Rybrevant 350 mg koncentrat till infusionsvätska, lösning.
En ml koncentrat till infusionsvätska, lösning innehåller 50 mg amivantamab.
En 7 ml injektionsflaska innehåller 350 mg amivantamab.
Amivantamab är en helt human immunglobulin-G1 (IgG1)-baserad bispecifik antikropp riktad mot receptorerna för epidermal tillväxtfaktor (EGF) och mesenkymal epitelövergång (MET), tillverkad i en däggdjurscellinje (kinesisk hamsterovarie [CHO]) med rekombinant DNA-teknik.
Hjälpämne med känd effekt:
En ml lösning innehåller 0,6 mg polysorbat 80.
För fullständig förteckning över hjälpämnen, se avsnitt 6.1.
Koncentrat till infusionsvätska, lösning.
Lösningen är färglös till svagt gul, med ett pH på 5,7 och en osmolalitet på cirka 310 mosmol/kg.
Janssen-Cilag International NV
Turnhoutseweg 30
B-2340 Beerse
Belgien
EU/1/21/1594/001
Första godkännandet: 9 december 2021
Förnyat godkännande: 11 september 2023
09/2025. Ytterligare information om detta läkemedel finns på Europeiska läkemedelsmyndighetens webbplats https://www.ema.europa.eu.
Innan behandling med Rybrevant inleds, måste EGFR-mutationsstatus i tumörvävnad eller plasmaprover fastställas med hjälp av en validerad testmetod. Om ingen mutation detekteras i ett plasmaprov ska tumörvävnad testas, om sådan finns tillgänglig i tillräcklig mängd och kvalitet, på grund av risken för falskt negativa resultat med ett plasmatest. Tester kan utföras när som helst från initial diagnos till inledande av behandling; test behöver inte upprepas när EFGR-mutationsstatus har fastställts (se avsnitt 5.1).
Dosering
Premedicinering ska administreras för att minska risken för infusionsrelaterade reaktioner vid användning av Rybrevant (se nedan ”Dosändringar” och ”Rekommenderade samtidiga läkemedel”).
Var tredje vecka
Rekommenderade doser av Rybrevant, när det används i kombination med karboplatin och pemetrexed, anges i tabell 1 (se nedan ”Infusionshastigheter” och tabell 5).
Vid användning i kombination med karboplatin och pemetrexed ska Rybrevant administreras efter karboplatin och pemetrexed i följande ordning: pemetrexed, karboplatin och därefter Rybrevant. Se avsnitt 5.1 och tillverkarens förskrivningsinformation för doseringsanvisningar för karboplatin och pemetrexed.
Varannan vecka
Rekommenderade doser av Rybrevant som monoterapi eller i kombination med lazertinib anges i tabell 2 (se nedan ”Infusionshastigheter” och tabell 6).
Vid användning i kombination med lazertinib rekommenderas att Rybrevant administreras när som helst efter lazertinib när det ges samma dag. Se avsnitt 4.2 i produktresumén för lazertinib för rekommenderade doseringsanvisningar för lazertinib.
Behandlingstid
Det rekommenderas att patienter behandlas med Rybrevant till sjukdomsprogression eller tills oacceptabel toxicitet uppträder.
Missad dos
Om en planerad dos missas, ska den dosen administreras så snart som möjligt och doseringsschemat justeras därefter, så att behandlingsintervallet bibehålls.
Dosändringar
Vid förekomst av biverkningar av grad 3 eller 4 ska behandlingen avbrytas till dess att biverkningen gått tillbaka till ≤ grad 1 eller till utgångsläget. Återuppta behandlingen med aktuell dos om avbrottet varar i 7 dagar eller mindre. Om avbrottet varar i mer än 7 dagar, bör behandlingen återupptas med en reducerad dos enligt tabell 3. För specifika dosjusteringar i samband med specifika biverkningar, se information efter tabell 3.
Om det används i kombination med lazertinib, se avsnitt 4.2 i lazertinibs produktresumé för information om dosändringar.
Infusionsrelaterade reaktioner
Infusionen ska avbrytas vid första tecknet på infusionsrelaterade reaktioner. Om det är kliniskt indicerat ska understödjande läkemedel (t.ex. ytterligare glukokortikoider, antihistaminer, febernedsättande medel och antiemetika) administreras (se avsnitt 4.4).
Grad 1–3 (lätt–allvarlig): När symtomen har gått tillbaka ska infusionen återupptas med 50 % av tidigare infusionshastighet. Om inga ytterligare symtom uppkommer kan hastigheten ökas enligt rekommenderad infusionshastighet (se tabell 5 och 6). Samtidig medicinering ska administreras vid nästa dostillfälle (inklusive dexametason (20 mg) eller motsvarande) (se tabell 4).
Återkommande grad 3 eller grad 4 (livshotande): Sätt ut Rybrevant permanent.
Venösa tromboemboliska (VTE) händelser vid samtidig användning med lazertinib När behandlingen inleds ska profylaktiska antikoagulantia administreras för att förebygga VTE-händelser hos patienter som får Rybrevant i kombination med lazertinib. I enlighet med kliniska riktlinjer ska patienterna få profylaktisk dosering av antingen en direktverkande oral antikoagulant (DOAC) eller ett lågmolekylärt heparin (LMWH). Användning av vitamin K-antagonister rekommenderas inte.
Vid VTE-händelser i samband med klinisk instabilitet (t.ex. andningssvikt eller hjärtdysfunktion) ska båda läkemedlen sättas ut tills patienten är kliniskt stabil. Därefter kan båda läkemedlen återinsättas med samma dos. Vid återfall trots lämplig antikoagulation ska Rybrevant sättas ut. Behandlingen kan fortsätta med lazertinib i samma dos.
Hud- och nagelreaktioner
Profylaktisk behandling med orala och topikala antibiotika rekommenderas för att minska risken för och svårighetsgraden av hud- och nagelreaktioner hos patienter som får Rybrevant. Icke-komedogen fuktkräm för huden (ceramidbaserad eller andra formuleringar som ger långvarig återfuktning av huden och utan torkmedel är att föredra) i ansiktet och på hela kroppen (utom hårbotten) och klorhexidinlösning för att tvätta händer och fötter rekommenderas också. Patienter ska instrueras att begränsa solexponering under och i 2 månader efter Rybrevant‑behandlingen. För ytterligare information om profylax för hud- och nagelreaktioner, se avsnitt 4.4.
Om patienten utvecklar en hud- eller nagelreaktion av grad 1–2 ska stödjande behandling inledas om det är kliniskt indicerat. Om det inte sker någon förbättring inom 2 veckor ska dosreduktion övervägas för svåra utslag av grad 2 (se tabell 3). Om patienten utvecklar en hud- eller nagelreaktion av grad 3 ska stödjande behandling inledas om det är kliniskt indicerat, och behandlingsavbrott bör övervägas tills biverkningen förbättrats. Efter återhämtning från hud- eller nagelreaktionen till ≤ grad 2 ska behandling med Rybrevant återupptas med reducerad dos. Om patienten utvecklar hudreaktioner av grad 4, sätt ut Rybrevant permanent (se avsnitt 4.4).
Interstitiell lungsjukdom
Vid misstanke om interstitiell lungsjukdom (ILD) eller ILD‑liknande biverkningar (t.ex. pneumonit) ska behandling med Rybrevant avbrytas. Om patienten bekräftas ha ILD eller ILD‑liknande biverkningar (t.ex. pneumonit), sätt ut Rybrevant permanent (se avsnitt 4.4).
Rekommenderade samtidiga läkemedel
Två dagar före den första infusionen:
Under de två dagarna före den initiala infusionen av Rybrevant bör patienterna få 8 mg dexametason oralt två gånger om dagen.
Dagen för infusionen:
På dagen för den initiala infusionen (vecka 1, dag 1) bör patienterna få 8 mg dexametason oralt en timme före infusionen utöver det intravenösa dexametasonet för att ytterligare minska risken för IRR.
Före infusion (vecka 1, dag 1 och 2) ska antihistaminer, febernedsättande medel och glukokortikoider administreras för att minska risken för infusionsrelaterade reaktioner (se tabell 4). Inför efterföljande doser krävs administrering av antihistaminer och febernedsättande medel. Glukokortikoider ska också återinsättas efter långvariga dosavbrott. Antiemetika ska administreras efter behov.
Särskilda populationer
Pediatrisk population
Det finns ingen relevant användning av amivantamab för en pediatrisk population vid behandling av icke-småcellig lungcancer.
Äldre
Inga dosjusteringar är nödvändiga (se avsnitt 4.8, avsnitt 5.1 och avsnitt 5.2).
Nedsatt njurfunktion
Inga formella studier av amivantamab har utförts på patienter med nedsatt njurfunktion. Baserat på farmakokinetiska populationsanalyser behövs ingen dosjustering hos patienter med lätt eller måttligt nedsatt njurfunktion. Försiktighet ska iakttas hos patienter med kraftigt nedsatt njurfunktion, eftersom amivantamab inte har studerats i denna patientpopulation (se avsnitt 5.2) Om behandling inleds ska patienterna övervakas avseende biverkningar och dosjusteringar göras enligt rekommendationerna ovan.
Nedsatt leverfunktion
Inga formella studier av amivantamab har utförts på patienter med nedsatt leverfunktion. Baserat på farmakokinetiska populationsanalyser behövs ingen dosjustering hos patienter med lätt nedsatt leverfunktion. Försiktighet ska iakttas hos patienter med måttligt eller kraftigt nedsatt leverfunktion, eftersom amivantamab inte har studerats i dessa patientpopulationer (se avsnitt 5.2) Om behandling inleds ska patienterna övervakas avseende biverkningar och dosjusteringar göras enligt rekommendationerna ovan.
Administreringssätt
Rybrevant är avsett för intravenös användning. Det administreras som en intravenös infusion efter spädning med steril 5 % glukoslösning eller natriumklorid 9 mg/ml (0,9 %) injektionsvätska, lösning. Rybrevant ska administreras genom ett in-line-filter.
Anvisningar om spädning av läkemedlet före administrering finns i avsnitt 6.6.
Infusionshastigheter
Efter spädning ska infusionen administreras intravenöst med de infusionshastigheter som presenteras i tabell 5 eller 6 nedan. På grund av risken för infusionsrelaterade reaktioner vid den första dosen, ska amivantamab infunderas via en perifer ven vecka 1 och vecka 2. Infusionen kan administreras via en central venkateter efterföljande veckor, när risken för infusionsrelaterade reaktioner är lägre (se avsnitt 6.6). Det rekommenderas att den första dosen bereds så nära administrering som möjligt, för att maximera sannolikheten för att infusionen slutförs i händelse av en infusionsrelaterad reaktion.
Överkänslighet mot den aktiva substansen eller mot något hjälpämne som anges i avsnitt 6.1.
Spårbarhet
För att underlätta spårbarhet av biologiska läkemedel ska läkemedlets namn och tillverkningssatsnummer dokumenteras.
Infusionsrelaterade reaktioner
Infusionsrelaterade reaktioner var vanligt förekommande hos patienter som behandlades med amivantamab (se avsnitt 4.8).
Före initial infusion (vecka 1) ska antihistaminer, febernedsättande medel och glukokortikoider administreras för att minska risken för infusionsrelaterade reaktioner. Inför efterföljande doser ska antihistaminer och febernedsättande medel administreras. Den initiala infusionen ska administreras i delade doser i vecka 1, dag 1 och 2.
Behandlingen ska ges på en klinik med tillgång till lämpligt medicinskt stöd för behandling av infusionsrelaterade reaktioner. Infusioner ska avbrytas vid första tecken på infusionsrelaterad reaktion oavsett svårighetsgrad, och efterföljande läkemedel ska administreras så som kliniskt indicerat. När symtomen försvunnit, ska infusionen återupptas med 50 % av tidigare hastighet. Vid återkommande infusionsrelaterade reaktioner av grad 3 eller grad 4 ska Rybrevant sättas ut permanent (se avsnitt 4.2)
Interstitiell lungsjukdom
Interstitiell lungsjukdom (ILD) eller ILD-liknande biverkningar (t.ex. pneumonit) har rapporterats hos patienter behandlade med amivantamab, inklusive händelser med dödlig utgång (se avsnitt 4.8). Patienter ska övervakas avseende symtom som tyder på ILD/pneumonit (t.ex. andnöd, hosta, feber). Om symtom uppträder ska behandlingen med Rybrevant avbrytas i väntan på utredning av dessa symtom. Misstänkt ILD eller ILD-liknande biverkningar ska utvärderas och lämplig behandling ska påbörjas efter behov. Rybrevant ska sättas ut permanent hos patienter med bekräftad ILD eller ILD-liknande biverkningar (se avsnitt 4.2).
Venösa tromboemboliska (VTE) händelser vid samtidig användning med lazertinib
Hos patienter som fick Rybrevant i kombination med lazertinib rapporterades VTE‑händelser, inklusive djup ventrombos (DVT) och lungemboli (PE), också dödsfall (se avsnitt 4.8). I enlighet med kliniska föreskrifter ska patienterna få profylaktisk dos av antingen ett direktverkande oralt antikoagulantium (DOAC) eller lågmolekylärt heparin (LMWH). Användning av K‑vitaminantagonister rekommenderas inte.
Tecken och symtom på VTE-händelser ska övervakas. Patienter med VTE-händelser ska behandlas med antikoagulantium enligt klinisk indikation. Vid VTE-händelser i samband med klinisk instabilitet ska behandlingen sättas ut tillfälligt tills patienten är kliniskt stabil. Därefter kan båda läkemedlen återinsättas med samma dos.Vid återfall trots lämplig antikoagulation ska Rybrevant sättas ut. Behandlingen kan fortsätta med lazertinib i samma dos (se avsnitt 4.2).
Hud- och nagelreaktioner
Utslag (inklusive akneliknande dermatit), klåda, torr hud och hudsår har förekommit hos patienter behandlade med amivantamab (se avsnitt 4.8). Patienter ska instrueras att begränsa sin exponering för sol under behandling och i 2 månader efter behandling med Rybrevant. Skyddande kläder och användning av solskyddsmedel som skyddar mot både UVA och UVB rekommenderas. Ett profylaktiskt tillvägagångssätt för att förhindra utslag rekommenderas. Detta inkluderar profylaktisk behandling vid behandlingsstart med ett oralt antibiotikum (t.ex. doxycyklin eller minocyklin, 100 mg två gånger dagligen) med början dag 1 under de första 12 behandlingsveckorna och efter avslutad oral antibiotikabehandling, en lokalverkande antibiotika i form av lotion i hårbotten (t.ex. klindamycin 1 %) under de följande 9 behandlingsmånaderna. En icke-komedogen fuktkräm som inte täpper porerna (ceramidbaserad eller andra formuleringar som ger långvarig återfuktning av huden och utan torkmedel är att föredra) för ansiktet och hela kroppen (utom hårbotten) och klorhexidinlösning till att tvätta händer och fötter med rekommenderas, med början dag 1 och fortsatt under hela behandlingstiden.
Det rekommenderas att recept på ytterligare topikala och/eller orala antibiotika och topikala kortikosteroider finns tillhands vid tidpunkten för den första dosen. Detta för att minimera eventuella fördröjningar i den profylaktiska behandlingen om utslag förekommer trots förebyggande åtgärder. Om hudreaktioner uppträder ska stödjande behandling, topikala kortikosteroider och topikala och/eller orala antibiotika administreras. Vid förekomst av hudreaktioner av grad 3 eller dåligt tolererade reaktioner av grad 2 ska även systemiska antibiotika och orala steroider administreras. Patienter med svåra utslag som har ett atypiskt utseende eller atypisk utbredning eller som inte förbättras inom 2 veckor ska omedelbart remitteras till hudläkare. Behandling med Rybrevant ska dosreduceras, avbrytas eller sättas ut permanent baserat på svårighetsgraden (se avsnitt 4.2).
Toxisk epidermal nekrolys (TEN) har rapporterats. Behandling med detta läkemedel ska sättas ut om TEN bekräftas.
Ögonsjukdomar
Ögonsjukdomar, inklusive keratit, förekom hos patienter som behandlades med amivantamab (se avsnitt 4.8). Patienter som uppvisar förvärrade ögonsymtom ska omedelbart remitteras till ögonläkare och sluta använda kontaktlinser tills symtomen har utvärderats. Se avsnitt 4.2 för dosändringar vid ögonsjukdomar av grad 3 eller 4.
Natriuminnehåll
Detta läkemedel innehåller mindre än 1 mmol (23 mg) natrium per dos, d.v.s. är näst intill ”natriumfritt”. Detta läkemedel kan spädas i natriumklorid 9 mg/ml (0,9 %) infusionsvätska, lösning. Detta ska tas i beaktande för patienter som har ordinerats natriumfattig kost (se avsnitt 6.6).
Polysorbatinnehåll
Detta läkemedel innehåller 0,6 mg polysorbat 80 per ml, vilket motsvarar 4,2 mg per 7 ml injektionsflaska. Polysorbater kan orsaka överkänslighetsreaktioner.
Inga studier avseende läkemedelsinteraktioner har utförts. Som monoklonal IgG1-antikropp är det osannolikt att renal utsöndring och hepatisk enzymmedierad metabolism av intakt amivantamab är stora elimineringsvägar. Därför förväntas inte variationer i läkemedelsmetaboliserande enzymer påverka elimineringen av amivantamab. På grund av den höga affiniteten till en unik epitop på EGFR respektive MET, förutses inte amivantamab förändra läkemedelsmetaboliserande enzymer.
Vacciner
Det finns inga tillgängliga data avseende effekt och säkerhet av vaccinationer hos patienter som tar amivantamab. Undvik att använda levande eller levande försvagade vacciner, när patienter tar amivantamab.
Fertila kvinnor/Preventivmetod
Fertila kvinnor ska använda en effektiv preventivmetod under behandlingen och i 3 månader efter avslutad behandling med amivantamab.
Graviditet
Eventuella risker med amivantamab under graviditet kan inte bedömas, eftersom data från människa saknas och inga reproduktionsstudier på djur har utförts för att undersöka en läkemedelsrelaterad risk. Administrering av EGFR- och MET-hämmande molekyler till dräktiga djur resulterade i en ökad incidens av försämrad embryofetal utveckling, embryodödlighet och spontanabort. Baserat på verkningsmekanismen och fynd i djurmodeller, kan således amivantamab orsaka fosterskada vid administrering till gravida kvinnor. Amivantamab ska inte ges under graviditet, om inte nyttan med behandlingen av kvinnan anses uppväga potentiella risker för fostret. Om patienten blir gravid under behandlingen, ska hon informeras om den eventuella risken för fostret (se avsnitt 5.3).
Amning
Det är okänt om amivantamab utsöndras i bröstmjölk. Det är känt att humana IgG-antikroppar utsöndras i bröstmjölk under de första dagarna efter förlossningen, för att sedan sjunka till en låg koncentration strax efteråt. En risk för det ammade barnet kan inte uteslutas under denna korta period strax efter födseln, även om IgG-antikropparna sannolikt bryts ner i magtarmkanalen hos det ammade barnet och inte absorberas. Ett beslut måste fattas om amning ska avbrytas eller om behandling med amivantamab ska avbrytas/avstås, efter att hänsyn tagits till fördelen med amning för barnet och fördelen med behandling för kvinnan.
Fertilitet
Det finns inga data om effekten av amivantamab på fertiliteten hos människa. Effekterna på manlig och kvinnlig fertilitet har inte utvärderats i djurstudier.
Rybrevant kan ha måttlig effekt på förmågan att framföra fordon och använda maskiner. Se avsnitt 4.8 (t.ex. yrsel, trötthet, synrubbningar). Om patienter upplever behandlingsrelaterade symtom som påverkar koncentrations- och reaktionsförmågan, inklusive synrelaterade biverkningar, bör de inte framföra fordon eller använda maskiner förrän symtomen försvunnit.
Sammanfattning av säkerhetsprofilen
I datasetet för amivantamab som monoterapi (N = 380) var de mest förekommande biverkningarna i alla grader var utslag (76 %), infusionsrelaterade reaktioner (67 %), nageltoxicitet (47 %), hypoalbuminemi (31 %), ödem (26 %), trötthet (26 %), stomatit (24 %), illamående (23 %) och förstoppning (23 %). Allvarliga biverkningar innefattade ILD (1,3 %), infusionsrelaterade reaktioner (1,1 %) och utslag (1,1 %). Tre procent av patienterna avslutade behandlingen med Rybrevant på grund av biverkningar. De mest förekommande biverkningarna som ledde till avslutande av behandling var infusionsrelaterade reaktioner (1,1 %), ILD (0,5 %) samt nageltoxicitet (0,5 %).
Biverkningar i tabellform
Tabell 7 sammanfattar de biverkningar som uppträdde hos patienter som fick amivantamab som monoterapi.
Dessa data återspeglar exponering för amivantamab hos 380 patienter med lokalt avancerad eller metastatisk icke-småcellig lungcancer efter behandlingssvikt med platinumbaserad kemoterapi. Patienter fick amivantamab 1 050 mg (till patienter < 80 kg) eller 1 400 mg (till patienter ≥ 80 kg). Medianexponeringen för amivantamab var 4,1 månader (intervall: 0,0 till 39,7 månader).
Biverkningar observerade under kliniska studier listas nedan efter frekvenskategori. Frekvenskategorier definieras enligt följande: mycket vanliga (≥ 1/10); vanliga (≥ 1/100, < 1/10); mindre vanliga (≥ 1/1 000, < 1/100); sällsynta (≥ 1/10 000, < 1/1 000); mycket sällsynta (< 1/10 000); samt ingen känd frekvens (kan inte beräknas från tillgängliga data).
Inom varje frekvenskategori presenteras biverkningarna i fallande allvarlighetsgrad.
Sammanfattning av säkerhetsprofilen
I datasetet för amivantamab i kombination med karboplatin och pemetrexed (N = 301) var de mest förekommande biverkningarna i alla grader utslag (83 %), neutropeni (57 %), nageltoxicitet (53 %), infusionsrelaterade reaktioner (51 %), trötthet (43 %), stomatit (39 %), illamående (43 %), trombocytopeni (40 %), förstoppning (40 %), ödem (40 %), minskad aptit (33 %), hypoalbuminemi (32 %), ökat alaninaminotransferas (26 %), ökat aspartataminotransferas (23 %), kräkningar (22 %) och hypokalemi (20 %). Allvarliga biverkningar inkluderade utslag (2,7 %), venös tromboembolism (2,3 %), trombocytopeni (2,3 %) och ILD (2,0 %). Åtta procent av patienterna avbröt behandlingen med Rybrevant på grund av biverkningar. De mest förekommande biverkningarna som ledde till avbrytande av behandlingen var infusionsrelaterade reaktioner (2,7 %), utslag (2,3 %), ILD (2,3 %) och nageltoxicitet (1,0 %).
Tabell 8 sammanfattar de biverkningar som inträffade hos patienter som fick amivantamab i kombination med kemoterapi.
Dessa data återspeglar exponering för amivantamab i kombination med karboplatin och pemetrexed hos 301 patienter med lokalt avancerad eller metastatisk icke-småcellig lungcancer. Patienter fick amivantamab vid en dos på 1 400 mg (till patienter < 80 kg) eller 1 750 mg (till patienter ≥ 80 kg) en gång i veckan under 4 veckor. Med start vecka 7 fick patienter amivantamab vid en dos på 1 750 mg (till patienter < 80 kg) eller 2 100 mg (till patienter ≥ 80 kg) en gång var tredje vecka. Medianexponeringen för amivantamab i kombination med karboplatin och pemetrexed var 7,7 månader (intervall: 0,0 till 28,1 månader).
Biverkningar observerade under kliniska studier listas nedan efter frekvenskategori. Frekvenskategorier definieras enligt följande: mycket vanliga (≥ 1/10); vanliga (≥ 1/100, < 1/10); mindre vanliga (≥ 1/1 000, < 1/100); sällsynta (≥ 1/10 000, < 1/1 000); mycket sällsynta (< 1/10 000); samt ingen känd frekvens (kan inte beräknas från tillgängliga data).
Inom varje frekvenskategori presenteras biverkningarna i fallande allvarlighetsgrad.
Sammanfattning av säkerhetsprofilen
I datasetet för amivantamab i kombination med lazertinib (N=421) var de vanligaste biverkningarna i alla grader utslag (89 %), nageltoxicitet (71 %), infusionsrelaterade reaktioner (63 %), hypoalbuminemi (48 %), levertoxicitet (47 %), ödem (47 %) stomatit (43 %), venös tromboembolism (37 %), parestesi (lazertinib) (34 %), trötthet (32 %), diarré (29 %), förstoppning (29 %), torr hud (26 %), prurit (24 %), minskad aptit (24 %), hypokalcemi (21 %), illamående (21 %) och andra ögonsjukdomar (21 %). De vanligaste allvarliga biverkningarna var venös tromboembolism (11 %), pneumoni (4,0 %), utslag (3,1 %), ILD/pneumonit (2,9 %), hepatotoxicitet (2,4 %), covid‑19 (2,4 %) samt IRR och pleurautgjutning (2,1 %). Tjugotre procent av patienterna avbröt behandlingen med Rybrevant på grund av biverkningar. De vanligaste biverkningarna som ledde till utsättning av Rybrevant var utslag (5,5 %), infusionsrelaterade reaktioner (4,5 %), nageltoxicitet (3,6 %), ILD (2,9 %) och VTE (2,9 %).
I tabell 9 sammanfattas de biverkningar som inträffade hos patienter som fick amivantamab i kombination med lazertinib.
Uppgifterna speglar exponeringen för amivantamab i kombination med lazertinib hos 421 patienter med lokalt avancerad eller metastaserad icke‑småcellig lungcancer. Patienterna fick amivantamab 1 050 mg (för patienter <80 kg) eller 1 400 mg (för patienter ≥80 kg) en gång i veckan i 4 veckor och därefter varannan vecka. Medianexponeringen för studiebehandlingen i gruppen som fick kombinationen amivantamab och lazertinib var 18,5 månader (intervall: 0,2 till 31,4 månader).
Biverkningar observerade under kliniska studier listas nedan efter frekvenskategori. Frekvenskategorierna definieras enligt följande: mycket vanliga (≥ 1/10), vanliga (≥ 1/100, < 1/10), mindre vanliga (≥ 1/1 000, < 1/100), sällsynta (≥ 1/10 000, < 1/1 000), mycket sällsynta (< 1/10 000) samt ingen känd frekvens (kan inte beräknas från tillgängliga data).
Biverkningarna presenteras inom varje frekvensområde efter fallande allvarlighetsgrad.
Beskrivning av utvalda biverkningar
Infusionsrelaterade reaktioner
Hos patienter som behandlades med amivantamab som monoterapi förekom infusionsrelaterade reaktioner hos 67 % av patienterna. Nittioåtta procent av de infusionsrelaterade reaktionerna var av grad 1–2. Nittionio procent av de infusionsrelaterade reaktionerna uppträdde vid den första infusionen med en mediantid till uppkomst på 60 minuter, och de flesta uppkom inom 2 timmar efter infusionsstart. De vanligast förekommande tecknen och symtomen inkluderar frossa, andnöd, illamående, rodnad, obehag i bröstet och kräkningar (se avsnitt 4.4).
Hos patienter som behandlades med amivantamab i kombination med karboplatin och pemetrexed förekom infusionsrelaterade reaktioner hos 50 % av patienterna. Mer än 94 % av de infusionsrelaterade reaktionerna var av grad 1–2. De flesta av de infusionsrelaterade reaktionerna uppträdde vid den första infusionen med en mediantid till uppkomst på 60 minuter (intervall 0‑7 timmar) och de flesta uppträdde inom 2 timmar efter infusionsstart.
I enstaka fall kan en infusionsrelaterad reaktion uppträda vid återinsättning av amivantamab efter längre dosuppehåll på mer än 6 veckor.
Hos patienter som behandlades med amivantamab i kombination med lazertinib inträffade infusionsrelaterade reaktioner hos 63 % av patienterna. Nittiofyra procent av IRR var av grad 1–2. En majoritet av IRR inträffade vid den första infusionen med en mediantid till debut på 1 timme och majoriteten inträffade inom 2 timmar efter infusionsstart. De vanligaste tecknen och symtomen inkluderar frossa, dyspné, illamående, rodnad, obehag i bröstet och kräkningar (se avsnitt 4.4).
Ibland kan en IRR inträffa vid återinsättning av amivantamab efter långvariga dosuppehåll på mer än 6 veckor.
I en öppen multicenterstudie i fas 2 på patienter med NSCLC, fick patienterna 8 mg dexametason oralt, två gånger dagligen under båda av de två dagarna före den första infusionen av Rybrevant samt 8 mg oralt 60 minuter före infusionen på dagen för den första infusionen (totalt 5 doser) utöver intravenöst dexametason. Med tillägg av oralt dexametason rapporterades en incidens av IRR på 22,5 % och inga IRR av grad ≥ 3 på dagen för den initiala infusionen (se avsnitt 4.2).
Interstitiell lungsjukdom
Interstitiell lungsjukdom eller ILD-liknande biverkningar har rapporterats vid användning av amivantamab, liksom vid andra EGFR-hämmare. Interstitiell lungsjukdom eller pneumonit rapporterades hos 2,6 % av patienterna som behandlades med amivantamab som monoterapi, 2,3 % av patienterna som behandlades med amivantamab i kombination med karboplatin och pemetrexed och 3,1 % av patienterna som behandlades med amivantamab i kombination med lazertinib, inklusive 1 (0,2 %) fall med dödlig utgång. Patienter med historik av ILD, läkemedelsinducerad ILD eller steroidbehandlad strålningspneumonit i anamnesen, liksom patienter med belägg för kliniskt aktiv ILD, uteslöts från den kliniska studien (se avsnitt 4.4).
Venösa tromboemboliska (VTE) händelser vid samtidig användning med lazertinib
När Rybrevant används i kombination med lazertinib rapporterades VTE‑händelser, inklusive djup ventrombos (DVT) och lungemboli (PE), hos 37 % av de 421 patienter som fick Rybrevant i kombination med lazertinib. De flesta fallen var av grad 1 eller 2, medan händelser av grad 3–4 inträffade hos 11 % av patienterna som fick Rybrevant i kombination med lazertinib och dödsfall inträffade hos 0,5 % av patienterna som fick Rybrevant i kombination med lazertinib. För information om profylaktiska antikoagulantia och hantering av VTE‑händelser, se avsnitt 4.2 och 4.4.
Hos patienter som fick Rybrevant i kombination med lazertinib var mediantiden till första VTE‑händelsen 84 dagar. VTE‑händelser ledde till att behandlingen med Rybrevant avbröts hos 2,9 % av patienterna.
Hud- och nagelreaktioner
Utslag (inklusive akneliknande dermatit), klåda och torr hud förekom hos 76 % av patienterna som behandlades med amivantamab ensamt. De flesta fallen var av grad 1 eller 2; utslag av grad 3 förekom hos 3 % av patienterna. Utslag som ledde till utsättning av amivantamab förekom hos 0,3 % av patienterna. Utslagen uppträdde vanligtvis inom behandlingens första 4 veckor, med en mediantid till uppkomst på 14 dagar. Nageltoxicitet förekom hos patienter behandlade med amivantamab. De flesta fallen var av grad 1 eller 2; nageltoxicitet av grad 3 förekom hos 1,8 % av patienterna.
Utslag (inklusive dermatit akneiform) förekom hos 83 % av patienter som behandlats med amivantamab i kombination med karboplatin och pemetrexed. De flesta fallen var av grad 1 eller 2, med utslag av grad 3 hos 14 % av patienterna. Utslag som ledde till att amivantamab sattes ut förekom hos 2,3 % av patienterna. Utslagen utvecklades vanligtvis inom de första fyra veckorna av behandling med en mediantid till debut på 14 dagar. Nageltoxicitet förekom hos patienter som behandlats med amivantamab i kombination med karboplatin och pemetrexed. De flesta var av grad 1 eller 2 med nageltoxicitet av grad 3 hos 4,3 % av patienterna (se avsnitt 4.4).
Utslag (inklusive akneiform dermatit) förekom hos 89 % av patienterna som behandlades med amivantamab i kombination med lazertinib. De flesta fallen var av grad 1 eller 2, medan utslag av grad 3 förekom hos 27 % av patienterna. Utslag som ledde till utsättning av amivantamab förekom hos 5,5 % av patienterna. Utslagen uppträdde vanligtvis inom behandlingens första 4 veckor, med en mediantid till uppkomst på 14 dagar. Nageltoxicitet förekom hos patienter som behandlades med amivantamab i kombination med lazertinib. De flesta fallen var av grad 1 eller 2; nageltoxicitet av grad 3 förekom hos 11 % av patienterna (se avsnitt 4.4).
En fas 2-studie på patienter som behandlades med Rybrevant i kombination med lazertinib genomfördes för att utvärdera användningen av profylaktisk behandling med ett oralt antibiotikum, ett topikalt antibiotikum i hårbotten, en fuktighetskräm i ansiktet och på hela kroppen (utom hårbotten) samt ett antiseptiskt medel på händer och fötter (se avsnitt 4.2 och 4.4). En minskning av förekomsten av dermatologiska biverkningar av ≥ grad 2 under de första 12 veckorna av behandlingen påvisades, jämfört med den dermatologiska standardbehandling som används enligt klinisk praxis (38,6 % jämfört med 76,5 %, p < 0,0001). Dessutom sågs en minskning av biverkningar av ≥ grad 2 i hårbotten under de första 12 veckorna av behandlingen (8,6 % jämfört med 29,4 %) samt en lägre förekomst av dosreduktioner (7,1 % jämfört med 19,1 %), dosavbrott (15,7 % jämfört med 33,8 %) och behandlingsavbrott (1,4 % jämfört med 4,4 %) på grund av dermatologiska biverkningar.
Ögonsjukdomar
Ögonsjukdomar, inklusive keratit (0,5 %), förekom hos 9 % av patienterna som behandlades med amivantamab ensamt. Andra rapporterade biverkningar inkluderade tillväxt av ögonfransar, nedsatt syn och andra ögonsjukdomar. Alla händelser var av grad 1–2.
Ögonsjukdomar, inklusive keratit (0,3 %), förekom hos 11 % av patienterna som behandlades med amivantamab i kombination med karboplatin och pemetrexed. Andra rapporterade biverkningar inkluderade tillväxt av ögonfransar, nedsatt syn, uveit och andra ögonsjukdomar. Alla händelser var av grad 1–2 (se avsnitt 4.4).
Ögonsjukdomar, inklusive keratit (2,6 %), förekom hos patienter som behandlats med amivantamab i kombination med lazertinib. Andra rapporterade biverkningar var tillväxt av ögonfransar, synnedsättning och andra ögonsjukdomar. De flesta händelser var av grad 1‑2 (se avsnitt 4.4).
Särskilda populationer
Äldre
Det finns begränsade kliniska data för amivantamab hos patienter som är 75 år och äldre (se avsnitt 5.1). Det har inte observerats några övergripande skillnader i säkerhet mellan patienter som är ≥ 65 år och patienter som är < 65 år.
Immunogenicitet
I likhet med alla terapeutiska proteiner, finns det en potential för immunogenicitet. I kliniska studier där patienter med lokalt avancerad eller metastatisk icke-småcellig lungcancer behandlades med amivantamab, testade 4 av de 1 862 (0,2 %) deltagare som behandlades med Rybrevant och kunde utvärderas för förekomst av antikroppar mot läkemedel positivt för behandlingsrelaterade antikroppar mot amivantamab. Inga tecken sågs på förändrad farmakokinetik, effekt eller säkerhetsprofil, på grund av antikroppar mot amivantamab.
Ingen högsta tolererade dos fastställdes i en klinisk studie, där patienter fick upp till 2 100 mg administrerat intravenöst. Det finns ingen känd specifik antidot mot överdosering av amivantamab. Vid överdosering ska behandlingen med Rybrevant stoppas och patienten ska övervakas med avseende på tecken eller symtom på biverkningar. Lämpliga allmänna stödåtgärder ska omedelbart vidtas tills den kliniska toxiciteten har minskat eller försvunnit.
Rybrevant är avsett:
i kombination med lazertinib för första linjens behandling av vuxna patienter med avancerad icke‑småcellig lungcancer (NSCLC) med EGFR exon 19‑deletion eller substitutionsmutation L858R i exon 21.
i kombination med karboplatin och pemetrexed för behandling av vuxna patienter med avancerad NSCLC med EGFR exon 19-deletion eller substitutionsmutation L858R i exon 21 efter svikt på tidigare behandling, inkluderande en EGFR-tyrosinkinashämmare (TKI).
i kombination med karboplatin och pemetrexed för första linjens behandling av vuxna patienter med avancerad NSCLC med aktiverande insertionsmutationer i EGFR exon 20.
som monoterapi för behandling av vuxna patienter med avancerad NSCLC med aktiverande insertionsmutationer i EGFR exon 20, efter svikt på platinumbaserad kemoterapi.
Behandling med Rybrevant ska sättas in och övervakas av läkare med erfarenhet av användning av cancerläkemedel.
Rybrevant ska administreras av hälso- och sjukvårdspersonal med tillgång till lämpligt medicinskt stöd för hantering av infusionsrelaterade reaktioner, om sådana skulle uppträda.
Innan behandling med Rybrevant inleds, måste EGFR-mutationsstatus i tumörvävnad eller plasmaprover fastställas med hjälp av en validerad testmetod. Om ingen mutation detekteras i ett plasmaprov ska tumörvävnad testas, om sådan finns tillgänglig i tillräcklig mängd och kvalitet, på grund av risken för falskt negativa resultat med ett plasmatest. Tester kan utföras när som helst från initial diagnos till inledande av behandling; test behöver inte upprepas när EFGR-mutationsstatus har fastställts (se avsnitt 5.1).
Dosering
Premedicinering ska administreras för att minska risken för infusionsrelaterade reaktioner vid användning av Rybrevant (se nedan ”Dosändringar” och ”Rekommenderade samtidiga läkemedel”).
Var tredje vecka
Rekommenderade doser av Rybrevant, när det används i kombination med karboplatin och pemetrexed, anges i tabell 1 (se nedan ”Infusionshastigheter” och tabell 5).
Vid användning i kombination med karboplatin och pemetrexed ska Rybrevant administreras efter karboplatin och pemetrexed i följande ordning: pemetrexed, karboplatin och därefter Rybrevant. Se avsnitt 5.1 och tillverkarens förskrivningsinformation för doseringsanvisningar för karboplatin och pemetrexed.
Varannan vecka
Rekommenderade doser av Rybrevant som monoterapi eller i kombination med lazertinib anges i tabell 2 (se nedan ”Infusionshastigheter” och tabell 6).
Vid användning i kombination med lazertinib rekommenderas att Rybrevant administreras när som helst efter lazertinib när det ges samma dag. Se avsnitt 4.2 i produktresumén för lazertinib för rekommenderade doseringsanvisningar för lazertinib.
Behandlingstid
Det rekommenderas att patienter behandlas med Rybrevant till sjukdomsprogression eller tills oacceptabel toxicitet uppträder.
Missad dos
Om en planerad dos missas, ska den dosen administreras så snart som möjligt och doseringsschemat justeras därefter, så att behandlingsintervallet bibehålls.
Dosändringar
Vid förekomst av biverkningar av grad 3 eller 4 ska behandlingen avbrytas till dess att biverkningen gått tillbaka till ≤ grad 1 eller till utgångsläget. Återuppta behandlingen med aktuell dos om avbrottet varar i 7 dagar eller mindre. Om avbrottet varar i mer än 7 dagar, bör behandlingen återupptas med en reducerad dos enligt tabell 3. För specifika dosjusteringar i samband med specifika biverkningar, se information efter tabell 3.
Om det används i kombination med lazertinib, se avsnitt 4.2 i lazertinibs produktresumé för information om dosändringar.
Infusionsrelaterade reaktioner
Infusionen ska avbrytas vid första tecknet på infusionsrelaterade reaktioner. Om det är kliniskt indicerat ska understödjande läkemedel (t.ex. ytterligare glukokortikoider, antihistaminer, febernedsättande medel och antiemetika) administreras (se avsnitt 4.4).
Grad 1–3 (lätt–allvarlig): När symtomen har gått tillbaka ska infusionen återupptas med 50 % av tidigare infusionshastighet. Om inga ytterligare symtom uppkommer kan hastigheten ökas enligt rekommenderad infusionshastighet (se tabell 5 och 6). Samtidig medicinering ska administreras vid nästa dostillfälle (inklusive dexametason (20 mg) eller motsvarande) (se tabell 4).
Återkommande grad 3 eller grad 4 (livshotande): Sätt ut Rybrevant permanent.
Venösa tromboemboliska (VTE) händelser vid samtidig användning med lazertinib När behandlingen inleds ska profylaktiska antikoagulantia administreras för att förebygga VTE-händelser hos patienter som får Rybrevant i kombination med lazertinib. I enlighet med kliniska riktlinjer ska patienterna få profylaktisk dosering av antingen en direktverkande oral antikoagulant (DOAC) eller ett lågmolekylärt heparin (LMWH). Användning av vitamin K-antagonister rekommenderas inte.
Vid VTE-händelser i samband med klinisk instabilitet (t.ex. andningssvikt eller hjärtdysfunktion) ska båda läkemedlen sättas ut tills patienten är kliniskt stabil. Därefter kan båda läkemedlen återinsättas med samma dos. Vid återfall trots lämplig antikoagulation ska Rybrevant sättas ut. Behandlingen kan fortsätta med lazertinib i samma dos.
Hud- och nagelreaktioner
Profylaktisk behandling med orala och topikala antibiotika rekommenderas för att minska risken för och svårighetsgraden av hud- och nagelreaktioner hos patienter som får Rybrevant. Icke-komedogen fuktkräm för huden (ceramidbaserad eller andra formuleringar som ger långvarig återfuktning av huden och utan torkmedel är att föredra) i ansiktet och på hela kroppen (utom hårbotten) och klorhexidinlösning för att tvätta händer och fötter rekommenderas också. Patienter ska instrueras att begränsa solexponering under och i 2 månader efter Rybrevant‑behandlingen. För ytterligare information om profylax för hud- och nagelreaktioner, se avsnitt 4.4.
Om patienten utvecklar en hud- eller nagelreaktion av grad 1–2 ska stödjande behandling inledas om det är kliniskt indicerat. Om det inte sker någon förbättring inom 2 veckor ska dosreduktion övervägas för svåra utslag av grad 2 (se tabell 3). Om patienten utvecklar en hud- eller nagelreaktion av grad 3 ska stödjande behandling inledas om det är kliniskt indicerat, och behandlingsavbrott bör övervägas tills biverkningen förbättrats. Efter återhämtning från hud- eller nagelreaktionen till ≤ grad 2 ska behandling med Rybrevant återupptas med reducerad dos. Om patienten utvecklar hudreaktioner av grad 4, sätt ut Rybrevant permanent (se avsnitt 4.4).
Interstitiell lungsjukdom
Vid misstanke om interstitiell lungsjukdom (ILD) eller ILD‑liknande biverkningar (t.ex. pneumonit) ska behandling med Rybrevant avbrytas. Om patienten bekräftas ha ILD eller ILD‑liknande biverkningar (t.ex. pneumonit), sätt ut Rybrevant permanent (se avsnitt 4.4).
Rekommenderade samtidiga läkemedel
Två dagar före den första infusionen:
Under de två dagarna före den initiala infusionen av Rybrevant bör patienterna få 8 mg dexametason oralt två gånger om dagen.
Dagen för infusionen:
På dagen för den initiala infusionen (vecka 1, dag 1) bör patienterna få 8 mg dexametason oralt en timme före infusionen utöver det intravenösa dexametasonet för att ytterligare minska risken för IRR.
Före infusion (vecka 1, dag 1 och 2) ska antihistaminer, febernedsättande medel och glukokortikoider administreras för att minska risken för infusionsrelaterade reaktioner (se tabell 4). Inför efterföljande doser krävs administrering av antihistaminer och febernedsättande medel. Glukokortikoider ska också återinsättas efter långvariga dosavbrott. Antiemetika ska administreras efter behov.
Särskilda populationer
Pediatrisk population
Det finns ingen relevant användning av amivantamab för en pediatrisk population vid behandling av icke-småcellig lungcancer.
Äldre
Inga dosjusteringar är nödvändiga (se avsnitt 4.8, avsnitt 5.1 och avsnitt 5.2).
Nedsatt njurfunktion
Inga formella studier av amivantamab har utförts på patienter med nedsatt njurfunktion. Baserat på farmakokinetiska populationsanalyser behövs ingen dosjustering hos patienter med lätt eller måttligt nedsatt njurfunktion. Försiktighet ska iakttas hos patienter med kraftigt nedsatt njurfunktion, eftersom amivantamab inte har studerats i denna patientpopulation (se avsnitt 5.2) Om behandling inleds ska patienterna övervakas avseende biverkningar och dosjusteringar göras enligt rekommendationerna ovan.
Nedsatt leverfunktion
Inga formella studier av amivantamab har utförts på patienter med nedsatt leverfunktion. Baserat på farmakokinetiska populationsanalyser behövs ingen dosjustering hos patienter med lätt nedsatt leverfunktion. Försiktighet ska iakttas hos patienter med måttligt eller kraftigt nedsatt leverfunktion, eftersom amivantamab inte har studerats i dessa patientpopulationer (se avsnitt 5.2) Om behandling inleds ska patienterna övervakas avseende biverkningar och dosjusteringar göras enligt rekommendationerna ovan.
Administreringssätt
Rybrevant är avsett för intravenös användning. Det administreras som en intravenös infusion efter spädning med steril 5 % glukoslösning eller natriumklorid 9 mg/ml (0,9 %) injektionsvätska, lösning. Rybrevant ska administreras genom ett in-line-filter.
Anvisningar om spädning av läkemedlet före administrering finns i avsnitt 6.6.
Infusionshastigheter
Efter spädning ska infusionen administreras intravenöst med de infusionshastigheter som presenteras i tabell 5 eller 6 nedan. På grund av risken för infusionsrelaterade reaktioner vid den första dosen, ska amivantamab infunderas via en perifer ven vecka 1 och vecka 2. Infusionen kan administreras via en central venkateter efterföljande veckor, när risken för infusionsrelaterade reaktioner är lägre (se avsnitt 6.6). Det rekommenderas att den första dosen bereds så nära administrering som möjligt, för att maximera sannolikheten för att infusionen slutförs i händelse av en infusionsrelaterad reaktion.
Överkänslighet mot den aktiva substansen eller mot något hjälpämne som anges i avsnitt 6.1.
Spårbarhet
För att underlätta spårbarhet av biologiska läkemedel ska läkemedlets namn och tillverkningssatsnummer dokumenteras.
Infusionsrelaterade reaktioner
Infusionsrelaterade reaktioner var vanligt förekommande hos patienter som behandlades med amivantamab (se avsnitt 4.8).
Före initial infusion (vecka 1) ska antihistaminer, febernedsättande medel och glukokortikoider administreras för att minska risken för infusionsrelaterade reaktioner. Inför efterföljande doser ska antihistaminer och febernedsättande medel administreras. Den initiala infusionen ska administreras i delade doser i vecka 1, dag 1 och 2.
Behandlingen ska ges på en klinik med tillgång till lämpligt medicinskt stöd för behandling av infusionsrelaterade reaktioner. Infusioner ska avbrytas vid första tecken på infusionsrelaterad reaktion oavsett svårighetsgrad, och efterföljande läkemedel ska administreras så som kliniskt indicerat. När symtomen försvunnit, ska infusionen återupptas med 50 % av tidigare hastighet. Vid återkommande infusionsrelaterade reaktioner av grad 3 eller grad 4 ska Rybrevant sättas ut permanent (se avsnitt 4.2)
Interstitiell lungsjukdom
Interstitiell lungsjukdom (ILD) eller ILD-liknande biverkningar (t.ex. pneumonit) har rapporterats hos patienter behandlade med amivantamab, inklusive händelser med dödlig utgång (se avsnitt 4.8). Patienter ska övervakas avseende symtom som tyder på ILD/pneumonit (t.ex. andnöd, hosta, feber). Om symtom uppträder ska behandlingen med Rybrevant avbrytas i väntan på utredning av dessa symtom. Misstänkt ILD eller ILD-liknande biverkningar ska utvärderas och lämplig behandling ska påbörjas efter behov. Rybrevant ska sättas ut permanent hos patienter med bekräftad ILD eller ILD-liknande biverkningar (se avsnitt 4.2).
Venösa tromboemboliska (VTE) händelser vid samtidig användning med lazertinib
Hos patienter som fick Rybrevant i kombination med lazertinib rapporterades VTE‑händelser, inklusive djup ventrombos (DVT) och lungemboli (PE), också dödsfall (se avsnitt 4.8). I enlighet med kliniska föreskrifter ska patienterna få profylaktisk dos av antingen ett direktverkande oralt antikoagulantium (DOAC) eller lågmolekylärt heparin (LMWH). Användning av K‑vitaminantagonister rekommenderas inte.
Tecken och symtom på VTE-händelser ska övervakas. Patienter med VTE-händelser ska behandlas med antikoagulantium enligt klinisk indikation. Vid VTE-händelser i samband med klinisk instabilitet ska behandlingen sättas ut tillfälligt tills patienten är kliniskt stabil. Därefter kan båda läkemedlen återinsättas med samma dos.Vid återfall trots lämplig antikoagulation ska Rybrevant sättas ut. Behandlingen kan fortsätta med lazertinib i samma dos (se avsnitt 4.2).
Hud- och nagelreaktioner
Utslag (inklusive akneliknande dermatit), klåda, torr hud och hudsår har förekommit hos patienter behandlade med amivantamab (se avsnitt 4.8). Patienter ska instrueras att begränsa sin exponering för sol under behandling och i 2 månader efter behandling med Rybrevant. Skyddande kläder och användning av solskyddsmedel som skyddar mot både UVA och UVB rekommenderas. Ett profylaktiskt tillvägagångssätt för att förhindra utslag rekommenderas. Detta inkluderar profylaktisk behandling vid behandlingsstart med ett oralt antibiotikum (t.ex. doxycyklin eller minocyklin, 100 mg två gånger dagligen) med början dag 1 under de första 12 behandlingsveckorna och efter avslutad oral antibiotikabehandling, en lokalverkande antibiotika i form av lotion i hårbotten (t.ex. klindamycin 1 %) under de följande 9 behandlingsmånaderna. En icke-komedogen fuktkräm som inte täpper porerna (ceramidbaserad eller andra formuleringar som ger långvarig återfuktning av huden och utan torkmedel är att föredra) för ansiktet och hela kroppen (utom hårbotten) och klorhexidinlösning till att tvätta händer och fötter med rekommenderas, med början dag 1 och fortsatt under hela behandlingstiden.
Det rekommenderas att recept på ytterligare topikala och/eller orala antibiotika och topikala kortikosteroider finns tillhands vid tidpunkten för den första dosen. Detta för att minimera eventuella fördröjningar i den profylaktiska behandlingen om utslag förekommer trots förebyggande åtgärder. Om hudreaktioner uppträder ska stödjande behandling, topikala kortikosteroider och topikala och/eller orala antibiotika administreras. Vid förekomst av hudreaktioner av grad 3 eller dåligt tolererade reaktioner av grad 2 ska även systemiska antibiotika och orala steroider administreras. Patienter med svåra utslag som har ett atypiskt utseende eller atypisk utbredning eller som inte förbättras inom 2 veckor ska omedelbart remitteras till hudläkare. Behandling med Rybrevant ska dosreduceras, avbrytas eller sättas ut permanent baserat på svårighetsgraden (se avsnitt 4.2).
Toxisk epidermal nekrolys (TEN) har rapporterats. Behandling med detta läkemedel ska sättas ut om TEN bekräftas.
Ögonsjukdomar
Ögonsjukdomar, inklusive keratit, förekom hos patienter som behandlades med amivantamab (se avsnitt 4.8). Patienter som uppvisar förvärrade ögonsymtom ska omedelbart remitteras till ögonläkare och sluta använda kontaktlinser tills symtomen har utvärderats. Se avsnitt 4.2 för dosändringar vid ögonsjukdomar av grad 3 eller 4.
Natriuminnehåll
Detta läkemedel innehåller mindre än 1 mmol (23 mg) natrium per dos, d.v.s. är näst intill ”natriumfritt”. Detta läkemedel kan spädas i natriumklorid 9 mg/ml (0,9 %) infusionsvätska, lösning. Detta ska tas i beaktande för patienter som har ordinerats natriumfattig kost (se avsnitt 6.6).
Polysorbatinnehåll
Detta läkemedel innehåller 0,6 mg polysorbat 80 per ml, vilket motsvarar 4,2 mg per 7 ml injektionsflaska. Polysorbater kan orsaka överkänslighetsreaktioner.
Inga studier avseende läkemedelsinteraktioner har utförts. Som monoklonal IgG1-antikropp är det osannolikt att renal utsöndring och hepatisk enzymmedierad metabolism av intakt amivantamab är stora elimineringsvägar. Därför förväntas inte variationer i läkemedelsmetaboliserande enzymer påverka elimineringen av amivantamab. På grund av den höga affiniteten till en unik epitop på EGFR respektive MET, förutses inte amivantamab förändra läkemedelsmetaboliserande enzymer.
Vacciner
Det finns inga tillgängliga data avseende effekt och säkerhet av vaccinationer hos patienter som tar amivantamab. Undvik att använda levande eller levande försvagade vacciner, när patienter tar amivantamab.
Fertila kvinnor/Preventivmetod
Fertila kvinnor ska använda en effektiv preventivmetod under behandlingen och i 3 månader efter avslutad behandling med amivantamab.
Graviditet
Eventuella risker med amivantamab under graviditet kan inte bedömas, eftersom data från människa saknas och inga reproduktionsstudier på djur har utförts för att undersöka en läkemedelsrelaterad risk. Administrering av EGFR- och MET-hämmande molekyler till dräktiga djur resulterade i en ökad incidens av försämrad embryofetal utveckling, embryodödlighet och spontanabort. Baserat på verkningsmekanismen och fynd i djurmodeller, kan således amivantamab orsaka fosterskada vid administrering till gravida kvinnor. Amivantamab ska inte ges under graviditet, om inte nyttan med behandlingen av kvinnan anses uppväga potentiella risker för fostret. Om patienten blir gravid under behandlingen, ska hon informeras om den eventuella risken för fostret (se avsnitt 5.3).
Amning
Det är okänt om amivantamab utsöndras i bröstmjölk. Det är känt att humana IgG-antikroppar utsöndras i bröstmjölk under de första dagarna efter förlossningen, för att sedan sjunka till en låg koncentration strax efteråt. En risk för det ammade barnet kan inte uteslutas under denna korta period strax efter födseln, även om IgG-antikropparna sannolikt bryts ner i magtarmkanalen hos det ammade barnet och inte absorberas. Ett beslut måste fattas om amning ska avbrytas eller om behandling med amivantamab ska avbrytas/avstås, efter att hänsyn tagits till fördelen med amning för barnet och fördelen med behandling för kvinnan.
Fertilitet
Det finns inga data om effekten av amivantamab på fertiliteten hos människa. Effekterna på manlig och kvinnlig fertilitet har inte utvärderats i djurstudier.
Rybrevant kan ha måttlig effekt på förmågan att framföra fordon och använda maskiner. Se avsnitt 4.8 (t.ex. yrsel, trötthet, synrubbningar). Om patienter upplever behandlingsrelaterade symtom som påverkar koncentrations- och reaktionsförmågan, inklusive synrelaterade biverkningar, bör de inte framföra fordon eller använda maskiner förrän symtomen försvunnit.
Sammanfattning av säkerhetsprofilen
I datasetet för amivantamab som monoterapi (N = 380) var de mest förekommande biverkningarna i alla grader var utslag (76 %), infusionsrelaterade reaktioner (67 %), nageltoxicitet (47 %), hypoalbuminemi (31 %), ödem (26 %), trötthet (26 %), stomatit (24 %), illamående (23 %) och förstoppning (23 %). Allvarliga biverkningar innefattade ILD (1,3 %), infusionsrelaterade reaktioner (1,1 %) och utslag (1,1 %). Tre procent av patienterna avslutade behandlingen med Rybrevant på grund av biverkningar. De mest förekommande biverkningarna som ledde till avslutande av behandling var infusionsrelaterade reaktioner (1,1 %), ILD (0,5 %) samt nageltoxicitet (0,5 %).
Biverkningar i tabellform
Tabell 7 sammanfattar de biverkningar som uppträdde hos patienter som fick amivantamab som monoterapi.
Dessa data återspeglar exponering för amivantamab hos 380 patienter med lokalt avancerad eller metastatisk icke-småcellig lungcancer efter behandlingssvikt med platinumbaserad kemoterapi. Patienter fick amivantamab 1 050 mg (till patienter < 80 kg) eller 1 400 mg (till patienter ≥ 80 kg). Medianexponeringen för amivantamab var 4,1 månader (intervall: 0,0 till 39,7 månader).
Biverkningar observerade under kliniska studier listas nedan efter frekvenskategori. Frekvenskategorier definieras enligt följande: mycket vanliga (≥ 1/10); vanliga (≥ 1/100, < 1/10); mindre vanliga (≥ 1/1 000, < 1/100); sällsynta (≥ 1/10 000, < 1/1 000); mycket sällsynta (< 1/10 000); samt ingen känd frekvens (kan inte beräknas från tillgängliga data).
Inom varje frekvenskategori presenteras biverkningarna i fallande allvarlighetsgrad.
Sammanfattning av säkerhetsprofilen
I datasetet för amivantamab i kombination med karboplatin och pemetrexed (N = 301) var de mest förekommande biverkningarna i alla grader utslag (83 %), neutropeni (57 %), nageltoxicitet (53 %), infusionsrelaterade reaktioner (51 %), trötthet (43 %), stomatit (39 %), illamående (43 %), trombocytopeni (40 %), förstoppning (40 %), ödem (40 %), minskad aptit (33 %), hypoalbuminemi (32 %), ökat alaninaminotransferas (26 %), ökat aspartataminotransferas (23 %), kräkningar (22 %) och hypokalemi (20 %). Allvarliga biverkningar inkluderade utslag (2,7 %), venös tromboembolism (2,3 %), trombocytopeni (2,3 %) och ILD (2,0 %). Åtta procent av patienterna avbröt behandlingen med Rybrevant på grund av biverkningar. De mest förekommande biverkningarna som ledde till avbrytande av behandlingen var infusionsrelaterade reaktioner (2,7 %), utslag (2,3 %), ILD (2,3 %) och nageltoxicitet (1,0 %).
Tabell 8 sammanfattar de biverkningar som inträffade hos patienter som fick amivantamab i kombination med kemoterapi.
Dessa data återspeglar exponering för amivantamab i kombination med karboplatin och pemetrexed hos 301 patienter med lokalt avancerad eller metastatisk icke-småcellig lungcancer. Patienter fick amivantamab vid en dos på 1 400 mg (till patienter < 80 kg) eller 1 750 mg (till patienter ≥ 80 kg) en gång i veckan under 4 veckor. Med start vecka 7 fick patienter amivantamab vid en dos på 1 750 mg (till patienter < 80 kg) eller 2 100 mg (till patienter ≥ 80 kg) en gång var tredje vecka. Medianexponeringen för amivantamab i kombination med karboplatin och pemetrexed var 7,7 månader (intervall: 0,0 till 28,1 månader).
Biverkningar observerade under kliniska studier listas nedan efter frekvenskategori. Frekvenskategorier definieras enligt följande: mycket vanliga (≥ 1/10); vanliga (≥ 1/100, < 1/10); mindre vanliga (≥ 1/1 000, < 1/100); sällsynta (≥ 1/10 000, < 1/1 000); mycket sällsynta (< 1/10 000); samt ingen känd frekvens (kan inte beräknas från tillgängliga data).
Inom varje frekvenskategori presenteras biverkningarna i fallande allvarlighetsgrad.
Sammanfattning av säkerhetsprofilen
I datasetet för amivantamab i kombination med lazertinib (N=421) var de vanligaste biverkningarna i alla grader utslag (89 %), nageltoxicitet (71 %), infusionsrelaterade reaktioner (63 %), hypoalbuminemi (48 %), levertoxicitet (47 %), ödem (47 %) stomatit (43 %), venös tromboembolism (37 %), parestesi (lazertinib) (34 %), trötthet (32 %), diarré (29 %), förstoppning (29 %), torr hud (26 %), prurit (24 %), minskad aptit (24 %), hypokalcemi (21 %), illamående (21 %) och andra ögonsjukdomar (21 %). De vanligaste allvarliga biverkningarna var venös tromboembolism (11 %), pneumoni (4,0 %), utslag (3,1 %), ILD/pneumonit (2,9 %), hepatotoxicitet (2,4 %), covid‑19 (2,4 %) samt IRR och pleurautgjutning (2,1 %). Tjugotre procent av patienterna avbröt behandlingen med Rybrevant på grund av biverkningar. De vanligaste biverkningarna som ledde till utsättning av Rybrevant var utslag (5,5 %), infusionsrelaterade reaktioner (4,5 %), nageltoxicitet (3,6 %), ILD (2,9 %) och VTE (2,9 %).
I tabell 9 sammanfattas de biverkningar som inträffade hos patienter som fick amivantamab i kombination med lazertinib.
Uppgifterna speglar exponeringen för amivantamab i kombination med lazertinib hos 421 patienter med lokalt avancerad eller metastaserad icke‑småcellig lungcancer. Patienterna fick amivantamab 1 050 mg (för patienter <80 kg) eller 1 400 mg (för patienter ≥80 kg) en gång i veckan i 4 veckor och därefter varannan vecka. Medianexponeringen för studiebehandlingen i gruppen som fick kombinationen amivantamab och lazertinib var 18,5 månader (intervall: 0,2 till 31,4 månader).
Biverkningar observerade under kliniska studier listas nedan efter frekvenskategori. Frekvenskategorierna definieras enligt följande: mycket vanliga (≥ 1/10), vanliga (≥ 1/100, < 1/10), mindre vanliga (≥ 1/1 000, < 1/100), sällsynta (≥ 1/10 000, < 1/1 000), mycket sällsynta (< 1/10 000) samt ingen känd frekvens (kan inte beräknas från tillgängliga data).
Biverkningarna presenteras inom varje frekvensområde efter fallande allvarlighetsgrad.
Beskrivning av utvalda biverkningar
Infusionsrelaterade reaktioner
Hos patienter som behandlades med amivantamab som monoterapi förekom infusionsrelaterade reaktioner hos 67 % av patienterna. Nittioåtta procent av de infusionsrelaterade reaktionerna var av grad 1–2. Nittionio procent av de infusionsrelaterade reaktionerna uppträdde vid den första infusionen med en mediantid till uppkomst på 60 minuter, och de flesta uppkom inom 2 timmar efter infusionsstart. De vanligast förekommande tecknen och symtomen inkluderar frossa, andnöd, illamående, rodnad, obehag i bröstet och kräkningar (se avsnitt 4.4).
Hos patienter som behandlades med amivantamab i kombination med karboplatin och pemetrexed förekom infusionsrelaterade reaktioner hos 50 % av patienterna. Mer än 94 % av de infusionsrelaterade reaktionerna var av grad 1–2. De flesta av de infusionsrelaterade reaktionerna uppträdde vid den första infusionen med en mediantid till uppkomst på 60 minuter (intervall 0‑7 timmar) och de flesta uppträdde inom 2 timmar efter infusionsstart.
I enstaka fall kan en infusionsrelaterad reaktion uppträda vid återinsättning av amivantamab efter längre dosuppehåll på mer än 6 veckor.
Hos patienter som behandlades med amivantamab i kombination med lazertinib inträffade infusionsrelaterade reaktioner hos 63 % av patienterna. Nittiofyra procent av IRR var av grad 1–2. En majoritet av IRR inträffade vid den första infusionen med en mediantid till debut på 1 timme och majoriteten inträffade inom 2 timmar efter infusionsstart. De vanligaste tecknen och symtomen inkluderar frossa, dyspné, illamående, rodnad, obehag i bröstet och kräkningar (se avsnitt 4.4).
Ibland kan en IRR inträffa vid återinsättning av amivantamab efter långvariga dosuppehåll på mer än 6 veckor.
I en öppen multicenterstudie i fas 2 på patienter med NSCLC, fick patienterna 8 mg dexametason oralt, två gånger dagligen under båda av de två dagarna före den första infusionen av Rybrevant samt 8 mg oralt 60 minuter före infusionen på dagen för den första infusionen (totalt 5 doser) utöver intravenöst dexametason. Med tillägg av oralt dexametason rapporterades en incidens av IRR på 22,5 % och inga IRR av grad ≥ 3 på dagen för den initiala infusionen (se avsnitt 4.2).
Interstitiell lungsjukdom
Interstitiell lungsjukdom eller ILD-liknande biverkningar har rapporterats vid användning av amivantamab, liksom vid andra EGFR-hämmare. Interstitiell lungsjukdom eller pneumonit rapporterades hos 2,6 % av patienterna som behandlades med amivantamab som monoterapi, 2,3 % av patienterna som behandlades med amivantamab i kombination med karboplatin och pemetrexed och 3,1 % av patienterna som behandlades med amivantamab i kombination med lazertinib, inklusive 1 (0,2 %) fall med dödlig utgång. Patienter med historik av ILD, läkemedelsinducerad ILD eller steroidbehandlad strålningspneumonit i anamnesen, liksom patienter med belägg för kliniskt aktiv ILD, uteslöts från den kliniska studien (se avsnitt 4.4).
Venösa tromboemboliska (VTE) händelser vid samtidig användning med lazertinib
När Rybrevant används i kombination med lazertinib rapporterades VTE‑händelser, inklusive djup ventrombos (DVT) och lungemboli (PE), hos 37 % av de 421 patienter som fick Rybrevant i kombination med lazertinib. De flesta fallen var av grad 1 eller 2, medan händelser av grad 3–4 inträffade hos 11 % av patienterna som fick Rybrevant i kombination med lazertinib och dödsfall inträffade hos 0,5 % av patienterna som fick Rybrevant i kombination med lazertinib. För information om profylaktiska antikoagulantia och hantering av VTE‑händelser, se avsnitt 4.2 och 4.4.
Hos patienter som fick Rybrevant i kombination med lazertinib var mediantiden till första VTE‑händelsen 84 dagar. VTE‑händelser ledde till att behandlingen med Rybrevant avbröts hos 2,9 % av patienterna.
Hud- och nagelreaktioner
Utslag (inklusive akneliknande dermatit), klåda och torr hud förekom hos 76 % av patienterna som behandlades med amivantamab ensamt. De flesta fallen var av grad 1 eller 2; utslag av grad 3 förekom hos 3 % av patienterna. Utslag som ledde till utsättning av amivantamab förekom hos 0,3 % av patienterna. Utslagen uppträdde vanligtvis inom behandlingens första 4 veckor, med en mediantid till uppkomst på 14 dagar. Nageltoxicitet förekom hos patienter behandlade med amivantamab. De flesta fallen var av grad 1 eller 2; nageltoxicitet av grad 3 förekom hos 1,8 % av patienterna.
Utslag (inklusive dermatit akneiform) förekom hos 83 % av patienter som behandlats med amivantamab i kombination med karboplatin och pemetrexed. De flesta fallen var av grad 1 eller 2, med utslag av grad 3 hos 14 % av patienterna. Utslag som ledde till att amivantamab sattes ut förekom hos 2,3 % av patienterna. Utslagen utvecklades vanligtvis inom de första fyra veckorna av behandling med en mediantid till debut på 14 dagar. Nageltoxicitet förekom hos patienter som behandlats med amivantamab i kombination med karboplatin och pemetrexed. De flesta var av grad 1 eller 2 med nageltoxicitet av grad 3 hos 4,3 % av patienterna (se avsnitt 4.4).
Utslag (inklusive akneiform dermatit) förekom hos 89 % av patienterna som behandlades med amivantamab i kombination med lazertinib. De flesta fallen var av grad 1 eller 2, medan utslag av grad 3 förekom hos 27 % av patienterna. Utslag som ledde till utsättning av amivantamab förekom hos 5,5 % av patienterna. Utslagen uppträdde vanligtvis inom behandlingens första 4 veckor, med en mediantid till uppkomst på 14 dagar. Nageltoxicitet förekom hos patienter som behandlades med amivantamab i kombination med lazertinib. De flesta fallen var av grad 1 eller 2; nageltoxicitet av grad 3 förekom hos 11 % av patienterna (se avsnitt 4.4).
En fas 2-studie på patienter som behandlades med Rybrevant i kombination med lazertinib genomfördes för att utvärdera användningen av profylaktisk behandling med ett oralt antibiotikum, ett topikalt antibiotikum i hårbotten, en fuktighetskräm i ansiktet och på hela kroppen (utom hårbotten) samt ett antiseptiskt medel på händer och fötter (se avsnitt 4.2 och 4.4). En minskning av förekomsten av dermatologiska biverkningar av ≥ grad 2 under de första 12 veckorna av behandlingen påvisades, jämfört med den dermatologiska standardbehandling som används enligt klinisk praxis (38,6 % jämfört med 76,5 %, p < 0,0001). Dessutom sågs en minskning av biverkningar av ≥ grad 2 i hårbotten under de första 12 veckorna av behandlingen (8,6 % jämfört med 29,4 %) samt en lägre förekomst av dosreduktioner (7,1 % jämfört med 19,1 %), dosavbrott (15,7 % jämfört med 33,8 %) och behandlingsavbrott (1,4 % jämfört med 4,4 %) på grund av dermatologiska biverkningar.
Ögonsjukdomar
Ögonsjukdomar, inklusive keratit (0,5 %), förekom hos 9 % av patienterna som behandlades med amivantamab ensamt. Andra rapporterade biverkningar inkluderade tillväxt av ögonfransar, nedsatt syn och andra ögonsjukdomar. Alla händelser var av grad 1–2.
Ögonsjukdomar, inklusive keratit (0,3 %), förekom hos 11 % av patienterna som behandlades med amivantamab i kombination med karboplatin och pemetrexed. Andra rapporterade biverkningar inkluderade tillväxt av ögonfransar, nedsatt syn, uveit och andra ögonsjukdomar. Alla händelser var av grad 1–2 (se avsnitt 4.4).
Ögonsjukdomar, inklusive keratit (2,6 %), förekom hos patienter som behandlats med amivantamab i kombination med lazertinib. Andra rapporterade biverkningar var tillväxt av ögonfransar, synnedsättning och andra ögonsjukdomar. De flesta händelser var av grad 1‑2 (se avsnitt 4.4).
Särskilda populationer
Äldre
Det finns begränsade kliniska data för amivantamab hos patienter som är 75 år och äldre (se avsnitt 5.1). Det har inte observerats några övergripande skillnader i säkerhet mellan patienter som är ≥ 65 år och patienter som är < 65 år.
Immunogenicitet
I likhet med alla terapeutiska proteiner, finns det en potential för immunogenicitet. I kliniska studier där patienter med lokalt avancerad eller metastatisk icke-småcellig lungcancer behandlades med amivantamab, testade 4 av de 1 862 (0,2 %) deltagare som behandlades med Rybrevant och kunde utvärderas för förekomst av antikroppar mot läkemedel positivt för behandlingsrelaterade antikroppar mot amivantamab. Inga tecken sågs på förändrad farmakokinetik, effekt eller säkerhetsprofil, på grund av antikroppar mot amivantamab.
Rapportering av misstänkta biverkningar
Ingen högsta tolererade dos fastställdes i en klinisk studie, där patienter fick upp till 2 100 mg administrerat intravenöst. Det finns ingen känd specifik antidot mot överdosering av amivantamab. Vid överdosering ska behandlingen med Rybrevant stoppas och patienten ska övervakas med avseende på tecken eller symtom på biverkningar. Lämpliga allmänna stödåtgärder ska omedelbart vidtas tills den kliniska toxiciteten har minskat eller försvunnit.
Klinisk effekt och säkerhet
Tidigare obehandlad NSCLC med EGFR exon 19‑deletion eller substitutionsmutation L858R i exon 21 (MARIPOSA)
NSC3003 (MARIPOSA) är en randomiserad, öppen multicenterstudie i fas 3 med aktiv kontroll som utvärderar effekt och säkerhet för Rybrevant i kombination med lazertinib jämfört med osimertinib som monoterapi vid första linjens behandling av patienter med EGFR-muterad lokalt avancerad eller metastaserad icke-småcellig lungcancer (NSCLC) som inte är mottaglig för kurativ behandling. Patientproverna måste ha en av de två vanliga EGFR-mutationerna (exon 19-deletion eller substitutionsmutation L858R i exon 21), som identifierats med lokala tester. Prover på tumörvävnad (94 %) och/eller plasma (6 %) från alla patienter testades lokalt för att fastställa EGFR exon 19-deletion och/eller substitutionsmutation L858R i exon 21 med hjälp av Polymerase Chain Reaction (PCR) hos 65 % av patienterna och Next generation Sequencing (NGS) hos 35 % av patienterna.
Totalt 1 074 patienter randomiserades (2:2:1) till att få Rybrevant i kombination med lazertinib, osimertinib som monoterapi eller lazertinib som monoterapi fram till sjukdomsprogression eller oacceptabel toxicitet. Rybrevant administrerades intravenöst med 1 050 mg (för patienter <80 kg) eller 1 400 mg (för patienter ≥80 kg) en gång i veckan i 4 veckor, därefter varannan vecka med början vecka 5. Lazertinib administrerades med 240 mg oralt en gång dagligen. Osimertinib administrerades oralt i en dos på 80 mg en gång dagligen. Randomiseringen stratifierades efter EGFR-mutationstyp (exon 19-deletion eller substitutionsmutation L858R i exon 21), etnicitet (asiatisk eller icke-asiatisk) och tidigare hjärnmetastaser (ja eller nej).
Demografiska data och sjukdomskarakteristika vid baseline var balanserade mellan behandlingsarmarna. Medianåldern var 63 år (intervall: 25–88) med 45 % av patienterna ≥65 år; 62 % var kvinnor; 59 % var asiater och 38 % var vita. Vid baseline var funktionsstatus 0 (34 %) eller 1 (66 %) enligt Eastern Cooperative Oncology Group (ECOG); 69 % hade aldrig rökt; 41 % hade tidigare haft hjärnmetastaser och 90 % hade cancer i stadie IV vid första diagnos. När det gäller EGFR-mutationsstatus var 60 % exon 19-deletion och 40 % substitutionsmutation L858R i exon 21.
Rybrevant i kombination med lazertinib visade en statistiskt signifikant förbättring av progressionsfri överlevnad (PFS) enligt BICR‑bedömning.
Den slutliga analysen av OS visade en statistiskt signifikant förbättring i OS för Rybrevant i kombination med lazertinib jämfört med osimertinib (se tabell 10 och figur 2).
Figur 1: Kaplan-Meier-kurva av PFS hos tidigare obehandlade patienter med NSCLC enligt BICR-bedömning
Figur 2: Kaplan-Meier-kurva för OS hos tidigare obehandlade NSCLC-patienter
Intrakraniell ORR och DOR enligt BICR var förutbestämda effektmått i MARIPOSA. I undergruppen av patienter med intrakraniella lesioner vid baseline visade kombinationen av Rybrevant och lazertinib liknande intrakraniell ORR som kontrollgruppen. Enligt protokoll genomgick alla patienter i MARIPOSA på varandra följande magnetkameraundersökningar (MR) av hjärnan för att bedöma intrakraniellt svar och varaktighet. Resultaten sammanfattas i tabell 11.
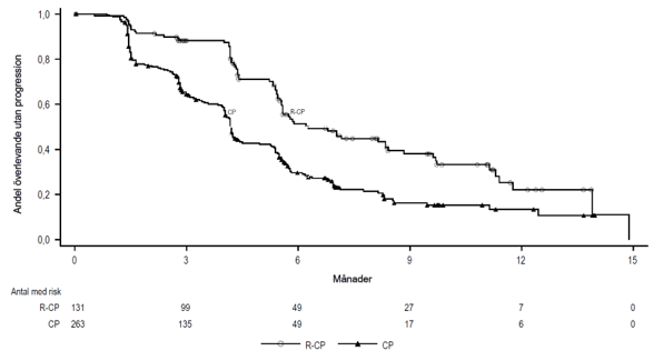
Tidigare behandlad NSCLC med EGFR exon 19-deletion eller substitutionsmutation L858R i exon 21 (MARIPOSA‑2)
MARIPOSA‑2 är en randomiserad (2:2:1), öppen, multicenterstudie i fas 3 som genomförs på patienter med lokalt avancerad eller metastaserande NSCLC med EGFR exon 19-deletion eller substitionsmutation L858R i exon 21 (mutationstestning kan ha utförts vid eller efter tidpunkten för diagnos av lokalt avancerad eller metastaserad sjukdom. Testningen behövde inte upprepas vid tidpunkten för studiestart när EGFR-mutationsstatus tidigare hade fastställts) efter svikt på tidigare behandling inklusive tredje generationens EGFR-tyrosinkinashämmare (TKI). Totalt 657 patienter randomiserades i studien, där 263 fick karboplatin och pemetrexed (CP); och 131 fick Rybrevant i kombination med karboplatin och pemetrexed (Rybrevant-CP). Dessutom randomiserades 263 patienter till att få Rybrevant i kombination med lazertinib, karboplatin och pemetrexed i en separat arm av studien. Rybrevant administrerades intravenöst med 1 400 mg (hos patienter < 80 kg) eller 1 750 mg (hos patienter≥80 kg) en gång i veckan under 4 veckor, därefter var tredje vecka med en dos på 1 750 mg (hos patienter < 80 kg) eller 2 100 mg (hos patienter ≥ 80 kg), med start i vecka 7 och fram till sjukdomsprogression eller oacceptabel toxicitet. Karboplatin administrerades intravenöst med en area under koncentrationskurvan på 5 mg/ml per minut (AUC 5) en gång var tredje vecka i upp till 12 veckor. Pemetrexed adminstrerades intravenöst med 500 mg/m2 en gång var tredje vecka tills sjudomsprogression eller oacceptabel toxicitet uppstod.
Patienter stratifierades efter behandlingslinje med osimertinib (första linjen eller andra linjen), förekomst av hjärnmetastaser (ja eller nej) och asiatiskt ursprung (ja eller nej).
Av de 394 patienterna som randomiserades till Rybrevant-CP-armen eller CP-armen var medianåldern 62 (intervall 31–85) år, där 38 % av patienterna var ≥ 65 år; 60 % var kvinnor, 48 % var asiater och 46 % var vita. Vid behandlingsstart var Eastern Cooperative Oncology Groups (ECOG)-funktionsstatus 0 (40 %) eller 1 (60 %); 66 % hade aldrig rökt; 45 % hade tidigare haft hjärnmetastaser, och 92 % hade stadie IV‑cancer vid första diagnosen.
Rybrevant i kombination med karboplatin och pemetrexed visade en statistiskt signifikant förbättring i progressionsfri överlevnad (PFS) jämfört med karboplatin och pemetexed, med en HR på 0,48 (95 % KI: 0,36; 0,64; p < 0,0001). Vid tiden för den andra interimanalysen för OS, med en medianuppföljning på cirka 18,6 månader för Rybrevant-CP och cirka 17,8 månader för CP, var OS HR 0,73 (95 % KI: 0,54; 0,99; p = 0,0386). Detta var inte statistiskt signifikant (testat med en förspecificerad signifikansnivå på 0,0142).
Effektresultat sammanfattas i tabell 12.
Tabell 12: Effektresultat i MARIPOSA-2
KI = konfidensintervall
NE = kan inte uppskattas
PFS- DOR- och ORR-resultat är från datagränsvärde10 juli 2023, när hypotestestning och slutlig analys av dessa effektmått utfördes. OS-resultat är från datagränsvärde 26 april 2024 från den andra interim-OS-analysen.
a Hämtad från BICR
b P-värdet jämförs med en 2-sidig signifikansnivå på 0,0142. OS-resultaten är således inte signifikanta från och med den andra interimsanalysen.
Figur 3: Kaplan-Meier-kurva av PFS hos tidigare behandlade patienter med NSCLC via BICR-bedömning
PFS-fördelen med Rybrevant-CP jämfört med CP var konsekvent i alla fördefinierade subgrupper som analyserades, inklusive etnicitet, ålder, kön, historik av rökning och CNS-metastaser vid studiens början.
Figur 4: Kaplan-Meier-kurva av OS hos tidigare behandlade patienter med NSCLC
Effektdata intrakraniella metastaser
Patienter med asymtomatiska eller tidigare behandlade och stabila intrakraniella metastaser var kvalificerade att bli randomiserade i MARIPOSA-2.
Behandling med Rybrevant-CP förknippades med en numerisk ökning i intrakraniell ORR (23,3 % för Rybrevant-CP jämfört med 16,7 % för CP, oddskvot på 1,52; 95 % KI (0,51; 4,50), och intrakraniell DOR (13,3 månader; 95% KI (1,4; NE) i armen med Rybrevant-CP jämfört med 2,2 månader; 95% KI (1,4; NE) i CP-armen). Medianuppföljningstiden för Rybrevant-CP var cirka 18,6 månader.
Tidigare obehandlad icke-småcellig lungcancer (NSCLC) med insertionsmutationer i exon 20 (PAPILLON)
PAPILLON är en randomiserad, öppen, multicenterstudie i fas 3 som jämför behandling med Rybrevant i kombination med karboplatin och pemetrexed med enbart kemoterapi (karboplatin och pemetrexed) hos patienter med behandlingsnaiv, lokalt avancerad eller metastaserad NSCLC med aktiverande insertionsmutationer i EGFR-genens exon 20. Tumörvävnadsprover (92,2 %) och/eller plasmaprover (7,8 %) från samtliga 308 patienter testades lokalt för att fastställa mutationsstatus för insertion i EGFR-genens exon 20 med hjälp av Next generation Sequencing (NGS) hos 55,5 % av patienterna och/eller Polymerase Chain Reaction (PCR) hos 44,5 % av patienterna. Central testning utfördes också med hjälp av AmoyDx® LC10-vävnadstest, Thermo Fisher Oncomine Dx Target Test och Guardant 360® CDx-plasmatest.
Patienter med hjärnmetastaser vid screening kunde rekryteras till studien när de var definitivt behandlade, kliniskt stabila, symtomfria och utan kortikosteroidbehandling i minst 2 veckor före randomiseringen.
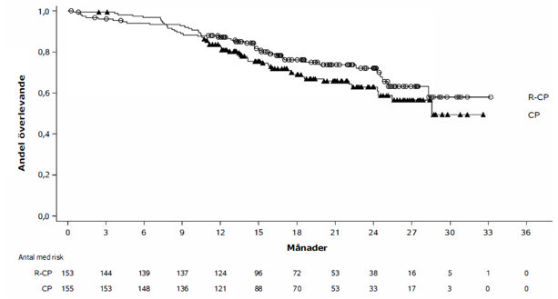
Rybrevant administrerades intravenöst med 1 400 mg (hos patienter < 80 kg) eller 1 750 mg (hos patienter ≥ 80 kg) en gång i veckan under 4 veckor, därefter var tredje vecka med en dos på 1 750 mg (hos patienter < 80 kg) eller 2 100 mg (hos patienter ≥ 80 kg) med start vecka 7 tills sjukdomsprogression eller oacceptabel toxicitet. Karboplatin administrerades intravenöst med en area under koncentrationskurvan på 5 mg/ml per minut (AUC 5) en gång var tredje vecka i upp till 12 veckor. Pemetrexed administrerades intravenöst med 500 mg/m2 en gång var tredje vecka tills sjukdomsprogression eller oacceptabel toxicitet uppstod. Randomiseringen stratifierades efter ECOG-funktionsstatus (0 eller 1), och tidigare hjärnmetastaser (ja eller nej). Patienter som randomiserats till karboplatin och pemetrexed-armen och som hade bekräftad sjukdomsprogression fick gå över till att få Rybrevant som monoterapi. Totalt 308 försökspersoner randomiserades (1:1) till Rybrevant i kombination med karboplatin och pemetrexed (N = 153) eller karboplatin och pemetrexed (N = 155). Medianåldern var 62 år (intervall: 27 till 92), med 39 % av deltagarna ≥ 65 år; 58 % var kvinnor; 61 % var asiater och 36 % var vita. Vid behandlingsstart var Eastern Cooperative Oncology Groups (ECOG)-funktionsstatus 0 (35 %) eller 1 (64 %), 58 % hade aldrig rökt, 23 % hade tidigare haft hjärnmetastaser och 84 % hade stadie IV‑cancer vid första diagnosen.
Det primära effektresultatet för PAPILLON var progressionsfri överlevnad (PFS), utvärderat enligt BICR. Medianuppföljningen var 14,9 månader (intervall: 0,3 till 27,0).
Effektresultaten är sammanfattade i tabell 13.
Figur 5: Kaplan-Meier-kurva för PFS hos tidigare obehandlade patienter med NSCLC enligt BICR-bedömning
PFS-fördelen med Rybrevant i kombination med karboplatin och pemetrexed jämfört med karboplatin och pemetrexed var enhetlig för alla fördefinierade undergrupper med hjärnmetastaser vid studiestart (ja eller nej), ålder (< 65 eller ≥ 65), kön (man eller kvinna), ras (asiatisk eller icke-asiatisk), vikt (< 80 kg eller ≥ 80 kg), ECOG-funktionsstatus (0 eller 1) och rökhistorik (ja eller nej).
Figur 6: Kaplan-Meier-kurva för OS hos tidigare obehandlade NSCLC-patienter
Tidigare behandlad icke-småcellig lungcancer (NSCLC) med insertionsmutationer i exon 20 (CHRYSALIS)
CHRYSALIS är en öppen multicenterstudie med flera kohorter utförd för att utvärdera säkerheten och effekten av Rybrevant hos patienter med lokalt avancerad eller metastatisk icke-småcellig lungcancer (NSCLC). Effekten utvärderades hos 114 patienter med lokalt avancerad eller metastatisk NSCLC med insertionsmutationer i EGFR-genens exon 20, som progredierat under eller efter platinumbaserad kemoterapi. Mediantiden för uppföljning var 12,5 månader. Prover på tumörvävnad (93 %) och/eller plasma (10 %) för alla patienter testades lokalt för att fastställa status för insertionsmutation i EGFR-genens exon 20 med hjälp av Next Generation Sequencing (NGS) hos 46 % av patienterna och/eller Polymerase Chain Reaction (PCR) hos 41 % av patienterna; för 4 % av patienterna var testmetoderna inte specificerade. Patienter med obehandlade hjärnmetastaser eller en anamnes på ILD som krävt behandling med långverkande steroider eller andra immunhämmande medel under de senaste 2 åren rekryterades inte till studien. Rybrevant administrerades intravenöst med 1 050 mg till patienter som vägde < 80 kg eller 1 400 mg till patienter som vägde ≥ 80 kg, en gång i veckan i 4 veckor och därefter varannan vecka från vecka 5 till förlust av klinisk nytta eller uppkomst av oacceptabel toxicitet. Det primära effektmåttet var baserat på prövarens bedömning av total svarsfrekvens (ORR), definierad som bekräftat komplett svar (CR) eller partiellt svar (PR) baserat på RECIST v1.1. Dessutom bedömdes det primära effektmåttet genom en blindad oberoende central granskning (BICR). Sekundära effektmått inkluderade svarets varaktighet (DOR).
Medianåldern var 62 år (intervall: 36–84 år); 41% av patienterna var ≥ 65 år; 61 % var kvinnor; 52 % var asiater och 37 % var vita. Medianantalet av tidigare behandlingar var 2 (intervall: 1 till 7 behandlingar). Vid baseline hade 29 % funktionsstatus 0 enligt Eastern Cooperative Oncology Group (ECOG) och 70 % hade ECOG-funktionsstatus 1; 57 % hade aldrig rökt; 100 % hade cancer i stadium IV; och 25 % hade tidigare behandlats för hjärnmetastaser. Insertioner i exon 20 observerades vid 8 olika platser; de vanligaste var A767 (22 %), S768 (16 %), D770 (12 %) och N771 (11 %).
Effektresultaten är sammanfattade i tabell 14.
Antitumöraktivitet observerades i samtliga studerade subtyper av mutationer.
Äldre
Inga övergripande skillnader i effekt observerades mellan patienter ≥ 65 år och patienter < 65 år.
Pediatrisk population
Europeiska läkemedelsmyndigheten har beviljat undantag från kravet att skicka in studieresultat av Rybrevant för alla grupper av den pediatriska populationen för icke-småcellig lungcancer (information om pediatrisk användning finns i avsnitt 4.2).
Baserat på data för monoterapi med Rybrevant, ökar arean under plasmakoncentrationskurvan (AUC1 vecka) för amivantamab proportionellt över ett dosintervall från 350 mg till 1 750 mg.
Baserat på simuleringar från den populationsfarmakokinetiska modellen var AUC1 vecka ungefär 2,8 gånger högre efter den femte dosen med doseringar varannan vecka och 2,6 gånger högre efter den fjärde dosen för doseringar var tredje vecka. Steady state-koncentrationer av amivantamab uppnåddes vecka 13 både för doseringar var tredje och varannan vecka och den systemiska ackumuleringen var 1,9‑faldig.
Distribution
Baserat på individuella uppskattningar av PK‑parametrar för amivantamab i PK-populationsanalys är den geometriska genomsnittliga (CV%) totala distributionsvolymen 5,12 (27,8 %) liter efter administrering av rekommenderad dos Rybrevant.
Eliminering
Baserat på individuella uppskattningar av PK‑parametrar för amivantamab i PK-populationsanalys är geometriskt genomsnittligt (CV%) linjärt clearance (CL) och terminal halveringstid associerad med linjärt clearance 0,266 (30,4 %) liter/dag respektive 13,7 (31,9 %) dagar.
Särskilda populationer
Äldre
Inga kliniskt signifikanta skillnader i farmakokinetiken för amivantamab observerades baserat på ålder (21–88 år).
Nedsatt njurfunktion
Ingen kliniskt signifikant effekt på amivantamabs farmakokinetik observerades hos patienter med lätt (60 ≤ kreatininclearance [CrCl] < 90 ml/min), måttligt (29 ≤ CrCl < 60 ml/min) eller kraftigt (15 ≤ CrCl < 29 ml/min) nedsatt njurfunktion. Data för patienter med kraftigt nedsatt njurfunktion är begränsade (n=1), men det finns inga belägg för att dosjustering skulle krävas för dessa patienter.
Effekten av terminal njursjukdom (CrCl < 15 ml/min) på amivantamabs farmakokinetik är okänd.
Nedsatt leverfunktion
Det är osannolikt att förändringar i leverfunktionen har någon effekt på elimineringen av amivantamab eftersom IgG1-baserade molekyler som amivantamab inte metaboliseras genom levern.
Ingen kliniskt signifikant effekt på amivantamabs farmakokinetik observerades baserat på lätt [(totalt bilirubin ≤ ULN och AST > ULN) eller (ULN < totalt bilirubin ≤ 1,5 x ULN)] eller måttligt (1,5 × ULN < totalt bilirubin ≤ 3 × ULN och något AST) nedsatt leverfunktion. Data för patienter med måttligt nedsatt leverfunktion är begränsade (n=1), men det finns inget som tyder på att dosjustering krävs för dessa patienter. Effekten av kraftigt (totalt bilirubin > 3 gånger ULN) nedsatt leverfunktion på amivantamabs farmakokinetik är okänd.
Pediatrisk population
Farmakokinetiken för Rybrevant hos barn har inte undersökts.
Gängse studier avseende allmäntoxicitet visade inte några särskilda risker för människa.
Karcinogenicitet och mutagenicitet
Inga djurstudier har utförts för att fastställa den karcinogena potentialen hos amivantamab. Rutinmässiga genotoxicitets- och karcinogenicitetsstudier är i allmänhet inte tillämpliga på biologiska läkemedel, eftersom stora proteiner inte kan diffundera in i celler och inte kan interagera med DNA eller kromosomalt material.
Reproduktionstoxikologi
Inga djurstudier har utförts för att utvärdera effekterna på reproduktion och fosterutveckling, men baserat på dess verkningsmekanism kan amivantamab orsaka fosterskador eller utvecklingsanomalier. Som rapporteras i litteraturen kan reduktion, eliminering eller störning av embryofetal eller maternell EGFR-signalering förhindra implantation av embryo och orsaka förlust av embryo under olika stadier av graviditeten (genom effekter på placentans utveckling), orsaka utvecklingsanomalier i flera organ eller tidig död hos överlevande foster. På liknande sätt var utslagning av MET, eller dess ligand – hepatocyttillväxtfaktor (HGF), embryonalt dödlig på grund av allvarliga defekter i placentans utveckling, och foster uppvisade defekter i muskelutvecklingen i flera organ. Humant IgG1 är känt för att passera placentan, och därför har amivantamab potential att överföras från modern till fostret under dess utveckling.
Farmakoterapeutisk grupp: Monoklonala antikroppar och antikroppskonjugat, ATC-kod: L01FX18.
Verkningsmekanism
Amivantamab är en helt human IgG1-baserad bispecifik antikropp mot EGFR-MET med lågt fukosinnehåll och immuncellstyrande aktivitet, som riktar sig mot tumörer med aktiverande mutationer i EGFR-genen såsom exon 19-deletion, substitutionsmutation L858R i exon 21 och insertionsmutationer i exon 20. Amivantamab binds till de extracellulära domänerna på EGFR och MET.
Amivantamab stör signalfunktioner hos EGFR och MET genom att blockera ligandbindning och öka nedbrytningen av EGFR och MET, och förhindrar på så sätt tumörtillväxt och progression. Närvaron av EGFR och MET på tumörcellernas yta möjliggör även inriktning (”targeting”) mot dessa celler för destruktion genom immuneffektorceller, såsom NK-celler (natural killer cells) och makrofager, med antikroppsberoende cellmedierad cytotoxicitet (ADCC) respektive trogocytosmekanismer.
Farmakodynamisk effekt
Albumin
Amivantamab minskade koncentrationen av serumalbumin, en farmakodynamisk effekt av MET-hämning, vanligtvis under de första 8 veckorna (se avsnitt 4.8). Därefter stabiliserades albuminkoncentrationen under återstående delen av behandlingen med amivantamab.
Klinisk effekt och säkerhet
Tidigare obehandlad NSCLC med EGFR exon 19‑deletion eller substitutionsmutation L858R i exon 21 (MARIPOSA)
NSC3003 (MARIPOSA) är en randomiserad, öppen multicenterstudie i fas 3 med aktiv kontroll som utvärderar effekt och säkerhet för Rybrevant i kombination med lazertinib jämfört med osimertinib som monoterapi vid första linjens behandling av patienter med EGFR-muterad lokalt avancerad eller metastaserad icke-småcellig lungcancer (NSCLC) som inte är mottaglig för kurativ behandling. Patientproverna måste ha en av de två vanliga EGFR-mutationerna (exon 19-deletion eller substitutionsmutation L858R i exon 21), som identifierats med lokala tester. Prover på tumörvävnad (94 %) och/eller plasma (6 %) från alla patienter testades lokalt för att fastställa EGFR exon 19-deletion och/eller substitutionsmutation L858R i exon 21 med hjälp av Polymerase Chain Reaction (PCR) hos 65 % av patienterna och Next generation Sequencing (NGS) hos 35 % av patienterna.
Totalt 1 074 patienter randomiserades (2:2:1) till att få Rybrevant i kombination med lazertinib, osimertinib som monoterapi eller lazertinib som monoterapi fram till sjukdomsprogression eller oacceptabel toxicitet. Rybrevant administrerades intravenöst med 1 050 mg (för patienter <80 kg) eller 1 400 mg (för patienter ≥80 kg) en gång i veckan i 4 veckor, därefter varannan vecka med början vecka 5. Lazertinib administrerades med 240 mg oralt en gång dagligen. Osimertinib administrerades oralt i en dos på 80 mg en gång dagligen. Randomiseringen stratifierades efter EGFR-mutationstyp (exon 19-deletion eller substitutionsmutation L858R i exon 21), etnicitet (asiatisk eller icke-asiatisk) och tidigare hjärnmetastaser (ja eller nej).
Demografiska data och sjukdomskarakteristika vid baseline var balanserade mellan behandlingsarmarna. Medianåldern var 63 år (intervall: 25–88) med 45 % av patienterna ≥65 år; 62 % var kvinnor; 59 % var asiater och 38 % var vita. Vid baseline var funktionsstatus 0 (34 %) eller 1 (66 %) enligt Eastern Cooperative Oncology Group (ECOG); 69 % hade aldrig rökt; 41 % hade tidigare haft hjärnmetastaser och 90 % hade cancer i stadie IV vid första diagnos. När det gäller EGFR-mutationsstatus var 60 % exon 19-deletion och 40 % substitutionsmutation L858R i exon 21.
Rybrevant i kombination med lazertinib visade en statistiskt signifikant förbättring av progressionsfri överlevnad (PFS) enligt BICR‑bedömning.
Den slutliga analysen av OS visade en statistiskt signifikant förbättring i OS för Rybrevant i kombination med lazertinib jämfört med osimertinib (se tabell 10 och figur 2).
Figur 1: Kaplan-Meier-kurva av PFS hos tidigare obehandlade patienter med NSCLC enligt BICR-bedömning
Figur 2: Kaplan-Meier-kurva för OS hos tidigare obehandlade NSCLC-patienter
Intrakraniell ORR och DOR enligt BICR var förutbestämda effektmått i MARIPOSA. I undergruppen av patienter med intrakraniella lesioner vid baseline visade kombinationen av Rybrevant och lazertinib liknande intrakraniell ORR som kontrollgruppen. Enligt protokoll genomgick alla patienter i MARIPOSA på varandra följande magnetkameraundersökningar (MR) av hjärnan för att bedöma intrakraniellt svar och varaktighet. Resultaten sammanfattas i tabell 11.
Tidigare behandlad NSCLC med EGFR exon 19-deletion eller substitutionsmutation L858R i exon 21 (MARIPOSA‑2)
MARIPOSA‑2 är en randomiserad (2:2:1), öppen, multicenterstudie i fas 3 som genomförs på patienter med lokalt avancerad eller metastaserande NSCLC med EGFR exon 19-deletion eller substitionsmutation L858R i exon 21 (mutationstestning kan ha utförts vid eller efter tidpunkten för diagnos av lokalt avancerad eller metastaserad sjukdom. Testningen behövde inte upprepas vid tidpunkten för studiestart när EGFR-mutationsstatus tidigare hade fastställts) efter svikt på tidigare behandling inklusive tredje generationens EGFR-tyrosinkinashämmare (TKI). Totalt 657 patienter randomiserades i studien, där 263 fick karboplatin och pemetrexed (CP); och 131 fick Rybrevant i kombination med karboplatin och pemetrexed (Rybrevant-CP). Dessutom randomiserades 263 patienter till att få Rybrevant i kombination med lazertinib, karboplatin och pemetrexed i en separat arm av studien. Rybrevant administrerades intravenöst med 1 400 mg (hos patienter < 80 kg) eller 1 750 mg (hos patienter≥80 kg) en gång i veckan under 4 veckor, därefter var tredje vecka med en dos på 1 750 mg (hos patienter < 80 kg) eller 2 100 mg (hos patienter ≥ 80 kg), med start i vecka 7 och fram till sjukdomsprogression eller oacceptabel toxicitet. Karboplatin administrerades intravenöst med en area under koncentrationskurvan på 5 mg/ml per minut (AUC 5) en gång var tredje vecka i upp till 12 veckor. Pemetrexed adminstrerades intravenöst med 500 mg/m2 en gång var tredje vecka tills sjudomsprogression eller oacceptabel toxicitet uppstod.
Patienter stratifierades efter behandlingslinje med osimertinib (första linjen eller andra linjen), förekomst av hjärnmetastaser (ja eller nej) och asiatiskt ursprung (ja eller nej).
Av de 394 patienterna som randomiserades till Rybrevant-CP-armen eller CP-armen var medianåldern 62 (intervall 31–85) år, där 38 % av patienterna var ≥ 65 år; 60 % var kvinnor, 48 % var asiater och 46 % var vita. Vid behandlingsstart var Eastern Cooperative Oncology Groups (ECOG)-funktionsstatus 0 (40 %) eller 1 (60 %); 66 % hade aldrig rökt; 45 % hade tidigare haft hjärnmetastaser, och 92 % hade stadie IV‑cancer vid första diagnosen.
Rybrevant i kombination med karboplatin och pemetrexed visade en statistiskt signifikant förbättring i progressionsfri överlevnad (PFS) jämfört med karboplatin och pemetexed, med en HR på 0,48 (95 % KI: 0,36; 0,64; p < 0,0001). Vid tiden för den andra interimanalysen för OS, med en medianuppföljning på cirka 18,6 månader för Rybrevant-CP och cirka 17,8 månader för CP, var OS HR 0,73 (95 % KI: 0,54; 0,99; p = 0,0386). Detta var inte statistiskt signifikant (testat med en förspecificerad signifikansnivå på 0,0142).
Effektresultat sammanfattas i tabell 12.
Tabell 12: Effektresultat i MARIPOSA-2
KI = konfidensintervall
NE = kan inte uppskattas
PFS- DOR- och ORR-resultat är från datagränsvärde10 juli 2023, när hypotestestning och slutlig analys av dessa effektmått utfördes. OS-resultat är från datagränsvärde 26 april 2024 från den andra interim-OS-analysen.
a Hämtad från BICR
b P-värdet jämförs med en 2-sidig signifikansnivå på 0,0142. OS-resultaten är således inte signifikanta från och med den andra interimsanalysen.
Figur 3: Kaplan-Meier-kurva av PFS hos tidigare behandlade patienter med NSCLC via BICR-bedömning
PFS-fördelen med Rybrevant-CP jämfört med CP var konsekvent i alla fördefinierade subgrupper som analyserades, inklusive etnicitet, ålder, kön, historik av rökning och CNS-metastaser vid studiens början.
Figur 4: Kaplan-Meier-kurva av OS hos tidigare behandlade patienter med NSCLC
Effektdata intrakraniella metastaser
Patienter med asymtomatiska eller tidigare behandlade och stabila intrakraniella metastaser var kvalificerade att bli randomiserade i MARIPOSA-2.
Behandling med Rybrevant-CP förknippades med en numerisk ökning i intrakraniell ORR (23,3 % för Rybrevant-CP jämfört med 16,7 % för CP, oddskvot på 1,52; 95 % KI (0,51; 4,50), och intrakraniell DOR (13,3 månader; 95% KI (1,4; NE) i armen med Rybrevant-CP jämfört med 2,2 månader; 95% KI (1,4; NE) i CP-armen). Medianuppföljningstiden för Rybrevant-CP var cirka 18,6 månader.
Tidigare obehandlad icke-småcellig lungcancer (NSCLC) med insertionsmutationer i exon 20 (PAPILLON)
PAPILLON är en randomiserad, öppen, multicenterstudie i fas 3 som jämför behandling med Rybrevant i kombination med karboplatin och pemetrexed med enbart kemoterapi (karboplatin och pemetrexed) hos patienter med behandlingsnaiv, lokalt avancerad eller metastaserad NSCLC med aktiverande insertionsmutationer i EGFR-genens exon 20. Tumörvävnadsprover (92,2 %) och/eller plasmaprover (7,8 %) från samtliga 308 patienter testades lokalt för att fastställa mutationsstatus för insertion i EGFR-genens exon 20 med hjälp av Next generation Sequencing (NGS) hos 55,5 % av patienterna och/eller Polymerase Chain Reaction (PCR) hos 44,5 % av patienterna. Central testning utfördes också med hjälp av AmoyDx® LC10-vävnadstest, Thermo Fisher Oncomine Dx Target Test och Guardant 360® CDx-plasmatest.
Patienter med hjärnmetastaser vid screening kunde rekryteras till studien när de var definitivt behandlade, kliniskt stabila, symtomfria och utan kortikosteroidbehandling i minst 2 veckor före randomiseringen.
Rybrevant administrerades intravenöst med 1 400 mg (hos patienter < 80 kg) eller 1 750 mg (hos patienter ≥ 80 kg) en gång i veckan under 4 veckor, därefter var tredje vecka med en dos på 1 750 mg (hos patienter < 80 kg) eller 2 100 mg (hos patienter ≥ 80 kg) med start vecka 7 tills sjukdomsprogression eller oacceptabel toxicitet. Karboplatin administrerades intravenöst med en area under koncentrationskurvan på 5 mg/ml per minut (AUC 5) en gång var tredje vecka i upp till 12 veckor. Pemetrexed administrerades intravenöst med 500 mg/m2 en gång var tredje vecka tills sjukdomsprogression eller oacceptabel toxicitet uppstod. Randomiseringen stratifierades efter ECOG-funktionsstatus (0 eller 1), och tidigare hjärnmetastaser (ja eller nej). Patienter som randomiserats till karboplatin och pemetrexed-armen och som hade bekräftad sjukdomsprogression fick gå över till att få Rybrevant som monoterapi. Totalt 308 försökspersoner randomiserades (1:1) till Rybrevant i kombination med karboplatin och pemetrexed (N = 153) eller karboplatin och pemetrexed (N = 155). Medianåldern var 62 år (intervall: 27 till 92), med 39 % av deltagarna ≥ 65 år; 58 % var kvinnor; 61 % var asiater och 36 % var vita. Vid behandlingsstart var Eastern Cooperative Oncology Groups (ECOG)-funktionsstatus 0 (35 %) eller 1 (64 %), 58 % hade aldrig rökt, 23 % hade tidigare haft hjärnmetastaser och 84 % hade stadie IV‑cancer vid första diagnosen.
Det primära effektresultatet för PAPILLON var progressionsfri överlevnad (PFS), utvärderat enligt BICR. Medianuppföljningen var 14,9 månader (intervall: 0,3 till 27,0).
Effektresultaten är sammanfattade i tabell 13.
Figur 5: Kaplan-Meier-kurva för PFS hos tidigare obehandlade patienter med NSCLC enligt BICR-bedömning
PFS-fördelen med Rybrevant i kombination med karboplatin och pemetrexed jämfört med karboplatin och pemetrexed var enhetlig för alla fördefinierade undergrupper med hjärnmetastaser vid studiestart (ja eller nej), ålder (< 65 eller ≥ 65), kön (man eller kvinna), ras (asiatisk eller icke-asiatisk), vikt (< 80 kg eller ≥ 80 kg), ECOG-funktionsstatus (0 eller 1) och rökhistorik (ja eller nej).
Figur 6: Kaplan-Meier-kurva för OS hos tidigare obehandlade NSCLC-patienter
Tidigare behandlad icke-småcellig lungcancer (NSCLC) med insertionsmutationer i exon 20 (CHRYSALIS)
CHRYSALIS är en öppen multicenterstudie med flera kohorter utförd för att utvärdera säkerheten och effekten av Rybrevant hos patienter med lokalt avancerad eller metastatisk icke-småcellig lungcancer (NSCLC). Effekten utvärderades hos 114 patienter med lokalt avancerad eller metastatisk NSCLC med insertionsmutationer i EGFR-genens exon 20, som progredierat under eller efter platinumbaserad kemoterapi. Mediantiden för uppföljning var 12,5 månader. Prover på tumörvävnad (93 %) och/eller plasma (10 %) för alla patienter testades lokalt för att fastställa status för insertionsmutation i EGFR-genens exon 20 med hjälp av Next Generation Sequencing (NGS) hos 46 % av patienterna och/eller Polymerase Chain Reaction (PCR) hos 41 % av patienterna; för 4 % av patienterna var testmetoderna inte specificerade. Patienter med obehandlade hjärnmetastaser eller en anamnes på ILD som krävt behandling med långverkande steroider eller andra immunhämmande medel under de senaste 2 åren rekryterades inte till studien. Rybrevant administrerades intravenöst med 1 050 mg till patienter som vägde < 80 kg eller 1 400 mg till patienter som vägde ≥ 80 kg, en gång i veckan i 4 veckor och därefter varannan vecka från vecka 5 till förlust av klinisk nytta eller uppkomst av oacceptabel toxicitet. Det primära effektmåttet var baserat på prövarens bedömning av total svarsfrekvens (ORR), definierad som bekräftat komplett svar (CR) eller partiellt svar (PR) baserat på RECIST v1.1. Dessutom bedömdes det primära effektmåttet genom en blindad oberoende central granskning (BICR). Sekundära effektmått inkluderade svarets varaktighet (DOR).
Medianåldern var 62 år (intervall: 36–84 år); 41% av patienterna var ≥ 65 år; 61 % var kvinnor; 52 % var asiater och 37 % var vita. Medianantalet av tidigare behandlingar var 2 (intervall: 1 till 7 behandlingar). Vid baseline hade 29 % funktionsstatus 0 enligt Eastern Cooperative Oncology Group (ECOG) och 70 % hade ECOG-funktionsstatus 1; 57 % hade aldrig rökt; 100 % hade cancer i stadium IV; och 25 % hade tidigare behandlats för hjärnmetastaser. Insertioner i exon 20 observerades vid 8 olika platser; de vanligaste var A767 (22 %), S768 (16 %), D770 (12 %) och N771 (11 %).
Effektresultaten är sammanfattade i tabell 14.
Antitumöraktivitet observerades i samtliga studerade subtyper av mutationer.
Äldre
Inga övergripande skillnader i effekt observerades mellan patienter ≥ 65 år och patienter < 65 år.
Pediatrisk population
Europeiska läkemedelsmyndigheten har beviljat undantag från kravet att skicka in studieresultat av Rybrevant för alla grupper av den pediatriska populationen för icke-småcellig lungcancer (information om pediatrisk användning finns i avsnitt 4.2).
Baserat på data för monoterapi med Rybrevant, ökar arean under plasmakoncentrationskurvan (AUC1 vecka) för amivantamab proportionellt över ett dosintervall från 350 mg till 1 750 mg.
Baserat på simuleringar från den populationsfarmakokinetiska modellen var AUC1 vecka ungefär 2,8 gånger högre efter den femte dosen med doseringar varannan vecka och 2,6 gånger högre efter den fjärde dosen för doseringar var tredje vecka. Steady state-koncentrationer av amivantamab uppnåddes vecka 13 både för doseringar var tredje och varannan vecka och den systemiska ackumuleringen var 1,9‑faldig.
Distribution
Baserat på individuella uppskattningar av PK‑parametrar för amivantamab i PK-populationsanalys är den geometriska genomsnittliga (CV%) totala distributionsvolymen 5,12 (27,8 %) liter efter administrering av rekommenderad dos Rybrevant.
Eliminering
Baserat på individuella uppskattningar av PK‑parametrar för amivantamab i PK-populationsanalys är geometriskt genomsnittligt (CV%) linjärt clearance (CL) och terminal halveringstid associerad med linjärt clearance 0,266 (30,4 %) liter/dag respektive 13,7 (31,9 %) dagar.
Särskilda populationer
Äldre
Inga kliniskt signifikanta skillnader i farmakokinetiken för amivantamab observerades baserat på ålder (21–88 år).
Nedsatt njurfunktion
Ingen kliniskt signifikant effekt på amivantamabs farmakokinetik observerades hos patienter med lätt (60 ≤ kreatininclearance [CrCl] < 90 ml/min), måttligt (29 ≤ CrCl < 60 ml/min) eller kraftigt (15 ≤ CrCl < 29 ml/min) nedsatt njurfunktion. Data för patienter med kraftigt nedsatt njurfunktion är begränsade (n=1), men det finns inga belägg för att dosjustering skulle krävas för dessa patienter.
Effekten av terminal njursjukdom (CrCl < 15 ml/min) på amivantamabs farmakokinetik är okänd.
Nedsatt leverfunktion
Det är osannolikt att förändringar i leverfunktionen har någon effekt på elimineringen av amivantamab eftersom IgG1-baserade molekyler som amivantamab inte metaboliseras genom levern.
Ingen kliniskt signifikant effekt på amivantamabs farmakokinetik observerades baserat på lätt [(totalt bilirubin ≤ ULN och AST > ULN) eller (ULN < totalt bilirubin ≤ 1,5 x ULN)] eller måttligt (1,5 × ULN < totalt bilirubin ≤ 3 × ULN och något AST) nedsatt leverfunktion. Data för patienter med måttligt nedsatt leverfunktion är begränsade (n=1), men det finns inget som tyder på att dosjustering krävs för dessa patienter. Effekten av kraftigt (totalt bilirubin > 3 gånger ULN) nedsatt leverfunktion på amivantamabs farmakokinetik är okänd.
Pediatrisk population
Farmakokinetiken för Rybrevant hos barn har inte undersökts.
Gängse studier avseende allmäntoxicitet visade inte några särskilda risker för människa.
Karcinogenicitet och mutagenicitet
Inga djurstudier har utförts för att fastställa den karcinogena potentialen hos amivantamab. Rutinmässiga genotoxicitets- och karcinogenicitetsstudier är i allmänhet inte tillämpliga på biologiska läkemedel, eftersom stora proteiner inte kan diffundera in i celler och inte kan interagera med DNA eller kromosomalt material.
Reproduktionstoxikologi
Inga djurstudier har utförts för att utvärdera effekterna på reproduktion och fosterutveckling, men baserat på dess verkningsmekanism kan amivantamab orsaka fosterskador eller utvecklingsanomalier. Som rapporteras i litteraturen kan reduktion, eliminering eller störning av embryofetal eller maternell EGFR-signalering förhindra implantation av embryo och orsaka förlust av embryo under olika stadier av graviditeten (genom effekter på placentans utveckling), orsaka utvecklingsanomalier i flera organ eller tidig död hos överlevande foster. På liknande sätt var utslagning av MET, eller dess ligand – hepatocyttillväxtfaktor (HGF), embryonalt dödlig på grund av allvarliga defekter i placentans utveckling, och foster uppvisade defekter i muskelutvecklingen i flera organ. Humant IgG1 är känt för att passera placentan, och därför har amivantamab potential att överföras från modern till fostret under dess utveckling.
Kemisk och fysisk stabilitet vid användning har visats upp till 10 timmar vid förvaring i 15 °C - 25 °C i rumsbelysning. Ur ett mikrobiologiskt perspektiv ska produkten användas omedelbart, såvida inte spädningsmetoden utesluter risk för mikrobiell kontaminering. Om produkten inte används omedelbart, är förvaringstider och förvaringsbetingelser användarens ansvar.
Förvaras i kylskåp (2 °C - 8 °C).
Får ej frysas.
Förvaras i originalförpackningen. Ljuskänsligt.
Förvaringsanvisningar för läkemedlet efter spädning finns i avsnitt 6.3.
7 ml koncentrat i en injektionsflaska (glas typ 1) med propp (elastomer), försegling (aluminium) och snäpplock, innehållande 350 mg amivantamab.
Förpackningsstorlek: 1 injektionsflaska.
Förbered lösningen för intravenös infusion med aseptisk teknik enligt följande:
Beredning
Bestäm dosen som krävs och antal injektionsflaskor av Rybrevant som behövs baserat på patientens vikt vid behandlingsstart (se avsnitt 4.2). Varje injektionsflaska innehåller 350 mg amivantamab.
För dosering varannan vecka får patienter < 80 kg 1 050 mg och patienter ≥ 80 kg 1 400 mg en gång i veckan i totalt 4 doser, därefter varannan vecka med start vecka 5.
För dosering var tredje vecka får patienter < 80 kg 1 400 mg en gång i veckan i totalt 4 doser, därefter 1 750 mg var tredje vecka med start vecka 7 och patienter ≥ 80 kg 1 750 mg en gång i veckan i totalt 4 doser, därefter 2 100 mg var tredje vecka med start vecka 7.
Kontrollera att Rybrevant-lösningen är färglös till svagt gul. Använd inte lösningen om den är missfärgad eller om den innehåller synliga partiklar.
Dra upp och kassera en volym av antingen 50 mg/ml (5 %) glukoslösning eller natriumklorid 9 mg/ml (0,9 %) infusionslösning från en 250 ml infusionspåse, som är lika med den volym av Rybrevant-lösning som krävs och som ska tillsättas (kassera 7 ml spädningsvätska från infusionspåsen för varje injektionsflaska). Infusionspåsarna måste vara tillverkade av polyvinylklorid (PVC), polypropylen (PP), polyeten (PE) eller polyolefinblandning (PP+PE).
Dra upp 7 ml Rybrevant från varje injektionsflaska och tillsätt i infusionspåsen. Varje injektionsflaska innehåller en 0,5 ml överfyllning för att säkerställa tillräcklig extraherbar volym. Den slutliga volymen i infusionspåsen ska vara 250 ml. Kassera all oanvänd substans som finns kvar i injektionsflaskan.
Vänd försiktigt infusionspåsen för att blanda lösningen. Skaka inte.
Inspektera visuellt med avseende på partiklar och missfärgning före administrering. Använd inte om missfärgning eller synliga partiklar observeras.
Administrering
Administrera den utspädda lösningen genom intravenös infusion med hjälp av ett infusionsset utrustat med en flödesregulator och ett in-line, sterilt, icke-pyrogent, lågproteinbindande polyetersulfonfilter (PES) (porstorlek 0,22 eller 0,2 mikrometer). Administreringsset måste vara tillverkade av antingen polyuretan (PU), polybutadien (PBD), PVC, PP eller PE.
Administreringsset med filter måste fyllas med antingen 50 mg/ml (5 %) glukoslösning eller 9 mg/ml (0,9 %) natriumkloridlösning innan en Rybrevant-infusion påbörjas.
Infundera inte Rybrevant samtidigt med andra medel i samma intravenösa infart.
Den utspädda lösningen ska administreras inom 10 timmar (inklusive infusionstid) vid rumstemperatur (15 °C - 25 °C) och i rumsbelysning.
På grund av frekvensen av infusionsrelaterade reaktioner vid den första dosen, ska amivantamab infunderas via en perifer ven vecka 1 och vecka 2. Efterföljande veckor, då risken för infusionsrelaterade reaktioner är lägre, kan infusionen administreras via en central kateter. Se infusionshastigheter i avsnitt 4.2.
Destruktion
Detta läkemedel är endast för engångsbruk och ej använt läkemedel, som inte administreras inom 10 timmar, ska kasseras enligt gällande anvisningar.
Dinatriumedetat (dihydrat)
L-Histidin
L-Histidinhydrokloridmonohydrat
L-Metionin
Polysorbat 80 (E433)
Sackaros
Vatten för injektionsvätskor
Detta läkemedel får inte blandas med andra läkemedel förutom de som nämns i avsnitt 6.6.
Oöppnad injektionsflaska
3 år
Efter spädning
Kemisk och fysisk stabilitet vid användning har visats upp till 10 timmar vid förvaring i 15 °C - 25 °C i rumsbelysning. Ur ett mikrobiologiskt perspektiv ska produkten användas omedelbart, såvida inte spädningsmetoden utesluter risk för mikrobiell kontaminering. Om produkten inte används omedelbart, är förvaringstider och förvaringsbetingelser användarens ansvar.
Förvaras i kylskåp (2 °C - 8 °C).
Får ej frysas.
Förvaras i originalförpackningen. Ljuskänsligt.
Förvaringsanvisningar för läkemedlet efter spädning finns i avsnitt 6.3.
7 ml koncentrat i en injektionsflaska (glas typ 1) med propp (elastomer), försegling (aluminium) och snäpplock, innehållande 350 mg amivantamab.
Förpackningsstorlek: 1 injektionsflaska.
Förbered lösningen för intravenös infusion med aseptisk teknik enligt följande:
Beredning
Bestäm dosen som krävs och antal injektionsflaskor av Rybrevant som behövs baserat på patientens vikt vid behandlingsstart (se avsnitt 4.2). Varje injektionsflaska innehåller 350 mg amivantamab.
För dosering varannan vecka får patienter < 80 kg 1 050 mg och patienter ≥ 80 kg 1 400 mg en gång i veckan i totalt 4 doser, därefter varannan vecka med start vecka 5.
För dosering var tredje vecka får patienter < 80 kg 1 400 mg en gång i veckan i totalt 4 doser, därefter 1 750 mg var tredje vecka med start vecka 7 och patienter ≥ 80 kg 1 750 mg en gång i veckan i totalt 4 doser, därefter 2 100 mg var tredje vecka med start vecka 7.
Kontrollera att Rybrevant-lösningen är färglös till svagt gul. Använd inte lösningen om den är missfärgad eller om den innehåller synliga partiklar.
Dra upp och kassera en volym av antingen 50 mg/ml (5 %) glukoslösning eller natriumklorid 9 mg/ml (0,9 %) infusionslösning från en 250 ml infusionspåse, som är lika med den volym av Rybrevant-lösning som krävs och som ska tillsättas (kassera 7 ml spädningsvätska från infusionspåsen för varje injektionsflaska). Infusionspåsarna måste vara tillverkade av polyvinylklorid (PVC), polypropylen (PP), polyeten (PE) eller polyolefinblandning (PP+PE).
Dra upp 7 ml Rybrevant från varje injektionsflaska och tillsätt i infusionspåsen. Varje injektionsflaska innehåller en 0,5 ml överfyllning för att säkerställa tillräcklig extraherbar volym. Den slutliga volymen i infusionspåsen ska vara 250 ml. Kassera all oanvänd substans som finns kvar i injektionsflaskan.
Vänd försiktigt infusionspåsen för att blanda lösningen. Skaka inte.
Inspektera visuellt med avseende på partiklar och missfärgning före administrering. Använd inte om missfärgning eller synliga partiklar observeras.
Administrering
Administrera den utspädda lösningen genom intravenös infusion med hjälp av ett infusionsset utrustat med en flödesregulator och ett in-line, sterilt, icke-pyrogent, lågproteinbindande polyetersulfonfilter (PES) (porstorlek 0,22 eller 0,2 mikrometer). Administreringsset måste vara tillverkade av antingen polyuretan (PU), polybutadien (PBD), PVC, PP eller PE.
Administreringsset med filter måste fyllas med antingen 50 mg/ml (5 %) glukoslösning eller 9 mg/ml (0,9 %) natriumkloridlösning innan en Rybrevant-infusion påbörjas.
Infundera inte Rybrevant samtidigt med andra medel i samma intravenösa infart.
Den utspädda lösningen ska administreras inom 10 timmar (inklusive infusionstid) vid rumstemperatur (15 °C - 25 °C) och i rumsbelysning.
På grund av frekvensen av infusionsrelaterade reaktioner vid den första dosen, ska amivantamab infunderas via en perifer ven vecka 1 och vecka 2. Efterföljande veckor, då risken för infusionsrelaterade reaktioner är lägre, kan infusionen administreras via en central kateter. Se infusionshastigheter i avsnitt 4.2.
Destruktion
Detta läkemedel är endast för engångsbruk och ej använt läkemedel, som inte administreras inom 10 timmar, ska kasseras enligt gällande anvisningar.
Produktresumén är företagets information om läkemedlet riktat till förskrivare och personal inom sjukvård och apotek. Dokumentet är godkänt av Läkemedelsverket eller den europeiska läkemedelsmyndigheten EMA i samband med att läkemedlet godkänns för marknadsföring.