen i urin respektive feces, med cirka 2 % och 8 % av doserat radiokarbon eliminerat som pomalidomid i urin och feces.
Pomalidomid metaboliseras till stor del före eliminering, och de resulterande metaboliterna elimineras främst i urinen. De 3 predominanta metaboliterna i urin (bildas via hydrolys eller hydroxylering med påföljande glukuronisering) står för cirka 23 %, 17 % respektive 12 % av dosen i urinen.
CYP-beroende metaboliter står för cirka 43 % av den totala utsöndrade radioaktiviteten, medan icke-CYP-beroende hydrolytiska metaboliter står för 25 %, och utsöndring av oförändrat pomalidomid stod för 10 % (2 % i urin och 8 % i feces).
Populationsfarmakokinetik (PK)
Baserat på en analys av populationsfarmakokinetik med användning av en två-kompartmentmodell, hade friska försökspersoner och MM-patienter jämförbar uppenbar clearance (CL/F) och uppenbar central distributionsvolym (V2/F). I perifera vävnader upptogs pomalidomid huvudsakligen av tumörer med uppenbar perifer distributionsclearance (Q/F) och uppenbar perifer distributionsvolym (V3/F) som var 3,7 respektive 8 gånger högre än den för friska försökspersoner.
Pediatrisk population
Efter en enda oral dos av pomalidomid hos barn och unga vuxna med recidiverande eller progressiv primär hjärntumör, var median T max 2 till 4 timmar efter dosering och motsvarade geometriska medelvärden C max (CV %) på 74,8 (59,4 %) 79,2 (51,7 %) och 104 (18,3 %) ng/ml vid dosnivåerna 1,9 mg, 2,6 mg respektive 3,4 mg/m 2. AUC 0-24 och AUC 0-inf följde liknande trender, med total exponering i intervallet på cirka 700 till 800 h ng/ml vid de lägre 2 doserna och cirka 1200 h ng/ml vid den höga dosen. Uppskattningar av halveringstiden låg inom intervallet cirka 5 till 7 timmar.
Det fanns inga tydliga trender som kan hänföras till stratifiering enligt ålder och steroidanvändning vid MTD.
Sammantaget tyder data på att AUC ökade nästan proportionellt mot ökningen av pomalidomid-dosen, medan ökningen av Cmax i allmänhet var mindre än proportionell.
Farmakokinetiken för pomalidomid efter oral administrering av dosnivåer på 1,9 mg/m 2/dag till 3,4 mg/m2/dag, fastställdes hos 70 patienter i åldrarna 4 till 20 år, i en integrerad analys av en fas 1- och fas 2-studie av recidiverande eller progressiva pediatriska hjärntumörer. Koncentration-tidsprofiler för pomalidomid beskrivs på ett adekvat sätt med en PK-modell med en avdelning och med första ordningens absorption och eliminering. Pomalidomid uppvisade linjär och tidsinvariant PK med måttlig variation. De typiska värdena för CL/F, Vc/F, Ka, fördröjningstid för pomalidomid var 3,94 L/h, 43,0 L, 1,45 h-1 respektive 0,454 h. Den terminala halveringstiden för pomalidomid var 7,33 timmar. Förutom för kroppsyta (BSA), hade ingen av de testade kovariaterna, inklusive ålder och kön, någon effekt på pomalidomid-PK. Även om BSA identifierades som en statistiskt signifikant kovariat av pomalidomid CL/F och Vc/F, ansågs inte BSA:s inverkan på exponeringsparametrar vara kliniskt relevant.
I allmänhet finns det ingen signifikant skillnad i pomalidomid PK mellan barn och vuxna patienter.
Äldre
Baserat på populationsbaserade farmakokinetiska analyser hos friska försökspersoner och flera patienter med myelom observerades ingen betydande ålderspåverkan (19-83 år) på oral clearance för pomalidom. I kliniska studier krävdes inga dosjusteringar till äldre (> 65 år) patienter som exponerades för pomalidomid (se avsnitt 4.2).
Nedsatt njurfunktion
Populationsbaserade farmakokinetiska analyser visade att de farmakokinetiska parametrarna för pomalidomid inte påverkades anmärkningsvärt hos patienter med nedsatt njurfunktion (definierades av kreatininclearance eller uppskattad glomerulär filtreringshastighet [eGFR] jämfört med patienter med normal njurfunktion (KrCl ≥ 60 ml/minut). Genomsnittlig normaliserad AUC- exponering för pomalidomid var 98,2 % med 90 % konfidensintervall [77,4 % till 120,6 %] hos patienter med måttligt nedsatt njurfunktion (eGFR ≥ 30 till ≤45ml/minut/1,73 m2) jämfört med patienter med normal njurfunktion. Genomsnittlig normaliserad AUC- exponering för pomalidomid var 100,2 % med 90 % konfidensintervall [79,7 % till 127,0 %] hos patienter med svårt nedsatt njurfunktion som inte krävde dialys (KrCl < 30 eller eGFR < 30 ml/minut/1,73 m2) jämfört med patienter med normal njurfunktion. Genomsnittlig normaliserad AUC- exponering för pomalidomid ökade med 35,8 % med en 90 % Cl [7,5 % till 70,0 %] hos patienter med svårt nedsatt njurfunktion som krävde dialys (KrCl < 30 ml/minut som krävde dialys) jämfört med patienter med normal njurfunktion. De genomsnittliga förändringarna i exponeringarna för pomalidomid i var och en av dessa grupper med nedsatt njurfunktion är inte av en omfattning som kräver dosjusteringar.
Nedsatt leverfunktion
De farmakokinetiska parametrarna var måttligt förändrade hos patienter med nedsatt leverfunktion (definierade enligt Child-Pugh-kriterier) jämfört med hos friska försökspersoner. Medelexponeringen för pomalidomid ökade med 51 % med ett 90 %-igt konfidensintervall [9 % till 110 %] hos patienter med lindrigt nedsatt leverfunktiom jämfört med hos friska försökspersoner. Medelexponeringen för pomalidomid ökade med 58 % med ett 90 %-igt konfidensintervall [13 % till 119 %] hos patienter med måttligt nedsatt leverfunktion jämfört med friska försökspersoner. Medelexponeringen för pomalidom ökade med 72 % med ett 90 %-igt konfidensintervall [24 % till 138 %] hos försökspersoner med allvarligt nedsatt leverfunktion. Medelökningarna för exponeringarna för pomalidomid i var och en av dessa grupper med nedsatt funktion är inte i en omfattning som kräver justeringar av schema eller dos (se avsnitt 4.2).
Toxikologistudier med upprepad dos
Ständig administrering av pomalidomid med doser på 50, 250 och 1 000 mg/kg/dag i 6 månader tolererades väl av råttor. Inga negativa fynd noterades upp till 1 000 mg/kg/dag (175-faldig exponeringskvot i relation till en klinisk dos på 4 mg).
Hos apor utvärderades pomalidomid i studier med upprepad dos som pågick i upp till 9 månader. I dessa studier uppvisade apor en större känslighet mot pomalidomideffekter än råttor. De primära toxiciteterna som sågs hos apor associerades med de hematopoetiska/lymforetikulära systemen. I 9‑månadersstudien på apor med doser på 0,05, 0,1 och 1 mg/kg/dag, observerades morbiditet och tidig eutanasi hos 6 djur vid dosen 1 mg/kg/dag och ansågs bero på immunhämmande effekter (stafylokockinfektion, minskat antal lymfocyter i perifert blod, kronisk inflammation i tjocktarmen, histologisk lymfoid brist och hypocellularitet i benmärg) vid höga exponeringar för pomalidomid (15-faldig exponeringsfrekvens i relation till en klinisk dos på 4 mg). Dessa immunhämmande effekter ledde till tidig eutanasi hos 4 apor på grund av dåligt hälsotillstånd (vattnig avföring, aptitlöshet, minskat födointag och viktnedgång); histopatologisk bedömning av dessa djur visade kronisk inflammation i tjocktarmen och atrofierade villi i tunntarmen. Stafylokockinfektion sågs hos 4 apor; 3 av dessa djur svarade på antibiotikabehandling och 1 dog utan behandling. Dessutom ledde fynd som var förenliga med akut myelogen leukemi till eutanasi för 1 apa; kliniska observationer och klinisk patologi och/eller benmärgsförändringar som sågs hos detta djur var förenliga med immunhämning. Minimal eller lindrig gallgångsproliferation med associerade förhöjningar av ALP och GGT observerades också vid 1 mg/kg/dag. Utvärdering av tillfrisknade djur indikerade att alla behandlingsrelaterade fynd var reversibla när det gått 8 veckor efter dosavslutning, utom vad gällde proliferation av intrahepatiska gallgångar som observerades hos 1 djur i gruppen 1 mg/kg/dag. NOAEL (No Observed Adverse Effect Level) var 0,1 mg/kg/dag (0,5-faldig exponeringskvot relaterat till en klinisk dos på 4 mg).
Genotoxicitet/karcinogenicitet
Pomalidomid var inte mutagent i mutationsanalsyer på bakterier och däggdjur, och inducerade inte några kromosomavvikelser i humana perifera blodlymfocyter eller bildande av mikrokärnor i polykromatiska erytrocyter i benmärg på råttor som fick doser på upp till 2 000 mg/kg/dag. Karcinogenicitetsstudier har inte utförts.
Fertilitet och tidig embryoutveckling
I en studie av fertilitet och tidig embryoutveckling på råttor, administrerades pomalidomid till hanar och honor vid doser på 25, 250 och 1 000 mg/kg/dag. Livmoderundersökningar på gestationsdag 13 visade en nedgång i det genomsnittliga antalet viabla embryon och en ökning av postimplantationsförlust vid alla dosnivåer. Därför var NOAEL för dessa observerade effekter <25 mg/kg/dag (AUC 24 timmar var 39 960 ng•timme/ml [nanogram•timme/milliliter] vid den lägsta dosen som testades och exponeringskvoten var 99-faldig i relation till en klinisk dos på 4 mg). När behandlade hanar i denna studie parades med obehandlade honor, var alla livmoderparametrar jämförbara med kontrollerna. Baserat på dessa resultat relaterades de observerade effekterna till behandlingen av honor.
Embryofetal utveckling
Pomalidomid befanns vara teratogent hos både råttor och kaniner när det administrerades under perioden för huvudsaklig organogenes. I den embryofetala utvecklingstoxicitetsstudien på råttor observerades missbildningar i form av frånvaro av urinblåsa, frånvaro av sköldkörtel och sammanväxning och snedhet i länd- och bröstkotdelar (centrala och/eller neurala bågar) vid alla dosnivåer (25, 250 och 1 000 mg/kg/dag).
Ingen toxicitet hos mödrarna observerades i denna studie. Därför var NOAEL för mödrarna 1 000 mg/kg/dag och NOAEL för utvecklingstoxicitet var < 25 mg/kg/dag (AUC24 timmar var 34 340 ng•timme/ml på gestationsdag 17 vid den lägsta testade dosen och exponeringskvoten var 85-faldig i relation till en klinisk dos på 4 mg). Hos kaniner framkallade pomalidomid vid doser på mellan 10 och 250 mg/kg embryofetala utvecklingsmissbildningar. Ökade hjärtanomalier sågs vid alla doser med signifikanta ökningar vid 250 mg/kg/dag. Vid 100 och 250 mg/kg/dag sågs små ökningar i post-implantationsförlust och små sänkningar av fetala kroppsvikter. Vid 250 mg/kg/dag inkluderade fetala missbildningar extremitetsanomalier (böjda och/eller roterade fram- och/eller bakben, ej fastvuxen eller frånvarande tå) och associerade skelettmissbildningar (icke ossifierad metakarpal, sned falanx och metakarpal, saknad tå, icke ossifierad falanx och kort icke ossifierad eller böjd tibia); måttlig dilatation av den laterala ventrikeln i hjärnan; onormal placering av den högra nyckelbensartären; frånvaro av intermediär lob i lungorna; lågt placerad njure; förändrad levermorfologi; ofullständigt eller icke ossifierat bäcken; ett ökat genomsnitt för övertaliga torakala revben och ett reducerat genomsnitt för ossifierade tarsaler. Liten reduktion av moderns viktökning, signifikant reduktion av triglycerider och signifikant sänkning av absoluta och relativa mjältvikter observerades vid 100 och 250 mg/kg/dag. Moderns NOAEL var 10 mg/kg/dag och utvecklings-NOAEL var < 10 mg/kg/dag (AUC24 timmar var 418 ng•timme/ml på gestationsdag 19 vid den lägsta testade dosen, vilket var likartat med den som erhölls från en klinisk dos på 4 mg).
Farmakoterapeutisk grupp: Immunsuppressiva medel, Övriga immunsuppressiva medel, ATC-kod: L04AX06.
Verkningsmekanism
Pomalidomid har direkt anti-myelomtumördödande aktivitet, immunmodulerande aktiviteter samt hämmar stromalt cellstöd för tillväxt av tumörceller vid multipelt myelom. Närmare bestämt hämmar pomalidomid proliferationen och inducerar apoptos av hematopoetiska tumörceller. Dessutom hämmar pomalidomid proliferationen av lenalidomidresistenta cellinjer vid multipelt myelom och samverkar med dexametason i både lenalidomidkänsliga och lenalidomidresistenta cellinjer för att inducera tumörcellsapoptos. Pomalidomid förstärker T- och mördarcells(NK)-medierad immunitet och hämmar produktionen av proinflammatoriska cytokiner (t.ex. TNF‑α och IL-6) via monocyter. Pomalidomid hämmar dessutom angiogenes genom att blockera migrationen och adhesionen av endotelceller.
Pomalidomid binder direkt till proteinet cereblon (CRBN), vilket är del av ett E3-ligaskomplex som innefattar deoxiribonukleinsyra (DNA)-damage binding protein 1 (DDB1), cullin 4 (CUL4) och regulator of cullins 1 (Roc1), och kan hämma auto-ubikvitineringen av CRBN inom komplexet. E3 ubikvitinligaser är ansvariga för poly-ubikvitineringen av ett antal olika substratproteiner, och kan delvis förklara de pleiotropiska cellulära effekter som observerats vid pomalidomidbehandling.
I närvaron av pomalidomid in vitro leder ubikvitinering av substratproteinerna Aiolos och Ikaros till påföljande nedbrytning av desamma, vilket leder till direkta cytotoxiska och immunmodulerande effekter. In vivo ledde pomalidomidbehandling till sänkning av Ikaros-nivåerna hos patienter med lenalidomid-refraktärt recidiverande multipelt myelom.
Klinisk effekt och säkerhet
Pomalidomid i kombination med bortezomib och dexametason
Pomalidomids effekt och säkerhet i kombination med bortezomib och lågdos dexametason (Pom+Btz+LD-Dex) jämfördes med bortezomib och lågdos dexametason (Btz+LD-Dex) i en fas III multicenter, randomiserad, öppen studie (CC-4047-MM-007), hos tidigare behandlade vuxna patienter med multipelt myelom vilka hade fått minst en tidigare behandling, inklusive lenalidomid och har uppvisat sjukdomsprogression under eller efter den senaste behandlingen. Totalt 559 patienter rekryterades och randomiserades till studien: 281 till Pom+Btz+LD-Dex-armen och 278 till Btz+LD-Dex-armen. 54 % av patienterna var män och medianåldern för den totala populationen var 68 år (min, max: 27, 89 år). Ungefär 70 % av patienterna var refraktära mot lenalidomid (71,2 % i Pom+Btz+LD-Dex, 68,7 % i Btz+LD-Dex). Ungefär 40 % av patienterna var i sitt första recidiv och ungefär 73 % av patienterna hade fått bortezomib i tidigare behandling.
Patienter i Pom+Btz+LD-Dex-armen gavs 4 mg pomalidomid oralt på dag 1 till 14 i varje 21-dagarscykel. Bortezomib (1,3 mg/m2/dos) gavs till patienter i båda studiearmarna på dag 1, 4, 8 och 11 i en 21-dagarscykel i cykel 1-8; och på dag 1 och 8 i en 21-dagarscykel i cykel 9 och vidare. Lågdos dexametason (20 mg/dag [≤ 75 år] eller 10 mg/dag [> 75 år]) gavs till patienter i båda studiearmarna på dag 1, 2, 4, 5, 8, 9, 11 och 12 i en 21-dagarscykel i cykel 1-8 och på dag 1, 2, 8 och 9 i varje påföljande 21-dagarscykel från cykel 9 och vidare. Doser minskades och behandlingen avbröts tillfälligt eller permanent vid behov för att hantera toxicitet (se avsnitt 4.2).
Det primära effektmåttet var progressionsfri överlevnad (progression free survival, PFS) enligt kriterier från IMWG (International Myeloma Working Group), vilket bedömdes av IRAC (Independent Review Adjudication Committee) med användning av ITT-populationen (intention to treat). Efter en medianuppföljningstid på 15,9 månader var mediantiden för PFS 11,20 månader (95 % CI: 9,66, 13,73) i Pom+Btz+LD-Dex-armen. I Btz+LD-Dex-armen, var mediantiden för PFS 7,1 månader (95 % CI: 5,88, 8,48).
Sammanfattning av övergripande effektivitetsdata presenteras i tabell 8 med cut-off för dataanalys 26 oktober 2017. Kaplan-Meier-kurva för PFS för ITT-populationen tillhandahålls i figur 1.
Tabell 8. Sammanfattning av övergripande effektivitetsdata
Btz = bortezomib; CI = Konfidensintervall; CR = Komplett respons (Complete response); DoR = Varaktighet av respons (Duration of response); HR = Hazard Ratio; LD‑Dex = lågdos dexametason; OR = Odds ratio; ORR = Total svarsfrekvens (Overall response rate); PFS = Progressionsfri överlevnad; POM = pomalidomid; PR = Partiell respons; sCR = Stringent komplett respons VGPR = Mycket bra partiell respons.
a Medianen baseras på Kaplan-Meier-beräkning.
b 95 % CI kring medianen.
c Baserat på Cox proportionella riskmodell.
d P-värdet baseras på ett stratifierat log-rank-test.
e Odds ratio är för Pom+Btz+LD-Dex:Btz+LD-Dex.
f P-värdet är baserat på ett CMH-test, stratifierat enligt ålder (<=75 vs >75), tidigare antal antimyelom-terapier (1 vs >1), och Beta-2 mikroglobulin vid screening (< 3,5 mg/l kontra ≥ 3.5 mg/l, ≤ 5,5 mg/l kontra > 5,5 mg/l).
Median för behandlingstid var 8,8 månader (12 behandlingscykler) i Pom+Btz+LD-Dex-armen och 4,9 månader (7 behandlingscykler) i Btz+LD-Dex-armen.
Fördelen i PFS var mer uttalad hos de patienter som erhållit enbart en tidigare behandlingslinje. Hos patienter som erhållit 1 tidigare anti-myelomlinje var medianvärdet för PFS-tid 20,73 månader (95 % CI: 15,11, 27,99) i Pom + Btz + LD-Dex-armen och 11,63 månader (95 % CI: 7,52, 15,74) i Btz + LD-Dex-armen. En riskreduktion på 46 % observerades med Pom + Btz + LD-Dex-behandling (HR = 0,54, 95 % CI: 0,36, 0,82).
Figur 1. Progressionsfri överlevnad baserad på IRAC-granskning av svar enligt IMWG-kriterier (stratifierat log-rank-test) (ITT-population)
Final analys för total överlevnad (OS) med cut-off för dataanalys 13 maj 2022 (median uppföljningsperiod på 64,5 månader), var mediantiden för OS beräknad med Kaplan-Meier metoden 35,6 månader för Pom + Btz + LD-Dex-armen och 31,6 månader för Btz + LD-Dex-armen; HR=0,94, 95 % CI: 0,77, 1,15, med en total händelsefrekvens (event rate) på 70,0 %. Analysen för total överlevnad var inte justerad med hänsyn till efterföljande behandlingar.
Pomalidomid i kombination med dexametason
Pomalidomids effekt och säkerhet i kombination med dexametason utvärderades i en öppen, randomiserad, fas III-multicenterstudie (CC-4047-MM-003) där behandling med pomalidomid plus dexametason i låg dos (Pom + LD-Dex) jämfördes med enbart dexametason i hög dos (HD-Dex) hos tidigare behandlade vuxna patienter med recidiverande och refraktärt multipelt myelom, vilka hade fått minst två tidigare behandlingar, inklusive både lenalidomid och bortezomib, och hade uppvisat sjukdomsprogression på den senaste terapin. Totalt 455 patienter rekryterades till studien: 302 till Pom+LD-Dex-armen och 153 till HD-Dex-armen. De flesta av patienterna var män (59 %) och vita (79 %); medianåldern för den totala populationen var 64 år (min, max: 35, 87 år).
Patienter i Pom+LD-Dex-armen gavs 4 mg pomalidomid oralt på dag 1 till 21 i varje 28-dagarscykel. LD-Dex (40 mg) gavs en gång dagligen på dag 1, 8, 15 och 22 i en 28‑dagarscykel. För HD-Dex-armen gavs dexametason (40 mg) en gång dagligen på dag 1 till och med 4, 9 till och med 12 och 17 till och med 20 i en 28-dagarscykel. Patienter > 75 år startade behandlingen med 20 mg dexametason. Behandlingen fortsatte tills patienterna fick sjukdomsprogression.
Det primära effektmåttet var progressionsfri överlevnad (PFS) enligt kriterier från IMWG (International Myeloma Working Group). För ITT-populationen (intention to treat) var mediantiden för PFS enligt granskningen av IRAC (Independent Review Adjudication Committee) baserad på IMWG-kriterier 15,7 veckor (95 % KI: 13,0; 20,1) i armen Pom + LD-Dex; den beräknade 26-veckors händelsefria överlevnadsfrekvensen var 35,99 % (± 3,46 %). I armen HD-Dex var mediantiden för PFS 8,0 veckor (95 % KI: 7,0; 9,0); den beräknade 26-veckors händelsefria överlevnadsfrekvensen var 12,15 % (± 3,63 %).
Progressionsfri överlevnad (PFS) utvärderades i flera relevanta delgrupper: kön, etnisk tillhörighet, ECOG-funktionsstatus, stratifieringsfaktorer (ålder, sjukdomspopulation, tidigare anti-myelomterapier [2, > 2]), selekterade parametrar för prognostisk signifikans (beta-2-mikroglobulinnivå vid baslinjen, albuminnivåer vid baslinjen, nedsatt njurfunktion vid baslinjen och cytogenetisk risk), och exponering och refraktäritet för tidigare anti-myelomterapier. Oavsett vilken delgrupp som utvärderades var PFS i allmänhet förenlig med den som observerades i ITT-populationen för båda behandlingsgrupperna.
Progessionsfri överlevnad (PFS) sammanfattas i tabell 9 för ITT-populationen. Kaplan-Meier-kurva för PFS för ITT-populationen tillhandahålls i figur 2.
Tabell 9: Progressionsfri överlevnadstid enligt IRAC-granskning baserat på IMWG-kriterier (stratifierat log rank-test) (ITT-population)
Obs: KI= konfidensintervall; IRAC=Independent Review Adjudicated Committee; NE=Not Estimable (kan inte beräknas).
a Medianen baseras på Kaplan-Meier-beräkning.
b 95 % konfidensintervall om mediantiden för progressionsfri överlevnad.
c Baserat på Cox proportionella riskmodell med jämförelse av riskfunktionerna som associeras med behandlingsgrupperna, stratifierade enligt ålder (≤ 75 mot > 75), sjukdomspopulation (refraktär mot både lenalidomid och bortezomib jämfört med icke-refraktär mot båda aktiva substanserna) och föregående antal anti-myelomterapier (=2 mot > 2).
d P-värdet baseras på ett stratiferat log-rank-test med samma strafieringsfaktorer som för ovanstående Cox-modell.
Databrytpunkt: 7 sept 2012.
Figur 2. Progressionsfri överlevnad baserad på IRAC-granskning av svar enligt IMWG-kriterier (stratifierat log-rank-test) (ITT-population)
Databrytpunkt: 7 sept 2012
Total överlevnad var det viktigaste sekundära effektmåttet i studien. Totalt 226 (74,8 %) av Pom + LD‑Dex-patienterna och 95 (62,1 %) av HD‑Dex-patienterna var i livet vid brytdatumet (7 sept 2012). Mediantiden för total överlevnad från Kaplan-Meier-beräkningar har inte uppnåtts för Pom + LD Dex, men skulle väntas vara minst 48 veckor, vilket är den nedre gränsen för 95 % KI. Mediantiden för total överlevnad för armen HD‑Dex var 34 veckor (95 % KI: 23,4; 39,9). Den 1‑åriga händelsefria frekvensen var 52,6 % (± 5,72 %) för armen Pom + LD-Dex och 28,4 % (± 7,51 %) för armen HD-Dex. Skillnaden i total överlevnad mellan de två behandlingarna var statistiskt signifikant (p < 0,001).
Total överlevnad sammanfattas i tabell 10 för ITT-populationen. Kaplan‑Meier-kurva för total överlevnad för ITT-populationen tillhandahålls i figur 3.
Baserat på resultaten för effektmåtten för både PFS och total överlevnad rekommenderade dataövervakningskommittén som upprättats för studien att studien skulle slutföras och att patienter i armen HD‑Dex skulle överföras till armen Pom + LD‑Dex.
Tabell 10. Total överlevnad: ITT-population
Obs: KI=Konfidensintervall. NE = Not Estimable (kan inte beräknas).
a Medianen baseras på Kaplan-Meier-beräkning.
b 95 % konfidensintervall om mediantiden för total överlevnad.
c Baserat på Cox proportionella riskmodell med jämförelse av riskfunktionerna som associeras med behandlingsgrupper.
d P-värdet baseras på ett icke-stratifierat log-rank-test.
Databrytpunkt: 7 sept 2012.
Figur 3. Kaplan-Meier-kurva för total överlevnad (ITT-population)
Brytpunkt: 7 sep 2012
Pediatrisk population
I en enarmad, öppen, doshöjande fas 1-studie bestämdes maximala tolererade dosen (MTD) och/eller den rekommenderad fas2-dosen (RP2D) av pomalidomid hos pediatriska patienter vara 2,6 mg/m2/dag, administrerad oralt från Dag 1 till Dag 21 i en upprepad cykel på 28 dagar.
Effekt påvisades inte i en fas 2, multicenter, öppen, parallellgruppsstudie, som utfördes med 52 pomalidomidbehandlade, pediatriska patienter i åldern 4 till 18 år, med recidiverande eller progressivt, höggradigt gliom, medulloblastom, ependymom eller diffust infiltrerat pontinegliom (DIPG) med primär lokalisation i centrala nervsystemet (CNS).
I fas 2-studien uppnådde två patienter i den höggradiga gliomgruppen (N = 19) ett behandlingssvar enligt definitionen i protokollet. En av dessa patienter uppnådde ett partiellt behandlingssvar (PR) och den andra patienten uppnådde en långvarig stabil sjukdom (SD), vilket ledde till ett objektivt svar (OR) och långvarig SD-frekvens på 10,5 % (95 % KI: 1.3, 33.1). En patient i ependymomgruppen (N = 9) uppnådde en långvarig SD, som ledde till en OR och långvarig SD-frekvens på 11,1 % (95 % KI: 0.3, 48.2). Ingen bekräftad ELLER eller långvarig SD observerades hos någon av de utvärderbara patienterna i antingen gruppen med DIPG (N = 9) eller gruppen med medulloblastom (N = 9). Ingen av de 4 parallella grupperna som bedömdes i denna fas 2-studie uppfyllde det primära effektmåttet för objektivt behandlingssvar eller långvarig, stabil sjukdomsfrekvens.
Den övergripande säkerhetsprofilen för pomalidomid hos barn överensstämde med den kända säkerhetsprofilen för vuxna. Farmakokinetiska (PK) parametrar utvärderades i en integrerad PK-analys av fas 1- och fas 2-studierna, och befanns inte ha någon signifikant skillnad jämfört med de som observerats hos vuxna patienter (se avsnitt 5.2).
Absorption
Pomalidomid absorberas med en maximal plasmakoncentration (Cmax) som inträffar mellan 2 och 3 timmar och absorberas till minst 73 % efter administrering av en oral engångsdos. Den systemiska exponeringen (AUC) för pomalidomid ökar på ett ungefärligt linjärt och dosproportionellt sätt. Efter flera doser har pomalidomid en ackumuleringskvot på 27 till 31 % i AUC.
Samtidig administrering med mat med högt fettinnehåll och högt kaloriinnehåll saktar ned absorptionens hastighet, vilket sänker medel-Cmax i plasma med cirka 27 %, men har minimal effekt på den totala omfattningen av absorptionen med en minskning på 8 % av medel-AUC. Därför kan pomalidomid administreras oavsett födointag.
Distribution
Pomalidomid har en genomsnittlig uppenbar distributionsvolym (Vd/F) mellan 62 och 138 liter vid steady state. Pomalidomid distribueras i sädesvätska hos friska försökspersoner vid en koncentration på cirka 67 % av plasmanivån vid 4 timmar efter dosering (ungefärligt Tmax) efter 4 dagar med doseringen 2 mg en gång dagligen. In vitro-bindning av pomalidomid-enantiomerer till proteiner i human plasma varierar från 12 % till 44 % och är inte koncentrationsberoende.
Metabolism
Pomalidomid är den huvudsakliga cirkulerande komponenten (cirka 70 % av plasmaradioaktivitet) in vivo hos friska försökspersoner som fick en oral engångsdos av [14C]-pomalidomid (2 mg). Det fanns inga metaboliter vid > 10 % i relation till moderläkemedlet eller total radioaktivitet i plasma.
De dominerande metabola kanalerna för utsöndrad radioaktivitet är hydoxylering med påföljande glukuronisering, eller hydrolys. In vitro identifierades CYP1A2 och CYP3A4 som de primära enzymer som är involverade i den CYP-medierade hydroxyleringen av pomalidomid, med ytterligare mindre bidrag från CYP2C19 och CYP2D6. Pomalidomid är dessutom ett substrat för P-glykoprotein in vitro. Samtidig administrering av pomalidomid och den starka CYP3A4/5- och P-gp-hämmaren ketokonazol eller den starka CYP3A4/5-induceraren karbamazepin, hade ingen kliniskt relevant effekt på exponeringen för pomalidomid. Samtidig administrering av den starka CYP1A2-hämmaren fluvoxamin med pomalidomid i närvaro av ketokonazol, ökade medelexponeringen för pomalidomid med 107 % med ett 90‑procentigt konfidensintervall [91 % till 124 %] jämfört med pomalidomid plus ketokonazol. I en andra studie för att utvärdera hur mycket enbart CYP1A2-hämmare bidrar till metabolismförändringar, ökade samtidig administrering av enbart fluvoxamin tillsammans med pomalidomid medelexponeringen för pomalidomid med 125 % med ett 90 %-konfidensintervall [98 % mot 157 %] jämfört med enbart pomalidomid. Om starka hämmare av CYP1A2 (t.ex. ciprofloxacin, enoxacin och fluvoxamin) administreras samtidigt med pomalidomid, ska pomalidomiddosen sänkas med 50 %. Administrering av pomalidomid till rökare som använder tobak som är känd att inducera CYP1A2-isoform hade ingen kliniskt relevant effekt på exponering av pomalidomid jämfört med den pomalidomid som observerades hos icke-rökare.
Baserat på in vitro-data är pomalidomid inte någon hämmare eller inducerare av cytokrom P-450-isozymer och hämmar inte några av de studerade läkemedelstransportörerna. Kliniskt relevanta interaktioner förutses inte när pomalidomid samtidigt administreras med substrat för dessa kanaler.
Eliminering
Pomalidomid elimineras med en median halveringstid i plasma på cirka 9,5 timmar hos friska försökspersoner och cirka 7,5 timmar hos patienter med multipelt myelom. Pomalidomid har en genomsnittlig total kroppsclearance (CL/F) på cirka 7 till 10 liter/timme.
Efter en oral engångsadministrering av [14C]-pomalidomid (2 mg) till friska försökspersoner eliminerades cirka 73 % och 15 % av den radioaktiva dosen i urin respektive feces, med cirka 2 % och 8 % av doserat radiokarbon eliminerat som pomalidomid i urin och feces.
Pomalidomid metaboliseras till stor del före eliminering, och de resulterande metaboliterna elimineras främst i urinen. De 3 predominanta metaboliterna i urin (bildas via hydrolys eller hydroxylering med påföljande glukuronisering) står för cirka 23 %, 17 % respektive 12 % av dosen i urinen.
CYP-beroende metaboliter står för cirka 43 % av den totala utsöndrade radioaktiviteten, medan icke-CYP-beroende hydrolytiska metaboliter står för 25 %, och utsöndring av oförändrat pomalidomid stod för 10 % (2 % i urin och 8 % i feces).
Populationsfarmakokinetik (PK)
Baserat på en analys av populationsfarmakokinetik med användning av en två-kompartmentmodell, hade friska försökspersoner och MM-patienter jämförbar uppenbar clearance (CL/F) och uppenbar central distributionsvolym (V2/F). I perifera vävnader upptogs pomalidomid huvudsakligen av tumörer med uppenbar perifer distributionsclearance (Q/F) och uppenbar perifer distributionsvolym (V3/F) som var 3,7 respektive 8 gånger högre än den för friska försökspersoner.
Pediatrisk population
Efter en enda oral dos av pomalidomid hos barn och unga vuxna med recidiverande eller progressiv primär hjärntumör, var median T max 2 till 4 timmar efter dosering och motsvarade geometriska medelvärden C max (CV %) på 74,8 (59,4 %) 79,2 (51,7 %) och 104 (18,3 %) ng/ml vid dosnivåerna 1,9 mg, 2,6 mg respektive 3,4 mg/m 2. AUC 0-24 och AUC 0-inf följde liknande trender, med total exponering i intervallet på cirka 700 till 800 h ng/ml vid de lägre 2 doserna och cirka 1200 h ng/ml vid den höga dosen. Uppskattningar av halveringstiden låg inom intervallet cirka 5 till 7 timmar.
Det fanns inga tydliga trender som kan hänföras till stratifiering enligt ålder och steroidanvändning vid MTD.
Sammantaget tyder data på att AUC ökade nästan proportionellt mot ökningen av pomalidomid-dosen, medan ökningen av Cmax i allmänhet var mindre än proportionell.
Farmakokinetiken för pomalidomid efter oral administrering av dosnivåer på 1,9 mg/m 2/dag till 3,4 mg/m2/dag, fastställdes hos 70 patienter i åldrarna 4 till 20 år, i en integrerad analys av en fas 1- och fas 2-studie av recidiverande eller progressiva pediatriska hjärntumörer. Koncentration-tidsprofiler för pomalidomid beskrivs på ett adekvat sätt med en PK-modell med en avdelning och med första ordningens absorption och eliminering. Pomalidomid uppvisade linjär och tidsinvariant PK med måttlig variation. De typiska värdena för CL/F, Vc/F, Ka, fördröjningstid för pomalidomid var 3,94 L/h, 43,0 L, 1,45 h-1 respektive 0,454 h. Den terminala halveringstiden för pomalidomid var 7,33 timmar. Förutom för kroppsyta (BSA), hade ingen av de testade kovariaterna, inklusive ålder och kön, någon effekt på pomalidomid-PK. Även om BSA identifierades som en statistiskt signifikant kovariat av pomalidomid CL/F och Vc/F, ansågs inte BSA:s inverkan på exponeringsparametrar vara kliniskt relevant.
I allmänhet finns det ingen signifikant skillnad i pomalidomid PK mellan barn och vuxna patienter.
Äldre
Baserat på populationsbaserade farmakokinetiska analyser hos friska försökspersoner och flera patienter med myelom observerades ingen betydande ålderspåverkan (19-83 år) på oral clearance för pomalidom. I kliniska studier krävdes inga dosjusteringar till äldre (> 65 år) patienter som exponerades för pomalidomid (se avsnitt 4.2).
Nedsatt njurfunktion
Populationsbaserade farmakokinetiska analyser visade att de farmakokinetiska parametrarna för pomalidomid inte påverkades anmärkningsvärt hos patienter med nedsatt njurfunktion (definierades av kreatininclearance eller uppskattad glomerulär filtreringshastighet [eGFR] jämfört med patienter med normal njurfunktion (KrCl ≥ 60 ml/minut). Genomsnittlig normaliserad AUC- exponering för pomalidomid var 98,2 % med 90 % konfidensintervall [77,4 % till 120,6 %] hos patienter med måttligt nedsatt njurfunktion (eGFR ≥ 30 till ≤45ml/minut/1,73 m2) jämfört med patienter med normal njurfunktion. Genomsnittlig normaliserad AUC- exponering för pomalidomid var 100,2 % med 90 % konfidensintervall [79,7 % till 127,0 %] hos patienter med svårt nedsatt njurfunktion som inte krävde dialys (KrCl < 30 eller eGFR < 30 ml/minut/1,73 m2) jämfört med patienter med normal njurfunktion. Genomsnittlig normaliserad AUC- exponering för pomalidomid ökade med 35,8 % med en 90 % Cl [7,5 % till 70,0 %] hos patienter med svårt nedsatt njurfunktion som krävde dialys (KrCl < 30 ml/minut som krävde dialys) jämfört med patienter med normal njurfunktion. De genomsnittliga förändringarna i exponeringarna för pomalidomid i var och en av dessa grupper med nedsatt njurfunktion är inte av en omfattning som kräver dosjusteringar.
Nedsatt leverfunktion
De farmakokinetiska parametrarna var måttligt förändrade hos patienter med nedsatt leverfunktion (definierade enligt Child-Pugh-kriterier) jämfört med hos friska försökspersoner. Medelexponeringen för pomalidomid ökade med 51 % med ett 90 %-igt konfidensintervall [9 % till 110 %] hos patienter med lindrigt nedsatt leverfunktiom jämfört med hos friska försökspersoner. Medelexponeringen för pomalidomid ökade med 58 % med ett 90 %-igt konfidensintervall [13 % till 119 %] hos patienter med måttligt nedsatt leverfunktion jämfört med friska försökspersoner. Medelexponeringen för pomalidom ökade med 72 % med ett 90 %-igt konfidensintervall [24 % till 138 %] hos försökspersoner med allvarligt nedsatt leverfunktion. Medelökningarna för exponeringarna för pomalidomid i var och en av dessa grupper med nedsatt funktion är inte i en omfattning som kräver justeringar av schema eller dos (se avsnitt 4.2).
Toxikologistudier med upprepad dos
Ständig administrering av pomalidomid med doser på 50, 250 och 1 000 mg/kg/dag i 6 månader tolererades väl av råttor. Inga negativa fynd noterades upp till 1 000 mg/kg/dag (175-faldig exponeringskvot i relation till en klinisk dos på 4 mg).
Hos apor utvärderades pomalidomid i studier med upprepad dos som pågick i upp till 9 månader. I dessa studier uppvisade apor en större känslighet mot pomalidomideffekter än råttor. De primära toxiciteterna som sågs hos apor associerades med de hematopoetiska/lymforetikulära systemen. I 9‑månadersstudien på apor med doser på 0,05, 0,1 och 1 mg/kg/dag, observerades morbiditet och tidig eutanasi hos 6 djur vid dosen 1 mg/kg/dag och ansågs bero på immunhämmande effekter (stafylokockinfektion, minskat antal lymfocyter i perifert blod, kronisk inflammation i tjocktarmen, histologisk lymfoid brist och hypocellularitet i benmärg) vid höga exponeringar för pomalidomid (15-faldig exponeringsfrekvens i relation till en klinisk dos på 4 mg). Dessa immunhämmande effekter ledde till tidig eutanasi hos 4 apor på grund av dåligt hälsotillstånd (vattnig avföring, aptitlöshet, minskat födointag och viktnedgång); histopatologisk bedömning av dessa djur visade kronisk inflammation i tjocktarmen och atrofierade villi i tunntarmen. Stafylokockinfektion sågs hos 4 apor; 3 av dessa djur svarade på antibiotikabehandling och 1 dog utan behandling. Dessutom ledde fynd som var förenliga med akut myelogen leukemi till eutanasi för 1 apa; kliniska observationer och klinisk patologi och/eller benmärgsförändringar som sågs hos detta djur var förenliga med immunhämning. Minimal eller lindrig gallgångsproliferation med associerade förhöjningar av ALP och GGT observerades också vid 1 mg/kg/dag. Utvärdering av tillfrisknade djur indikerade att alla behandlingsrelaterade fynd var reversibla när det gått 8 veckor efter dosavslutning, utom vad gällde proliferation av intrahepatiska gallgångar som observerades hos 1 djur i gruppen 1 mg/kg/dag. NOAEL (No Observed Adverse Effect Level) var 0,1 mg/kg/dag (0,5-faldig exponeringskvot relaterat till en klinisk dos på 4 mg).
Genotoxicitet/karcinogenicitet
Pomalidomid var inte mutagent i mutationsanalsyer på bakterier och däggdjur, och inducerade inte några kromosomavvikelser i humana perifera blodlymfocyter eller bildande av mikrokärnor i polykromatiska erytrocyter i benmärg på råttor som fick doser på upp till 2 000 mg/kg/dag. Karcinogenicitetsstudier har inte utförts.
Fertilitet och tidig embryoutveckling
I en studie av fertilitet och tidig embryoutveckling på råttor, administrerades pomalidomid till hanar och honor vid doser på 25, 250 och 1 000 mg/kg/dag. Livmoderundersökningar på gestationsdag 13 visade en nedgång i det genomsnittliga antalet viabla embryon och en ökning av postimplantationsförlust vid alla dosnivåer. Därför var NOAEL för dessa observerade effekter <25 mg/kg/dag (AUC 24 timmar var 39 960 ng•timme/ml [nanogram•timme/milliliter] vid den lägsta dosen som testades och exponeringskvoten var 99-faldig i relation till en klinisk dos på 4 mg). När behandlade hanar i denna studie parades med obehandlade honor, var alla livmoderparametrar jämförbara med kontrollerna. Baserat på dessa resultat relaterades de observerade effekterna till behandlingen av honor.
Embryofetal utveckling
Pomalidomid befanns vara teratogent hos både råttor och kaniner när det administrerades under perioden för huvudsaklig organogenes. I den embryofetala utvecklingstoxicitetsstudien på råttor observerades missbildningar i form av frånvaro av urinblåsa, frånvaro av sköldkörtel och sammanväxning och snedhet i länd- och bröstkotdelar (centrala och/eller neurala bågar) vid alla dosnivåer (25, 250 och 1 000 mg/kg/dag).
Ingen toxicitet hos mödrarna observerades i denna studie. Därför var NOAEL för mödrarna 1 000 mg/kg/dag och NOAEL för utvecklingstoxicitet var < 25 mg/kg/dag (AUC24 timmar var 34 340 ng•timme/ml på gestationsdag 17 vid den lägsta testade dosen och exponeringskvoten var 85-faldig i relation till en klinisk dos på 4 mg). Hos kaniner framkallade pomalidomid vid doser på mellan 10 och 250 mg/kg embryofetala utvecklingsmissbildningar. Ökade hjärtanomalier sågs vid alla doser med signifikanta ökningar vid 250 mg/kg/dag. Vid 100 och 250 mg/kg/dag sågs små ökningar i post-implantationsförlust och små sänkningar av fetala kroppsvikter. Vid 250 mg/kg/dag inkluderade fetala missbildningar extremitetsanomalier (böjda och/eller roterade fram- och/eller bakben, ej fastvuxen eller frånvarande tå) och associerade skelettmissbildningar (icke ossifierad metakarpal, sned falanx och metakarpal, saknad tå, icke ossifierad falanx och kort icke ossifierad eller böjd tibia); måttlig dilatation av den laterala ventrikeln i hjärnan; onormal placering av den högra nyckelbensartären; frånvaro av intermediär lob i lungorna; lågt placerad njure; förändrad levermorfologi; ofullständigt eller icke ossifierat bäcken; ett ökat genomsnitt för övertaliga torakala revben och ett reducerat genomsnitt för ossifierade tarsaler. Liten reduktion av moderns viktökning, signifikant reduktion av triglycerider och signifikant sänkning av absoluta och relativa mjältvikter observerades vid 100 och 250 mg/kg/dag. Moderns NOAEL var 10 mg/kg/dag och utvecklings-NOAEL var < 10 mg/kg/dag (AUC24 timmar var 418 ng•timme/ml på gestationsdag 19 vid den lägsta testade dosen, vilket var likartat med den som erhölls från en klinisk dos på 4 mg).
Gelatin
Titandioxid (E171)
Indigotin (E132)
Gul järnoxid (E172)
Erytrosin (E127)
Vitt bläck
Imnovid 3 mg hårda kapslar
Gelatin
Titandioxid (E171)
Indigotin (E132)
Gul järnoxid (E172)
Vitt bläck
Imnovid 4 mg hårda kapslar
Gelatin
Titandioxid (E171)
Indigotin (E132)
Briljantblått FCF (E133)
Vitt bläck
Tryckfärg
Vitt bläck (Imnovid hårda kapslar, alla styrkor)
Shellack
Titandioxid (E171)
Simetikon
Propylenglykol (E1520)
Ammoniumhydroxid (E527)
Svart bläck (Imnovid 1 mg hårda kapslar)
Shellack
Svart järnoxid (E172)
Propylenglykol (E1520)
Ammoniumhydroxid (E527)
Ej relevant.
4 år.
Inga särskilda förvaringsanvisningar.
Kapslarna är förpackade i blister av polyvinylklorid (PVC)/polyklortrifluoreten (PCTFE) med genomtrycksfolie av aluminium.
Förpackning med 14 eller 21 kapslar.
Eventuellt kommer inte alla förpackningsstorlekar att marknadsföras.
Kapslar får inte öppnas eller krossas. Om pulver från pomalidomid kommer i kontakt med huden, ska huden omedelbart tvättas noga med tvål och vatten. Om pomalidomid kommer i kontakt med slemhinnorna ska dessa sköljas noga med vatten.
Hälso- och sjukvårdspersonal samt vårdare ska använda engångshandskar vid hantering av blistern eller kapseln. Handskarna ska sedan tas av försiktigt för att förhindra hudexponering, läggas i en återförslutningsbar plastpåse av polyetylen och kasseras i enlighet med lokala föreskrifter. Därefter ska händerna tvättas noga med tvål och vatten. Kvinnor som är gravida eller misstänker att de kan vara gravida ska inte hantera blistern eller kapseln (se avsnitt 4.4).
Ej använt läkemedel och avfall ska kasseras enligt gällande anvisningar. Överblivet läkemedel måste återlämnas till apoteket när behandlingen är avslutad.
Kapselinnehåll
Mannitol (E421)
Stärkelse, pregelatiniserad
Natriumstearylfumarat
Kapselskalet
Imnovid 1 mg hårda kapslar
Gelatin
Titandioxid (E171)
Indigotin (E132)
Gul järnoxid (E172)
Vitt och svart bläck
Imnovid 2 mg hårda kapslar
Gelatin
Titandioxid (E171)
Indigotin (E132)
Gul järnoxid (E172)
Erytrosin (E127)
Vitt bläck
Imnovid 3 mg hårda kapslar
Gelatin
Titandioxid (E171)
Indigotin (E132)
Gul järnoxid (E172)
Vitt bläck
Imnovid 4 mg hårda kapslar
Gelatin
Titandioxid (E171)
Indigotin (E132)
Briljantblått FCF (E133)
Vitt bläck
Tryckfärg
Vitt bläck (Imnovid hårda kapslar, alla styrkor)
Shellack
Titandioxid (E171)
Simetikon
Propylenglykol (E1520)
Ammoniumhydroxid (E527)
Svart bläck (Imnovid 1 mg hårda kapslar)
Shellack
Svart järnoxid (E172)
Propylenglykol (E1520)
Ammoniumhydroxid (E527)
Ej relevant.
4 år.
Inga särskilda förvaringsanvisningar.
Kapslarna är förpackade i blister av polyvinylklorid (PVC)/polyklortrifluoreten (PCTFE) med genomtrycksfolie av aluminium.
Förpackning med 14 eller 21 kapslar.
Eventuellt kommer inte alla förpackningsstorlekar att marknadsföras.
Kapslar får inte öppnas eller krossas. Om pulver från pomalidomid kommer i kontakt med huden, ska huden omedelbart tvättas noga med tvål och vatten. Om pomalidomid kommer i kontakt med slemhinnorna ska dessa sköljas noga med vatten.
Hälso- och sjukvårdspersonal samt vårdare ska använda engångshandskar vid hantering av blistern eller kapseln. Handskarna ska sedan tas av försiktigt för att förhindra hudexponering, läggas i en återförslutningsbar plastpåse av polyetylen och kasseras i enlighet med lokala föreskrifter. Därefter ska händerna tvättas noga med tvål och vatten. Kvinnor som är gravida eller misstänker att de kan vara gravida ska inte hantera blistern eller kapseln (se avsnitt 4.4).
Ej använt läkemedel och avfall ska kasseras enligt gällande anvisningar. Överblivet läkemedel måste återlämnas till apoteket när behandlingen är avslutad.
EU/1/13/850/008
Imnovid 1 mg hårda kapslar
EU/1/13/850/001
EU/1/13/850/005
Imnovid 2 mg hårda kapslar
EU/1/13/850/002
EU/1/13/850/006
Imnovid 3 mg hårda kapslar
EU/1/13/850/003
EU/1/13/850/007
Imnovid 4 mg hårda kapslar
EU/1/13/850/004
EU/1/13/850/008
Produktresumén är företagets information om läkemedlet riktat till förskrivare och personal inom sjukvård och apotek. Dokumentet är godkända av Läkemedelsverket eller den europeiska läkemedelsmyndigheten EMA i samband med att läkemedlet godkänns för marknadsföring.