Texten nedan gäller för:
Texten är baserad på produktresumé: 03/2026
Ytterligare information om detta läkemedel finns på Europeiska läkemedelsmyndighetens webbplats https://www.ema.europa.eu.
Texten är baserad på produktresumé: 03/2026
Ytterligare information om detta läkemedel finns på Europeiska läkemedelsmyndighetens webbplats https://www.ema.europa.eu.
Kerendia är avsett för behandling av kronisk njursjukdom (med albuminuri) associerad med typ 2‑diabetes hos vuxna.
För studieresultat avseende renala och kardiovaskulära händelser, se avsnitt Farmakodynamik.
Kerendia är avsett för behandling av symtomatisk kronisk hjärtsvikt med vänster kammares ejektionsfraktion (LVEF) ≥ 40 % hos vuxna.
Överkänslighet mot den aktiva substansen eller mot något hjälpämne som anges i avsnitt Innehåll.
Samtidig behandling med starka hämmare av CYP3A4 (se avsnitt Interaktioner), t.ex.:
itrakonazol
ketokonazol
ritonavir
nelfinavir
kobicistat
klaritromycin
telitromycin
nefazodon
Addisons sjukdom
Dosering
Kronisk njursjukdom associerad med typ 2-diabetes (T2D)
Rekommenderad måldos är 20 mg finerenon en gång dagligen.
Maximal rekommenderad dos är 20 mg finerenon en gång dagligen.
Behandlingsstart
Kaliumnivå i serum och estimerad glomerulär filtrationshastighet (eGFR) måste mätas för att fastställa om behandling med finerenon kan initieras
(se även avsnitt Varningar och försiktighet) och för att bestämma startdosen.
För kontroll av serumkalium, se ”Fortsatt behandling” nedan.
Om serumkalium är ≤ 4,8 mmol/l kan behandling med finerenon initieras.
Om serumkalium är > 4,8 till 5,0 mmol/l kan initiering av behandling med finerenon övervägas med ytterligare kontroller av kalium i serum under de första 4 veckorna baserat på individuell bedömning av patienten och serumkaliumnivåer (se avsnitt Varningar och försiktighet).
Hyperkalemi
Hyperkalemi har observerats hos patienter behandlade med finerenon (se avsnitt Biverkningar).
Vissa patienter löper högre risk att utveckla hyperkalemi.
Riskfaktorer inkluderar lågt eGFR, högt serumkalium och tidigare episoder av hyperkalemi. Hos dessa patienter ska tätare kontroller övervägas.
Om serumkalium är > 5,0 mmol/l ska behandling med finerenon inte initieras.
Monitorering
Serumkalium och eGFR måste mätas på nytt 4 veckor efter insättning, omstart av behandling eller vid dosjustering av finerenon. Därefter måste serumkalium kontrolleras regelbundet och vid behov baserat på patientegenskaper och serumkaliumnivåer (se avsnitt Dosering).
Kronisk njursjukdom associerad med T2D
Initiering och fortsatt behandling (se avsnitt Dosering)
Om serumkalium är > 4,8 till 5,0 mmol/l kan initiering av behandling med finerenon övervägas med ytterligare kontroller av serumkalium under de första 4 veckorna baserat på patientegenskaper och serumkaliumnivåer.
Interaktionsstudier har endast utförts på vuxna.
Finerenon elimineras nästan uteslutande via cytokrom P450 (CYP)‑medierad oxidativ metabolism (i huvudsak CYP3A4 [90 %] med ett litet bidrag av
CYP2C8 [10 %]).
Samtidig användning är kontraindicerad
Starka CYP3A4‑hämmare
Samtidig användning av Kerendia med itrakonazol, klaritromycin och andra starka CYP3A4‑hämmare (t.ex. ketokonazol, ritonavir, nelfinavir, kobicistat, telitromycin eller nefazodon) är kontraindicerad (se avsnitt Kontraindikationer) eftersom en tydlig ökning av finerenonexponering förväntas.
Samtidig användning rekommenderas inte
Starka och måttliga CYP3A4‑inducerare
Kerendia ska inte användas samtidigt som rifampicin och andra starka CYP3A4-inducerare (t.ex. karbamazepin, fenytoin, fenobarbital, johannesört) eller med efavirenz och andra måttliga CYP3A4-inducerare. Dessa CYP3A4-inducerare förväntas markant minska plasmakoncentrationen av finerenon och resultera i minskad terapeutisk effekt (se avsnitt Varningar och försiktighet).
Preventivmedel till kvinnor
Fertila kvinnor ska använda effektiv preventivmetod under behandling med finerenon (se avsnitt Varningar och försiktighet).
Graviditet
Det finns inga eller begränsad mängd data från användningen av finerenon av gravida kvinnor.
Djurstudier har visat reproduktionstoxikologiska effekter (se avsnitt Prekliniska uppgifter).
Kerendia ska endast användas under graviditet då kvinnans medicinska tillstånd absolut kräver behandling med finerenon. Om kvinnan blir gravid under tiden hon tar finerenon ska hon informeras om de eventuella riskerna för fostret (se avsnitt Varningar och försiktighet).
Det är okänt om finerenon/dess metaboliter utsöndras i bröstmjölk.
Tillgängliga farmakokinetiska/toxikologiska djurdata har visat att finerenon och dess metaboliter utsöndras i mjölk. Råttungar som exponerats via denna väg uppvisade biverkningar (se avsnitt Prekliniska uppgifter).
En risk för det nyfödda barnet/spädbarnet kan inte uteslutas.
Ett beslut måste fattas om man ska avbryta amningen eller avbryta/avstå från behandling med Kerendia efter att man tagit hänsyn till fördelen med amning för barnet och fördelen med behandling för kvinnan (se avsnitt Varningar och försiktighet).
Det finns inga data om effekten av finerenon på fertilitet hos människa.
Djurstudier har visat nedsatt fertilitet hos honor vid exponeringar som anses vara avsevärt högre än högsta kliniska exponeringen hos människa, vilket tyder på låg klinisk relevans (se avsnitt Prekliniska uppgifter).
Kerendia har ingen effekt på förmågan att framföra fordon och använda maskiner.
Sammanfattning av säkerhetsprofilen
Den vanligaste rapporterade biverkningen under behandling med finerenon var hyperkalemi (12,6 %). Se ”Hyperkalemi” under ”Beskrivning av utvalda biverkningar” nedan och avsnitt Varningar och försiktighet.
Biverkningar i tabellform
Säkerheten för finerenon hos patienter med kronisk njursjukdom (CKD) och T2D utvärderades i 2 pivotala fas III‑studier, FIDELIO‑DKD (diabetisk njursjukdom) och FIGARO‑DKD. I FIDELIO-DKD-studien fick 2 818 patienter finerenon (10 mg eller 20 mg en gång dagligen) under en genomsnittlig behandlingslängd på 2,2 år. I FIGARO‑DKD-studien fick 3 671 patienter finerenon (10 mg eller 20 mg en gång dagligen) under en genomsnittlig behandlingslängd på 2,9 år.
Säkerheten för finerenon hos patienter med hjärtsvikt (HF) med LVEF ≥ 40 % utvärderades i fas III-studien FINEARTS-HF. I denna studie fick 2 993 patienter finerenon (10 mg, 20 mg eller 40 mg en gång dagligen) under en genomsnittlig behandlingslängd på 2,1 år.
De biverkningar som observerades anges i tabell 5. De är klassificerade enligt MedDRA om klassificering av organsystem och konventionen om frekvens.
Biverkningar är grupperade enligt deras frekvens i fallande allvarlighetsgrad.
Frekvenser definieras enligt följande:
Den mest sannolika tecknet på överdosering förväntas vara hyperkalemi. Om hyperkalemi uppkommer ska standardbehandling initieras.
Det är inte troligt att finerenon kan elimineras effektivt med hemodialys med tanke på att andelen bunden till plasmaproteiner är cirka 90 %.
Verkningsmekanism
Finerenon är en icke‑steroid, selektiv antagonist av mineralkortikoidreceptorn (MR) som aktiveras av aldosteron och kortisol och reglerar genetisk transkription. Dess bindning till MR leder till ett specifikt receptor‑ligandkomplex som blockerar rekrytering av transkriptionskoaktivatorer delaktiga i uttrycket av proinflammatoriska och profibrotiska mediatorer.
Farmakodynamisk effekt
I FIDELIO‑DKD och FIGARO‑DKD, randomiserade, dubbelblinda, placebokontrollerade multicenter fas III-studier på vuxna patienter med CKD och T2D, var den placebokorrigerade relativa minskningen av kvoten U‑albumin‑till‑kreatinin (UACR) hos patienter randomiserade till finerenon 31 % respektive 32 % månad 4 och UACR förblev sänkt genom hela studierna.
I FINEARTS-HF, en randomiserad, dubbelblind, placebokontrollerad multicenterstudie i fas III på vuxna patienter med HF med LVEF ≥ 40 % var den placebokorrigerade relativa minskningen av UACR hos patienter randomiserade till finerenon 30 % månad 6 och UACR förblev sänkt fram till den sista mätningen år 2.
I ARTS-DN, en randomiserad, dubbelblind, placebokontrollerad multicenter fas IIb-studie på vuxna patienter med CKD och T2D, var den placebokorrigerade relativa minskningen av UACR dag 90 hos patienter behandlade med finerenon 10 mg respektive 20 mg en gång dagligen 25 % respektive 38 %.
Hjärtelektrofysiologi
Absorption
Finerenon absorberas nästan fullständigt efter oral administrering. Absorptionen är snabb och maximala plasmakoncentrationer (Cmax) ses mellan 0,5 och 1,25 timmar efter tablettintag på fastande mage. Den absoluta biotillgängligheten för finerenon är 43,5 % på grund av förstapassagemetabolism i tarmväggen och levern. Finerenon är ett substrat till effluxtransportören P‑glykoprotein in vitro, vilket dock inte anses relevant för dess absorption in vivo på grund av finerenons höga permeabilitet.
Effekt av föda
Intag av föda med mycket fett och många kalorier ökade AUC för finerenon med upp till 21 %, minskade Cmax med 19 % till 23 % och ökade tiden till Cmax med upp till 2,5 timmar. Eftersom det inte anses kliniskt relevant kan finerenon tas med eller utan föda.
Distribution
Distributionsvolymen vid steady‑state (Vss) för finerenon är 52,6 l. Den humana plasmaproteinbindningen för finerenon in vitro är 91,7 % med serumalbumin som det huvudsakliga bindande proteinet.
Metabolism
Gängse studier avseende säkerhetsfarmakologi, endostoxicitet, allmäntoxicitet, gentoxicitet, fototoxicitet, karcinogenicitet och manlig och kvinnlig fertilitet visade inte några särskilda risker för människa.
Allmäntoxicitet
Hos hundar påvisades en minskad vikt och storlek på prostata vid en AUCobundet på cirka 4 till 60 gånger dosen för människa. Dosen som inte påvisar några fynd ger en säkerhetsmarginal på cirka 1-2.
Karcinogenicitet
I 2-åriga karcinogenicitetsstudier uppvisade finerenon ingen karcinogen potential hos han- och honråttor eller honmöss. Hos hanmöss resulterade finerenon i en ökning av leydigcellsadenom vid doser som motsvarar 10 till 26 gånger AUCobundet hos människa. En dos motsvarande 7 gånger AUCobundet för dosen 40 mg och 17 gånger AUCobundet hos människa för 20 mg orsakade inte några tumörer. Baserat på den kända känsligheten hos gnagare att utveckla dessa tumörer och den farmakologiska mekanismen vid supraterapeutiska doser samt adekvata säkerhetsmarginaler är ökningen av leydigcellstumörer hos hanmöss inte kliniskt relevant.
Utvecklingstoxicitet
I den embryofetala toxicitetsstudien på råttor ledde finerenon till minskad placentavikt och tecken på fostertoxicitet, inklusive nedsatt fostervikt och försenad benbildning vid den maternella toxiska dosen på 10 mg/kg/dag motsvarande AUC
Kvalitativ och kvantitativ sammansättning
Kerendia 10 mg filmdragerade tabletter
Varje filmdragerad tablett innehåller 10 mg finerenon.
Hjälpämne med känd effekt
Varje filmdragerad tablett innehåller 45 mg laktos (som monohydrat), se avsnitt Varningar och försiktighet.
Kerendia 20 mg filmdragerade tabletter
Varje filmdragerad tablett innehåller 20 mg finerenon.
Hjälpämne med känd effekt
Varje filmdragerad tablett innehåller 40 mg laktos (som monohydrat), se avsnitt Varningar och försiktighet.
Kerendia 40 mg filmdragerade tabletter
Varje filmdragerad tablett innehåller 40 mg finerenon.
Ej relevant.
Hållbarhet
3 år
Särskilda förvaringsanvisningar
Inga särskilda förvaringsanvisningar.
Särskilda anvisningar för destruktion
Detta läkemedel kan utgöra en risk för miljön (se avsnitt Prekliniska uppgifter).
Ej använt läkemedel och avfall ska kasseras enligt gällande anvisningar.
Filmdragerad tablett (tablett)
Kerendia 10 mg filmdragerade tabletter
Rosa, oval, avlång filmdragerad tablett med en längd på 10 mm och en bredd på 5 mm, märkt ”10” på den ena sidan och ”FI” på den andra sidan.
Kerendia 20 mg filmdragerade tabletter
Ljusgul, oval, avlång filmdragerad tablett med en längd på 10 mm och en bredd på 5 mm, märkt ”20” på den ena sidan och ”FI” på den andra sidan.
Kerendia 40 mg filmdragerade tabletter
Grå-orange, oval, avlång filmdragerad tablett med en längd på 11 mm och en bredd på 5 mm, märkt ”40” på den ena sidan och ”FI” på den andra sidan.
Fass-texten är särskilt framtagen för förskrivare och vårdpersonal. Texten är baserad på produktresumén.
Rekommenderad startdos av finerenon baseras på eGFR och presenteras i tabell 1.
Tabell 1: Initiering av behandling med finerenon och rekommenderad dos
Fortsatt behandling
Kaliumnivån i serum och eGFR måste mätas igen 4 veckor efter insättning eller omstart av behandling med finerenon eller vid dosökning (se tabell 2 för att fastställa fortsatt behandling med finerenon och dosjustering).
Därefter måste serumkalium mätas periodiskt och efter behov baserat på individuell bedömning av patienten och serumkaliumnivåer.
Se avsnitt Varningar och försiktighet och Interaktioner för mer information.
Tabell 2: Fortsatt behandling med finerenon och dosjustering
*Bibehåll 10 mg en gång dagligen om eGFR har minskat > 30 % jämfört med den tidigare mätningen.
Hjärtsvikt med LVEF ≥ 40 %
Rekommenderad måldos beror på njurfunktionen (eGFR) vid behandlingsstart med finerenon (se tabell 4):
40 mg en gång dagligen vid eGFR ≥ 60 ml/min/1,73 m2
20 mg en gång dagligen vid eGFR ≥ 25 till < 60 ml/min/1,73 m2.
Maximal rekommenderad dos är 40 mg finerenon en gång dagligen.
Behandlingsstart
Om serumkalium är ≤ 5,0 mmol/l kan behandling med finerenon initieras.
Serumkalium och estimerad glomerulär filtrationshastighet (eGFR) måste mätas för att fastställa om behandling med finerenon kan initieras (se även avsnitt Varningar och försiktighet) och för att bestämma startdosen.
För kontroll av serumkalium, se ”Fortsatt behandling” nedan.
Rekommenderad startdos av finerenon baseras på eGFR och presenteras i tabell 3.
Tabell 3: Initiering av behandling med finerenon och rekommenderad dos
Fortsatt behandling
Serumkalium och eGFR måste mätas igen 4 veckor efter insättning eller omstart av behandling med finerenon eller ändring av dosen (se tabell 4 för att fastställa fortsatt behandling med finerenon och dosjustering).
Därefter måste serumkalium och eGFR mätas periodiskt och efter behov baserat på individuell bedömning av patienten och serumkaliumnivåer.
Se avsnitt Varningar och försiktighet och Interaktioner för mer information.
Tabell 4: Fortsatt behandling med finerenon och dosjustering
Överväg att sänka dosen av finerenon eller pausa behandlingen om eGFR minskar med ≥ 40 % jämfört med föregående mätning. Överväg att öka dosen eller återinsätta behandlingen när eGFR-nivåerna har stabiliserats utifrån den enskilda patientens karakteristika.
Glömd dos
En glömd dos ska tas så snart patienten kommer ihåg det men endast under samma dag. Patienten ska inte ta 2 doser för att kompensera för en glömd dos.
Särskilda populationer
Äldre (≥ 65 år)
Ingen dosjustering är nödvändig hos äldre patienter (se avsnitt Farmakokinetik) men regelbunden kontroll av njurfunktionen rekommenderas (se avsnitt Varningar och försiktighet).
Nedsatt njurfunktion
Initiering av behandling
Hos patienter med eGFR < 25 ml/min/1,73 m2 ska behandling med finerenon inte initieras på grund av begränsade kliniska data (se avsnitt Varningar och försiktighet och Farmakokinetik).
Fortsatt behandling
Hos patienter med eGFR ≥ 15 ml/min/1,73 m2 kan behandling med finerenon fortsätta med dosjustering baserad på serumkalium. eGFR ska mätas 4 veckor efter insättning för att fastställa om startdosen kan ökas (se ”Dosering, Fortsatt behandling” och tabell 2 och 4).
På grund av begränsade kliniska data ska behandling med finerenon avbrytas hos patienter som har progredierat till terminal njursvikt (eGFR < 15 ml/min/1,73 m2) (se avsnitt Varningar och försiktighet).
Nedsatt leverfunktion
Patienter med
gravt nedsatt leverfunktion:Finerenon ska inte initieras (se avsnitt Varningar och försiktighet och Farmakokinetik). Inga data finns tillgängliga.
måttligt nedsatt leverfunktion:Ingen initial dosjustering krävs. Överväg ytterligare kontroller av kaliumnivåer i serum och anpassa kontrollerna efter den individuella patienten (se avsnitt Varningar och försiktighet och Farmakokinetik).
lätt nedsatt leverfunktion:Ingen initial dosjustering krävs.
Samtidig användning av andra läkemedel
Hos patienter som tar finerenon samtidigt med måttliga eller svaga CYP3A4-hämmare, kaliumtillskott, trimetoprim eller trimetoprim/sulfametoxazol bör ytterligare kontroller av kaliumnivåerna i serum ske och anpassning av kontrollerna efter individuell bedömning av patienten bör övervägas (se avsnitt Varningar och försiktighet). Beslut om behandling med finerenon ska tas enligt anvisningar i tabell 2 och 4 (se ”Dosering, Fortsatt behandling”).
Tillfällig utsättning av finerenon kan bli nödvändig om patienterna måste ta trimetoprim eller trimetoprim/sulfametoxazol. Se avsnitt Varningar och försiktighet och Interaktioner för mer information.
Kroppsvikt
Ingen dosjustering baserat på kroppsvikt krävs (se avsnitt Farmakokinetik).
Pediatrisk population
Säkerhet och effekt för finerenon för barn och ungdomar under 18 år har ännu inte fastställts. Inga data finns tillgängliga.
Administreringssätt
Oral användning
Tabletterna kan tas med ett glas vatten och med eller utan föda (se avsnitt Farmakokinetik).
Tabletterna ska inte tas med grapefrukt eller grapefruktjuice (se avsnitt Interaktioner).
Krossade tabletter
Patienter som inte kan svälja hela tabletter kan krossa Kerendia-tabletter och blanda dem med vatten eller mjuka livsmedel, t.ex. äppelmos, direkt före användning (se avsnitt Farmakokinetik).
Lokala riktlinjer för behandling av hyperkalemi ska följas.
När serumkalium är ≤ 5,0 mmol/l kan behandling med finerenon återupptas med
10 mg en gång dagligen.
Hjärtsvikt med LVEF ≥ 40 %
Initiering och fortsatt behandling (se avsnitt Dosering).
Om serumkalium är ≥ 6,0 mmol/l ska behandling med finerenon avbrytas. Lokala riktlinjer för behandling av hyperkalemi ska följas. När serumkalium är < 5,5 mmol/l kan behandling med finerenon återupptas med 10 mg en gång dagligen. Vid upprepade mätningar av serumkalium ≥ 5,5 mmol/l får behandling med finerenon endast startas om när serumkalium är < 5,0 mmol/l.
Samtidig användning av andra läkemedel
Risken för hyperkalemi kan också öka vid samtidig användning av läkemedel som kan öka serumkaliumnivåer (se avsnitt Interaktioner). Se även ”Samtidig användning av substanser som påverkar finerenonexponering”.
Finerenon ska inte ges samtidigt som
kaliumsparande diuretika (t.ex. amilorid, triamteren) och
andra mineralkortikoidreceptorantagonister (MRA‑preparat), t.ex. eplerenon, esaxerenon, spironolakton eller kanrenon.
Finerenon ska användas med försiktighet och kaliumnivåerna i serum ska kontrolleras vid samtidigt intag av
kaliumtillskott eller kaliumberikade saltsubstitut.
trimetoprim eller trimetoprim/sulfametoxazol. Det kan bli nödvändigt att tillfälligt sätta ut finerenon.
Försämring av njurfunktionen hos patienter med hjärtsvikt med LVEF ≥ 40 %
En ökad incidens av försämring av njurfunktionen har rapporterats hos patienter med hjärtsvikt med LVEF ≥ 40 % som behandlats med finerenon (se avsnitt Biverkningar). Periodisk övervakning av njurfunktionen rekommenderas under behandlingen och efter behov utifrån patientkarakteristika. Äldre patienter och patienter med nedsatt njurfunktion (eGFR < 60 ml/1,73 m2) löper högre risk för försämring av njurfunktionen och ska kontrolleras oftare (se avsnitt Dosering).
Nedsatt njurfunktion
Risken för hyperkalemi ökar med minskande njurfunktion. Njurfunktionen ska kontrolleras kontinuerligt efter behov och enligt medicinsk praxis (se avsnitt Dosering).
Initiering av behandling
Behandling med finerenon ska inte initieras hos patienter med eGFR < 25 ml/min/1,73 m2 eftersom kliniska data är begränsade (se avsnitt Dosering och Farmakokinetik).
Fortsatt behandling
På grund av begränsade kliniska data ska behandling med finerenon avbrytas hos patienter som har progredierat till terminal njursvikt (eGFR < 15 ml/min/1,73 m2).
Nedsatt leverfunktion
Behandling med finerenon ska inte initieras hos patienter med gravt nedsatt leverfunktion (se avsnitt Dosering). Användning hos dessa patienter har inte studerats (se avsnitt Farmakokinetik) men en signifikant ökad finerenonexponering förväntas.
Användning av finerenon hos patienter med måttligt nedsatt leverfunktion kan kräva ytterligare kontroller på grund av ökad finerenonexponering. Ytterligare kontroller av kaliumnivåer i serum och anpassning av kontrollerna måste övervägas efter individuell bedömning av patienten (se avsnitt Dosering och Farmakokinetik).
Patienter med klass IV enligt New York Heart Association (NYHA)
Erfarenheten av finerenon hos hjärtsviktspatienter klassificerade som NYHA-klass IV är begränsad (se avsnitt Farmakodynamik).
Äldre
Det är mer sannolikt att äldre har nedsatt njurfunktion och att de behandlas med läkemedel som kan påverka njurfunktionen. Därför rekommenderas regelbunden kontroll av njurfunktionen.
Samtidig användning av substanser som påverkar finerenonexponering
Måttliga och svaga CYP3A4-hämmare
Kaliumnivåer i serum bör övervakas vid samtidig användning av finerenon med måttliga eller svaga CYP3A4‑hämmare (se avsnitt Dosering och Interaktioner).
Starka och måttliga CYP3A4-inducerare
Finerenon ska inte användas samtidigt som starka eller måttliga CYP3A4‑inducerare (se avsnitt Interaktioner).
Grapefrukt
Grapefrukt eller grapefruktjuice ska inte konsumeras under behandling med finerenon (se avsnitt Dosering och Interaktioner).
Embryofetal toxicitet
Finerenon ska inte användas under graviditet om inte nyttan för modern och risken för fostret har övervägts noggrant. Om en kvinna blir gravid när hon tar finerenon ska hon informeras om de eventuella riskerna för fostret.
Fertila kvinnor ska rådas att använda effektiv preventivmetod under behandling med finerenon.
Fertila kvinnor ska rådas att inte amma under behandling med finerenon.
Se avsnitt Graviditet och Prekliniska uppgifter för mer information.
Information om hjälpämnen
Kerendia innehåller laktos
Patienter med något av följande sällsynta ärftliga tillstånd bör inte använda detta läkemedel: galaktosintolerans, total laktasbrist eller glukos‑galaktosmalabsorption.
Kerendia innehåller natrium
Detta läkemedel innehåller mindre än 1 mmol (23 mg) natrium per tablett, d.v.s. är näst intill ”natriumfritt”.
Kerendia ska inte användas samtidigt som kaliumsparande diuretika (t.ex. amilorid, triamteren) och andra MR-antagonister (t.ex. eplerenon, esaxerenon, spironolakton, kanrenon). Dessa läkemedel förväntas öka risken för hyperkalemi (se avsnitt Varningar och försiktighet).
Grapefrukt
Grapefrukt eller grapefruktjuice ska inte konsumeras under behandling med finerenon eftersom det förväntas öka plasmakoncentrationerna av finerenon genom hämning av CYP3A4 (se avsnitt Dosering och Varningar och försiktighet).
Samtidig användning med försiktighet
Måttliga CYP3A4‑hämmare
I en klinisk studie ledde samtidig användning av erytromycin (500 mg tre gånger dagligen) till en 3,5‑faldig ökning av AUC och en 1,9‑faldig ökning av Cmax för finerenon. I en annan klinisk studie ledde verapamil (240 mg tablett med kontrollerad frisättning en gång dagligen) till en 2,7‑faldig och 2,2‑faldig ökning av AUC respektive Cmax för finerenon.
Serumkalium kan öka och således rekommenderas kontroll av serumkaliumnivåerna, särskilt vid initiering eller ändringar av dosen av finerenon eller CYP3A4‑hämmaren (se avsnitt Dosering och Varningar och försiktighet).
Svaga CYP3A4‑hämmare
De fysiologiskt baserade farmakokinetik (PBPK)‑simuleringarna tyder på att fluvoxamin (100 mg två gånger dagligen) ökar AUC (1,6‑faldigt) och Cmax (1,4‑faldigt) för finerenon.
Serumkalium kan öka och således rekommenderas kontroll av serumkaliumnivåerna, särskilt vid initiering eller ändringar av dosen av finerenon eller CYP3A4‑hämmaren (se avsnitt Dosering och Varningar och försiktighet).
Vissa läkemedel som ökar kaliumnivån i serum (se avsnitt Varningar och försiktighet)
Samtidig användning av Kerendia med kaliumtillskott och trimetoprim eller trimetoprim/sulfametoxazol förväntas öka risken för hyperkalemi. Kontroll av serumkaliumnivåerna krävs.
Tillfällig utsättning av Kerendia kan bli nödvändig under behandling med trimetoprim eller trimetoprim/sulfametoxazol.
Antihypertensiva läkemedel
Risken för hypotoni ökar vid samtidig användning med flera andra antihypertensiva läkemedel. Hos dessa patienter rekommenderas monitorering av blodtrycket.
Effekt av 40 mg finerenon på CYP3A4- och CYP2C8-substrat
Vid 40 mg en gång dagligen är finerenon en svag hämmare av enzymet CYP3A4 in vivo. Samtidig administrering av flera doser av 40 mg finerenon med CYP3A4-probsubstratet midazolam resulterade i en 1,31-faldig ökning av genomsnittligt AUC för midazolam utan någon effekt på Cmax. Den potentiellt ökade exponeringen av känsliga CYP3A4-substrat med ett smalt terapeutiskt fönster måste beaktas vid samtidig användning med finerenon 40 mg en gång dagligen. En flerdosregim med 20 mg finerenon en gång dagligen under 10 dagar hade ingen relevant effekt på AUC för CYP3A4‑probsubstratet midazolam. En kliniskt relevant hämning eller induktion av CYP3A4 via finerenon vid denna dosnivå kan således uteslutas.
Vid 40 mg en gång dagligen är finerenon en svag hämmare av enzymet CYP2C8 in vivo. Samtidig administrering av flera doser av 40 mg finerenon med CYP2C8-probsubstratet repaglinid resulterade i en 1,59-faldig ökning av genomsnittligt AUC för repaglinid och en 1,30-faldig minskning av Cmax. Den potentiellt ökade exponeringen av CYP2C8-substrat med ett smalt terapeutiskt fönster måste beaktas vid samtidig användning med finerenon 40 mg en gång dagligen.
En engångsdos på 20 mg finerenon hade inte någon kliniskt relevant effekt på AUC och Cmax
för CYP2C8‑probsubstratet repaglinid. Således hämmar inte finerenon CYP2C8 vid denna dosnivå.
Tabell 5: Biverkningar
Beskrivning av utvalda biverkningar
Hyperkalemi
En ökning från baslinjen av genomsnittlig kaliumnivå i serum på 0,2 mmol/l observerades under den första månadens behandling med finerenon jämfört med placebo, och förblev stabil därefter.
I poolad data från FIDELIO-DKD och FIGARO-DKD-studierna, rapporterades fall av hyperkalemi hos 14,0 % av patienterna behandlade med finerenon jämfört med 6,9 % av patienterna behandlade med placebo. Allvarliga fall av hyperkalemi rapporterades mer frekvent för finerenon (1,1 %) jämfört med placebo (0,2 %). Serumkaliumkoncentrationer > 5,5 mmol/l och > 6,0 mmol/l rapporterades hos 16,8 % respektive 3,3 % av patienterna behandlade med finerenon och hos 7,4 % respektive 1,3 % av patienterna behandlade med placebo. Hyperkalemi som ledde till permanent utsättning var 1,7 % i gruppen som fick finerenon jämfört med 0,6 % i gruppen som fick placebo. Sjukhusinläggning på grund av hyperkalemi var 0,9 % i gruppen som fick finerenon jämfört med 0,2 % i gruppen som fick placebo.
I FINEARTS-HF-studien rapporterades fall av hyperkalemi hos 9,7 % av patienterna behandlade med finerenon jämfört med 4,2 % av patienterna behandlade med placebo. Hyperkalemi som ledde till permanent utsättning var 0,4 % i gruppen som fick finerenon jämfört med 0,2 % i gruppen som fick placebo. Sjukhusinläggning på grund av hyperkalemi var 0,5 % i gruppen som fick finerenon jämfört med 0,2 % i gruppen som fick placebo.
I samtliga studier var de flesta fallen av hyperkalemi lindriga till måttliga och övergående hos patienter behandlade med finerenon.
För specifika rekommendationer, se avsnitt Dosering och Varningar och försiktighet.
Försämrad njurfunktion
I poolad data från FIDELIO-DKD och FIGARO-DKD-studierna rapporterades fall med minskad GFR hos 5,4 % av patienterna behandlade med finerenon jämfört med 4,2 % av patienterna behandlade med placebo. Antalet fall med minskad GFR som ledde till permanent utsättning var desamma hos patienter som fick finerenon eller placebo (0,2 %). Sjukhusinläggning på grund av minskad GFR var densamma hos patienter som fick finerenon eller placebo (< 0,1 %).
Händelser med ökat kreatinin i blodet rapporterades hos 2,6 % av patienterna behandlade med finerenon jämfört med hos 2,3 % av patienterna behandlade med placebo.
De flesta fallen med minskad GFR/ökat kreatinin i blodet var lindriga till måttliga och övergående hos patienter som behandlades med finerenon. Patienter som stod på finerenon upplevde en initial minskning av eGFR (genomsnitt 2 ml/min/1,73 m2) som avtog med tiden jämfört med placebo. Denna minskning har visat sig vara reversibel under kontinuerlig behandling.
I FINEARTS-HF-studien rapporterades händelser med försämrad njurfunktion oftare hos patienter som behandlades med finerenon (17,7 %) jämfört med de som fick placebo (10,9 %). De rapporterade händelserna inkluderade nedsatt njurfunktion (6,6 % jämfört med 3,9 %), minskad GFR (5,2 % jämfört med 3,6 %), akut njurskada (3,7 % jämfört med 2,1 %), njursvikt (2,6 % jämfört med 1,6 %) och ökat kreatinin i blodet (1,2 % jämfört med 0,8 %).
Generellt var de flesta rapporterade händelserna relaterade till försämrad njurfunktion lindriga till måttliga och övergående hos patienter behandlade med finerenon. I vissa fall där finerenon sattes ut permanent återgick inte eGFR till nivån vid baslinjen. Andelen patienter med händelser relaterade till försämrad njurfunktion som ledde till permanent utsättning var densamma i finerenon- respektive placebogruppen (0,3 %). Händelser relaterade till försämrad njurfunktion som ledde till sjukhusinläggning rapporterades oftare hos patienter behandlade med finerenon jämfört med placebogruppen (2,0 % jämfört med 1,3 %) och akut njurskada var den oftast rapporterade händelsen som ledde till sjukhusinläggning (1,6 % i finerenongruppen jämfört med 0,8 % i placebogruppen).
För patienter som behandlades med finerenon minskade GFR initialt, vilket föreföll vara reversibelt vid fortsatt kontinuerlig behandling. Den genomsnittliga skillnaden i GFR mellan finerenon och placebo var cirka 3‑4 ml/min/1,73 m2 från månad 1 till månad 6. Efter månad 6 var minskningen av GFR något större i placebogruppen, med en genomsnittlig skillnad mellan finerenon och placebo på cirka 2‑3 ml/min/1,73 m2.
Hypotoni
Finerenonbehandling ledde till en genomsnittlig minskning av det systoliska blodtrycket med 2‑4 mmHg och en genomsnittlig minskning av det diastoliska blodtrycket med 1‑2 mmHg månad 1 varefter de förblev stabila.
I poolad data från FIDELIO-DKD och FIGARO-DKD-studierna rapporterades fall av hypotoni hos 4,7 % av patienterna behandlade med finerenon jämfört med 3,0 % av patienterna behandlade med placebo. Hos 3 patienter (< 0,1 %) sattes behandling med finerenon ut permanent på grund av hypotoni. Sjukhusinläggning på grund av hypotoni var densamma hos patienter som fick finerenon eller placebo (< 0,1%).
I FINEARTS‑HF-studien rapporterades hypotoni hos 7,6 % av patienterna behandlade med finerenon jämfört med hos 4,7 % av patienterna behandlade med placebo. Hos 3 patienter (0,1 %) sattes behandling med finerenon ut permanent på grund av hypotoni. Sjukhusinläggning på grund av hypotoni var 0,4 % i gruppen som fick finerenon jämfört med 0,3 % i gruppen som fick placebo.
I samtliga studier var de flesta fallen av hypotoni lindriga till måttliga och övergående hos patienter behandlade med finerenon.
Hyperurikemi
I poolad data från FIDELIO-DKD och FIGARO‑DKD-studierna rapporterades fall av hyperurikemi hos 5,1 % av patienterna behandlade med finerenon jämfört med 3,9 % av patienterna behandlade med placebo. En ökning från baslinjen av genomsnittlig urinsyra i serum på 0,3 mg/dl observerades i gruppen som fick finerenon jämfört med gruppen som fick placebo fram till månad 16, vilken avtog med tiden. Rapportering av gikt var jämförbar hos patienter behandlade med finerenon (3,1 %) och patienter behandlade med placebo (3,0 %).
I FINEARTS-HF-studien var rapportering av hyperurikemi jämförbar hos patienter behandlade med finerenon (2,7 %) och patienter behandlade med placebo (2,4 %). Rapportering av gikt var jämförbar hos patienter behandlade med finerenon (2,4 %) och patienter behandlade med placebo (2,8 %).
I samtliga studier var fallen av hyperurikemi icke-allvarliga och ledde inte till permanent utsättning hos någon patient som fick finerenon.
Magtarmkanalen
I FINEARTS-HF-studien rapporterades diarré (5,7 % jämfört med 4,4 %) och förstoppning (3,8 % jämfört med 2,7 %) oftare för finerenon jämfört med placebo.
Minskat hemoglobin
I poolad data från FIDELIO-DKD och FIGARO-DKD-studierna associerades finerenon med en placebokorrigerad absolut minskning av genomsnittligt hemoglobin på 0,15 g/dl och genomsnittlig hematokrit på 0,5 % efter 4 månaders behandling. Rapportering av anemi var jämförbar hos patienter behandlade med finerenon (6,5 %) och patienter behandlade med placebo (6,1 %). Frekvensen av allvarliga händelser av anemi var låg hos både patienter behandlade med finerenon och hos patienter behandlade med placebo (0,5 %). Förändringar i hemoglobin och hematokrit var övergående och nådde jämförbara nivåer med de som observerades i den placebobehandlade gruppen efter cirka 24-32 månader.
Rapportering av misstänkta biverkningar
Klinisk effekt och säkerhet
Kronisk njursjukdom associerad med T2D
FIDELIO-DKD- och FIGARO-DKD-studierna undersökte effekten av finerenon jämfört med placebo avseende njur- samt kardiovaskulära effektmått hos vuxna patienter med CKD och T2D. Patienterna var under standardbehandling, inkluderade en godkänd maxdos av angiotensinkonverterande enzymhämmare (ACEi) eller angiotensinreceptorblockerare (ARB).
Patienter med diagnostiserad hjärtsvikt med nedsatt ejektionsfraktion och NYHA-klass II-IV uteslöts på grund av klass 1A-rekommendationen för MRA-behandling.
I FIDELIO-DKD-studien inkluderades patienter baserat på evidens på varaktig albuminuri (> 30 mg/g till 5 000 mg/g), eGFR på 25 till 75 ml/min/1,73 m2 och serumkalium ≤ 4,8 mmol/l vid screening.
Det primära effektmåttet var en sammansättning av tid till första uppkomst av njursvikt (definierad som kronisk dialys eller njurtransplantation eller varaktig minskning av eGFR till < 15 ml/min/1,73 m2 under minst 4 veckor), en varaktig minskning av eGFR på 40 % eller mer jämfört med baslinjen under minst 4 veckor eller njurrelaterad död. Det primära sekundära effektmåttet var en sammansättning av tid till första uppkomst av kardiovaskulär död, icke-fatal hjärtinfarkt, icke-fatal stroke eller sjukhusinläggning för hjärtsvikt.
Totalt 5 662 patienter randomiserades till antingen finerenon (N = 2 824) eller placebo (N = 2 838) och inkluderades i analysen. Median uppföljningstid var 2,6 år. Dosen av finerenon eller placebo kunde justeras mellan 10 mg och 20 mg en gång dagligen under studien, i huvudsak baserat på serumkaliumkoncentration. Månad 24 behandlades 67 % av patienterna som fick finerenon med 20 mg en gång dagligen, 31 % med 10 mg en gång dagligen och 3 % hade behandlingsavbrott.
Efter studiens slut erhölls vitalstatus för 99,7 % av patienterna. I studiepopulationen var 63 % vita, 25 % asiater och 5 % svarta. Genomsnittsåldern vid rekrytering var 66 år och 70 % av patienterna var män. Vid baslinjen var genomsnittlig eGFR 44,4 ml/min/1,73 m2 och 55 % av patienterna hade eGFR < 45 ml/min/1,73 m2, median UACR var 853 mg/g och genomsnittligt HbA1c var 7,7 %, 46 % hade en anamnes på aterosklerotisk kardiovaskulär sjukdom, 30 % hade en anamnes på kranskärlssjukdom, 8 % hade en anamnes på hjärtsvikt och det genomsnittliga blodtrycket var 138/76 mmHg. Den genomsnittliga varaktigheten för T2D vid baslinjen var 16,6 år och en anamnes på diabetesretinopati och diabetesneuropati rapporterades hos 47 % respektive 26 % av patienterna. Vid baslinjen stod nästan alla patienter på ACEi (34 %) eller ARB (66 %) och 97 % av patienterna använde ett eller flera antidiabetesmedel (insulin [64 %], biguanider [44 %], glukagonliknande peptid1 [GLP-1]receptoragonister [7 %], hämmare av natriumglukostransportör 2 [SGLT2] [5 %]). De övriga vanligaste läkemedlen som togs vid baslinjen var statiner (74 %) och kalciumkanalblockerare (63 %).
En statistiskt signifikant skillnad till fördel för finerenon visades för det primära sammansatta effektmåttet och det primära sekundära sammansatta effektmåttet (se figur 1/tabell 6 nedan). Behandlingseffekten för primära och primärt sekundärt effektmått var generellt konsekvent för alla undergrupper inklusive region, eGFR, UACR, systoliskt blodtryck och HbA1c vid baslinjen.
I FIGARO-DKD-studien inkluderades patienter baserat på evidens på varaktig albuminuri med UACR på ≥ 30 mg/g till < 300 mg/g och eGFR på 25 till 90 ml/min/1,73 m2, eller UACR ≥ 300 mg/g och eGFR på ≥ 60 ml/min/1,73 m2 vid screening. Serumkalium på ≤ 4,8 mmol/l vid screening var ett inklusionskriterium.
Det primära effektmåttet var en sammansättning av tid till första uppkomst av kardiovaskulär död, icke-fatal hjärtinfarkt, icke-fatal stroke eller sjukhusinläggning för hjärtsvikt. Det sekundära effektmåttet var en sammansättning av tid till njursvikt, en varaktig minskning av eGFR på 40 % eller mer jämfört med baslinjen under minst 4 veckor eller njurrelaterad död.
Totalt 7 328 patienter randomiserades till antingen finerenon (N = 3 674) eller placebo (N = 3 654) och inkluderades i analysen. Median uppföljningstid var 3,4 år. Dosen av finerenon eller placebo kunde justeras mellan 10 mg och 20 mg en gång dagligen under studien, i huvudsak baserat på serumkaliumkoncentration. Månad 24 behandlades 82 % av patienterna som fick finerenon med 20 mg en gång dagligen, 15 % med 10 mg en gång dagligen och 3 % hade behandlingsavbrott. Efter studiens slut erhölls vitalstatus för 99,8 % av patienterna. I studiepopulationen var 72 % vita, 20 % asiater och 4 % svarta. Genomsnittsåldern vid rekrytering var 64 år och 69 % av patienterna var män. Vid baslinjen var genomsnittlig eGFR 67,8 ml/min/1,73 m2 och 62 % av patienterna hade eGFR ≥ 60 ml/min/1,73 m2, median UACR var 309 mg/g och genomsnittligt HbA1c var 7,7 %, 45 % hade en anamnes på aterosklerotisk kardiovaskulär sjukdom, 8 % hade en anamnes på hjärtsvikt och det genomsnittliga blodtrycket var 136/77 mmHg. Den genomsnittliga varaktigheten för T2D vid baslinjen var 14,5 år och en anamnes på diabetesretinopati och diabetesneuropati rapporterades hos 31 % respektive 28 % av patienterna. Vid baslinjen stod nästan alla patienter på ACEi (43 %) eller ARB (57 %) och 98 % av patienterna använde ett eller flera antidiabetesmedel (insulin [54 %], biguanider [69 %], GLP 1-receptoragonister [8 %], SGLT2-hämmare [8 %]). Det andra vanligaste läkemedlet som togs vid baslinjen var statiner (71 %).
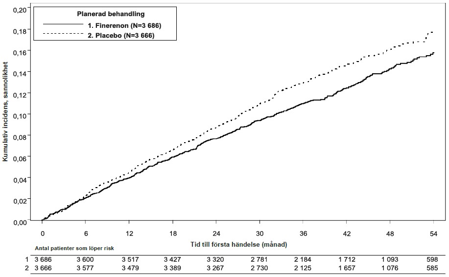
En statistiskt signifikant skillnad till fördel för finerenon visades för det primära sammansatta effektmåttet (se figur 2/tabell 7 nedan). Behandlingseffekten för primärt kardiovaskulärt effektmått var konsekvent för alla undergrupper inklusive region, eGFR, UACR, systoliskt blodtryck och HbA1c vid baslinjen. En lägre incidens av det sekundära sammansatta effektmåttet med njursvikt, varaktig minskning av eGFR på 40 % eller mer eller njurrelaterad död observerades i gruppen som fick finerenon jämfört med gruppen som fick placebo. Denna skillnad uppnådde dock inte statistisk signifikans (se tabell 7 nedan). Behandlingseffekten för det sekundära renala sammansatta effektmåttet var konsekvent för undergrupper avseende eGFR vid baslinjen, men för patienter i undergruppen med UACR < 300 mg/g var riskkvoten (HR) 1,16 (95% KI 0,91; 1,47) och för patienter i undergruppen med UACR ≥ 300 mg/g var riskkvoten (HR) 0,74 (95% KI 0,61; 0,89).
Ytterligare pre-specificerade sekundära effektmått för tid till händelse presenteras i tabell 7.
Tabell 6: Analys av primära och sekundära effektmått för tid‑till‑händelse (och deras individuella komponenter) i fas III‑studien FIDELIO‑DKD
* Behandling med 10 mg eller 20 mg en gång dagligen i tillägg till maximala tolererade godkända doser av ACEi eller ARB.
** p = ej statistiskt signifikant efter justering för multiplicitet
KI: Konfidensintervall
HR: Riskkvot
pyr: patientår
Figur 1: Tid till första uppkomst av njursvikt, varaktig minskning av eGFR ≥ 40 % från baslinjen eller njurrelaterad död i FIDELIO‑DKD-studien
Tabell 7: Analys av primära och sekundära effektmått för tid‑till‑händelse (och deras individuella komponenter) i fas III‑studien FIGARO‑DKD
* Behandling med 10 mg eller 20 mg en gång dagligen i tillägg till maximala tolererade godkända doser av ACEi eller ARB.
** p = ej statistiskt signifikant efter justering för multiplicitet
KI: Konfidensintervall
HR: Riskkvot
pyr: patientår
Figur 2: Tid till första uppkomst av kardiovaskulär död, icke-fatal hjärtinfarkt, icke-fatal stroke eller sjukhusinläggning för hjärtsvikt i FIGARO‑DKD-studien
Hjärtsvikt med LVEF ≥ 40 %
I FINEARTS-HF-studien undersöktes effekten av finerenon jämfört med placebo avseende kardiovaskulära utfall hos vuxna patienter med hjärtsvikt. Patienter som inkluderades hade en diagnosen hjärtsvikt med NYHA-klass II‑IV, var ambulatoriska eller inlagda på sjukhus primärt för hjärtsvikt och hade en dokumenterad LVEF ≥ 40 %. Dessutom hade patienterna eGFR ≥ 25 ml/min/1,73 m2 och serumkalium ≤ 5,0 mmol/l vid screening och randomisering och fick en bakgrundsbehandling som inkluderade diuretika.
Det primära effektmåttet var en sammansättning av kardiovaskulär död och totalt antal (första och återkommande) hjärtsviktshändelser bestående av sjukhusinläggning för hjärtsvikt och akutbesök på grund av hjärtsvikt. En multipel testmetod användes för de sekundära effektmåtten som inkluderande totalt antal (första och återkommande) hjärtsviktshändelser och förändring från baslinjen till månad 6, 9 och 12 i TSS (Total Symptom Score) i frågeformuläret KCCQ (Kansas City Cardiomyopathy Questionnaire) (som kvantifierar frekvensen och svårighetsgraden av symtom på hjärtsvikt).
I studien analyserades 6 001 patienter slumpmässigt tilldelade att få antingen finerenon (N = 3 003) eller placebo (N = 2 998). Median uppföljningstid var 2,7 år. Studien inkluderade 3 247 (54 %) patienter med en hjärtsviktshändelse under de senaste 3 månaderna, däribland 1 219 (20 %) patienter randomiserade under tiden de var inlagda på sjukhus eller inom 7 dagar efter utskrivning. Baserat på njurparametrar fick patienterna antingen 10 mg, 20 mg eller 40 mg finerenon eller placebo en gång dagligen under studien. Månad 24 behandlades 35 % av patienterna med finerenon 40 mg en gång dagligen, 32 % med 20 mg en gång dagligen, 12 % med 10 mg en gång dagligen och 1 % hade avbrutit behandlingen. Cirka 80 % av patienterna nådde sin måldos vid någon tidpunkt under studien. Efter meddelande om studiens slut erhölls vitalstatus för 99,7 % av patienterna. I studiepopulationen var 79 % vita, 17 % asiater och 1,5 % svarta. Genomsnittsåldern vid inklusion var 72 år och 46 % av patienterna var kvinnor. Vid baslinjen var genomsnittlig LVEF 53 % där 64 % av patienterna hade LVEF ≥ 50 %, och 69 %, 30 % och 1 % av patienterna hade NYHA-klass II, III respektive IV. Genomsnittligt blodtryck var 129/75 mmHg och BMI var 30 kg/m2. Medianvärdet för N-terminal pro-B-typ natriuretisk peptid (NT-pro-BNP) var 1 041 pg/ml, genomsnittlig eGFR var 62 ml/min/1,73 m2och 48 % av patienterna hade eGFR < 60 ml/min/1,73 m2 och median-UACR var 18 mg/g. Förmaksflimmer sågs hos 38 % av patienterna och 41 % hade diabetes mellitus. Majoriteten av patienterna stod på loopdiuretika (87 %), en ACEi eller ARB (79 %), eller en angiotensinreceptor-neprilysinhämmare (9 %), och 14 % stod på SGLT2-hämmare.
En statistiskt signifikant skillnad till fördel för finerenon visades för det primära sammansatta effektmåttet (se tabell 8 nedan). Effekten sågs tidigt och kvarstod under hela studieperioden varade (se figur 3 nedan). En statistisk signifikant skillnad till fördel för finerenon visades också för de sekundära effektmåtten totalt antal hjärtsviktshändelser. Förspecificerade sekundära effektmått är också inkluderade i tabell 8 nedan. Behandlingseffekten för de primära och viktigaste sekundära effektmåtten var konsekvent i samtliga förspecificerade subgrupper, däribland kön, LVEF, NYHA-klass, eGFR, tid sedan senaste hjärtsviktshändelse, behandling med SGLT2-hämmare och diabetes mellitus-status.
Tabell 8: Analys av primära och sekundära effektmått (och deras individuella komponenter för tid‑till‑händelse) i fas III‑studien FINEARTS-HF
Förkortningar: KI: Konfidensintervall; HR: Riskkvot; LSM: Minsta kvadratmedelvärde; OR: Oddskvot; RR: Frekvenskvot; pyr: patientår
* Behandling med 10, 20 eller 40 mg en gång dagligen i tillägg till bakgrundsbehandling, inklusive diuretika
** Totalt antal (första och återkommande) hjärtsviktshändelser var också ett viktigt sekundärt effektmått
† Ej signifikant (testmetoden stoppades)
†† Effektmåttet testades inte formellt (föregående effektmått i testmetoden var inte signifikant)
Figur 3: Primärt sammansatt effektmått bestående av kardiovaskulär död och totalt antal (första och återkommande) hjärtsviktshändelser i FINEARTS‑HF-studien
Pediatrisk population
Europeiska läkemedelsmyndigheten har senarelagt kravet att skicka in studieresultat för Kerendia för en eller flera grupper av den pediatriska populationen för behandling av kronisk njursjukdom och hjärtsvikt (information om pediatrisk användning finns i avsnitt Dosering).
Cirka 90 % av finerenons metabolism medieras via CYP3A4 och 10 % via CYP2C8. Fyra huvudmetaboliter påvisades i plasma. Alla metaboliter är farmakologiskt inaktiva.
Eliminering
Elimineringen av finerenon från plasma är snabb med en elimineringshalveringstid (t½) på cirka 2 till 3 timmar. Systemisk blodclearance för finerenon är cirka 25 l/timme. Cirka 80 % av den administrerade dosen utsöndrades via urin och cirka 20 % av dosen utsöndrades via feces. Utsöndring skedde nästan uteslutande i form av metaboliter, medan utsöndring av oförändrat finerenon representerar en mindre del (< 1 % av dosen i urinen på grund av glomerulär filtration, < 0,2 % i feces).
Linjäritet
Finerenons farmakokinetik är linjär inom det undersökta dosintervallet från 1,25 till 80 mg administrerat som tabletter i engångsdos.
Särskilda populationer
Äldre
Av de 2 818 patienter som fick finerenon i FIDELIO‑DKD‑studien var 58 % av patienterna 65 år och äldre varav 15 % var 75 år och äldre. Av de 3 671 patienter som fick finerenon i FIGARO‑DKD-studien var 53 % av patienterna 65 år och äldre och 14 % var 75 år och äldre. Av de 2 993 patienter som fick finerenon i FINEARTS-HF‑studien var 79 % av patienterna 65 år och äldre varav 43 % var 75 år och äldre.
I en fas I-studie (N = 48) uppvisade äldre friska deltagare (≥ 65 år) högre koncentrationer av finerenon i plasma än yngre friska deltagare (≤ 45 år) med genomsnittliga värden för AUC och Cmax som var 34 % respektive 51 % högre hos de äldre patienterna (se avsnitt Dosering). Populationsfarmakokinetiska analyser identifierade inte ålder som kovariat för AUC eller Cmax för finerenon.
Nedsatt njurfunktion
Lätt nedsatt njurfunktion (kreatininclearance [CLCR] 60 till < 90 ml/min) påverkade inte AUC och Cmax för finerenon.
Jämfört med patienter med normal njurfunktion (CLCR ≥ 90 ml/min) var effekten av måttligt (CLCR 30 till < 60 ml/min) eller gravt (CLCR < 30 ml/min) nedsatt njurfunktion på AUC för finerenon likartad med ökningar på 34–36 %. Måttligt eller gravt nedsatt njurfunktion hade ingen effekt på Cmax (se avsnitt Dosering).
På grund av den höga plasmaproteinbindningen förväntas inte finerenon vara dialyserbart.
Nedsatt leverfunktion
Ingen förändring av finerenons exponering hos cirrotiska patienter med lätt nedsatt leverfunktion påvisades (se avsnitt Dosering).
Hos cirrotiska patienter med måttligt nedsatt leverfunktion var totalt och obundet AUC för finerenon förhöjt med 38 % respektive 55 %, medan ingen förändring av Cmax observerades jämfört med friska kontrollpersoner (se avsnitt Dosering).
Det finns inga data gällande patienter med gravt nedsatt leverfunktion (se avsnitt Dosering och Interaktioner).
Kroppsvikt
Populationsfarmakokinetiska analyser identifierade kroppsvikt som kovariat för Cmaxoch AUC för finerenon. Cmaxoch AUC för patienter med en kroppsvikt under 57 kg uppskattades vara i genomsnitt 52 % respektive 30 % högre, och för patienter med en kroppsvikt över 122 kg 32 % respektive 20 % lägre, jämfört med patienter på mellan 57 och 122 kg. Det krävs ingen dosanpassning baserat på kroppsvikt (se avsnitt Dosering).
Farmakokinetiska/farmakodynamiska förhållanden
Förhållandet mellan koncentration och effekt över tid för UACR beskrivs med en maximal effektmodell som anger mättnad vid höga exponeringar. Modellförutsägelsen tid för att nå fullständigt (99 %) steady‑state för läkemedelseffekt på UACR var 138 dagar. Den farmakokinetiska halveringstiden var 2–3 timmar och farmakokinetisk steady‑state uppnåddes efter 2 dagar, vilket anger en indirekt och fördröjd effekt på farmakodynamiska svar.
Kliniska studier utan relevanta läkemedelsinteraktioner
Samtidig användning av gemfibrozil (600 mg två gånger dagligen), en stark hämmare av CYP2C8, ökade genomsnittligt AUC och Cmax för finerenon 1,1‑faldigt respektive 1,2‑faldigt. Detta anses inte vara kliniskt relevant.
Förbehandling och samtidig behandling med protonpumpshämmaren omeprazol (40 mg en gång dagligen) hade ingen effekt på genomsnittligt AUC och genomsnittligt Cmax för finerenon.
Samtidig användning av antacida med aluminiumhydroxid och magnesiumhydroxid (70 mVal) hade ingen effekt på genomsnittligt AUC för finerenon och minskade dess genomsnittliga Cmax med 19 %. Detta anses inte vara kliniskt relevant.
Ingen farmakokinetisk interaktion påvisades mellan finerenon och CYP2C9‑substratet warfarin och mellan finerenon och P‑gp-substratet digoxin.
Flera doser av 40 mg finerenon en gång dagligen hade ingen kliniskt relevant effekt på AUC och Cmax för BCRP (breast cancer resistant protein)- och OATP (organisk anjontransportpolypeptid)-substratet rosuvastatin.
När råttor exponerades under dräktighet och laktation i den pre- och postnatala studien av utvecklingstoxicitet observerades ökad mortalitet hos ungar och andra biverkningar (låg vikt hos avkomma, fördröjt öppnande av öronmussla) vid doser cirka 2 eller 4 gånger det AUCobundet som förväntas hos människa vid dosen 40 mg respektive 20 mg. Dessutom visade avkomman en något ökad rörelseaktivitet men inga andra neurologiska beteendeförändringar observerades vid cirka 2 eller 4 gånger det AUCobundet som förväntas hos människa vid dosen 40 mg respektive 20 mg. Doserna som var utan fynd gav en säkerhetsmarginal på cirka 2 gånger för AUCobundet för dosen 20 mg och ligger i det terapeutiska intervallet för dosen 40 mg. Den ökade rörelseaktiviteten hos avkomman kan tyda på en potentiell risk för fostret. På grund av fynden hos ungar kan dessutom en risk för det ammade nyfödda barnet/spädbarnet inte uteslutas.
Kvinnlig fertilitet
Finerenon orsakade nedsatt fertilitet hos honor (minskat antal corpora lutea och implantationsställen) samt tecken på tidig embryonal toxicitet (ökad förlust efter implantation och minskat antal livskraftiga foster) vid cirka 9 gånger AUCobundet hos människa för dosen 40 mg och cirka 21 gånger AUCobundet hos människa för dosen 20 mg. Dessutom påvisades minskade ovarievikter vid koncentrationer som var cirka 7 gånger AUCobundet hos människa för dosen 40 mg och cirka 17 gånger AUCobundet hos människa för dosen 20 mg. Inga effekter på fertilitet hos honor och tidig embryonal utveckling sågs vid 4 gånger AUCobundet hos människa för dosen 40 mg och 10 gånger AUCobundet hos människa för dosen 20 mg. Därför är resultaten hos honråttor av liten klinisk relevans (se avsnitt Graviditet).
Miljöriskbedömning
Miljöriskbedömningsstudier har visat att finerenon kan utgöra en risk för ytvatten och grundvatten (se avsnitt Hållbarhet, förvaring och hantering).
Varje filmdragerad tablett innehåller 25 mg laktos (som monohydrat), se avsnitt Varningar och försiktighet.
Förteckning över hjälpämnen
Tablettkärna
Mikrokristallin cellulosa (E 460)
Kroskarmellosnatrium
Hypromellos 2910 (E 464)
Laktosmonohydrat
Magnesiumstearat (E 470b)
Natriumlaurilsulfat (E 487)
Tablettdragering
Hypromellos 2910 (E 464)
Titandioxid (E 171)
Talk (E 553b)
Kerendia 10 mg filmdragerade tabletter
Röd järnoxid (E 172)
Kerendia 20 mg filmdragerade tabletter
Gul järnoxid (E 172)
Kerendia 40 mg filmdragerade tabletter
Röd järnoxid (E 172)
Gul järnoxid (E 172)