Säkerhetsmeddelande till marknaden 2026-01-05, läs mer här.

Tillgänglig läkemedelsinformation i Sverige

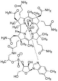
Cyanokobalamin

Det här är en substans. Ett läkemedel innehåller ett eller flera verksamma ämnen, så kallade aktiva substanser. I de allra flesta läkemedel finns också så kallade hjälpämnen.

Kemiskt namn

Coα-[α-(5,​6-Dimetylbensimidazolyl)]-Coβ-cyanokobamid

Benäms även som

Cyanocobalamin (engelska)

Bild på kemisk struktur för Cyanokobalamin

Läkemedel kopplade till substansen

Läkemedel som innehåller Cyanokobalamin (11)

Läkemedel som innehåller Cyanokobalanin-tanninkomplex (0)