Xtandi 40 mg mjuka kapslar
Xtandi - 40 mg mjuka kapslar
En mjuk kapsel innehåller 40 mg enzalutamid.
Hjälpämne med känd effekt
En mjuk kapsel innehåller 57,8 mg sorbitol.
För fullständig förteckning över hjälpämnen, se avsnitt 6.1.
Kapsel, mjuk.
Vita till benvita, avlånga, mjuka kapslar (cirka 20 mm x 9 mm) märkta med “ENZ” i svart färg på ena sidan.
Astellas Pharma Europe B.V.
Sylviusweg 62
2333 BE Leiden
Nederländerna
EU/1/13/846/001
Första godkännandet: 21 juni 2013
Förnyat godkännande: 8 februari 2018
02/2026
Dosering
Rekommenderad dos är 160 mg enzalutamid (fyra 40 mg mjuka kapslar) dagligen som en peroral engångsdos.
Medicinsk kastrering med en luteiniserande hormonfrisättande hormon (LHRH)-analog ska fortsätta vid behandling av patienter med CRPC eller mHSPC som inte är kirurgiskt kastrerade.
Patienter med högrisk BCR nmHSPC kan behandlas med Xtandi med eller utan en LHRH-analog. Hos patienter som får Xtandi med eller utan en LHRH-analog kan uppehåll göras i behandlingen om PSA är odetekterbart (< 0,2 ng/ml) efter 36 veckors behandling. Behandlingen ska återupptas när PSA har ökat till ≥ 2,0 ng/ml hos patienter som tidigare har genomgått radikal prostatektomi eller ≥ 5,0 ng/ml för patienter som tidigare har fått primär strålbehandling. Om PSA är detekterbart (≥ 2,0 ng/ml) efter 36 veckors behandling ska behandlingen fortsätta (se avsnitt 5.1).
Om en patient missar att ta Xtandi vid den vanliga tidpunkten, ska den förskrivna dosen tas så nära den vanliga tiden som möjligt. Om en patient missar en dos under en hel dag, ska behandlingen återupptas nästa dag med den vanliga dagliga dosen.
Om en patient utvecklar toxiska symtom ≥ grad 3 eller en icke tolererbar biverkning, gör ett uppehåll med doseringen i en vecka eller tills symtomen förbättrats till ≤ grad 2. Återuppta sedan samma dos eller, om det är motiverat, en lägre dos (120 mg eller 80 mg).
Samtidig behandling med starka CYP2C8-hämmare
Samtidig användning av starka CYP2C8-hämmare bör om möjligt undvikas. Om patienten måste behandlas samtidigt med starka CYP2C8-hämmare, ska dosen av enzalutamid minskas till 80 mg en gång dagligen. Om samtidig behandling med starka CYP2C8-hämmare avbryts, ska enzalutamid-dosen återgå till den dos som gavs innan behandlingen med den starka CYP2C8-hämmaren påbörjades (se avsnitt 4.5).
Äldre
Ingen dosjustering är nödvändig för äldre patienter (se avsnitt 5.1 och 5.2).
Nedsatt leverfunktion
Ingen dosjustering är nödvändig för patienter med lätt, måttligt eller kraftigt nedsatt leverfunktion (Child‑Pugh klass A, B eller C). En ökad halveringstid av enzalutamid har dock observerats hos patienter med kraftigt nedsatt leverfunktion (se avsnitt 4.4 och 5.2).
Nedsatt njurfunktion
Ingen dosjustering är nödvändig för patienter med lätt till måttligt nedsatt njurfunktion (se avsnitt 5.2). Försiktighet bör iakttas hos patienter med kraftigt nedsatt njurfunktion eller patienter med terminal njursjukdom (se avsnitt 4.4).
Pediatrisk population
Det finns ingen relevant användning av enzalutamid för den pediatriska populationen vid indikationen CRPC, mHSPC eller högrisk BCR nmHSPC hos vuxna män.
Population med sväljsvårigheter/dysfagi i anamnesen
Enzalutamid finns också tillgängligt som tabletter (40 mg och 80 mg) för patienter som har svårt att svälja stora kapslar eller för patienter med dysfagi i anamnesen.
Administreringssätt
Xtandi är avsett för oral användning. De mjuka kapslarna ska inte tuggas, lösas upp eller öppnas. De ska sväljas hela med tillräcklig mängd vatten och kan tas med eller utan mat.
Överkänslighet mot den aktiva substansen eller mot något hjälpämne som anges i avsnitt 6.1.
Kvinnor som är eller kan bli gravida (se avsnitt 4.6 och 6.6).
Risk för krampanfall
Användning av enzalutamid har förknippats med krampanfall (se avsnitt 4.8). Beslutet att fortsätta behandling av patienter som utvecklar krampanfall tas från fall till fall.
Posteriort reversibelt encefalopatisyndrom
Det har förekommit sällsynta rapporter av posteriort reversibelt encefalopatisyndrom (PRES) hos patienter som fått Xtandi (se avsnitt 4.8). PRES är en sällsynt, reversibel, neurologisk sjukdom som kännetecknas av snabbt uppkommande symtom inklusive krampanfall, huvudvärk, förvirring, blindhet och andra syn- och neurologiska störningar, med eller utan åtföljande hypertoni. En diagnos av PRES kräver hjärnavbildning, företrädesvis magnetisk resonanstomografi (MRT). Utsättning av Xtandi hos patienter som utvecklar PRES rekommenderas.
Sekundära maligniteter
Fall av sekundära maligniteter har rapporterats hos patienter som behandlats med enzalutamid i kliniska studier. I kliniska fas 3-studier var de vanligaste rapporterade biverkningarna hos patienter som behandlats med enzalutamid, och vanligare än i placebogrupperna, cancer i urinblåsan (0,3 %), adenokarcinom i tjocktarmen (0,2 %), övergångsepitelcancer (0,2 %) och malignt melanom (0,2 %).
Patienter bör uppmanas att omedelbart kontakta sin läkare vid tecken på gastrointestinal blödning, makroskopisk hematuri eller om symtom som dysuri eller urinträngningar utvecklas under behandling med enzalutamid.
Samtidig behandling med andra läkemedel
Enzalutamid är en potent enzyminducerare och kan ge upphov till effektminskning för många vanligen använda läkemedel (se exempel i avsnitt 4.5). En genomgång av läkemedel som ska ges samtidigt bör därför göras då behandling med enzalutamid påbörjas. Samtidig användning av enzalutamid och läkemedel som utgör känsliga substrat för många metaboliserande enzymer eller transportörer (se avsnitt 4.5) bör i allmänhet undvikas om den terapeutiska effekten av dessa är av stor betydelse för patienten och i fall då dosanpassningar inte är lätta att utföra baserade på effektmonitorering eller plasmakoncentrationer.
Samtidig administrering med warfarin och kumarinliknande antikoagulantia bör undvikas. Om Xtandi administreras samtidigt med en antikoagulantia som metaboliseras via CYP2C9 (såsom warfarin eller acenokumarol) bör ytterligare International Normalised Ratio (INR)-monitorering utföras (se avsnitt 4.5).
Nedsatt njurfunktion
Försiktighet krävs hos patienter med kraftigt nedsatt njurfunktion, eftersom enzalutamid inte har studerats i denna patientgrupp.
Kraftigt nedsatt leverfunktion
En ökad halveringstid för enzalutamid har observerats hos patienter med kraftigt nedsatt leverfunktion, möjligen relaterat till ökad vävnadsdistribution. Den kliniska relevansen av denna observation är okänd. En förlängd tid för att nå steady state koncentrationer kan dock förväntas, och tiden till maximal effekt samt tid för insättande och minskning av enzyminduktion (se avsnitt 4.5) kan öka.
Nyligen genomgången hjärtkärlsjukdom
Fas 3‑studierna exkluderade patienter med nyligen genomgången hjärtinfarkt (de senaste 6 månaderna) eller instabil angina (de senaste 3 månaderna), NYHA (New York Heart Association) klass III eller IV hjärtsvikt förutom om LVEF (Left Ventricular Ejection Fraction) ≥ 45 %, bradykardi eller okontrollerad hypertoni. Detta bör beaktas om Xtandi förskrivs till dessa patienter.
Androgen deprivationsterapi kan förlänga QT-intervallet
För patienter med QT-förlängning i anamnesen eller med riskfaktorer för QT-förlängning samt för patienter som samtidigt behandlas med andra läkemedel som kan förlänga QT-intervallet (se avsnitt 4.5), bör förskrivare bedöma nytta/risk-balansen inklusive risken för Torsades de pointes, innan behandling med Xtandi påbörjas.
Användning med kemoterapi
Säkerheten och effekten vid samtidig användning av Xtandi och cytotoxisk kemoterapi har inte fastställts. Samtidig administrering av enzalutamid har ingen kliniskt relevant effekt på farmakokinetiken för intravenöst docetaxel (se avsnitt 4.5); en ökning av förekomsten av docetaxelinducerad neutropeni kan dock inte uteslutas.
Allvarliga hudreaktioner
Svåra kutana biverkningar (SCARs), inklusive Stevens-Johnsons syndrom, som kan vara livshotande eller dödliga har rapporterats vid behandling med enzalutamid.
Vid förskrivning ska patienter informeras om tecken och symtom, samt noga följas upp med avseende på hudreaktioner.
Om tecken och symtom som tyder på en sådan reaktion uppstår ska enzalutamid sättas ut omgående och en lämplig alternativ behandling övervägas.
Överkänslighetsreaktioner
Överkänslighetsreaktioner manifesterade med symtom som inkluderar, men inte är begränsade till, utslag, eller ansikts-, tung-, läpp- eller faryngealt ödem har observerats med enzalutamid (se avsnitt 4.8).
Xtandi som monoterapi hos patienter med högrisk BCR nmHSPC
Resultat från EMBARK-studien tyder på att Xtandi som monoterapi och i kombination med androgen deprivationsterapi inte är likvärdiga behandlingsalternativ hos patienter med högrisk BCR nmHSPC (se avsnitt 4.8 och 5.1). Xtandi i kombination med androgen deprivationsterapi anses vara det bästa behandlingsalternativet förutom i fall där tillägg av androgen deprivationsterapi kan leda till oacceptabel toxicitet eller risk.
Dysfagi relaterad till produktformulering
Det har förekommit rapporter om patienter som upplever svårigheter att svälja Xtandi, inklusive rapporter om kvävning. Sväljsvårigheterna och kvävningshändelserna har mestadels rapporterats med kapselformuleringen, vilket kan vara förknippat med den större produktstorleken. Patienter ska rådas att svälja kapslarna hela med tillräcklig mängd vatten.
För patienter som har svårt att svälja stora kapslar eller patienter med dysfagi i anamnesen rekommenderas det att använda tablettformuleringar av enzalutamid i stället.
Hjälpämnen
Xtandi innehåller 57,8 mg sorbitol (E420) per mjuk kapsel.
Andra läkemedels potential att påverka enzalutamidexponeringen
CYP2C8-hämmare
CYP2C8 spelar en viktig roll vid elimineringen av enzalutamid och vid bildandet av dess aktiva metabolit. Efter peroral tillförsel av den starka CYP2C8-hämmaren gemfibrozil (600 mg två gånger dagligen) till friska män, ökade AUC för enzalutamid med 326 %, medan Cmax för enzalutamid minskade med 18 %. För summan av obunden enzalutamid plus den obundna aktiva metaboliten, ökade AUC med 77 % medan Cmax minskade med 19 %. Starka hämmare (t.ex. gemfibrozil) av CYP2C8 ska undvikas eller användas med försiktighet vid behandling med enzalutamid. Om patienter måste behandlas samtidigt med en stark CYP2C8-hämmare, ska enzalutamiddosen minskas till 80 mg en gång dagligen (se avsnitt 4.2).
CYP3A4-hämmare
CYP3A4 spelar en mindre roll i metabolismen av enzalutamid. Efter peroral tillförsel av den starka CYP3A4-hämmaren itrakonazol (200 mg en gång dagligen) till friska män, ökade AUC för enzalutamid med 41 % medan Cmax förblev oförändrat. För summan av obunden enzalutamid plus den obundna aktiva metaboliten, ökade AUC med 27 % medan Cmax återigen förblev oförändrat. Ingen dosjustering är nödvändig när Xtandi ges tillsammans med CYP3A4-hämmare.
CYP2C8- och CYP34‑inducerare
Efter oral administrering av den måttliga CYP2C8‑induceraren och starka CYP3A4‑induceraren rifampin (600 mg en gång dagligen) till friska män minskade AUC av enzalutamid plus den aktiva metaboliten med 37 % medan Cmax förblev oförändrat. Ingen dosjustering krävs när Xtandi administreras samtidigt med inducerare av CYP2C8 eller CYP3A4.
Enzalutamids potential att påverka exponeringen för andra läkemedel
Enzyminduktion
Enzalutamid är en potent enzyminducerare och ökar syntesen av många enzymer och transportörer. Interaktion med många vanliga läkemedel som utgör substrat för enzymer eller transportörer kan därför förväntas. Minskningen av plasmakoncentrationer kan vara betydande, och leda till utebliven eller reducerad klinisk effekt. Det finns också en risk för ökad bildning av aktiva metaboliter. Enzymer som kan induceras inkluderar CYP3A i lever och tarm, CYP2B6, CYP2C9, CYP2C19 och uridin-5'-difosfoglukuronosyltransferas (UGTs - glukoronidkonjugerande enzymer). Vissa transportörer kan också induceras, t.ex. MRP2 (multidrug resistance-associated protein 2) och den organiska anjontransporterande polypeptiden 1B1 (OATP1B1).
In vivo-studier har visat att enzalutamid är en stark inducerare av CYP3A4 och en måttlig inducerare av CYP2C9 och CYP2C19. Samtidig administrering av enzalutamid (160 mg en gång dagligen) med enstaka perorala doser av känsliga CYP-substrat till patienter med prostatacancer, resulterade i en minskning av midazolams AUC med 86 % (CYP3A4-substrat), en minskning av S-warfarins AUC med 56 % (CYP2C9-substrat) och en minskning av AUC för omeprazol med 70 % (CYP2C19-substrat). UGT1A1 kan också ha blivit inducerat. I en klinisk studie på patienter med metastaserande CRPC hade Xtandi (160 mg en gång dagligen) ingen kliniskt relevant effekt på farmakokinetiken för intravenöst administrerat docetaxel (75 mg/m2 med infusion var 3:e vecka). AUC för docetaxel minskade med 12 % [geometriskt medelvärde (GMR) = 0,882 (90 % KI: 0,767, 1,02)] medan Cmax minskade med 4 % [GMR = 0,963 (90 % KI: 0,834, 1,11)].
Interaktioner förväntas med vissa läkemedel som elimineras genom metabolism eller aktiv transport. Om deras terapeutiska effekt är av stor betydelse för patienten och dosjustering inte kan utföras baserat på effektmonitorering eller plasmakoncentrationer, ska dessa läkemedel undvikas eller användas med försiktighet. Risken för leverskada efter administrering av paracetamol misstänks vara högre för patienter som samtidigt behandlas med enzyminducerare.
Läkemedelsgrupper som kan påverkas inkluderar, men är inte begränsat till:
Analgetika (t.ex. fentanyl, tramadol)
Antibiotika (t.ex. klaritromycin, doxycyklin)
Cytostatika (t.ex. kabazitaxel)
Antiepileptika (t.ex. karbamazepin, klonazepam, fenytoin, primidon, valproinsyra)
Antipsykotika (t.ex. haloperidol)
Antitrombotiska läkemedel (t.ex. acenokumarol, warfarin, klopidogrel)
Betablockerare (t.ex. bisoprolol, propranolol)
Kalciumantagonister (t.ex. diltiazem, felodipin, nikardipin, nifedipin, verapamil)
Hjärtglykosider (t.ex. digoxin)
Kortikosteroider (t.ex. dexametason, prednisolon)
Hiv-antivirala medel (t.ex. indinavir, ritonavir)
Sömnmedel (t.ex. diazepam, midazolam, zolpidem)
Immunhämmande läkemedel (t.ex. takrolimus)
Protonpumpshämmare (t.ex. omeprazol)
Statiner metaboliserade via CYP3A4 (t.ex. atorvastatin, simvastatin)
Sköldkörtelmedel (t.ex. levotyroxin)
Enzalutamids fullständiga induktionspotential kan först efter ungefär 1 månad efter behandlingsstart visa sig, när steady state plasmakoncentrationer för enzalutamid har uppnåtts. Viss induktionseffekt kan dock visa sig tidigare. Patienter som tar läkemedel som är substrat till CYP2B6, CYP3A4, CYP2C9, CYP2C19 eller UGT1A1 ska utvärderas för eventuell förlust av farmakologiska effekter (eller effektökning i de fall aktiva metaboliter bildas) under den första månaden med enzalutamidbehandling och dosjusteringar bör övervägas när så är lämpligt. Med hänsyn till den långa halveringstiden för enzalutamid (5,8 dagar, se avsnitt 5.2), kan effekterna på enzymer kvarstå i en månad eller längre efter avslutad enzalutamidbehandling. En gradvis dosminskning av det läkemedel som tas samtidigt kan vara nödvändig när behandlingen med enzalutamid avslutas.
CYP1A2- och CYP2C8-substrat
Enzalutamid (160 mg en gång dagligen) förorsakade inte någon kliniskt relevant förändring i AUC eller Cmax för koffein (CYP1A2‑substrat) eller pioglitazon (CYP2C8-substrat). AUC för pioglitazon ökade med 20 % medan Cmax minskade med 18 %. AUC och Cmax för koffein minskade med 11 % respektive 4 %. Ingen dosjustering är indicerad när CYP1A2- eller CYP2C8-substrat ges samtidigt med Xtandi.
P-gp-substrat
In vitro-data tyder på att enzalutamid kan vara en hämmare av transportproteinet P-gp. En mild hämmande effekt av enzalutamid på P-gp vid steady state observerades i en studie på patienter med prostatacancer som fick en peroral singeldos av P-gp-substratet digoxin före och samtidigt som enzalutamid (samtidig administrering följde efter minst 55 dagar med 160 mg enzalutamid en gång dagligen). Plasmanivåerna av digoxin uppmättes med hjälp av en validerad analys av vätskekromatografi med tandem-masspektrometri. AUC och Cmax för digoxin ökade med 33 % respektive 17 %. Läkemedel med ett smalt terapeutiskt intervall och som är P-gp-substrat (t.ex. kolkicin, dabigatranetexilat, digoxin) ska användas med försiktighet när de ges samtidigt med Xtandi vilket kan kräva en dosjustering för att upprätthålla optimala plasmakoncentrationer.
Interferens med laboratorietester
Falskt förhöjda plasmanivåer av digoxin vid CMIA-analys (chemiluminescent microparticle immunoassay) har identifierats hos patienter som har behandlats med enzalutamid, oberoende av om de behandlas med digoxin. Därför ska resultat av digoxinnivåer i plasma som erhållits genom CMIA tolkas med försiktighet och bekräftas med en annan typ av analys innan någon åtgärd vidtas med
digoxindoser.
BCRP-substrat
Vid steady state orsakade enzalutamid inte någon klinisk relevant förändring av exponeringen för substratet för det bröstcancerresistenta proteinet (BCRP) rosuvastatin hos patienter med prostatacancer som fick en peroral singeldos rosuvastatin före och samtidigt som enzalutamid (samtidig administrering följde efter minst 55 dagar med 160 mg enzalutamid en gång dagligen). AUC för rosuvastatin minskade med 14 % medan Cmax ökade med 6 %. Ingen dosjustering krävs när ett BCRP-substrat administreras samtidigt som Xtandi.
MRP2-, OAT3- och OCT1-substrat
Baserat på in vitro-data, kan inhibering av MRP2 (i tarmarna), liksom organiska anjontransportören 3 (OAT3) och organiska katjontransportören 1 (OCT1) (systemiskt) inte uteslutas. Teoretiskt kan induktion av dessa transportörer också vara möjlig och nettoeffekten är för närvarande okänd.
Läkemedel som förlänger QT-intervallet
Eftersom androgen deprivationsterapi kan förlänga QT-intervallet, bör en noggrann övervägning göras av samtidig användning av Xtandi med läkemedel som förlänger QT-intervallet, eller med läkemedel som kan framkalla Torsades de pointes såsom klass IA antiarytmika (t.ex. kinidin, disopyramid) eller klass IIIA antiarytmika (t.ex. amiodaron, sotalol, dofetilid, ibutilid), metadon, moxifloxacin, antipsykotika m.fl. (se avsnitt 4.4).
Effekten av mat på exponering för enzalutamid
Mat har inte någon klinisk signifikant effekt på omfattningen av exponeringen för enzalutamid. Xtandi gavs utan hänsyn till mat i de kliniska prövningarna.
Fertila kvinnor
Det finns inga humandata för användning av Xtandi vid graviditet och detta läkemedel ska inte användas av fertila kvinnor. Det här läkemedlet kan orsaka skada på det ofödda barnet eller potentiellt orsaka spontanabort om det tas av gravida kvinnor (se avsnitt 4.3, 5.3 och 6.6).
Preventivmedel för män och kvinnor
Det är inte känt huruvida enzalutamid eller dess metaboliter förekommer i sädesvätska. Kondom krävs under behandling och i 3 månader efter behandling med enzalutamid om patienten är sexuellt aktiv med en gravid kvinna. Om patienten har samlag med en fertil kvinna måste kondom och annan form av preventivmedel användas under behandling och i 3 månader efter behandling. Djurstudier har visat reproduktionstoxikologiska effekter (se avsnitt 5.3).
Graviditet
Enzalutamid ska inte användas av kvinnor. Enzalutamid är kontraindicerat hos kvinnor som är eller kan bli gravida (se avsnitt 4.3, 5.3 och 6.6).
Amning
Enzalutamid ska inte användas av kvinnor. Det är inte känt huruvida enzalutamid återfinns i bröstmjölk. Enzalutamid och/eller dess metaboliter utsöndras i mjölk hos råttor (se avsnitt 5.3).
Fertilitet
Djurstudier visade att enzalutamid påverkade reproduktionssystemet hos hanråttor och hundar (se avsnitt 5.3).
Xtandi kan ha måttlig effekt på förmågan att framföra fordon och använda maskiner, eftersom psykiatriska och neurologiska biverkningar, inkluderande krampanfall, har rapporterats (se avsnitt 4.8). Patienter bör upplysas om den potentiella risken för att psykiatriska eller neurologiska händelser inträffar när de kör bil eller framför fordon. Inga studier har utförts för att utvärdera enzalutamids effekter på förmågan att framföra fordon och använda maskiner.
Sammanfattning av säkerhetsprofilen
De vanligaste biverkningarna är asteni/trötthet, värmevallningar, hypertoni, frakturer, fall och huvudvärk. Andra viktiga biverkningar omfattar ischemisk hjärtsjukdom och krampanfall.
Krampanfall inträffade hos 0,6 % av de enzalutamidbehandlade patienterna, hos 0,1 % av de placebobehandlade patienterna och hos 0,3 % av de bikalutamidbehandlade patienterna.
Sällsynta fall med posteriort reversibelt encefalopatisyndrom har rapporterats hos enzalutamidbehandlade patienter (se avsnitt 4.4).
Stevens-Johnsons syndrom har rapporterats vid behandling med enzalutamid (se avsnitt 4.4).
Lista över biverkningar i tabellform
Biverkningar observerade under kliniska studier har listats nedan efter frekvens. Frekvenskategorierna definieras enligt följande: mycket vanliga (≥ 1/10), vanliga (≥ 1/100, < 1/10), mindre vanliga (≥ 1/1 000, < 1/100), sällsynta (≥ 1/10 000, < 1/1 000), mycket sällsynta (< 1/10 000); ingen känd frekvens (kan inte beräknas från tillgängliga data). Inom varje frekvensgrupp visas biverkningarna efter fallande allvarlighetsgrad.
* Spontanrapporter efter marknadsintroduktion.
¥ Utvärderade genom avgränsade SMQs (Standardised MedDRA Queries) med "konvulsioner", inklusive krampanfall, grand mal kramper, komplexa partiella anfall, partiella anfall och status epilepticus. Detta inkluderar sällsynta fall av kramper med komplikationer som leder till död.
† Utvärderade genom avgränsade SMQs med "hjärtinfarkt" och "andra ischemiska hjärtsjukdomar", inklusive följande föredragna termer som observerades hos minst två patienter i randomiserade placebokontrollerade fas 3-studier: angina pectoris, kranskärlssjukdom, hjärtinfarkt, akut hjärtinfarkt, akut kranskärlsyndrom, instabilt angina, myokardiell ischemi och åderförkalkning av kransartärerna
‡ Inkluderar alla föredragna termer med ordet ”fraktur” av skelettet.
# Biverkningar för enzalutamid som monoterapi.
∞ Det har förekommit rapporter om dysfagi, inklusive rapporter om kvävning. Båda händelserna har mestadels rapporterats med kapselformuleringen, vilket kan vara förknippat med den större produktstorleken (se avsnitt 4.4).
Beskrivning av utvalda biverkningar
Krampanfall
I de kontrollerade kliniska studierna drabbades 31 av 5 112 patienter (0,6 %) av ett krampanfall efter behandling med en daglig dos om 160 mg enzalutamid, medan fyra patienter (0,1 %) som fick placebo och en patient (0,3 %) som fick bikalutamid, drabbades av ett krampanfall. Dos tycks vara en viktig prediktor för risken för krampanfall som speglas i prekliniska data, och data från en doseskaleringsstudie. I de kontrollerade kliniska studierna exkluderades patienter med tidigare krampanfall eller riskfaktorer för krampanfall.
I den enarmade studien 9785-CL-0403 (UPWARD), avsedd att utvärdera incidensen av krampanfall hos patienter med predisponerande faktorer för krampanfall (varav 1,6 % hade en anamnes med krampanfall), fick 8 av 366 patienter (2,2 %) behandlade med enzalutamid ett krampanfall. Medianen för behandlingens längd var 9,3 månader.
Mekanismen för varför enzalutamid kan sänka kramptröskeln är inte känd, men kan ha ett samband med data från in vitro-studier som visar att enzalutamid och dess aktiva metabolit binder till och kan hämma aktiviteten för GABA-kloridkanalen.
Ischemisk hjärtsjukdom
I randomiserade placebokontrollerade kliniska studier inträffade ischemisk hjärtsjukdom hos 3,5 % av patienterna behandlade med enzalutamid plus ADT jämfört med 2,1 % av patienterna behandlade med placebo plus ADT. Femton (0,4 %) patienter behandlade med enzalutamid plus ADT och 3 (0,1 %) patienter behandlade med placebo plus ADT fick ischemisk hjärtsjukdom med dödlig utgång.
I EMBARK-studien förekom ischemisk hjärtsjukdom hos 6,2 % av patienterna behandlade med enzalutamid plus leuprorelin och hos 10,7 % av patienterna behandlade med enzalutamid som monoterapi. En (0,3 %) patient behandlad med enzalutamid plus leuprorelin, en (0,3 %) patient behandlad med placebo plus leuprorelin och en (0,3 %) patient behandlad med enzalutamid som monoterapi fick ischemisk hjärtsjukdom med dödlig utgång.
Gynekomasti
I EMBARK-studien observerades gynekomasti (alla grader) hos 31 av 353 patienter (8,8 %) behandlade med enzalutamid plus leuprorelin och hos 163 av 354 patienter (46 %) behandlade med enzalutamid som monoterapi. Gynekomasti av grad 3 eller högre observerades inte hos någon patient behandlad med enzalutamid plus leuprorelin, men hos 1 patient (0,3 %) behandlad med placebo plus leuprorelin och 3 patienter (0,8 %) behandlade med enzalutamid som monoterapi.
Smärta i bröstvårtorna
I EMBARK-studien observerades smärta i bröstvårtorna (alla grader) hos 13 av 353 patienter (3,7 %) behandlade med enzalutamid plus leuprorelin och hos 54 av 354 patienter (15,3 %) behandlade med enzalutamid som monoterapi. Smärta i bröstvårtorna av grad 3 eller högre observerades inte hos någon patient behandlad med enzalutamid plus leuprorelin eller med enzalutamid som monoterapi.
Ömhet i brösten
I EMBARK-studien observerades ömhet i brösten (alla grader) hos 4 av 353 patienter (1,1 %) behandlade med enzalutamid plus leuprorelin och hos 51 av 354 patienter (14,4 %) behandlade med enzalutamid som monoterapi. Ömhet i brösten av grad 3 eller högre observerades inte hos någon patient behandlad med enzalutamid plus leuprorelin eller med enzalutamid som monoterapi.
Det finns ingen antidot mot enzalutamid. I händelse av en överdos, avsluta behandlingen med enzalutamid och initiera allmänna understödjande åtgärder där hänsyn tas till att halveringstiden är 5,8 dagar. Patienter kan ha en ökad risk för krampanfall efter en överdos.
Xtandi är avsett för:
som monoterapi eller i kombination med androgen deprivationsterapi för behandling av högrisk biokemiskt recidiverad (BCR) icke-metastaserad hormonkänslig prostatacancer (nmHSPC) hos vuxna män som är olämpliga för salvage-strålbehandling (se avsnitt 5.1).
i kombination med androgen deprivationsterapi för behandling av metastaserad hormonkänslig prostatacancer (mHSPC) hos vuxna män (se avsnitt 5.1).
för behandling av högrisk icke-metastaserad kastrationsresistent prostatacancer (CRPC) hos vuxna män (se avsnitt 5.1).
för behandling av metastaserad CRPC hos vuxna män som är asymtomatiska eller har milda symtom efter svikt på androgen deprivationsterapi och hos vilka kemoterapi ännu inte är kliniskt indicerat (se avsnitt 5.1).
för behandling av metastaserad CRPC hos vuxna män vars sjukdom har progredierat under eller efter docetaxelbehandling.
Behandling med enzalutamid bör påbörjas och övervakas av specialistläkare med erfarenhet av medicinsk behandling av prostatacancer.
Dosering
Rekommenderad dos är 160 mg enzalutamid (fyra 40 mg mjuka kapslar) dagligen som en peroral engångsdos.
Medicinsk kastrering med en luteiniserande hormonfrisättande hormon (LHRH)-analog ska fortsätta vid behandling av patienter med CRPC eller mHSPC som inte är kirurgiskt kastrerade.
Patienter med högrisk BCR nmHSPC kan behandlas med Xtandi med eller utan en LHRH-analog. Hos patienter som får Xtandi med eller utan en LHRH-analog kan uppehåll göras i behandlingen om PSA är odetekterbart (< 0,2 ng/ml) efter 36 veckors behandling. Behandlingen ska återupptas när PSA har ökat till ≥ 2,0 ng/ml hos patienter som tidigare har genomgått radikal prostatektomi eller ≥ 5,0 ng/ml för patienter som tidigare har fått primär strålbehandling. Om PSA är detekterbart (≥ 2,0 ng/ml) efter 36 veckors behandling ska behandlingen fortsätta (se avsnitt 5.1).
Om en patient missar att ta Xtandi vid den vanliga tidpunkten, ska den förskrivna dosen tas så nära den vanliga tiden som möjligt. Om en patient missar en dos under en hel dag, ska behandlingen återupptas nästa dag med den vanliga dagliga dosen.
Om en patient utvecklar toxiska symtom ≥ grad 3 eller en icke tolererbar biverkning, gör ett uppehåll med doseringen i en vecka eller tills symtomen förbättrats till ≤ grad 2. Återuppta sedan samma dos eller, om det är motiverat, en lägre dos (120 mg eller 80 mg).
Samtidig behandling med starka CYP2C8-hämmare
Samtidig användning av starka CYP2C8-hämmare bör om möjligt undvikas. Om patienten måste behandlas samtidigt med starka CYP2C8-hämmare, ska dosen av enzalutamid minskas till 80 mg en gång dagligen. Om samtidig behandling med starka CYP2C8-hämmare avbryts, ska enzalutamid-dosen återgå till den dos som gavs innan behandlingen med den starka CYP2C8-hämmaren påbörjades (se avsnitt 4.5).
Äldre
Ingen dosjustering är nödvändig för äldre patienter (se avsnitt 5.1 och 5.2).
Nedsatt leverfunktion
Ingen dosjustering är nödvändig för patienter med lätt, måttligt eller kraftigt nedsatt leverfunktion (Child‑Pugh klass A, B eller C). En ökad halveringstid av enzalutamid har dock observerats hos patienter med kraftigt nedsatt leverfunktion (se avsnitt 4.4 och 5.2).
Nedsatt njurfunktion
Ingen dosjustering är nödvändig för patienter med lätt till måttligt nedsatt njurfunktion (se avsnitt 5.2). Försiktighet bör iakttas hos patienter med kraftigt nedsatt njurfunktion eller patienter med terminal njursjukdom (se avsnitt 4.4).
Pediatrisk population
Det finns ingen relevant användning av enzalutamid för den pediatriska populationen vid indikationen CRPC, mHSPC eller högrisk BCR nmHSPC hos vuxna män.
Population med sväljsvårigheter/dysfagi i anamnesen
Enzalutamid finns också tillgängligt som tabletter (40 mg och 80 mg) för patienter som har svårt att svälja stora kapslar eller för patienter med dysfagi i anamnesen.
Administreringssätt
Xtandi är avsett för oral användning. De mjuka kapslarna ska inte tuggas, lösas upp eller öppnas. De ska sväljas hela med tillräcklig mängd vatten och kan tas med eller utan mat.
Överkänslighet mot den aktiva substansen eller mot något hjälpämne som anges i avsnitt 6.1.
Kvinnor som är eller kan bli gravida (se avsnitt 4.6 och 6.6).
Risk för krampanfall
Användning av enzalutamid har förknippats med krampanfall (se avsnitt 4.8). Beslutet att fortsätta behandling av patienter som utvecklar krampanfall tas från fall till fall.
Posteriort reversibelt encefalopatisyndrom
Det har förekommit sällsynta rapporter av posteriort reversibelt encefalopatisyndrom (PRES) hos patienter som fått Xtandi (se avsnitt 4.8). PRES är en sällsynt, reversibel, neurologisk sjukdom som kännetecknas av snabbt uppkommande symtom inklusive krampanfall, huvudvärk, förvirring, blindhet och andra syn- och neurologiska störningar, med eller utan åtföljande hypertoni. En diagnos av PRES kräver hjärnavbildning, företrädesvis magnetisk resonanstomografi (MRT). Utsättning av Xtandi hos patienter som utvecklar PRES rekommenderas.
Sekundära maligniteter
Fall av sekundära maligniteter har rapporterats hos patienter som behandlats med enzalutamid i kliniska studier. I kliniska fas 3-studier var de vanligaste rapporterade biverkningarna hos patienter som behandlats med enzalutamid, och vanligare än i placebogrupperna, cancer i urinblåsan (0,3 %), adenokarcinom i tjocktarmen (0,2 %), övergångsepitelcancer (0,2 %) och malignt melanom (0,2 %).
Patienter bör uppmanas att omedelbart kontakta sin läkare vid tecken på gastrointestinal blödning, makroskopisk hematuri eller om symtom som dysuri eller urinträngningar utvecklas under behandling med enzalutamid.
Samtidig behandling med andra läkemedel
Enzalutamid är en potent enzyminducerare och kan ge upphov till effektminskning för många vanligen använda läkemedel (se exempel i avsnitt 4.5). En genomgång av läkemedel som ska ges samtidigt bör därför göras då behandling med enzalutamid påbörjas. Samtidig användning av enzalutamid och läkemedel som utgör känsliga substrat för många metaboliserande enzymer eller transportörer (se avsnitt 4.5) bör i allmänhet undvikas om den terapeutiska effekten av dessa är av stor betydelse för patienten och i fall då dosanpassningar inte är lätta att utföra baserade på effektmonitorering eller plasmakoncentrationer.
Samtidig administrering med warfarin och kumarinliknande antikoagulantia bör undvikas. Om Xtandi administreras samtidigt med en antikoagulantia som metaboliseras via CYP2C9 (såsom warfarin eller acenokumarol) bör ytterligare International Normalised Ratio (INR)-monitorering utföras (se avsnitt 4.5).
Nedsatt njurfunktion
Försiktighet krävs hos patienter med kraftigt nedsatt njurfunktion, eftersom enzalutamid inte har studerats i denna patientgrupp.
Kraftigt nedsatt leverfunktion
En ökad halveringstid för enzalutamid har observerats hos patienter med kraftigt nedsatt leverfunktion, möjligen relaterat till ökad vävnadsdistribution. Den kliniska relevansen av denna observation är okänd. En förlängd tid för att nå steady state koncentrationer kan dock förväntas, och tiden till maximal effekt samt tid för insättande och minskning av enzyminduktion (se avsnitt 4.5) kan öka.
Nyligen genomgången hjärtkärlsjukdom
Fas 3‑studierna exkluderade patienter med nyligen genomgången hjärtinfarkt (de senaste 6 månaderna) eller instabil angina (de senaste 3 månaderna), NYHA (New York Heart Association) klass III eller IV hjärtsvikt förutom om LVEF (Left Ventricular Ejection Fraction) ≥ 45 %, bradykardi eller okontrollerad hypertoni. Detta bör beaktas om Xtandi förskrivs till dessa patienter.
Androgen deprivationsterapi kan förlänga QT-intervallet
För patienter med QT-förlängning i anamnesen eller med riskfaktorer för QT-förlängning samt för patienter som samtidigt behandlas med andra läkemedel som kan förlänga QT-intervallet (se avsnitt 4.5), bör förskrivare bedöma nytta/risk-balansen inklusive risken för Torsades de pointes, innan behandling med Xtandi påbörjas.
Användning med kemoterapi
Säkerheten och effekten vid samtidig användning av Xtandi och cytotoxisk kemoterapi har inte fastställts. Samtidig administrering av enzalutamid har ingen kliniskt relevant effekt på farmakokinetiken för intravenöst docetaxel (se avsnitt 4.5); en ökning av förekomsten av docetaxelinducerad neutropeni kan dock inte uteslutas.
Allvarliga hudreaktioner
Svåra kutana biverkningar (SCARs), inklusive Stevens-Johnsons syndrom, som kan vara livshotande eller dödliga har rapporterats vid behandling med enzalutamid.
Vid förskrivning ska patienter informeras om tecken och symtom, samt noga följas upp med avseende på hudreaktioner.
Om tecken och symtom som tyder på en sådan reaktion uppstår ska enzalutamid sättas ut omgående och en lämplig alternativ behandling övervägas.
Överkänslighetsreaktioner
Överkänslighetsreaktioner manifesterade med symtom som inkluderar, men inte är begränsade till, utslag, eller ansikts-, tung-, läpp- eller faryngealt ödem har observerats med enzalutamid (se avsnitt 4.8).
Xtandi som monoterapi hos patienter med högrisk BCR nmHSPC
Resultat från EMBARK-studien tyder på att Xtandi som monoterapi och i kombination med androgen deprivationsterapi inte är likvärdiga behandlingsalternativ hos patienter med högrisk BCR nmHSPC (se avsnitt 4.8 och 5.1). Xtandi i kombination med androgen deprivationsterapi anses vara det bästa behandlingsalternativet förutom i fall där tillägg av androgen deprivationsterapi kan leda till oacceptabel toxicitet eller risk.
Dysfagi relaterad till produktformulering
Det har förekommit rapporter om patienter som upplever svårigheter att svälja Xtandi, inklusive rapporter om kvävning. Sväljsvårigheterna och kvävningshändelserna har mestadels rapporterats med kapselformuleringen, vilket kan vara förknippat med den större produktstorleken. Patienter ska rådas att svälja kapslarna hela med tillräcklig mängd vatten.
För patienter som har svårt att svälja stora kapslar eller patienter med dysfagi i anamnesen rekommenderas det att använda tablettformuleringar av enzalutamid i stället.
Hjälpämnen
Xtandi innehåller 57,8 mg sorbitol (E420) per mjuk kapsel.
Andra läkemedels potential att påverka enzalutamidexponeringen
CYP2C8-hämmare
CYP2C8 spelar en viktig roll vid elimineringen av enzalutamid och vid bildandet av dess aktiva metabolit. Efter peroral tillförsel av den starka CYP2C8-hämmaren gemfibrozil (600 mg två gånger dagligen) till friska män, ökade AUC för enzalutamid med 326 %, medan Cmax för enzalutamid minskade med 18 %. För summan av obunden enzalutamid plus den obundna aktiva metaboliten, ökade AUC med 77 % medan Cmax minskade med 19 %. Starka hämmare (t.ex. gemfibrozil) av CYP2C8 ska undvikas eller användas med försiktighet vid behandling med enzalutamid. Om patienter måste behandlas samtidigt med en stark CYP2C8-hämmare, ska enzalutamiddosen minskas till 80 mg en gång dagligen (se avsnitt 4.2).
CYP3A4-hämmare
CYP3A4 spelar en mindre roll i metabolismen av enzalutamid. Efter peroral tillförsel av den starka CYP3A4-hämmaren itrakonazol (200 mg en gång dagligen) till friska män, ökade AUC för enzalutamid med 41 % medan Cmax förblev oförändrat. För summan av obunden enzalutamid plus den obundna aktiva metaboliten, ökade AUC med 27 % medan Cmax återigen förblev oförändrat. Ingen dosjustering är nödvändig när Xtandi ges tillsammans med CYP3A4-hämmare.
CYP2C8- och CYP34‑inducerare
Efter oral administrering av den måttliga CYP2C8‑induceraren och starka CYP3A4‑induceraren rifampin (600 mg en gång dagligen) till friska män minskade AUC av enzalutamid plus den aktiva metaboliten med 37 % medan Cmax förblev oförändrat. Ingen dosjustering krävs när Xtandi administreras samtidigt med inducerare av CYP2C8 eller CYP3A4.
Enzalutamids potential att påverka exponeringen för andra läkemedel
Enzyminduktion
Enzalutamid är en potent enzyminducerare och ökar syntesen av många enzymer och transportörer. Interaktion med många vanliga läkemedel som utgör substrat för enzymer eller transportörer kan därför förväntas. Minskningen av plasmakoncentrationer kan vara betydande, och leda till utebliven eller reducerad klinisk effekt. Det finns också en risk för ökad bildning av aktiva metaboliter. Enzymer som kan induceras inkluderar CYP3A i lever och tarm, CYP2B6, CYP2C9, CYP2C19 och uridin-5'-difosfoglukuronosyltransferas (UGTs - glukoronidkonjugerande enzymer). Vissa transportörer kan också induceras, t.ex. MRP2 (multidrug resistance-associated protein 2) och den organiska anjontransporterande polypeptiden 1B1 (OATP1B1).
In vivo-studier har visat att enzalutamid är en stark inducerare av CYP3A4 och en måttlig inducerare av CYP2C9 och CYP2C19. Samtidig administrering av enzalutamid (160 mg en gång dagligen) med enstaka perorala doser av känsliga CYP-substrat till patienter med prostatacancer, resulterade i en minskning av midazolams AUC med 86 % (CYP3A4-substrat), en minskning av S-warfarins AUC med 56 % (CYP2C9-substrat) och en minskning av AUC för omeprazol med 70 % (CYP2C19-substrat). UGT1A1 kan också ha blivit inducerat. I en klinisk studie på patienter med metastaserande CRPC hade Xtandi (160 mg en gång dagligen) ingen kliniskt relevant effekt på farmakokinetiken för intravenöst administrerat docetaxel (75 mg/m2 med infusion var 3:e vecka). AUC för docetaxel minskade med 12 % [geometriskt medelvärde (GMR) = 0,882 (90 % KI: 0,767, 1,02)] medan Cmax minskade med 4 % [GMR = 0,963 (90 % KI: 0,834, 1,11)].
Interaktioner förväntas med vissa läkemedel som elimineras genom metabolism eller aktiv transport. Om deras terapeutiska effekt är av stor betydelse för patienten och dosjustering inte kan utföras baserat på effektmonitorering eller plasmakoncentrationer, ska dessa läkemedel undvikas eller användas med försiktighet. Risken för leverskada efter administrering av paracetamol misstänks vara högre för patienter som samtidigt behandlas med enzyminducerare.
Läkemedelsgrupper som kan påverkas inkluderar, men är inte begränsat till:
Analgetika (t.ex. fentanyl, tramadol)
Antibiotika (t.ex. klaritromycin, doxycyklin)
Cytostatika (t.ex. kabazitaxel)
Antiepileptika (t.ex. karbamazepin, klonazepam, fenytoin, primidon, valproinsyra)
Antipsykotika (t.ex. haloperidol)
Antitrombotiska läkemedel (t.ex. acenokumarol, warfarin, klopidogrel)
Betablockerare (t.ex. bisoprolol, propranolol)
Kalciumantagonister (t.ex. diltiazem, felodipin, nikardipin, nifedipin, verapamil)
Hjärtglykosider (t.ex. digoxin)
Kortikosteroider (t.ex. dexametason, prednisolon)
Hiv-antivirala medel (t.ex. indinavir, ritonavir)
Sömnmedel (t.ex. diazepam, midazolam, zolpidem)
Immunhämmande läkemedel (t.ex. takrolimus)
Protonpumpshämmare (t.ex. omeprazol)
Statiner metaboliserade via CYP3A4 (t.ex. atorvastatin, simvastatin)
Enzalutamids fullständiga induktionspotential kan först efter ungefär 1 månad efter behandlingsstart visa sig, när steady state plasmakoncentrationer för enzalutamid har uppnåtts. Viss induktionseffekt kan dock visa sig tidigare. Patienter som tar läkemedel som är substrat till CYP2B6, CYP3A4, CYP2C9, CYP2C19 eller UGT1A1 ska utvärderas för eventuell förlust av farmakologiska effekter (eller effektökning i de fall aktiva metaboliter bildas) under den första månaden med enzalutamidbehandling och dosjusteringar bör övervägas när så är lämpligt. Med hänsyn till den långa halveringstiden för enzalutamid (5,8 dagar, se avsnitt 5.2), kan effekterna på enzymer kvarstå i en månad eller längre efter avslutad enzalutamidbehandling. En gradvis dosminskning av det läkemedel som tas samtidigt kan vara nödvändig när behandlingen med enzalutamid avslutas.
CYP1A2- och CYP2C8-substrat
Enzalutamid (160 mg en gång dagligen) förorsakade inte någon kliniskt relevant förändring i AUC eller Cmax för koffein (CYP1A2‑substrat) eller pioglitazon (CYP2C8-substrat). AUC för pioglitazon ökade med 20 % medan Cmax minskade med 18 %. AUC och Cmax för koffein minskade med 11 % respektive 4 %. Ingen dosjustering är indicerad när CYP1A2- eller CYP2C8-substrat ges samtidigt med Xtandi.
P-gp-substrat
In vitro-data tyder på att enzalutamid kan vara en hämmare av transportproteinet P-gp. En mild hämmande effekt av enzalutamid på P-gp vid steady state observerades i en studie på patienter med prostatacancer som fick en peroral singeldos av P-gp-substratet digoxin före och samtidigt som enzalutamid (samtidig administrering följde efter minst 55 dagar med 160 mg enzalutamid en gång dagligen). Plasmanivåerna av digoxin uppmättes med hjälp av en validerad analys av vätskekromatografi med tandem-masspektrometri. AUC och Cmax för digoxin ökade med 33 % respektive 17 %. Läkemedel med ett smalt terapeutiskt intervall och som är P-gp-substrat (t.ex. kolkicin, dabigatranetexilat, digoxin) ska användas med försiktighet när de ges samtidigt med Xtandi vilket kan kräva en dosjustering för att upprätthålla optimala plasmakoncentrationer.
Interferens med laboratorietester
Falskt förhöjda plasmanivåer av digoxin vid CMIA-analys (chemiluminescent microparticle immunoassay) har identifierats hos patienter som har behandlats med enzalutamid, oberoende av om de behandlas med digoxin. Därför ska resultat av digoxinnivåer i plasma som erhållits genom CMIA tolkas med försiktighet och bekräftas med en annan typ av analys innan någon åtgärd vidtas med
digoxindoser.
BCRP-substrat
Vid steady state orsakade enzalutamid inte någon klinisk relevant förändring av exponeringen för substratet för det bröstcancerresistenta proteinet (BCRP) rosuvastatin hos patienter med prostatacancer som fick en peroral singeldos rosuvastatin före och samtidigt som enzalutamid (samtidig administrering följde efter minst 55 dagar med 160 mg enzalutamid en gång dagligen). AUC för rosuvastatin minskade med 14 % medan Cmax ökade med 6 %. Ingen dosjustering krävs när ett BCRP-substrat administreras samtidigt som Xtandi.
MRP2-, OAT3- och OCT1-substrat
Baserat på in vitro-data, kan inhibering av MRP2 (i tarmarna), liksom organiska anjontransportören 3 (OAT3) och organiska katjontransportören 1 (OCT1) (systemiskt) inte uteslutas. Teoretiskt kan induktion av dessa transportörer också vara möjlig och nettoeffekten är för närvarande okänd.
Läkemedel som förlänger QT-intervallet
Eftersom androgen deprivationsterapi kan förlänga QT-intervallet, bör en noggrann övervägning göras av samtidig användning av Xtandi med läkemedel som förlänger QT-intervallet, eller med läkemedel som kan framkalla Torsades de pointes såsom klass IA antiarytmika (t.ex. kinidin, disopyramid) eller klass IIIA antiarytmika (t.ex. amiodaron, sotalol, dofetilid, ibutilid), metadon, moxifloxacin, antipsykotika m.fl. (se avsnitt 4.4).
Effekten av mat på exponering för enzalutamid
Mat har inte någon klinisk signifikant effekt på omfattningen av exponeringen för enzalutamid. Xtandi gavs utan hänsyn till mat i de kliniska prövningarna.
Fertila kvinnor
Det finns inga humandata för användning av Xtandi vid graviditet och detta läkemedel ska inte användas av fertila kvinnor. Det här läkemedlet kan orsaka skada på det ofödda barnet eller potentiellt orsaka spontanabort om det tas av gravida kvinnor (se avsnitt 4.3, 5.3 och 6.6).
Preventivmedel för män och kvinnor
Det är inte känt huruvida enzalutamid eller dess metaboliter förekommer i sädesvätska. Kondom krävs under behandling och i 3 månader efter behandling med enzalutamid om patienten är sexuellt aktiv med en gravid kvinna. Om patienten har samlag med en fertil kvinna måste kondom och annan form av preventivmedel användas under behandling och i 3 månader efter behandling. Djurstudier har visat reproduktionstoxikologiska effekter (se avsnitt 5.3).
Graviditet
Enzalutamid ska inte användas av kvinnor. Enzalutamid är kontraindicerat hos kvinnor som är eller kan bli gravida (se avsnitt 4.3, 5.3 och 6.6).
Amning
Enzalutamid ska inte användas av kvinnor. Det är inte känt huruvida enzalutamid återfinns i bröstmjölk. Enzalutamid och/eller dess metaboliter utsöndras i mjölk hos råttor (se avsnitt 5.3).
Fertilitet
Djurstudier visade att enzalutamid påverkade reproduktionssystemet hos hanråttor och hundar (se avsnitt 5.3).
Xtandi kan ha måttlig effekt på förmågan att framföra fordon och använda maskiner, eftersom psykiatriska och neurologiska biverkningar, inkluderande krampanfall, har rapporterats (se avsnitt 4.8). Patienter bör upplysas om den potentiella risken för att psykiatriska eller neurologiska händelser inträffar när de kör bil eller framför fordon. Inga studier har utförts för att utvärdera enzalutamids effekter på förmågan att framföra fordon och använda maskiner.
Sammanfattning av säkerhetsprofilen
De vanligaste biverkningarna är asteni/trötthet, värmevallningar, hypertoni, frakturer, fall och huvudvärk. Andra viktiga biverkningar omfattar ischemisk hjärtsjukdom och krampanfall.
Krampanfall inträffade hos 0,6 % av de enzalutamidbehandlade patienterna, hos 0,1 % av de placebobehandlade patienterna och hos 0,3 % av de bikalutamidbehandlade patienterna.
Sällsynta fall med posteriort reversibelt encefalopatisyndrom har rapporterats hos enzalutamidbehandlade patienter (se avsnitt 4.4).
Stevens-Johnsons syndrom har rapporterats vid behandling med enzalutamid (se avsnitt 4.4).
Lista över biverkningar i tabellform
Biverkningar observerade under kliniska studier har listats nedan efter frekvens. Frekvenskategorierna definieras enligt följande: mycket vanliga (≥ 1/10), vanliga (≥ 1/100, < 1/10), mindre vanliga (≥ 1/1 000, < 1/100), sällsynta (≥ 1/10 000, < 1/1 000), mycket sällsynta (< 1/10 000); ingen känd frekvens (kan inte beräknas från tillgängliga data). Inom varje frekvensgrupp visas biverkningarna efter fallande allvarlighetsgrad.
* Spontanrapporter efter marknadsintroduktion.
¥ Utvärderade genom avgränsade SMQs (Standardised MedDRA Queries) med "konvulsioner", inklusive krampanfall, grand mal kramper, komplexa partiella anfall, partiella anfall och status epilepticus. Detta inkluderar sällsynta fall av kramper med komplikationer som leder till död.
† Utvärderade genom avgränsade SMQs med "hjärtinfarkt" och "andra ischemiska hjärtsjukdomar", inklusive följande föredragna termer som observerades hos minst två patienter i randomiserade placebokontrollerade fas 3-studier: angina pectoris, kranskärlssjukdom, hjärtinfarkt, akut hjärtinfarkt, akut kranskärlsyndrom, instabilt angina, myokardiell ischemi och åderförkalkning av kransartärerna
‡ Inkluderar alla föredragna termer med ordet ”fraktur” av skelettet.
# Biverkningar för enzalutamid som monoterapi.
∞ Det har förekommit rapporter om dysfagi, inklusive rapporter om kvävning. Båda händelserna har mestadels rapporterats med kapselformuleringen, vilket kan vara förknippat med den större produktstorleken (se avsnitt 4.4).
Beskrivning av utvalda biverkningar
Krampanfall
I de kontrollerade kliniska studierna drabbades 31 av 5 112 patienter (0,6 %) av ett krampanfall efter behandling med en daglig dos om 160 mg enzalutamid, medan fyra patienter (0,1 %) som fick placebo och en patient (0,3 %) som fick bikalutamid, drabbades av ett krampanfall. Dos tycks vara en viktig prediktor för risken för krampanfall som speglas i prekliniska data, och data från en doseskaleringsstudie. I de kontrollerade kliniska studierna exkluderades patienter med tidigare krampanfall eller riskfaktorer för krampanfall.
I den enarmade studien 9785-CL-0403 (UPWARD), avsedd att utvärdera incidensen av krampanfall hos patienter med predisponerande faktorer för krampanfall (varav 1,6 % hade en anamnes med krampanfall), fick 8 av 366 patienter (2,2 %) behandlade med enzalutamid ett krampanfall. Medianen för behandlingens längd var 9,3 månader.
Mekanismen för varför enzalutamid kan sänka kramptröskeln är inte känd, men kan ha ett samband med data från in vitro-studier som visar att enzalutamid och dess aktiva metabolit binder till och kan hämma aktiviteten för GABA-kloridkanalen.
Ischemisk hjärtsjukdom
I randomiserade placebokontrollerade kliniska studier inträffade ischemisk hjärtsjukdom hos 3,5 % av patienterna behandlade med enzalutamid plus ADT jämfört med 2,1 % av patienterna behandlade med placebo plus ADT. Femton (0,4 %) patienter behandlade med enzalutamid plus ADT och 3 (0,1 %) patienter behandlade med placebo plus ADT fick ischemisk hjärtsjukdom med dödlig utgång.
I EMBARK-studien förekom ischemisk hjärtsjukdom hos 6,2 % av patienterna behandlade med enzalutamid plus leuprorelin och hos 10,7 % av patienterna behandlade med enzalutamid som monoterapi. En (0,3 %) patient behandlad med enzalutamid plus leuprorelin, en (0,3 %) patient behandlad med placebo plus leuprorelin och en (0,3 %) patient behandlad med enzalutamid som monoterapi fick ischemisk hjärtsjukdom med dödlig utgång.
Gynekomasti
I EMBARK-studien observerades gynekomasti (alla grader) hos 31 av 353 patienter (8,8 %) behandlade med enzalutamid plus leuprorelin och hos 163 av 354 patienter (46 %) behandlade med enzalutamid som monoterapi. Gynekomasti av grad 3 eller högre observerades inte hos någon patient behandlad med enzalutamid plus leuprorelin, men hos 1 patient (0,3 %) behandlad med placebo plus leuprorelin och 3 patienter (0,8 %) behandlade med enzalutamid som monoterapi.
Smärta i bröstvårtorna
I EMBARK-studien observerades smärta i bröstvårtorna (alla grader) hos 13 av 353 patienter (3,7 %) behandlade med enzalutamid plus leuprorelin och hos 54 av 354 patienter (15,3 %) behandlade med enzalutamid som monoterapi. Smärta i bröstvårtorna av grad 3 eller högre observerades inte hos någon patient behandlad med enzalutamid plus leuprorelin eller med enzalutamid som monoterapi.
Ömhet i brösten
I EMBARK-studien observerades ömhet i brösten (alla grader) hos 4 av 353 patienter (1,1 %) behandlade med enzalutamid plus leuprorelin och hos 51 av 354 patienter (14,4 %) behandlade med enzalutamid som monoterapi. Ömhet i brösten av grad 3 eller högre observerades inte hos någon patient behandlad med enzalutamid plus leuprorelin eller med enzalutamid som monoterapi.
Rapportering av misstänkta biverkningar
Det finns ingen antidot mot enzalutamid. I händelse av en överdos, avsluta behandlingen med enzalutamid och initiera allmänna understödjande åtgärder där hänsyn tas till att halveringstiden är 5,8 dagar. Patienter kan ha en ökad risk för krampanfall efter en överdos.
I en fas 2 klinisk prövning (TERRAIN) på kemonaiva patienter uppvisade patienter som fick enzalutamid en signifikant högre total PSA-svarsfrekvens (definierad som en ≥ 50 % minskning från baseline-värdet) jämfört med patienter som fick bikalutamid, 82,1 % jämfört med 20,9 % (skillnad = 61,2 %, p < 0,0001).
I en enarmad prövning (9785-CL-0410) på patienter tidigare behandlade med abirateron (plus prednison) i minst 24 veckor hade 22,4 % en ≥ 50 % minskning av PSA-värdet jämfört med baseline-värdet. I beaktande av tidigare kemoterapihistorik var andelen patienter med en ≥ 50 % minskning av PSA-värdet 22,1 % och 23,2 % för patientgrupper med ingen tidigare kemoterapi respektive tidigare kemoterapi.
I den kliniska prövningen MDV3100-09 (STRIVE) med icke-metastaserad och metastaserad CRPC, uppvisade patienter som fick enzalutamid en signifikant högre total bekräftad svarsfrekvens av PSA (definierad som ≥ 50 % minskning från baseline) jämfört med patienter som fick bikalutamid, 81,3 % kontra 31,3 % (skillnad = 50,0 %, p < 0,0001).
I den kliniska prövningen MDV3100-14 (PROSPER) med icke-metastaserad CRPC uppvisade patienter som fick enzalutamid en signifikant högre bekräftad svarsfrekvens av PSA (definierad som ≥ 50 % minskning från baseline) jämfört med patienter som fick placebo, 76,3 % kontra 2,4 % (skillnad = 73,9 %, p < 0,0001).
Klinisk effekt och säkerhet
Enzalutamids effekt fastställdes i tre randomiserade placebokontrollerade, multicenterstudier i fas 3 [MDV3100-14 (PROSPER), CRPC2 (AFFIRM), MDV3100‑03 (PREVAIL)] på patienter med progressiv prostatacancer med sjukdomsprogression vid androgen deprivationsbehandling [LHRH‑analog eller efter bilateral orkiektomi]. PREVAIL‑studien rekryterade kemoterapinaiva patienter med metastaserad CRPC, medan AFFIRM‑studien rekryterade patienter med metastaserad CRPC som tidigare fått docetaxel. PROSPER-studien rekryterade patienter med icke-metastaserad CRPC. Effekten för patienter med mHSPC fastställdes i en randomiserad, placebokontrollerad, klinisk multicenterstudie i fas 3 [9785‑CL‑0335 (ARCHES)]. I en annan randomiserad, placebokontrollerad, klinisk multicenterstudie i fas 3 [MDV3100-13 (EMBARK)] fastställdes effekten hos patienter med högrisk BCR nmHSPC. Alla patienter var behandlade med en LHRH‑analog eller hade tidigare genomgått bilateral orkiektomi, om inget annat anges.
I de aktiva behandlingsarmarna administrerades Xtandi oralt med en dos om 160 mg dagligen. I de fem kliniska studierna (EMBARK, ARCHES, PROSPER, AFFIRM och PREVAIL) fick patienterna placebo i kontrollarmen och patienterna behövde inte ta prednison.
Förändringar av serumkoncentrationen av PSA enbart, förutsäger inte alltid klinisk nytta. I de fem studierna rekommenderades patienterna därför att stå kvar på sina studieläkemedel tills uppehålls- eller avbrottskriterierna för respektive studie var uppfyllda enligt specifikationerna nedan.
Studie MDV3100-13 (EMBARK) (patienter med högrisk BCR icke-metastaserad HSPC)
EMBARK-studien omfattade 1 068 patienter med högrisk BCR nmHSPC som randomiserades 1:1:1 till att få behandling med enzalutamid oralt i en dos om 160 mg en gång dagligen tillsammans med ADT (N = 355), enzalutamid oralt i en dos om 160 mg en gång dagligen som öppen monoterapi (N = 355) eller placebo oralt en gång dagligen tillsammans med ADT (N = 358) (ADT definierades som leuprorelin). Alla patienter hade tidigare fått definitiv behandling med radikal prostatektomi eller strålbehandling (inklusive brakyterapi) eller båda, i kurativt syfte. Det krävdes att patienterna hade fått icke-metastaserad sjukdom bekräftad genom blindad oberoende central granskning (BICR) och hög risk för biokemiskt återfall (definierat som en fördubblingstid av PSA på ≤ 9 månader). Det krävdes även att patienterna hade PSA-värden på ≥ 1 ng/ml om de tidigare hade genomgått radikal prostatektomi (med eller utan strålbehandling) som primär behandling för prostatacancer eller PSA-värden minst på 2 ng/ml över nadir om de tidigare hade fått endast strålbehandling. Patienter som hade genomgått prostatektomi och enligt prövarens bedömning var lämpliga kandidater för salvage-strålbehandling exkluderades från studien.
Patienterna stratifierades efter PSA vid screening (≤ 10 ng/ml jämfört med > 10 ng/ml), PSA-fördubblingstid (≤ 3 månader jämfört med > 3 månader till ≤ 9 månader) och tidigare hormonbehandling (tidigare hormonbehandling jämfört med ingen tidigare hormonbehandling). För patienter vars PSA-värden var odetekterbara (< 0,2 ng/ml) i vecka 36 avbröts behandlingen i vecka 37 och återupptogs när PSA-värdena hade ökat till ≥ 2,0 ng/ml för patienter som tidigare hade genomgått prostatektomi eller ≥ 5,0 ng/ml för patienter utan tidigare prostatektomi. För patienter vars PSA-värden var detekterbara i vecka 36 (≥ 0,2 ng/ml) fortsatte behandlingen utan uppehåll tills kriterierna för permanent behandlingsavbrott uppfylldes. Behandlingen sattes ut permanent när utveckling av radiografisk progression bekräftades genom central granskning efter den inledande lokala avläsningen.
Demografi och egenskaper vid baseline var välbalanserade mellan de tre behandlingsgrupperna. Den totala medianåldern vid randomiseringen var 69 år (intervall: 49,0–93,0). De flesta patienterna i den totala populationen var kaukasier (83,2 %), 7,3 % var asiater och 4,4 % var svarta. Mediantiden för PSA-fördubbling var 4,9 månader. Sjuttiofyra procent av patienterna hade tidigare fått definitiv behandling med radikal prostatektomi, 75 % av patienterna hade tidigare fått strålbehandling (inklusive brakyterapi) och 49 % hade fått båda. Trettiotvå procent av patienterna hade en Gleason-poäng på ≥ 8. ECOG (Eastern Cooperative Oncology Group) funktionsstatus var 0 för 92 % av patienterna och 1 för 8 % av patienterna vid studiestart.
Metastasfri överlevnad (MFS) hos patienter som randomiserades till att få enzalutamid plus ADT jämfört med patienter som randomiserades till att få placebo plus ADT var primär endpoint. Metastasfri överlevnad definierades som tid från randomisering till radiografisk progression eller dödsfall i studien, beroende på vilket som inträffade först.
Multiplicitetstestade sekundära endpoints som utvärderades var tid till PSA-progression, tid till första användning av antineoplastisk behandling och total överlevnad. En annan multiplicitetstestad sekundär endpoint var MFS hos patienter som randomiserats till att få enzalutamid som monoterapi jämfört med patienter som randomiserats till att få placebo plus ADT.
Enzalutamid plus ADT och som monoterapi uppvisade en statistiskt signifikant förbättring av MFS jämfört med placebo plus ADT. Viktiga effektresultat visas i tabell 2.
Tabell 2: Sammanfattning av effekt hos patienter som behandlats med antingen enzalutamid plus ADT, placebo plus ADT eller enzalutamid som monoterapi i EMBARK-studien (intent-to-treat-analys)
NR = ej uppnått.
Mediantid för uppföljning på 61 månader.
Baserat på den tidigaste bidragande händelsen (radiografisk progression eller dödsfall).
Baserat på Kaplan-Meier-uppskattningar.
Riskkvoten baseras på en Cox-regressionsmodell stratifierad efter PSA vid screening, PSA-fördubblingstid och tidigare hormonbehandling.
Tvåsidigt p-värde är baserat på ett stratifierat log-rank-test efter PSA vid screening, PSA-fördubblingstid och tidigare hormonbehandling.
Baserat på PSA-progression i enlighet med kriterier från Prostate Cancer Clinical Trials Working Group 2.Baserat på första användningen av antineoplastisk behandling för prostatacancer efter baseline.
Baserat på första användningen av antineoplastisk behandling för prostatacancer efter baseline.
Vid den slutliga analysen (medianuppföljningstid 94,0 månader) uppvisade enzalutamid plus ADT en statistiskt signifikant förbättrad total överlevnad jämfört med placebo plus ADT [HR = 0,60 (95 % KI: 0,44; 0,80), p = 0,0006]. Medianvärdet för total överlevnad uppnåddes inte i armen som fick enzalutamid plus ADT och var 117,5 månader (95 % KI: 109,8; NR) i armen som fick placebo plus ADT (figur 3). Ingen statistisk signifikant skillnad observerades med enzalutamid som monoterapi jämfört med placebo plus ADT (HR = 0,83; 95 % KI: 0,63–1,10) (figur 4).
Figur 1: Kaplan‑Meier-kurvor för MFS i armen som fick enzalutamid plus ADT jämfört med armen som fick placebo plus ADT i EMBARK-studien (intent-to-treat-analys)
Figur 2: Kaplan‑Meier-kurvor för MFS i armen som fick enzalutamid som monoterapi jämfört med armen som fick placebo plus ADT i EMBARK-studien (intent-to-treat-analys)
Figur 3: Kaplan-Meier-kurvor över total överlevnad i armen som fick enzalutamid plus ADT jämfört med armen som fick placebo plus ADT I EMBARK-studien (intent-to-treat-analys)
Figur 4: Kaplan-Meier-kurvor över total överlevnad i armen som fick enzalutamid som monoterapi jämfört med armen som fick placebo plus ADT i EMBARK-studien (intent-to-treat-analys)
Efter administrering av ADT som enzalutamid plus ADT eller placebo plus ADT minskade testosteronnivåerna snabbt till kastrationsnivå och förblev låga fram till behandlingsavbrottet efter 37 veckor. Efter avbrottet ökade testosteronnivåerna gradvis till nivåer nära baseline. När behandlingen återupptogs minskade de igen till kastrationsnivå. I armen som fick enzalutamid som monoterapi ökade testosteronnivåerna efter påbörjad behandling och återgick mot baseline-nivåerna när behandlingen avbröts. De ökade återigen när behandlingen med enzalutamid återupptogs.
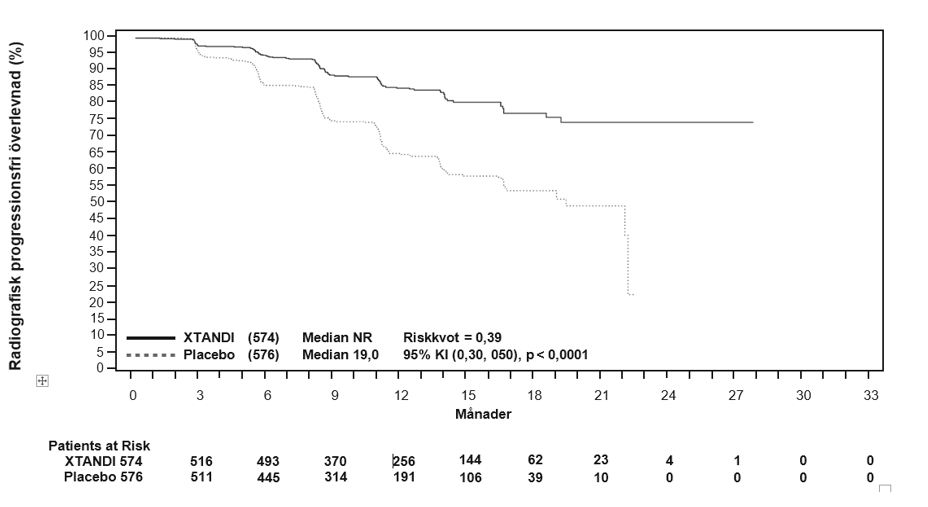
9785‑CL‑0335 (ARCHES)‑studien (patienter med metastaserad HSPC)
ARCHES‑studien inkluderade 1 150 patienter med mHSCP som randomiserades 1:1 till behandling med enzalutamid plus ADT eller placebo plus ADT (ADT definierades som LHRH‑analog eller bilateral orkiektomi). Patienterna fick 160 mg enzalutamid en gång dagligen (N = 574) eller placebo (N = 576).
Patienter med metastaserad prostatacancer dokumenterad med positiv benscanning (för skelettsjukdom) eller lesioner på datortomografi‑ eller MRT‑scanning (för mjukvävnad) tydande på metastaser, var lämpliga för inklusion i studien. Patienter vars sjukdomsspridning var begränsad till lokala lymfkörtlar i bäckenet var inte lämpliga. Patienterna kunde ha fått upp till 6 cykler med docetaxelbehandling med slutlig behandling administrerad inom 2 månader från dag 1 och inga tecken på sjukdomsprogression under eller efter den avslutade docetaxelbehandlingen. Patienter med känd eller misstänkt hjärnmetastas eller aktiv leptomeningeal sjukdom, eller med krampanfall i anamnesen eller med tillstånd som kan predisponera för krampanfall, exkluderades.
Demografi och egenskaper vid baseline var välbalanserade mellan de två behandlingsgrupperna. Medianåldern vid randomisering var 70 år i båda behandlingsgrupperna. De flesta patienterna i den totala populationen var kaukasier (80,5 %), 13,5 % var asiater och 1,4 % var svarta. ECOG (Eastern Cooperative Oncology Group) funktionsstatus var 0 för 78 % av patienterna och 1 för 22 % av patienterna vid studiestart. Patienter stratifierades efter låg kontra hög sjukdomsvolym och tidigare docetaxelbehandling för prostatacancer. Trettiosju procent av patienterna hade en låg sjukdomsvolym och 63 % av patienterna hade en hög sjukdomsvolym. Åttiotvå procent av patienterna hade inte fått en tidigare docetaxelbehandling, 2 % hade tidigare fått 1-5 cykler och 16 % hade fått 6 cykler. Behandling med samtidig docetaxel var inte tillåten.
Radiografisk progressionsfri överlevnad (rPFS), baserad på oberoende central granskning, var primär endpoint som definierades som tiden från randomisering till det första objektiva tecknet på radiografisk sjukdomsprogression eller dödsfall (oavsett anledning från tidpunkten för randomisering upp till 24 veckor från det att patienten slutade ta studieläkemedlet), beroende på vilket som inträffade först.
Enzalutamid visade en statistiskt signifikant minskning på 61 % av risken för en rPFS‑händelse jämfört med placebo [HR = 0,39 (95 % KI: 0,30, 0,50), p < 0,0001]. Överensstämmande rPFS‑resultat observerades hos patienter med hög eller låg sjukdomsvolym och hos patienter med eller utan tidigare docetaxelbehandling. Mediantiden till en rPFS‑händelse uppnåddes inte i enzalutamidgruppen och var 19,0 månader (95 % KI: 16,6, 22,2) i placebogruppen.
Tabell 3: Sammanfattning av effektresultat hos patienter som behandlades med antingen enzalutamid eller placebo i ARCHES‑studien (intent‑to‑treat‑analys)
NR = Ej uppnått.
1. Beräknat med hjälp av Brookmeyer och Crowley‑metoden.
2. Stratifierad efter sjukdomsvolym (låg eller hög) och tidigare behandling med docetaxel (ja eller nej).
Figur 5: Kaplan‑Meier‑kurvor för rPFS i ARCHES‑studien (intent‑to‑treat‑analys)
Viktiga sekundära endpoints som utvärderades i studien omfattade tid till PSA‑progression, tid till första användning av ny antineoplastisk behandling, icke påvisbar PSA‑halt (minskning till < 0,2 µg/l) och objektiv svarsfrekvens (RECIST 1.1 baserat på oberoende granskning). Statistiskt signifikanta förbättringar hos patienter som behandlats med enzalutamid jämfört med placebo visades för alla dessa sekundära endpoints.
En annan viktig sekundär endpoint som utvärderades i studien var total överlevnad. Vid den förspecificerade slutliga analysen av total överlevnad, som utfördes när 356 dödsfall hade observerats, visade en statistiskt signifikant minskning av risken för dödsfall med 34 % i gruppen som randomiserats till att få enzalutamid jämfört med gruppen som randomiserats till att få placebo [HR = 0,66, (95 % KI: 0,53; 0,81), p < 0,0001]. Mediantiden för total överlevnad uppnåddes inte i någon av behandlingsgrupperna. Den uppskattade mediantiden för uppföljning av alla patienter var 44,6 månader (se Figur 6).
Figur 6: Kaplan-Meier-kurvor för total överlevnad i ARCHES-studien (intent-to-treat-analys)
MDV3100-14 (PROSPER) -studien (patienter med icke-metastaserad CRPC)
PROSPER-studien inkluderade 1 401 patienter med asymtomatisk, högrisk icke-metastaserad CRPC som fortsatte med androgen deprivationsbehandling (ADT; definierad som LHRH-analog eller tidigare bilateral orkiektomi). Det krävdes att patienterna hade en fördubblingstid av PSA ≤ 10 månader, PSA ≥ 2 ng/ml och icke-metastaserande sjukdom bekräftad genom blindad oberoende central granskning (Blinded Independent Central Review, BICR).
Patienter med lätt till måttlig hjärtsvikt (NYHA‑klass I eller II) i anamnesen, och patienter som tog läkemedel förknippade med sänkning av tröskeln för krampanfall inkluderades. Patienter med ett tidigare krampanfall i anamnesen, ett tillstånd som kan predisponera för krampanfall eller vissa tidigare prostatacancerbehandlingar (d.v.s. kemoterapi, ketokonazol, abirateronacetat, aminoglutetimid och/eller enzalutamid) exkluderades.
Patienterna randomiserades 2:1 antingen till en dos av 160 mg enzalutamid en gång dagligen (N = 933) eller placebo (N = 468). Patienterna stratifierades efter fördubblingstid av PSA (PSADT) (< 6 månader eller ≥ 6 månader) och användning av medel med skelettpåverkan (ja eller nej).
Demografi och egenskaper vid baseline var välbalanserade mellan de två behandlingsgrupperna. Medianåldern vid randomisering var 74 år i enzalutamidgruppen och 73 år i placebogruppen. De flesta (ca 71 %) patienterna i studien var kaukasier, 16 % var asiater och 2 % var svarta. Åttioen procent (81 %) av patienterna hade en ECOG funktionsstatus på 0 och 19 % av patienterna hade en ECOG funktionsstatus på 1.
Metastasfri överlevnad (MFS) var primär endpoint och definierades som tid från randomisering till radiografisk progression eller dödsfall inom 112 dagar efter avslutad behandling utan tecken på radiografisk progression, beroende på vilket som inträffade först. Viktigaste sekundära endpoints som utvärderades i studien var tid till PSA-progression, tid till första användning av ny antineoplastisk behandling (TTA), total överlevnad (OS). Ytterligare sekundära endpoints inkluderade tid till första användning av cytotoxisk kemoterapi och kemoterapifri överlevnad. Se nedan resultat (Tabell 4).
Enzalutamid visade en statistiskt signifikant minskning på 71 % av den relativa risken för radiografisk progression eller dödsfall jämfört med placebo [HR = 0,29 (95 % KI: 0,24, 0,35), p < 0,0001]. Medianvärdet för MFS var 36,6 månader (95 % KI: 33,1, NR) i enzalutamidgruppen jämfört med 14,7 månader (95 % KI: 14,2, 15,0) i placebogruppen. Konsekventa MFS-resultat observerades också i alla fördefinierade undergrupper av patienter, inklusive PSADT (< 6 månader eller ≥ 6 månader), demografisk region (Nordamerika, Europa, resten av världen), ålder (< 75 eller ≥ 75), användning av ett tidigare medel med skelettpåverkan (ja eller nej) (se Figur 7).
Tabell 4: Sammanfattning av effektresultat i PROSPER-studien (intent-to-treat-analys)
NR = Ej uppnått.
Baserat på Kaplan-Meier-uppskattningar.
Riskkvot (HR) baseras på en Cox-regressionsmodell (med behandling som enda kovariat), stratifierad efter fördubblingstid av PSA och tidigare eller samtidig användning av ett medel avsett för ben. HR är relativt till placebo där < 1 förespråkar enzalutamid.
p-värdet är baserat på ett stratifierat log‑rank‑test av PSA-fördubblingstid (< 6 månader, ≥ 6 månader) samt tidigare eller samtidig användning av ett medel med skelettpåverkan (ja, nej).
Baserat på en förspecificerad interimanalys med brytdatum för data 15 okt 2019.
Figur 7: Kaplan-Meier-kurvor för metastasfri överlevnad i PROSPER-studien (intent-to-treat-analys)
Vid den slutliga analysen av total överlevnad, vilken utfördes när 466 dödsfall observerades, visades en statistiskt signifikant förbättring av total överlevnad hos patienter som randomiserats till att få enzalutamid jämfört med patienter som randomiserats till att få placebo, med en minskning i risk för dödsfall med 26,6 % [riskkvot (HR) = 0,734 (95 % KI: 0,608, 0,885), p = 0,0011] (se Figur 8). Medianvärdet för uppföljningstid var 48,6 månader i enzalutamidgruppen och 47,2 månader i placebogruppen. Trettiotre procent av enzalutamidbehandlade och 65 % av placebobehandlade patienter fick minst en efterföljande antineoplastisk behandling som kan förlänga den totala överlevnaden.
Figur 8: Kaplan‑Meier totala överlevnadskurvor i PROSPER-studien (intent-to-treat-analys)
Enzalutamid visade en statistiskt signifikant minskning på 93 % av den relativa risken för PSA-progression jämfört med placebo [HR = 0,07 (95 % KI: 0,05, 0,08), p < 0,0001]. Mediantid till PSA-progression var 37,2 månader (95 % KI: 33,1, NR) i enzalutamidgruppen jämfört med 3,9 månader (95 % KI: 3,8, 4,0) i placebogruppen.
Enzalutamid visade en statistiskt signifikant fördröjning av tiden till den första användningen av ny antineoplastisk behandling jämfört med placebo [HR: 0,21 (95 % KI: 0,17, 0,26), p < 0,0001]. Medianvärdet för tid till första användning av ny antineoplastisk behandling var 39,6 månader (95 % KI: 37,7, NR) i enzalutamidgruppen jämfört med 17,7 månader (95 % KI: 16,2, 19,7) i placebogruppen (se Figur 9).
Figur 9: Kaplan-Meier-kurvor för tid till första användning av antineoplastisk behandling i PROSPER-studien (intent-to-treat-analys)
MDV3100-09 (STRIVE) -studien (kemoterapinaiva patienter med icke-metastaserad/metastaserad CRPC)
STRIVE-studien inkluderade 396 patienter med icke-metastaserad eller metastaserad CRPC med serologisk eller radiografisk sjukdomsprogression trots primär androgendepriverande behandling, vilka randomiserades till antingen en dos om 160 mg enzalutamid en gång dagligen (N = 198) eller en dos om 50 mg bikalutamid en gång dagligen (N = 198). PFS var primär endpoint definierat som tid från randomisering till tidigaste objektiva tecken på radiografisk progression, PSA-progression eller dödsfall i studien. Median-PFS var 19,4 månader (95 % KI: 16,5, ej uppnått) i enzalutamidgruppen jämfört med 5,7 månader (95 % KI: 5,6, 8,1) i bikalutamidgruppen [HR = 0,24 (95 % KI: 0,18, 0,32), p < 0,0001]. Konsistent nytta av enzalutamid jämfört med bikalutamid för PFS observerades i samtliga förspecificerade subgrupper av patienter. I den icke-metastaserade subgruppen (N = 139) förekom PFS-händelser hos totalt 19 av 70 (27,1%) patienter som behandlades med enzalutamid, och 49 av 69 (71,0 %) patienter som behandlades med bikalutamid (totalt 68 händelser). Riskkvoten var 0,24 (95 % KI: 0,14, 0,42) och mediantiden till PFS-händelse uppnåddes inte i enzalutamidgruppen jämfört med 8,6 månader i bikalutamidgruppen (se Figur 10).
Figur 10: Kaplan-Meier-kurvor med progressionsfri överlevnad i STRIVE-studien (intent-to-treat-analys)
9785-CL-0222 (TERRAIN) -studien (kemoterapinaiva patienter med metastaserad CRPC)
TERRAIN studien inkluderade 375 kemo- och antiandrogenbehandlingsnaiva patienter med metastaserad CRPC, som randomiserats antingen till en dos om 160 mg enzalutamid en gång dagligen (N = 184) eller 50 mg bikalutamid en gång dagligen (N = 191). Median-PFS var 15,7 månader för patienter på enzalutamid jämfört med 5,8 månader för patienter på bikalutamid [HR = 0,44 (95 % KI: 0,34, 0,57), p < 0,0001]. Progressionsfri överlevnad definierades som objektiva belägg för radiografisk sjukdomsprogression av oberoende central granskning, skelettrelaterade händelser, initiering av ny antioplastisk terapi eller dödsfall av någon orsak, vilket som inträffade först. Konsekvent PFS-nytta observerades i alla fördefinierade subgrupper av patienter.
MDV3100‑03 (PREVAIL) -studien (kemoterapinaiva patienter med metastaserad CRPC)
Totalt 1 717 asymtomatiska eller lätt symtomatiska kemoterapinaiva patienter randomiserades i förhållandet 1:1 till att få antingen enzalutamid oralt vid en dos om 160 mg en gång dagligen (N = 872) eller placebo oralt en gång dagligen (N = 845). Patienter med visceral sjukdom, patienter med en anamnes på lätt till måttlig hjärtsvikt (NYHA‑klass I eller II) och patienter som tar läkemedel som förknippas med sänkning av tröskeln för krampanfall inkluderades. Patienter med en tidigare anamnes på krampanfall eller ett tillstånd som kan predisponera för krampanfall och patienter med måttlig till svår smärta av prostatacancer exkluderades. Studiebehandling pågick till sjukdomsprogression (tecken på radiografisk progression, en skelettrelaterad händelse eller klinisk progression) och insättandet av antingen en cytotoxisk kemoterapibehandling eller ett prövningsläkemedel eller till oacceptabel toxicitet.
Patientdemografi och sjukdomskarakteristiska vid baseline balanserades mellan behandlingsarmarna. Medianåldern var 71 år (intervall 42–93) och den etniska fördelningen var 77 % kaukasier, 10 % asiater, 2 % svarta och 11 % annat eller av okänt etniskt ursprung. Sextioåtta procent (68 %) av patienterna hade ECOG funktionsstatus 0 och 32 % av patienterna hade en ECOG funktionsstatus på 1. Smärtbedömning vid baseline var 0–1 (asymtomatisk) hos 67 % av patienterna och 2–3 (lätt symtomatisk) hos 32 % av patienterna enligt definition på skalan Brief Pain Inventory Short Form (värsta smärta under de senaste 24 timmarna på en skala från 0 till 10). Cirka 45 % av patienterna hade mätbar mjukvävnadssjukdom vid studiestart och 12 % av patienterna hade viscerala (lungor och/eller lever) metastaser.
Co-primära endpoints var total överlevnad och radiografisk progressionsfri överlevnad (rPFS). Förutom co‑primära endpoints bedömdes nyttan också med hjälp av tid till insättning av cytotoxisk kemoterapi, bästa totalt mjukvävnadssvar, tid till första skelettrelaterad händelse, PSA‑svar (≥50 % minskning från baseline), tid till PSA‑progression och tid till degradering av FACT‑P totalpoäng.
Radiografisk progression bedömdes med sekventiella bildstudier definierade i kriterierna från Prostate Cancer Clinical Trials Working Group 2 (PCWG2) (för skelettlesioner) och/eller kriterierna från Response Evaluation Criteria in Solid Tumors (RECIST v 1.1) (för mjukvävnadslesioner). rPFS analyserades med hjälp av centralt granskad radiografisk bedömning av progression.
Vid den förspecificerade interimanalysen av total överlevnad, där 540 dödsfall observerades, visade behandling med enzalutamid en statistiskt signifikant förbättring av total överlevnad jämfört med placebobehandling med en minskning i risk för dödsfall med 29,4 % [HR = 0,706 (95 % KI: 0,60; 0,84), p < 0,0001]. En uppdaterad överlevnadsanalys utfördes när 784 dödsfall observerades. Resultaten från denna analys överensstämde med interimanalysen (Tabell 5). Vid den uppdaterade analysen hade 52 % av enzalutamidbehandlade och 81 % av placebobehandlade patienter mottagit efterföljande behandlingar mot metastatisk CRPC som kan förlänga den totala överlevnaden.
En slutlig analys av 5‑årsdata från PREVAIL visade att en statistiskt signifikant ökning av den totala överlevnaden upprätthölls hos patienter som behandlades med enzalutamid jämfört med placebo [HR = 0,835 (95 % KI: 0,75, 0,93), p‑värde = 0,0008] trots att 28 % av patienterna på placebo bytte till enzalutamid. Den totala 5-årsöverlevnaden var 26 % i enzalutamidgruppen jämfört med 21 % i placebogruppen.
Tabell 5: Total överlevnad hos patienter behandlade med antingen enzalutamid eller placebo i PREVAIL‑studien (intent-to-treat‑analys)
NR = Ej uppnått.
p‑värde hämtat från ett icke‑stratifierat log‑rank‑test.
Riskkvot hämtad från en icke-stratifierad proportionell riskmodell. Riskkvot < 1 förespråkar enzalutamid.
Figur 11: Kaplan-Meier totala överlevnadskurvor baserat på en 5-års överlevnadsanalys i PREVAIL‑studien (intent-to-treat‑analys)
Figur 12: 5-års total överlevnadsanalys per subgrupp: riskkvot och 95 % konfidensintervall i PREVAIL‑studien (intent-to-treat‑analys)
Vid den förspecificerade rPFS‑analysen sågs en statistiskt signifikant förbättring mellan behandlingsgrupperna med en minskning på 81,4 % av risk för radiografisk progression eller dödsfall [HR = 0,19 (95 % KI: 0,15, 0,23), p < 0,0001]. Etthundraarton (14 %) enzalutamidbehandlade och 321 (40 %) placebobehandlade patienter drabbades av en händelse. Median‑rPFS nåddes inte (95 % KI: 13,8, nåddes inte) i den enzalutamidbehandlade gruppen och var 3,9 månader (95 % KI: 3,7, 5,4) i den placebobehandlade gruppen (Figur 13). Konsekvent rPFS‑nytta observerades för alla förspecificerade patientsubgrupper (t.ex. ålder, ECOG funktionsstatus vid baseline, PSA och LDH vid baseline, Gleason‑poäng vid diagnos och visceral sjukdom vid screening). En förspecificerad uppföljningsanalys av rPFS baserad på prövarens bedömning av radiografisk progression visade en statistiskt signifikant förbättring mellan behandlingsgrupperna med en minskning på 69,3 % av risk för radiografisk progression eller dödsfall [HR = 0,31 (95 % KI: 0,27, 0,35), p < 0,0001]. Median‑rPFS var 19,7 månader i enzalutamidgruppen och 5,4 månader i placebogruppen.
Figur 13: Kaplan-Meier‑kurvor för radiografisk progressionsfri överlevnad i PREVAIL‑studien (intent-to-treat‑analys)
Utöver de co‑primära endpoints för effekt, sågs även statistiskt signifikanta förbättringar av följande prospektivt definierade endpoints.
Mediantiden till insättning av cytotoxisk kemoterapi var 28,0 månader för patienter som fick enzalutamid och 10,8 månader för patienter som fick placebo [HR = 0,35 (95 % KI: 0,30, 0,40), p < 0,0001].
Andelen enzalutamidbehandlade patienter med mätbar sjukdom vid baseline som hade ett objektivt svar var 58,8 % (95 % KI: 53,8, 63,7) jämfört med 5,0 % (95 % KI: 3.0, 7,7) av patienterna som fick placebo. Den absoluta skillnaden i objektivt mjukvävnadssvar mellan enzalutamid- och placeboarmarna var [53,9 % (95 % KI: 48,5, 59,1), p < 0,0001]. Fullständiga svar rapporterades hos 19,7 % av de enzalutamidbehandlade patienterna jämfört med 1,0 % av de placebobehandlade patienterna och partiellt svar rapporterades hos 39,1 % av de enzalutamidbehandlade patienterna jämfört med 3,9 % av de placebobehandlade patienterna.
Enzalutamid minskade signifikant risken för en första skelettrelaterad händelse med 28 % [HR = 0,718 (95 % KI: 0,61, 0,84), p < 0,0001]. En skelettrelaterad händelse definierades som strålbehandling eller skelettkirurgi vid prostatacancer, patologisk skelettfraktur, ryggmärgskompression eller ändring av antineoplastisk behandling för att behandla skelettsmärta. Analysen omfattade 587 skelettrelaterade händelser, av vilka 389 händelser (66,3 %) var skelettstrålning, 79 händelser (13,5 %) var ryggmärgskompression, 70 händelser (11,9 %) var patologisk skelettfraktur, 45 händelser (7,6 %) var förändring av antineoplastisk behandling för att behandla skelettsmärta och 22 händelser (3,7 %) var skelettkirurgi.
Patienter som fick enzalutamid visade en signifikant högre svarsfrekvens för total‑PSA (definierat som en minskning på ≥ 50 % från baseline) jämfört med patienter som fick placebo, 78,0 % jämfört med 3,5 % (skillnad = 74,5 %, p < 0,0001).
Mediantiden till PSA‑progression enligt PCWG2‑kriterierna var 11,2 månader för patienter behandlade med enzalutamid och 2,8 månader för patienter som fick placebo [HR = 0,17 (95 % KI: 0,15, 0,20), p<0,0001].
Behandling med enzalutamid minskade risken för degradering av FACT‑P med 37,5 % jämfört med placebo (p<0,0001). Mediantiden till degradering av FACT‑P var 11,3 månader i enzalutamidgruppen och 5,6 månader i placebogruppen.
CRPC2 (AFFIRM) -studien (patienter med metastaserad CRPC som tidigare fått kemoterapi)
Enzalutamids effekt och säkerhet hos patienter med metastaserad CRPC, som hade fått docetaxel och använde en LHRH‑analog eller hade genomgått orkidektomi, utvärderades i en randomiserad, placebokontrollerad, multicenter fas 3 klinisk prövning. Totalt 1199 patienter randomiserades 2:1 till behandlingen med antigen enzalutamid 160 mg givet peroralt en gång dagligen (N = 800) eller placebo en gång dagligen (N = 399). Det var tillåtet men inget krav för patienterna att ta prednison (maximal tillåten daglig dos var 10 mg prednison eller motsvarande). Patienterna som randomiserats till endera arm skulle fortsätta behandlingen tills sjukdomsprogression (definierad som en bekräftad radiografisk progression eller förekomst av en skelettrelaterad händelse) och initiering av en ny systemisk antineoplastisk behandling, oacceptabel toxicitet eller tillbakadragande från studien.
Följande demografiska patientdata och sjukdomskaraktäristika var jämförbara mellan behandlingsarmarna vid studiestarten. Medianåldern var 69 år (intervall 41–92) och spridningen i etnisk härkomst var 93 % kaukasier, 4 % svarta, 1 % asiater och 2 % övriga. Prestationspoängen från ECOG var 0–1 hos 91,5 % av patienterna och 2 hos 8,5 % av patienterna; 28 % hade ett medelvärde för Brief Pain Inventory score på ≥ 4 (medelvärde för patienternas rapporterade värsta smärta under de senaste 24 timmarna, beräknat under sju dagar innan randomiseringen). De flesta patienterna (91 %) hade benmetastaser och 23 % hade också invärtes lung- och/eller leverpåverkan. Vid studiestart hade 41 % av de randomiserade patienterna endast PSA-progression, medan 59 % av patienterna hade radiografisk progression. Femtioen procent (51 %) av patienterna tog bisfosfonater vid studiestarten.
AFFIRM‑studien exkluderade patienter med ett hälsotillstånd som kunde predisponera dem för krampanfall (se avsnitt 4.8) och sådana som tog läkemedel kända för att sänka tröskeln för krampanfall. Detta gällde också för patienter som hade en kliniskt signifikant kardiovaskulär sjukdom såsom okontrollerat högt blodtryck, historia om nyligen inträffad hjärtinfarkt eller instabil angina, hjärtsvikt enligt New York Heart Association klass III eller IV (om inte ejektionsfraktionen var ≥ 45 %), kliniskt signifikanta kammararytmier eller AV-blockad (utan permanent pacemaker).
Den i protokollet förspecifierade interimanalysen efter 520 dödsfall visade en statistiskt signifikant överlägsenhet i total överlevnad för patienter behandlade med enzalutamid jämfört med placebo (Tabell 6 och Figur 14 och 15).
Tabell 6: Total överlevnad för patienter behandlade med antingen enzalutamid eller placebo i AFFIRM‑studien (intent-to-treat‑analys)
NR = Ej uppnått.
p-värdet härrör från ett log-rank test stratifierat efter ECOG-funktionsstatus (0–1 vs. 2) och medelsmärtpoäng (< 4 vs. ≥ 4).
Riskkvot härrör från en stratifierad proportionell riskmodell. Riskkvot < 1 förespråkar enzalutamid.
Figur 14: Kaplan‑Meier totala överlevnadskurvor i AFFIRM-studien (intent‑to‑treat‑analys)
Figur 15: Total överlevnad per subgrupp i AFFIRM‑studien – riskkvot och 95 % konfidensintervall
Utöver den observerade förbättringen i total överlevnad, visade analysen av de viktigaste sekundära endpointen (PSA-progression, radiografisk progressionsfri överlevnad och tiden till första skelettrelaterade händelse) att enzalutamid var bättre. Skillnaden var statistiskt signifikant efter justering för multipla test.
Radiografisk progressionsfri överlevnad bedömdes av prövaren genom användandet av RECIST v1.1. för mjukdelsvävnad och uppkomst av två eller flera sjukliga förändringar i ben bedömdes med benscanning. Resultatet visade på 8,3 månader för patienter behandlade med enzalutamid och 2,9 månaders för patienter som fick placebo [HR = 0,40 (95 % KI: 0,35, 0,47), p < 0,0001]. Analysen innefattade 216 dödsfall utan dokumenterad progression och 645 dokumenterade progressionshändelser, av vilka 303 (47 %) berodde på mjukdelsprogression, 268 (42 %) berodde på sjukliga förändringar i ben och 74 (11 %) berodde både på försämringar i mjukdelsvävnad och sjukliga förändringar i ben.
Bekräftad PSA-minskning på 50 % eller 90 % var 54,0 % respektive 24,8 % för patienter behandlade med enzalutamid och 1,5 % respektive 0,9 % för patienter som fick placebo (p < 0,0001). Mediantiden till PSA-progression var 8,3 månader för patienter behandlade med enzalutamid och 3,0 månader för patienter som fick placebo [HR = 0,25 (95 % KI: 0,20, 0,30), p < 0,0001].
Mediantiden till första skelettrelaterade händelse var 16,7 månader för patienter behandlade med enzalutamid och 13,3 månader for patienter som fick placebo [HR = 0,69 (95 % KI: 0,57, 0,84), p < 0,0001]. En skelettrelaterad händelse definierades som strålbehandling eller kirurgiskt ingrepp i benvävnad, patologisk benfraktur, ryggradskompression eller förändring av antineoplastiskbehandling för att behandla skelettsmärta. Analysen innefattade 448 skelettrelaterade händelser, av vilka 277 händelser (62 %) var strålning av ben, 95 händelser (21 %) var ryggradskompression, 47 händelser (10 %) var patologiska benfrakturer, 36 händelser (8 %) var förändringar i antineoplastiskbehandling för att behandla skelettsmärta och 7 händelser (2 %) var kirurgiskt ingrepp i benvävnad.
9785-CL-0410 -studien (enzalutamid efter abirateron på patienter med metastatisk CRPC)
Studien var en enarmad studie på 214 patienter med progressiv metastatisk CRPC som fick enzalutamid (160 mg en gång dagligen) efter minst 24 veckors behandling med abirateronacetat plus prednison. Median rPFS (radiologisk progressionsfri överlevnad, studiens primära effektmått) var 8,1 månader (95 % KI: 6,1, 8,3). Medianvärdet för total överlevnad nåddes inte. PSA-svarsfrekvensen (definierade som ≥ 50 % minskning från baseline-värdet) var 22,4 % (95 % KI: 17,0, 28,6).
För de 69 patienter som tidigare fått kemoterapi var median rPFS 7,9 månader (95 % KI: 5,5, 10,8). PSA-svarsfrekvensen var 23,2 % (95 % KI: 13,9, 34,9).
För de 145 patienter som inte fått tidigare kemoterapi var medianvärdet för rPFS 8,1 månader (95 % KI: 5,7, 8,3). PSA-svarsfrekvensen var 22,1 % (95 % KI: 15,6, 29,7).
Även om det var ett begränsat svar hos vissa patienter av behandling med enzalutamid efter abirateron är orsaken till detta fynd för närvarande okänd. Studiedesignen kunde vare sig identifiera de patienter som sannolikt skulle ha nytta av behandlingen eller den ordning i vilken enzalutamid och abirateron optimalt skulle administreras.
Äldre
Av de 5 110 patienterna i de kontrollerade kliniska studierna som fick enzalutamid var 3 988 patienter (78 %) 65 år och äldre och 1 703 patienter (33 %) var 75 år och äldre. Inga totala skillnader i säkerhet eller effekt observerades mellan dessa äldre patienter och yngre patienter.
Pediatrisk population
Europeiska läkemedelsmyndigheten har beviljat undantag från kravet att skicka in studieresultat för enzalutamid för alla grupper av den pediatriska populationen för prostatacancer (information om pediatrisk användning finns i avsnitt 4.2).
.
Enzalutamid är dåligt vattenlöslig. Lösligheten av enzalutamid ökas med emulgeringsmedlet kaprylokaproylmakrogolglycerid /ytaktivt medel. I prekliniska studier ökade absorptionen av enzalutamid när det löstes i kaprylokaproylmakrogolglycerid.
Farmakokinetiken för enzalutamid har utvärderats hos prostatacancerpatienter och friska män. Den genomsnittliga terminala halveringstiden (t1/2) för enzalutamid hos patienter efter en peroral singeldos är 5,8 dagar (intervall 2,8 till 10,2 dagar) och steady state uppnås efter ungefär en månad. Vid daglig peroral administrering ackumuleras enzalutamid ungefär 8,3 gånger jämfört med en singeldos. Dagliga fluktuationer i plasmakoncentration är låga (topp-till-botten-kvoten är 1,25). Enzalutamids clearance sker primärt via levermetabolism, vilket ger en aktiv metabolit som är lika aktiv som enzalutamid och som föreligger i ungefär samma plasmakoncentration som enzalutamid.
Absorption
Maximal plasmakoncentration (Cmax) av enzalutamid hos patienter observerades 1 till 2 timmar efter administration. Baserat på en massbalansstudie hos människa uppskattas den perorala absorptionen av enzalutamid vara minst 84,2 %. Enzalutamid är inte ett substrat till transportproteinerna P-gp eller BCRP. Vid steady state är medel-Cmax för enzalutamid och dess aktiva metabolit 16,6 μg/ml (23 % variationskoefficient [CV]) respektive 12,7 μg/ml (30 % CV).
Mat har ingen kliniskt signifikant effekt på absorptionens omfattning. I kliniska prövningar administrerades Xtandi utan hänsyn till mat.
Distribution
Den genomsnittliga skenbara distributionsvolymen (V/F) för enzalutamid hos patienter är 110 liter (29 % CV) efter en peroral singeldos. Distributionsvolymen av enzalutamid är större än kroppens totala vattenvolym, vilket indikerar en omfattande extravaskulär distribution. Studier på gnagare indikerar att enzalutamid och dess aktiva metabolit kan passera blod-hjärnbarriären.
Enzalutamid är 97 % till 98 % bundet till plasmaproteiner, främst albumin. Den aktiva metaboliten är till 95 % bunden till plasmaproteiner. Ingen förskjutning av proteinbindning sågs mellan enzalutamid och andra starkt bundna läkemedel (warfarin, ibuprofen och salicylsyra) in vitro.
Metabolism
Enzalutamid genomgår en omfattande metabolisering. Det finns två huvudmetaboliter i human plasma: N‑desmetylenzalutamid (aktiv) och ett karboxylsyraderivat (inaktivt). Enzalutamid metaboliseras av CYP2C8 och i mindre utsträckning av CYP3A4/5 (se avsnitt 4.5), vilka båda spelar en roll i bildningen av den aktiva metaboliten. In vitro metaboliseras N-desmetylenzalutamid till karboxylsyrametaboliten av karboxylesteras 1, som också har en mindre betydelse för metabolismen av enzalutamid till karboxylsyrametaboliten. N‑desmetylenzalutamid metaboliserades inte av CYP in vitro.
Vid kliniskt bruk är enzalutamid en stark inducerare av CYP3A4, en måttlig inducerare av CYP2C9 och CYP2C19, och har ingen klinisk relevant effekt på CYP2C8 (se avsnitt 4.5).
Eliminering
Genomsnittligt skenbart clearance (CL/F) för enzalutamid hos patienter varierar mellan 0,520 och 0,564 l/h.
Efter peroral administrering av 14C-enzalutamid återfinns 84,6 % av radioaktiviteten 77 dagar efter dosering: 71,0 % återfinns i urinen (huvudsakligen som inaktiv metabolit, med spårmängder av enzalutamid och den aktiva metaboliten), och 13,6 % återfinns i avföringen (0,39 % av dosen som oförändrad enzalutamid).
In vitro-data indikerar att enzalutamid inte utgör substrat för OATP1B1, OATP1B3 eller OCT1 och N‑desmetylenzalutamid är inte ett substrat för P‑gp eller BCRP.
In vitro-data indikerar att enzalutamid och dess huvudmetaboliter inte hämmar följande transportörer vid kliniskt relevanta koncentrationer: OATP1B1, OATP1B3, OCT2 eller OAT1.
Linjäritet
Inga större avvikelser från dosproportionalitet har setts inom dosintervallet 40 till 160 mg. Cmin-värdena vid steady state för enzalutamid och den aktiva metaboliten hos enskilda patienter förblev konstant under mer än ett år vid kronisk behandling, vilket påvisar en farmakokinetik som var linjär över tiden efter att steady state hade uppnåtts.
Nedsatt njurfunktion
Ingen formell studie har genomförts med enzalutamid vid nedsatt njurfunktion. Patienter med serumkreatinin > 177 μmol/l (2 mg/dl) exkluderades från de kliniska studierna. Baserat på en populationsfarmakokinetisk analys är dosjustering inte nödvändig för patienter med beräknade kreatininclearancevärden (CrCL) på ≥ 30 ml/min (uppskattade med Cockcroft och Gault-formeln). Enzalutamid har inte utvärderats hos patienter med kraftigt nedsatt njurfunktion (CrCL < 30 ml/min) eller terminal njursjukdom. Försiktighet bör iakttas vid behandling av dessa patienter. Det är osannolikt att enzalutamid kan avlägsnas väsentligt genom intermittent hemodialys eller kontinuerlig ambulatorisk peritonealdialys.
Nedsatt leverfunktion
Nedsatt leverfunktion hade inte en uttalad effekt på den totala exponeringen av enzalutamid eller dess aktiva metabolit. Halveringstiden för enzalutamid fördubblades dock hos patienter med kraftigt nedsatt leverfunktion jämfört med friska kontrollpersoner (10,4 dagar jämfört med 4,7 dagar), möjligen relaterat till en ökad vävnadsdistribution.
Farmakokinetiken för enzalutamid undersöktes hos personer med lätt (N = 6), måttligt (N = 8) eller kraftigt (N = 8) nedsatt leverfunktion vid baseline (Child-Pugh klass A, B eller C) och hos 22 matchade kontrollpersoner med normal leverfunktion. Efter en peroral singeldos på 160 mg av enzalutamid ökade AUC och Cmax för enzalutamid med 5 % respektive 24 % hos personer med lätt nedsatt leverfunktion, och AUC och Cmax för enzalutamid ökade med 29 % respektive minskade med 11 % hos personer med måttligt nedsatt leverfunktion, och AUC och Cmax för enzalutamid ökade med 5 % respektive minskade med 41 % hos personer med kraftigt nedsatt leverfunktion, jämfört med friska kontrollpersoner. För summan av obunden enzalutamid plus den obundna aktiva metaboliten ökade AUC och Cmax med 14 % respektive 19 % hos personer med lätt nedsatt leverfunktion, och AUC och Cmax ökade med 14 % respektive minskade med 17 % hos personer med måttligt nedsatt leverfunktion, och AUC och Cmax ökade med 34 % respektive minskade med 27 % hos personer med kraftigt nedsatt leverfunktion, jämfört med friska kontrollpersoner.
Etnisk härkomst
De flesta patienter i de kontrollerade kliniska studierna (> 75 %) var kaukasier. Baserat på farmakokinetiska data från studier på japanska och kinesiska patienter med prostatacancer, sågs inga kliniskt relevanta skillnader i exponering mellan populationerna. Det saknas data för att bedöma eventuella skillnader i farmakokinetiken för enzalutamid hos patienter med andra etniska härkomster.
Äldre
Ingen klinisk relevant ålderseffekt på enzalutamids farmakokinetik kunde ses i de farmakokinetiska populationsanalyserna för äldre.
Enzalutamidbehandling av dräktiga möss ledde till en ökad incidens av embryofetal död och externa förändringar samt skelettförändringar. Fertilitetsstudier har inte utförts med enzalutamid, men i studier på råttor (4 och 26 veckor) och på hundar (4, 13 och 39 veckor) noterades atrofi, aspermi/hypospermi, och hypertrofi/hyperplasi i reproduktionssystemet, vilket är i överensstämmelse med enzalutamids farmakologiska aktivitet. I studier på möss (4 veckor), råttor (4 och 26 veckor) och på hundar (4, 13 och 39 veckor) noterades förändringar i reproduktionsorganen, förknippade med enzalutamidbehandling, såsom minskning i organvikt med atrofi av prostata och bitestiklarna. Hypertrofi och/eller hyperplasi i Leydigceller observerades på möss (4 veckor) och hundar (39 veckor). Ytterligare förändringar i reproduktionsvävnaden inkluderade hypertrofi/hyperplasi i hypofysen och atrofi i sädesblåsorna i råtta samt testikelhypospermi och seminifer tubulidegeneration hos hundar. Skillnader i kön noterades i bröstkörtlarna på råtta (atrofi i hanar och lobulär hyperplasi i honor). Förändringar i reproduktionsorganen hos bägge arterna överensstämde med enzalutamids farmakologiska aktivitet och återställdes helt eller delvis efter en 8 veckor lång återhämtningsperiod. Det fanns inga andra viktiga förändringar i den kliniska patologin eller histopatologin i något annat organsystem, inklusive lever, hos någon art.
Studier på dräktiga råttor har visat att enzalutamid och/eller dess metaboliter överförs till foster. Efter oral administrering av radiomärkt 14C-enzalutamid till råttor på dag 14 av dräktigheten, i en dos på 30 mg/kg (~ 1,9 gånger den maximala dosen rekommenderad till människa), uppnåddes den maximala radioaktiviteten i fostret 4 timmar efter administrering och var lägre än den i moderplasma med en vävnad/plasma-ratio på 0,27. Radioaktiviteten i fostret minskade till 0,08 gånger den maximala koncentrationen vid 72 timmar efter administrering.
Studier på lakterande råttor har visat att enzalutamid och/eller dess metaboliter utsöndras i mjölk hos råttor. Efter oral administrering av radiomärkt 14C-enzalutamid till lakterande råttor, i en dos på 30 mg/kg (~ 1,9 gånger den maximala dosen rekommenderad till människa), uppnåddes den maximala radioaktiviteten i mjölken 4 timmar efter administrering och var upp till 3,54 gånger högre än den i moderplasma. Studieresultat har också visat att enzalutamid och/eller dess metaboliter överförs till nyfödda råttors vävnader via mjölk och elimineras därefter.
Enzalutamid var negativt i en standarduppsättning av genotoxicitetstester in vitro och in vivo. I en 6-månaders studie på transgena rasH2-möss visade enzalutamid ingen karcinogen potential (avsaknad av neoplastiska fynd) i doser på upp till 20 mg/kg per dag (AUC24h ~ 317 µg·h/ml), vilket ledde till exponeringsnivåer i plasma som liknade den kliniska exponeringen (AUC24h ~ 322 µg·h/ml) hos mCRPC-patienter som fick 160 mg en gång dagligen.
Daglig dosering till råtta med enzalutamid i två år gav en ökad förekomst av neoplastiska fynd. Dessa innefattade benignt tymom, fibroadenom i bröstkörtlarna, benigna Leydig-tumörceller i testiklarna, och uroteliala papillom och karcinom i urinblåsan hos hannar, benigna granulosa celltumörer i äggstockarna hos honor, samt adenom i hypofysen pars distalis hos båda könen. Det kan inte uteslutas att fynd av tymom, hypofysadenom och fibroadenom i bröstkörtlarna, samt uroteliala papillom och karcinom i urinblåsan, är relevanta för människa.
Enzalutamid var inte fototoxiskt in vitro.
Farmakoterapeutisk grupp: antihormoner och relaterade medel, antiandrogener, ATC-kod: L02BB04
Verkningsmekanism
Prostatacancer är känd för att vara androgenkänslig och svarar på hämning av androgenreceptorsignalering. Trots låga eller till och med odetekterbara nivåer av serumandrogen fortsätter androgenreceptorsignaleringen att främja sjukdomsprogressionen. Stimulering av tumörcellstillväxt via androgenreceptorn kräver cellkärnelokalisering och DNA-bindning. Enzalutamid är en potent androgenreceptorsignalhämmare som blockerar flera steg i androgenreceptorsignaleringsvägen. Enzalutamid hämmar androgenbindningen till androgenreceptorer kompetitivt och hämmar därmed translokering till kärnan för aktiverade receptorer och hämmar föreningen av den aktiverade androgenreceptorn med DNA. Detta sker även vid överuttryck av androgenreceptorn och i prostatacancerceller som är resistenta mot antiandrogener. Enzalutamidbehandling minskar tillväxten av prostatacancerceller och kan inducera cancercelldöd och tumörregression. I prekliniska studier saknar enzalutamid agonistisk aktivitet på androgenreceptorn.
Farmakodynamisk effekt
I en fas 3 klinisk prövning (AFFIRM) på patienter som fallerat tidigare cytostatikabehandling med docetaxel fick 54 % av patienterna som behandlats med enzalutamid och 1,5 % av patienterna som fick placebo minst en 50 % minskning av PSA-värdet jämfört med baseline-värdet.
I en annan fas 3 klinisk prövning (PREVAIL) på kemonaiva patienter uppvisade patienter som fick enzalutamid en signifikant högre total PSA-svarsfrekvens (definierad som en ≥ 50 % minskning från baseline-värdet) jämfört med patienter som fick placebo, 78,0 % jämfört med 3,5 % (skillnad = 74,5 %, p < 0,0001).
I en fas 2 klinisk prövning (TERRAIN) på kemonaiva patienter uppvisade patienter som fick enzalutamid en signifikant högre total PSA-svarsfrekvens (definierad som en ≥ 50 % minskning från baseline-värdet) jämfört med patienter som fick bikalutamid, 82,1 % jämfört med 20,9 % (skillnad = 61,2 %, p < 0,0001).
I en enarmad prövning (9785-CL-0410) på patienter tidigare behandlade med abirateron (plus prednison) i minst 24 veckor hade 22,4 % en ≥ 50 % minskning av PSA-värdet jämfört med baseline-värdet. I beaktande av tidigare kemoterapihistorik var andelen patienter med en ≥ 50 % minskning av PSA-värdet 22,1 % och 23,2 % för patientgrupper med ingen tidigare kemoterapi respektive tidigare kemoterapi.
I den kliniska prövningen MDV3100-09 (STRIVE) med icke-metastaserad och metastaserad CRPC, uppvisade patienter som fick enzalutamid en signifikant högre total bekräftad svarsfrekvens av PSA (definierad som ≥ 50 % minskning från baseline) jämfört med patienter som fick bikalutamid, 81,3 % kontra 31,3 % (skillnad = 50,0 %, p < 0,0001).
I den kliniska prövningen MDV3100-14 (PROSPER) med icke-metastaserad CRPC uppvisade patienter som fick enzalutamid en signifikant högre bekräftad svarsfrekvens av PSA (definierad som ≥ 50 % minskning från baseline) jämfört med patienter som fick placebo, 76,3 % kontra 2,4 % (skillnad = 73,9 %, p < 0,0001).
Klinisk effekt och säkerhet
Enzalutamids effekt fastställdes i tre randomiserade placebokontrollerade, multicenterstudier i fas 3 [MDV3100-14 (PROSPER), CRPC2 (AFFIRM), MDV3100‑03 (PREVAIL)] på patienter med progressiv prostatacancer med sjukdomsprogression vid androgen deprivationsbehandling [LHRH‑analog eller efter bilateral orkiektomi]. PREVAIL‑studien rekryterade kemoterapinaiva patienter med metastaserad CRPC, medan AFFIRM‑studien rekryterade patienter med metastaserad CRPC som tidigare fått docetaxel. PROSPER-studien rekryterade patienter med icke-metastaserad CRPC. Effekten för patienter med mHSPC fastställdes i en randomiserad, placebokontrollerad, klinisk multicenterstudie i fas 3 [9785‑CL‑0335 (ARCHES)]. I en annan randomiserad, placebokontrollerad, klinisk multicenterstudie i fas 3 [MDV3100-13 (EMBARK)] fastställdes effekten hos patienter med högrisk BCR nmHSPC. Alla patienter var behandlade med en LHRH‑analog eller hade tidigare genomgått bilateral orkiektomi, om inget annat anges.
I de aktiva behandlingsarmarna administrerades Xtandi oralt med en dos om 160 mg dagligen. I de fem kliniska studierna (EMBARK, ARCHES, PROSPER, AFFIRM och PREVAIL) fick patienterna placebo i kontrollarmen och patienterna behövde inte ta prednison.
Förändringar av serumkoncentrationen av PSA enbart, förutsäger inte alltid klinisk nytta. I de fem studierna rekommenderades patienterna därför att stå kvar på sina studieläkemedel tills uppehålls- eller avbrottskriterierna för respektive studie var uppfyllda enligt specifikationerna nedan.
Studie MDV3100-13 (EMBARK) (patienter med högrisk BCR icke-metastaserad HSPC)
EMBARK-studien omfattade 1 068 patienter med högrisk BCR nmHSPC som randomiserades 1:1:1 till att få behandling med enzalutamid oralt i en dos om 160 mg en gång dagligen tillsammans med ADT (N = 355), enzalutamid oralt i en dos om 160 mg en gång dagligen som öppen monoterapi (N = 355) eller placebo oralt en gång dagligen tillsammans med ADT (N = 358) (ADT definierades som leuprorelin). Alla patienter hade tidigare fått definitiv behandling med radikal prostatektomi eller strålbehandling (inklusive brakyterapi) eller båda, i kurativt syfte. Det krävdes att patienterna hade fått icke-metastaserad sjukdom bekräftad genom blindad oberoende central granskning (BICR) och hög risk för biokemiskt återfall (definierat som en fördubblingstid av PSA på ≤ 9 månader). Det krävdes även att patienterna hade PSA-värden på ≥ 1 ng/ml om de tidigare hade genomgått radikal prostatektomi (med eller utan strålbehandling) som primär behandling för prostatacancer eller PSA-värden minst på 2 ng/ml över nadir om de tidigare hade fått endast strålbehandling. Patienter som hade genomgått prostatektomi och enligt prövarens bedömning var lämpliga kandidater för salvage-strålbehandling exkluderades från studien.
Patienterna stratifierades efter PSA vid screening (≤ 10 ng/ml jämfört med > 10 ng/ml), PSA-fördubblingstid (≤ 3 månader jämfört med > 3 månader till ≤ 9 månader) och tidigare hormonbehandling (tidigare hormonbehandling jämfört med ingen tidigare hormonbehandling). För patienter vars PSA-värden var odetekterbara (< 0,2 ng/ml) i vecka 36 avbröts behandlingen i vecka 37 och återupptogs när PSA-värdena hade ökat till ≥ 2,0 ng/ml för patienter som tidigare hade genomgått prostatektomi eller ≥ 5,0 ng/ml för patienter utan tidigare prostatektomi. För patienter vars PSA-värden var detekterbara i vecka 36 (≥ 0,2 ng/ml) fortsatte behandlingen utan uppehåll tills kriterierna för permanent behandlingsavbrott uppfylldes. Behandlingen sattes ut permanent när utveckling av radiografisk progression bekräftades genom central granskning efter den inledande lokala avläsningen.
Demografi och egenskaper vid baseline var välbalanserade mellan de tre behandlingsgrupperna. Den totala medianåldern vid randomiseringen var 69 år (intervall: 49,0–93,0). De flesta patienterna i den totala populationen var kaukasier (83,2 %), 7,3 % var asiater och 4,4 % var svarta. Mediantiden för PSA-fördubbling var 4,9 månader. Sjuttiofyra procent av patienterna hade tidigare fått definitiv behandling med radikal prostatektomi, 75 % av patienterna hade tidigare fått strålbehandling (inklusive brakyterapi) och 49 % hade fått båda. Trettiotvå procent av patienterna hade en Gleason-poäng på ≥ 8. ECOG (Eastern Cooperative Oncology Group) funktionsstatus var 0 för 92 % av patienterna och 1 för 8 % av patienterna vid studiestart.
Metastasfri överlevnad (MFS) hos patienter som randomiserades till att få enzalutamid plus ADT jämfört med patienter som randomiserades till att få placebo plus ADT var primär endpoint. Metastasfri överlevnad definierades som tid från randomisering till radiografisk progression eller dödsfall i studien, beroende på vilket som inträffade först.
Multiplicitetstestade sekundära endpoints som utvärderades var tid till PSA-progression, tid till första användning av antineoplastisk behandling och total överlevnad. En annan multiplicitetstestad sekundär endpoint var MFS hos patienter som randomiserats till att få enzalutamid som monoterapi jämfört med patienter som randomiserats till att få placebo plus ADT.
Enzalutamid plus ADT och som monoterapi uppvisade en statistiskt signifikant förbättring av MFS jämfört med placebo plus ADT. Viktiga effektresultat visas i tabell 2.
Tabell 2: Sammanfattning av effekt hos patienter som behandlats med antingen enzalutamid plus ADT, placebo plus ADT eller enzalutamid som monoterapi i EMBARK-studien (intent-to-treat-analys)
NR = ej uppnått.
Mediantid för uppföljning på 61 månader.
Baserat på den tidigaste bidragande händelsen (radiografisk progression eller dödsfall).
Baserat på Kaplan-Meier-uppskattningar.
Riskkvoten baseras på en Cox-regressionsmodell stratifierad efter PSA vid screening, PSA-fördubblingstid och tidigare hormonbehandling.
Tvåsidigt p-värde är baserat på ett stratifierat log-rank-test efter PSA vid screening, PSA-fördubblingstid och tidigare hormonbehandling.
Baserat på PSA-progression i enlighet med kriterier från Prostate Cancer Clinical Trials Working Group 2.Baserat på första användningen av antineoplastisk behandling för prostatacancer efter baseline.
Baserat på första användningen av antineoplastisk behandling för prostatacancer efter baseline.
Vid den slutliga analysen (medianuppföljningstid 94,0 månader) uppvisade enzalutamid plus ADT en statistiskt signifikant förbättrad total överlevnad jämfört med placebo plus ADT [HR = 0,60 (95 % KI: 0,44; 0,80), p = 0,0006]. Medianvärdet för total överlevnad uppnåddes inte i armen som fick enzalutamid plus ADT och var 117,5 månader (95 % KI: 109,8; NR) i armen som fick placebo plus ADT (figur 3). Ingen statistisk signifikant skillnad observerades med enzalutamid som monoterapi jämfört med placebo plus ADT (HR = 0,83; 95 % KI: 0,63–1,10) (figur 4).
Figur 1: Kaplan‑Meier-kurvor för MFS i armen som fick enzalutamid plus ADT jämfört med armen som fick placebo plus ADT i EMBARK-studien (intent-to-treat-analys)
Figur 2: Kaplan‑Meier-kurvor för MFS i armen som fick enzalutamid som monoterapi jämfört med armen som fick placebo plus ADT i EMBARK-studien (intent-to-treat-analys)
Figur 3: Kaplan-Meier-kurvor över total överlevnad i armen som fick enzalutamid plus ADT jämfört med armen som fick placebo plus ADT I EMBARK-studien (intent-to-treat-analys)
Figur 4: Kaplan-Meier-kurvor över total överlevnad i armen som fick enzalutamid som monoterapi jämfört med armen som fick placebo plus ADT i EMBARK-studien (intent-to-treat-analys)
Efter administrering av ADT som enzalutamid plus ADT eller placebo plus ADT minskade testosteronnivåerna snabbt till kastrationsnivå och förblev låga fram till behandlingsavbrottet efter 37 veckor. Efter avbrottet ökade testosteronnivåerna gradvis till nivåer nära baseline. När behandlingen återupptogs minskade de igen till kastrationsnivå. I armen som fick enzalutamid som monoterapi ökade testosteronnivåerna efter påbörjad behandling och återgick mot baseline-nivåerna när behandlingen avbröts. De ökade återigen när behandlingen med enzalutamid återupptogs.
9785‑CL‑0335 (ARCHES)‑studien (patienter med metastaserad HSPC)
ARCHES‑studien inkluderade 1 150 patienter med mHSCP som randomiserades 1:1 till behandling med enzalutamid plus ADT eller placebo plus ADT (ADT definierades som LHRH‑analog eller bilateral orkiektomi). Patienterna fick 160 mg enzalutamid en gång dagligen (N = 574) eller placebo (N = 576).
Patienter med metastaserad prostatacancer dokumenterad med positiv benscanning (för skelettsjukdom) eller lesioner på datortomografi‑ eller MRT‑scanning (för mjukvävnad) tydande på metastaser, var lämpliga för inklusion i studien. Patienter vars sjukdomsspridning var begränsad till lokala lymfkörtlar i bäckenet var inte lämpliga. Patienterna kunde ha fått upp till 6 cykler med docetaxelbehandling med slutlig behandling administrerad inom 2 månader från dag 1 och inga tecken på sjukdomsprogression under eller efter den avslutade docetaxelbehandlingen. Patienter med känd eller misstänkt hjärnmetastas eller aktiv leptomeningeal sjukdom, eller med krampanfall i anamnesen eller med tillstånd som kan predisponera för krampanfall, exkluderades.
Demografi och egenskaper vid baseline var välbalanserade mellan de två behandlingsgrupperna. Medianåldern vid randomisering var 70 år i båda behandlingsgrupperna. De flesta patienterna i den totala populationen var kaukasier (80,5 %), 13,5 % var asiater och 1,4 % var svarta. ECOG (Eastern Cooperative Oncology Group) funktionsstatus var 0 för 78 % av patienterna och 1 för 22 % av patienterna vid studiestart. Patienter stratifierades efter låg kontra hög sjukdomsvolym och tidigare docetaxelbehandling för prostatacancer. Trettiosju procent av patienterna hade en låg sjukdomsvolym och 63 % av patienterna hade en hög sjukdomsvolym. Åttiotvå procent av patienterna hade inte fått en tidigare docetaxelbehandling, 2 % hade tidigare fått 1-5 cykler och 16 % hade fått 6 cykler. Behandling med samtidig docetaxel var inte tillåten.
Radiografisk progressionsfri överlevnad (rPFS), baserad på oberoende central granskning, var primär endpoint som definierades som tiden från randomisering till det första objektiva tecknet på radiografisk sjukdomsprogression eller dödsfall (oavsett anledning från tidpunkten för randomisering upp till 24 veckor från det att patienten slutade ta studieläkemedlet), beroende på vilket som inträffade först.
Enzalutamid visade en statistiskt signifikant minskning på 61 % av risken för en rPFS‑händelse jämfört med placebo [HR = 0,39 (95 % KI: 0,30, 0,50), p < 0,0001]. Överensstämmande rPFS‑resultat observerades hos patienter med hög eller låg sjukdomsvolym och hos patienter med eller utan tidigare docetaxelbehandling. Mediantiden till en rPFS‑händelse uppnåddes inte i enzalutamidgruppen och var 19,0 månader (95 % KI: 16,6, 22,2) i placebogruppen.
Tabell 3: Sammanfattning av effektresultat hos patienter som behandlades med antingen enzalutamid eller placebo i ARCHES‑studien (intent‑to‑treat‑analys)
NR = Ej uppnått.
1. Beräknat med hjälp av Brookmeyer och Crowley‑metoden.
2. Stratifierad efter sjukdomsvolym (låg eller hög) och tidigare behandling med docetaxel (ja eller nej).
Figur 5: Kaplan‑Meier‑kurvor för rPFS i ARCHES‑studien (intent‑to‑treat‑analys)
Viktiga sekundära endpoints som utvärderades i studien omfattade tid till PSA‑progression, tid till första användning av ny antineoplastisk behandling, icke påvisbar PSA‑halt (minskning till < 0,2 µg/l) och objektiv svarsfrekvens (RECIST 1.1 baserat på oberoende granskning). Statistiskt signifikanta förbättringar hos patienter som behandlats med enzalutamid jämfört med placebo visades för alla dessa sekundära endpoints.
En annan viktig sekundär endpoint som utvärderades i studien var total överlevnad. Vid den förspecificerade slutliga analysen av total överlevnad, som utfördes när 356 dödsfall hade observerats, visade en statistiskt signifikant minskning av risken för dödsfall med 34 % i gruppen som randomiserats till att få enzalutamid jämfört med gruppen som randomiserats till att få placebo [HR = 0,66, (95 % KI: 0,53; 0,81), p < 0,0001]. Mediantiden för total överlevnad uppnåddes inte i någon av behandlingsgrupperna. Den uppskattade mediantiden för uppföljning av alla patienter var 44,6 månader (se Figur 6).
Figur 6: Kaplan-Meier-kurvor för total överlevnad i ARCHES-studien (intent-to-treat-analys)
MDV3100-14 (PROSPER) -studien (patienter med icke-metastaserad CRPC)
PROSPER-studien inkluderade 1 401 patienter med asymtomatisk, högrisk icke-metastaserad CRPC som fortsatte med androgen deprivationsbehandling (ADT; definierad som LHRH-analog eller tidigare bilateral orkiektomi). Det krävdes att patienterna hade en fördubblingstid av PSA ≤ 10 månader, PSA ≥ 2 ng/ml och icke-metastaserande sjukdom bekräftad genom blindad oberoende central granskning (Blinded Independent Central Review, BICR).
Patienter med lätt till måttlig hjärtsvikt (NYHA‑klass I eller II) i anamnesen, och patienter som tog läkemedel förknippade med sänkning av tröskeln för krampanfall inkluderades. Patienter med ett tidigare krampanfall i anamnesen, ett tillstånd som kan predisponera för krampanfall eller vissa tidigare prostatacancerbehandlingar (d.v.s. kemoterapi, ketokonazol, abirateronacetat, aminoglutetimid och/eller enzalutamid) exkluderades.
Patienterna randomiserades 2:1 antingen till en dos av 160 mg enzalutamid en gång dagligen (N = 933) eller placebo (N = 468). Patienterna stratifierades efter fördubblingstid av PSA (PSADT) (< 6 månader eller ≥ 6 månader) och användning av medel med skelettpåverkan (ja eller nej).
Demografi och egenskaper vid baseline var välbalanserade mellan de två behandlingsgrupperna. Medianåldern vid randomisering var 74 år i enzalutamidgruppen och 73 år i placebogruppen. De flesta (ca 71 %) patienterna i studien var kaukasier, 16 % var asiater och 2 % var svarta. Åttioen procent (81 %) av patienterna hade en ECOG funktionsstatus på 0 och 19 % av patienterna hade en ECOG funktionsstatus på 1.
Metastasfri överlevnad (MFS) var primär endpoint och definierades som tid från randomisering till radiografisk progression eller dödsfall inom 112 dagar efter avslutad behandling utan tecken på radiografisk progression, beroende på vilket som inträffade först. Viktigaste sekundära endpoints som utvärderades i studien var tid till PSA-progression, tid till första användning av ny antineoplastisk behandling (TTA), total överlevnad (OS). Ytterligare sekundära endpoints inkluderade tid till första användning av cytotoxisk kemoterapi och kemoterapifri överlevnad. Se nedan resultat (Tabell 4).
Enzalutamid visade en statistiskt signifikant minskning på 71 % av den relativa risken för radiografisk progression eller dödsfall jämfört med placebo [HR = 0,29 (95 % KI: 0,24, 0,35), p < 0,0001]. Medianvärdet för MFS var 36,6 månader (95 % KI: 33,1, NR) i enzalutamidgruppen jämfört med 14,7 månader (95 % KI: 14,2, 15,0) i placebogruppen. Konsekventa MFS-resultat observerades också i alla fördefinierade undergrupper av patienter, inklusive PSADT (< 6 månader eller ≥ 6 månader), demografisk region (Nordamerika, Europa, resten av världen), ålder (< 75 eller ≥ 75), användning av ett tidigare medel med skelettpåverkan (ja eller nej) (se Figur 7).
Tabell 4: Sammanfattning av effektresultat i PROSPER-studien (intent-to-treat-analys)
NR = Ej uppnått.
Baserat på Kaplan-Meier-uppskattningar.
Riskkvot (HR) baseras på en Cox-regressionsmodell (med behandling som enda kovariat), stratifierad efter fördubblingstid av PSA och tidigare eller samtidig användning av ett medel avsett för ben. HR är relativt till placebo där < 1 förespråkar enzalutamid.
p-värdet är baserat på ett stratifierat log‑rank‑test av PSA-fördubblingstid (< 6 månader, ≥ 6 månader) samt tidigare eller samtidig användning av ett medel med skelettpåverkan (ja, nej).
Baserat på en förspecificerad interimanalys med brytdatum för data 15 okt 2019.
Figur 7: Kaplan-Meier-kurvor för metastasfri överlevnad i PROSPER-studien (intent-to-treat-analys)
Vid den slutliga analysen av total överlevnad, vilken utfördes när 466 dödsfall observerades, visades en statistiskt signifikant förbättring av total överlevnad hos patienter som randomiserats till att få enzalutamid jämfört med patienter som randomiserats till att få placebo, med en minskning i risk för dödsfall med 26,6 % [riskkvot (HR) = 0,734 (95 % KI: 0,608, 0,885), p = 0,0011] (se Figur 8). Medianvärdet för uppföljningstid var 48,6 månader i enzalutamidgruppen och 47,2 månader i placebogruppen. Trettiotre procent av enzalutamidbehandlade och 65 % av placebobehandlade patienter fick minst en efterföljande antineoplastisk behandling som kan förlänga den totala överlevnaden.
Figur 8: Kaplan‑Meier totala överlevnadskurvor i PROSPER-studien (intent-to-treat-analys)
Enzalutamid visade en statistiskt signifikant minskning på 93 % av den relativa risken för PSA-progression jämfört med placebo [HR = 0,07 (95 % KI: 0,05, 0,08), p < 0,0001]. Mediantid till PSA-progression var 37,2 månader (95 % KI: 33,1, NR) i enzalutamidgruppen jämfört med 3,9 månader (95 % KI: 3,8, 4,0) i placebogruppen.
Enzalutamid visade en statistiskt signifikant fördröjning av tiden till den första användningen av ny antineoplastisk behandling jämfört med placebo [HR: 0,21 (95 % KI: 0,17, 0,26), p < 0,0001]. Medianvärdet för tid till första användning av ny antineoplastisk behandling var 39,6 månader (95 % KI: 37,7, NR) i enzalutamidgruppen jämfört med 17,7 månader (95 % KI: 16,2, 19,7) i placebogruppen (se Figur 9).
Figur 9: Kaplan-Meier-kurvor för tid till första användning av antineoplastisk behandling i PROSPER-studien (intent-to-treat-analys)
MDV3100-09 (STRIVE) -studien (kemoterapinaiva patienter med icke-metastaserad/metastaserad CRPC)
STRIVE-studien inkluderade 396 patienter med icke-metastaserad eller metastaserad CRPC med serologisk eller radiografisk sjukdomsprogression trots primär androgendepriverande behandling, vilka randomiserades till antingen en dos om 160 mg enzalutamid en gång dagligen (N = 198) eller en dos om 50 mg bikalutamid en gång dagligen (N = 198). PFS var primär endpoint definierat som tid från randomisering till tidigaste objektiva tecken på radiografisk progression, PSA-progression eller dödsfall i studien. Median-PFS var 19,4 månader (95 % KI: 16,5, ej uppnått) i enzalutamidgruppen jämfört med 5,7 månader (95 % KI: 5,6, 8,1) i bikalutamidgruppen [HR = 0,24 (95 % KI: 0,18, 0,32), p < 0,0001]. Konsistent nytta av enzalutamid jämfört med bikalutamid för PFS observerades i samtliga förspecificerade subgrupper av patienter. I den icke-metastaserade subgruppen (N = 139) förekom PFS-händelser hos totalt 19 av 70 (27,1%) patienter som behandlades med enzalutamid, och 49 av 69 (71,0 %) patienter som behandlades med bikalutamid (totalt 68 händelser). Riskkvoten var 0,24 (95 % KI: 0,14, 0,42) och mediantiden till PFS-händelse uppnåddes inte i enzalutamidgruppen jämfört med 8,6 månader i bikalutamidgruppen (se Figur 10).
Figur 10: Kaplan-Meier-kurvor med progressionsfri överlevnad i STRIVE-studien (intent-to-treat-analys)
9785-CL-0222 (TERRAIN) -studien (kemoterapinaiva patienter med metastaserad CRPC)
TERRAIN studien inkluderade 375 kemo- och antiandrogenbehandlingsnaiva patienter med metastaserad CRPC, som randomiserats antingen till en dos om 160 mg enzalutamid en gång dagligen (N = 184) eller 50 mg bikalutamid en gång dagligen (N = 191). Median-PFS var 15,7 månader för patienter på enzalutamid jämfört med 5,8 månader för patienter på bikalutamid [HR = 0,44 (95 % KI: 0,34, 0,57), p < 0,0001]. Progressionsfri överlevnad definierades som objektiva belägg för radiografisk sjukdomsprogression av oberoende central granskning, skelettrelaterade händelser, initiering av ny antioplastisk terapi eller dödsfall av någon orsak, vilket som inträffade först. Konsekvent PFS-nytta observerades i alla fördefinierade subgrupper av patienter.
MDV3100‑03 (PREVAIL) -studien (kemoterapinaiva patienter med metastaserad CRPC)
Totalt 1 717 asymtomatiska eller lätt symtomatiska kemoterapinaiva patienter randomiserades i förhållandet 1:1 till att få antingen enzalutamid oralt vid en dos om 160 mg en gång dagligen (N = 872) eller placebo oralt en gång dagligen (N = 845). Patienter med visceral sjukdom, patienter med en anamnes på lätt till måttlig hjärtsvikt (NYHA‑klass I eller II) och patienter som tar läkemedel som förknippas med sänkning av tröskeln för krampanfall inkluderades. Patienter med en tidigare anamnes på krampanfall eller ett tillstånd som kan predisponera för krampanfall och patienter med måttlig till svår smärta av prostatacancer exkluderades. Studiebehandling pågick till sjukdomsprogression (tecken på radiografisk progression, en skelettrelaterad händelse eller klinisk progression) och insättandet av antingen en cytotoxisk kemoterapibehandling eller ett prövningsläkemedel eller till oacceptabel toxicitet.
Patientdemografi och sjukdomskarakteristiska vid baseline balanserades mellan behandlingsarmarna. Medianåldern var 71 år (intervall 42–93) och den etniska fördelningen var 77 % kaukasier, 10 % asiater, 2 % svarta och 11 % annat eller av okänt etniskt ursprung. Sextioåtta procent (68 %) av patienterna hade ECOG funktionsstatus 0 och 32 % av patienterna hade en ECOG funktionsstatus på 1. Smärtbedömning vid baseline var 0–1 (asymtomatisk) hos 67 % av patienterna och 2–3 (lätt symtomatisk) hos 32 % av patienterna enligt definition på skalan Brief Pain Inventory Short Form (värsta smärta under de senaste 24 timmarna på en skala från 0 till 10). Cirka 45 % av patienterna hade mätbar mjukvävnadssjukdom vid studiestart och 12 % av patienterna hade viscerala (lungor och/eller lever) metastaser.
Co-primära endpoints var total överlevnad och radiografisk progressionsfri överlevnad (rPFS). Förutom co‑primära endpoints bedömdes nyttan också med hjälp av tid till insättning av cytotoxisk kemoterapi, bästa totalt mjukvävnadssvar, tid till första skelettrelaterad händelse, PSA‑svar (≥50 % minskning från baseline), tid till PSA‑progression och tid till degradering av FACT‑P totalpoäng.
Radiografisk progression bedömdes med sekventiella bildstudier definierade i kriterierna från Prostate Cancer Clinical Trials Working Group 2 (PCWG2) (för skelettlesioner) och/eller kriterierna från Response Evaluation Criteria in Solid Tumors (RECIST v 1.1) (för mjukvävnadslesioner). rPFS analyserades med hjälp av centralt granskad radiografisk bedömning av progression.
Vid den förspecificerade interimanalysen av total överlevnad, där 540 dödsfall observerades, visade behandling med enzalutamid en statistiskt signifikant förbättring av total överlevnad jämfört med placebobehandling med en minskning i risk för dödsfall med 29,4 % [HR = 0,706 (95 % KI: 0,60; 0,84), p < 0,0001]. En uppdaterad överlevnadsanalys utfördes när 784 dödsfall observerades. Resultaten från denna analys överensstämde med interimanalysen (Tabell 5). Vid den uppdaterade analysen hade 52 % av enzalutamidbehandlade och 81 % av placebobehandlade patienter mottagit efterföljande behandlingar mot metastatisk CRPC som kan förlänga den totala överlevnaden.
En slutlig analys av 5‑årsdata från PREVAIL visade att en statistiskt signifikant ökning av den totala överlevnaden upprätthölls hos patienter som behandlades med enzalutamid jämfört med placebo [HR = 0,835 (95 % KI: 0,75, 0,93), p‑värde = 0,0008] trots att 28 % av patienterna på placebo bytte till enzalutamid. Den totala 5-årsöverlevnaden var 26 % i enzalutamidgruppen jämfört med 21 % i placebogruppen.
Tabell 5: Total överlevnad hos patienter behandlade med antingen enzalutamid eller placebo i PREVAIL‑studien (intent-to-treat‑analys)
NR = Ej uppnått.
p‑värde hämtat från ett icke‑stratifierat log‑rank‑test.
Riskkvot hämtad från en icke-stratifierad proportionell riskmodell. Riskkvot < 1 förespråkar enzalutamid.
Figur 11: Kaplan-Meier totala överlevnadskurvor baserat på en 5-års överlevnadsanalys i PREVAIL‑studien (intent-to-treat‑analys)
Figur 12: 5-års total överlevnadsanalys per subgrupp: riskkvot och 95 % konfidensintervall i PREVAIL‑studien (intent-to-treat‑analys)
Vid den förspecificerade rPFS‑analysen sågs en statistiskt signifikant förbättring mellan behandlingsgrupperna med en minskning på 81,4 % av risk för radiografisk progression eller dödsfall [HR = 0,19 (95 % KI: 0,15, 0,23), p < 0,0001]. Etthundraarton (14 %) enzalutamidbehandlade och 321 (40 %) placebobehandlade patienter drabbades av en händelse. Median‑rPFS nåddes inte (95 % KI: 13,8, nåddes inte) i den enzalutamidbehandlade gruppen och var 3,9 månader (95 % KI: 3,7, 5,4) i den placebobehandlade gruppen (Figur 13). Konsekvent rPFS‑nytta observerades för alla förspecificerade patientsubgrupper (t.ex. ålder, ECOG funktionsstatus vid baseline, PSA och LDH vid baseline, Gleason‑poäng vid diagnos och visceral sjukdom vid screening). En förspecificerad uppföljningsanalys av rPFS baserad på prövarens bedömning av radiografisk progression visade en statistiskt signifikant förbättring mellan behandlingsgrupperna med en minskning på 69,3 % av risk för radiografisk progression eller dödsfall [HR = 0,31 (95 % KI: 0,27, 0,35), p < 0,0001]. Median‑rPFS var 19,7 månader i enzalutamidgruppen och 5,4 månader i placebogruppen.
Figur 13: Kaplan-Meier‑kurvor för radiografisk progressionsfri överlevnad i PREVAIL‑studien (intent-to-treat‑analys)
Utöver de co‑primära endpoints för effekt, sågs även statistiskt signifikanta förbättringar av följande prospektivt definierade endpoints.
Mediantiden till insättning av cytotoxisk kemoterapi var 28,0 månader för patienter som fick enzalutamid och 10,8 månader för patienter som fick placebo [HR = 0,35 (95 % KI: 0,30, 0,40), p < 0,0001].
Andelen enzalutamidbehandlade patienter med mätbar sjukdom vid baseline som hade ett objektivt svar var 58,8 % (95 % KI: 53,8, 63,7) jämfört med 5,0 % (95 % KI: 3.0, 7,7) av patienterna som fick placebo. Den absoluta skillnaden i objektivt mjukvävnadssvar mellan enzalutamid- och placeboarmarna var [53,9 % (95 % KI: 48,5, 59,1), p < 0,0001]. Fullständiga svar rapporterades hos 19,7 % av de enzalutamidbehandlade patienterna jämfört med 1,0 % av de placebobehandlade patienterna och partiellt svar rapporterades hos 39,1 % av de enzalutamidbehandlade patienterna jämfört med 3,9 % av de placebobehandlade patienterna.
Enzalutamid minskade signifikant risken för en första skelettrelaterad händelse med 28 % [HR = 0,718 (95 % KI: 0,61, 0,84), p < 0,0001]. En skelettrelaterad händelse definierades som strålbehandling eller skelettkirurgi vid prostatacancer, patologisk skelettfraktur, ryggmärgskompression eller ändring av antineoplastisk behandling för att behandla skelettsmärta. Analysen omfattade 587 skelettrelaterade händelser, av vilka 389 händelser (66,3 %) var skelettstrålning, 79 händelser (13,5 %) var ryggmärgskompression, 70 händelser (11,9 %) var patologisk skelettfraktur, 45 händelser (7,6 %) var förändring av antineoplastisk behandling för att behandla skelettsmärta och 22 händelser (3,7 %) var skelettkirurgi.
Patienter som fick enzalutamid visade en signifikant högre svarsfrekvens för total‑PSA (definierat som en minskning på ≥ 50 % från baseline) jämfört med patienter som fick placebo, 78,0 % jämfört med 3,5 % (skillnad = 74,5 %, p < 0,0001).
Mediantiden till PSA‑progression enligt PCWG2‑kriterierna var 11,2 månader för patienter behandlade med enzalutamid och 2,8 månader för patienter som fick placebo [HR = 0,17 (95 % KI: 0,15, 0,20), p<0,0001].
Behandling med enzalutamid minskade risken för degradering av FACT‑P med 37,5 % jämfört med placebo (p<0,0001). Mediantiden till degradering av FACT‑P var 11,3 månader i enzalutamidgruppen och 5,6 månader i placebogruppen.
CRPC2 (AFFIRM) -studien (patienter med metastaserad CRPC som tidigare fått kemoterapi)
Enzalutamids effekt och säkerhet hos patienter med metastaserad CRPC, som hade fått docetaxel och använde en LHRH‑analog eller hade genomgått orkidektomi, utvärderades i en randomiserad, placebokontrollerad, multicenter fas 3 klinisk prövning. Totalt 1199 patienter randomiserades 2:1 till behandlingen med antigen enzalutamid 160 mg givet peroralt en gång dagligen (N = 800) eller placebo en gång dagligen (N = 399). Det var tillåtet men inget krav för patienterna att ta prednison (maximal tillåten daglig dos var 10 mg prednison eller motsvarande). Patienterna som randomiserats till endera arm skulle fortsätta behandlingen tills sjukdomsprogression (definierad som en bekräftad radiografisk progression eller förekomst av en skelettrelaterad händelse) och initiering av en ny systemisk antineoplastisk behandling, oacceptabel toxicitet eller tillbakadragande från studien.
Följande demografiska patientdata och sjukdomskaraktäristika var jämförbara mellan behandlingsarmarna vid studiestarten. Medianåldern var 69 år (intervall 41–92) och spridningen i etnisk härkomst var 93 % kaukasier, 4 % svarta, 1 % asiater och 2 % övriga. Prestationspoängen från ECOG var 0–1 hos 91,5 % av patienterna och 2 hos 8,5 % av patienterna; 28 % hade ett medelvärde för Brief Pain Inventory score på ≥ 4 (medelvärde för patienternas rapporterade värsta smärta under de senaste 24 timmarna, beräknat under sju dagar innan randomiseringen). De flesta patienterna (91 %) hade benmetastaser och 23 % hade också invärtes lung- och/eller leverpåverkan. Vid studiestart hade 41 % av de randomiserade patienterna endast PSA-progression, medan 59 % av patienterna hade radiografisk progression. Femtioen procent (51 %) av patienterna tog bisfosfonater vid studiestarten.
AFFIRM‑studien exkluderade patienter med ett hälsotillstånd som kunde predisponera dem för krampanfall (se avsnitt 4.8) och sådana som tog läkemedel kända för att sänka tröskeln för krampanfall. Detta gällde också för patienter som hade en kliniskt signifikant kardiovaskulär sjukdom såsom okontrollerat högt blodtryck, historia om nyligen inträffad hjärtinfarkt eller instabil angina, hjärtsvikt enligt New York Heart Association klass III eller IV (om inte ejektionsfraktionen var ≥ 45 %), kliniskt signifikanta kammararytmier eller AV-blockad (utan permanent pacemaker).
Den i protokollet förspecifierade interimanalysen efter 520 dödsfall visade en statistiskt signifikant överlägsenhet i total överlevnad för patienter behandlade med enzalutamid jämfört med placebo (Tabell 6 och Figur 14 och 15).
Tabell 6: Total överlevnad för patienter behandlade med antingen enzalutamid eller placebo i AFFIRM‑studien (intent-to-treat‑analys)
NR = Ej uppnått.
p-värdet härrör från ett log-rank test stratifierat efter ECOG-funktionsstatus (0–1 vs. 2) och medelsmärtpoäng (< 4 vs. ≥ 4).
Riskkvot härrör från en stratifierad proportionell riskmodell. Riskkvot < 1 förespråkar enzalutamid.
Figur 14: Kaplan‑Meier totala överlevnadskurvor i AFFIRM-studien (intent‑to‑treat‑analys)
Figur 15: Total överlevnad per subgrupp i AFFIRM‑studien – riskkvot och 95 % konfidensintervall
Utöver den observerade förbättringen i total överlevnad, visade analysen av de viktigaste sekundära endpointen (PSA-progression, radiografisk progressionsfri överlevnad och tiden till första skelettrelaterade händelse) att enzalutamid var bättre. Skillnaden var statistiskt signifikant efter justering för multipla test.
Radiografisk progressionsfri överlevnad bedömdes av prövaren genom användandet av RECIST v1.1. för mjukdelsvävnad och uppkomst av två eller flera sjukliga förändringar i ben bedömdes med benscanning. Resultatet visade på 8,3 månader för patienter behandlade med enzalutamid och 2,9 månaders för patienter som fick placebo [HR = 0,40 (95 % KI: 0,35, 0,47), p < 0,0001]. Analysen innefattade 216 dödsfall utan dokumenterad progression och 645 dokumenterade progressionshändelser, av vilka 303 (47 %) berodde på mjukdelsprogression, 268 (42 %) berodde på sjukliga förändringar i ben och 74 (11 %) berodde både på försämringar i mjukdelsvävnad och sjukliga förändringar i ben.
Bekräftad PSA-minskning på 50 % eller 90 % var 54,0 % respektive 24,8 % för patienter behandlade med enzalutamid och 1,5 % respektive 0,9 % för patienter som fick placebo (p < 0,0001). Mediantiden till PSA-progression var 8,3 månader för patienter behandlade med enzalutamid och 3,0 månader för patienter som fick placebo [HR = 0,25 (95 % KI: 0,20, 0,30), p < 0,0001].
Mediantiden till första skelettrelaterade händelse var 16,7 månader för patienter behandlade med enzalutamid och 13,3 månader for patienter som fick placebo [HR = 0,69 (95 % KI: 0,57, 0,84), p < 0,0001]. En skelettrelaterad händelse definierades som strålbehandling eller kirurgiskt ingrepp i benvävnad, patologisk benfraktur, ryggradskompression eller förändring av antineoplastiskbehandling för att behandla skelettsmärta. Analysen innefattade 448 skelettrelaterade händelser, av vilka 277 händelser (62 %) var strålning av ben, 95 händelser (21 %) var ryggradskompression, 47 händelser (10 %) var patologiska benfrakturer, 36 händelser (8 %) var förändringar i antineoplastiskbehandling för att behandla skelettsmärta och 7 händelser (2 %) var kirurgiskt ingrepp i benvävnad.
9785-CL-0410 -studien (enzalutamid efter abirateron på patienter med metastatisk CRPC)
Studien var en enarmad studie på 214 patienter med progressiv metastatisk CRPC som fick enzalutamid (160 mg en gång dagligen) efter minst 24 veckors behandling med abirateronacetat plus prednison. Median rPFS (radiologisk progressionsfri överlevnad, studiens primära effektmått) var 8,1 månader (95 % KI: 6,1, 8,3). Medianvärdet för total överlevnad nåddes inte. PSA-svarsfrekvensen (definierade som ≥ 50 % minskning från baseline-värdet) var 22,4 % (95 % KI: 17,0, 28,6).
För de 69 patienter som tidigare fått kemoterapi var median rPFS 7,9 månader (95 % KI: 5,5, 10,8). PSA-svarsfrekvensen var 23,2 % (95 % KI: 13,9, 34,9).
För de 145 patienter som inte fått tidigare kemoterapi var medianvärdet för rPFS 8,1 månader (95 % KI: 5,7, 8,3). PSA-svarsfrekvensen var 22,1 % (95 % KI: 15,6, 29,7).
Även om det var ett begränsat svar hos vissa patienter av behandling med enzalutamid efter abirateron är orsaken till detta fynd för närvarande okänd. Studiedesignen kunde vare sig identifiera de patienter som sannolikt skulle ha nytta av behandlingen eller den ordning i vilken enzalutamid och abirateron optimalt skulle administreras.
Äldre
Av de 5 110 patienterna i de kontrollerade kliniska studierna som fick enzalutamid var 3 988 patienter (78 %) 65 år och äldre och 1 703 patienter (33 %) var 75 år och äldre. Inga totala skillnader i säkerhet eller effekt observerades mellan dessa äldre patienter och yngre patienter.
Pediatrisk population
Europeiska läkemedelsmyndigheten har beviljat undantag från kravet att skicka in studieresultat för enzalutamid för alla grupper av den pediatriska populationen för prostatacancer (information om pediatrisk användning finns i avsnitt 4.2).
.
Enzalutamid är dåligt vattenlöslig. Lösligheten av enzalutamid ökas med emulgeringsmedlet kaprylokaproylmakrogolglycerid /ytaktivt medel. I prekliniska studier ökade absorptionen av enzalutamid när det löstes i kaprylokaproylmakrogolglycerid.
Farmakokinetiken för enzalutamid har utvärderats hos prostatacancerpatienter och friska män. Den genomsnittliga terminala halveringstiden (t1/2) för enzalutamid hos patienter efter en peroral singeldos är 5,8 dagar (intervall 2,8 till 10,2 dagar) och steady state uppnås efter ungefär en månad. Vid daglig peroral administrering ackumuleras enzalutamid ungefär 8,3 gånger jämfört med en singeldos. Dagliga fluktuationer i plasmakoncentration är låga (topp-till-botten-kvoten är 1,25). Enzalutamids clearance sker primärt via levermetabolism, vilket ger en aktiv metabolit som är lika aktiv som enzalutamid och som föreligger i ungefär samma plasmakoncentration som enzalutamid.
Absorption
Maximal plasmakoncentration (Cmax) av enzalutamid hos patienter observerades 1 till 2 timmar efter administration. Baserat på en massbalansstudie hos människa uppskattas den perorala absorptionen av enzalutamid vara minst 84,2 %. Enzalutamid är inte ett substrat till transportproteinerna P-gp eller BCRP. Vid steady state är medel-Cmax för enzalutamid och dess aktiva metabolit 16,6 μg/ml (23 % variationskoefficient [CV]) respektive 12,7 μg/ml (30 % CV).
Mat har ingen kliniskt signifikant effekt på absorptionens omfattning. I kliniska prövningar administrerades Xtandi utan hänsyn till mat.
Distribution
Den genomsnittliga skenbara distributionsvolymen (V/F) för enzalutamid hos patienter är 110 liter (29 % CV) efter en peroral singeldos. Distributionsvolymen av enzalutamid är större än kroppens totala vattenvolym, vilket indikerar en omfattande extravaskulär distribution. Studier på gnagare indikerar att enzalutamid och dess aktiva metabolit kan passera blod-hjärnbarriären.
Enzalutamid är 97 % till 98 % bundet till plasmaproteiner, främst albumin. Den aktiva metaboliten är till 95 % bunden till plasmaproteiner. Ingen förskjutning av proteinbindning sågs mellan enzalutamid och andra starkt bundna läkemedel (warfarin, ibuprofen och salicylsyra) in vitro.
Metabolism
Enzalutamid genomgår en omfattande metabolisering. Det finns två huvudmetaboliter i human plasma: N‑desmetylenzalutamid (aktiv) och ett karboxylsyraderivat (inaktivt). Enzalutamid metaboliseras av CYP2C8 och i mindre utsträckning av CYP3A4/5 (se avsnitt 4.5), vilka båda spelar en roll i bildningen av den aktiva metaboliten. In vitro metaboliseras N-desmetylenzalutamid till karboxylsyrametaboliten av karboxylesteras 1, som också har en mindre betydelse för metabolismen av enzalutamid till karboxylsyrametaboliten. N‑desmetylenzalutamid metaboliserades inte av CYP in vitro.
Vid kliniskt bruk är enzalutamid en stark inducerare av CYP3A4, en måttlig inducerare av CYP2C9 och CYP2C19, och har ingen klinisk relevant effekt på CYP2C8 (se avsnitt 4.5).
Eliminering
Genomsnittligt skenbart clearance (CL/F) för enzalutamid hos patienter varierar mellan 0,520 och 0,564 l/h.
Efter peroral administrering av 14C-enzalutamid återfinns 84,6 % av radioaktiviteten 77 dagar efter dosering: 71,0 % återfinns i urinen (huvudsakligen som inaktiv metabolit, med spårmängder av enzalutamid och den aktiva metaboliten), och 13,6 % återfinns i avföringen (0,39 % av dosen som oförändrad enzalutamid).
In vitro-data indikerar att enzalutamid inte utgör substrat för OATP1B1, OATP1B3 eller OCT1 och N‑desmetylenzalutamid är inte ett substrat för P‑gp eller BCRP.
In vitro-data indikerar att enzalutamid och dess huvudmetaboliter inte hämmar följande transportörer vid kliniskt relevanta koncentrationer: OATP1B1, OATP1B3, OCT2 eller OAT1.
Linjäritet
Inga större avvikelser från dosproportionalitet har setts inom dosintervallet 40 till 160 mg. Cmin-värdena vid steady state för enzalutamid och den aktiva metaboliten hos enskilda patienter förblev konstant under mer än ett år vid kronisk behandling, vilket påvisar en farmakokinetik som var linjär över tiden efter att steady state hade uppnåtts.
Nedsatt njurfunktion
Ingen formell studie har genomförts med enzalutamid vid nedsatt njurfunktion. Patienter med serumkreatinin > 177 μmol/l (2 mg/dl) exkluderades från de kliniska studierna. Baserat på en populationsfarmakokinetisk analys är dosjustering inte nödvändig för patienter med beräknade kreatininclearancevärden (CrCL) på ≥ 30 ml/min (uppskattade med Cockcroft och Gault-formeln). Enzalutamid har inte utvärderats hos patienter med kraftigt nedsatt njurfunktion (CrCL < 30 ml/min) eller terminal njursjukdom. Försiktighet bör iakttas vid behandling av dessa patienter. Det är osannolikt att enzalutamid kan avlägsnas väsentligt genom intermittent hemodialys eller kontinuerlig ambulatorisk peritonealdialys.
Nedsatt leverfunktion
Nedsatt leverfunktion hade inte en uttalad effekt på den totala exponeringen av enzalutamid eller dess aktiva metabolit. Halveringstiden för enzalutamid fördubblades dock hos patienter med kraftigt nedsatt leverfunktion jämfört med friska kontrollpersoner (10,4 dagar jämfört med 4,7 dagar), möjligen relaterat till en ökad vävnadsdistribution.
Farmakokinetiken för enzalutamid undersöktes hos personer med lätt (N = 6), måttligt (N = 8) eller kraftigt (N = 8) nedsatt leverfunktion vid baseline (Child-Pugh klass A, B eller C) och hos 22 matchade kontrollpersoner med normal leverfunktion. Efter en peroral singeldos på 160 mg av enzalutamid ökade AUC och Cmax för enzalutamid med 5 % respektive 24 % hos personer med lätt nedsatt leverfunktion, och AUC och Cmax för enzalutamid ökade med 29 % respektive minskade med 11 % hos personer med måttligt nedsatt leverfunktion, och AUC och Cmax för enzalutamid ökade med 5 % respektive minskade med 41 % hos personer med kraftigt nedsatt leverfunktion, jämfört med friska kontrollpersoner. För summan av obunden enzalutamid plus den obundna aktiva metaboliten ökade AUC och Cmax med 14 % respektive 19 % hos personer med lätt nedsatt leverfunktion, och AUC och Cmax ökade med 14 % respektive minskade med 17 % hos personer med måttligt nedsatt leverfunktion, och AUC och Cmax ökade med 34 % respektive minskade med 27 % hos personer med kraftigt nedsatt leverfunktion, jämfört med friska kontrollpersoner.
Etnisk härkomst
De flesta patienter i de kontrollerade kliniska studierna (> 75 %) var kaukasier. Baserat på farmakokinetiska data från studier på japanska och kinesiska patienter med prostatacancer, sågs inga kliniskt relevanta skillnader i exponering mellan populationerna. Det saknas data för att bedöma eventuella skillnader i farmakokinetiken för enzalutamid hos patienter med andra etniska härkomster.
Äldre
Ingen klinisk relevant ålderseffekt på enzalutamids farmakokinetik kunde ses i de farmakokinetiska populationsanalyserna för äldre.
Enzalutamidbehandling av dräktiga möss ledde till en ökad incidens av embryofetal död och externa förändringar samt skelettförändringar. Fertilitetsstudier har inte utförts med enzalutamid, men i studier på råttor (4 och 26 veckor) och på hundar (4, 13 och 39 veckor) noterades atrofi, aspermi/hypospermi, och hypertrofi/hyperplasi i reproduktionssystemet, vilket är i överensstämmelse med enzalutamids farmakologiska aktivitet. I studier på möss (4 veckor), råttor (4 och 26 veckor) och på hundar (4, 13 och 39 veckor) noterades förändringar i reproduktionsorganen, förknippade med enzalutamidbehandling, såsom minskning i organvikt med atrofi av prostata och bitestiklarna. Hypertrofi och/eller hyperplasi i Leydigceller observerades på möss (4 veckor) och hundar (39 veckor). Ytterligare förändringar i reproduktionsvävnaden inkluderade hypertrofi/hyperplasi i hypofysen och atrofi i sädesblåsorna i råtta samt testikelhypospermi och seminifer tubulidegeneration hos hundar. Skillnader i kön noterades i bröstkörtlarna på råtta (atrofi i hanar och lobulär hyperplasi i honor). Förändringar i reproduktionsorganen hos bägge arterna överensstämde med enzalutamids farmakologiska aktivitet och återställdes helt eller delvis efter en 8 veckor lång återhämtningsperiod. Det fanns inga andra viktiga förändringar i den kliniska patologin eller histopatologin i något annat organsystem, inklusive lever, hos någon art.
Studier på dräktiga råttor har visat att enzalutamid och/eller dess metaboliter överförs till foster. Efter oral administrering av radiomärkt 14C-enzalutamid till råttor på dag 14 av dräktigheten, i en dos på 30 mg/kg (~ 1,9 gånger den maximala dosen rekommenderad till människa), uppnåddes den maximala radioaktiviteten i fostret 4 timmar efter administrering och var lägre än den i moderplasma med en vävnad/plasma-ratio på 0,27. Radioaktiviteten i fostret minskade till 0,08 gånger den maximala koncentrationen vid 72 timmar efter administrering.
Studier på lakterande råttor har visat att enzalutamid och/eller dess metaboliter utsöndras i mjölk hos råttor. Efter oral administrering av radiomärkt 14C-enzalutamid till lakterande råttor, i en dos på 30 mg/kg (~ 1,9 gånger den maximala dosen rekommenderad till människa), uppnåddes den maximala radioaktiviteten i mjölken 4 timmar efter administrering och var upp till 3,54 gånger högre än den i moderplasma. Studieresultat har också visat att enzalutamid och/eller dess metaboliter överförs till nyfödda råttors vävnader via mjölk och elimineras därefter.
Enzalutamid var negativt i en standarduppsättning av genotoxicitetstester in vitro och in vivo. I en 6-månaders studie på transgena rasH2-möss visade enzalutamid ingen karcinogen potential (avsaknad av neoplastiska fynd) i doser på upp till 20 mg/kg per dag (AUC24h ~ 317 µg·h/ml), vilket ledde till exponeringsnivåer i plasma som liknade den kliniska exponeringen (AUC24h ~ 322 µg·h/ml) hos mCRPC-patienter som fick 160 mg en gång dagligen.
Daglig dosering till råtta med enzalutamid i två år gav en ökad förekomst av neoplastiska fynd. Dessa innefattade benignt tymom, fibroadenom i bröstkörtlarna, benigna Leydig-tumörceller i testiklarna, och uroteliala papillom och karcinom i urinblåsan hos hannar, benigna granulosa celltumörer i äggstockarna hos honor, samt adenom i hypofysen pars distalis hos båda könen. Det kan inte uteslutas att fynd av tymom, hypofysadenom och fibroadenom i bröstkörtlarna, samt uroteliala papillom och karcinom i urinblåsan, är relevanta för människa.
Enzalutamid var inte fototoxiskt in vitro.
Ej relevant.
3 år.
Inga särskilda förvaringsanvisningar.
Plånboksförpackningar i pappkartong innehållande PVC/PCTFE/aluminiumblister med 28 mjuka kapslar. Varje kartong innehåller 4 plånboksförpackningar (112 mjuka kapslar).
Xtandi ska inte hanteras av någon annan än patienten eller dennes vårdgivare. Baserat på dess verkningsmekanism och embryofetal toxicitet som har observerats hos möss kan Xtandi orsaka skador under fosterutvecklingen. Kvinnor som är eller kan bli gravida ska inte hantera skadade eller öppna Xtandi‑kapslar utan skydd, t.ex. handskar. Se avsnitt 5.3 Prekliniska säkerhetsuppgifter.
Ej använt läkemedel och avfall ska kasseras enligt gällande anvisningar.
Kapselinnehåll
Kaprylokaproylmakrogol-8-glycerider
Butylhydroxianisol (E320)
Butylhydroxitoluen (E321)
Kapselhöljet
Gelatin
Sorbitolsorbitanlösning
Glycerol
Titandioxid (E171)
Renat vatten
Tryckfärg
Järnoxid, svart (E172)
Polyvinylacetatftalat
Ej relevant.
3 år.
Inga särskilda förvaringsanvisningar.
Plånboksförpackningar i pappkartong innehållande PVC/PCTFE/aluminiumblister med 28 mjuka kapslar. Varje kartong innehåller 4 plånboksförpackningar (112 mjuka kapslar).
Xtandi ska inte hanteras av någon annan än patienten eller dennes vårdgivare. Baserat på dess verkningsmekanism och embryofetal toxicitet som har observerats hos möss kan Xtandi orsaka skador under fosterutvecklingen. Kvinnor som är eller kan bli gravida ska inte hantera skadade eller öppna Xtandi‑kapslar utan skydd, t.ex. handskar. Se avsnitt 5.3 Prekliniska säkerhetsuppgifter.
Ej använt läkemedel och avfall ska kasseras enligt gällande anvisningar.
Produktresumén är företagets information till hälso- och sjukvårdspersonal. Godkänd av myndighet.