Fass-texten är särskilt framtagen för förskrivare och vårdpersonal. Texten är baserad på produktresumén.
Texten är baserad på produktresumé: 2021-05-31.
Texten är baserad på produktresumé: 2021-05-31.
Abiraterone medac är tillsammans med prednison eller prednisolon indicerat för:
behandling av nydiagnostiserad högrisk metastaserad hormonkänslig prostatacancer (mHSPC) hos vuxna män i kombination med androgen deprivationsterapi (ADT) (se avsnitt Farmakodynamik)
behandling av metastaserad kastrationsresistent prostatacancer (mCRPC) hos vuxna män som är asymtomatiska eller har milda symtom efter svikt av androgen deprivationsterapi hos vilka kemoterapi ännu inte är indicerad (se avsnitt Farmakodynamik)
behandling av mCRPC hos vuxna män vars sjukdom har progredierat under eller efter en docetaxelbaserad kemoterapiregim.
Överkänslighet mot den aktiva substansen eller mot något hjälpämne som anges i avsnitt Innehåll.
Kvinnor som är eller kan vara gravida (se avsnitt Graviditet).
Om en daglig dos av antingen abirateron, prednison eller prednisolon missas ska behandlingen återupptas följande dag med den vanliga dosen.
Levertoxicitet
Hos patienter som utvecklar levertoxicitet under behandling (förhöjda nivåer av alaninaminotransferas [ALAT] eller aspartataminotransferas [ASAT] > 5 x den övre gränsen för normalvärdet [ULN], ska behandlingen avbrytas omedelbart (se avsnitt Varningar och försiktighet). Förnyad behandling efter att leverfunktionstesterna återgått till patientens utgångsläge kan ges med en reducerad dos på 500 mg en gång dagligen. För patienter som behandlas på nytt ska serumtransaminaser kontrolleras minst varannan vecka i tre månader och därefter en gång i månaden. Om levertoxiciteten återkommer vid den reducerade dosen på 500 mg dagligen ska behandlingen sättas ut.
Hos patienter som utvecklar en allvarlig levertoxicitet under behandling (ALAT eller ASAT 20 x ULN) ska behandlingen avbrytas och patienten ska inte behandlas igen.
Nedsatt leverfunktion
Ingen dosjustering behövs för patienter med föreliggande lätt nedsatt leverfunktion, Child-Pugh klass A.
Måttligt nedsatt leverfunktion (Child-Pugh klass B) har visats öka den systemiska exponeringen av abirateron med ungefär fyra gånger efter perorala singeldoser av abirateronacetat på 1000 mg (se avsnitt Farmakokinetik). Det finns inga kliniska säkerhets- och effektdata gällande upprepade doser av abirateronacetat när det ges till patienter med måttligt till gravt nedsatt leverfunktion (Child-Pugh klass B eller C). Någon dosjustering kan inte uppskattas. Användning av abirateron hos patienter med måttligt nedsatt leverfunktion bör noggrant utvärderas, för vilka nyttan klart bör överväga den potentiella risken (se avsnitt Dosering och Farmakokinetik). Abirateron bör inte användas hos patienter med gravt nedsatt leverfunktion (se avsnitt Kontraindikationer, Varningar och försiktighet och Farmakokinetik).
Nedsatt njurfunktion
Ingen dosjustering behövs för patienter med nedsatt njurfunktion (se avsnitt Farmakokinetik).
Det finns dock ingen klinisk erfarenhet från patienter med prostatacancer och kraftigt nedsatt njurfunktion. Försiktighet bör iakttas hos dessa patienter (se avsnitt Varningar och försiktighet).
Pediatrisk population
Det finns ingen relevant användning av abirateron i den pediatriska populationen.
Administreringssätt
Abirateron är avsett för oralt bruk.
Tabletterna ska tas minst två timmar efter måltid och ingen mat får intas under minst en timme efter att tabletten tagits. Tabletterna ska sväljas hela med vatten.
Levertoxicitet och nedsatt leverfunktion
Markanta ökningar av leverenzymer ledande till avbruten behandling eller dosändring förekom i kontrollerade kliniska studier (se avsnitt Biverkningar). Serumtransaminasnivåer ska mätas innan behandling påbörjas, varannan vecka de första tre behandlingsmånaderna och varje månad därefter. Om kliniska symtom eller tecken som tyder på levertoxicitet utvecklas ska serumtransaminaser mätas omedelbart. Om ALAT eller ASAT vid någon tidpunkt ökar > 5 x ULN ska behandlingen omedelbart avbrytas och leverfunktionen noga övervakas. Förnyad behandling får endast genomföras efter att leverfunktionstesterna återgått till patientens utgångsläge och med en reducerad dosnivå (se avsnitt Dosering).
Om patienten utvecklar svår levertoxicitet (ALAT eller ASAT 20 x ULN) vid någon tidpunkt under terapin ska behandlingen avbrytas och patienten ska inte behandlas igen.
Patienter med aktiv eller symtomatisk viral hepatit exkluderades från kliniska studier. Det föreligger därför inga data som stödjer användning av abirateron hos denna population.
Data för klinisk säkerhet och effektivitet av multipla doser abirateronacetat administrerat till patienter med måttligt till gravt nedsatt leverfunktion (Child-Pugh Klass B eller C) saknas. Användning av abirateron hos patienter med måttligt nedsatt leverfunktion bör noggrant utvärderas, för vilka nyttan klart bör överväga den potentiella risken (se avsnitt Dosering och Farmakokinetik). Abirateron bör inte användas hos patienter med gravt nedsatt leverfunktion (se avsnitt Dosering, Kontraindikationer och Farmakokinetik). Det har förekommit sällsynta fall av akut leversvikt och fulminant hepatit efter marknadsintroduktion varav några med dödlig utgång (se avsnitt Biverkningar).
Utsättning av kortikosteroider och hantering vid stressituationer
Försiktighet tillråds och binjurebarksinsufficiens ska övervakas om prednison eller prednisolon sätts ut hos en patient. Om behandling med abirateron fortsätts efter att kortikosteroider satts ut ska patienten övervakas med avseende på symtom på överskott av mineralkortikoider (se ovanstående information).
Om patienter som tar prednison eller prednisolon utsätts för ovanlig stress kan en ökad dos av kortikosteroider vara indicerat före, under och efter stressituationen.
Bendensitet
Minskad bendensitet kan förekomma hos män med metastaserad avancerad prostatacancer. Användningen av abirateron i kombination med en glukokortikoid kan öka denna effekt.
Tidigare användning av ketokonazol
Lägre responsfrekvens kan förväntas hos patienter som tidigare behandlats med ketokonazol vid prostatacancer.
Hyperglykemi
Användning av glukokortikosteroider kan öka hyperglykemi och därför ska blodsocker regelbundet mätas hos patienter med diabetes.
Hypoglykemi
Fall av hypoglykemi har rapporterats när abirateron plus prednison/prednisolon administrerades till patienter med underliggande diabetes som fick pioglitazon eller repaglinid (se avsnitt Interaktioner).
Blodsockret bör därför mätas frekvent hos patienter med diabetes.
Användning med kemoterapi
Säkerhet och effekt av samtidig användning av abirateron med cytotoxisk kemoterapi har inte fastställts (se avsnitt Farmakodynamik).
Intolerans mot hjälpämnen
Detta läkemedel innehåller laktos. Patienter med något av följande sällsynta ärftliga tillstånd bör inte använda detta läkemedel: galaktosintolerans, total laktasbrist eller glukos-galaktosmalabsorption.
Detta läkemedel innehåller 23,2 mg natrium per dos bestående av fyra tabletter om 250 mg och 23 mg natrium per dos bestående av två tabletter om 500 mg, motsvararande 1,2 % av WHOs högsta rekommenderat dagligt intag (2 gram natrium för vuxna).
Potentiella risker
Anemi och sexuell dysfunktion kan förekomma hos män med metastaserad prostatacancer inklusive de som genomgår behandling med abirateron.
Skelettmuskeleffekter
Fall av myopati och rabdomyolys har rapporterats hos patienter som behandlats med abirateron. De flesta fall utvecklades inom de första 6 månaderna av behandlingen och återhämtade sig efter utsättande av abirateron. Försiktighet rekommenderas hos patienter som samtidigt behandlas med läkemedel som är kända för att vara förknippade med myopati/rabdomyolys.
Interaktioner med andra läkemedel
Kraftiga inducerare av CYP3A4 kan minska exponeringen av abirateron då de intas samtidigt, därför bör samtidigt intag undvikas, med undantag för om andra terapeutiska alternativ saknas (se avsnitt Interaktioner).
Kombination av abirateron och prednison/prednisolon med Ra-223
Behandling med abirateron och prednison/prednisolon i kombination med Ra-223 är kontraindicerad (se avsnitt Kontraindikationer) på grund av att en ökad risk för frakturer samt en trend till ökad mortalitet bland asymtomatiska eller lätt symtomatiska prostatacancerpatienter observerats i kliniska prövningar. Det rekommenderas att efterföljande behandling med Ra-223 inte initieras förrän det har gått minst 5 dagar efter den sista administreringen av abirateron i kombination med prednison/prednisolon.
Abirateron är en hämmare av de läkemedelsmetaboliserande enzymerna CYP2D6 och CYP2C8 i levern. I en studie för att fastställa effekterna av abirateronacetat (plus prednison) på en singeldos av CYP2D6-substratet dextrometorfan ökade den systemiska exponeringen (AUC) av dextrometorfan cirka 2,9 gånger. AUC24 för dextrorfan, den aktiva metaboliten av dextrometorfan, ökade cirka 33 %.
Försiktighet tillråds vid administrering tillsammans med läkemedel som aktiveras av eller metaboliseras av CYP2D6, i synnerhet tillsammans med läkemedel som har ett smalt terapeutiskt index. Dosreduktion av läkemedel med smalt terapeutiskt index som metaboliseras av CYP2D6 ska övervägas. Exempel på läkemedel som metaboliseras av CYP2D6 inkluderar metoprolol, propranolol, desipramin, venlafaxin, haloperidol, risperidon, propafenon, flekainid, kodein, oxykodon och tramadol (de sista tre läkemedlen kräver CYP2D6 för att bilda sina aktiva smärtstillande metaboliter).
I en läkemedelsinteraktionsstudie med CYP2C8 på friska försökspersoner gavs pioglitazon tillsammans med en singeldos av 1000 mg abirateronacetat. Man såg att AUC hos pioglitazon ökade med 46 % och AUC för M-III och M-IV (pioglitazons aktiva metaboliter) minskade vardera med 10 %. Vid samtidig administrering bör patienter övervakas för tecken på toxicitet relaterad till CYP2C8-substrat med ett smalt terapeutiskt index. Exempel på läkemedel som metaboliseras av CYP2C8 inkluderar pioglitazon och repaglinid (se avsnitt Varningar och försiktighet).
In vitro visade sig huvudmetaboliterna abirateronsulfat och N-oxidabirateronsulfat hämma leverupptagstransportören OATP1B1, vilket kan medföra ökad koncentration av läkemedel som elimineras via OATP1B1. Det finns inga kliniska data tillgängliga som bekräftar transportörbaserad interaktion.
Användning med läkemedel kända för att förlänga QT-intervallet
Eftersom androgen deprivationsterapi kan förlänga QT-intervallet bör försiktighet iakttas vid administrering av abirateron med läkemedel som är kända för att förlänga QT-intervallet eller läkemedel som kan framkalla torsades de pointes, t.ex. klass IA-antiarytmika (t.ex. kinidin, disopyramid) eller klass III-antiarytmika (t.ex. amiodaron, sotalol, dofetilid, ibutilid), metadon, moxifloxacin, antipsykotika, etc.
Användning med spironolakton
Spironolakton binder till androgenreceptorn och kan öka nivåerna av prostataspecifikt antigen (PSA). Samtidig användning av spironolakton och abirateron rekommenderas ej (se avsnitt Farmakodynamik).
Läkemedelsbiverkningar som iakttogs under kliniska studier och efter marknadsintroduktionen anges nedan efter frekvenskategori. Frekvenskategorierna definieras på följande sätt: mycket vanliga (≥ 1/10), vanliga (≥ 1/100, < 1/10), mindre vanliga (≥ 1/1 000, < 1/100), sällsynta (≥ 1/10 000, < 1/1 000), mycket sällsynta (< 1/10 000) och ingen känd frekvens (kan inte beräknas från tillgängliga data).
Biverkningarna presenteras inom varje frekvensområde efter fallande allvarlighetsgrad.
Tabell 1: Läkemedelsbiverkningar som identifierats vid kliniska studier och efter marknadsintroduktion
* Hjärtsvikt omfattar även kronisk hjärtinsufficiens, vänsterkammardysfunktion och minskad ejektionsfraktion
** Frakturer omfattar osteoporos och alla frakturer med undantag av patologiska frakturer
a Spontanrapporter efter marknadsintroduktion
b Förhöjt alaninaminotransferas och/eller förhöjt aspartataminotransferas omfattar förhöjt ALAT, förhöjt ASAT samt onormal leverfunktion.
Följande läkemedelsbiverkningar av CTCAE (version 4.0) grad 3 förekom hos patienter som behandlades med abirateronacetat: hypokalemi 5 %, urinvägsinfektion 2 %, förhöjt alaninaminotransferas och/eller förhöjt aspartataminotransferas 4 %, hypertoni 6 %, frakturer 2 %, perifert ödem, hjärtsvikt och förmaksflimmer 1 % vardera. CTCAE (version 4.0) grad 3 av hypertriglyceridemi och angina pectoris förekom hos < 1 % av patienterna. CTCAE (version 4.0) grad 4 av urinvägsinfektion, förhöjt alaninaminotransferas och/eller förhöjt aspartataminotransferas, hypokalemi, hjärtsvikt, förmaksflimmer och frakturer förekom hos < 1 % av patienterna.
En högre incidens av hypertoni och hypokalemi observerades i den hormonkänsliga populationen (studie 3011). Hypertoni rapporterades hos 36,7 % av patienterna i den hormonkänsliga populationen (studie 3011) jämfört med 11,8 % och 20,2 % i studie 301 respektive 302. Hypokalemi observerades hos 20,4 % av patienterna i den hormonkänsliga populationen (studie 3011) jämfört med 19,2 % och 14,9 % i studie 301 respektive 302.
Incidensen och allvarlighetsgraden för biverkningarna var högre i patientsubgrupperna med ECOG- funktionsstatus 2 vid utgångsläget samt hos äldre patienter (≥ 75 år).
Beskrivning av selekterade biverkningar
Kardiovaskulära reaktioner
De tre Fas 3-studierna exkluderade patienter med okontrollerad hypertoni, kliniskt signifikant hjärtsjukdom som manifesterats genom myokardinfarkt eller artärtrombotiska händelser under de senaste 6 månaderna, svår eller instabil angina eller hjärtsvikt NYHA klass III eller IV (studie 301) eller klass II till IV hjärtsvikt (studie 3011 och 302) eller hjärtejektionsfraktionsmätning på < 50 %. Alla inkluderade patienter (både aktiva och placebobehandlade patienter) behandlades samtidigt med androgen deprivationsterapi, huvudsakligen med användning av LHRH-analoger, vilket har förknippats med diabetes, hjärtinfarkt, cerebrovaskulära händelser och plötslig hjärtdöd. Incidensen av kardiovaskulära biverkningar i Fas 3-studierna hos patienter som tog abirateronacetat jämfört med patienter som tog placebo var följande: förmaksflimmer 2,6 % mot 2,0 %, takykardi 1,9 % mot 1,0 %, angina pectoris 1,7 % mot 0,8 %, hjärtsvikt 0,7 % mot 0,2 % och arytmi 0,7 % mot 0,5 %.
Levertoxicitet
Levertoxicitet med förhöjt ALAT, ASAT och totalt bilirubin har rapporterats hos patienter som behandlats med abirateronacetat. I kliniska Fas 3-studier rapporterades levertoxicitet av grad 3 och 4 (t.ex. ALAT- eller ASAT-ökningar på > 5 x ULN eller bilirubinökningar > 1,5 x ULN) hos cirka 6 % av patienterna som erhöll abirateronacetat, vanligtvis under de första 3 månaderna efter att behandlingen startats. I studie 3011 iakttogs levertoxicitet av grad 3 eller 4 hos 8,4 % av patienterna som behandlades med abirateron. För tio patienter som fick abirateron sattes behandlingen ut på grund av levertoxicitet. Två hade levertoxicitet av grad 2, sex hade levertoxicitet av grad 3 och två hade levertoxicitet av grad 4. Ingen patient dog av levertoxicitet i studie 3011. I Fas 3-studier hade patienter vars ALAT eller ASAT var förhöjt vid utgångsläget större benägenhet för att drabbas av förhöjda leverfunktionstester än de som hade normala värden från början. När förhöjningar av antingen ALAT eller ASAT > 5 x ULN eller förhöjningar av bilirubin > 3 x ULN iakttogs, gjordes uppehåll i eller sattes behandlingen med abirateronacetat ut. I två fall förekom markanta ökningar av leverfunktionstester (se avsnitt Varningar och försiktighet). Dessa två patienter med normal leverfunktion vid utgångsläget drabbades av ALAT- eller ASAT-förhöjningar på 15 till 40 x ULN och bilirubinförhöjningar på 2 till 6 x ULN. Då abirateronacetat sattes ut normaliserades båda patienternas leverfunktionstester och en patient behandlades på nytt utan att förhöjningarna återkom. I studie 302 observerades ASAT- eller ALAT-ökningar av grad 3 eller 4 hos 35 (6,5 %) av patienterna som behandlades med abirateronacetat. Aminotransferasökningar upphörde hos alla utom 3 patienter (2 med nya multipla levermetastaser och 1 med ASAT-ökningar ca 3 veckor efter den sista dosen av abirateronacetat). I kliniska Fas 3-studier rapporterades avbrytande av behandling på grund av ALAT- och ASAT- ökningar eller onormal leverfunktion hos 1,1 % av patienterna som behandlades med abirateronacetat och 0,6 % av patienterna som behandlades med placebo. Inga dödsfall rapporterades till följd av levertoxicitet.
I kliniska prövningar minskades risken för levertoxicitet genom exklusion av patienter med hepatit vid utgångsläget eller betydande avvikelser i leverfunktionstester. I studie 3011 exkluderades patienter med ALAT och ASAT > 2,5 x ULN, bilirubin > 1,5 x ULN vid utgångsläget eller de med aktiv eller symtomatisk virushepatit eller kronisk leversjukdom; ascites eller koagulationsrubbningar till följd av leverdysfunktion. I studie 301 exkluderades patienter med ALAT och ASAT ≥ 2,5 x ULN vid utgångsläget vid frånvaro av levermetastaser och > 5 x ULN vid närvaro av levermetastaser. I studie 302 var patienter med levermetastaser inte berättigade att delta och patienter med ALAT och ASAT ≥ 2,5 x ULN vid utgångsläget exkluderades. Onormala leverfunktionstester som utvecklades hos patienter som deltog i kliniska prövningar hanterades kraftfullt genom att behandlingsavbrott krävdes och förnyad behandling endast tilläts efter att leverfunktionstesterna hade återgått till patientens utgångsläge (se avsnitt Dosering). Patienter med förhöjningar av ALAT eller ASAT > 20 x ULN behandlades inte på nytt. Säkerheten för förnyad behandling av sådana patienter är inte känd. Mekanismen för hepatotoxicitet är inte känd.
Rapportering av misstänkta biverkningar
Det är viktigt att rapportera misstänkta biverkningar efter att läkemedlet godkänts. Det gör det möjligt att kontinuerligt övervaka läkemedlets nytta-riskförhållande. Hälso- och sjukvårdspersonal uppmanas att rapportera varje misstänkt biverkning till Läkemedelsverket, men alla kan rapportera misstänkta biverkningar till Läkemedelsverket, www.lakemedelsverket.sePostadress: Läkemedelsverket, Box 26, 751 03 Uppsala.
Effekt fastställdes i tre randomiserade, placebokontrollerade, kliniska Fas 3-multicenterstudier (studie 3011, 302 och 301) på patienter med mHSPC och mCRPC. Studie 3011 inkluderade patienter som nyligen diagnostiserats (inom 3 månader före randomiseringen) med mHSPC och uppvisade prognostiska högriskfaktorer. Högriskprognos definierades som att uppvisa minst 2 av följande 3 riskfaktorer: (1) Gleasonsumma på ≥ 8, (2) förekomst av 3 eller fler lesioner på benskanning, (3) förekomst av mätbar visceral (lymfkörtelsjukdom undantaget) metastas. I gruppen som fick aktiv behandling administrerades abirateron med en dos på 1000 mg dagligen i kombination med lågdos prednison 5 mg en gång dagligen i tillägg till ADT (LHRH-agonist eller orkiektomi), vilket utgjorde standardbehandlingen. Patienterna i kontrollgruppen fick ADT samt placebo för både abirateron och prednison. Studie 302 inkluderade patienter som inte tidigare hade fått docetaxel, medan studie 301 inkluderade patienter som tidigare hade fått docetaxel. Patienterna använde en LHRH-analog eller hade tidigare behandlats med orkiektomi. I den aktiva behandlingsarmen administrerades abirateron med en dos på 1000 mg dagligen i kombination med lågdos prednison eller prednisolon 5 mg två gånger dagligen. Kontrollpatienter erhöll placebo och lågdos prednison eller prednisolon 5 mg två gånger dagligen.
Förändringar av PSA-serumkoncentration i sig förutsäger inte alltid den kliniska nyttan. Därför rekommenderades i alla studierna att patienterna fortsatte med sina behandlingar tills kriterier för avbrytande uppnåddes som specificerat nedan för varje studie.
I alla studierna var användning av spironolakton inte tillåten eftersom spironolakton binder till androgenreceptorn och kan öka PSA-nivåerna.
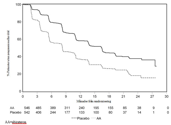
Studie 3011 (patienter med nydiagnostiserad högrisk mHSPC)
I studie 3011 (n = 1199) var medianåldern för de inkluderade patienterna 67 år. Antalet patienter per ursprungsgrupp som behandlades med abirateron var 832 (69,4 %) kaukasier, 246 (20,5 %) asiater, 25 (2,1 %) svarta eller afroamerikaner, 80 (6,7 %) övriga, 13 (1,1 %) okända/ej rapporterade och 3 (0,3 %) amerikaindianer eller infödda från Alaska. ECOG-funktionsstatus var 0 eller 1 för 97 % av patienterna. Patienter med kända hjärnmetastaser, okontrollerad hypertoni, signifikant hjärtsjukdom eller hjärtsvikt av NYHA klass II-IV exkluderades. Patienter som tidigare behandlats med farmakoterapi, strålbehandling eller kirurgi mot metastaserad prostatacancer exkluderades, med undantag för upp till 3 månaders ADT-behandling eller 1 behandlingstillfälle med palliativ strålning eller kirurgi för behandling av symtom till följd av metastaserad sjukdom. Sammansatta primära endpoints var total överlevnad (OS) och radiografisk progressionsfri överlevnad (rPFS). Medianvärdet för smärtnivån vid utgångsläget, uppmätt enligt skalan Brief Pain Inventory Short Form (BPI-SF), var 2,0 i både behandlings- och placebogrupperna. Utöver de sammansatta primära studieeffektmåtten utvärderades även nyttan i form av tid till skelettrelaterad händelse (SRE), tid till efterföljande behandling för prostatacancer, tid till initiering av kemoterapi, tid till tilltagande smärta och tid till PSA-progression. Behandlingen fortsatte fram till sjukdomsprogression, tillbakadraget samtycke, förekomst av oacceptabel toxicitet eller dödsfall.
Radiografisk progressionsfri överlevnad definierades som tiden från randomisering till förekomst av radiografisk progression eller dödsfall oavsett orsak. Radiografisk progression inkluderade progression vid benskanning (enligt modifierade PCWG2-kriterier) eller progression av mjukdelslesioner vid CT eller MRT (enligt RECIST 1.1).
En signifikant skillnad i rPFS mellan behandlingsgrupperna observerades (se tabell 2 och figur 1).
Tabell 2: Radiografisk progressionsfri överlevnad – stratifierad analys; Intent-To-Treat- population (studie PCR3011)
Anm: + = censurerad observation, NE = kan ej bedömas. Radiografisk progression och dödsfall beaktas vid definitionen av rPFS-händelsen. AA-P = patienter som fick abirateronacetat och prednison.
a p-värde erhölls från ett log-rank-test stratifierat för ECOG-funktionsstatus (0/1 eller 2) och visceral lesion (frånvarande eller närvarande).
b Riskkvoten baseras på stratifierade proportionerliga riskmodeller. Riskkvot < 1 är till fördel för AA-P.
Figur 1: Kaplan-Meier-kurva med progressionsfri överlevnad; Intent-To-Treat-population (studie PCR3011)
En statistiskt signifikant förbättring av OS till fördel för AA-P plus ADT observerades med en 34 % minskning av risken för dödsfall jämfört med placebo plus ADT (riskkvot = 0,66; 95 % konfidensintervall [CI]: 0,56, 0,78; p < 0,0001), (se tabell 3 och figur 2).
Tabell 3: Total överlevnad hos patienter behandlade med antingen abirateron eller placebo i studie PCR3011 (Intent-to-Treat-analys)
NE = kan ej bedömas. AA-P = patienter som fick abirateronacetat och prednison
1 Riskkvoten baseras på en stratifierad proportionerlig riskmodell. Riskkvot < 1 är till fördel för AA-P.
Subgruppsanalyser visade en konsekvent fördel för behandling med abirateron. Behandlingseffekten av AA-P på rPFS och OS i de prespecificerade subgrupperna visade en fördel och var konsekvent i hela studiepopulationen, med undantag för subgruppen med ECOG-funktionsstatus 2 där ingen tendens till nytta observerades. Det lilla provurvalet (n = 40) begränsar dock möjligheten att dra någon meningsfull slutsats.
Utöver de observerade förbättringarna i total överlevnad och rPFS påvisades nyttan med abirateron framför placebo i alla prospektivt definierade sekundära studieeffektmått enligt följande.
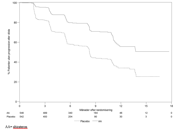
Studie 302 (patienter som inte tidigare behandlats med kemoterapi)
Denna studie inkluderade patienter som inte tidigare behandlats med kemoterapi och som var asymtomatiska eller hade lindriga symptom och hos vilka kemoterapi ännu inte har varit kliniskt indicerat. Den värsta smärtintensiteten under de föregående 24 timmarna som skattades till 0-1 poäng på skalan Brief Pain Inventory-Short Form (BPI-SF) tolkades som asymptomatisk, och 2-3 poäng tolkades som lindrigt symptomatisk.
I studie 302 (n = 1088) var medianåldern 71 år för inkluderade patienter som behandlades med abirateron och prednison eller prednisolon och 70 år för patienter som behandlades med placebo och prednison eller prednisolon. Antalet patienter per ursprungsgrupp som behandlades med abirateron var 520 kaukasier (95,4 %), 15 svarta (2,8 %), 4 asiater (0,7 %) och 6 andra (1,1 %). Eastern Cooperative Oncology Group (ECOG)-funktionsstatus var 0 hos 76 % av patienterna och 1 hos 24 % av patienterna i båda armarna. 50 % av patienterna hade endast skelettmetastaser och ytterligare 31 % av patienterna hade ben- och mjukvävnads- eller lymfnodmetastaser och 19 % av patienterna hade endast mjukvävnads- eller lymfnodmetastaser. Patienter med viscerala metastaser exkluderades. Sammansatta primära endpoints var total överlevnad och radiografisk progressionsfri överlevnad (rPFS). Som tillägg till de sammansatta primära studieeffektmåtten utvärderades även nyttan i form av tid till opiatanvändning vid cancersmärta, tid till initiering av cytotoxisk kemoterapi, tid till försämring av ECOG-funktionsstatus med ≥ 1 poäng och tid till PSA-progression baserat på PCWG2 (Prostate
Cancer Working Group-2)-kriterier. Studiebehandlingarna avbröts vid entydig klinisk progression. Behandlingarna kunde också avbrytas vid bekräftad radiografisk progression enligt beslut av prövaren.
Radiografisk progressionsfri överlevnad (rPFS) bedömdes med hjälp av sekventiella bildanalyser enligt definition i PCWG2-kriterier (för skelettskador) och modifierade RECIST (Response Evaluation Criteria In Solid Tumors)-kriterier (för mjukdelsskador). Analys av rPFS utnyttjade centralt granskad radiologisk progressionsbedömning.
Vid den planerade rPFS analysen fanns det 401 händelser, 150 (28 %) av patienterna som behandlades med abirateron och 251 (46 %) av patienterna som behandlades med placebo hade radiografiska tecken på progression eller hade avlidit. En signifikant skillnad i rPFS mellan behandlingsgrupperna observerades (se tabell 4 och figur 3).
Tabell 4: Studie 302: Radiografisk progressionsfri överlevnad hos patienter behandlade med antingen abirateron eller placebo i kombination med prednison eller prednisolon plus LHRH-analoger eller tidigare orkidektomi
NE= kan ej bedömas
* p-värde erhölls från ett log-rank test stratifierat för ECOG-funktionsstatus (0 eller 1) vid utgångsläget
** Riskkvot < 1 är till fördel för abirateron
Patientdata fortsatte emellertid att samlas in fram till tidpunkten för den andra interimsanalysen av total överlevnad (Overall Survival, OS). Prövarens radiografiska bedömning av rPFS som utfördes som en uppföljande känslighetsanalys presenteras i tabell 5 och figur 4.
Sexhundrasju (607) patienter hade radiografisk progression eller avled: 271 (50 %) i abirateronacetatgruppen och 336 (62 %) i placebogruppen. Behandling med abirateronacetat minskade risken för radiografisk progression eller död med 47 % jämfört med placebo (riskkvot = 0,530, 95 % CI: [0,451; 0,623], p < 0,0001). Medianen för rPFS var 16,5 månader i abirateronacetatgruppen och 8,3 månader i placebogruppen.
Tabell 5: Studie 302: Radiografisk progressionsfri överlevnad hos patienter behandlade antingen med abirateron eller placebo i kombination med prednison eller prednisolon plus LHRH-analoger eller tidigare orkidektomi (vid en andra interimsanalys av total överlevnad enligt prövarens bedömning)
* p-värde erhölls från ett log-rank test stratifierat för ECOG-funktionsstatus (0 eller 1) vid utgångsläget** Riskkvot < 1 är till fördel för abirateron
En planerad interimsanalys för OS utfördes efter att 333 dödsfall hade observerats. Med anledning av storleken på den observerade kliniska nyttan avblindades studien och patienter i placebogruppen erbjöds behandling med abirateron. Total överlevnad var längre för abirateron än placebo med en 25 %‑ ig reducering i risken att dö (riskkvot = 0,752, 95 % CI: [0,606; 0,934]), p = 0,0097, men data för OS var inte mogna och interimsresultaten motsvarade inte den prespecificerade gränsen för statistisk signifikans (se tabell 4). Överlevnad fortsatte att följas efter denna interimsanalys.
Den planerade slutliga analysen för OS utfördes efter att 741 dödsfall observerats (median uppföljningstid 49 månader). Sextiofem procent (354 av 546) av patienterna behandlade med abirateron, jämfört med 71 % (387 av 542) av patienterna behandlade med placebo, hade avlidit. En statistiskt signifikant OS-fördel som talade för den abirateron-behandlade gruppen påvisades med 19,4 % minskning av risken för dödsfall (riskkvot = 0,806; 95 % CI: [0,697; 0,931], p = 0,0033) och en förbättring av median OS på 4,4 månader (abirateron 34,7 månader, placebo 30,3 månader) (se tabell 6 och figur 5). Den här förbättringen påvisades trots att 44 % av patienterna i placebogruppen fick abirateron som efterföljande behandling.
Tabell 6: Studie 302: Total överlevnad av patienter behandlade med antingen abirateron eller placebo i kombination med prednison eller prednisolon samt LHRH- analoger eller tidigare orkidektomi
NE= kan ej bedömas
* p-värdet erhölls från ett log-rank test stratifierat för ECOG-funktionsstatus (0 eller 1) vid utgångsläget.
** Riskkvot < 1 är till fördel för abirateron
Figur 5: Kaplan Meier överlevnadskurvor för patienter behandlade med antingen abirateron eller placebo i kombination med prednison eller prednisolon plus LHRH-analoger eller tidigare orkidektomi, slutlig analys
Förutom observerade förbättringar i total överlevnad och rPFS har nytta visats för abirateron jämfört med placebo behandling i alla mått av sekundära endpoints enligt följande:
Tid till PSA-progression baserat på PCWG2-kriterier: Mediantiden till PSA progression var 11,1 månader för patienter som fick abirateron och 5,6 månader för patienter som fick placebo (Riskkvot = 0,488, 95 % CI: [0,420; 0,568], p < 0,0001). Tiden till PSA-progression var ungefär fördubblad med abirateron-behandling (Riskkvot = 0,488). Andelen patienter med ett bekräftat PSA-svar var större i abirateron-gruppen än i placebogruppen (62 % mot 24 %, p < 0,0001). Hos patienter med mätbar mjukvävnadssjukdom sågs ett signifikant ökat antal fullständiga och partiella tumörsvar med abirateron-behandling.
Tid till opiatanvändning vid cancersmärta: Mediantiden till opiatanvändning vid cancersmärta vid tiden för den slutliga analysen var 33,4 månader för patienter som fick abirateron och var 23,4 månader för patienter som fick placebo (Riskkvot = 0,721; 95 % CI: [0,614; 0,846], p = < 0,0001).
Tid till initiering av cytotoxisk kemoterapi: Mediantiden till initiering av cytotoxisk kemoterapi var 25,2 månader för patienter som fick abirateron och 16,8 månader för patienter som fick placebo (Riskkvot = 0,580; 95 % CI: [0,487; 0,691], p < 0,0001).
Tid till försämring i ECOG funktionsstatus med ≥ 1 poäng: Mediantiden till försämring i ECOG funktionsstatus med ≥ 1 poäng var 12,3 månader för patienter som fick abirateron och 10,9 månader för patienter som fick placebo (Riskkvot = 0,821; 95 % CI: [0,714; 0,943], p = 0,0053).
Följande studieendpoints visade en statistisk signifikant fördel för abirateron-behandling:
Objektiv respons: Objektiv respons definierades som andelen patienter med mätbar sjukdom som uppnådde total eller partiell respons enligt RECIST-kriterier (lymfkörtelstorlek vid utgångsläget var tvunget att vara ≥ 2 cm för att betraktas som utvärderbara). Andelen patienter med mätbar sjukdom vid utgångsläget som hade en objektiv respons var 36 % i abirateron-gruppen och 16 % i placebogruppen (p < 0,0001).
Smärta: Behandling med abirateron minskade signifikant risken för progression av genomsnittlig smärtintensitet med 18 % jämfört med placebo (p = 0,0490). Mediantiden till progression var 26,7 månader i abirateron –gruppen och 18,4 månader i placebogruppen.
Tid till degradering av FACT-P (totalpoäng): Behandling med abirateron minskade risken för degradering av FACT-P (totalpoäng) med 22 % jämfört med placebo (p = 0,0028). Mediantiden till degradering av FACT-P (totalpoäng) var 12,7 månader i abirateron-gruppen och 8,3 månader i placebogruppen.
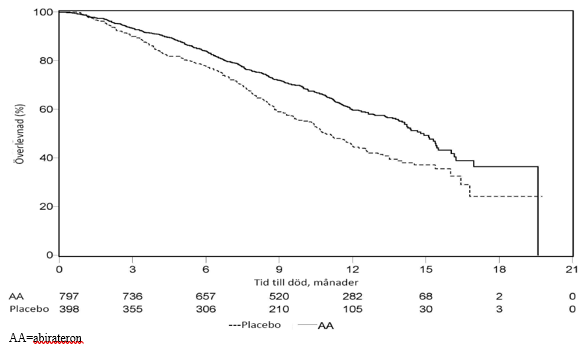
Studie 301 (patienter som tidigare behandlats med kemoterapi)
Studie 301 inkluderade patienter som tidigare behandlats med docetaxel. Patienterna behövde inte visa sjukdomsprogression med docetaxel eftersom toxicitet från denna kemoterapi kunde ha lett till utsättning. Patienterna fick fortsätta med studiebehandling tills PSA-progression (bekräftad 25 %-ig ökning över patientens utgångsläge/minimum) tillsammans med protokolldefinierad radiologisk progression och symtomatisk eller klinisk progression. Patienter som tidigare behandlats med ketokonazol för prostatacancer exkluderades från denna studie. Det primära effektmåttet var total överlevnad.
Medianåldern hos de inkluderade patienterna var 69 år (i intervallet 39-95). Antalet patienter behandlade med abirateron per ursprungsgrupp var 737 vita (93,2 %), 28 svarta (3,5 %), 11 asiater (1,4 %) och 14 övriga (1,8 %). Elva procent av de inkluderade patienterna hade en ECOG‑funktionsstatus på 2, 70 % hade radiologiskt bevis på sjukdomsprogression med eller utan PSA- progression, 70 % hade erhållit en tidigare cytotoxisk kemoterapi och 30 % hade erhållit två. Levermetastaser förekom hos 11 % av patienterna som behandlades med abirateron.
I en planerad analys som genomfördes efter att 552 dödsfall iakttagits hade 42 % (333 av 797) av patienterna som behandlades med abirateron avlidit, jämfört med 55 % (219 av 398) av patienterna som behandlades med placebo. En statistiskt signifikant förbättring av medianen av total överlevnaden sågs hos patienterna som behandlades med abirateron (se tabell 7).
Tabell 7: Total överlevnad av patienter behandlade med antingen abirateron eller placebo i kombination med prednison eller prednisolon plus LHRH-analoger eller föregående orkidektomi
a p-värde erhölls från ett log-rank test stratifierat för ECOG funktionsstatus (0-1 jämfört med 2), smärtnivån (frånvarande jämfört med närvarande), antalet tidigare kemoterapiregimer (1 jämfört med 2), och typ av sjukdomsprogression (PSA endast jämfört med radiologisk).
b Riskkvot erhölls från en stratifierad proportionell riskmodell. Riskkvot <1 är till fördel för abirateron
Vid alla utvärderingstidpunkter efter de inledande behandlingsmånaderna levde en högre andel av patienterna som behandlades med abirateron jämfört med andelen patienter som behandlades med placebo (se figur 6).
Figur 6: Kaplan-Meier-överlevnadskurvor för patienter behandlade med antingen abirateron eller placebo i kombination med prednison eller prednisolon plus LHRH-analoger eller föregående orkidektomi
Figur 7: Total överlevnad per undergrupp: riskkvot och 95 % konfidensintervall
Förutom den iakttagna förbättringen av total överlevnad var alla sekundära studieeffektmått till fördel för abirateron och statistiskt signifikanta efter justering för multipla analyser enligt nedan:
Patienter som erhöll abirateron visade en signifikant högre svarskvot för totalt PSA (definierad som en ≥ 50 % minskning från utgångsläget), jämfört med patienter som erhöll placebo, 38 % jämfört med 10 %, p < 0,0001.
Mediantiden till PSA-progression var 10,2 månader för patienter som behandlades med abirateron och 6,6 månader för patienter som behandlades med placebo (HR=0,580; 95 % CI: [0,462; 0,728], p < 0,0001).
Mediantiden till radiologisk progressionsfri överlevnad var 5,6 månader för patienter som behandlades med abirateron och 3,6 månader för patienter som erhöll placebo (HR=0,673; 95 % CI: [0,585; 0,776], p < 0,0001).
Smärta
Andelen patienter med smärtlindring var statistiskt signifikant högre i abirateron gruppen än i placebogruppen (44 % jämfört med 27 %, p = 0,0002). En responder för smärtlindring definierades som en patient som upplevt minst en 30-procentig minskning från utgångsläget av BPI-SF-poängen för värsta smärtintensitet under de senaste 24 timmarna utan någon ökning av poängen för användning av smärtstillande medel, vilket noterats vid två på varandra följande utvärderingar med fyra veckors mellanrum. Endast patienter med en smärtpoäng på ≥ 4 vid utgångsläget och minst en mätning av smärtpoäng efter utgångsläget analyserades (N=512) för smärtlindring.
En lägre andel av patienterna som behandlades med abirateron hade tilltagande smärta jämfört med patienter som tog placebo vid 6 månader (22 % jämfört med 28 %), 12 månader (30 % jämfört med 38 %) och 18 månader (35 % jämfört med 46 %). Tilltagande smärta definierades som en ökning från utgångsläget med ≥ 30 % av BPI-SF-poängen för värsta smärtintensitet under de föregående 24 timmarna utan någon minskning av poängen för användning av smärtstillande medel, vilket noterats vid två på varandra följande besök, eller en ökning med ≥ 30 % av poängen för användning av smärtstillande medel som noterats vid två på varandra följande besök. Tiden till tilltagande smärta i den 25:e percentilen var 7,4 månader i abirateron-gruppen, jämfört med 4,7 månader i placebogruppen.
Skelettrelaterade händelser
En lägre andel av patienterna i abirateron-gruppen upplevde skelettrelaterade händelser jämfört med placebogruppen vid 6 månader (18 % jämfört med 28 %), 12 månader (30 % jämfört med 40 %) och 18 månader (35 % jämfört med 40 %). Tiden till den första skelettrelaterade händelsen i den 25:e percentilen i abirateron-gruppen var dubbelt så lång som för kontrollgruppen med 9,9 månader jämfört med 4,9 månader. En skelettrelaterad händelse definierades som en patologisk fraktur, ryggmärgskompression, palliativ skelettstrålning eller skelettkirurgi.
Pediatrisk population
Europeiska läkemedelsmyndigheten har beviljat undantag från kravet att skicka in studieresultat för abirateron för alla grupper av den pediatriska populationen inom avancerad prostatacancer. Se avsnitt Dosering för information om pediatrisk användning.
Efter peroral administrering av 14C-abirateronacetat som kapslar hydrolyseras abirateronacetat till abirateron, vilket sedan genomgår metabolism inklusive sulfatering, hydroxylering och oxidering, främst i levern. Huvuddelen av cirkulerande radioaktivitet (cirka 92 %) påträffas i form av metaboliter av abirateron. Av 15 detekterbara metaboliter representerar 2 huvudsakliga metaboliter, abirateronsulfat och N-oxidabirateronsulfat, var och en cirka 43 % av den totala radioaktiviteten.
Eliminering
Den genomsnittliga halveringstiden för abirateron i plasma är cirka 15 timmar baserat på data från friska försökspersoner. Efter peroral administrering av 14C-abirateronacetat 1000 mg återfinns cirka 88 % av den radioaktiva dosen i feces och cirka 5 % i urinen. De huvudsakliga komponenterna som finns i feces är oförändrat abirateronacetat och abirateron (cirka 55 % respektive 22 % av den administrerade dosen).
Nedsatt leverfunktion
Farmakokinetiken för abirateronacetat undersöktes hos försökspersoner som redan hade lätt eller måttligt nedsatt leverfunktion (Child-Pugh klass A respektive B) och hos friska kontrollförsökspersoner. Systemisk exponering för abirateron efter en peroral singeldos på 1000 mg ökade med cirka 11 % och 260 % hos försökspersoner som redan hade lätt respektive måttligt nedsatt leverfunktion. Den genomsnittliga halveringstiden för abirateron förlängs till cirka 18 timmar hos försökspersoner med lätt nedsatt leverfunktion och till cirka 19 timmar hos försökspersoner med måttligt nedsatt leverfunktion.
I en annan studie undersöktes farmakokinetiken för abirateron hos försökspersoner med samtidigt existerande gravt (n=8) nedsatt leverfunktion (Child-Pugh klass C) och hos 8 friska kontrollförsökspersoner med normal leverfunktion. AUC för abirateron ökade med cirka 600 % och andelen fritt läkemedel med 80 % hos försökspersoner med gravt nedsatt leverfunktion jämfört med försökspersoner med normal leverfunktion.
Ingen dosjustering behövs hos patienter som redan har lätt nedsatt leverfunktion. Användning av abirateronacetat hos patienter med måttligt nedsatt leverfunktion bör noggrant utvärderas, för vilka nyttan klart bör överväga den potentiella risken (se avsnitt Dosering och Varningar och försiktighet). Abirateronacetat bör inte användas hos patienter med gravt nedsatt leverfunktion (se avsnitt Dosering, Kontraindikationer och Varningar och försiktighet).
För patienter som utvecklar levertoxicitet under behandling kan uppehåll behöva göras i behandlingen och dosjustering kan krävas (se avsnitt Dosering och Varningar och försiktighet).
Nedsatt njurfunktion
Farmakokinetiken för abirateronacetat jämfördes hos patienter med njursjukdom i slutstadiet som behandlades enligt ett regelbundet hemodialysschema med matchade kontrollförsökspersoner med normal njurfunktion. Systemisk exponering för abirateron efter en peroral singeldos på 1000 mg ökade inte hos försökspersoner med njursjukdom i slutstadiet som genomgick dialys. Administrering till patienter med nedsatt njurfunktion, även kraftigt nedsatt njurfunktion, kräver ingen dosminskning (se avsnitt Dosering). Det finns dock ingen tidigare erfarenhet från patienter med prostatacancer och samtidigt gravt nedsatt njurfunktion. Försiktighet skall iakttas vid behandling av dessa patienter.
Den aktiva substansen, abirateron, utgör en miljörisk för vattenmiljön, i synnerhet för fisk.
Svart järnoxid (E172)
Röd järnoxid (E172)
Makrogol poly(vinylalkohol) ympsampolymer
Talk
Titandioxid (E171)
Abirateron med prednison eller prednisolon är kontraindicerat i kombination med Ra-223.
Detta läkemedel ska förskrivas av lämplig sjukvårdspersonal.
Dosering
Den rekommenderade dosen är 1000 mg dagligen som en engångsdos, som inte får tas tillsammans med mat (se ”Administreringssätt” nedan). Att ta tabletterna med mat ökar den systemiska exponeringen av abirateron (se avsnitt Interaktioner och Farmakokinetik).
Dosering av prednison eller prednisolon
Vid mHSPC används abirateron med 5 mg prednison eller prednisolon dagligen. Vid mCRPC används abirateron med 10 mg prednison eller prednisolon dagligen.
Medicinsk kastrering med luteiniserande hormonutsöndrande hormon (LHRH)-analog ska fortsätta vid behandling av patienter som inte är kirurgiskt kastrerade.
Rekommenderad övervakning
Serumtransaminaser ska mätas innan behandling påbörjas, varannan vecka de första tre behandlingsmånaderna och därefter varje månad. Blodtryck, serumkalium och vätskeretention ska kontrolleras en gång i månaden. Dock bör patienter med signifikant risk för kronisk hjärtsvikt övervakas varannan vecka under de första tre månadernas behandling och därefter månadsvis (se avsnitt Varningar och försiktighet).
Hos patienter med underliggande hypokalemi eller som utvecklar hypokalemi under behandling med abirateron bör upprätthållande av patientens kaliumnivå ≥ 4,0 mM övervägas. Hos patienter som utvecklar toxicitet ≥ grad 3 inklusive hypertoni, hypokalemi, ödem och annan icke-mineralkortikoid toxicitet bör behandlingen avbrytas och lämpliga medicinska åtgärder vidtas. Behandling med abirateron bör inte återupptas förrän symtomen på toxicitet har gått tillbaks till grad 1 eller utgångsvärdet.
Om en daglig dos av antingen abirateron, prednison eller prednisolon missas ska behandlingen återupptas följande dag med den vanliga dosen.
Levertoxicitet
Hos patienter som utvecklar levertoxicitet under behandling (förhöjda nivåer av alaninaminotransferas [ALAT] eller aspartataminotransferas [ASAT] > 5 x den övre gränsen för normalvärdet [ULN], ska behandlingen avbrytas omedelbart (se avsnitt Varningar och försiktighet). Förnyad behandling efter att leverfunktionstesterna återgått till patientens utgångsläge kan ges med en reducerad dos på 500 mg en gång dagligen. För patienter som behandlas på nytt ska serumtransaminaser kontrolleras minst varannan vecka i tre månader och därefter en gång i månaden. Om levertoxiciteten återkommer vid den reducerade dosen på 500 mg dagligen ska behandlingen sättas ut.
Hos patienter som utvecklar en allvarlig levertoxicitet under behandling (ALAT eller ASAT 20 x ULN) ska behandlingen avbrytas och patienten ska inte behandlas igen.
Nedsatt leverfunktion
Ingen dosjustering behövs för patienter med föreliggande lätt nedsatt leverfunktion, Child-Pugh klass A.
Måttligt nedsatt leverfunktion (Child-Pugh klass B) har visats öka den systemiska exponeringen av abirateron med ungefär fyra gånger efter perorala singeldoser av abirateronacetat på 1000 mg (se avsnitt Farmakokinetik). Det finns inga kliniska säkerhets- och effektdata gällande upprepade doser av abirateronacetat när det ges till patienter med måttligt till gravt nedsatt leverfunktion (Child-Pugh klass B eller C). Någon dosjustering kan inte uppskattas. Användning av abirateron hos patienter med måttligt nedsatt leverfunktion bör noggrant utvärderas, för vilka nyttan klart bör överväga den potentiella risken (se avsnitt Dosering och Farmakokinetik). Abirateron bör inte användas hos patienter med gravt nedsatt leverfunktion (se avsnitt Kontraindikationer, Varningar och försiktighet och Farmakokinetik).
Nedsatt njurfunktion
Ingen dosjustering behövs för patienter med nedsatt njurfunktion (se avsnitt Farmakokinetik).
Det finns dock ingen klinisk erfarenhet från patienter med prostatacancer och kraftigt nedsatt njurfunktion. Försiktighet bör iakttas hos dessa patienter (se avsnitt Varningar och försiktighet).
Pediatrisk population
Det finns ingen relevant användning av abirateron i den pediatriska populationen.
Administreringssätt
Abirateron är avsett för oralt bruk.
Tabletterna ska tas minst två timmar efter måltid och ingen mat får intas under minst en timme efter att tabletten tagits. Tabletterna ska sväljas hela med vatten.
Hypertoni, hypokalemi, vätskeretention och hjärtsvikt på grund av överskott på mineralkortikoider
Abirateron kan orsaka hypertoni, hypokalemi och vätskeretention (se avsnitt Biverkningar) som en följd av ökade mineralkortikoidnivåer resulterande från CYP17-hämning (se avsnitt Farmakodynamik). Samtidig administrering av en kortikosteroid hämmar adrenokortikotropt hormons (ACTH) verkan, vilket resulterar i en minskad indicens och allvarlighetsgrad av dessa biverkningar. Försiktighet krävs vid behandling av patienter vilkas underliggande medicinska tillstånd kan förvärras vid ökat blodtryck, hypokalemi (t.ex de som behandlas med hjärtglykosider) eller vätskeretention (t.ex. de med hjärtsvikt, svår eller instabil angina pectoris, nylig hjärtinfarkt eller ventrikulär arytmi och de med kraftigt nedsatt njurfunktion).
Abirateron bör användas med försiktighet hos patienter med kardiovaskulär sjukdom i anamnesen. Fas 3-studierna som genomfördes med abirateron exkluderade patienter med okontrollerad hypertoni, kliniskt signifikant hjärtsjukdom i form av hjärtinfarkt, fall av arteriell trombos under de senaste 6 månaderna, allvarlig eller instabil angina, New York Heart Association (NYHA) klass III eller IV hjärtsvikt (studie 301) eller klass II till IV hjärtsvikt (studie 3011 och 302) eller en ejektionsfraktion på < 50 %. I studie 3011 och 302 exkluderades patienter med förmaksflimmer eller andra hjärtarytmier som krävde medicinsk behandling. Säkerheten hos patienter med en ejektionsfraktion för vänster kammare (LVEF) < 50 % eller hjärtsvikt enligt NYHA klass III eller IV (studie 301) eller NYHA klass II till IV hjärtsvikt (studie 3011 och 302) har inte fastställts (se avsnitt Biverkningar och Farmakodynamik).
Innan patienter med signifikant risk för kronisk hjärtsvikt (t.ex. tidigare hjärtsvikt, okontrollerad hypertension, eller hjärtrelaterade händelser såsom ischemisk hjärtsjukdom) behandlas med abirateron bör undersökning av hjärtfunktionen (t.ex. ekokardiogram) övervägas. Före behandling med abirateron bör hjärtsvikt behandlas och hjärtfunktionen optimeras. Hypertoni, hypokalemi och vätskeretention bör korrigeras och kontrolleras. Under behandling bör blodtryck, serumkalium, vätskeretention (viktökning, perifert ödem) samt andra tecken och symtom på hjärtsvikt övervakas varannan vecka i 3 månader och därefter månadsvis och avvikelser korrigeras. QT-förlängning har observerats hos patienter som fått hypokalemi i samband med behandling med abirateron. Utvärdera hjärtfunktionen såsom kliniskt indicerat, vidta lämplig behandling, överväg behandlingsavslut om hjärtfunktionen försämrats med klinisk signifikans (se avsnitt Dosering).
Levertoxicitet och nedsatt leverfunktion
Markanta ökningar av leverenzymer ledande till avbruten behandling eller dosändring förekom i kontrollerade kliniska studier (se avsnitt Biverkningar). Serumtransaminasnivåer ska mätas innan behandling påbörjas, varannan vecka de första tre behandlingsmånaderna och varje månad därefter. Om kliniska symtom eller tecken som tyder på levertoxicitet utvecklas ska serumtransaminaser mätas omedelbart. Om ALAT eller ASAT vid någon tidpunkt ökar > 5 x ULN ska behandlingen omedelbart avbrytas och leverfunktionen noga övervakas. Förnyad behandling får endast genomföras efter att leverfunktionstesterna återgått till patientens utgångsläge och med en reducerad dosnivå (se avsnitt Dosering).
Om patienten utvecklar svår levertoxicitet (ALAT eller ASAT 20 x ULN) vid någon tidpunkt under terapin ska behandlingen avbrytas och patienten ska inte behandlas igen.
Patienter med aktiv eller symtomatisk viral hepatit exkluderades från kliniska studier. Det föreligger därför inga data som stödjer användning av abirateron hos denna population.
Data för klinisk säkerhet och effektivitet av multipla doser abirateronacetat administrerat till patienter med måttligt till gravt nedsatt leverfunktion (Child-Pugh Klass B eller C) saknas. Användning av abirateron hos patienter med måttligt nedsatt leverfunktion bör noggrant utvärderas, för vilka nyttan klart bör överväga den potentiella risken (se avsnitt Dosering och Farmakokinetik). Abirateron bör inte användas hos patienter med gravt nedsatt leverfunktion (se avsnitt Dosering, Kontraindikationer och Farmakokinetik). Det har förekommit sällsynta fall av akut leversvikt och fulminant hepatit efter marknadsintroduktion varav några med dödlig utgång (se avsnitt Biverkningar).
Utsättning av kortikosteroider och hantering vid stressituationer
Försiktighet tillråds och binjurebarksinsufficiens ska övervakas om prednison eller prednisolon sätts ut hos en patient. Om behandling med abirateron fortsätts efter att kortikosteroider satts ut ska patienten övervakas med avseende på symtom på överskott av mineralkortikoider (se ovanstående information).
Om patienter som tar prednison eller prednisolon utsätts för ovanlig stress kan en ökad dos av kortikosteroider vara indicerat före, under och efter stressituationen.
Bendensitet
Minskad bendensitet kan förekomma hos män med metastaserad avancerad prostatacancer. Användningen av abirateron i kombination med en glukokortikoid kan öka denna effekt.
Tidigare användning av ketokonazol
Lägre responsfrekvens kan förväntas hos patienter som tidigare behandlats med ketokonazol vid prostatacancer.
Hyperglykemi
Användning av glukokortikosteroider kan öka hyperglykemi och därför ska blodsocker regelbundet mätas hos patienter med diabetes.
Hypoglykemi
Fall av hypoglykemi har rapporterats när abirateron plus prednison/prednisolon administrerades till patienter med underliggande diabetes som fick pioglitazon eller repaglinid (se avsnitt Interaktioner).
Blodsockret bör därför mätas frekvent hos patienter med diabetes.
Användning med kemoterapi
Säkerhet och effekt av samtidig användning av abirateron med cytotoxisk kemoterapi har inte fastställts (se avsnitt Farmakodynamik).
Intolerans mot hjälpämnen
Detta läkemedel innehåller laktos. Patienter med något av följande sällsynta ärftliga tillstånd bör inte använda detta läkemedel: galaktosintolerans, total laktasbrist eller glukos-galaktosmalabsorption.
Detta läkemedel innehåller 23,2 mg natrium per dos bestående av fyra tabletter om 250 mg och 23 mg natrium per dos bestående av två tabletter om 500 mg, motsvararande 1,2 % av WHOs högsta rekommenderat dagligt intag (2 gram natrium för vuxna).
Potentiella risker
Anemi och sexuell dysfunktion kan förekomma hos män med metastaserad prostatacancer inklusive de som genomgår behandling med abirateron.
Skelettmuskeleffekter
Fall av myopati och rabdomyolys har rapporterats hos patienter som behandlats med abirateron. De flesta fall utvecklades inom de första 6 månaderna av behandlingen och återhämtade sig efter utsättande av abirateron. Försiktighet rekommenderas hos patienter som samtidigt behandlas med läkemedel som är kända för att vara förknippade med myopati/rabdomyolys.
Interaktioner med andra läkemedel
Kraftiga inducerare av CYP3A4 kan minska exponeringen av abirateron då de intas samtidigt, därför bör samtidigt intag undvikas, med undantag för om andra terapeutiska alternativ saknas (se avsnitt Interaktioner).
Kombination av abirateron och prednison/prednisolon med Ra-223
Behandling med abirateron och prednison/prednisolon i kombination med Ra-223 är kontraindicerad (se avsnitt Kontraindikationer) på grund av att en ökad risk för frakturer samt en trend till ökad mortalitet bland asymtomatiska eller lätt symtomatiska prostatacancerpatienter observerats i kliniska prövningar. Det rekommenderas att efterföljande behandling med Ra-223 inte initieras förrän det har gått minst 5 dagar efter den sista administreringen av abirateron i kombination med prednison/prednisolon.
Effekt av mat på abirateronacetat
Administrering tillsammans med mat ökar absorptionen av abirateronacetat betydligt. Effekt och säkerhet när det ges tillsammans med mat har inte fastställts, därför ska inte detta läkemedel tas tillsammans med mat (se avsnitt Dosering och Farmakokinetik).
Interaktioner med andra läkemedel
Potential hos andra läkemedel att påverka exponeringen av abirateron
I en klinisk farmakokinetisk interaktionsstudie på friska försökspersoner som förbehandlades med en kraftig CYP3A4 inducerare rifampicin, 600 mg dagligen i 6 dagar följt av en engångsdos av abirateronacetat 1000 mg, minskade abiraterons genomsnittliga AUC∞ i plasma med 55 %.
Under behandling ska kraftiga inducerare av CYP3A4 (t.ex. fenytoin, karbamazepin, rifampicin, rifabutin, rifapentin, fenobarbital, johannesört [Hypericum perforatum]) undvikas med undantag för om andra terapeutiska alternativ saknas.
I en separat klinisk farmakokinetisk interaktionsstudie på friska försökspersoner visade samtidig administrering av ketokonazol, en kraftig hämmare av CYP3A4, ingen kliniskt relevant effekt på abiraterons farmakokinetik.
Potential att påverka exponeringen av andra läkemedel
Abirateron är en hämmare av de läkemedelsmetaboliserande enzymerna CYP2D6 och CYP2C8 i levern. I en studie för att fastställa effekterna av abirateronacetat (plus prednison) på en singeldos av CYP2D6-substratet dextrometorfan ökade den systemiska exponeringen (AUC) av dextrometorfan cirka 2,9 gånger. AUC24 för dextrorfan, den aktiva metaboliten av dextrometorfan, ökade cirka 33 %.
Försiktighet tillråds vid administrering tillsammans med läkemedel som aktiveras av eller metaboliseras av CYP2D6, i synnerhet tillsammans med läkemedel som har ett smalt terapeutiskt index. Dosreduktion av läkemedel med smalt terapeutiskt index som metaboliseras av CYP2D6 ska övervägas. Exempel på läkemedel som metaboliseras av CYP2D6 inkluderar metoprolol, propranolol, desipramin, venlafaxin, haloperidol, risperidon, propafenon, flekainid, kodein, oxykodon och tramadol (de sista tre läkemedlen kräver CYP2D6 för att bilda sina aktiva smärtstillande metaboliter).
I en läkemedelsinteraktionsstudie med CYP2C8 på friska försökspersoner gavs pioglitazon tillsammans med en singeldos av 1000 mg abirateronacetat. Man såg att AUC hos pioglitazon ökade med 46 % och AUC för M-III och M-IV (pioglitazons aktiva metaboliter) minskade vardera med 10 %. Vid samtidig administrering bör patienter övervakas för tecken på toxicitet relaterad till CYP2C8-substrat med ett smalt terapeutiskt index. Exempel på läkemedel som metaboliseras av CYP2C8 inkluderar pioglitazon och repaglinid (se avsnitt Varningar och försiktighet).
In vitro visade sig huvudmetaboliterna abirateronsulfat och N-oxidabirateronsulfat hämma leverupptagstransportören OATP1B1, vilket kan medföra ökad koncentration av läkemedel som elimineras via OATP1B1. Det finns inga kliniska data tillgängliga som bekräftar transportörbaserad interaktion.
Användning med läkemedel kända för att förlänga QT-intervallet
Eftersom androgen deprivationsterapi kan förlänga QT-intervallet bör försiktighet iakttas vid administrering av abirateron med läkemedel som är kända för att förlänga QT-intervallet eller läkemedel som kan framkalla torsades de pointes, t.ex. klass IA-antiarytmika (t.ex. kinidin, disopyramid) eller klass III-antiarytmika (t.ex. amiodaron, sotalol, dofetilid, ibutilid), metadon, moxifloxacin, antipsykotika, etc.
Användning med spironolakton
Spironolakton binder till androgenreceptorn och kan öka nivåerna av prostataspecifikt antigen (PSA). Samtidig användning av spironolakton och abirateron rekommenderas ej (se avsnitt Farmakodynamik).
Fertila kvinnor
Det finns inga humandata på användning av detta läkemedel under graviditet och abirateron är inte avsett att användas till fertila kvinnor.
Preventivmedel hos män och kvinnor
Det är inte känt huruvida abirateron eller dess metaboliter förekommer i sädesvätska. Användning av kondom krävs om patienten är sexuellt aktiv med en gravid kvinna. Om patienten är sexuellt aktiv med en fertil kvinna, krävs kondom tillsammans med ytterligare ett effektivt preventivmedel.
Djurstudier har visat reproduktionstoxikologiska effekter (se avsnitt Prekliniska uppgifter).
Graviditet
Abirateron är inte avsett att användas till kvinnor och är kontraindicerat hos kvinnor som är eller kan vara gravida (se avsnitt Kontraindikationer och Prekliniska uppgifter).
Abirateron är inte avsett att användas till kvinnor.
Abirateron påverkade fertiliteten hos han- och honråttor men dessa effekter var helt reversibla (se avsnitt Prekliniska uppgifter).
Abirateron har ingen eller försumbar effekt på förmågan att framföra fordon och använda maskiner.
Sammanfattning av säkerhetsprofilen
I en sammansatt analys av biverkningar i Fas 3-studier med abirateron var de biverkningar som observerades hos ≥ 10 % av patienterna perifert ödem, hypokalemi, hypertoni, urinvägsinfektion och förhöjt alaninaminotransferas och/eller förhöjt aspartataminotransferas.
Andra viktiga biverkningar innefattar hjärtsjukdom, levertoxicitet, frakturer och allergisk alveolit.
Abirateron kan orsaka hypertoni, hypokalemi och vätskeretention som en farmakodynamisk följd av dess verkningsmekanism. I Fas 3-studier sågs förväntade mineralkortikoida biverkningar oftare hos patienter som behandlades med abirateronacetat än hos patienter som behandlades med placebo: hypokalemi 18 % jämfört med 8 %, hypertoni 22 % jämfört med 16 % och vätskeretention (perifert ödem) 23 % jämfört med 17 %. Hos patienter som behandlades med abirateronacetat jämfört med patienter som behandlades med placebo: hypokalemi av CTCAE (version 4.0) graderna 3 och 4 iakttogs hos 6 % respektive 1 %, hypertoni av CTCAE (version 4.0) graderna 3 och 4 iakttogs hos 7 % respektive 5 % samt vätskeretention (perifert ödem) av graderna 3 och 4 iakttogs hos 1 % respektive 1 % av patienterna.
Mineralkortikoida biverkningar kunde i allmänhet hanteras framgångsrikt medicinskt. Samtidig användning av en kortikosteroid minskar förekomsten och svårighetsgraden av dessa biverkningar (se avsnitt Varningar och försiktighet).
Tabell över biverkningar
I studier av patienter med metastaserad avancerad prostatacancer som använde en LHRH-analog, eller som tidigare behandlats med orkiektomi, administrerades abirateron i en dos av 1000 mg dagligen i kombination med lågdos prednison eller prednisolon (antingen 5 eller 10 mg dagligen beroende på indikation).
Läkemedelsbiverkningar som iakttogs under kliniska studier och efter marknadsintroduktionen anges nedan efter frekvenskategori. Frekvenskategorierna definieras på följande sätt: mycket vanliga (≥ 1/10), vanliga (≥ 1/100, < 1/10), mindre vanliga (≥ 1/1 000, < 1/100), sällsynta (≥ 1/10 000, < 1/1 000), mycket sällsynta (< 1/10 000) och ingen känd frekvens (kan inte beräknas från tillgängliga data).
Biverkningarna presenteras inom varje frekvensområde efter fallande allvarlighetsgrad.
Tabell 1: Läkemedelsbiverkningar som identifierats vid kliniska studier och efter marknadsintroduktion
* Hjärtsvikt omfattar även kronisk hjärtinsufficiens, vänsterkammardysfunktion och minskad ejektionsfraktion
** Frakturer omfattar osteoporos och alla frakturer med undantag av patologiska frakturer
a Spontanrapporter efter marknadsintroduktion
b Förhöjt alaninaminotransferas och/eller förhöjt aspartataminotransferas omfattar förhöjt ALAT, förhöjt ASAT samt onormal leverfunktion.
Följande läkemedelsbiverkningar av CTCAE (version 4.0) grad 3 förekom hos patienter som behandlades med abirateronacetat: hypokalemi 5 %, urinvägsinfektion 2 %, förhöjt alaninaminotransferas och/eller förhöjt aspartataminotransferas 4 %, hypertoni 6 %, frakturer 2 %, perifert ödem, hjärtsvikt och förmaksflimmer 1 % vardera. CTCAE (version 4.0) grad 3 av hypertriglyceridemi och angina pectoris förekom hos < 1 % av patienterna. CTCAE (version 4.0) grad 4 av urinvägsinfektion, förhöjt alaninaminotransferas och/eller förhöjt aspartataminotransferas, hypokalemi, hjärtsvikt, förmaksflimmer och frakturer förekom hos < 1 % av patienterna.
En högre incidens av hypertoni och hypokalemi observerades i den hormonkänsliga populationen (studie 3011). Hypertoni rapporterades hos 36,7 % av patienterna i den hormonkänsliga populationen (studie 3011) jämfört med 11,8 % och 20,2 % i studie 301 respektive 302. Hypokalemi observerades hos 20,4 % av patienterna i den hormonkänsliga populationen (studie 3011) jämfört med 19,2 % och 14,9 % i studie 301 respektive 302.
Incidensen och allvarlighetsgraden för biverkningarna var högre i patientsubgrupperna med ECOG- funktionsstatus 2 vid utgångsläget samt hos äldre patienter (≥ 75 år).
Beskrivning av selekterade biverkningar
Kardiovaskulära reaktioner
De tre Fas 3-studierna exkluderade patienter med okontrollerad hypertoni, kliniskt signifikant hjärtsjukdom som manifesterats genom myokardinfarkt eller artärtrombotiska händelser under de senaste 6 månaderna, svår eller instabil angina eller hjärtsvikt NYHA klass III eller IV (studie 301) eller klass II till IV hjärtsvikt (studie 3011 och 302) eller hjärtejektionsfraktionsmätning på < 50 %. Alla inkluderade patienter (både aktiva och placebobehandlade patienter) behandlades samtidigt med androgen deprivationsterapi, huvudsakligen med användning av LHRH-analoger, vilket har förknippats med diabetes, hjärtinfarkt, cerebrovaskulära händelser och plötslig hjärtdöd. Incidensen av kardiovaskulära biverkningar i Fas 3-studierna hos patienter som tog abirateronacetat jämfört med patienter som tog placebo var följande: förmaksflimmer 2,6 % mot 2,0 %, takykardi 1,9 % mot 1,0 %, angina pectoris 1,7 % mot 0,8 %, hjärtsvikt 0,7 % mot 0,2 % och arytmi 0,7 % mot 0,5 %.
Levertoxicitet
Levertoxicitet med förhöjt ALAT, ASAT och totalt bilirubin har rapporterats hos patienter som behandlats med abirateronacetat. I kliniska Fas 3-studier rapporterades levertoxicitet av grad 3 och 4 (t.ex. ALAT- eller ASAT-ökningar på > 5 x ULN eller bilirubinökningar > 1,5 x ULN) hos cirka 6 % av patienterna som erhöll abirateronacetat, vanligtvis under de första 3 månaderna efter att behandlingen startats. I studie 3011 iakttogs levertoxicitet av grad 3 eller 4 hos 8,4 % av patienterna som behandlades med abirateron. För tio patienter som fick abirateron sattes behandlingen ut på grund av levertoxicitet. Två hade levertoxicitet av grad 2, sex hade levertoxicitet av grad 3 och två hade levertoxicitet av grad 4. Ingen patient dog av levertoxicitet i studie 3011. I Fas 3-studier hade patienter vars ALAT eller ASAT var förhöjt vid utgångsläget större benägenhet för att drabbas av förhöjda leverfunktionstester än de som hade normala värden från början. När förhöjningar av antingen ALAT eller ASAT > 5 x ULN eller förhöjningar av bilirubin > 3 x ULN iakttogs, gjordes uppehåll i eller sattes behandlingen med abirateronacetat ut. I två fall förekom markanta ökningar av leverfunktionstester (se avsnitt Varningar och försiktighet). Dessa två patienter med normal leverfunktion vid utgångsläget drabbades av ALAT- eller ASAT-förhöjningar på 15 till 40 x ULN och bilirubinförhöjningar på 2 till 6 x ULN. Då abirateronacetat sattes ut normaliserades båda patienternas leverfunktionstester och en patient behandlades på nytt utan att förhöjningarna återkom. I studie 302 observerades ASAT- eller ALAT-ökningar av grad 3 eller 4 hos 35 (6,5 %) av patienterna som behandlades med abirateronacetat. Aminotransferasökningar upphörde hos alla utom 3 patienter (2 med nya multipla levermetastaser och 1 med ASAT-ökningar ca 3 veckor efter den sista dosen av abirateronacetat). I kliniska Fas 3-studier rapporterades avbrytande av behandling på grund av ALAT- och ASAT- ökningar eller onormal leverfunktion hos 1,1 % av patienterna som behandlades med abirateronacetat och 0,6 % av patienterna som behandlades med placebo. Inga dödsfall rapporterades till följd av levertoxicitet.
I kliniska prövningar minskades risken för levertoxicitet genom exklusion av patienter med hepatit vid utgångsläget eller betydande avvikelser i leverfunktionstester. I studie 3011 exkluderades patienter med ALAT och ASAT > 2,5 x ULN, bilirubin > 1,5 x ULN vid utgångsläget eller de med aktiv eller symtomatisk virushepatit eller kronisk leversjukdom; ascites eller koagulationsrubbningar till följd av leverdysfunktion. I studie 301 exkluderades patienter med ALAT och ASAT ≥ 2,5 x ULN vid utgångsläget vid frånvaro av levermetastaser och > 5 x ULN vid närvaro av levermetastaser. I studie 302 var patienter med levermetastaser inte berättigade att delta och patienter med ALAT och ASAT ≥ 2,5 x ULN vid utgångsläget exkluderades. Onormala leverfunktionstester som utvecklades hos patienter som deltog i kliniska prövningar hanterades kraftfullt genom att behandlingsavbrott krävdes och förnyad behandling endast tilläts efter att leverfunktionstesterna hade återgått till patientens utgångsläge (se avsnitt Dosering). Patienter med förhöjningar av ALAT eller ASAT > 20 x ULN behandlades inte på nytt. Säkerheten för förnyad behandling av sådana patienter är inte känd. Mekanismen för hepatotoxicitet är inte känd.
Rapportering av misstänkta biverkningar
Det är viktigt att rapportera misstänkta biverkningar efter att läkemedlet godkänts. Det gör det möjligt att kontinuerligt övervaka läkemedlets nytta-riskförhållande. Hälso- och sjukvårdspersonal uppmanas att rapportera varje misstänkt biverkning till Läkemedelsverket, men alla kan rapportera misstänkta biverkningar till Läkemedelsverket, www.lakemedelsverket.sePostadress: Läkemedelsverket, Box 26, 751 03 Uppsala.
Det finns begränsad erfarenhet av överdosering med abirateron i människa.
Det finns ingen specifik antidot. I händelse av en överdos ska administreringen upphöra och allmänna stödjande åtgärder vidtas, bland annat monitorering av arytmier, hypokalemi och tecken och symtom på vätskeretention. Leverfunktionen bör också bedömas.
Verkningsmekanism
Abirateronacetat omvandlas in vivo till abirateron, en hämmare av androgen biosyntes. Specifikt hämmar abirateron selektivt enzymet 17α-hydroxylas/C17,20-lyas (CYP17). Detta enzym uttrycks i och krävs för androgen biosyntes i testikel-, binjure- och prostatatumörvävnad. CYP17 katalyserar omvandlingen av pregnenolon och progesteron till testosteronprekursorer, DHEA respektive androstenedion, genom 17α-hydroxylering och klyvning av C17,20-bindningen. CYP17-hämning resulterar även i ökad produktion av mineralkortikoider i binjurarna (se avsnitt Varningar och försiktighet).
Androgenkänsliga prostatakarcinom svarar på behandling som minskar androgennivåerna. Androgendeprivationsterapier, t.ex. behandling med LHRH-analoger eller orkiektomi, minskar androgenproduktionen i testiklarna men påverkar inte androgenproduktionen i binjurarna eller i tumören. Behandling med abirateron minskar serumtestosteron till odetekterbara nivåer (med kommersiella analyser) när läkemedlet ges tillsammans med LHRH- analoger (eller orkiektomi).
Farmakodynamisk effekt
Abirateron minskar serumtestosteron och andra androgener till nivåer som är lägre än de som erhålls med användning av enbart LHRH- analoger eller med orkiektomi. Detta är ett resultat av den selektiva hämningen av det CYP17-enzym som krävs för androgen biosyntes. PSA fungerar som en biomarkör hos patienter med prostatacancer. I en klinisk Fas 3-studie på patienter som tidigare sviktat på kemoterapi med taxaner, hade 38 % av patienterna som behandlades med abirateronacetat, jämfört med 10 % av patienterna som behandlades med placebo, minst en 50 % minskning av PSA-nivåerna från utgångsläget.
Klinisk effekt och säkerhet
Effekt fastställdes i tre randomiserade, placebokontrollerade, kliniska Fas 3-multicenterstudier (studie 3011, 302 och 301) på patienter med mHSPC och mCRPC. Studie 3011 inkluderade patienter som nyligen diagnostiserats (inom 3 månader före randomiseringen) med mHSPC och uppvisade prognostiska högriskfaktorer. Högriskprognos definierades som att uppvisa minst 2 av följande 3 riskfaktorer: (1) Gleasonsumma på ≥ 8, (2) förekomst av 3 eller fler lesioner på benskanning, (3) förekomst av mätbar visceral (lymfkörtelsjukdom undantaget) metastas. I gruppen som fick aktiv behandling administrerades abirateron med en dos på 1000 mg dagligen i kombination med lågdos prednison 5 mg en gång dagligen i tillägg till ADT (LHRH-agonist eller orkiektomi), vilket utgjorde standardbehandlingen. Patienterna i kontrollgruppen fick ADT samt placebo för både abirateron och prednison. Studie 302 inkluderade patienter som inte tidigare hade fått docetaxel, medan studie 301 inkluderade patienter som tidigare hade fått docetaxel. Patienterna använde en LHRH-analog eller hade tidigare behandlats med orkiektomi. I den aktiva behandlingsarmen administrerades abirateron med en dos på 1000 mg dagligen i kombination med lågdos prednison eller prednisolon 5 mg två gånger dagligen. Kontrollpatienter erhöll placebo och lågdos prednison eller prednisolon 5 mg två gånger dagligen.
Förändringar av PSA-serumkoncentration i sig förutsäger inte alltid den kliniska nyttan. Därför rekommenderades i alla studierna att patienterna fortsatte med sina behandlingar tills kriterier för avbrytande uppnåddes som specificerat nedan för varje studie.
I alla studierna var användning av spironolakton inte tillåten eftersom spironolakton binder till androgenreceptorn och kan öka PSA-nivåerna.
Studie 3011 (patienter med nydiagnostiserad högrisk mHSPC)
I studie 3011 (n = 1199) var medianåldern för de inkluderade patienterna 67 år. Antalet patienter per ursprungsgrupp som behandlades med abirateron var 832 (69,4 %) kaukasier, 246 (20,5 %) asiater, 25 (2,1 %) svarta eller afroamerikaner, 80 (6,7 %) övriga, 13 (1,1 %) okända/ej rapporterade och 3 (0,3 %) amerikaindianer eller infödda från Alaska. ECOG-funktionsstatus var 0 eller 1 för 97 % av patienterna. Patienter med kända hjärnmetastaser, okontrollerad hypertoni, signifikant hjärtsjukdom eller hjärtsvikt av NYHA klass II-IV exkluderades. Patienter som tidigare behandlats med farmakoterapi, strålbehandling eller kirurgi mot metastaserad prostatacancer exkluderades, med undantag för upp till 3 månaders ADT-behandling eller 1 behandlingstillfälle med palliativ strålning eller kirurgi för behandling av symtom till följd av metastaserad sjukdom. Sammansatta primära endpoints var total överlevnad (OS) och radiografisk progressionsfri överlevnad (rPFS). Medianvärdet för smärtnivån vid utgångsläget, uppmätt enligt skalan Brief Pain Inventory Short Form (BPI-SF), var 2,0 i både behandlings- och placebogrupperna. Utöver de sammansatta primära studieeffektmåtten utvärderades även nyttan i form av tid till skelettrelaterad händelse (SRE), tid till efterföljande behandling för prostatacancer, tid till initiering av kemoterapi, tid till tilltagande smärta och tid till PSA-progression. Behandlingen fortsatte fram till sjukdomsprogression, tillbakadraget samtycke, förekomst av oacceptabel toxicitet eller dödsfall.
Radiografisk progressionsfri överlevnad definierades som tiden från randomisering till förekomst av radiografisk progression eller dödsfall oavsett orsak. Radiografisk progression inkluderade progression vid benskanning (enligt modifierade PCWG2-kriterier) eller progression av mjukdelslesioner vid CT eller MRT (enligt RECIST 1.1).
En signifikant skillnad i rPFS mellan behandlingsgrupperna observerades (se tabell 2 och figur 1).
Tabell 2: Radiografisk progressionsfri överlevnad – stratifierad analys; Intent-To-Treat- population (studie PCR3011)
Anm: + = censurerad observation, NE = kan ej bedömas. Radiografisk progression och dödsfall beaktas vid definitionen av rPFS-händelsen. AA-P = patienter som fick abirateronacetat och prednison.
a p-värde erhölls från ett log-rank-test stratifierat för ECOG-funktionsstatus (0/1 eller 2) och visceral lesion (frånvarande eller närvarande).
b Riskkvoten baseras på stratifierade proportionerliga riskmodeller. Riskkvot < 1 är till fördel för AA-P.
Figur 1: Kaplan-Meier-kurva med progressionsfri överlevnad; Intent-To-Treat-population (studie PCR3011)
En statistiskt signifikant förbättring av OS till fördel för AA-P plus ADT observerades med en 34 % minskning av risken för dödsfall jämfört med placebo plus ADT (riskkvot = 0,66; 95 % konfidensintervall [CI]: 0,56, 0,78; p < 0,0001), (se tabell 3 och figur 2).
Tabell 3: Total överlevnad hos patienter behandlade med antingen abirateron eller placebo i studie PCR3011 (Intent-to-Treat-analys)
NE = kan ej bedömas. AA-P = patienter som fick abirateronacetat och prednison
1 Riskkvoten baseras på en stratifierad proportionerlig riskmodell. Riskkvot < 1 är till fördel för AA-P.
Subgruppsanalyser visade en konsekvent fördel för behandling med abirateron. Behandlingseffekten av AA-P på rPFS och OS i de prespecificerade subgrupperna visade en fördel och var konsekvent i hela studiepopulationen, med undantag för subgruppen med ECOG-funktionsstatus 2 där ingen tendens till nytta observerades. Det lilla provurvalet (n = 40) begränsar dock möjligheten att dra någon meningsfull slutsats.
Utöver de observerade förbättringarna i total överlevnad och rPFS påvisades nyttan med abirateron framför placebo i alla prospektivt definierade sekundära studieeffektmått enligt följande.
Studie 302 (patienter som inte tidigare behandlats med kemoterapi)
Denna studie inkluderade patienter som inte tidigare behandlats med kemoterapi och som var asymtomatiska eller hade lindriga symptom och hos vilka kemoterapi ännu inte har varit kliniskt indicerat. Den värsta smärtintensiteten under de föregående 24 timmarna som skattades till 0-1 poäng på skalan Brief Pain Inventory-Short Form (BPI-SF) tolkades som asymptomatisk, och 2-3 poäng tolkades som lindrigt symptomatisk.
I studie 302 (n = 1088) var medianåldern 71 år för inkluderade patienter som behandlades med abirateron och prednison eller prednisolon och 70 år för patienter som behandlades med placebo och prednison eller prednisolon. Antalet patienter per ursprungsgrupp som behandlades med abirateron var 520 kaukasier (95,4 %), 15 svarta (2,8 %), 4 asiater (0,7 %) och 6 andra (1,1 %). Eastern Cooperative Oncology Group (ECOG)-funktionsstatus var 0 hos 76 % av patienterna och 1 hos 24 % av patienterna i båda armarna. 50 % av patienterna hade endast skelettmetastaser och ytterligare 31 % av patienterna hade ben- och mjukvävnads- eller lymfnodmetastaser och 19 % av patienterna hade endast mjukvävnads- eller lymfnodmetastaser. Patienter med viscerala metastaser exkluderades. Sammansatta primära endpoints var total överlevnad och radiografisk progressionsfri överlevnad (rPFS). Som tillägg till de sammansatta primära studieeffektmåtten utvärderades även nyttan i form av tid till opiatanvändning vid cancersmärta, tid till initiering av cytotoxisk kemoterapi, tid till försämring av ECOG-funktionsstatus med ≥ 1 poäng och tid till PSA-progression baserat på PCWG2 (Prostate
Cancer Working Group-2)-kriterier. Studiebehandlingarna avbröts vid entydig klinisk progression. Behandlingarna kunde också avbrytas vid bekräftad radiografisk progression enligt beslut av prövaren.
Radiografisk progressionsfri överlevnad (rPFS) bedömdes med hjälp av sekventiella bildanalyser enligt definition i PCWG2-kriterier (för skelettskador) och modifierade RECIST (Response Evaluation Criteria In Solid Tumors)-kriterier (för mjukdelsskador). Analys av rPFS utnyttjade centralt granskad radiologisk progressionsbedömning.
Vid den planerade rPFS analysen fanns det 401 händelser, 150 (28 %) av patienterna som behandlades med abirateron och 251 (46 %) av patienterna som behandlades med placebo hade radiografiska tecken på progression eller hade avlidit. En signifikant skillnad i rPFS mellan behandlingsgrupperna observerades (se tabell 4 och figur 3).
Tabell 4: Studie 302: Radiografisk progressionsfri överlevnad hos patienter behandlade med antingen abirateron eller placebo i kombination med prednison eller prednisolon plus LHRH-analoger eller tidigare orkidektomi
NE= kan ej bedömas
* p-värde erhölls från ett log-rank test stratifierat för ECOG-funktionsstatus (0 eller 1) vid utgångsläget
** Riskkvot < 1 är till fördel för abirateron
Patientdata fortsatte emellertid att samlas in fram till tidpunkten för den andra interimsanalysen av total överlevnad (Overall Survival, OS). Prövarens radiografiska bedömning av rPFS som utfördes som en uppföljande känslighetsanalys presenteras i tabell 5 och figur 4.
Sexhundrasju (607) patienter hade radiografisk progression eller avled: 271 (50 %) i abirateronacetatgruppen och 336 (62 %) i placebogruppen. Behandling med abirateronacetat minskade risken för radiografisk progression eller död med 47 % jämfört med placebo (riskkvot = 0,530, 95 % CI: [0,451; 0,623], p < 0,0001). Medianen för rPFS var 16,5 månader i abirateronacetatgruppen och 8,3 månader i placebogruppen.
Tabell 5: Studie 302: Radiografisk progressionsfri överlevnad hos patienter behandlade antingen med abirateron eller placebo i kombination med prednison eller prednisolon plus LHRH-analoger eller tidigare orkidektomi (vid en andra interimsanalys av total överlevnad enligt prövarens bedömning)
* p-värde erhölls från ett log-rank test stratifierat för ECOG-funktionsstatus (0 eller 1) vid utgångsläget** Riskkvot < 1 är till fördel för abirateron
En planerad interimsanalys för OS utfördes efter att 333 dödsfall hade observerats. Med anledning av storleken på den observerade kliniska nyttan avblindades studien och patienter i placebogruppen erbjöds behandling med abirateron. Total överlevnad var längre för abirateron än placebo med en 25 %‑ ig reducering i risken att dö (riskkvot = 0,752, 95 % CI: [0,606; 0,934]), p = 0,0097, men data för OS var inte mogna och interimsresultaten motsvarade inte den prespecificerade gränsen för statistisk signifikans (se tabell 4). Överlevnad fortsatte att följas efter denna interimsanalys.
Den planerade slutliga analysen för OS utfördes efter att 741 dödsfall observerats (median uppföljningstid 49 månader). Sextiofem procent (354 av 546) av patienterna behandlade med abirateron, jämfört med 71 % (387 av 542) av patienterna behandlade med placebo, hade avlidit. En statistiskt signifikant OS-fördel som talade för den abirateron-behandlade gruppen påvisades med 19,4 % minskning av risken för dödsfall (riskkvot = 0,806; 95 % CI: [0,697; 0,931], p = 0,0033) och en förbättring av median OS på 4,4 månader (abirateron 34,7 månader, placebo 30,3 månader) (se tabell 6 och figur 5). Den här förbättringen påvisades trots att 44 % av patienterna i placebogruppen fick abirateron som efterföljande behandling.
Tabell 6: Studie 302: Total överlevnad av patienter behandlade med antingen abirateron eller placebo i kombination med prednison eller prednisolon samt LHRH- analoger eller tidigare orkidektomi
NE= kan ej bedömas
* p-värdet erhölls från ett log-rank test stratifierat för ECOG-funktionsstatus (0 eller 1) vid utgångsläget.
** Riskkvot < 1 är till fördel för abirateron
Figur 5: Kaplan Meier överlevnadskurvor för patienter behandlade med antingen abirateron eller placebo i kombination med prednison eller prednisolon plus LHRH-analoger eller tidigare orkidektomi, slutlig analys
Förutom observerade förbättringar i total överlevnad och rPFS har nytta visats för abirateron jämfört med placebo behandling i alla mått av sekundära endpoints enligt följande:
Tid till PSA-progression baserat på PCWG2-kriterier: Mediantiden till PSA progression var 11,1 månader för patienter som fick abirateron och 5,6 månader för patienter som fick placebo (Riskkvot = 0,488, 95 % CI: [0,420; 0,568], p < 0,0001). Tiden till PSA-progression var ungefär fördubblad med abirateron-behandling (Riskkvot = 0,488). Andelen patienter med ett bekräftat PSA-svar var större i abirateron-gruppen än i placebogruppen (62 % mot 24 %, p < 0,0001). Hos patienter med mätbar mjukvävnadssjukdom sågs ett signifikant ökat antal fullständiga och partiella tumörsvar med abirateron-behandling.
Tid till opiatanvändning vid cancersmärta: Mediantiden till opiatanvändning vid cancersmärta vid tiden för den slutliga analysen var 33,4 månader för patienter som fick abirateron och var 23,4 månader för patienter som fick placebo (Riskkvot = 0,721; 95 % CI: [0,614; 0,846], p = < 0,0001).
Tid till initiering av cytotoxisk kemoterapi: Mediantiden till initiering av cytotoxisk kemoterapi var 25,2 månader för patienter som fick abirateron och 16,8 månader för patienter som fick placebo (Riskkvot = 0,580; 95 % CI: [0,487; 0,691], p < 0,0001).
Tid till försämring i ECOG funktionsstatus med ≥ 1 poäng: Mediantiden till försämring i ECOG funktionsstatus med ≥ 1 poäng var 12,3 månader för patienter som fick abirateron och 10,9 månader för patienter som fick placebo (Riskkvot = 0,821; 95 % CI: [0,714; 0,943], p = 0,0053).
Följande studieendpoints visade en statistisk signifikant fördel för abirateron-behandling:
Objektiv respons: Objektiv respons definierades som andelen patienter med mätbar sjukdom som uppnådde total eller partiell respons enligt RECIST-kriterier (lymfkörtelstorlek vid utgångsläget var tvunget att vara ≥ 2 cm för att betraktas som utvärderbara). Andelen patienter med mätbar sjukdom vid utgångsläget som hade en objektiv respons var 36 % i abirateron-gruppen och 16 % i placebogruppen (p < 0,0001).
Smärta: Behandling med abirateron minskade signifikant risken för progression av genomsnittlig smärtintensitet med 18 % jämfört med placebo (p = 0,0490). Mediantiden till progression var 26,7 månader i abirateron –gruppen och 18,4 månader i placebogruppen.
Tid till degradering av FACT-P (totalpoäng): Behandling med abirateron minskade risken för degradering av FACT-P (totalpoäng) med 22 % jämfört med placebo (p = 0,0028). Mediantiden till degradering av FACT-P (totalpoäng) var 12,7 månader i abirateron-gruppen och 8,3 månader i placebogruppen.
Studie 301 (patienter som tidigare behandlats med kemoterapi)
Studie 301 inkluderade patienter som tidigare behandlats med docetaxel. Patienterna behövde inte visa sjukdomsprogression med docetaxel eftersom toxicitet från denna kemoterapi kunde ha lett till utsättning. Patienterna fick fortsätta med studiebehandling tills PSA-progression (bekräftad 25 %-ig ökning över patientens utgångsläge/minimum) tillsammans med protokolldefinierad radiologisk progression och symtomatisk eller klinisk progression. Patienter som tidigare behandlats med ketokonazol för prostatacancer exkluderades från denna studie. Det primära effektmåttet var total överlevnad.
Medianåldern hos de inkluderade patienterna var 69 år (i intervallet 39-95). Antalet patienter behandlade med abirateron per ursprungsgrupp var 737 vita (93,2 %), 28 svarta (3,5 %), 11 asiater (1,4 %) och 14 övriga (1,8 %). Elva procent av de inkluderade patienterna hade en ECOG‑funktionsstatus på 2, 70 % hade radiologiskt bevis på sjukdomsprogression med eller utan PSA- progression, 70 % hade erhållit en tidigare cytotoxisk kemoterapi och 30 % hade erhållit två. Levermetastaser förekom hos 11 % av patienterna som behandlades med abirateron.
I en planerad analys som genomfördes efter att 552 dödsfall iakttagits hade 42 % (333 av 797) av patienterna som behandlades med abirateron avlidit, jämfört med 55 % (219 av 398) av patienterna som behandlades med placebo. En statistiskt signifikant förbättring av medianen av total överlevnaden sågs hos patienterna som behandlades med abirateron (se tabell 7).
Tabell 7: Total överlevnad av patienter behandlade med antingen abirateron eller placebo i kombination med prednison eller prednisolon plus LHRH-analoger eller föregående orkidektomi
a p-värde erhölls från ett log-rank test stratifierat för ECOG funktionsstatus (0-1 jämfört med 2), smärtnivån (frånvarande jämfört med närvarande), antalet tidigare kemoterapiregimer (1 jämfört med 2), och typ av sjukdomsprogression (PSA endast jämfört med radiologisk).
b Riskkvot erhölls från en stratifierad proportionell riskmodell. Riskkvot <1 är till fördel för abirateron
Vid alla utvärderingstidpunkter efter de inledande behandlingsmånaderna levde en högre andel av patienterna som behandlades med abirateron jämfört med andelen patienter som behandlades med placebo (se figur 6).
Figur 6: Kaplan-Meier-överlevnadskurvor för patienter behandlade med antingen abirateron eller placebo i kombination med prednison eller prednisolon plus LHRH-analoger eller föregående orkidektomi
Figur 7: Total överlevnad per undergrupp: riskkvot och 95 % konfidensintervall
Förutom den iakttagna förbättringen av total överlevnad var alla sekundära studieeffektmått till fördel för abirateron och statistiskt signifikanta efter justering för multipla analyser enligt nedan:
Patienter som erhöll abirateron visade en signifikant högre svarskvot för totalt PSA (definierad som en ≥ 50 % minskning från utgångsläget), jämfört med patienter som erhöll placebo, 38 % jämfört med 10 %, p < 0,0001.
Mediantiden till PSA-progression var 10,2 månader för patienter som behandlades med abirateron och 6,6 månader för patienter som behandlades med placebo (HR=0,580; 95 % CI: [0,462; 0,728], p < 0,0001).
Mediantiden till radiologisk progressionsfri överlevnad var 5,6 månader för patienter som behandlades med abirateron och 3,6 månader för patienter som erhöll placebo (HR=0,673; 95 % CI: [0,585; 0,776], p < 0,0001).
Smärta
Andelen patienter med smärtlindring var statistiskt signifikant högre i abirateron gruppen än i placebogruppen (44 % jämfört med 27 %, p = 0,0002). En responder för smärtlindring definierades som en patient som upplevt minst en 30-procentig minskning från utgångsläget av BPI-SF-poängen för värsta smärtintensitet under de senaste 24 timmarna utan någon ökning av poängen för användning av smärtstillande medel, vilket noterats vid två på varandra följande utvärderingar med fyra veckors mellanrum. Endast patienter med en smärtpoäng på ≥ 4 vid utgångsläget och minst en mätning av smärtpoäng efter utgångsläget analyserades (N=512) för smärtlindring.
En lägre andel av patienterna som behandlades med abirateron hade tilltagande smärta jämfört med patienter som tog placebo vid 6 månader (22 % jämfört med 28 %), 12 månader (30 % jämfört med 38 %) och 18 månader (35 % jämfört med 46 %). Tilltagande smärta definierades som en ökning från utgångsläget med ≥ 30 % av BPI-SF-poängen för värsta smärtintensitet under de föregående 24 timmarna utan någon minskning av poängen för användning av smärtstillande medel, vilket noterats vid två på varandra följande besök, eller en ökning med ≥ 30 % av poängen för användning av smärtstillande medel som noterats vid två på varandra följande besök. Tiden till tilltagande smärta i den 25:e percentilen var 7,4 månader i abirateron-gruppen, jämfört med 4,7 månader i placebogruppen.
Skelettrelaterade händelser
En lägre andel av patienterna i abirateron-gruppen upplevde skelettrelaterade händelser jämfört med placebogruppen vid 6 månader (18 % jämfört med 28 %), 12 månader (30 % jämfört med 40 %) och 18 månader (35 % jämfört med 40 %). Tiden till den första skelettrelaterade händelsen i den 25:e percentilen i abirateron-gruppen var dubbelt så lång som för kontrollgruppen med 9,9 månader jämfört med 4,9 månader. En skelettrelaterad händelse definierades som en patologisk fraktur, ryggmärgskompression, palliativ skelettstrålning eller skelettkirurgi.
Pediatrisk population
Europeiska läkemedelsmyndigheten har beviljat undantag från kravet att skicka in studieresultat för abirateron för alla grupper av den pediatriska populationen inom avancerad prostatacancer. Se avsnitt Dosering för information om pediatrisk användning.
Efter administrering av abirateronacetat har farmakokinetiken för abirateron och abirateronacetat studerats hos friska försökspersoner, patienter med metastaserad avancerad prostatacancer och försökspersoner utan cancer med nedsatt lever- eller njurfunktion. Abirateronacetat omvandlas snabbt in vivo till abirateron, en hämmare av androgen biosyntes (se avsnitt Farmakodynamik).
Absorption
Efter peroral administrering av abirateronacetat på fastande mage är tiden till maximal abirateronkoncentration i plasma cirka 2 timmar.
Administrering av abirateronacetat tillsammans med mat, jämfört med administrering på fastande mage, resulterar i upp till en 10-faldig (AUC) och upp till 17-faldig (Cmax) ökning av den genomsnittliga systemiska exponeringen för abirateron, beroende på fettinnehållet i måltiden. Mot bakgrund av den vanliga variationen beträffande måltiders innehåll och sammansättning har intag av abirateron tillsammans med måltider en potential att leda till kraftigt varierad exponering. Därför får abirateron inte tas tillsammans med mat. Det ska tas minst två timmar efter måltid. Ingen mat får intas i minst en timme efter intag av abirateron. Tabletterna ska sväljas hela med vatten (se avsnitt Dosering).
Distribution
Plasmaproteinbindningen av 14C-abirateron i human plasma är 99,8 %. Den synbara distributionsvolymen är cirka 5 630 l, vilket tyder på att abirateron i stor utsträckning distribueras till perifera vävnader.
Metabolism
Efter peroral administrering av 14C-abirateronacetat som kapslar hydrolyseras abirateronacetat till abirateron, vilket sedan genomgår metabolism inklusive sulfatering, hydroxylering och oxidering, främst i levern. Huvuddelen av cirkulerande radioaktivitet (cirka 92 %) påträffas i form av metaboliter av abirateron. Av 15 detekterbara metaboliter representerar 2 huvudsakliga metaboliter, abirateronsulfat och N-oxidabirateronsulfat, var och en cirka 43 % av den totala radioaktiviteten.
Eliminering
Den genomsnittliga halveringstiden för abirateron i plasma är cirka 15 timmar baserat på data från friska försökspersoner. Efter peroral administrering av 14C-abirateronacetat 1000 mg återfinns cirka 88 % av den radioaktiva dosen i feces och cirka 5 % i urinen. De huvudsakliga komponenterna som finns i feces är oförändrat abirateronacetat och abirateron (cirka 55 % respektive 22 % av den administrerade dosen).
Nedsatt leverfunktion
Farmakokinetiken för abirateronacetat undersöktes hos försökspersoner som redan hade lätt eller måttligt nedsatt leverfunktion (Child-Pugh klass A respektive B) och hos friska kontrollförsökspersoner. Systemisk exponering för abirateron efter en peroral singeldos på 1000 mg ökade med cirka 11 % och 260 % hos försökspersoner som redan hade lätt respektive måttligt nedsatt leverfunktion. Den genomsnittliga halveringstiden för abirateron förlängs till cirka 18 timmar hos försökspersoner med lätt nedsatt leverfunktion och till cirka 19 timmar hos försökspersoner med måttligt nedsatt leverfunktion.
I en annan studie undersöktes farmakokinetiken för abirateron hos försökspersoner med samtidigt existerande gravt (n=8) nedsatt leverfunktion (Child-Pugh klass C) och hos 8 friska kontrollförsökspersoner med normal leverfunktion. AUC för abirateron ökade med cirka 600 % och andelen fritt läkemedel med 80 % hos försökspersoner med gravt nedsatt leverfunktion jämfört med försökspersoner med normal leverfunktion.
Ingen dosjustering behövs hos patienter som redan har lätt nedsatt leverfunktion. Användning av abirateronacetat hos patienter med måttligt nedsatt leverfunktion bör noggrant utvärderas, för vilka nyttan klart bör överväga den potentiella risken (se avsnitt Dosering och Varningar och försiktighet). Abirateronacetat bör inte användas hos patienter med gravt nedsatt leverfunktion (se avsnitt Dosering, Kontraindikationer och Varningar och försiktighet).
För patienter som utvecklar levertoxicitet under behandling kan uppehåll behöva göras i behandlingen och dosjustering kan krävas (se avsnitt Dosering och Varningar och försiktighet).
Nedsatt njurfunktion
Farmakokinetiken för abirateronacetat jämfördes hos patienter med njursjukdom i slutstadiet som behandlades enligt ett regelbundet hemodialysschema med matchade kontrollförsökspersoner med normal njurfunktion. Systemisk exponering för abirateron efter en peroral singeldos på 1000 mg ökade inte hos försökspersoner med njursjukdom i slutstadiet som genomgick dialys. Administrering till patienter med nedsatt njurfunktion, även kraftigt nedsatt njurfunktion, kräver ingen dosminskning (se avsnitt Dosering). Det finns dock ingen tidigare erfarenhet från patienter med prostatacancer och samtidigt gravt nedsatt njurfunktion. Försiktighet skall iakttas vid behandling av dessa patienter.
I alla djurtoxicitetsstudier var cirkulerande testosteronnivåer signifikant reducerade. Som ett resultat iakttogs minskade organvikter och morfologiska och/eller histopatologiska förändringar av reproduktionsorganen samt binjure-, hypofys- och bröstkörtlarna. Alla förändringar visade fullständig eller partiell reversibilitet. Förändringarna i reproduktionsorganen och de androgenkänsliga organen följer farmakologin för abirateron. Alla behandlingsrelaterade hormonella förändringar återgick eller visade sig vara på tillbakagång efter en 4-veckors återhämtningsperiod.
I fertilitetsstudier med både han- och honråttor minskade abirateronacetat fertiliteten vilket var totalt reversibelt efter 4 till 16 veckor efter avbrytande av abirateronacetat.
I en utvecklingstoxicitetsstudie på råtta påverkade abirateronacetat graviditet inklusive minskad fostervikt och överlevnad. Effekter på yttre könsorgan observerades men abirateronacetat var inte teratogent.
I dessa fertilitet- och utvecklingstoxicitetsstudier på råtta var alla effekterna relaterade till den farmakologiska effekten av abirateron.
Bortsett från förändringar av reproduktionsorganen som sågs i alla djurtoxikologiska studier, visar icke-kliniska data inte några särskilda risker för människa baserat på gängse studier av säkerhetsfarmakologi, allmäntoxicitet, gentoxicitet och karcinogen potential. Abirateronacetat var inte karcinogent i en 6‑månaders studie på transgena (Tg.rasH2) möss. I en 24‑månaders karcinogenicitetsstudie på råtta ökade abirateronacetat antalet interstitiella cellneoplasmer i testiklarna. Detta fynd anses vara relaterat till den farmakologiska effekten av abirateron och råttspecifikt.
Abirateronacetat var inte karcinogent i honråttor.
Den aktiva substansen, abirateron, utgör en miljörisk för vattenmiljön, i synnerhet för fisk.
Kvalitativ och kvantitativ sammansättning
Varje filmdragerad tablett innehåller 500 mg abirateronacetat.
Hjälpämnen med känd effekt
Varje filmdragerad tablett innehåller 232,2 mg laktos (som monohydrat) och 11,5 mg natrium.
Förteckning över hjälpämnen
Mikrokristallin cellulosa
Kroskarmellosnatrium
Laktosmonohydrat
Magnesiumstearat
Hypromellos (typ 2910)
Kolloidal vattenfri kiseldioxid
Natriumlaurilsulfat
Filmdragering
Svart järnoxid (E172)
Röd järnoxid (E172)
Makrogol poly(vinylalkohol) ympsampolymer
Talk
Titandioxid (E171)
Ej relevant
Hållbarhet
3 år
Särskilda förvaringsanvisningar
Inga särskilda förvaringsanvisningar.
Särskilda anvisningar för destruktion
Ej använt läkemedel och avfall ska kasseras enligt gällande anvisningar. Detta läkemedel kan utgöra en risk för vattenmiljöer (se avsnitt Prekliniska uppgifter).