Bosutinib Zentiva 100 mg filmdragerade tabletter Bosutinib Zentiva 400 mg filmdragerade tabletter Bosutinib Zentiva 500 mg filmdragerade tabletter
Bosutinib Zentiva 100 mg filmdragerade tabletter
Varje filmdragerad tablett innehåller 100 mg bosutinib.
Bosutinib Zentiva 400 mg filmdragerade tabletter
Varje filmdragerad tablett innehåller 400 mg bosutinib.
Bosutinib Zentiva 500 mg filmdragerade tabletter
Varje filmdragerad tablett innehåller 500 mg bosutinib.
För fullständig förteckning över hjälpämnen, se avsnitt 6.1.
Filmdragerad tablett.
Bosutinib Zentiva 100 mg filmdragerade tabletter
Gul, oval (bredd: 6 mm; längd:11 mm), bikonvex, filmdragerad tablett med ”C18” präglat på den ena sidan.
Bosutinib Zentiva 400 mg filmdragerade tabletter
Orange, oval (bredd: 9 mm; längd:17 mm), bikonvex, filmdragerad tablett med ”C19” präglat på den ena sidan.
Bosutinib Zentiva 500 mg filmdragerade tabletter
Rosa, oval (bredd: 10 mm; längd:18 mm), bikonvex, filmdragerad tablett med ”C20” präglat på den ena sidan.
Zentiva, k.s.
U kabelovny 130,
102 37 Prag 10,
Tjeckien
100 mg: 64244
400 mg: 64245
500 mg: 64246
Första godkännandet: 2024-02-09
2024-02-09
Rekommenderad dos är 500 mg bosutinib en gång dagligen.
I kliniska prövningar med båda indikationerna fortsatte behandlingen med bosutinib fram till sjukdomsprogression eller behandlingsintolerans.
Dosjusteringar
I den kliniska fas 1/2-studien på patienter med KML, som inte hade svarat på eller inte tolererat tidigare behandling, tilläts dosökningar från 500 mg till 600 mg en gång dagligen med föda hos patienter som inte uppnått komplett hematologisk respons (CHR) vecka 8 eller komplett cytogenetisk respons (CCyR) vecka 12 och inte hade några biverkningar av grad 3 eller högre som skulle kunna ha samband med studieläkemedlet. I den kliniska fas 3-studien på patienter med nydiagnostiserad KML i kronisk fas som behandlades med bosutinib 400 mg, var dosökningar i steg om 100 mg tillåtna upp till högst 600 mg en gång dagligen med föda, under förutsättning att patienten inte uppvisade BCR-ABL- (breakpoint cluster region–Abelson)-transkript ≤ 10 % månad 3, inte hade någon biverkning av grad 3 eller 4 vid tidpunkten för dosökningen, och alla icke-hematologiska biverkningar av grad 2 hade gått tillbaka minst till grad 1. I den kliniska fas 4-studien på patienter med Ph+ KML som tidigare behandlats med en eller flera TKI, tilläts dosökningar från 500 mg till 600 mg en gång dagligen tillsammans med föda hos patienter med otillfredsställande svar eller med tecken på sjukdomsprogression utan någon biverkning av grad 3 eller 4 eller ihållande biverkning av grad 2.
I fas 1/2-studien på patienter med KML som inte hade svarat på eller inte tolererat tidigare behandling och som började sin behandling med ≤ 500 mg, ökades dosen hos 93 av patienterna (93/558; 16,7 %) till 600 mg dagligen.
I fas 3-studien på patienter med nydiagnostiserad KML i kronisk fas som började sin bosutinibbehandling med 400 mg, ökades dosen till 500 mg dagligen hos totalt 58 patienter (21,6 %). Dessutom ökades dosen ytterligare till 600 mg dagligen hos 10,4 % av patienterna i gruppen som fick bosutinib.
I fas 4-studien på patienter med Ph+ KML som tidigare behandlats med en eller flera TKI och som började sin bosutinibbehandling med 500 mg dagligen ökades dosen hos en patient (0,6 %) till upp till 600 mg dagligen.
Doser över 600 mg/dag har inte studerats och ska därför inte ges.
Dosjusteringar på grund av biverkningar
Icke-hematologiska biverkningar
Om kliniskt signifikant måttlig eller svår icke-hematologisk toxicitet utvecklas ska behandlingen med bosutinib avbrytas. När biverkningen gått tillbaka kan behandlingen återupptas en gång dagligen med en dos som reducerats med 100 mg. Om så är kliniskt lämpligt kan dosökning till den dos som gällde före reduceringen en gång dagligen åter övervägas (se avsnitt 4.4). Doser understigande 300 mg/dag har använts till patienter men effekt har inte fastställts.
Förhöjda levertransaminaser: Vid förhöjda levertransaminasvärden > 5 x institutionell övre normalgräns (ULN) ska behandlingen med bosutinib avbrytas tills återhämtning till ≤ 2,5 x ULN har skett och kan därefter återupptas till dosen 400 mg en gång dagligen. Om återhämtningen tar längre tid
än 4 veckor ska utsättande av bosutinib övervägas. Om förhöjda transaminaser ≥ 3 x ULN uppträder samtidigt med förhöjt bilirubin > 2 x ULN och alkaliskt fosfatas < 2 x ULN ska behandlingen med bosutinib sättas ut (se avsnitt 4.4).
Diarré: Vid diarré grad 3-4 enligt NCI CTCAE (Common Terminology Criteria for Adverse Events), ska behandlingen med bosutinib avbrytas och kan sedan återupptas till dosen 400 mg en gång dagligen så snart återhämtning skett till grad ≤ 1 (se avsnitt 4.4).
Hematologiska biverkningar
Dosreducering rekommenderas vid svår eller kvarstående neutropeni och trombocytopeni, se tabell 1.
Tabell 1 – Dosjusteringar vid neutropeni och trombocytopeni
a ANC = absolut neutrofiltal
Särskilda populationer
Äldre patienter (≥ 65 år)
Inga särskilda dosrekommendationer krävs för äldre patienter. Det finns endast begränsad information om behandling av äldre patienter och försiktighet ska därför iakttas i dessa fall.
Nedsatt njurfunktion
Patienter med serumkreatinin > 1,5 x ULN exkluderades från KML-studier. Ökande exponering (area under kurvan [AUC]) hos patienter med måttligt och kraftigt nedsatt njurfunktion observerades.
Nydiagnostiserad Ph+ KML i kronisk fas
Hos patienter med måttligt nedsatt njurfunktion (kreatininclearance [CLCr] 30 till 50 ml/min, beräknad enligt Cockcroft–Gault-formeln) är den rekommenderade dosen bosutinib 300 mg dagligen med föda (se avsnitt 4.4 och 5.2).
Hos patienter med kraftigt nedsatt njurfunktion (CLCr< 30 ml/min, beräknad enligt Cockcroft–Gault- formeln) är den rekommenderade dosen bosutinib 200 mg dagligen med föda (se avsnitt 4.4 och 5.2).
Dosökning till 400 mg en gång dagligen med föda hos patienter med måttligt nedsatt njurfunktion eller till 300 mg en gång dagligen hos patienter med kraftigt nedsatt njurfunktion, kan övervägas för patienter som inte upplever allvarliga eller kvarstående måttliga biverkningar och som inte uppnår tillräcklig hematologisk, cytogenetisk eller molekylär respons.
Ph+ KML i kronisk fas, accelererad fas eller blastfas, med resistens eller intolerans mot tidigare behandling
Hos patienter med måttligt nedsatt njurfunktion (CLCr 30 till 50 ml/min, beräknad enligt Cockcroft– Gault-formeln) är den rekommenderade dosen bosutinib 400 mg dagligen (se avsnitt 4.4 och 5.2).
Hos patienter med kraftigt nedsatt njurfunktion (CLCr < 30 ml/min, beräknad enligt Cockcroft–Gault- formeln) är den rekommenderade dosen bosutinib 300 mg dagligen (se avsnitt 4.4 och 5.2).
Dosökning till 500 mg en gång dagligen hos patienter med måttligt nedsatt njurfunktion eller till 400 mg en gång dagligen hos patienter med kraftigt nedsatt njurfunktion kan övervägas för de patienter som inte fick allvarliga eller kvarstående måttliga biverkningar och om de inte uppnår tillräcklig hematologisk, cytogenetisk eller molekylär respons.
Hjärtsjukdomar
Patienter med ej kontrollerad eller betydande hjärtsjukdom (t.ex. nyligen genomgången hjärtinfarkt, hjärtsvikt eller instabil angina) exkluderades från kliniska studier. Försiktighet bör iakttas för patienter med relevanta hjärtsjukdomar (se
avsnitt 4.4).
Nyligen genomgången eller pågående kliniskt signifikant gastrointestinal sjukdom
Patienter med nyligen genomgången eller pågående kliniskt signifikant gastrointestinal sjukdom (t.ex. svåra kräkningar och/eller diarré) exkluderades från kliniska studier. Försiktighet bör iakttas om patienterna nyligen haft eller har kliniskt signifikant gastrointestinal sjukdom (se avsnitt 4.4).
Pediatrisk population
Säkerhet och effekt för bosutinib för barn och ungdomar under 18 år har inte fastställts. Inga data finns tillgängliga.
Administreringssätt
Bosutinib Zentiva ska tas peroralt en gång dagligen med föda (se avsnitt 5.2). Om patienten glömmer en dos under längre tid än 12 timmar ska ingen extra dos tas. Patienten ska ta den vanliga ordinerade dosen följande dag.
Överkänslighet mot den aktiva substansen eller mot något hjälpämne som anges i avsnitt 6.1.
Nedsatt leverfunktion (se avsnitt 5.1 och 5.2).
Onormal leverfunktion
Behandling med bosutinib är förknippat med förhöjda serumtransaminaser (alaninaminotransferas [ALAT], aspartataminotransferas [ASAT]).
Förhöjda transaminaser uppträdde vanligen tidigt under behandlingen (hos >80 % av de patienter som fick förhöjda transaminaser av någon grad inträffade den första händelsen inom de 3 första månaderna). Leverfunktionsprover ska tas innan behandlingsstart och varje månad under de tre första behandlingsmånaderna på patienter som får bosutinib, och när så är kliniskt indikerat.
Patienter med förhöjda transaminaser ska behandlas genom tillfälligt avbrott i bosutinibbehandlingen (med övervägande av dosminskning efter återhämtning till Grad 1 eller baslinjevärdena), och/eller utsättning av bosutinib. Förhöjda transaminaser, särskilt vid samtidig ökning av bilirubin, kan vara en tidig indikation på läkemedelsorsakad leverskada och dessa patienter ska behandlas på lämpligt sätt (se avsnitt 4.2 och 4.8).
Diarré och kräkningar
Behandling med bosutinib är förknippat med diarré och kräkningar. Patienter som nyligen har haft eller har en pågående kliniskt signifikant gastrointestinal sjukdom ska därför använda detta läkemedel med försiktighet och endast efter en noggrann nytta-riskbedömning, eftersom patienter med dessa sjukdomar exkluderades från de kliniska studierna. Patienter med diarré och kräkningar ska behandlas med standardbehandling, däribland läkemedel mot diarré eller antiemetiska preparat och/eller vätskeersättning. Diarré och kräkningar kan också behandlas genom tillfälligt avbrott i bosutinib- behandlingen, dosminskning och/eller utsättning av bosutinib (se avsnitt 4.2 och 4.8). Det antiemetiska preparatet domperidon kan ge ytterligare QT-intervallsförlängning (QTc-förlängning) och kan inducera ”torsade de pointes”-arytmier, varför samtidig behandling med domperidon bör undvikas.
Det bör endast användas om andra läkemedel inte har någon effekt. I dessa situationer är en individuell nytta-riskbedömning obligatorisk och patienterna ska följas med avseende på QTc-förlängning.
Benmärgssuppression
Behandling med bosutinib är förknippat med benmärgssuppression i form av anemi, neutropeni och trombocytopeni. Fullständig blodstatus ska tas varje vecka under den första behandlingsmånaden och därefter varje månad, eller när så är kliniskt indikerat. Benmärgssuppression bör/kan behandlas genom tillfälligt avbrott i bosutinibbehandlingen, dosminskning och/eller utsättning av bosutinib (se
avsnitt 4.2 och 4.8).
Vätskeretention
Behandling med bosutinib är förknippat med vätskeretention såsom perikardiell vätskeutgjutning, pleuravätskeutgjutning, lungödem och/eller perifert ödem. Patienterna ska övervakas och behandlas enligt gängse standardbehandling. Vätskeretention kan också behandlas genom tillfälligt avbrott i bosutinibbehandlingen, dosminskning och/eller utsättning av bosutinib (se avsnitt 4.2 och 4.8).
Serumlipas
Förhöjt serumlipasvärde har observerats. Försiktighet rekommenderas vid användning till patienter med pankreatit i anamnesen. Om lipasökningarna åtföljs av buksymtom ska behandlingen med bosutinib avbrytas och lämpliga diagnostiska åtgärder övervägas för att utesluta pankreatit (se avsnitt 4.2).
Infektioner
Behandling med bosutinib kan medföra predisposition för bakterie-, svamp-, virus- och protozoinfektioner.
Proarytmisk potential
Automatisk maskinavläst QTc-förlängning utan åtföljande arytmi har observerats. Bosutinib bör ges med försiktighet till patienter med anamnes på eller predisposition för QTc-förlängning, som har okontrollerad eller betydande kardiell sjukdom inklusive nyligen genomgången hjärtinfarkt, hjärtsvikt, instabil angina eller kliniskt signifikant bradykardi, eller som tar läkemedel som man vet förlänger QT-intervallet
(t.ex. antiarytmika och andra substanser som kan förlänga QTc [se avsnitt 4.5]). Vid hypokalemi och hypomagnesemi kan denna effekt förstärkas ytterligare.
Kontroller avseende effekt på QTc tillråds och ett baslinje elektrokardiogram (EKG) rekommenderas innan behandling med bosutinib inleds, och när så är kliniskt indicerat. Hypokalemi eller hypomagnesemi måste korrigeras innan bosutinib administreras och ska kontrolleras med jämna mellanrum under behandlingen.
Nedsatt njurfunktion
Behandling med bosutinib kan leda till en kliniskt signifikant försämring av njurfunktionen hos KML-patienter. En försämring över tid av skattad glomerulär filtrationshastighet (eGFR) har observerats hos patienter som behandlades med bosutinib i kliniska studier. Hos patienter med nydiagnostiserad KML i kronisk fas som behandlades med 400 mg var medianförsämringen av eGFR från baslinjen
11,1 ml/min/1,73 m2 vid 1 år och 14,1 ml/min/1,73 m2 vid 5 år för patienter som stod på behandling. Tidigare obehandlade KML-patienter som behandlades med 500 mg visade en medianförsämring av eGFR på 9,2 ml/min/1,73 m2 vid 1 år och
12,0 ml/min/1,73 m2 vid 5 år och 16,6 ml/min/1,73 m2 vid 10 år för patienter som stod på behandling. Hos tidigare behandlade patienter i kronisk fas och långt framskriden KML som behandlades med 500 mg var medianförsämring av
eGFR 7,6 ml/min/1,73 m2 vid 1 år, 12,3 ml/min/1,73 m2 vid 5 år och
15,9 ml/min/1,73 m2 vid 10 år för patienter som stod på behandling. Hos patienter med Ph+ KML som tidigare behandlats med en eller flera tyrosinkinashämmare och som behandlas med 500 mg var medianförsämring av eGFR från baslinjen
9,2 ml/min/1,73 m2 vid 1 år och 14,5 ml/min/1,73 m2 vid 4 år för patienter som stod på behandling.
Det är viktigt att njurfunktionen fastställs före behandlingsstart och noga följs under behandling med bosutinib, särskilt hos patienter som redan har nedsatt njurfunktion samt hos patienter som uppvisar riskfaktorer för nedsatt njurfunktion, inklusive samtidig användning av läkemedel som är potentiellt nefrotoxiska, som diuretika, ACE-hämmare (angiotensinkonverterande enzym-hämmare), angiotensinreceptorblockerare och icke-steroida antiinflammatoriska läkemedel (NSAID).
I en studie kring nedsatt njurfunktion ökades exponering för bosutinib hos försökspersoner med måttligt och kraftigt nedsatt njurfunktion. Dosminskning rekommenderas för patienter med måttligt eller kraftigt nedsatt njurfunktion (se avsnitt 4.2 och 5.2).
Patienter med serumkreatinin > 1,5 x ULN exkluderades från KML-studierna. På grund av en populationsfarmakokinetisk analys observerades ökande exponering (AUC) hos patienter med måttligt och kraftigt nedsatt njurfunktion vid behandlingsstart under studierna (se avsnitt 4.2 och 5.2).
Kliniska data är mycket begränsade (n=3) för KML-patienter med måttligt nedsatt njurfunktion som får en ökad dos om 600 mg bosutinib.
Asiatiskt ursprung
Enligt populationsfarmakokinetiska analyser hade asiater lägre clearance, vilket ledde till högre exponering. Därför ska dessa patienter övervakas noggrant beträffande biverkningar, särskilt vid dosökning.
Allvarliga hudreaktioner
Bosutinib kan orsaka allvarliga hudreaktioner såsom Stevens-Johnsons syndrom och toxisk epidermal nekrolys. Bosutinib ska sättas ut permanent om patienten får en allvarlig hudreaktion under behandlingen.
Tumörlyssyndrom
På grund av risken för tumörlyssyndrom (TLS) rekommenderas korrigering av kliniskt signifikant dehydrering samt behandling av höga urinsyranivåer innan bosutinib sätts in (se avsnitt 4.8).
Hepatit B-reaktivering
Hos kroniska bärare av hepatit B virus har reaktivering av hepatit B förekommit efter att dessa patienter fått BCR-ABL TKI. Vissa fall ledde till akut leversvikt eller fulminant hepatit med levertransplantation eller dödlig utgång som följd.
Patienter ska testas för HBV-infektion innan behandling med bosutinib påbörjas. Specialister på leversjukdomar och på behandling av HBV bör konsulteras innan behandling påbörjas hos patienter som testats positivt för HBV-serologi (inräknat dem med aktiv sjukdom) och vid patienter som testas positivt för HBV-infektion under behandlingen. Bärare av HBV som behöver behandling med bosutinib ska följas noga avseende tecken och symtom på aktiv HBV-infektion under hela behandlingen och i flera månader efter avslutad behandling (se avsnitt 4.8).
Ljuskänslighet
Exponering för direkt solljus eller ultraviolett (UV) strålning bör undvikas eller minimeras på grund av risken för ljuskänslighet som är förknippat med bosutinibbehandling. Patienter bör instrueras att vidta åtgärder såsom skyddande klädsel och solskyddsmedel med hög solskyddsfaktor (SPF).
Cytokrom P-450-(CYP)3A-hämmare
Samtidig användning av bosutinib och starka eller måttliga CYP3A-hämmare bör undvikas eftersom koncentrationen av bosutinib i plasma kommer att öka (se
avsnitt 4.5).
Val av ett alternativt samtidigt läkemedel utan eller med minimal CYP3A-hämmande potential rekommenderas, om möjligt.
Om en stark eller måttlig CYP3A-hämmare måste administreras under behandling med bosutinib ska avbrott i bosutinib-behandlingen alternativt lägre dos övervägas.
CYP3A-inducerare
Samtidig användning av bosutinib och starka eller måttliga CYP3A-inducerare bör undvikas eftersom plasmakoncentrationen av bosutinib kommer att sjunka (se
avsnitt 4.5).
Effekt av föda
Grapefruktprodukter, däribland grapefruktjuice, och andra livsmedel som man vet hämmar CYP3A bör undvikas (se avsnitt 4.5).
Natriuminnehåll
Detta läkemedel innehåller mindre än 1 mmol (23 mg) natrium per 100 mg-, 400 mg- eller 500 mg- tablett. Patienter som äter saltfattig kost bör informeras om att läkemedlet är näst intill ”natriumfritt”.
Effekter av andra läkemedel på bosutinib
CYP3A-hämmare
Samtidig användning av bosutinib och starka CYP3A-hämmare (inklusive, men inte begränsat till itrakonazol, ketokonazol, posakonazol, vorikonazol, klaritromycin, telitromycin, nefazodon, mibefradil, indinavir, lopinavir/ritonavir, nelfinavir, ritonavir, sakvinavir, boceprevir, telaprevir, grapefruktprodukter t.ex. grapefruktjuice) eller måttliga CYP3A-hämmare (inklusive, men inte begränsat till flukonazol, ciprofloxacin, erytromycin, diltiazem, verapamil, amprenavir, atazanavir, darunavir/ritonavir, fosamprenavir, aprepitant, crizotinib, imatinib) bör undvikas, eftersom koncentrationen av bosutinib i plasma kommer att öka.
Försiktighet bör iakttas vid användning av milda CYP3A-hämmare samtidigt med bosutinib. Val av ett alternativt samtidigt läkemedel utan eller med minimal CYP3A-hämmande potential rekommenderas, om möjligt.
Om en stark eller måttlig CYP3A-hämmare måste administreras under behandling med bosutinib ska avbrott i bosutinib-behandlingen alternativt lägre dos övervägas.
I en studie av 24 friska fastande försökspersoner som fick 5 dagliga doser om 400 mg ketokonazol (en stark CYP3A-hämmare) samtidigt med en singeldos bosutinib om 100 mg, framkallade ketokonazol en 5,2-faldig ökning av Cmax för bosutinib och en 8,6-faldig ökning av AUC för bosutinib i plasma, jämfört med när enbart bosutinib administrerades.
I en studie av 20 friska icke-fastande försökspersoner som fick en dos om 125 mg aprepitant (en måttlig CYP3A-hämmare) samtidigt med en singeldos bosutinib om 500 mg, framkallade aprepitant en 1,5-faldig ökning av Cmax för bosutinib och en 2,0-faldig ökning av AUC för bosutinib i plasma, jämfört med när enbart bosutinib administrerades.
CYP3A-inducerare
Samtidig användning av bosutinib och starka CYP3A-inducerare (inklusive, men inte begränsat till karbamazepin, fenytoin, rifampicin, johannesört) eller måttliga CYP3A-inducerare (inklusive, men inte begränsat till bosentan, efavirenz, etravirin, modafinil, nafcillin) bör undvikas, eftersom plasmakoncentrationen av bosutinib kommer att sjunka.
Grundat på den kraftiga minskningen av bosutinibexponeringen som inträffade när bosutinib gavs samtidigt med rifampicin, kan en dosökning av bosutinib när det ges samtidigt med starka eller måttliga CYP3A-inducerare sannolikt inte fullt ut kompensera för den minskade exponeringen.
Försiktighet bör iakttas vid användning av milda CYP3A-hämmare samtidigt med bosutinib.
Efter samtidig administrering av en singeldos bosutinib och 6 dagliga doser rifampicin 600 mg till 24 friska, icke fastande försökspersoner, sjönk bosutinibexponeringen (Cmax och AUC i plasma) till 14 % respektive 6 % av de värden som sågs när enbart bosutinib 500 mg administrerades.
Protonpumpshämmare (PPI)
Försiktighet bör iakttas när bosutinib administreras samtidigt med PPI. Kortverkande antacida bör övervägas som alternativ till PPI och bosutinib och antacida bör tas vid olika tidpunkter (t.ex. kan bosutinib tas på morgonen och antacida på kvällen), när så är möjligt. Bosutinib uppvisar pH-beroende vattenlöslighet in vitro. När en peroral singeldos av bosutinib (400 mg) administrerades samtidigt med flera perorala doser av lansoprazol (60 mg) i en studie av 24 friska fastande försökspersoner, sjönk Cmax och AUC för bosutinib till 54 % respektive 74 % av de värden som sågs när enbart bosutinib (400 mg) administrerades.
Effekter av bosutinib på andra läkemedel
I en studie av 27 friska icke-fastande försökspersoner som fick en dos om 500 mg bosutinib samtidigt med en singeldos dabigatranetexilatmesilat (ett
P-glykoproteinsubstrat [P-gp-substrat]) om 150 mg, framkallade bosutinib inte någon ökning av Cmax eller AUC för dabigatran i plasma, jämfört med när enbart dabigatranetexilatmesilat administrerades. Studieresultaten indikerar att bosutinib inte uppvisar kliniskt relevanta P-gp-hämmande effekter.
En in vitro-studie visar att interaktioner mellan läkemedel sannolikt inte inträffar vid terapeutiska doser som resultat av att bosutinib inducerar metabolism av läkemedel som är substrat för CYP1A2, CYP2B6, CYP2C9, CYP2C19 och CYP3A4.
In vitro-studier visar att kliniska interaktioner mellan läkemedel sannolikt inte inträffar vid terapeutiska doser som resultat av att bosutinib hämmar metabolismen av läkemedel som är substrat för CYP1A2, CYP2A6, CYP2C8, CYP2C9, CYP2C19, CYP2D6 eller CYP3A4/5.
In vitro-studier visar att bosutinib har låg potential att hämma bröstcancerresistensprotein (BCRP, systemiskt), organisk anjontransporterande polypeptid (OATP)1B1, OATP1B3, organisk anjontransportör (OAT)1, OAT3, organisk katjontransportör (OCT)2 vid kliniskt relevanta koncentrationer, men kan ha potential att hämma BCRP i magtarmkanalen och OCT1.
Antiarytmiska läkemedel och andra substanser som kan förlänga QT-intervallet
Bosutinib bör användas med försiktighet till patienter som har eller kan utveckla förlängt QT-intervall, inklusive patienter som tar antiarytmika som amiodaron, disopyramid, prokainamid, kinidin och sotalol eller andra läkemedel som kan medföra QT-förlängning, såsom klorokin, halofantrin, klaritromycin, domperidon, haloperidol, metadon och moxifloxacin (se avsnitt 4.4)
Fertila kvinnor/preventivmedel
Fertila kvinnor ska tillrådas att använda ett ändamålsenligt preventivmedel under behandlingen med bosutinib och i minst 1 månad efter den sista dosen och att undvika graviditet under behandlingen med bosutinib. Patienten ska också informeras om att kräkningar och diarré kan minska effekten av orala preventivmedel genom att förhindra en fullständig absorption.
Graviditet
Det finns begränsad mängd data från användningen av bosutinib i gravida kvinnor. Djurstudier har visat reproduktionstoxikologiska effekter (se avsnitt 5.3). Bosutinib rekommenderas inte under graviditet eller till fertila kvinnor som inte använder preventivmedel. Om bosutinib används under graviditet, eller om patienten blir gravid under behandlingen med bosutinib, ska hon underrättas om den möjliga risken för fostret.
Amning
Det är okänt om bosutinib eller dess metaboliter utsöndras i bröstmjölken hos människa. En studie av C14-märkt radioaktivt bosutinib hos råtta visade utsöndring av bosutinibderiverad radioaktivitet i bröstmjölk (se avsnitt 5.3). En potentiell risk för barnet som ammas kan inte uteslutas. Amning ska avbrytas under behandling med bosutinib.
Fertilitet
Baserat på icke-kliniska resultat kan bosutinib försämra reproduktionsförmåga och fertilitet hos människa (se avsnitt 5.3). Män som behandlas med bosutinib tillråds att söka råd angående konservering av sperma före behandlingen på grund av risken för minskad fertilitet på grund av behandling med bosutinib.
Bosutinib har ingen eller försumbar effekt på förmågan att framföra fordon och använda maskiner. Om en patient som tar bosutinib besväras av yrsel, trötthet, synnedsättning eller andra biverkningar som kan påverka förmågan att framföra fordon och använda maskiner på ett säkert sätt, ska patienten emellertid avstå från dessa aktiviteter så länge biverkningarna kvarstår.
Sammanfattning av säkerhetsprofilen
Totalt 1 372 leukemipatienter fick minst en dos av enbart bosutinib. Medianbehandlingstiden var 26,30 månader (0,03–170,49 månader). Dessa patienter hade antingen nyligen fått diagnosen KML i kronisk fas, alternativt hade inte svarat på eller inte tolererat tidigare behandling, och hade KML i kronisk, accelererad eller blastfas eller Ph-positiv akut lymfoblastisk leukemi (ALL). Av dessa patienter kommer 268 (startdos 400 mg) och 248 (startdos 500 mg) från de två fas
3-studierna av tidigare obehandlade KML-patienter, 60 (startdos 400 mg) kommer från en fas 2-studie av tidigare obehandlade KML-patienter, 570 respektive
63 patienter (fas 2: startdos 500 mg) kommer från två fas 1/2-studier av tidigare behandlad Ph-positiv leukemi och 163 (startdos 500 mg) kommer från en fas
4-studie av tidigare behandlad KML. Medianbehandlingstiden var 55,1 månader (0,2–60,05 månader), 61,6 månader (0,03–145,86 månader), 15,3 månader
(0,3–21,8 månader), 11,1 månader (0,03–170,49 månader), 30,2 månader
(0,2–85,6 månader) respektive 37,80 månader (0,16–50,0 månader). Säkerhetsanalyserna inkluderade data från en genomförd förlängningsstudie.
Minst en biverkning av någon toxicitetsgrad rapporterades hos 1 349 patienter
(98,3 %). De vanligaste biverkningarna, som rapporterades hos ≥ 20 % av patienterna, var diarré (80,4 %), illamående (41,5 %), buksmärtor (35,6 %) trombocytopeni (34,4 %), kräkningar (33,7 %), hudutslag (32,8 %), förhöjt ALAT
(28,0 %), anemi (27,2 %), pyrexi (23,4 %), förhöjt ASAT (22,5 %), trötthet (32,0 %) och huvudvärk (20,3 %). Minst en biverkning av grad 3 eller 4 rapporterades hos
943 patienter (68,7 %). Biverkningar av grad 3 eller 4 som rapporterades hos ≥ 5 % av patienterna var trombocytopeni (19,7 %), förhöjt ALAT (14,6 %), neutropeni
(10,6 %), diarré (10,6 %), anemi (10,3 %), förhöjt lipas (10,1 %), förhöjt ASAT (6,7 %) och hudutslag (5,0 %).
Tabell över biverkningar
Följande biverkningar har rapporterats i kliniska studier av bosutinib (tabell 2). De återger en bedömning av biverkningsdata från 1 372 patienter med antingen nydiagnostiserad KML i kronisk fas, eller med KML i kronisk, accelererad eller blastfas, som inte hade svarat på eller inte tolererat tidigare behandling, eller Ph-positiv ALL som hade fått minst en dos bosutinib som singelbehandling.
Biverkningarna redovisas indelade efter organsystem och frekvens. Frekvenskategorierna är: mycket vanliga (≥1/10), vanliga (≥1/100, <1/10), mindre vanliga (≥1/1 000, <1/100), sällsynta (≥1/10 000, <1/1 000), mycket sällsynta
(<1/10 000) och ingen känd frekvens (kan inte beräknas från tillgängliga data). Inom varje frekvensgrupp redovisas biverkningarna efter fallande svårighetsgrad.
Tabell 2 Biverkningar av bosutinib
**Biverkningar identifierade efter godkännandet för försäljning.
Beskrivning av ett urval biverkningar
Beskrivningen nedan baseras på en säkerhetspopulation om 1 372 patienter som fick minst en dos bosutinib och hade antingen nydiagnostiserad KML i kronisk fas eller KML i kronisk fas, accelererad fas eller blastfas som inte hade svarat på eller inte tolererat tidigare behandling eller Ph+ ALL.
Blodet och lymfsystemet
Av de 372 patienterna (27,1 %) som rapporterade biverkningen anemi, avbröt
6 bosutinibbehandlingen på grund av anemi. Maximal toxicitetsgrad 1 förekom hos 95 patienter (25,5 %), grad 2 hos 135 patienter (36,3 %), grad 3 hos 113 patienter (30,4 %) och grad 4 hos 29 patienter (7,8 %). Bland dessa patienter var mediantiden till den första biverkningshändelsen 29 dagar (intervall mellan 1 och 3 999 dagar) och medianduration per händelse var 22 dagar (intervall mellan 1 och 3 682 dagar).
Av de 209 patienterna (15,2 %) som rapporterade biverkningen neutropeni avbröt
19 bosutinib- behandlingen på grund av neutropeni. Maximal toxicitetsgrad
1 förekom hos 19 patienter (9,1 %), grad 2 hos 45 patienter (21,5 %), grad 3 hos
95 patienter (45,5 %) och grad 4 hos 50 patienter (23,9 %). Bland dessa patienter var mediantiden till den första biverkningshändelsen var 56 dagar (intervall mellan
1 och 1 769 dagar) och medianduration per händelse var 15 dagar (intervall mellan
1 och 913 dagar).
Av de 472 patienterna (34,4 %) som rapporterade biverkningen trombocytopeni avbröt 42 bosutinibbehandlingen på grund av trombocytopeni. Maximal toxicitetsgrad 1 förekom hos 114 patienter (24,2 %), grad 2 hos 88 patienter (18,6 %), grad 3 hos 172 patienter (36,4 %) och grad 4 hos 98 patienter (20,8 %). Bland dessa patienter var mediantiden till den första biverkningshändelsen 28 dagar (intervall mellan 1 och 1 688 dagar) och medianduration per händelse var 15 dagar (intervall mellan 1 och
3 921 dagar).
Lever och gallvägar
Hos de patienter som rapporterade biverkningen förhöjda ALAT- eller ASAT-värden (samtliga grader) var mediantiden för debut 29 dagar med ett intervall mellan 1 och
3 995 dagar för ALAT och ASAT. Mediandurationen för en händelse var 17 dagar för ALAT (mellan 1 och 1 148 dagar) respektive 15 dagar för ASAT (mellan 1 och
803 dagar).
Två fall överensstämmande med läkemedelsframkallad leverskada (definierad som samtidiga ökningar av ALAT och ASAT ≥ 3 x ULN med totalbilirubin > 2 x ULN och med alkaliskt fosfatas < 2 x ULN) utan alternativa orsaker har förekommit hos
2/1 711 patienter (0,1 %) som behandlades med bosutinib.
Hepatit B-reaktivering
Hepatit B-reaktivering har rapporterats i samband med BCR-ABL TKI. Vissa fall ledde till akut leversvikt eller fulminant hepatit med levertransplantation eller dödlig utgång som följd (se avsnitt 4.4).
Magtarmkanalen
Av de 1 103 patienterna (80,4 %) som fick diarré avbröt 14 patienter bosutinibbehandlingen av denna orsak. Samtidig läkemedelsbehandling mot diarré gavs till 756 patienter (68,5 %). Maximal toxicitetsgrad 1 förekom hos 575 patienter (52,1 %), grad 2 hos 383 patienter (34,7 %), grad 3 hos 144 patienter (13,1 %) och grad 4 hos 1 patient (0,1 %). Bland de patienter som fick diarré var mediantiden för debut 2 dagar (intervall mellan 1 och 2 702 dagar) och medianduration för diarré av någon grad var 2 dagar (intervall mellan 1 och 4 247 dagar).
Bland de 1 103 patienterna som fick diarré kunde 218 fall (19,8 %) åtgärdas genom behandlingsavbrott och behandlingen med bosutinib återupptogs hos 208 (95,4 %) av dessa patienter. Av de patienter som återinsattes på bosutinib fick 201 (96,6 %) ingen efterföljande diarré eller behövde inte avbryta bosutinibbehandlingen på grund av diarré.
Hjärtat
Sju patienter (0,5 %) fick QTcF-förlängning (mer än 500 ms). Elva patienter (0,8 %) fick en QTcF-ökning på > 60 ms jämfört med vid baslinjen. Patienter som vid baslinjen hade en okontrollerad eller signifikant kardiovaskulär sjukdom, inklusive förlängt QT-intervall, inkluderades inte i kliniska studier (se avsnitt 5.1 och 5.3).
Rapportering av misstänkta biverkningar
Det är viktigt att rapportera misstänkta biverkningar efter att läkemedlet godkänts. Det gör det möjligt att kontinuerligt övervaka läkemedlets nytta-riskförhållande. Hälso- och sjukvårdspersonal uppmanas att rapportera varje misstänkt biverkning via
Läkemedelsverket Box 26
751 03 Uppsala
Webbplats:
Erfarenheterna av överdosering av bosutinib i kliniska studier begränsas till enstaka fall. Patienter som tagit en överdos av bosutinib ska observeras och få lämplig stödjande behandling.
Bosutinib Zentiva är indicerat för behandling av vuxna patienter med:
nydiagnostiserad Philadelphiakromosompositiv kronisk myeloisk leukemi (Ph+ KML) i kronisk fas.
Ph+ KML i kronisk fas, accelererad fas eller blastfas, som tidigare behandlats med en eller flera tyrosinkinashämmare (TKI) och för vilka imatinib, nilotinib och dasatinib inte är lämpliga behandlingsalternativ.
Behandling ska initieras av läkare med erfarenhet av diagnos och behandling av patienter med KML.
Dosering
Nydiagnostiserad Ph+ KML i kronisk fas
Rekommenderad dos är 400 mg bosutinib en gång dagligen.
Ph+ KML i kronisk fas, accelererad fas eller blastfas, med resistens eller intolerans mot tidigare behandling
Rekommenderad dos är 500 mg bosutinib en gång dagligen.
I kliniska prövningar med båda indikationerna fortsatte behandlingen med bosutinib fram till sjukdomsprogression eller behandlingsintolerans.
Dosjusteringar
I den kliniska fas 1/2-studien på patienter med KML, som inte hade svarat på eller inte tolererat tidigare behandling, tilläts dosökningar från 500 mg till 600 mg en gång dagligen med föda hos patienter som inte uppnått komplett hematologisk respons (CHR) vecka 8 eller komplett cytogenetisk respons (CCyR) vecka 12 och inte hade några biverkningar av grad 3 eller högre som skulle kunna ha samband med studieläkemedlet. I den kliniska fas 3-studien på patienter med nydiagnostiserad KML i kronisk fas som behandlades med bosutinib 400 mg, var dosökningar i steg om 100 mg tillåtna upp till högst 600 mg en gång dagligen med föda, under förutsättning att patienten inte uppvisade BCR-ABL- (breakpoint cluster region–Abelson)-transkript ≤ 10 % månad 3, inte hade någon biverkning av grad 3 eller 4 vid tidpunkten för dosökningen, och alla icke-hematologiska biverkningar av grad 2 hade gått tillbaka minst till grad 1. I den kliniska fas 4-studien på patienter med Ph+ KML som tidigare behandlats med en eller flera TKI, tilläts dosökningar från 500 mg till 600 mg en gång dagligen tillsammans med föda hos patienter med otillfredsställande svar eller med tecken på sjukdomsprogression utan någon biverkning av grad 3 eller 4 eller ihållande biverkning av grad 2.
I fas 1/2-studien på patienter med KML som inte hade svarat på eller inte tolererat tidigare behandling och som började sin behandling med ≤ 500 mg, ökades dosen hos 93 av patienterna (93/558; 16,7 %) till 600 mg dagligen.
I fas 3-studien på patienter med nydiagnostiserad KML i kronisk fas som började sin bosutinibbehandling med 400 mg, ökades dosen till 500 mg dagligen hos totalt 58 patienter (21,6 %). Dessutom ökades dosen ytterligare till 600 mg dagligen hos 10,4 % av patienterna i gruppen som fick bosutinib.
I fas 4-studien på patienter med Ph+ KML som tidigare behandlats med en eller flera TKI och som började sin bosutinibbehandling med 500 mg dagligen ökades dosen hos en patient (0,6 %) till upp till 600 mg dagligen.
Doser över 600 mg/dag har inte studerats och ska därför inte ges.
Dosjusteringar på grund av biverkningar
Icke-hematologiska biverkningar
Om kliniskt signifikant måttlig eller svår icke-hematologisk toxicitet utvecklas ska behandlingen med bosutinib avbrytas. När biverkningen gått tillbaka kan behandlingen återupptas en gång dagligen med en dos som reducerats med 100 mg. Om så är kliniskt lämpligt kan dosökning till den dos som gällde före reduceringen en gång dagligen åter övervägas (se avsnitt 4.4). Doser understigande 300 mg/dag har använts till patienter men effekt har inte fastställts.
Förhöjda levertransaminaser: Vid förhöjda levertransaminasvärden > 5 x institutionell övre normalgräns (ULN) ska behandlingen med bosutinib avbrytas tills återhämtning till ≤ 2,5 x ULN har skett och kan därefter återupptas till dosen 400 mg en gång dagligen. Om återhämtningen tar längre tid
än 4 veckor ska utsättande av bosutinib övervägas. Om förhöjda transaminaser ≥ 3 x ULN uppträder samtidigt med förhöjt bilirubin > 2 x ULN och alkaliskt fosfatas < 2 x ULN ska behandlingen med bosutinib sättas ut (se avsnitt 4.4).
Diarré: Vid diarré grad 3-4 enligt NCI CTCAE (Common Terminology Criteria for Adverse Events), ska behandlingen med bosutinib avbrytas och kan sedan återupptas till dosen 400 mg en gång dagligen så snart återhämtning skett till grad ≤ 1 (se avsnitt 4.4).
Hematologiska biverkningar
Dosreducering rekommenderas vid svår eller kvarstående neutropeni och trombocytopeni, se tabell 1.
Tabell 1 – Dosjusteringar vid neutropeni och trombocytopeni
a ANC = absolut neutrofiltal
Särskilda populationer
Äldre patienter (≥ 65 år)
Inga särskilda dosrekommendationer krävs för äldre patienter. Det finns endast begränsad information om behandling av äldre patienter och försiktighet ska därför iakttas i dessa fall.
Nedsatt njurfunktion
Patienter med serumkreatinin > 1,5 x ULN exkluderades från KML-studier. Ökande exponering (area under kurvan [AUC]) hos patienter med måttligt och kraftigt nedsatt njurfunktion observerades.
Nydiagnostiserad Ph+ KML i kronisk fas
Hos patienter med måttligt nedsatt njurfunktion (kreatininclearance [CLCr] 30 till 50 ml/min, beräknad enligt Cockcroft–Gault-formeln) är den rekommenderade dosen bosutinib 300 mg dagligen med föda (se avsnitt 4.4 och 5.2).
Hos patienter med kraftigt nedsatt njurfunktion (CLCr< 30 ml/min, beräknad enligt Cockcroft–Gault- formeln) är den rekommenderade dosen bosutinib 200 mg dagligen med föda (se avsnitt 4.4 och 5.2).
Dosökning till 400 mg en gång dagligen med föda hos patienter med måttligt nedsatt njurfunktion eller till 300 mg en gång dagligen hos patienter med kraftigt nedsatt njurfunktion, kan övervägas för patienter som inte upplever allvarliga eller kvarstående måttliga biverkningar och som inte uppnår tillräcklig hematologisk, cytogenetisk eller molekylär respons.
Ph+ KML i kronisk fas, accelererad fas eller blastfas, med resistens eller intolerans mot tidigare behandling
Hos patienter med måttligt nedsatt njurfunktion (CLCr 30 till 50 ml/min, beräknad enligt Cockcroft– Gault-formeln) är den rekommenderade dosen bosutinib 400 mg dagligen (se avsnitt 4.4 och 5.2).
Hos patienter med kraftigt nedsatt njurfunktion (CLCr < 30 ml/min, beräknad enligt Cockcroft–Gault- formeln) är den rekommenderade dosen bosutinib 300 mg dagligen (se avsnitt 4.4 och 5.2).
Dosökning till 500 mg en gång dagligen hos patienter med måttligt nedsatt njurfunktion eller till 400 mg en gång dagligen hos patienter med kraftigt nedsatt njurfunktion kan övervägas för de patienter som inte fick allvarliga eller kvarstående måttliga biverkningar och om de inte uppnår tillräcklig hematologisk, cytogenetisk eller molekylär respons.
Hjärtsjukdomar
Patienter med ej kontrollerad eller betydande hjärtsjukdom (t.ex. nyligen genomgången hjärtinfarkt, hjärtsvikt eller instabil angina) exkluderades från kliniska studier. Försiktighet bör iakttas för patienter med relevanta hjärtsjukdomar (se
avsnitt 4.4).
Nyligen genomgången eller pågående kliniskt signifikant gastrointestinal sjukdom
Patienter med nyligen genomgången eller pågående kliniskt signifikant gastrointestinal sjukdom (t.ex. svåra kräkningar och/eller diarré) exkluderades från kliniska studier. Försiktighet bör iakttas om patienterna nyligen haft eller har kliniskt signifikant gastrointestinal sjukdom (se avsnitt 4.4).
Pediatrisk population
Säkerhet och effekt för bosutinib för barn och ungdomar under 18 år har inte fastställts. Inga data finns tillgängliga.
Administreringssätt
Bosutinib Zentiva ska tas peroralt en gång dagligen med föda (se avsnitt 5.2). Om patienten glömmer en dos under längre tid än 12 timmar ska ingen extra dos tas. Patienten ska ta den vanliga ordinerade dosen följande dag.
Överkänslighet mot den aktiva substansen eller mot något hjälpämne som anges i avsnitt 6.1.
Nedsatt leverfunktion (se avsnitt 5.1 och 5.2).
Onormal leverfunktion
Behandling med bosutinib är förknippat med förhöjda serumtransaminaser (alaninaminotransferas [ALAT], aspartataminotransferas [ASAT]).
Förhöjda transaminaser uppträdde vanligen tidigt under behandlingen (hos >80 % av de patienter som fick förhöjda transaminaser av någon grad inträffade den första händelsen inom de 3 första månaderna). Leverfunktionsprover ska tas innan behandlingsstart och varje månad under de tre första behandlingsmånaderna på patienter som får bosutinib, och när så är kliniskt indikerat.
Patienter med förhöjda transaminaser ska behandlas genom tillfälligt avbrott i bosutinibbehandlingen (med övervägande av dosminskning efter återhämtning till Grad 1 eller baslinjevärdena), och/eller utsättning av bosutinib. Förhöjda transaminaser, särskilt vid samtidig ökning av bilirubin, kan vara en tidig indikation på läkemedelsorsakad leverskada och dessa patienter ska behandlas på lämpligt sätt (se avsnitt 4.2 och 4.8).
Diarré och kräkningar
Behandling med bosutinib är förknippat med diarré och kräkningar. Patienter som nyligen har haft eller har en pågående kliniskt signifikant gastrointestinal sjukdom ska därför använda detta läkemedel med försiktighet och endast efter en noggrann nytta-riskbedömning, eftersom patienter med dessa sjukdomar exkluderades från de kliniska studierna. Patienter med diarré och kräkningar ska behandlas med standardbehandling, däribland läkemedel mot diarré eller antiemetiska preparat och/eller vätskeersättning. Diarré och kräkningar kan också behandlas genom tillfälligt avbrott i bosutinib- behandlingen, dosminskning och/eller utsättning av bosutinib (se avsnitt 4.2 och 4.8). Det antiemetiska preparatet domperidon kan ge ytterligare QT-intervallsförlängning (QTc-förlängning) och kan inducera ”torsade de pointes”-arytmier, varför samtidig behandling med domperidon bör undvikas.
Det bör endast användas om andra läkemedel inte har någon effekt. I dessa situationer är en individuell nytta-riskbedömning obligatorisk och patienterna ska följas med avseende på QTc-förlängning.
Benmärgssuppression
Behandling med bosutinib är förknippat med benmärgssuppression i form av anemi, neutropeni och trombocytopeni. Fullständig blodstatus ska tas varje vecka under den första behandlingsmånaden och därefter varje månad, eller när så är kliniskt indikerat. Benmärgssuppression bör/kan behandlas genom tillfälligt avbrott i bosutinibbehandlingen, dosminskning och/eller utsättning av bosutinib (se
avsnitt 4.2 och 4.8).
Vätskeretention
Behandling med bosutinib är förknippat med vätskeretention såsom perikardiell vätskeutgjutning, pleuravätskeutgjutning, lungödem och/eller perifert ödem. Patienterna ska övervakas och behandlas enligt gängse standardbehandling. Vätskeretention kan också behandlas genom tillfälligt avbrott i bosutinibbehandlingen, dosminskning och/eller utsättning av bosutinib (se avsnitt 4.2 och 4.8).
Serumlipas
Förhöjt serumlipasvärde har observerats. Försiktighet rekommenderas vid användning till patienter med pankreatit i anamnesen. Om lipasökningarna åtföljs av buksymtom ska behandlingen med bosutinib avbrytas och lämpliga diagnostiska åtgärder övervägas för att utesluta pankreatit (se avsnitt 4.2).
Infektioner
Behandling med bosutinib kan medföra predisposition för bakterie-, svamp-, virus- och protozoinfektioner.
Proarytmisk potential
Automatisk maskinavläst QTc-förlängning utan åtföljande arytmi har observerats. Bosutinib bör ges med försiktighet till patienter med anamnes på eller predisposition för QTc-förlängning, som har okontrollerad eller betydande kardiell sjukdom inklusive nyligen genomgången hjärtinfarkt, hjärtsvikt, instabil angina eller kliniskt signifikant bradykardi, eller som tar läkemedel som man vet förlänger QT-intervallet
(t.ex. antiarytmika och andra substanser som kan förlänga QTc [se avsnitt 4.5]). Vid hypokalemi och hypomagnesemi kan denna effekt förstärkas ytterligare.
Kontroller avseende effekt på QTc tillråds och ett baslinje elektrokardiogram (EKG) rekommenderas innan behandling med bosutinib inleds, och när så är kliniskt indicerat. Hypokalemi eller hypomagnesemi måste korrigeras innan bosutinib administreras och ska kontrolleras med jämna mellanrum under behandlingen.
Nedsatt njurfunktion
Behandling med bosutinib kan leda till en kliniskt signifikant försämring av njurfunktionen hos KML-patienter. En försämring över tid av skattad glomerulär filtrationshastighet (eGFR) har observerats hos patienter som behandlades med bosutinib i kliniska studier. Hos patienter med nydiagnostiserad KML i kronisk fas som behandlades med 400 mg var medianförsämringen av eGFR från baslinjen
11,1 ml/min/1,73 m2 vid 1 år och 14,1 ml/min/1,73 m2 vid 5 år för patienter som stod på behandling. Tidigare obehandlade KML-patienter som behandlades med 500 mg visade en medianförsämring av eGFR på 9,2 ml/min/1,73 m2 vid 1 år och
12,0 ml/min/1,73 m2 vid 5 år och 16,6 ml/min/1,73 m2 vid 10 år för patienter som stod på behandling. Hos tidigare behandlade patienter i kronisk fas och långt framskriden KML som behandlades med 500 mg var medianförsämring av
eGFR 7,6 ml/min/1,73 m2 vid 1 år, 12,3 ml/min/1,73 m2 vid 5 år och
15,9 ml/min/1,73 m2 vid 10 år för patienter som stod på behandling. Hos patienter med Ph+ KML som tidigare behandlats med en eller flera tyrosinkinashämmare och som behandlas med 500 mg var medianförsämring av eGFR från baslinjen
9,2 ml/min/1,73 m2 vid 1 år och 14,5 ml/min/1,73 m2 vid 4 år för patienter som stod på behandling.
Det är viktigt att njurfunktionen fastställs före behandlingsstart och noga följs under behandling med bosutinib, särskilt hos patienter som redan har nedsatt njurfunktion samt hos patienter som uppvisar riskfaktorer för nedsatt njurfunktion, inklusive samtidig användning av läkemedel som är potentiellt nefrotoxiska, som diuretika, ACE-hämmare (angiotensinkonverterande enzym-hämmare), angiotensinreceptorblockerare och icke-steroida antiinflammatoriska läkemedel (NSAID).
I en studie kring nedsatt njurfunktion ökades exponering för bosutinib hos försökspersoner med måttligt och kraftigt nedsatt njurfunktion. Dosminskning rekommenderas för patienter med måttligt eller kraftigt nedsatt njurfunktion (se avsnitt 4.2 och 5.2).
Patienter med serumkreatinin > 1,5 x ULN exkluderades från KML-studierna. På grund av en populationsfarmakokinetisk analys observerades ökande exponering (AUC) hos patienter med måttligt och kraftigt nedsatt njurfunktion vid behandlingsstart under studierna (se avsnitt 4.2 och 5.2).
Kliniska data är mycket begränsade (n=3) för KML-patienter med måttligt nedsatt njurfunktion som får en ökad dos om 600 mg bosutinib.
Asiatiskt ursprung
Enligt populationsfarmakokinetiska analyser hade asiater lägre clearance, vilket ledde till högre exponering. Därför ska dessa patienter övervakas noggrant beträffande biverkningar, särskilt vid dosökning.
Allvarliga hudreaktioner
Bosutinib kan orsaka allvarliga hudreaktioner såsom Stevens-Johnsons syndrom och toxisk epidermal nekrolys. Bosutinib ska sättas ut permanent om patienten får en allvarlig hudreaktion under behandlingen.
Tumörlyssyndrom
På grund av risken för tumörlyssyndrom (TLS) rekommenderas korrigering av kliniskt signifikant dehydrering samt behandling av höga urinsyranivåer innan bosutinib sätts in (se avsnitt 4.8).
Hepatit B-reaktivering
Hos kroniska bärare av hepatit B virus har reaktivering av hepatit B förekommit efter att dessa patienter fått BCR-ABL TKI. Vissa fall ledde till akut leversvikt eller fulminant hepatit med levertransplantation eller dödlig utgång som följd.
Patienter ska testas för HBV-infektion innan behandling med bosutinib påbörjas. Specialister på leversjukdomar och på behandling av HBV bör konsulteras innan behandling påbörjas hos patienter som testats positivt för HBV-serologi (inräknat dem med aktiv sjukdom) och vid patienter som testas positivt för HBV-infektion under behandlingen. Bärare av HBV som behöver behandling med bosutinib ska följas noga avseende tecken och symtom på aktiv HBV-infektion under hela behandlingen och i flera månader efter avslutad behandling (se avsnitt 4.8).
Ljuskänslighet
Exponering för direkt solljus eller ultraviolett (UV) strålning bör undvikas eller minimeras på grund av risken för ljuskänslighet som är förknippat med bosutinibbehandling. Patienter bör instrueras att vidta åtgärder såsom skyddande klädsel och solskyddsmedel med hög solskyddsfaktor (SPF).
Cytokrom P-450-(CYP)3A-hämmare
Samtidig användning av bosutinib och starka eller måttliga CYP3A-hämmare bör undvikas eftersom koncentrationen av bosutinib i plasma kommer att öka (se
avsnitt 4.5).
Val av ett alternativt samtidigt läkemedel utan eller med minimal CYP3A-hämmande potential rekommenderas, om möjligt.
Om en stark eller måttlig CYP3A-hämmare måste administreras under behandling med bosutinib ska avbrott i bosutinib-behandlingen alternativt lägre dos övervägas.
CYP3A-inducerare
Samtidig användning av bosutinib och starka eller måttliga CYP3A-inducerare bör undvikas eftersom plasmakoncentrationen av bosutinib kommer att sjunka (se
avsnitt 4.5).
Effekt av föda
Grapefruktprodukter, däribland grapefruktjuice, och andra livsmedel som man vet hämmar CYP3A bör undvikas (se avsnitt 4.5).
Natriuminnehåll
Detta läkemedel innehåller mindre än 1 mmol (23 mg) natrium per 100 mg-, 400 mg- eller 500 mg- tablett. Patienter som äter saltfattig kost bör informeras om att läkemedlet är näst intill ”natriumfritt”.
Effekter av andra läkemedel på bosutinib
CYP3A-hämmare
Samtidig användning av bosutinib och starka CYP3A-hämmare (inklusive, men inte begränsat till itrakonazol, ketokonazol, posakonazol, vorikonazol, klaritromycin, telitromycin, nefazodon, mibefradil, indinavir, lopinavir/ritonavir, nelfinavir, ritonavir, sakvinavir, boceprevir, telaprevir, grapefruktprodukter t.ex. grapefruktjuice) eller måttliga CYP3A-hämmare (inklusive, men inte begränsat till flukonazol, ciprofloxacin, erytromycin, diltiazem, verapamil, amprenavir, atazanavir, darunavir/ritonavir, fosamprenavir, aprepitant, crizotinib, imatinib) bör undvikas, eftersom koncentrationen av bosutinib i plasma kommer att öka.
Försiktighet bör iakttas vid användning av milda CYP3A-hämmare samtidigt med bosutinib. Val av ett alternativt samtidigt läkemedel utan eller med minimal CYP3A-hämmande potential rekommenderas, om möjligt.
Om en stark eller måttlig CYP3A-hämmare måste administreras under behandling med bosutinib ska avbrott i bosutinib-behandlingen alternativt lägre dos övervägas.
I en studie av 24 friska fastande försökspersoner som fick 5 dagliga doser om 400 mg ketokonazol (en stark CYP3A-hämmare) samtidigt med en singeldos bosutinib om 100 mg, framkallade ketokonazol en 5,2-faldig ökning av Cmax för bosutinib och en 8,6-faldig ökning av AUC för bosutinib i plasma, jämfört med när enbart bosutinib administrerades.
I en studie av 20 friska icke-fastande försökspersoner som fick en dos om 125 mg aprepitant (en måttlig CYP3A-hämmare) samtidigt med en singeldos bosutinib om 500 mg, framkallade aprepitant en 1,5-faldig ökning av Cmax för bosutinib och en 2,0-faldig ökning av AUC för bosutinib i plasma, jämfört med när enbart bosutinib administrerades.
CYP3A-inducerare
Samtidig användning av bosutinib och starka CYP3A-inducerare (inklusive, men inte begränsat till karbamazepin, fenytoin, rifampicin, johannesört) eller måttliga CYP3A-inducerare (inklusive, men inte begränsat till bosentan, efavirenz, etravirin, modafinil, nafcillin) bör undvikas, eftersom plasmakoncentrationen av bosutinib kommer att sjunka.
Grundat på den kraftiga minskningen av bosutinibexponeringen som inträffade när bosutinib gavs samtidigt med rifampicin, kan en dosökning av bosutinib när det ges samtidigt med starka eller måttliga CYP3A-inducerare sannolikt inte fullt ut kompensera för den minskade exponeringen.
Försiktighet bör iakttas vid användning av milda CYP3A-hämmare samtidigt med bosutinib.
Efter samtidig administrering av en singeldos bosutinib och 6 dagliga doser rifampicin 600 mg till 24 friska, icke fastande försökspersoner, sjönk bosutinibexponeringen (Cmax och AUC i plasma) till 14 % respektive 6 % av de värden som sågs när enbart bosutinib 500 mg administrerades.
Protonpumpshämmare (PPI)
Försiktighet bör iakttas när bosutinib administreras samtidigt med PPI. Kortverkande antacida bör övervägas som alternativ till PPI och bosutinib och antacida bör tas vid olika tidpunkter (t.ex. kan bosutinib tas på morgonen och antacida på kvällen), när så är möjligt. Bosutinib uppvisar pH-beroende vattenlöslighet in vitro. När en peroral singeldos av bosutinib (400 mg) administrerades samtidigt med flera perorala doser av lansoprazol (60 mg) i en studie av 24 friska fastande försökspersoner, sjönk Cmax och AUC för bosutinib till 54 % respektive 74 % av de värden som sågs när enbart bosutinib (400 mg) administrerades.
Effekter av bosutinib på andra läkemedel
I en studie av 27 friska icke-fastande försökspersoner som fick en dos om 500 mg bosutinib samtidigt med en singeldos dabigatranetexilatmesilat (ett
P-glykoproteinsubstrat [P-gp-substrat]) om 150 mg, framkallade bosutinib inte någon ökning av Cmax eller AUC för dabigatran i plasma, jämfört med när enbart dabigatranetexilatmesilat administrerades. Studieresultaten indikerar att bosutinib inte uppvisar kliniskt relevanta P-gp-hämmande effekter.
En in vitro-studie visar att interaktioner mellan läkemedel sannolikt inte inträffar vid terapeutiska doser som resultat av att bosutinib inducerar metabolism av läkemedel som är substrat för CYP1A2, CYP2B6, CYP2C9, CYP2C19 och CYP3A4.
In vitro-studier visar att kliniska interaktioner mellan läkemedel sannolikt inte inträffar vid terapeutiska doser som resultat av att bosutinib hämmar metabolismen av läkemedel som är substrat för CYP1A2, CYP2A6, CYP2C8, CYP2C9, CYP2C19, CYP2D6 eller CYP3A4/5.
In vitro-studier visar att bosutinib har låg potential att hämma bröstcancerresistensprotein (BCRP, systemiskt), organisk anjontransporterande polypeptid (OATP)1B1, OATP1B3, organisk anjontransportör (OAT)1, OAT3, organisk katjontransportör (OCT)2 vid kliniskt relevanta koncentrationer, men kan ha potential att hämma BCRP i magtarmkanalen och OCT1.
Antiarytmiska läkemedel och andra substanser som kan förlänga QT-intervallet
Bosutinib bör användas med försiktighet till patienter som har eller kan utveckla förlängt QT-intervall, inklusive patienter som tar antiarytmika som amiodaron, disopyramid, prokainamid, kinidin och sotalol eller andra läkemedel som kan medföra QT-förlängning, såsom klorokin, halofantrin, klaritromycin, domperidon, haloperidol, metadon och moxifloxacin (se avsnitt 4.4)
Fertila kvinnor/preventivmedel
Fertila kvinnor ska tillrådas att använda ett ändamålsenligt preventivmedel under behandlingen med bosutinib och i minst 1 månad efter den sista dosen och att undvika graviditet under behandlingen med bosutinib. Patienten ska också informeras om att kräkningar och diarré kan minska effekten av orala preventivmedel genom att förhindra en fullständig absorption.
Graviditet
Det finns begränsad mängd data från användningen av bosutinib i gravida kvinnor. Djurstudier har visat reproduktionstoxikologiska effekter (se avsnitt 5.3). Bosutinib rekommenderas inte under graviditet eller till fertila kvinnor som inte använder preventivmedel. Om bosutinib används under graviditet, eller om patienten blir gravid under behandlingen med bosutinib, ska hon underrättas om den möjliga risken för fostret.
Amning
Det är okänt om bosutinib eller dess metaboliter utsöndras i bröstmjölken hos människa. En studie av C14-märkt radioaktivt bosutinib hos råtta visade utsöndring av bosutinibderiverad radioaktivitet i bröstmjölk (se avsnitt 5.3). En potentiell risk för barnet som ammas kan inte uteslutas. Amning ska avbrytas under behandling med bosutinib.
Fertilitet
Baserat på icke-kliniska resultat kan bosutinib försämra reproduktionsförmåga och fertilitet hos människa (se avsnitt 5.3). Män som behandlas med bosutinib tillråds att söka råd angående konservering av sperma före behandlingen på grund av risken för minskad fertilitet på grund av behandling med bosutinib.
Bosutinib har ingen eller försumbar effekt på förmågan att framföra fordon och använda maskiner. Om en patient som tar bosutinib besväras av yrsel, trötthet, synnedsättning eller andra biverkningar som kan påverka förmågan att framföra fordon och använda maskiner på ett säkert sätt, ska patienten emellertid avstå från dessa aktiviteter så länge biverkningarna kvarstår.
Sammanfattning av säkerhetsprofilen
Totalt 1 372 leukemipatienter fick minst en dos av enbart bosutinib. Medianbehandlingstiden var 26,30 månader (0,03–170,49 månader). Dessa patienter hade antingen nyligen fått diagnosen KML i kronisk fas, alternativt hade inte svarat på eller inte tolererat tidigare behandling, och hade KML i kronisk, accelererad eller blastfas eller Ph-positiv akut lymfoblastisk leukemi (ALL). Av dessa patienter kommer 268 (startdos 400 mg) och 248 (startdos 500 mg) från de två fas
3-studierna av tidigare obehandlade KML-patienter, 60 (startdos 400 mg) kommer från en fas 2-studie av tidigare obehandlade KML-patienter, 570 respektive
63 patienter (fas 2: startdos 500 mg) kommer från två fas 1/2-studier av tidigare behandlad Ph-positiv leukemi och 163 (startdos 500 mg) kommer från en fas
4-studie av tidigare behandlad KML. Medianbehandlingstiden var 55,1 månader (0,2–60,05 månader), 61,6 månader (0,03–145,86 månader), 15,3 månader
(0,3–21,8 månader), 11,1 månader (0,03–170,49 månader), 30,2 månader
(0,2–85,6 månader) respektive 37,80 månader (0,16–50,0 månader). Säkerhetsanalyserna inkluderade data från en genomförd förlängningsstudie.
Minst en biverkning av någon toxicitetsgrad rapporterades hos 1 349 patienter
(98,3 %). De vanligaste biverkningarna, som rapporterades hos ≥ 20 % av patienterna, var diarré (80,4 %), illamående (41,5 %), buksmärtor (35,6 %) trombocytopeni (34,4 %), kräkningar (33,7 %), hudutslag (32,8 %), förhöjt ALAT
(28,0 %), anemi (27,2 %), pyrexi (23,4 %), förhöjt ASAT (22,5 %), trötthet (32,0 %) och huvudvärk (20,3 %). Minst en biverkning av grad 3 eller 4 rapporterades hos
943 patienter (68,7 %). Biverkningar av grad 3 eller 4 som rapporterades hos ≥ 5 % av patienterna var trombocytopeni (19,7 %), förhöjt ALAT (14,6 %), neutropeni
(10,6 %), diarré (10,6 %), anemi (10,3 %), förhöjt lipas (10,1 %), förhöjt ASAT (6,7 %) och hudutslag (5,0 %).
Tabell över biverkningar
Följande biverkningar har rapporterats i kliniska studier av bosutinib (tabell 2). De återger en bedömning av biverkningsdata från 1 372 patienter med antingen nydiagnostiserad KML i kronisk fas, eller med KML i kronisk, accelererad eller blastfas, som inte hade svarat på eller inte tolererat tidigare behandling, eller Ph-positiv ALL som hade fått minst en dos bosutinib som singelbehandling.
Biverkningarna redovisas indelade efter organsystem och frekvens. Frekvenskategorierna är: mycket vanliga (≥1/10), vanliga (≥1/100, <1/10), mindre vanliga (≥1/1 000, <1/100), sällsynta (≥1/10 000, <1/1 000), mycket sällsynta
(<1/10 000) och ingen känd frekvens (kan inte beräknas från tillgängliga data). Inom varje frekvensgrupp redovisas biverkningarna efter fallande svårighetsgrad.
Tabell 2 Biverkningar av bosutinib
**Biverkningar identifierade efter godkännandet för försäljning.
Beskrivning av ett urval biverkningar
Beskrivningen nedan baseras på en säkerhetspopulation om 1 372 patienter som fick minst en dos bosutinib och hade antingen nydiagnostiserad KML i kronisk fas eller KML i kronisk fas, accelererad fas eller blastfas som inte hade svarat på eller inte tolererat tidigare behandling eller Ph+ ALL.
Blodet och lymfsystemet
Av de 372 patienterna (27,1 %) som rapporterade biverkningen anemi, avbröt
6 bosutinibbehandlingen på grund av anemi. Maximal toxicitetsgrad 1 förekom hos 95 patienter (25,5 %), grad 2 hos 135 patienter (36,3 %), grad 3 hos 113 patienter (30,4 %) och grad 4 hos 29 patienter (7,8 %). Bland dessa patienter var mediantiden till den första biverkningshändelsen 29 dagar (intervall mellan 1 och 3 999 dagar) och medianduration per händelse var 22 dagar (intervall mellan 1 och 3 682 dagar).
Av de 209 patienterna (15,2 %) som rapporterade biverkningen neutropeni avbröt
19 bosutinib- behandlingen på grund av neutropeni. Maximal toxicitetsgrad
1 förekom hos 19 patienter (9,1 %), grad 2 hos 45 patienter (21,5 %), grad 3 hos
95 patienter (45,5 %) och grad 4 hos 50 patienter (23,9 %). Bland dessa patienter var mediantiden till den första biverkningshändelsen var 56 dagar (intervall mellan
1 och 1 769 dagar) och medianduration per händelse var 15 dagar (intervall mellan
1 och 913 dagar).
Av de 472 patienterna (34,4 %) som rapporterade biverkningen trombocytopeni avbröt 42 bosutinibbehandlingen på grund av trombocytopeni. Maximal toxicitetsgrad 1 förekom hos 114 patienter (24,2 %), grad 2 hos 88 patienter (18,6 %), grad 3 hos 172 patienter (36,4 %) och grad 4 hos 98 patienter (20,8 %). Bland dessa patienter var mediantiden till den första biverkningshändelsen 28 dagar (intervall mellan 1 och 1 688 dagar) och medianduration per händelse var 15 dagar (intervall mellan 1 och
3 921 dagar).
Lever och gallvägar
Hos de patienter som rapporterade biverkningen förhöjda ALAT- eller ASAT-värden (samtliga grader) var mediantiden för debut 29 dagar med ett intervall mellan 1 och
3 995 dagar för ALAT och ASAT. Mediandurationen för en händelse var 17 dagar för ALAT (mellan 1 och 1 148 dagar) respektive 15 dagar för ASAT (mellan 1 och
803 dagar).
Två fall överensstämmande med läkemedelsframkallad leverskada (definierad som samtidiga ökningar av ALAT och ASAT ≥ 3 x ULN med totalbilirubin > 2 x ULN och med alkaliskt fosfatas < 2 x ULN) utan alternativa orsaker har förekommit hos
2/1 711 patienter (0,1 %) som behandlades med bosutinib.
Hepatit B-reaktivering
Hepatit B-reaktivering har rapporterats i samband med BCR-ABL TKI. Vissa fall ledde till akut leversvikt eller fulminant hepatit med levertransplantation eller dödlig utgång som följd (se avsnitt 4.4).
Magtarmkanalen
Av de 1 103 patienterna (80,4 %) som fick diarré avbröt 14 patienter bosutinibbehandlingen av denna orsak. Samtidig läkemedelsbehandling mot diarré gavs till 756 patienter (68,5 %). Maximal toxicitetsgrad 1 förekom hos 575 patienter (52,1 %), grad 2 hos 383 patienter (34,7 %), grad 3 hos 144 patienter (13,1 %) och grad 4 hos 1 patient (0,1 %). Bland de patienter som fick diarré var mediantiden för debut 2 dagar (intervall mellan 1 och 2 702 dagar) och medianduration för diarré av någon grad var 2 dagar (intervall mellan 1 och 4 247 dagar).
Bland de 1 103 patienterna som fick diarré kunde 218 fall (19,8 %) åtgärdas genom behandlingsavbrott och behandlingen med bosutinib återupptogs hos 208 (95,4 %) av dessa patienter. Av de patienter som återinsattes på bosutinib fick 201 (96,6 %) ingen efterföljande diarré eller behövde inte avbryta bosutinibbehandlingen på grund av diarré.
Hjärtat
Sju patienter (0,5 %) fick QTcF-förlängning (mer än 500 ms). Elva patienter (0,8 %) fick en QTcF-ökning på > 60 ms jämfört med vid baslinjen. Patienter som vid baslinjen hade en okontrollerad eller signifikant kardiovaskulär sjukdom, inklusive förlängt QT-intervall, inkluderades inte i kliniska studier (se avsnitt 5.1 och 5.3).
Rapportering av misstänkta biverkningar
Det är viktigt att rapportera misstänkta biverkningar efter att läkemedlet godkänts. Det gör det möjligt att kontinuerligt övervaka läkemedlets nytta-riskförhållande. Hälso- och sjukvårdspersonal uppmanas att rapportera varje misstänkt biverkning via
Läkemedelsverket Box 26
751 03 Uppsala
Webbplats:
Erfarenheterna av överdosering av bosutinib i kliniska studier begränsas till enstaka fall. Patienter som tagit en överdos av bosutinib ska observeras och få lämplig stödjande behandling.
Farmakodynamisk effekt
Effekten av bosutinib 500 mg på korrigerat QTc undersöktes i en randomiserad, singeldos-, dubbelblind (avseende bosutinib), placebokontrollerad, öppen, moxifloxacinkontrollerad överkorsningsstudie på friska försökspersoner.
Data från denna studie visar att bosutinib inte förlänger QTc hos friska personer vid dosen 500 mg dagligen med föda, och under förhållanden som ger supraterapeutiska plasmakoncentrationer. Efter administrering av en peroral singeldos bosutinib 500 mg (terapeutisk dos) och bosutinib 500 mg med ketokonazol 400 mg (för att uppnå supraterapeutiska koncentrationer av bosutinib) till friska försökspersoner, var det övre gränsvärdet för det ensidiga 95-procentiga konfidensintervallet (KI) för genomsnittlig QTc-förändring mindre än 10 ms vid alla tidpunkter efter doseringen. Inga biverkningar som tydde på förlängt QTc observerades.
I en studie på patienter med nedsatt leverfunktion sågs en ökande frekvens av
QTC-förlängning > 450 ms vid försämrad leverfunktion. I den kliniska fas 1/2-studien på patienter med tidigare behandlade Ph-positiva leukemier och under behandling med bosutinib 500 mg, sågs QTcF-ökningar på > 60 ms från baslinjen hos 9 (1,6 %) av 570 patienter. I den kliniska fas 3-studien på patienter med nydiagnostiserad KML i kronisk fas som behandlades med bosutinib 400 mg, fanns det inga patienter i bosutinibgruppen (N=268) med en QTcF-ökning på > 60 ms från baslinjen. I den kliniska fas 3-studien på patienter med nydiagnostiserad Ph+ KML i kronisk fas som behandlades med bosutinib 500 mg, sågs QTcF-ökning på > 60 ms från baslinjen hos 2 (0,8 %) av 248 patienter som fick bosutinib. I den kliniska fas 4-studien på patienter med Ph+ KML tidigare behandlade med en eller flera tyrosinkinashämmare och som behandlades med bosutinib 500 mg (N=163) fanns det inga patienter med en QTcF-ökning på > 60 ms från baslinjen. En proarytmisk potential hos bosutinib kan inte uteslutas.
Klinisk effekt och säkerhet
Klinisk studie av tidigare obehandlad KML i kronisk fas
Studie av bosutinib 400 mg
En tvåarmad, öppen superiority-studie i fas 3 utfördes på flera studiecentra för att undersöka effekt och säkerhet för enbart bosutinib 400 mg en gång dagligen jämfört med enbart imatinib 400 mg en gång dagligen hos vuxna patienter med nydiagnostiserad Ph+ KML i kronisk fas. I studien randomiserades 536 patienter (268 i varje behandlingsgrupp) med Ph-positiv eller Ph-negativ nydiagnostiserad KML i kronisk fas (intent-to-treat-population [ITT]) varav 487 patienter hade Ph+ KML med b2a2- och/eller b3a2-transkript och BCR-ABL-kopior vid baslinjen på > 0 (modifierad intent-to-treat-population [mITT]).
Primärt effektmått var andelen patienter som uppvisade betydande molekylär respons (MMR) vid 12 månader (48 veckor) i bosutinibgruppen respektive i imatinibgruppen i mITT-populationen. MMR definierades som
≤ 0,1 % BCR-ABL/ABL-kvot enligt internationell skala (motsvarande ≥3-logaritmisk minskning från standardiserad baslinje) med minst 3 000 ABL-transkript enligt analys utförd vid centrallaboratoriet.
De huvudsakliga sekundära effektmåtten var komplett cytogenetisk respons (CCyR) månad 12, varaktigheten för CCyR, varaktigheten för MMR, händelsefri överlevnad (EFS) och total överlevnad (OS). CCyR månad 12 definierades som frånvaro av Ph+-metafaser vid kromosombandsanalys av ≥20 metafaser från benmärgsaspirat eller MMR om en adekvat cytogenetisk analys inte kunde utföras. P-värdena för andra effektmått än MMR månad 12 och CCyR vid månad 12 har inte justerats för multipla jämförelser.
Baslinjekaraktäristika för mITT-populationen var väl balanserade mellan de två behandlingsgrupperna vad gällde ålder (medianåldern var 52 år för bosutinibgruppen och 53 år för imatinibgruppen och 19,5 % respektive 17,4 % av patienterna var 65 år eller äldre); kön (kvinnor 42,3 % respektive 44,0 %); etniskt ursprung (kaukasier
78.0 % respektive 77,6 %, asiater 12,2 % respektive 12,4 %, svarta eller afroamerikaner 4,1 % respektive 4,1 %, övriga 5,7 % respektive 5,4 %, samt en okänd i imatinibgruppen); och score för Sokalrisk (låg risk 35,0 % respektive 39,4 %, medelhög risk 43,5 % respektive 38,2 %, hög risk 21,5 % respektive 22,4 %).
Efter 60 månaders uppföljning av mITT-populationen fick fortfarande 60,2 % av patienterna som behandlades med bosutinib (N=246) och 59,8 % av patienterna som behandlades med imatinib (N=239) första linjens behandling.
Efter 60 månaders uppföljning av mITT-populationen var behandlingsavbrott på grund av sjukdomsprogression till KML i accelererad fas eller blastfas för bosutinibbehandlade patienter 0,8 % och för imatinibbehandlade patienter 1,7 %. Sex (2,4 %) av patienterna som fick bosutinib och sju (2,9 %) som fick imatinib progredierade till KML i accelererad fas eller blastfas. Behandlingen
avbröts på grund av suboptimal respons eller behandlingssvikt, enligt prövarens bedömning, hos 5,3 % av patienterna som fick bosutinib och 15,5 % av patienterna som fick imatinib. Tolv (4,9 %) patienter i bosutinibgruppen och fjorton (5,8 %) patienter i imatinibgruppen avled under studien. Inga ytterligare transformationer inträffade i ITT-populationen, ytterligare två dödsfall inträffade i bosutinibgruppen i ITT-populationen.
Effektresultaten för MMR och CCyR sammanfattas i tabell 3.
Tabell 3 – Sammanfattning av MMR vid månad 12 och 18 och CCyR månad 12, per behandlingsgrupp i mITT-populationen
Obs: MMR definierades som ≤ 0,1 % BCR–ABL/ABL-kvot enligt internationell skala (motsvarande ≥ 3-logaritmisk minskning från standardiserad baslinje) med minst
3 000 ABL-transkript enligt analys av centrallaboratoriet. Komplett cytogenetisk respons definierades som frånvaro av Ph+-metafaser vid kromosombandsanalys av ≥ 20 metafaser från benmärgsaspirat eller MMR om en adekvat cytogenetisk analys inte kunde utföras.
Förkortningar: BCR–ABL=breakpoint cluster region-Abelson; CI=konfidensintervall; CMH=Cochran-Mantel-Haenszel; CCyR=Complete Cytogenetic Response (komplett cytogenetisk respons); mITT=modifierad intent-to-treat; MMR=Major Molecular Response (betydande molekylär respons); N/n=antal patienter; Ph+=Philadelphiakromosompositiv.
a Justerat utifrån geografisk region och Sokal-score vid randomisering.
b Statistiskt signifikant jämförelse vid den fördefinierade signifikansnivån, baserat på CMH-test som stratifierats per geografisk region och Sokal-score vid randomiseringen.
c Baserat på CMH-test stratifierat efter geografisk region och Sokal-score vid randomiseringen.
Vid månad 12 var MR4-frekvensen (definierad som ≤ 0,01 % BCR–ABL [motsvarande ≥ 4-logaritmisk minskning från standardiserad baslinje] med minst
9 800 ABL-transkript) högre i bosutinibgruppen än i imatinibgruppen i
mITT-populationen (20,7 % [95 % CI: 15,7 %; 25,8 %] respektive
12,0 % [95 % CI: 7,9 %; 16,1 %], oddskvot (OR) 1,88 [95 % CI: 1,15; 3,08],
ensidigt p-värde=0,0052).
Månad 3, 6 och 9 var andelen patienter med MMR högre i bosutinibgruppen än i imatinibgruppen (tabell 4).
Tabell 4 – Jämförelse av MMR vid månad 3, 6 och 9, per behandling i mITT-populationen
Obs: Procentandelen baseras på antalet patienter i respektive behandlingsgrupp. MMR definierades som en BCR–ABL/ABL-kvot på ≤0,1 % på internationell skala (motsvarande ≥ 3-logaritmisk minskning från standardiserad baslinje) med minst 3 000 ABL-transkript analyserade av centrallaboratoriet.
Förkortningar: BCR–ABL=breakpoint cluster region-Abelson; CI=konfidensintervall;
CMH=Cochran-Mantel-Haenszel; mITT=modifierad intent-to-treat; MMR=Major Molecular Response (betydande molekylär respons); N=antal patienter.
a Justerat utifrån geografisk region och Sokal-score vid randomisering.
b Baserat på CMH-test stratifierat efter geografisk region och Sokal-score vid randomiseringen.
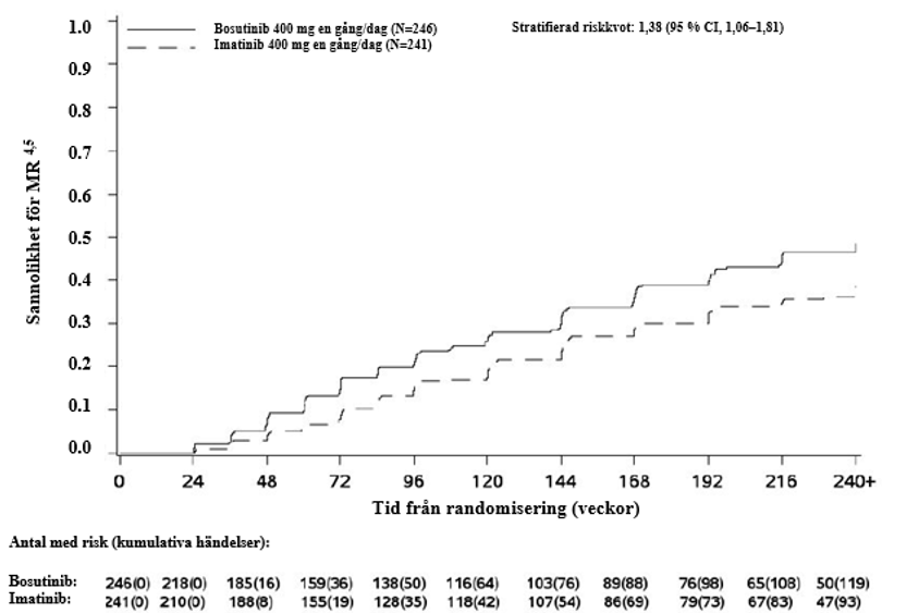
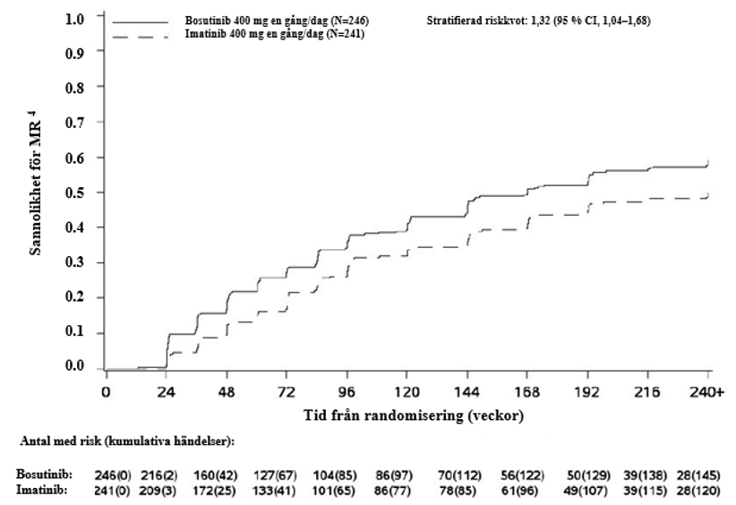
Vid månad 60 i mITT-populationen var andelen patienter med MMR, MR4 och MR4,5 högre i bosutinibgruppen jämfört med imatinibgruppen (tabell 5). MMR-frekvensen vid månad 60 i alla Sokal-riskundergrupper sammanfattas i tabell 6.
Tabell 5 – Sammanfattning av molekylär respons vid månad 60 i mITT-populationen
Obs: MMR/MR4/MR4,5 definierades som ≤ 0,1/0,01/0,0032 % BCR-ABL/ABL-kvot enligt internationell skala (motsvarande ≥ 3/4/4,5-logaritmisk minskning från standardiserad baslinje) med minst 3 000/9 800/30 990 ABL-transkript enligt analys utförd vid centrallaboratoriet.
Förkortningar: BCR-ABL=breakpoint cluster region-Abelson; CI=konfidensintervall; mITT=modifierad intent-to-treat; MMR=Major Molecular Response (betydande molekylär respons); MR=molekylär respons; N/n=antal patienter.
a Justerat utifrån geografisk region och Sokal-score vid randomisering.
Tabell 6 – Sammanfattning av MMR vid månad 60 efter score för Sokal-risk i mITT-populationen
Obs: Procentandelarna baserades på antalet patienter i varje behandlingsgrupp. MMR definierades som ≤ 0.1 % BCR-ABL/ABL-kvot enligt internationell skala (motsvarande ≥ 3-logaritmisk minskning från standardiserad baslinje) med minst
3 000 ABL-transkript enligt analys utförd vid centrallaboratoriet.
Förkortningar: BCR-ABL=breakpoint cluster region-Abelson; CI=konfidensintervall; mITT=modifierad intent-to-treat; MMR=Major Molecular Response (betydande molekylär respons); N/n=antal patienter.
Den kumulativa incidensen av CCyR justerad för konkurrerande risk för behandlingsavbrott utan CCyR var högre i bosutinibgruppen än i imatinibgruppen i mITT-populationen (83,3 % [95 % CI: 78,1 %, 87,4 %] respektive
76,8 % [95 % CI: 70,9 %, 81,6 %] vid månad 60; riskkvot [HR] enligt en stratifierad proportionell riskmodell för subdistribution: 1,35 [95 % CI: 1,11; 1,64]). Mediantiden till CCyR (endast för dem som svarade på behandling) var 24,0 veckor (intervall: 11,4 till 120,7) för bosutinibgruppen och 24,3 veckor (intervall: 11,4 till 96,6) för imatinibgruppen.
Mediantiden till MMR, MR4 och MR4.5 (endast för dem som svarade på behandling) var 36,1 veckor (intervall: 11,9 till 241,9) respektive 83,7 veckor (intervall: 12,4 till 244,3) och 108,0 veckor (intervall: 24,1 till 242,1) för bosutinibgruppen jämfört med 47,7 veckor (intervall: 12,1 till 216,1) respektive 84,4 veckor (intervall: 23,6 till 241,9) och 120,4 veckor (intervall: 24,6 till 240,7) för imatinibgruppen i mITT-populationen.
Den kumulativa incidensen av MMR, MR4 och MR4.5 justerad för konkurrerande risk för behandlingsavbrott utan händelsen var högre med bosutinib än med imatinib, vilket visas i figur 1 till 3.
Figur 1 – Kumulativ incidens av MMR (mITT-populationen)
Figur 2 – Kumulativ incidens av MR4 (mITT-populationen)
Figur 3 – Kumulativ incidens av MR4,5 (mITT-populationen)
Kaplan-Meier-estimat för bibehållen respons vid år 4 bland patienter i
mITT-populationen som uppnådde CCyR var 97,4 % (95 % CI: 93,9 %; 98,9 %) och 93,7 % (95 % CI: 88,9 %; 96,5 %) i bosutinib- respektive imatinibgruppen
(HR 0,39 [95 % CI: 0,14; 1,13]). Kaplan-Meier-estimat för bibehållen respons vid år 4 bland patienter som uppnådde MMR var 92,2 % (95 % CI: 86,8 %; 95,4 %) och
92,0 % (95 % CI: 85,9 %; 95,5 %) i bosutinib- respektive imatinibgruppen
(HR 1,09 [95 % CI: 0,49; 2,44]).
Vid månad 60 hade 43,9 % (95 % CI: 37,7 %; 50,1 %) och 38,6 %
(95 % CI: 32,4 %; 44,7 %) av bosutinib- respektive imatinibbehandlade patienter i mITT-populationen (OR 1,24 [95 % CI: 0,87; 1,78]) bibehållen MR4 definierat enligt följande kriterier: behandling i minst 3 år med minst MR4 vid alla bedömningar under en 1-årsperiod.
Den kumulativa incidensen av EFS-händelser i mITT-populationen under behandling vid månad 60 var 6,9 % (95 % CI: 4,2 %; 10,5 %) i bosutinibgruppen och 10,4 %
(95 % CI: 6,9 %; 14,6 %) i imatinibgruppen (HR 0,64; 95 % CI: 0,35; 1,17).
Kaplan-Meier-estimat av OS vid månad 60 för bosutinib- och imatinibpatienterna i
mITT-populationen var 94,9 % (95 % CI: 91,1 %; 97,0 %) respektive 94,0 %
(95 % CI: 90,1 %; 96,4 %) (HR 0,80; 95 % CI: 0,37; 1,73).
I en retrospektiv analys bland bedömningsbara patienter i ITT-populationen uppnådde fler patienter i bosutinibgruppen 200/248 (80,6 %) tidig molekylär respons (BCR-ABL-transkript ≤ 10 % vid 3 månader) jämfört med patienterna i imatinibgruppen 153/253 (60,5 %), OR 2,72 (95 % CI: 1,82; 4,08). MMR och EFS vid månad 60 hos bosutinibpatienter med och utan tidig molekylär respons sammanfattas i tabell 7.
Tabell 7 – Utfall vid månad 60 hos bosutinibpatienter med BCR-ABL ≤ 10 % jämfört med > 10 % vid månad 3 i ITT-populationen
Förkortningar: BCR-ABL=breakpoint cluster region-Abelson; CI=konfidensintervall; ITT=intent-to-treat; MMR=Major Molecular Response (betydande molekylär respons);
EFS=händelsefri överlevnad; N=antal patienter med ≥ 3 000 ABL-kopior vid
månad 3.
a Justerat utifrån geografisk region och Sokal-score vid randomisering.
Färre patienter i bosutinibgruppen [6 (2,4 %) bosutinib och 12 (5,0 %) imatinib] hade nyligen upptäckta mutationer vid månad 60 i mITT-populationen.
Klinisk fas 1/2-studie av KML med imatinibresistens eller -intolerans, i kronisk fas, accelererad fas och blastfas
En öppen, singelgrupps-, multicenterstudie i fas 1/2 har utförts för att undersöka effekt och säkerhet av bosutinib 500 mg en gång dagligen till patienter med imatinibresistent eller -intolerant KML, med skilda kohorter för sjukdom i kronisk, accelererad och blastfas, som tidigare behandlats med en TKI (imatinib) eller flera TKI (imatinib följt av dasatinib och/eller nilotinib).
I denna studie gavs bosutinib till 570 patienter med KML i kronisk fas som tidigare behandlats med endast 1 TKI (imatinib), patienter med KML i kronisk fas som tidigare behandlats med imatinib och minst ytterligare 1 TKI (dasatinib och/eller nilotinib), patienter med KML i accelererad fas eller blastfas som tidigare behandlats med minst en TKI (imatinib) och patienter med Ph-positiv ALL som tidigare behandlats med minst 1 TKI (imatinib).
Primärt effektmått i studien var betydande cytogenetisk respons (MCyR) vecka 24 hos patienter med imatinibresistent KML i kronisk fas som tidigare behandlats med endast 1 TKI (imatinib). Övriga effektmått var de kumulativa cytogenetiska och molekylära responsfrekvenserna, tid till och duration för cytogenetisk och molekylär respons, respons i mutationer befintliga vid baslinjen, transformation till accelererad fas/blastfas, progressionsfri överlevnad samt OS för alla kohorter.
Patienter som fortfarande fick bosutinib i slutet av fas 1/2-studien, och som drog nytta av bosutinibbehandling enligt prövarens bedömning, likväl som de patienter som hade upphört med bosutinib som del av fas 1/2-studien och som befann sig i långtidsuppföljning av överlevnad eller som hade fullbordat fas 1/2-studien, var lämpliga att rekryteras till förlängningsstudien. Alla patienter förblev i förlängningsstudien, antingen på bosutinibbehandling eller i långtidsuppföljning av överlevnad, till dess att den sista patieten nått 10 års uppföljning, beräknat från datument för den första administrerade dosen bosutinib i fas 1/2-studien.
Förlängningsstudiens effektmått inkluderade duration för cytogenetisk och molekylär respons, transformation till accelererad fas/blastfas, progressionsfri överlevnad samt OS.
Effektanalyserna inkluderade data från denna fullbordade förlängningsstudie.
Patienter med KML i kronisk fas
Effektresultaten för patienterna med Ph-positiv KML i kronisk fas som tidigare behandlats med imatinib och minst ytterligare en TKI (minsta uppföljningstid
120 månader, medianbehandlingstid 9 månader (intervall: 0,23–164,28 månader) och 20,2 % och 7,6 % som fortfarande behandlas vid månad 60 respektive månad 120), samt resultaten för patienterna med Ph-positiv KML i kronisk fas som tidigare behandlats med enbart imatinib (minsta uppföljningstid 120 månader, medianbehandlingstid 26 månader (intervall: 0,16–170,49 månader) och 40,5 % och 19,4 % som fortarande behandlas vid månad 60 respektive månad 120) redovisas i tabell 8.
Patienter med KML i accelererad fas och blastfas
Effektresultaten för Ph-positiva KML-patienter i accelererad fas (minsta uppföljningstid 120 månader, medianbehandlingstid 10 månader
(intervall: 0,10–156,15 månader) och 12,7 % och 7,6 % som fortfarande behandlas vid månad 60 respektive månad 120) och blastfas (minsta uppföljningstid
120 månader, medianbehandlingstid 2,8 månader (intervall: 0,03–71,38 månader) och 3,1 % och 0 % som fortfarande behandlas vid månad 60 respektive månad 120) redovisas i tabell 8.
Tabell 8 – Effektresultat för tidigare behandlade patienter med KML* i kronisk och avancerad fas
* Datum för datainsamling: fas 1/2-studien 02 okt 2015, förlängningsstudien 02 sep 2020.
Kriterier för cytogenetisk respons: MCyR innebar komplett [0 % Ph-positiva metafaser från benmärgen eller < 1 % positiva celler vid fluoroscerande in situ-hybridisering (FISH)] eller partiell (1 % - 35 %) cytogenetisk respons. Cytogenetisk respons baserades på procentandelen Ph-positiva metafaser bland ≥ 20 metafasceller i varje enskilt benmärgsprov. FISH-analys (≥ 200 celler) kunde användas för cytogenetisk bedömning efter baslinjen om ≥ 20 metafaser inte var tillgängliga. I förlängningsstudien imputerades CCyR från MMR om en giltig cytogenetisk bedömning inte var tillgänglig vid ett särskilt datum.
Molekylära responskriterier: I fas 1/2-studien definierades MMR/MR4 som ≤ 0,1/0,01 % BCR-ABL-transkript enligt bedömning av ett centrallaboratorium (inte på den internationella skalan). I förlängningsstudien hade respondenter MMR/MR4 angivet på patientformuläret (CRF) enligt bedömning av ett lokalt laboratorium. Förkortningar: Ph+=Philadelphiakromosompositiv; KML=kronisk myeloisk leukemi; K-M: Kaplan–Meier; N/n=antal patienter; N/A= Not Applicable (ej tillämpligt); N/R= Not reached (ej uppnått) vid kortast uppföljning; N/E= Not estimable (ej beräkningsbart); CI=konfidensintervall; MCyR=Major Cytogenetic Response (betydande cytogenetisk respons); CCyR=Complete Cytogenetic Response (komplett cytogenetisk respons); CumInc=Cumulative Incidence (kumulativ incidens); MMR=Major Molecular Respons (betydande molekylär respons); BCR–ABL=breakpoint cluster region-Abelson.
a Inkluderar patienter (N) med giltig cytogenetisk bedömning vid baslinjen och patienter som inte är från Kina, Sydafrika, Indien eller Ryssland för molekylär bedömning, eftersom det inte gick att exportera prover för molekylär bedömning från dessa länder. I denna analys kan patienter med respons vid baslinjen som bibehöll denna respons räknas som respondenter. Kortaste uppföljningstid (tiden från den sista patientens första dos till datum för datainsamling) var 120 månader.
b Inkluderar patienter (N) som uppnådde eller upprätthöll respons.
c Inkluderar patienter (N) som fick minst 1 dos bosutinib.
d Kumulativ incidensanalys justerad för konkurrerande risk för behandlingsavbrott utan händelsen.
e Ej analyserad för grupper med begränsat antal.
I figur 4 visas den totala överlevnaden grafiskt i kohorterna för sjukdom i kronisk fas, accelererad fas och blastfas.
Figur 4 – Kaplan-Meier-estimat för total överlevnad (OS) i CP2L, CP3L, AP
och BP
Grundat på den begränsade mängd klinisk information som framkom i fas 1/2-studien finns vissa tecken på klinisk aktivitet hos patienter med BCR-ABL-mutationer (se tabell 9).
Tabell 9 – Respons indelad efter BCR-ABL-mutationsstatus vid baslinjen hos bedömningsbara patienter med KML i kronisk fas:
tidigare behandling med imatinib och dasatinib och/eller nilotinib (tredje linjen)
Datum för datainsamling: fas 1/2-studien 02 okt 2015, förlängningsstudien 02 sep 2020
Obs: Mutationer vid baslinjen konstaterades innan patienten fick den första dosen studieläkemedel. Förkortningar: BCR–ABL=breakpoint cluster region-Abelson; KML=kronisk myeloisk leukemi; MCyR = major cytogenetic response (betydande cytogenetisk respons), N/n=antal patienter: Resp=responders, Eval=bedömningsbara.
aProcentvärdet baseras på antalet patienter med bedömd mutation vid baslinjen.
bDen bedömningsbara populationen omfattar patienter med giltig sjukdomsbedömning vid baslinjen.
c2 patienter hade mer än 1 mutation i denna kategori.
En patient med E255V-mutation, tidigare behandlad med nilotinib, uppnådde CHR (komplett hematologisk respons) som bästa svar.
In vitro-tester visade att bosutinib hade begränsad aktivitet mot T315I- och V299L-mutation. Klinisk aktivitet hos patienter med dessa mutationer förväntas därför inte.
Klinisk fas 4-studie på Ph+ KML tidigare behandlade med en eller fler TKI
En enarmad, öppen, icke-randomiserad, multicenterstudie i fas 4 genomfördes för att undersöka effekt och säkerhet för bosutinib 500 mg en gång dagligen hos patienter med TKI-resistent eller TKI-intolerant KML med skilda kohorter för sjukdom i kronisk fas, accelererad fas och blastfas, tidigare behandlad med en eller flera tidigare TKI.
I denna prövning där 163 patienter behandlades med bosutinib ingick 46 patienter med Ph+ KML i kronisk fas som tidigare behandlats med 1 tidigare TKI (imatinib eller dasatinib eller nilotinib), 61 patienter med Ph+ KML i kronisk fas som tidigare behandlats med 2 tidigare TKI (imatinib och/eller dasatinib och/eller nilotinib),
49 patienter med Ph+ KML i kronisk fas som behandlats med 3 tidigare TKI (imatinib och dasatinib och nilotinib), 4 patienter med Ph+ KML i accelererad fas som tidigare behandlats med minst 1 TKI (2 patienter som behandlats med 2 tidigare TKI och
2 patienter som behandlats med 3 tidigare TKI) och 3 patienter med Ph- KML som behandlats med minst 1 tidigare TKI.
Det primära effektmåttet var kumulativ bekräftad MCyR efter 1 år (vecka 52) hos patienter med Ph+ KML i kronisk fas som tidigare behandlats med 1 eller 2 tidigare TKI och patienter med Ph+ KML i kronisk fas som tidigare behandlats med 3 tidigare TKI. För patienter med Ph+ KML i accelererad fas och blastfas med tidigare TKI-behandling var det primära effektmåttet kumulativ bekräftad total hematologisk respons (OHR) efter 1 år (vecka 52). Andra effektmått hos patienter med Ph+ KML i kronisk fas inkluderar kumulativ cytogenetisk och molekylär respons, durationen av cytogenetisk och molekylär respons, respons i mutationer befintliga vid baslinjen, transformation till accelererad fas/blastfas, progressionsfri överlevnad samt total överlevnad. Ytterligare effektmått i kohorten för Ph+ i accelererad fas/blastfas inkluderar kumulativ cytogenetisk och molekylär responsfrekvens, progressionsfri överlevnad och total överlevnad.
Patienter med KML i kronisk fas
Det primära effektmåttet av kumulativ bekräftad MCyR-frekvens (95 % CI) efter 1 år (52 veckor) var 76,5 % (66,9; 84,5) hos patienter behandlade med 1 eller 2 tidigare TKI och 62,2 % (46,5; 76,2) hos patienter behandlade med 3 tidigare TKI.
Ytterligare effektresultat i slutet av studien, efter en minsta uppföljning på 3 år hos patienter med Ph+ KML i kronisk fas behandlade med 1 (median behandlingstid
47,5 månader [intervall: 0,9-50,1 månader] och 60,9 % fortfarande på behandling), 2 (median behandlingstid 41,9 månader [intervall: 0,4-48,9 månader] och 45,9 % fortfarande på behandling) och 3 (median behandlingstid 20,0 månader [intervall: 0,2-48,9 månader] och 38,8 % fortfarande på behandling) tidigare TKI redovisas i tabell 10.
Tabell 10 – Effektresultat hos tidigare behandlade patienter med Ph+ KML i kronisk fas
Den kumulativa incidensen av MMR, MR4 och MR4,5 justerad för konkurrerande risk för behandlingsavbrott utan händelsen visas i figur 5.
Figur 5 - Kumulativ incidens av molekylär respons (bedömningsbar population i kronisk fas)
Uppnådda molekylära responser enligt behandling visas i tabell 11.
Tabell 11 – Uppnådda molekylära responser
Hos patienter i kronisk fas sågs ingen progression av KML till accelererad fas eller blastfas.
Patienter med KML i accelererad fas
Hos patienter med Ph+ KML i accelererad fas var medianbehandlingstiden
22,1 månader (intervall: 1,6-50,1 månader), kumulativ bekräftad OHR efter 1 år
(52 veckor) var 75,0 % (95 % CI: 19,4; 99,4), liksom kumulativ CCyR-frekvens, alla
3 patienter bibehöll sin CCyR under behandling.
Respons enligt BCR-ABL-mutationer vid baslinjen
Tio patienter i kohorten för sjukdom i kronisk fas hade mutationer vid baslinjen (A365V, E453K, E255K, E255V, Q252H, L298V [n=1 vardera], Y253F och G250E [n=2 vardera]). En patient i kohorten med sjukdom i kronisk fas hade en
F359I-mutation konstaterad på studiedag 8. En patient i kohorten med sjukdom i accelererad fas hade 2 mutationer (F311L och L387F) vid baslinjen. I kohorten för sjukdom i kronisk fas observerades, bland patienter med mutationer, molekylära responser hos 4/11 patienter (36,4 %): 1 patient med en E255V-mutation uppnådde MMR och 3 patienter med F359I-, Y253F- respektive A365V-mutation uppnådde MR4.5. Patienten med mutationer i kohorten för sjukdom i accelererad fas uppnådde inte någon respons.
Pediatrisk population
Europeiska läkemedelsmyndigheten har senarelagt kravet att skicka in studieresultatet för referensläkemedlet som innehåller bosutinib för en eller flera grupper av den pediatriska populationen för behandling av KML (information om pediatrisk användning finns i avsnitt 4.2).
Absorption
Efter administrering av en singeldos bosutinib (500 mg) tillsammans med föda till friska försökspersoner var den absoluta biotillgängligheten 34 %. Absorptionen var relativt långsam med en mediantid till max-koncentration (tmax) på 6 timmar. Bosutinib uppvisar dosproportionella ökningar av AUC och Cmax över dosintervallet 200 till 600 mg. Födointag ökade Cmax 1,8 gånger och AUC 1,7 gånger för bosutinib jämfört med vid fasta. Vid steady state hos patienter med KML var Cmax (geometriskt medelvärde, variationskoefficient [CV]%) 145 (14) ng/ml och AUCss (geometriskt medelvärde, CV%) var 2 700 (16) ng x tim/ml efter daglig administrering av bosutinib 400 mg tillsammans med föda. Efter 500 mg bosutinib dagligen med föda var Cmax 200 (6) ng/ml och AUCss var 3,640 (12) ng x tim/ml. Bosutinibs löslighet är pH-beroende och absorptionen minskar med ökat gastriskt pH (se avsnitt 4.5).
Distribution
Efter administrering av en intravenös singeldos om 120 mg bosutinib till friska försökspersoner hade bosutinib en genomsnittlig distributionsvolym
(% variationskoefficient [CV]) på 2,331 (32) l, vilket tyder på att bosutinib i hög grad distribueras till extravaskulär vävnad.
Bosutinib hade hög bindningsgrad till humana plasmaproteiner in vitro (94 %) och ex vivo hos friska personer (96 %). Bindningen var inte koncentrationsberoende.
Metabolism
In vitro- och in vivo-studier har visat att bosutinib (modersubstansen) i första hand metaboliseras i levern hos människa. Efter administrering av en singeldos eller multipla doser bosutinib (400 eller 500 mg) till människa, var de främsta cirkulerande metaboliterna oxidativt deklorerat (M2) och N-demetylerat (M5) bosutinib. Bosutinib-N-oxid (M6) utgjorde en mindre mängd cirkulerande metabolit.
Den systemiska exponeringen för den N-demetylerade metaboliten utgjorde 25 % av modersubstansen, medan den oxidativt deklorerade metaboliten utgjorde 19 % av modersubstansen. Samtliga 3 metaboliter uppvisade en aktivitet som var ≤ 5 % av bosutinibs aktivitet i en analys av förankringsoberoende proliferation (hos Src-transformerade fibroblaster). Bosutinib och N- demetylbosutinib var de viktigaste läkemedelsrelaterade komponenterna i feces. In vitro-studier av humana levermikrosomer har visat att det viktigaste cytokrom P450-isozymet som är involverat i nedbrytningen av bosutinib är CYP3A4. Läkemedelsinteraktionsstudier har visat att ketokonazol och rifampicin har betydande effekt på farmakokinetiken för bosutinib (se avsnitt 4.5). Ingen nedbrytning av bosutinib observerades med CYP 1A2, 2A6, 2B6, 2C8, 2C9, 2C19, 2D6, 2E1, eller 3A5.
Eliminering
Hos friska försökspersoner gav en intravenös singeldos om 120 mg bosutinib en genomsnittlig eliminiering halveringstid (% CV) på cirka 35,5 (24) timmar och genomsnittlig clearance (% CV) var 61,9 (26) l/tim. I en massbalansstudie med oralt bosutinib återfanns i genomsnitt 94,6 % av den totala dosen inom 9 dagar. Feces var den huvudsakliga utsöndringsvägen (91,3 % av dosen), medan 3,29 % återfanns i urinen. Sjuttiofem procent av dosen återfanns inom 96 timmar. Utsöndring av oförändrat bosutinib i urinen var låg med ungefär 1 % av dosen, hos såväl friska försökspersoner som personer med avancerade maligna solida tumörer.
Särskilda populationer
Nedsatt leverfunktion
En 200 mg-dos bosutinib administrerad tillsammans med föda utvärderades i en kohort på 18 patienter med nedsatt leverfunktion (Child-Pugh klass A, B och C) och
9 friska försökspersoner. Cmax för bosutinib i plasma ökade 2,4 gånger, 2 gånger respektive 1,5 gånger i Child-Pugh-klasserna A, B och C. AUC för bosutinib i plasma ökade 2,3 gånger, 2 gånger respektive 1,9 gånger. T1/2 för bosutinib ökade hos patienter med nedsatt leverfunktion jämfört med hos friska personer.
Nedsatt njurfunktion
I en studie kring nedsatt njurfunktion gavs en singeldos om 200 mg bosutinib tillsammans med föda till 26 försökspersoner med lätt, måttligt eller kraftigt nedsatt njurfunktion och 8 matchande friska frivilliga. Nedsatt njurfunktion baserades på (CLCr)-värdena (beräknad enligt Cockcroft-Gault- formeln) <30 ml/min (kraftigt nedsatt njurfunktion), 30≤ CLCr ≤50 ml/min (måttligt nedsatt njurfunktion) eller
50< CLCr ≤80 ml/min (lätt nedsatt njurfunktion). Försökspersoner med måttligt och kraftigt nedsatt njurfunktion hade en ökning av AUC jämfört med friska frivilliga på
35 % respektive 60 %. Maximal exponering Cmax ökade med 28 % och 34 % i gruppen med måttligt respektive kraftigt nedsatt njurfunktion. Exponeringen av bosutinib ökade inte hos försökspersoner med lätt nedsatt njurfunktion. Halveringstiden för bosutinib hos försökspersoner med nedsatt njurfunktion var nästan samma som hos friska försökspersoner.
Dosjusteringar vid nedsatt njurfunktion baseras på resultaten av denna studie och den kända linjära farmakokinetiken för bosutinib i dosintervallet 200 till 600 mg.
Ålder, kön och etnicitet
Inga formella studier har utförts för att bedöma effekterna av dessa demografiska faktorer. Populationsfarmakokinetiska analyser av patienter med Ph-positiv leukemi eller malign solid tumör och hos friska patienter, visar att ålder, kön eller kroppsvikt inte har några kliniskt relevanta effekter. Populationsfarmakokinetiska analyser har visat att asiater hade en 18 % lägre clearance, vilket motsvarar en ökning på cirka 25 % av bosutinibexponeringen (AUC).
Pediatrisk population
Bosutinib har ännu inte studerats hos barn och ungdomar under 18 år.
Bosutinib har undersökts i studier av säkerhetsfarmakologi, toxicitet vid upprepade doser, gentoxicitet, reproduktionstoxicitet och fototoxicitet.
Säkerhetsfarmakologi
Bosutinib hade inga effekter på andningsfunktionen. I en studie av centrala nervsystemet (CNS) uppvisade råttor som behandlades med bosutinib minskad pupillstorlek och försämrad gångförmåga. Ingen nivå för ej observerad effekt (NOEL, No Observed Effect Level) fastställdes avseende pupillstorlek, men NOEL för försämrad gångförmåga inträffade vid exponeringar som var ungefär 11 gånger högre än exponeringen hos människa efter den kliniska dosen 400 mg och 8 gånger högre än exponeringen hos människa efter den kliniska dosen 500 mg (baserat på obundet Cmax hos respektive art). Bosutinibs aktivitet in vitro i hERG-analyser tydde på att det finns en möjlighet till förlängning av hjärtats repolarisering (QTc). I en studie där bosutinib gavs till hundar peroralt orsakade bosutinib inte några förändringar av blodtrycket, onormalt förmaks- eller kammarflimmer, eller förlängt PR-, QRS- eller QTc på EKG vid exponeringar upp till 3 gånger högre än exponeringen hos människa efter den kliniska dosen 400 mg och 2 gånger högre än exponeringen hos människa efter den kliniska dosen 500 mg (baserat på obundet Cmax hos respektive art). En fördröjd ökning av hjärtfrekvensen observerades. I en studie där bosutinib gavs till hundar intravenöst, observerades övergående ökning av hjärtfrekvensen och sänkning av blodtrycket samt minimal förlängning av QTc
(<10 millisek.) vid exponeringar som var cirka 6 till 20 gånger högre än exponeringen hos människa efter den kliniska dosen 400 mg och 4 till 15 gånger högre än exponeringen hos människa efter den kliniska dosen 500 mg (baserat på obundet Cmax hos respektive art). Inga slutsatser kunde dras avseende sambandet mellan de observerade effekterna och läkemedelsbehandlingen.
Toxicitet vid upprepade doser
Toxicitet vid upprepade doser till råtta i upp till 6 månader och till hundar i upp till 9 månader visade att det gastrointestinala systemet var det främsta målorganet för toxiska verkningar av bosutinib. Kliniska tecken på toxicitet var förändrade fekalier och hade samband med minskat födointag och viktnedgång, vilket i en del fall ledde till döden eller avlivning.
Histopatologiskt observerades dilaterat lumen, bägarcellshyperplasi, blödning, erosion och ödem i tarmkanalen samt sinuserytrocytos och blödning i mesenteriska lymfkörtlar. Även levern var ett målorgan hos råtta. De toxiska reaktionerna var ökad levervikt kopplat till hepatocellulär hypertrofi, och uppträdde utan förhöjda leverenzymer eller mikroskopiska tecken på hepatocellulär cytotoxicitet. Betydelsen för människa är okänd. Vid jämförelse av exponeringarna mellan de olika arterna fann man att de exponeringar som inte gav några biverkningar vid de 6 och
9 månader långa toxicitetsstudierna på råtta respektive hund var desamma som exponeringen hos människa efter en klinisk dos om 400 mg eller 500 mg (baserat på obundet AUC hos respektive art).
Gentoxicitet
Studier av gentoxicitet i bakteriella in vitro-system och hos däggdjur in vitro och in vivo, med och utan metabolisk aktivering, visade inte några belägg för mutagen potential hos bosutinib.
Reproduktionstoxicitet och utvecklingstoxicitet
I en fertilitetsstudie på råtta fann man något nedsatt fertilitet hos hanråttor. Hos honråttor observerades ökad embryoresorption och färre implantationer och livsdugliga embryon. Den dos vid vilken inga reproduktionseffekter sågs hos hanråtta (30 mg/kg/dag) och honråtta (3 mg/kg/dag) resulterade i exponeringar som motsvarar 0,6 gånger respektive 0,3 gånger exponeringen hos människa efter den kliniska dosen 400 mg, och 0,5 gånger respektive 0,2 gånger exponeringen hos människa efter den kliniska dosen 500 mg (baserat på obundet AUC hos respektive art). Effekt på manlig fertilitet kan inte uteslutas (se avsnitt 4.6).
Fostrets exponering för bosutinibderiverad radioaktivitet under dräktigheten visades i en studie av överföring via placenta hos dräktiga Sprague-Dawley-råttor. I en studie av pre- och postnatal utveckling hos råtta föddes färre ungar vid doser på
≥ 30 mg/kg/dag, och en ökad incidens av förlust av hela kullar och minskad tillväxt hos avkomman efter födelsen förelåg vid 70 mg/kg/dag. Den dos vid vilken inga negativa utvecklingseffekter sågs (10 mg/kg/dag) resulterade i exponeringar som motsvarar 1,3 gånger och 1,0 gånger exponeringen hos människa efter de kliniska doserna 400 mg respektive 500 mg (baserat på obundet AUC hos respektive art). I en studie av utvecklingstoxicitet hos kanin vid den för moderdjuret toxiska dosen, sågs anomalier hos fostren (sammanväxta sternebrae, hos 2 foster varierande viscerala effekter), samt en något minskad fostervikt. Exponeringen vid den högsta dos som testats på kanin (10 mg/kg/dag) som inte gav några negativa effekter på fostren var 0,9 gånger respektive 0,7 gånger exponeringen hos människa efter en klinisk dos om 400 mg respektive 500 mg (baserat på obundet AUC hos respektive art).
Efter administrering av en oral singeldos (10 mg/kg) av 14C-märkt radioaktivt bosutinib till lakterande Sprague-Dawley-råttor, utsöndrades radioaktivitet i mjölken så tidigt som 0,5 timme efter doseringen. Koncentrationen av radioaktivitet i mjölken var upp till 8 gånger högre än i plasma. Mätbara koncentrationer av radioaktivitet sågs därför i plasma hos diande ungar.
Karcinogenicitet
Bosutinib visade inga tecken på karcinogenicitet i den 2-åriga karcinogenicitetsstudien på råtta och den 6 månader långa karcinogenicitetsstudien på rasH2-mus.
Fototoxicitet
Bosutinib har visats kunna absorbera ljus i UV-B- och UV-A-spektrat och distribueras i hud och uvea hos pigmenterade råttor. Bosutinib uppvisade emellertid ingen fototoxisk effekt på hud eller ögon hos pigmenterade råttor som exponerades för bosutinib i närvaro av UV-strålning vid bosutinibexponeringar upp till 3 gånger högre respektive 2 gånger högre än exponeringen hos människa efter en klinisk dos om 400 eller 500 mg (baserat på obundet Cmax hos respektive art).
Farmakoterapeutisk grupp: Antineoplastiska medel, proteinkinashämmare,
ATC-kod: L01EA04.
Verkningsmekanism
Bosutinib tillhör läkemedelsgruppen kinashämmare. Bosutinib hämmar det onormala BCR-ABL-kinaset som främjar KML. Modellstudier visar att bosutinib binder till kinasdomänen på BCR-ABL. Bosutinib hämmar även Src-kinasfamiljen, med Src, Lyn och Hck. Bosutinib har minimal hämmande verkan på trombocytderiverad tillväxtfaktorreceptor (PDGF-receptor) och c-Kit.
I in vitro-studier hämmar bosutinib proliferation och överlevnad hos etablerade
KML-cellinjer, Ph- positiva ALL-cellinjer samt patientderiverade primära primitiva KML-celler. Bosutinib hämmade 16 av 18 imatinibresistenta former av BCR-ABL
som uttrycktes i murina myeloiska cellinjer. Behandling med bosutinib minskade storleken på KML-tumörer hos nakenmöss och hämmade tillväxten av murina myeloiska tumörer som uttryckte imatinibresistenta former av BCR-ABL. Bosutinib hämmar också receptortyrosinkinaserna c-Fms-, EphA- och B-receptorer, kinaser i Trk-familjen, kinaser i Axl- familjen, kinaser i Tec-familjen, vissa kinaser i ErbB-familjen, icke-receptortyrosinkinasen Csk, serin/treoninkinaserna i Ste20-familjen samt 2 kalmodulinberoende proteinkinaser.
Farmakodynamisk effekt
Effekten av bosutinib 500 mg på korrigerat QTc undersöktes i en randomiserad, singeldos-, dubbelblind (avseende bosutinib), placebokontrollerad, öppen, moxifloxacinkontrollerad överkorsningsstudie på friska försökspersoner.
Data från denna studie visar att bosutinib inte förlänger QTc hos friska personer vid dosen 500 mg dagligen med föda, och under förhållanden som ger supraterapeutiska plasmakoncentrationer. Efter administrering av en peroral singeldos bosutinib 500 mg (terapeutisk dos) och bosutinib 500 mg med ketokonazol 400 mg (för att uppnå supraterapeutiska koncentrationer av bosutinib) till friska försökspersoner, var det övre gränsvärdet för det ensidiga 95-procentiga konfidensintervallet (KI) för genomsnittlig QTc-förändring mindre än 10 ms vid alla tidpunkter efter doseringen. Inga biverkningar som tydde på förlängt QTc observerades.
I en studie på patienter med nedsatt leverfunktion sågs en ökande frekvens av
QTC-förlängning > 450 ms vid försämrad leverfunktion. I den kliniska fas 1/2-studien på patienter med tidigare behandlade Ph-positiva leukemier och under behandling med bosutinib 500 mg, sågs QTcF-ökningar på > 60 ms från baslinjen hos 9 (1,6 %) av 570 patienter. I den kliniska fas 3-studien på patienter med nydiagnostiserad KML i kronisk fas som behandlades med bosutinib 400 mg, fanns det inga patienter i bosutinibgruppen (N=268) med en QTcF-ökning på > 60 ms från baslinjen. I den kliniska fas 3-studien på patienter med nydiagnostiserad Ph+ KML i kronisk fas som behandlades med bosutinib 500 mg, sågs QTcF-ökning på > 60 ms från baslinjen hos 2 (0,8 %) av 248 patienter som fick bosutinib. I den kliniska fas 4-studien på patienter med Ph+ KML tidigare behandlade med en eller flera tyrosinkinashämmare och som behandlades med bosutinib 500 mg (N=163) fanns det inga patienter med en QTcF-ökning på > 60 ms från baslinjen. En proarytmisk potential hos bosutinib kan inte uteslutas.
Klinisk effekt och säkerhet
Klinisk studie av tidigare obehandlad KML i kronisk fas
Studie av bosutinib 400 mg
En tvåarmad, öppen superiority-studie i fas 3 utfördes på flera studiecentra för att undersöka effekt och säkerhet för enbart bosutinib 400 mg en gång dagligen jämfört med enbart imatinib 400 mg en gång dagligen hos vuxna patienter med nydiagnostiserad Ph+ KML i kronisk fas. I studien randomiserades 536 patienter (268 i varje behandlingsgrupp) med Ph-positiv eller Ph-negativ nydiagnostiserad KML i kronisk fas (intent-to-treat-population [ITT]) varav 487 patienter hade Ph+ KML med b2a2- och/eller b3a2-transkript och BCR-ABL-kopior vid baslinjen på > 0 (modifierad intent-to-treat-population [mITT]).
Primärt effektmått var andelen patienter som uppvisade betydande molekylär respons (MMR) vid 12 månader (48 veckor) i bosutinibgruppen respektive i imatinibgruppen i mITT-populationen. MMR definierades som
≤ 0,1 % BCR-ABL/ABL-kvot enligt internationell skala (motsvarande ≥3-logaritmisk minskning från standardiserad baslinje) med minst 3 000 ABL-transkript enligt analys utförd vid centrallaboratoriet.
De huvudsakliga sekundära effektmåtten var komplett cytogenetisk respons (CCyR) månad 12, varaktigheten för CCyR, varaktigheten för MMR, händelsefri överlevnad (EFS) och total överlevnad (OS). CCyR månad 12 definierades som frånvaro av Ph+-metafaser vid kromosombandsanalys av ≥20 metafaser från benmärgsaspirat eller MMR om en adekvat cytogenetisk analys inte kunde utföras. P-värdena för andra effektmått än MMR månad 12 och CCyR vid månad 12 har inte justerats för multipla jämförelser.
Baslinjekaraktäristika för mITT-populationen var väl balanserade mellan de två behandlingsgrupperna vad gällde ålder (medianåldern var 52 år för bosutinibgruppen och 53 år för imatinibgruppen och 19,5 % respektive 17,4 % av patienterna var 65 år eller äldre); kön (kvinnor 42,3 % respektive 44,0 %); etniskt ursprung (kaukasier
78.0 % respektive 77,6 %, asiater 12,2 % respektive 12,4 %, svarta eller afroamerikaner 4,1 % respektive 4,1 %, övriga 5,7 % respektive 5,4 %, samt en okänd i imatinibgruppen); och score för Sokalrisk (låg risk 35,0 % respektive 39,4 %, medelhög risk 43,5 % respektive 38,2 %, hög risk 21,5 % respektive 22,4 %).
Efter 60 månaders uppföljning av mITT-populationen fick fortfarande 60,2 % av patienterna som behandlades med bosutinib (N=246) och 59,8 % av patienterna som behandlades med imatinib (N=239) första linjens behandling.
Efter 60 månaders uppföljning av mITT-populationen var behandlingsavbrott på grund av sjukdomsprogression till KML i accelererad fas eller blastfas för bosutinibbehandlade patienter 0,8 % och för imatinibbehandlade patienter 1,7 %. Sex (2,4 %) av patienterna som fick bosutinib och sju (2,9 %) som fick imatinib progredierade till KML i accelererad fas eller blastfas. Behandlingen
avbröts på grund av suboptimal respons eller behandlingssvikt, enligt prövarens bedömning, hos 5,3 % av patienterna som fick bosutinib och 15,5 % av patienterna som fick imatinib. Tolv (4,9 %) patienter i bosutinibgruppen och fjorton (5,8 %) patienter i imatinibgruppen avled under studien. Inga ytterligare transformationer inträffade i ITT-populationen, ytterligare två dödsfall inträffade i bosutinibgruppen i ITT-populationen.
Effektresultaten för MMR och CCyR sammanfattas i tabell 3.
Tabell 3 – Sammanfattning av MMR vid månad 12 och 18 och CCyR månad 12, per behandlingsgrupp i mITT-populationen
Obs: MMR definierades som ≤ 0,1 % BCR–ABL/ABL-kvot enligt internationell skala (motsvarande ≥ 3-logaritmisk minskning från standardiserad baslinje) med minst
3 000 ABL-transkript enligt analys av centrallaboratoriet. Komplett cytogenetisk respons definierades som frånvaro av Ph+-metafaser vid kromosombandsanalys av ≥ 20 metafaser från benmärgsaspirat eller MMR om en adekvat cytogenetisk analys inte kunde utföras.
Förkortningar: BCR–ABL=breakpoint cluster region-Abelson; CI=konfidensintervall; CMH=Cochran-Mantel-Haenszel; CCyR=Complete Cytogenetic Response (komplett cytogenetisk respons); mITT=modifierad intent-to-treat; MMR=Major Molecular Response (betydande molekylär respons); N/n=antal patienter; Ph+=Philadelphiakromosompositiv.
a Justerat utifrån geografisk region och Sokal-score vid randomisering.
b Statistiskt signifikant jämförelse vid den fördefinierade signifikansnivån, baserat på CMH-test som stratifierats per geografisk region och Sokal-score vid randomiseringen.
c Baserat på CMH-test stratifierat efter geografisk region och Sokal-score vid randomiseringen.
Vid månad 12 var MR4-frekvensen (definierad som ≤ 0,01 % BCR–ABL [motsvarande ≥ 4-logaritmisk minskning från standardiserad baslinje] med minst
9 800 ABL-transkript) högre i bosutinibgruppen än i imatinibgruppen i
mITT-populationen (20,7 % [95 % CI: 15,7 %; 25,8 %] respektive
12,0 % [95 % CI: 7,9 %; 16,1 %], oddskvot (OR) 1,88 [95 % CI: 1,15; 3,08],
ensidigt p-värde=0,0052).
Månad 3, 6 och 9 var andelen patienter med MMR högre i bosutinibgruppen än i imatinibgruppen (tabell 4).
Tabell 4 – Jämförelse av MMR vid månad 3, 6 och 9, per behandling i mITT-populationen
Obs: Procentandelen baseras på antalet patienter i respektive behandlingsgrupp. MMR definierades som en BCR–ABL/ABL-kvot på ≤0,1 % på internationell skala (motsvarande ≥ 3-logaritmisk minskning från standardiserad baslinje) med minst 3 000 ABL-transkript analyserade av centrallaboratoriet.
Förkortningar: BCR–ABL=breakpoint cluster region-Abelson; CI=konfidensintervall;
CMH=Cochran-Mantel-Haenszel; mITT=modifierad intent-to-treat; MMR=Major Molecular Response (betydande molekylär respons); N=antal patienter.
a Justerat utifrån geografisk region och Sokal-score vid randomisering.
b Baserat på CMH-test stratifierat efter geografisk region och Sokal-score vid randomiseringen.
Vid månad 60 i mITT-populationen var andelen patienter med MMR, MR4 och MR4,5 högre i bosutinibgruppen jämfört med imatinibgruppen (tabell 5). MMR-frekvensen vid månad 60 i alla Sokal-riskundergrupper sammanfattas i tabell 6.
Tabell 5 – Sammanfattning av molekylär respons vid månad 60 i mITT-populationen
Obs: MMR/MR4/MR4,5 definierades som ≤ 0,1/0,01/0,0032 % BCR-ABL/ABL-kvot enligt internationell skala (motsvarande ≥ 3/4/4,5-logaritmisk minskning från standardiserad baslinje) med minst 3 000/9 800/30 990 ABL-transkript enligt analys utförd vid centrallaboratoriet.
Förkortningar: BCR-ABL=breakpoint cluster region-Abelson; CI=konfidensintervall; mITT=modifierad intent-to-treat; MMR=Major Molecular Response (betydande molekylär respons); MR=molekylär respons; N/n=antal patienter.
a Justerat utifrån geografisk region och Sokal-score vid randomisering.
Tabell 6 – Sammanfattning av MMR vid månad 60 efter score för Sokal-risk i mITT-populationen
Obs: Procentandelarna baserades på antalet patienter i varje behandlingsgrupp. MMR definierades som ≤ 0.1 % BCR-ABL/ABL-kvot enligt internationell skala (motsvarande ≥ 3-logaritmisk minskning från standardiserad baslinje) med minst
3 000 ABL-transkript enligt analys utförd vid centrallaboratoriet.
Förkortningar: BCR-ABL=breakpoint cluster region-Abelson; CI=konfidensintervall; mITT=modifierad intent-to-treat; MMR=Major Molecular Response (betydande molekylär respons); N/n=antal patienter.
Den kumulativa incidensen av CCyR justerad för konkurrerande risk för behandlingsavbrott utan CCyR var högre i bosutinibgruppen än i imatinibgruppen i mITT-populationen (83,3 % [95 % CI: 78,1 %, 87,4 %] respektive
76,8 % [95 % CI: 70,9 %, 81,6 %] vid månad 60; riskkvot [HR] enligt en stratifierad proportionell riskmodell för subdistribution: 1,35 [95 % CI: 1,11; 1,64]). Mediantiden till CCyR (endast för dem som svarade på behandling) var 24,0 veckor (intervall: 11,4 till 120,7) för bosutinibgruppen och 24,3 veckor (intervall: 11,4 till 96,6) för imatinibgruppen.
Mediantiden till MMR, MR4 och MR4.5 (endast för dem som svarade på behandling) var 36,1 veckor (intervall: 11,9 till 241,9) respektive 83,7 veckor (intervall: 12,4 till 244,3) och 108,0 veckor (intervall: 24,1 till 242,1) för bosutinibgruppen jämfört med 47,7 veckor (intervall: 12,1 till 216,1) respektive 84,4 veckor (intervall: 23,6 till 241,9) och 120,4 veckor (intervall: 24,6 till 240,7) för imatinibgruppen i mITT-populationen.
Den kumulativa incidensen av MMR, MR4 och MR4.5 justerad för konkurrerande risk för behandlingsavbrott utan händelsen var högre med bosutinib än med imatinib, vilket visas i figur 1 till 3.
Figur 1 – Kumulativ incidens av MMR (mITT-populationen)
Figur 2 – Kumulativ incidens av MR4 (mITT-populationen)
Figur 3 – Kumulativ incidens av MR4,5 (mITT-populationen)
Kaplan-Meier-estimat för bibehållen respons vid år 4 bland patienter i
mITT-populationen som uppnådde CCyR var 97,4 % (95 % CI: 93,9 %; 98,9 %) och 93,7 % (95 % CI: 88,9 %; 96,5 %) i bosutinib- respektive imatinibgruppen
(HR 0,39 [95 % CI: 0,14; 1,13]). Kaplan-Meier-estimat för bibehållen respons vid år 4 bland patienter som uppnådde MMR var 92,2 % (95 % CI: 86,8 %; 95,4 %) och
92,0 % (95 % CI: 85,9 %; 95,5 %) i bosutinib- respektive imatinibgruppen
(HR 1,09 [95 % CI: 0,49; 2,44]).
Vid månad 60 hade 43,9 % (95 % CI: 37,7 %; 50,1 %) och 38,6 %
(95 % CI: 32,4 %; 44,7 %) av bosutinib- respektive imatinibbehandlade patienter i mITT-populationen (OR 1,24 [95 % CI: 0,87; 1,78]) bibehållen MR4 definierat enligt följande kriterier: behandling i minst 3 år med minst MR4 vid alla bedömningar under en 1-årsperiod.
Den kumulativa incidensen av EFS-händelser i mITT-populationen under behandling vid månad 60 var 6,9 % (95 % CI: 4,2 %; 10,5 %) i bosutinibgruppen och 10,4 %
(95 % CI: 6,9 %; 14,6 %) i imatinibgruppen (HR 0,64; 95 % CI: 0,35; 1,17).
Kaplan-Meier-estimat av OS vid månad 60 för bosutinib- och imatinibpatienterna i
mITT-populationen var 94,9 % (95 % CI: 91,1 %; 97,0 %) respektive 94,0 %
(95 % CI: 90,1 %; 96,4 %) (HR 0,80; 95 % CI: 0,37; 1,73).
I en retrospektiv analys bland bedömningsbara patienter i ITT-populationen uppnådde fler patienter i bosutinibgruppen 200/248 (80,6 %) tidig molekylär respons (BCR-ABL-transkript ≤ 10 % vid 3 månader) jämfört med patienterna i imatinibgruppen 153/253 (60,5 %), OR 2,72 (95 % CI: 1,82; 4,08). MMR och EFS vid månad 60 hos bosutinibpatienter med och utan tidig molekylär respons sammanfattas i tabell 7.
Tabell 7 – Utfall vid månad 60 hos bosutinibpatienter med BCR-ABL ≤ 10 % jämfört med > 10 % vid månad 3 i ITT-populationen
Förkortningar: BCR-ABL=breakpoint cluster region-Abelson; CI=konfidensintervall; ITT=intent-to-treat; MMR=Major Molecular Response (betydande molekylär respons);
EFS=händelsefri överlevnad; N=antal patienter med ≥ 3 000 ABL-kopior vid
månad 3.
a Justerat utifrån geografisk region och Sokal-score vid randomisering.
Färre patienter i bosutinibgruppen [6 (2,4 %) bosutinib och 12 (5,0 %) imatinib] hade nyligen upptäckta mutationer vid månad 60 i mITT-populationen.
Klinisk fas 1/2-studie av KML med imatinibresistens eller -intolerans, i kronisk fas, accelererad fas och blastfas
En öppen, singelgrupps-, multicenterstudie i fas 1/2 har utförts för att undersöka effekt och säkerhet av bosutinib 500 mg en gång dagligen till patienter med imatinibresistent eller -intolerant KML, med skilda kohorter för sjukdom i kronisk, accelererad och blastfas, som tidigare behandlats med en TKI (imatinib) eller flera TKI (imatinib följt av dasatinib och/eller nilotinib).
I denna studie gavs bosutinib till 570 patienter med KML i kronisk fas som tidigare behandlats med endast 1 TKI (imatinib), patienter med KML i kronisk fas som tidigare behandlats med imatinib och minst ytterligare 1 TKI (dasatinib och/eller nilotinib), patienter med KML i accelererad fas eller blastfas som tidigare behandlats med minst en TKI (imatinib) och patienter med Ph-positiv ALL som tidigare behandlats med minst 1 TKI (imatinib).
Primärt effektmått i studien var betydande cytogenetisk respons (MCyR) vecka 24 hos patienter med imatinibresistent KML i kronisk fas som tidigare behandlats med endast 1 TKI (imatinib). Övriga effektmått var de kumulativa cytogenetiska och molekylära responsfrekvenserna, tid till och duration för cytogenetisk och molekylär respons, respons i mutationer befintliga vid baslinjen, transformation till accelererad fas/blastfas, progressionsfri överlevnad samt OS för alla kohorter.
Patienter som fortfarande fick bosutinib i slutet av fas 1/2-studien, och som drog nytta av bosutinibbehandling enligt prövarens bedömning, likväl som de patienter som hade upphört med bosutinib som del av fas 1/2-studien och som befann sig i långtidsuppföljning av överlevnad eller som hade fullbordat fas 1/2-studien, var lämpliga att rekryteras till förlängningsstudien. Alla patienter förblev i förlängningsstudien, antingen på bosutinibbehandling eller i långtidsuppföljning av överlevnad, till dess att den sista patieten nått 10 års uppföljning, beräknat från datument för den första administrerade dosen bosutinib i fas 1/2-studien.
Förlängningsstudiens effektmått inkluderade duration för cytogenetisk och molekylär respons, transformation till accelererad fas/blastfas, progressionsfri överlevnad samt OS.
Effektanalyserna inkluderade data från denna fullbordade förlängningsstudie.
Patienter med KML i kronisk fas
Effektresultaten för patienterna med Ph-positiv KML i kronisk fas som tidigare behandlats med imatinib och minst ytterligare en TKI (minsta uppföljningstid
120 månader, medianbehandlingstid 9 månader (intervall: 0,23–164,28 månader) och 20,2 % och 7,6 % som fortfarande behandlas vid månad 60 respektive månad 120), samt resultaten för patienterna med Ph-positiv KML i kronisk fas som tidigare behandlats med enbart imatinib (minsta uppföljningstid 120 månader, medianbehandlingstid 26 månader (intervall: 0,16–170,49 månader) och 40,5 % och 19,4 % som fortarande behandlas vid månad 60 respektive månad 120) redovisas i tabell 8.
Patienter med KML i accelererad fas och blastfas
Effektresultaten för Ph-positiva KML-patienter i accelererad fas (minsta uppföljningstid 120 månader, medianbehandlingstid 10 månader
(intervall: 0,10–156,15 månader) och 12,7 % och 7,6 % som fortfarande behandlas vid månad 60 respektive månad 120) och blastfas (minsta uppföljningstid
120 månader, medianbehandlingstid 2,8 månader (intervall: 0,03–71,38 månader) och 3,1 % och 0 % som fortfarande behandlas vid månad 60 respektive månad 120) redovisas i tabell 8.
Tabell 8 – Effektresultat för tidigare behandlade patienter med KML* i kronisk och avancerad fas
* Datum för datainsamling: fas 1/2-studien 02 okt 2015, förlängningsstudien 02 sep 2020.
Kriterier för cytogenetisk respons: MCyR innebar komplett [0 % Ph-positiva metafaser från benmärgen eller < 1 % positiva celler vid fluoroscerande in situ-hybridisering (FISH)] eller partiell (1 % - 35 %) cytogenetisk respons. Cytogenetisk respons baserades på procentandelen Ph-positiva metafaser bland ≥ 20 metafasceller i varje enskilt benmärgsprov. FISH-analys (≥ 200 celler) kunde användas för cytogenetisk bedömning efter baslinjen om ≥ 20 metafaser inte var tillgängliga. I förlängningsstudien imputerades CCyR från MMR om en giltig cytogenetisk bedömning inte var tillgänglig vid ett särskilt datum.
Molekylära responskriterier: I fas 1/2-studien definierades MMR/MR4 som ≤ 0,1/0,01 % BCR-ABL-transkript enligt bedömning av ett centrallaboratorium (inte på den internationella skalan). I förlängningsstudien hade respondenter MMR/MR4 angivet på patientformuläret (CRF) enligt bedömning av ett lokalt laboratorium. Förkortningar: Ph+=Philadelphiakromosompositiv; KML=kronisk myeloisk leukemi; K-M: Kaplan–Meier; N/n=antal patienter; N/A= Not Applicable (ej tillämpligt); N/R= Not reached (ej uppnått) vid kortast uppföljning; N/E= Not estimable (ej beräkningsbart); CI=konfidensintervall; MCyR=Major Cytogenetic Response (betydande cytogenetisk respons); CCyR=Complete Cytogenetic Response (komplett cytogenetisk respons); CumInc=Cumulative Incidence (kumulativ incidens); MMR=Major Molecular Respons (betydande molekylär respons); BCR–ABL=breakpoint cluster region-Abelson.
a Inkluderar patienter (N) med giltig cytogenetisk bedömning vid baslinjen och patienter som inte är från Kina, Sydafrika, Indien eller Ryssland för molekylär bedömning, eftersom det inte gick att exportera prover för molekylär bedömning från dessa länder. I denna analys kan patienter med respons vid baslinjen som bibehöll denna respons räknas som respondenter. Kortaste uppföljningstid (tiden från den sista patientens första dos till datum för datainsamling) var 120 månader.
b Inkluderar patienter (N) som uppnådde eller upprätthöll respons.
c Inkluderar patienter (N) som fick minst 1 dos bosutinib.
d Kumulativ incidensanalys justerad för konkurrerande risk för behandlingsavbrott utan händelsen.
e Ej analyserad för grupper med begränsat antal.
I figur 4 visas den totala överlevnaden grafiskt i kohorterna för sjukdom i kronisk fas, accelererad fas och blastfas.
Figur 4 – Kaplan-Meier-estimat för total överlevnad (OS) i CP2L, CP3L, AP
och BP
Grundat på den begränsade mängd klinisk information som framkom i fas 1/2-studien finns vissa tecken på klinisk aktivitet hos patienter med BCR-ABL-mutationer (se tabell 9).
Tabell 9 – Respons indelad efter BCR-ABL-mutationsstatus vid baslinjen hos bedömningsbara patienter med KML i kronisk fas:
tidigare behandling med imatinib och dasatinib och/eller nilotinib (tredje linjen)
Datum för datainsamling: fas 1/2-studien 02 okt 2015, förlängningsstudien 02 sep 2020
Obs: Mutationer vid baslinjen konstaterades innan patienten fick den första dosen studieläkemedel. Förkortningar: BCR–ABL=breakpoint cluster region-Abelson; KML=kronisk myeloisk leukemi; MCyR = major cytogenetic response (betydande cytogenetisk respons), N/n=antal patienter: Resp=responders, Eval=bedömningsbara.
aProcentvärdet baseras på antalet patienter med bedömd mutation vid baslinjen.
bDen bedömningsbara populationen omfattar patienter med giltig sjukdomsbedömning vid baslinjen.
c2 patienter hade mer än 1 mutation i denna kategori.
En patient med E255V-mutation, tidigare behandlad med nilotinib, uppnådde CHR (komplett hematologisk respons) som bästa svar.
In vitro-tester visade att bosutinib hade begränsad aktivitet mot T315I- och V299L-mutation. Klinisk aktivitet hos patienter med dessa mutationer förväntas därför inte.
Klinisk fas 4-studie på Ph+ KML tidigare behandlade med en eller fler TKI
En enarmad, öppen, icke-randomiserad, multicenterstudie i fas 4 genomfördes för att undersöka effekt och säkerhet för bosutinib 500 mg en gång dagligen hos patienter med TKI-resistent eller TKI-intolerant KML med skilda kohorter för sjukdom i kronisk fas, accelererad fas och blastfas, tidigare behandlad med en eller flera tidigare TKI.
I denna prövning där 163 patienter behandlades med bosutinib ingick 46 patienter med Ph+ KML i kronisk fas som tidigare behandlats med 1 tidigare TKI (imatinib eller dasatinib eller nilotinib), 61 patienter med Ph+ KML i kronisk fas som tidigare behandlats med 2 tidigare TKI (imatinib och/eller dasatinib och/eller nilotinib),
49 patienter med Ph+ KML i kronisk fas som behandlats med 3 tidigare TKI (imatinib och dasatinib och nilotinib), 4 patienter med Ph+ KML i accelererad fas som tidigare behandlats med minst 1 TKI (2 patienter som behandlats med 2 tidigare TKI och
2 patienter som behandlats med 3 tidigare TKI) och 3 patienter med Ph- KML som behandlats med minst 1 tidigare TKI.
Det primära effektmåttet var kumulativ bekräftad MCyR efter 1 år (vecka 52) hos patienter med Ph+ KML i kronisk fas som tidigare behandlats med 1 eller 2 tidigare TKI och patienter med Ph+ KML i kronisk fas som tidigare behandlats med 3 tidigare TKI. För patienter med Ph+ KML i accelererad fas och blastfas med tidigare TKI-behandling var det primära effektmåttet kumulativ bekräftad total hematologisk respons (OHR) efter 1 år (vecka 52). Andra effektmått hos patienter med Ph+ KML i kronisk fas inkluderar kumulativ cytogenetisk och molekylär respons, durationen av cytogenetisk och molekylär respons, respons i mutationer befintliga vid baslinjen, transformation till accelererad fas/blastfas, progressionsfri överlevnad samt total överlevnad. Ytterligare effektmått i kohorten för Ph+ i accelererad fas/blastfas inkluderar kumulativ cytogenetisk och molekylär responsfrekvens, progressionsfri överlevnad och total överlevnad.
Patienter med KML i kronisk fas
Det primära effektmåttet av kumulativ bekräftad MCyR-frekvens (95 % CI) efter 1 år (52 veckor) var 76,5 % (66,9; 84,5) hos patienter behandlade med 1 eller 2 tidigare TKI och 62,2 % (46,5; 76,2) hos patienter behandlade med 3 tidigare TKI.
Ytterligare effektresultat i slutet av studien, efter en minsta uppföljning på 3 år hos patienter med Ph+ KML i kronisk fas behandlade med 1 (median behandlingstid
47,5 månader [intervall: 0,9-50,1 månader] och 60,9 % fortfarande på behandling), 2 (median behandlingstid 41,9 månader [intervall: 0,4-48,9 månader] och 45,9 % fortfarande på behandling) och 3 (median behandlingstid 20,0 månader [intervall: 0,2-48,9 månader] och 38,8 % fortfarande på behandling) tidigare TKI redovisas i tabell 10.
Tabell 10 – Effektresultat hos tidigare behandlade patienter med Ph+ KML i kronisk fas
Den kumulativa incidensen av MMR, MR4 och MR4,5 justerad för konkurrerande risk för behandlingsavbrott utan händelsen visas i figur 5.
Figur 5 - Kumulativ incidens av molekylär respons (bedömningsbar population i kronisk fas)
Uppnådda molekylära responser enligt behandling visas i tabell 11.
Tabell 11 – Uppnådda molekylära responser
Hos patienter i kronisk fas sågs ingen progression av KML till accelererad fas eller blastfas.
Patienter med KML i accelererad fas
Hos patienter med Ph+ KML i accelererad fas var medianbehandlingstiden
22,1 månader (intervall: 1,6-50,1 månader), kumulativ bekräftad OHR efter 1 år
(52 veckor) var 75,0 % (95 % CI: 19,4; 99,4), liksom kumulativ CCyR-frekvens, alla
3 patienter bibehöll sin CCyR under behandling.
Respons enligt BCR-ABL-mutationer vid baslinjen
Tio patienter i kohorten för sjukdom i kronisk fas hade mutationer vid baslinjen (A365V, E453K, E255K, E255V, Q252H, L298V [n=1 vardera], Y253F och G250E [n=2 vardera]). En patient i kohorten med sjukdom i kronisk fas hade en
F359I-mutation konstaterad på studiedag 8. En patient i kohorten med sjukdom i accelererad fas hade 2 mutationer (F311L och L387F) vid baslinjen. I kohorten för sjukdom i kronisk fas observerades, bland patienter med mutationer, molekylära responser hos 4/11 patienter (36,4 %): 1 patient med en E255V-mutation uppnådde MMR och 3 patienter med F359I-, Y253F- respektive A365V-mutation uppnådde MR4.5. Patienten med mutationer i kohorten för sjukdom i accelererad fas uppnådde inte någon respons.
Pediatrisk population
Europeiska läkemedelsmyndigheten har senarelagt kravet att skicka in studieresultatet för referensläkemedlet som innehåller bosutinib för en eller flera grupper av den pediatriska populationen för behandling av KML (information om pediatrisk användning finns i avsnitt 4.2).
Absorption
Efter administrering av en singeldos bosutinib (500 mg) tillsammans med föda till friska försökspersoner var den absoluta biotillgängligheten 34 %. Absorptionen var relativt långsam med en mediantid till max-koncentration (tmax) på 6 timmar. Bosutinib uppvisar dosproportionella ökningar av AUC och Cmax över dosintervallet 200 till 600 mg. Födointag ökade Cmax 1,8 gånger och AUC 1,7 gånger för bosutinib jämfört med vid fasta. Vid steady state hos patienter med KML var Cmax (geometriskt medelvärde, variationskoefficient [CV]%) 145 (14) ng/ml och AUCss (geometriskt medelvärde, CV%) var 2 700 (16) ng x tim/ml efter daglig administrering av bosutinib 400 mg tillsammans med föda. Efter 500 mg bosutinib dagligen med föda var Cmax 200 (6) ng/ml och AUCss var 3,640 (12) ng x tim/ml. Bosutinibs löslighet är pH-beroende och absorptionen minskar med ökat gastriskt pH (se avsnitt 4.5).
Distribution
Efter administrering av en intravenös singeldos om 120 mg bosutinib till friska försökspersoner hade bosutinib en genomsnittlig distributionsvolym
(% variationskoefficient [CV]) på 2,331 (32) l, vilket tyder på att bosutinib i hög grad distribueras till extravaskulär vävnad.
Bosutinib hade hög bindningsgrad till humana plasmaproteiner in vitro (94 %) och ex vivo hos friska personer (96 %). Bindningen var inte koncentrationsberoende.
Metabolism
In vitro- och in vivo-studier har visat att bosutinib (modersubstansen) i första hand metaboliseras i levern hos människa. Efter administrering av en singeldos eller multipla doser bosutinib (400 eller 500 mg) till människa, var de främsta cirkulerande metaboliterna oxidativt deklorerat (M2) och N-demetylerat (M5) bosutinib. Bosutinib-N-oxid (M6) utgjorde en mindre mängd cirkulerande metabolit.
Den systemiska exponeringen för den N-demetylerade metaboliten utgjorde 25 % av modersubstansen, medan den oxidativt deklorerade metaboliten utgjorde 19 % av modersubstansen. Samtliga 3 metaboliter uppvisade en aktivitet som var ≤ 5 % av bosutinibs aktivitet i en analys av förankringsoberoende proliferation (hos Src-transformerade fibroblaster). Bosutinib och N- demetylbosutinib var de viktigaste läkemedelsrelaterade komponenterna i feces. In vitro-studier av humana levermikrosomer har visat att det viktigaste cytokrom P450-isozymet som är involverat i nedbrytningen av bosutinib är CYP3A4. Läkemedelsinteraktionsstudier har visat att ketokonazol och rifampicin har betydande effekt på farmakokinetiken för bosutinib (se avsnitt 4.5). Ingen nedbrytning av bosutinib observerades med CYP 1A2, 2A6, 2B6, 2C8, 2C9, 2C19, 2D6, 2E1, eller 3A5.
Eliminering
Hos friska försökspersoner gav en intravenös singeldos om 120 mg bosutinib en genomsnittlig eliminiering halveringstid (% CV) på cirka 35,5 (24) timmar och genomsnittlig clearance (% CV) var 61,9 (26) l/tim. I en massbalansstudie med oralt bosutinib återfanns i genomsnitt 94,6 % av den totala dosen inom 9 dagar. Feces var den huvudsakliga utsöndringsvägen (91,3 % av dosen), medan 3,29 % återfanns i urinen. Sjuttiofem procent av dosen återfanns inom 96 timmar. Utsöndring av oförändrat bosutinib i urinen var låg med ungefär 1 % av dosen, hos såväl friska försökspersoner som personer med avancerade maligna solida tumörer.
Särskilda populationer
Nedsatt leverfunktion
En 200 mg-dos bosutinib administrerad tillsammans med föda utvärderades i en kohort på 18 patienter med nedsatt leverfunktion (Child-Pugh klass A, B och C) och
9 friska försökspersoner. Cmax för bosutinib i plasma ökade 2,4 gånger, 2 gånger respektive 1,5 gånger i Child-Pugh-klasserna A, B och C. AUC för bosutinib i plasma ökade 2,3 gånger, 2 gånger respektive 1,9 gånger. T1/2 för bosutinib ökade hos patienter med nedsatt leverfunktion jämfört med hos friska personer.
Nedsatt njurfunktion
I en studie kring nedsatt njurfunktion gavs en singeldos om 200 mg bosutinib tillsammans med föda till 26 försökspersoner med lätt, måttligt eller kraftigt nedsatt njurfunktion och 8 matchande friska frivilliga. Nedsatt njurfunktion baserades på (CLCr)-värdena (beräknad enligt Cockcroft-Gault- formeln) <30 ml/min (kraftigt nedsatt njurfunktion), 30≤ CLCr ≤50 ml/min (måttligt nedsatt njurfunktion) eller
50< CLCr ≤80 ml/min (lätt nedsatt njurfunktion). Försökspersoner med måttligt och kraftigt nedsatt njurfunktion hade en ökning av AUC jämfört med friska frivilliga på
35 % respektive 60 %. Maximal exponering Cmax ökade med 28 % och 34 % i gruppen med måttligt respektive kraftigt nedsatt njurfunktion. Exponeringen av bosutinib ökade inte hos försökspersoner med lätt nedsatt njurfunktion. Halveringstiden för bosutinib hos försökspersoner med nedsatt njurfunktion var nästan samma som hos friska försökspersoner.
Dosjusteringar vid nedsatt njurfunktion baseras på resultaten av denna studie och den kända linjära farmakokinetiken för bosutinib i dosintervallet 200 till 600 mg.
Ålder, kön och etnicitet
Inga formella studier har utförts för att bedöma effekterna av dessa demografiska faktorer. Populationsfarmakokinetiska analyser av patienter med Ph-positiv leukemi eller malign solid tumör och hos friska patienter, visar att ålder, kön eller kroppsvikt inte har några kliniskt relevanta effekter. Populationsfarmakokinetiska analyser har visat att asiater hade en 18 % lägre clearance, vilket motsvarar en ökning på cirka 25 % av bosutinibexponeringen (AUC).
Pediatrisk population
Bosutinib har ännu inte studerats hos barn och ungdomar under 18 år.
Bosutinib har undersökts i studier av säkerhetsfarmakologi, toxicitet vid upprepade doser, gentoxicitet, reproduktionstoxicitet och fototoxicitet.
Säkerhetsfarmakologi
Bosutinib hade inga effekter på andningsfunktionen. I en studie av centrala nervsystemet (CNS) uppvisade råttor som behandlades med bosutinib minskad pupillstorlek och försämrad gångförmåga. Ingen nivå för ej observerad effekt (NOEL, No Observed Effect Level) fastställdes avseende pupillstorlek, men NOEL för försämrad gångförmåga inträffade vid exponeringar som var ungefär 11 gånger högre än exponeringen hos människa efter den kliniska dosen 400 mg och 8 gånger högre än exponeringen hos människa efter den kliniska dosen 500 mg (baserat på obundet Cmax hos respektive art). Bosutinibs aktivitet in vitro i hERG-analyser tydde på att det finns en möjlighet till förlängning av hjärtats repolarisering (QTc). I en studie där bosutinib gavs till hundar peroralt orsakade bosutinib inte några förändringar av blodtrycket, onormalt förmaks- eller kammarflimmer, eller förlängt PR-, QRS- eller QTc på EKG vid exponeringar upp till 3 gånger högre än exponeringen hos människa efter den kliniska dosen 400 mg och 2 gånger högre än exponeringen hos människa efter den kliniska dosen 500 mg (baserat på obundet Cmax hos respektive art). En fördröjd ökning av hjärtfrekvensen observerades. I en studie där bosutinib gavs till hundar intravenöst, observerades övergående ökning av hjärtfrekvensen och sänkning av blodtrycket samt minimal förlängning av QTc
(<10 millisek.) vid exponeringar som var cirka 6 till 20 gånger högre än exponeringen hos människa efter den kliniska dosen 400 mg och 4 till 15 gånger högre än exponeringen hos människa efter den kliniska dosen 500 mg (baserat på obundet Cmax hos respektive art). Inga slutsatser kunde dras avseende sambandet mellan de observerade effekterna och läkemedelsbehandlingen.
Toxicitet vid upprepade doser
Toxicitet vid upprepade doser till råtta i upp till 6 månader och till hundar i upp till 9 månader visade att det gastrointestinala systemet var det främsta målorganet för toxiska verkningar av bosutinib. Kliniska tecken på toxicitet var förändrade fekalier och hade samband med minskat födointag och viktnedgång, vilket i en del fall ledde till döden eller avlivning.
Histopatologiskt observerades dilaterat lumen, bägarcellshyperplasi, blödning, erosion och ödem i tarmkanalen samt sinuserytrocytos och blödning i mesenteriska lymfkörtlar. Även levern var ett målorgan hos råtta. De toxiska reaktionerna var ökad levervikt kopplat till hepatocellulär hypertrofi, och uppträdde utan förhöjda leverenzymer eller mikroskopiska tecken på hepatocellulär cytotoxicitet. Betydelsen för människa är okänd. Vid jämförelse av exponeringarna mellan de olika arterna fann man att de exponeringar som inte gav några biverkningar vid de 6 och
9 månader långa toxicitetsstudierna på råtta respektive hund var desamma som exponeringen hos människa efter en klinisk dos om 400 mg eller 500 mg (baserat på obundet AUC hos respektive art).
Gentoxicitet
Studier av gentoxicitet i bakteriella in vitro-system och hos däggdjur in vitro och in vivo, med och utan metabolisk aktivering, visade inte några belägg för mutagen potential hos bosutinib.
Reproduktionstoxicitet och utvecklingstoxicitet
I en fertilitetsstudie på råtta fann man något nedsatt fertilitet hos hanråttor. Hos honråttor observerades ökad embryoresorption och färre implantationer och livsdugliga embryon. Den dos vid vilken inga reproduktionseffekter sågs hos hanråtta (30 mg/kg/dag) och honråtta (3 mg/kg/dag) resulterade i exponeringar som motsvarar 0,6 gånger respektive 0,3 gånger exponeringen hos människa efter den kliniska dosen 400 mg, och 0,5 gånger respektive 0,2 gånger exponeringen hos människa efter den kliniska dosen 500 mg (baserat på obundet AUC hos respektive art). Effekt på manlig fertilitet kan inte uteslutas (se avsnitt 4.6).
Fostrets exponering för bosutinibderiverad radioaktivitet under dräktigheten visades i en studie av överföring via placenta hos dräktiga Sprague-Dawley-råttor. I en studie av pre- och postnatal utveckling hos råtta föddes färre ungar vid doser på
≥ 30 mg/kg/dag, och en ökad incidens av förlust av hela kullar och minskad tillväxt hos avkomman efter födelsen förelåg vid 70 mg/kg/dag. Den dos vid vilken inga negativa utvecklingseffekter sågs (10 mg/kg/dag) resulterade i exponeringar som motsvarar 1,3 gånger och 1,0 gånger exponeringen hos människa efter de kliniska doserna 400 mg respektive 500 mg (baserat på obundet AUC hos respektive art). I en studie av utvecklingstoxicitet hos kanin vid den för moderdjuret toxiska dosen, sågs anomalier hos fostren (sammanväxta sternebrae, hos 2 foster varierande viscerala effekter), samt en något minskad fostervikt. Exponeringen vid den högsta dos som testats på kanin (10 mg/kg/dag) som inte gav några negativa effekter på fostren var 0,9 gånger respektive 0,7 gånger exponeringen hos människa efter en klinisk dos om 400 mg respektive 500 mg (baserat på obundet AUC hos respektive art).
Efter administrering av en oral singeldos (10 mg/kg) av 14C-märkt radioaktivt bosutinib till lakterande Sprague-Dawley-råttor, utsöndrades radioaktivitet i mjölken så tidigt som 0,5 timme efter doseringen. Koncentrationen av radioaktivitet i mjölken var upp till 8 gånger högre än i plasma. Mätbara koncentrationer av radioaktivitet sågs därför i plasma hos diande ungar.
Karcinogenicitet
Bosutinib visade inga tecken på karcinogenicitet i den 2-åriga karcinogenicitetsstudien på råtta och den 6 månader långa karcinogenicitetsstudien på rasH2-mus.
Fototoxicitet
Bosutinib har visats kunna absorbera ljus i UV-B- och UV-A-spektrat och distribueras i hud och uvea hos pigmenterade råttor. Bosutinib uppvisade emellertid ingen fototoxisk effekt på hud eller ögon hos pigmenterade råttor som exponerades för bosutinib i närvaro av UV-strålning vid bosutinibexponeringar upp till 3 gånger högre respektive 2 gånger högre än exponeringen hos människa efter en klinisk dos om 400 eller 500 mg (baserat på obundet Cmax hos respektive art).
Poly(vinylalkohol) (E1203)
Makrogol
Talk (E553b)
Titandioxid (E171)
Gul järnoxid (E172) Röd järnoxid (E172)
Bosutinib Zentiva 500 mg filmdragerade tabletter
Poly(vinylalkohol) (E1203)
Makrogol
Talk (E553b)
Titandioxid (E171)
Röd järnoxid (E172)
Ej relevant.
2 år.
Inga särskilda förvaringsanvisningar.
Tabletterna är förpackade i Alu/PVC/Alu/OPA blisterförpackningar eller Alu/PVC/Alu/OPA perforerade endosblisterförpackningar.
Bosutinib Zentiva 100 mg filmdragerade tabletter
Varje kartong innehåller 28 eller 112 tabletter
Varje kartong innehåller 28x1 eller 112x1 tabletter
Bosutinib Zentiva 400 mg filmdragerade tabletter
Varje kartong innehåller 28 tabletter
Varje kartong innehåller 28x1 tabletter
Bosutinib Zentiva 500 mg filmdragerade tabletter
Varje kartong innehåller 28 tabletter
Varje kartong innehåller 28x1 tabletter
Eventuellt kommer inte alla förpackningsstorlekar att marknadsföras.
Ej använt läkemedel och avfall ska kasseras enligt gällande anvisningar.
Tablettkärna
Mikrokristallin cellulosa (E460)
Kroskarmellosnatrium (E468)
Kiseldioxid, kolloidal, vattenfri
Magnesiumstearat
Filmdragering
Bosutinib Zentiva 100 mg filmdragerade tabletter
Poly(vinylalkohol) (E1203)
Makrogol
Talk (E553b)
Titandioxid (E171)
Gul järnoxid (E172)
Bosutinib Zentiva 400 mg filmdragerade tabletter
Poly(vinylalkohol) (E1203)
Makrogol
Talk (E553b)
Titandioxid (E171)
Gul järnoxid (E172) Röd järnoxid (E172)
Bosutinib Zentiva 500 mg filmdragerade tabletter
Poly(vinylalkohol) (E1203)
Makrogol
Talk (E553b)
Titandioxid (E171)
Röd järnoxid (E172)
Ej relevant.
2 år.
Inga särskilda förvaringsanvisningar.
Tabletterna är förpackade i Alu/PVC/Alu/OPA blisterförpackningar eller Alu/PVC/Alu/OPA perforerade endosblisterförpackningar.
Bosutinib Zentiva 100 mg filmdragerade tabletter
Varje kartong innehåller 28 eller 112 tabletter
Varje kartong innehåller 28x1 eller 112x1 tabletter
Bosutinib Zentiva 400 mg filmdragerade tabletter
Varje kartong innehåller 28 tabletter
Varje kartong innehåller 28x1 tabletter
Bosutinib Zentiva 500 mg filmdragerade tabletter
Varje kartong innehåller 28 tabletter
Varje kartong innehåller 28x1 tabletter
Eventuellt kommer inte alla förpackningsstorlekar att marknadsföras.
Ej använt läkemedel och avfall ska kasseras enligt gällande anvisningar.
Produktresumén är företagets information om läkemedlet riktat till förskrivare och personal inom sjukvård och apotek. Dokumentet är godkänt av Läkemedelsverket eller den europeiska läkemedelsmyndigheten EMA i samband med att läkemedlet godkänns för marknadsföring.