Benlysta 200 mg injektionsvätska, lösning, i förfylld injektionspenna.
Varje 1 ml förfylld injektionspenna innehåller 200 mg belimumab.
Belimumab är en human, IgG1λ monoklonal antikropp som produceras i en mammaliecellinje (NS0) med rekombinant DNA-teknik.
Hjälpämnen med känd effekt
Varje förfylld injektionspenna innehåller 0,1 mg polysorbat 80.
För fullständig förteckning över hjälpämnen, se avsnitt 6.1.
Injektionsvätska, lösning, i förfylld injektionspenna (injektion).
En klar till opaliserande, färglös till svagt gul lösning med pH 6 och en osmolalitet på 270‑320 mOsm/kg.
GlaxoSmithKline (Ireland) Limited
12 Riverwalk
Citywest Business Campus
Dublin 24
Irland
EU/1/11/700/003 1 förfylld injektionspennaEU/1/11/700/004 4 förfyllda injektionspennor
EU/1/11/700/005 12 (3×4) förfyllda injektionspennor (flerpack)
Första godkännandet: 13 juli 2011
Förnyat godkännande:
18 februari 2016
2025-07-18 Ytterligare information om detta läkemedel finns på Europeiska läkemedelsmyndighetens webbplats https://www.ema.europa.eu
Patientens tillstånd ska utvärderas kontinuerligt. Avbrytande av behandlingen med Benlysta ska övervägas om ingen förbättring av sjukdomen har skett efter 6 månaders behandling.
Vuxna
Rekommenderad dos är 200 mg en gång i veckan, given subkutant. Doseringen bygger inte på vikt (se avsnitt 5.2).
Barn och ungdomar (i åldern 5 till under 18 år)
Den rekommenderade subkutana dosen är baserad på kroppsvikt (se avsnitt 5.1 och 5.2).
SLE-nefrit
Vuxna
Rekommenderad doseringsregim för patienter som påbörjar behandling med Benlysta för aktiv SLE-nefrit är en 400 mg dos (två 200 mg-injektioner) en gång i veckan i fyra veckor och därefter 200 mg en gång i veckan. Rekommenderad dosering för patienter som fortsätter behandling med Benlysta för aktiv SLE-nefrit är 200 mg en gång i veckan. Benlysta ska användas i kombination med kortikosteroider och mykofenolat eller cyklofosfamid för induktion, eller mykofenolat eller azatioprin för underhåll. Patientens tillstånd ska utvärderas kontinuerligt.
Glömda doser
Om en dos glöms bort, rekommenderas att den ges snarast möjligt. Därefter kan patienten återuppta dosering på den vanliga administreringsdagen eller påbörja ett nytt schema från den dag då den glömda dosen administrerades.
Byte av schemalagd dag för dosering
Om patienten vill byta den schemalagda dagen för doseringen, kan en ny dos ges på den nya veckodagen. Därefter kan patienten fortsätta med det nya schemat från den dagen även om doseringsintervallet tillfälligt blir kortare än vanligt.
Övergång från intravenös till subkutan administrering
SLE
Vid övergång från intravenös till subkutan administrering av Benlysta hos en patient med SLE måste den första subkutana injektionen ges 1 till 4 veckor efter den sista intravenösa dosen (se avsnitt 5.2).
SLE-nefrit
Vid övergång från intravenös till subkutan administrering av Benlysta hos en patient med SLE-nefrit rekommenderas att den första 200 mg-dos som injiceras subkutant ges 1 till 2 veckor efter den sista intravenösa dosen. Sådan övergång kan ske när som helst efter att patienten har fått de första 2 intravenösa doserna (se avsnitt 5.2).
Särskilda populationer
Äldre
Data för patienter ≥ 65 år är begränsade (se avsnitt 5.1). Benlysta ska användas med försiktighet till äldre. Dosjustering krävs ej (se avsnitt 5.2).
Nedsatt njurfunktion
Belimumab har studerats hos ett begränsat antal SLE-patienter med nedsatt njurfunktion. Baserat på tillgänglig information behövs ingen dosjustering till patienter med lindrigt, måttligt eller svårt nedsatt njurfunktion. Försiktighet rekommenderas emellertid till patienter med svårt nedsatt njurfunktion med hänsyn till bristen på data (se avsnitt 5.2).
Nedsatt leverfunktion
Inga specifika studier har genomförts med Benlysta hos patienter med nedsatt leverfunktion. Det är inte sannolikt att patienter med nedsatt leverfunktion behöver någon dosjustering (se avsnitt 5.2).
Pediatrisk population
SLE
Säkerhet och effekt för Benlysta med subkutan administrering har inte fastställts för barn under 5 års ålder eller som väger mindre än 15 kg. Inga data finns tillgängliga.
SLE-nefrit
Säkerhet och effekt för Benlysta med subkutan administrering har inte fastställts för barn och ungdomar som är yngre än 18 år. Inga data finns tillgängliga.
Administreringssätt
Den förfyllda injektionspennan får endast användas för subkutan injektion. Rekommenderade injektionsställen är buken eller låren. Vid injektion i samma område måste patienten uppmanas att välja ett nytt injektionsställe för varje injektion. Injektioner får aldrig ges i områden där huden ömmar, har blåmärken, är röd eller hård. När en 400 mg-dos ges på samma ställe, rekommenderas att de två 200 mg-injektionerna ges med ett avstånd på minst 5 cm från varandra.
Fullständiga anvisningar om subkutan administrering av Benlysta i en förfylld injektionspenna finns i slutet av bipacksedeln (se Steg-för-steg-anvisningar).
Överkänslighet mot den aktiva substansen eller mot något hjälpämne som anges i avsnitt 6.1.
Spårbarhet
För att förbättra spårbarheten av biologiska läkemedel ska det administrerade läkemedlets namn och tillverkningssatsnummer registreras tydligt.
Benlysta har inte studerats hos följande patientgrupper och rekommenderas inte vid:
svår aktiv SLE i centrala nervsystemet
hiv
tidigare eller pågående hepatit B eller C
hypogammaglobulinemi (IgG <400 mg/dl) eller IgA-brist (IgA <10 mg/dl)
en större organtransplantation eller hematopoietisk stamcell-/märgtransplantation eller njurtransplantation i anamnesen.
Samtidig användning med B-cellsinriktad terapi
Tillgängliga data stöder inte samtidig administrering av rituximab med Benlysta hos patienter med SLE (se avsnitt 5.1). Försiktighet ska iakttas om Benlysta administreras tillsammans med annan B‑cellsinriktad terapi.
Överkänslighet
Subkutan eller intravenös administrering av Benlysta kan orsaka överkänslighetsreaktioner som kan vara allvarliga och dödliga. I händelse av en allvarlig reaktion måste administreringen av Benlysta avbrytas och lämplig medicinsk behandling administreras (se avsnitt 4.2). Risken för överkänslighetsreaktioner är störst vid de två första injektionerna dock måste risken beaktas vid varje administrering. Patienter med en bakgrund av multipla läkemedelsallergier eller signifikant överkänslighet kan löpa ökad risk. Återkomst av kliniskt signifikanta reaktioner efter initial lämplig behandling av symtom har också observerats (se avsnitt 4.2 och 4.8).
Patienter måste informeras om att överkänslighetsreaktioner är möjliga samma dag eller flera dagar efter administrering och om eventuella tecken och symtom samt möjligheten att dessa återkommer. Patienter måste instrueras att söka omedelbar vård om de upplever något av dessa symtom. Patienten måste ha tillgång till bipacksedeln. Fördröjda, icke-akuta överkänslighetsreaktioner har observerats och inkluderade symtom som utslag, illamående, trötthet, myalgi, huvudvärk och ansiktsödem.
I kliniska studier med intravenös administrering inkluderade allvarliga infusions- och överkänslighetsreaktioner anafylaktisk reaktion, bradykardi, hypotoni, angioödem och dyspné. Se produktresumén för Benlysta pulver till koncentrat till infusionsvätska, lösning (avsnitt 4.4).
Infektioner
Verkningsmekanismen för belimumab kan öka risken för att utveckla infektioner hos vuxna och barn med SLE, inklusive opportunistiska infektioner, och yngre barn kan löpa ökad risk. I kontrollerade kliniska studier var incidensen av allvarliga infektioner liknande i Benlysta- och placebogrupperna; dödliga infektioner (t.ex. pneumoni och sepsis) förekom dock oftar hos patienter som fick Benlysta jämfört med placebo (se avsnitt 4.8). Pneumokockvaccin bör övervägas innan behandling med Benlysta påbörjas. Behandling med Benlysta får inte påbörjas hos patienter med aktiva allvarliga infektioner (inklusive allvarliga kroniska infektioner). Läkaren ska iaktta försiktighet och göra en noggrann bedömning av om nyttan förväntas överväga riskerna när användning av Benlysta övervägs till patienter med recidiverande infektion i anamnesen. Läkaren ska råda patienten att kontakta sin vårdgivare vid utveckling av symtom på en infektion. Patienter som utvecklar en infektion under tiden de genomgår behandling med Benlysta måste övervakas noga, och avbrytande av immunsuppressiv behandling inklusive Benlysta till dess infektionen är utläkt ska noga övervägas. Risken med användning av Benlysta till patienter med aktiv eller latent tuberkulos är inte känd.
Depression och suicidalitet
I kontrollerade studier med intravenös och subkutan administrering har psykiatriska tillstånd (depression, suicidtankar och suicidalt beteende inklusive suicid) rapporterats med högre frekvens hos patienter behandlade med Benlysta (se avsnitt 4.8). Läkare ska bedöma risken för depression och suicid mot bakgrund av patientens anamnes och aktuella psykiska status innan behandling med Benlysta påbörjas, och fortsätta att övervaka patienten under behandlingen. Läkare måste uppmana patienter (och anhörigvårdare i förekommande fall) att kontakta läkare i händelse av nya eller förvärrade psykiska symtom. För patienter som utvecklar sådana symtom ska det övervägas om behandlingen ska avbrytas.
Svåra kutana biverkningar
Stevens-Johnsons syndrom (SJS) och toxisk epidermal nekrolys (TEN), som kan vara livshotande eller dödliga, har rapporterats i samband med behandling med Benlysta. Patienterna ska informeras om tecken och symtom på SJS och TEN och övervakas noga för hudreaktioner. Om tecken och symtom som tyder på dessa reaktioner uppstår, ska Benlysta omedelbart sättas ut och en alternativ behandling övervägas. Om patienten utvecklat SJS eller TEN vid användning av Benlysta, får behandling med Benlysta aldrig återinsättas hos denna patient.
Progressiv multifokal leukoencefalopati
Progressiv multifokal leukoencefalopati (PML) har rapporterats vid Benlystabehandling mot SLE. Läkare måste vara särskilt observanta på symtom som tyder på PML som patienterna själva kanske inte märker (t.ex. kognitiva, neurologiska eller psykiatriska symtom eller tecken). Patienterna ska monitoreras för alla dessa nya eller förvärrade symtom eller tecken och om sådana symtom/tecken uppkommer, remitteras till neurolog för övervägande av lämpliga diagnostikmetoder för PML enligt klinisk indikation. Om PML misstänks måste immunsuppressiv behandling, inklusive Benlysta, avbrytas till dess att PML har uteslutits. Om PML bekräftas, måste immunsuppressiv behandling, inklusive Benlysta, sättas ut.
Immunisering
Levande vacciner ska inte ges 30 dagar före eller samtidigt med Benlysta, eftersom klinisk säkerhet inte har fastställts. Det finns inga tillgängliga uppgifter om sekundär överföring av infektion från personer som erhåller levande vacciner till patienter som får Benlysta.
På grund av verkningsmekanismen kan belimumab störa svaret på immuniseringar. I en liten studie där responsen på ett 23-valent pneumokockvaccin utvärderades var dock den övergripande immunresponsen på de olika serotyperna liknande för SLE‑patienter som fått Benlysta jämfört med de som fått standardiserad immunosuppressiv behandling vid tidpunkten för vaccinering. Data är otillräckliga för att dra slutsatser kring respons på andra vacciner.
Begränsade uppgifter tyder på att Benlysta inte signifikant påverkar förmågan att upprätthålla ett skyddande immunsvar på immuniseringar givna före administrering av Benlysta. I en delstudie uppvisade en liten grupp patienter som tidigare givits antingen stelkramps-, pneumokock- eller influensavaccination fortfarande skyddande titrar efter behandling med Benlysta.
Maligniteter och lymfoproliferativa sjukdomar
Immunmodulatoriska läkemedel, inklusive belimumab, kan öka risken för malignitet. Försiktighet tillråds när belimumabterapi övervägs för patienter med malignitet i anamnesen eller när man överväger att fortsätta behandlingen hos patienter som utvecklar malignitet. Patienter med maligna neoplasier inom de senaste 5 åren har inte studerats, med undantag för basal- eller skivepitelcellscancer i huden eller cancer i livmoderhalsen som exciderats fullständigt eller blivit adekvat behandlad.
Innehåll av polysorbat 80
Detta läkemedel innehåller polysorbat 80 (se avsnitt 2), som kan orsaka allergiska reaktioner.
Natriuminnehåll
Detta läkemedel innehåller mindre än 1 mmol (23 mg) natrium per dos, d.v.s. är näst intill ”natriumfritt”.
Inga interaktionsstudier har utförts in vivo. Bildandet av vissa CYP450-enzymer hämmas av ökade nivåer av vissa cytokiner vid kronisk inflammation. Det är inte känt om belimumab kan vara en indirekt modulator av sådana cytokiner. En risk för indirekt minskning av CYP-aktivitet med belimumab kan inte uteslutas. Vid initiering eller avbrytande av behandling med belimumab ska monitorering övervägas för patienter som behandlas med CYP-substrat med ett smalt terapeutiskt index, där dosen anpassas individuellt (t.ex. warfarin).
Fertila kvinnor/Födelsekontroll hos män och kvinnor
Fertila kvinnor måste använda effektivt preventivmedel under behandling med Benlysta och under minst 4 månader efter den sista behandlingen.
Graviditet
Det finns begränsad mängd data från användning av Benlysta hos gravida kvinnor. Förutom en förväntad farmakologisk effekt, dvs. reduktion av B-celler, tyder djurstudier på apor inte på några direkta eller indirekta skadliga effekter med avseende på reproduktionstoxicitet (se avsnitt 5.3).
Benlysta ska inte användas under graviditet såvida inte den potentiella nyttan rättfärdigar den potentiella risken för fostret.
Amning
Det är inte känt om Benlysta utsöndras i bröstmjölk eller absorberas systemiskt efter förtäring. Belimumab har detekterats i mjölk från honapor som tillförts 150 mg/kg
kroppsvikt varannan vecka.
Eftersom maternella antikroppar (IgG) utsöndras i bröstmjölk, rekommenderas att ett beslut fattas huruvida amningen ska avbrytas eller Benlysta-behandlingen ska avbrytas med hänsyn till fördelen med amningen för barnet och fördelen med behandlingen för kvinnan.
Fertilitet
Det finns inga uppgifter om effekterna av belimumab på human fertilitet. Effekterna på manlig och kvinnlig fertilitet har inte formellt utvärderats i djurstudier (se avsnitt 5.3).
Inga studier av effekten på förmågan att framföra fordon och använda maskiner har utförts. Inga menliga effekter på sådana aktiviteter förutses med hänsyn till farmakologin hos Benlysta. Det rekommenderas att patientens kliniska status och biverkningsprofilen för Benlysta beaktas när patientens förmåga att utföra uppgifter som kräver bedömningsförmåga, motorisk eller kognitiv förmåga övervägs.
Sammanfattning av säkerhetsprofilen
Säkerheten för Benlysta hos patienter med SLE har utvärderats i tre placebokontrollerade studier med intravenös administrering, en efterföljande
regional placebokontrollerad studie med intravenös administrering och en placebokontrollerad studie med subkutan administrering utförda före godkännandet och två placebokontrollerade studier med intravenös administrering utförda efter marknadsintroduktionen. Säkerheten hos patienter med aktiv SLE-nefrit har utvärderats i en placebokontrollerad studie med intravenös administrering.
Uppgifterna som redovisas nedan avspeglar en exponering hos 674 patienter med SLE från de tre kliniska studierna och 470 patienter i den efterföljande placebokontrollerade studien som utfördes före godkännandet vilka fått Benlysta intravenöst (10 mg/kg kroppsvikt under 1 timme dag 0, 14, 28 och sedan var 28:e dag i upp till 52 veckor) och 556 patienter med SLE exponerade för Benlysta subkutant (200 mg en gång i veckan i upp till 52 veckor). Redovisade säkerhetsdata inkluderar data utöver 52 veckor för vissa patienter med SLE. Data avspeglar dessutom exponering hos 224 patienter med aktiv SLE-nefrit som fått Benlysta intravenöst (10 mg/kg kroppsvikt i upp till 104 veckor). Data från rapporter efter marknadsintroduktionen är också inkluderade.
Huvuddelen av patienterna fick också samtidigt en eller flera av följande behandlingar för SLE: kortikosteroider, immunmodulatoriska läkemedel, anti‑malariamedel, icke-steroida anti‑inflammatoriska läkemedel.
Biverkningar rapporterades för 84 % av de patienter som behandlats med Benlysta och för 87 % av de patienter som behandlats med placebo. De oftast rapporterade biverkningarna (≥ 5 % av patienterna med SLE som behandlats med Benlysta som tilläggsbehandling till standardterapi och en frekvens på ≥ 1 % mer än placebo) var
nasofaryngit. Andelen patienter som avbröt behandlingen på grund av biverkningar var 7 % för Benlysta-behandlade patienter och 8 % för placebobehandlade patienter.
De oftast rapporterade biverkningarna (> 5 % av patienterna med aktiv SLE-nefrit behandlade med Benlysta plus standardbehandling) var övre luftvägsinfektion, urinvägsinfektion och herpes zoster. Andelen patienter som avbröt behandlingen på grund av biverkningar var 12,9 % för Benlysta-behandlade patienter och 12,9 % för placebobehandlade patienter.
Svåra kutana biverkningar: Stevens-Johnsons syndrom (SJS) och toxisk epidermal nekrolys (TEN) har rapporterats i samband med behandling med Benlysta (se avsnitt 4.4).
Tabell över biverkningar
Biverkningar är listade nedan enligt MedDRA-organklass och frekvens. De frekvenskategorier som används är:
Mycket vanliga ≥ 1/10
Vanliga ≥ 1/100 till < 1/10
Mindre vanliga ≥ 1/1 000 till < 1/100
Sällsynta ≥ 1/10 000 till < 1/1 000
Ingen känd frekvens kan inte beräknas från tillgängliga data.
Biverkningarna presenteras inom varje frekvensområde efter fallande allvarlighetsgrad. Angiven frekvens är den högsta som setts med någon av formuleringarna.
1 Se ”Beskrivning av valda biverkningar” och avsnitt 4.4 ”Infektioner” för mer information.
2 "Överkänslighetsreaktioner" omfattar en grupp av termer, bland annat anafylaxi, och kan manifesteras som en rad symtom, bland annat hypotoni, angioödem, urtikaria eller annat utslag, klåda och dyspné. "Infusions- eller injektionsrelaterade systematiska reaktioner" omfattar en grupp av termer och kan manifesteras som en rad symtom, bland annat bradykardi, myalgi, huvudvärk, utslag, urtikaria, feber, hypotoni, hypertoni, yrsel och artralgi. Eftersom tecken och symtom överlappar varandra, är det inte möjligt att skilja mellan överkänslighetsreaktioner och
infusions- eller injektionsrelaterade systemiska reaktioner i alla fall.
3 Gäller endast den subkutana formuleringen.
Beskrivning av valda biverkningar
Nedan redovisade data har poolats från de tre kliniska studierna med intravenös administrering (endast 10 mg/kg kroppsvikt intravenös dos) och den kliniska studien med subkutan administrering som utfördes före godkännandet. "Infektioner" och "Psykiatriska tillstånd" inkluderar data från en studie utförd efter marknadsintroduktionen.
Infusions- eller injektionsrelaterade systemiska reaktioner och överkänslighet: Infusions- eller injektionsrelaterade systemiska reaktioner och överkänslighetsreaktioner observerades vanligtvis på administreringsdagen men akuta överkänslighetsreaktioner kan förekomma flera dagar efter dosering. Patienter med en bakgrund av multipla läkemedelsallergier eller signifikanta överkänslighetsreaktioner kan löpa ökad risk.
Incidensen av infusionsreaktioner och överkänslighetsreaktioner inom 3 dagar efter intravenös administrering var 12 % i gruppen som fick Benlysta och 10 % i gruppen som fick placebo, varvid 1,2 % respektive 0,3 % krävde att behandlingen avbröts permanent.
Incidensen av systemiska injektionsreaktioner och överkänslighetsreaktioner inom 3 dagar efter subkutan administrering var 7 % i gruppen som fick Benlysta och 9 % i gruppen som fick placebo. Kliniskt signifikanta överkänslighetsreaktioner associerade med subkutant administrerat Benlysta som krävde behandlingsavbrott rapporterades hos 0,2 av patienterna som fick Benlysta och hos ingen patient som fick placebo.
Infektioner: I SLE-studier med intravenös och subkutan administrering före godkännandet var den totala incidensen av infektioner 63 % både i de grupper som fick Benlysta och de som fick placebo. Infektioner som förekom hos minst 3 % av Benlysta-patienterna och minst 1 % mer frekvent än hos patienter som fick placebo var virusinfektioner i övre luftvägar, bronkit och bakteriella urinvägsinfektioner. Allvarliga infektioner förekom hos 5 % av patienterna både i gruppen som fick Benlysta och i gruppen som fick placebo; allvarliga opportunistiska infektioner stod för 0,4 % respektive 0 % av dessa. Infektioner som ledde till att behandlingen avbröts förekom hos 0,7 % av patienterna som fick Benlysta och hos 1,5 % av patienterna som fick placebo. Några infektioner var allvarliga eller dödliga.
Information om infektioner som har setts hos pediatriska patienter med SLE finns i avsnittet Pediatrisk population nedan.
I SLE-nefritstudien fick patienterna bakgrundsbehandling av standardtyp (se avsnitt 5.1) och den totala incidensen av infektioner var 82 % hos patienterna som fick Benlysta jämfört med 76 % hos patienterna som fick placebo. Allvarliga infektioner förekom hos 13,8 % av patienterna som fick Benlysta och hos 17,0 % hos patienterna som fick placebo. Dödliga infektioner förekom hos 0,9 % (2/224) av patienterna som fick Benlysta och hos 0,9 % (2/224) av patienterna som fick placebo.
I en randomised, dubbelblind, 52-veckorsstudie på SLE som utfördes efter marknadsintroduktionen (BEL115467) och som bedömde mortalitet och specifika biverkningar hos vuxna, förekom allvarliga infektioner hos 3,7 % av patienterna som fick Benlysta 10 mg/kg kroppsvikt intravenöst och hos 4,1 % av patienterna som fick placebo. Dödliga infektioner (t.ex. pneumoni och sepsis) förekom dock hos 0,45 % (9/2002) av patienterna som behandlades med Benlysta och hos 0,15 % (3/2001) av patienterna som fick placebo, medan incidensen av mortalitet oavsett orsak var 0,50 % (10/2002) bland de patienter som behandlades med Benlysta och 0,40 % (8/2001) bland patienterna som fick placebo. De flesta dödliga infektionerna observerades under de första 20 behandlingsveckorna med Benlysta.
Psykiatriska tillstånd: I de kliniska SLE-studierna med intravenös administrering som utfördes före godkännandet rapporterades allvarliga psykiska händelser hos 1,2 % (8/674) av patienterna som fick Benlysta 10 mg/kg kroppsvikt och hos 0,4 % (3/675) av patienterna som fick placebo. Allvarlig depression rapporterades hos 0,6 % (4/674) av patienterna som fick Benlysta 10 mg/kg kroppsvikt och hos 0,3 % (2/675) av patienterna som fick placebo. Det var två suicid bland patienterna som behandlades med Benlysta (varav en som fick Benlysta 1 mg/kg kroppsvikt).
I en SLE-studie som utfördes efter marknadsintroduktionen rapporterades allvarliga psykiska händelser hos 1,0 % (20/2002) av patienterna som fick Benlysta och hos 0,3 % (6/2001) av patienterna som fick placebo. Allvarlig depression rapporterades hos 0,3 % (7/2002) av patienterna som fick Benlysta och hos < 0,1 % (1/2001) av patienterna som fick placebo. Den totala incidensen av allvarliga suicidtankar eller suicidalt beteende eller självskada utan suicidavsikt var 0,7 % (15/2002) hos patienter som fick Benlysta och 0,2 % (5/2001) i placebogruppen. Inget suicid rapporterades i någon av grupperna.
SLE-studierna med intravenös administrering ovan exkluderade inte patienter med psykiatriska tillstånd i anamnesen.
I den kliniska SLE-studien med subkutan administrering, som exkluderade patienter med anamnes på psykiatriska tillstånd, rapporterades allvarliga psykiska händelser hos 0,2 % (1/556) av patienterna som fick Benlysta och hos ingen av patienterna som fick placebo. Inga allvarliga depressionsrelaterade händelser eller suicid rapporterades i någon av grupperna.
Leukopeni: Incidensen av leukopeni rapporterad hos patienter med SLE som en biverkan var 3 % i gruppen som fick Benlysta och 2 % i gruppen som fick placebo.
Reaktioner vid injektionsstället: I SLE-studien med subkutana administrering var frekvensen av reaktioner vid injektionsstället 6,1 % (34/556) och 2,5 % (7/280) för patienter som fick Benlysta respektive placebo. Dessa reaktioner vid injektionsstället (varav de vanligaste var smärta, erytem, hematom, klåda och induration) var av mild till måttlig svårighetsgrad. Majoriteten behövde inte avbryta behandlingen.
Pediatrisk population
Biverkningsprofilen hos pediatriska patienter baseras på en studie med subkutan administrering och en studie med intravenös administrering.
I en 52-veckors öppen studie fick 25 pediatriska patienter (i åldern 10 till 17 år) med SLE Benlysta subkutant med en exponering som var jämförbar med den hos vuxna (200 mg med ett fastställt doseringsintervall baserat på kroppsvikt, i tillägg till bakgrundsbehandling). Säkerhetsprofilen hos pediatriska patienter som fick Benlysta subkutant överensstämde med den kända säkerhetsprofilen för belimumab.
I en 52-veckors placebokontrollerad studie fick 53 patienter (i åldern 6 till 17 år) med SLE Benlysta (10 mg/kg kroppsvikt intravenöst på dag 0, 14 och 28 och därefter var 28:e dag i tillägg till bakgrundsbehandling). Inga nya säkerhetssignaler observerades hos den pediatriska populationen från 12 års ålder (n = 43). Säkerhetsdata för barn yngre än 12 år (n = 10) är begränsade.
Infektioner
Åldersgruppen 5 till 11 år: infektioner rapporterades hos 8/10 patienter som fick Benlysta intravenöst och hos 3/3 patienter som fick placebo. Allvarliga infektioner rapporterades hos 1/10 patienter som fick Benlysta intravenöst och 2/3 patienter som fick placebo (se avsnitt 4.4).
Åldersgruppen 12 till 17 år: infektioner rapporterades hos 22/43 patienter som fick Benlysta intravenöst och hos 25/37 patienter som fick placebo. Allvarliga infektioner rapporterades hos 3/43 patienter som fick Benlysta intravenöst och hos 3/37 patienter som fick placebo. I den öppna förlängningsfasen fanns en dödlig infektion hos en patient som fick Benlysta intravenöst.
Det finns begränsad klinisk erfarenhet av överdosering av Benlysta. Biverkningar som rapporterats i samband med överdosering har varit i enlighet med de som förväntats för belimumab.
Två doser upp till 20 mg/kg kroppsvikt som administrerades med 21 dagars mellanrum med intravenös infusion har givits till människa utan någon ökning av förekomsten eller svårighetsgraden av biverkningarna jämfört med doser på 1, 4 eller 10 mg/kg kroppsvikt.
Vid fall av oavsiktlig överdosering ska patienten observeras noga och stödjande vård ges efter behov.
Benlysta är indicerat som tilläggsbehandling hos patienter från 5 års ålder med aktiv, autoantikroppspositiv Systemisk Lupus Erythematosus (SLE) med en hög grad av sjukdomsaktivitet (t.ex. positivt anti-dsDNA och lågt komplement) trots standardterapi (se avsnitt 5.1).
Benlysta i kombination med immunsupprimerande bakgrundsbehandling är indicerat för behandling av vuxna patienter med aktiv SLE-nefrit (se avsnitt 4.2 och 5.1).
Behandling med Benlysta ska inledas och övervakas av en kvalificerad läkare med erfarenhet av diagnostisering och behandling av SLE. Den första subkutana injektionen av Benlysta bör ges under överinseende av kvalificerad sjukvårdspersonal i en miljö där det finns tillgängliga resurser för behandling av överkänslighetsreaktioner. Sjukvårdspersonal måste ge lämplig undervisning i subkutan teknik och informera om tecken och symtom på överkänslighetsreaktioner (se avsnitt 4.4). En patient kan självinjicera eller patientens anhörigvårdare kan administrera Benlysta efter att sjukvårdspersonal har bedömt att detta är lämpligt.
Till patienter yngre än 10 år måste Benlysta ges av sjukvårdspersonal eller en utbildad anhörigvårdare.
Dosering
SLE
Patientens tillstånd ska utvärderas kontinuerligt. Avbrytande av behandlingen med Benlysta ska övervägas om ingen förbättring av sjukdomen har skett efter 6 månaders behandling.
Vuxna
Rekommenderad dos är 200 mg en gång i veckan, given subkutant. Doseringen bygger inte på vikt (se avsnitt 5.2).
Barn och ungdomar (i åldern 5 till under 18 år)
Den rekommenderade subkutana dosen är baserad på kroppsvikt (se avsnitt 5.1 och 5.2).
SLE-nefrit
Vuxna
Rekommenderad doseringsregim för patienter som påbörjar behandling med Benlysta för aktiv SLE-nefrit är en 400 mg dos (två 200 mg-injektioner) en gång i veckan i fyra veckor och därefter 200 mg en gång i veckan. Rekommenderad dosering för patienter som fortsätter behandling med Benlysta för aktiv SLE-nefrit är 200 mg en gång i veckan. Benlysta ska användas i kombination med kortikosteroider och mykofenolat eller cyklofosfamid för induktion, eller mykofenolat eller azatioprin för underhåll. Patientens tillstånd ska utvärderas kontinuerligt.
Glömda doser
Om en dos glöms bort, rekommenderas att den ges snarast möjligt. Därefter kan patienten återuppta dosering på den vanliga administreringsdagen eller påbörja ett nytt schema från den dag då den glömda dosen administrerades.
Byte av schemalagd dag för dosering
Om patienten vill byta den schemalagda dagen för doseringen, kan en ny dos ges på den nya veckodagen. Därefter kan patienten fortsätta med det nya schemat från den dagen även om doseringsintervallet tillfälligt blir kortare än vanligt.
Övergång från intravenös till subkutan administrering
SLE
Vid övergång från intravenös till subkutan administrering av Benlysta hos en patient med SLE måste den första subkutana injektionen ges 1 till 4 veckor efter den sista intravenösa dosen (se avsnitt 5.2).
SLE-nefrit
Vid övergång från intravenös till subkutan administrering av Benlysta hos en patient med SLE-nefrit rekommenderas att den första 200 mg-dos som injiceras subkutant ges 1 till 2 veckor efter den sista intravenösa dosen. Sådan övergång kan ske när som helst efter att patienten har fått de första 2 intravenösa doserna (se avsnitt 5.2).
Särskilda populationer
Äldre
Data för patienter ≥ 65 år är begränsade (se avsnitt 5.1). Benlysta ska användas med försiktighet till äldre. Dosjustering krävs ej (se avsnitt 5.2).
Nedsatt njurfunktion
Belimumab har studerats hos ett begränsat antal SLE-patienter med nedsatt njurfunktion. Baserat på tillgänglig information behövs ingen dosjustering till patienter med lindrigt, måttligt eller svårt nedsatt njurfunktion. Försiktighet rekommenderas emellertid till patienter med svårt nedsatt njurfunktion med hänsyn till bristen på data (se avsnitt 5.2).
Nedsatt leverfunktion
Inga specifika studier har genomförts med Benlysta hos patienter med nedsatt leverfunktion. Det är inte sannolikt att patienter med nedsatt leverfunktion behöver någon dosjustering (se avsnitt 5.2).
Pediatrisk population
SLE
Säkerhet och effekt för Benlysta med subkutan administrering har inte fastställts för barn under 5 års ålder eller som väger mindre än 15 kg. Inga data finns tillgängliga.
SLE-nefrit
Säkerhet och effekt för Benlysta med subkutan administrering har inte fastställts för barn och ungdomar som är yngre än 18 år. Inga data finns tillgängliga.
Administreringssätt
Den förfyllda injektionspennan får endast användas för subkutan injektion. Rekommenderade injektionsställen är buken eller låren. Vid injektion i samma område måste patienten uppmanas att välja ett nytt injektionsställe för varje injektion. Injektioner får aldrig ges i områden där huden ömmar, har blåmärken, är röd eller hård. När en 400 mg-dos ges på samma ställe, rekommenderas att de två 200 mg-injektionerna ges med ett avstånd på minst 5 cm från varandra.
Fullständiga anvisningar om subkutan administrering av Benlysta i en förfylld injektionspenna finns i slutet av bipacksedeln (se Steg-för-steg-anvisningar).
Överkänslighet mot den aktiva substansen eller mot något hjälpämne som anges i avsnitt 6.1.
Spårbarhet
För att förbättra spårbarheten av biologiska läkemedel ska det administrerade läkemedlets namn och tillverkningssatsnummer registreras tydligt.
Benlysta har inte studerats hos följande patientgrupper och rekommenderas inte vid:
svår aktiv SLE i centrala nervsystemet
hiv
tidigare eller pågående hepatit B eller C
hypogammaglobulinemi (IgG <400 mg/dl) eller IgA-brist (IgA <10 mg/dl)
en större organtransplantation eller hematopoietisk stamcell-/märgtransplantation eller njurtransplantation i anamnesen.
Samtidig användning med B-cellsinriktad terapi
Tillgängliga data stöder inte samtidig administrering av rituximab med Benlysta hos patienter med SLE (se avsnitt 5.1). Försiktighet ska iakttas om Benlysta administreras tillsammans med annan B‑cellsinriktad terapi.
Överkänslighet
Subkutan eller intravenös administrering av Benlysta kan orsaka överkänslighetsreaktioner som kan vara allvarliga och dödliga. I händelse av en allvarlig reaktion måste administreringen av Benlysta avbrytas och lämplig medicinsk behandling administreras (se avsnitt 4.2). Risken för överkänslighetsreaktioner är störst vid de två första injektionerna dock måste risken beaktas vid varje administrering. Patienter med en bakgrund av multipla läkemedelsallergier eller signifikant överkänslighet kan löpa ökad risk. Återkomst av kliniskt signifikanta reaktioner efter initial lämplig behandling av symtom har också observerats (se avsnitt 4.2 och 4.8).
Patienter måste informeras om att överkänslighetsreaktioner är möjliga samma dag eller flera dagar efter administrering och om eventuella tecken och symtom samt möjligheten att dessa återkommer. Patienter måste instrueras att söka omedelbar vård om de upplever något av dessa symtom. Patienten måste ha tillgång till bipacksedeln. Fördröjda, icke-akuta överkänslighetsreaktioner har observerats och inkluderade symtom som utslag, illamående, trötthet, myalgi, huvudvärk och ansiktsödem.
I kliniska studier med intravenös administrering inkluderade allvarliga infusions- och överkänslighetsreaktioner anafylaktisk reaktion, bradykardi, hypotoni, angioödem och dyspné. Se produktresumén för Benlysta pulver till koncentrat till infusionsvätska, lösning (avsnitt 4.4).
Infektioner
Verkningsmekanismen för belimumab kan öka risken för att utveckla infektioner hos vuxna och barn med SLE, inklusive opportunistiska infektioner, och yngre barn kan löpa ökad risk. I kontrollerade kliniska studier var incidensen av allvarliga infektioner liknande i Benlysta- och placebogrupperna; dödliga infektioner (t.ex. pneumoni och sepsis) förekom dock oftar hos patienter som fick Benlysta jämfört med placebo (se avsnitt 4.8). Pneumokockvaccin bör övervägas innan behandling med Benlysta påbörjas. Behandling med Benlysta får inte påbörjas hos patienter med aktiva allvarliga infektioner (inklusive allvarliga kroniska infektioner). Läkaren ska iaktta försiktighet och göra en noggrann bedömning av om nyttan förväntas överväga riskerna när användning av Benlysta övervägs till patienter med recidiverande infektion i anamnesen. Läkaren ska råda patienten att kontakta sin vårdgivare vid utveckling av symtom på en infektion. Patienter som utvecklar en infektion under tiden de genomgår behandling med Benlysta måste övervakas noga, och avbrytande av immunsuppressiv behandling inklusive Benlysta till dess infektionen är utläkt ska noga övervägas. Risken med användning av Benlysta till patienter med aktiv eller latent tuberkulos är inte känd.
Depression och suicidalitet
I kontrollerade studier med intravenös och subkutan administrering har psykiatriska tillstånd (depression, suicidtankar och suicidalt beteende inklusive suicid) rapporterats med högre frekvens hos patienter behandlade med Benlysta (se avsnitt 4.8). Läkare ska bedöma risken för depression och suicid mot bakgrund av patientens anamnes och aktuella psykiska status innan behandling med Benlysta påbörjas, och fortsätta att övervaka patienten under behandlingen. Läkare måste uppmana patienter (och anhörigvårdare i förekommande fall) att kontakta läkare i händelse av nya eller förvärrade psykiska symtom. För patienter som utvecklar sådana symtom ska det övervägas om behandlingen ska avbrytas.
Svåra kutana biverkningar
Stevens-Johnsons syndrom (SJS) och toxisk epidermal nekrolys (TEN), som kan vara livshotande eller dödliga, har rapporterats i samband med behandling med Benlysta. Patienterna ska informeras om tecken och symtom på SJS och TEN och övervakas noga för hudreaktioner. Om tecken och symtom som tyder på dessa reaktioner uppstår, ska Benlysta omedelbart sättas ut och en alternativ behandling övervägas. Om patienten utvecklat SJS eller TEN vid användning av Benlysta, får behandling med Benlysta aldrig återinsättas hos denna patient.
Progressiv multifokal leukoencefalopati
Progressiv multifokal leukoencefalopati (PML) har rapporterats vid Benlystabehandling mot SLE. Läkare måste vara särskilt observanta på symtom som tyder på PML som patienterna själva kanske inte märker (t.ex. kognitiva, neurologiska eller psykiatriska symtom eller tecken). Patienterna ska monitoreras för alla dessa nya eller förvärrade symtom eller tecken och om sådana symtom/tecken uppkommer, remitteras till neurolog för övervägande av lämpliga diagnostikmetoder för PML enligt klinisk indikation. Om PML misstänks måste immunsuppressiv behandling, inklusive Benlysta, avbrytas till dess att PML har uteslutits. Om PML bekräftas, måste immunsuppressiv behandling, inklusive Benlysta, sättas ut.
Immunisering
Levande vacciner ska inte ges 30 dagar före eller samtidigt med Benlysta, eftersom klinisk säkerhet inte har fastställts. Det finns inga tillgängliga uppgifter om sekundär överföring av infektion från personer som erhåller levande vacciner till patienter som får Benlysta.
På grund av verkningsmekanismen kan belimumab störa svaret på immuniseringar. I en liten studie där responsen på ett 23-valent pneumokockvaccin utvärderades var dock den övergripande immunresponsen på de olika serotyperna liknande för SLE‑patienter som fått Benlysta jämfört med de som fått standardiserad immunosuppressiv behandling vid tidpunkten för vaccinering. Data är otillräckliga för att dra slutsatser kring respons på andra vacciner.
Begränsade uppgifter tyder på att Benlysta inte signifikant påverkar förmågan att upprätthålla ett skyddande immunsvar på immuniseringar givna före administrering av Benlysta. I en delstudie uppvisade en liten grupp patienter som tidigare givits antingen stelkramps-, pneumokock- eller influensavaccination fortfarande skyddande titrar efter behandling med Benlysta.
Maligniteter och lymfoproliferativa sjukdomar
Immunmodulatoriska läkemedel, inklusive belimumab, kan öka risken för malignitet. Försiktighet tillråds när belimumabterapi övervägs för patienter med malignitet i anamnesen eller när man överväger att fortsätta behandlingen hos patienter som utvecklar malignitet. Patienter med maligna neoplasier inom de senaste 5 åren har inte studerats, med undantag för basal- eller skivepitelcellscancer i huden eller cancer i livmoderhalsen som exciderats fullständigt eller blivit adekvat behandlad.
Innehåll av polysorbat 80
Detta läkemedel innehåller polysorbat 80 (se avsnitt 2), som kan orsaka allergiska reaktioner.
Natriuminnehåll
Detta läkemedel innehåller mindre än 1 mmol (23 mg) natrium per dos, d.v.s. är näst intill ”natriumfritt”.
Inga interaktionsstudier har utförts in vivo. Bildandet av vissa CYP450-enzymer hämmas av ökade nivåer av vissa cytokiner vid kronisk inflammation. Det är inte känt om belimumab kan vara en indirekt modulator av sådana cytokiner. En risk för indirekt minskning av CYP-aktivitet med belimumab kan inte uteslutas. Vid initiering eller avbrytande av behandling med belimumab ska monitorering övervägas för patienter som behandlas med CYP-substrat med ett smalt terapeutiskt index, där dosen anpassas individuellt (t.ex. warfarin).
Fertila kvinnor/Födelsekontroll hos män och kvinnor
Fertila kvinnor måste använda effektivt preventivmedel under behandling med Benlysta och under minst 4 månader efter den sista behandlingen.
Graviditet
Det finns begränsad mängd data från användning av Benlysta hos gravida kvinnor. Förutom en förväntad farmakologisk effekt, dvs. reduktion av B-celler, tyder djurstudier på apor inte på några direkta eller indirekta skadliga effekter med avseende på reproduktionstoxicitet (se avsnitt 5.3).
Benlysta ska inte användas under graviditet såvida inte den potentiella nyttan rättfärdigar den potentiella risken för fostret.
Amning
Det är inte känt om Benlysta utsöndras i bröstmjölk eller absorberas systemiskt efter förtäring. Belimumab har detekterats i mjölk från honapor som tillförts 150 mg/kg
kroppsvikt varannan vecka.
Eftersom maternella antikroppar (IgG) utsöndras i bröstmjölk, rekommenderas att ett beslut fattas huruvida amningen ska avbrytas eller Benlysta-behandlingen ska avbrytas med hänsyn till fördelen med amningen för barnet och fördelen med behandlingen för kvinnan.
Fertilitet
Det finns inga uppgifter om effekterna av belimumab på human fertilitet. Effekterna på manlig och kvinnlig fertilitet har inte formellt utvärderats i djurstudier (se avsnitt 5.3).
Inga studier av effekten på förmågan att framföra fordon och använda maskiner har utförts. Inga menliga effekter på sådana aktiviteter förutses med hänsyn till farmakologin hos Benlysta. Det rekommenderas att patientens kliniska status och biverkningsprofilen för Benlysta beaktas när patientens förmåga att utföra uppgifter som kräver bedömningsförmåga, motorisk eller kognitiv förmåga övervägs.
Sammanfattning av säkerhetsprofilen
Säkerheten för Benlysta hos patienter med SLE har utvärderats i tre placebokontrollerade studier med intravenös administrering, en efterföljande
regional placebokontrollerad studie med intravenös administrering och en placebokontrollerad studie med subkutan administrering utförda före godkännandet och två placebokontrollerade studier med intravenös administrering utförda efter marknadsintroduktionen. Säkerheten hos patienter med aktiv SLE-nefrit har utvärderats i en placebokontrollerad studie med intravenös administrering.
Uppgifterna som redovisas nedan avspeglar en exponering hos 674 patienter med SLE från de tre kliniska studierna och 470 patienter i den efterföljande placebokontrollerade studien som utfördes före godkännandet vilka fått Benlysta intravenöst (10 mg/kg kroppsvikt under 1 timme dag 0, 14, 28 och sedan var 28:e dag i upp till 52 veckor) och 556 patienter med SLE exponerade för Benlysta subkutant (200 mg en gång i veckan i upp till 52 veckor). Redovisade säkerhetsdata inkluderar data utöver 52 veckor för vissa patienter med SLE. Data avspeglar dessutom exponering hos 224 patienter med aktiv SLE-nefrit som fått Benlysta intravenöst (10 mg/kg kroppsvikt i upp till 104 veckor). Data från rapporter efter marknadsintroduktionen är också inkluderade.
Huvuddelen av patienterna fick också samtidigt en eller flera av följande behandlingar för SLE: kortikosteroider, immunmodulatoriska läkemedel, anti‑malariamedel, icke-steroida anti‑inflammatoriska läkemedel.
Biverkningar rapporterades för 84 % av de patienter som behandlats med Benlysta och för 87 % av de patienter som behandlats med placebo. De oftast rapporterade biverkningarna (≥ 5 % av patienterna med SLE som behandlats med Benlysta som tilläggsbehandling till standardterapi och en frekvens på ≥ 1 % mer än placebo) var
nasofaryngit. Andelen patienter som avbröt behandlingen på grund av biverkningar var 7 % för Benlysta-behandlade patienter och 8 % för placebobehandlade patienter.
De oftast rapporterade biverkningarna (> 5 % av patienterna med aktiv SLE-nefrit behandlade med Benlysta plus standardbehandling) var övre luftvägsinfektion, urinvägsinfektion och herpes zoster. Andelen patienter som avbröt behandlingen på grund av biverkningar var 12,9 % för Benlysta-behandlade patienter och 12,9 % för placebobehandlade patienter.
Svåra kutana biverkningar: Stevens-Johnsons syndrom (SJS) och toxisk epidermal nekrolys (TEN) har rapporterats i samband med behandling med Benlysta (se avsnitt 4.4).
Tabell över biverkningar
Biverkningar är listade nedan enligt MedDRA-organklass och frekvens. De frekvenskategorier som används är:
Mycket vanliga ≥ 1/10
Vanliga ≥ 1/100 till < 1/10
Mindre vanliga ≥ 1/1 000 till < 1/100
Sällsynta ≥ 1/10 000 till < 1/1 000
Ingen känd frekvens kan inte beräknas från tillgängliga data.
Biverkningarna presenteras inom varje frekvensområde efter fallande allvarlighetsgrad. Angiven frekvens är den högsta som setts med någon av formuleringarna.
1 Se ”Beskrivning av valda biverkningar” och avsnitt 4.4 ”Infektioner” för mer information.
2 "Överkänslighetsreaktioner" omfattar en grupp av termer, bland annat anafylaxi, och kan manifesteras som en rad symtom, bland annat hypotoni, angioödem, urtikaria eller annat utslag, klåda och dyspné. "Infusions- eller injektionsrelaterade systematiska reaktioner" omfattar en grupp av termer och kan manifesteras som en rad symtom, bland annat bradykardi, myalgi, huvudvärk, utslag, urtikaria, feber, hypotoni, hypertoni, yrsel och artralgi. Eftersom tecken och symtom överlappar varandra, är det inte möjligt att skilja mellan överkänslighetsreaktioner och
infusions- eller injektionsrelaterade systemiska reaktioner i alla fall.
3 Gäller endast den subkutana formuleringen.
Beskrivning av valda biverkningar
Nedan redovisade data har poolats från de tre kliniska studierna med intravenös administrering (endast 10 mg/kg kroppsvikt intravenös dos) och den kliniska studien med subkutan administrering som utfördes före godkännandet. "Infektioner" och "Psykiatriska tillstånd" inkluderar data från en studie utförd efter marknadsintroduktionen.
Infusions- eller injektionsrelaterade systemiska reaktioner och överkänslighet: Infusions- eller injektionsrelaterade systemiska reaktioner och överkänslighetsreaktioner observerades vanligtvis på administreringsdagen men akuta överkänslighetsreaktioner kan förekomma flera dagar efter dosering. Patienter med en bakgrund av multipla läkemedelsallergier eller signifikanta överkänslighetsreaktioner kan löpa ökad risk.
Incidensen av infusionsreaktioner och överkänslighetsreaktioner inom 3 dagar efter intravenös administrering var 12 % i gruppen som fick Benlysta och 10 % i gruppen som fick placebo, varvid 1,2 % respektive 0,3 % krävde att behandlingen avbröts permanent.
Incidensen av systemiska injektionsreaktioner och överkänslighetsreaktioner inom 3 dagar efter subkutan administrering var 7 % i gruppen som fick Benlysta och 9 % i gruppen som fick placebo. Kliniskt signifikanta överkänslighetsreaktioner associerade med subkutant administrerat Benlysta som krävde behandlingsavbrott rapporterades hos 0,2 av patienterna som fick Benlysta och hos ingen patient som fick placebo.
Infektioner: I SLE-studier med intravenös och subkutan administrering före godkännandet var den totala incidensen av infektioner 63 % både i de grupper som fick Benlysta och de som fick placebo. Infektioner som förekom hos minst 3 % av Benlysta-patienterna och minst 1 % mer frekvent än hos patienter som fick placebo var virusinfektioner i övre luftvägar, bronkit och bakteriella urinvägsinfektioner. Allvarliga infektioner förekom hos 5 % av patienterna både i gruppen som fick Benlysta och i gruppen som fick placebo; allvarliga opportunistiska infektioner stod för 0,4 % respektive 0 % av dessa. Infektioner som ledde till att behandlingen avbröts förekom hos 0,7 % av patienterna som fick Benlysta och hos 1,5 % av patienterna som fick placebo. Några infektioner var allvarliga eller dödliga.
Information om infektioner som har setts hos pediatriska patienter med SLE finns i avsnittet Pediatrisk population nedan.
I SLE-nefritstudien fick patienterna bakgrundsbehandling av standardtyp (se avsnitt 5.1) och den totala incidensen av infektioner var 82 % hos patienterna som fick Benlysta jämfört med 76 % hos patienterna som fick placebo. Allvarliga infektioner förekom hos 13,8 % av patienterna som fick Benlysta och hos 17,0 % hos patienterna som fick placebo. Dödliga infektioner förekom hos 0,9 % (2/224) av patienterna som fick Benlysta och hos 0,9 % (2/224) av patienterna som fick placebo.
I en randomised, dubbelblind, 52-veckorsstudie på SLE som utfördes efter marknadsintroduktionen (BEL115467) och som bedömde mortalitet och specifika biverkningar hos vuxna, förekom allvarliga infektioner hos 3,7 % av patienterna som fick Benlysta 10 mg/kg kroppsvikt intravenöst och hos 4,1 % av patienterna som fick placebo. Dödliga infektioner (t.ex. pneumoni och sepsis) förekom dock hos 0,45 % (9/2002) av patienterna som behandlades med Benlysta och hos 0,15 % (3/2001) av patienterna som fick placebo, medan incidensen av mortalitet oavsett orsak var 0,50 % (10/2002) bland de patienter som behandlades med Benlysta och 0,40 % (8/2001) bland patienterna som fick placebo. De flesta dödliga infektionerna observerades under de första 20 behandlingsveckorna med Benlysta.
Psykiatriska tillstånd: I de kliniska SLE-studierna med intravenös administrering som utfördes före godkännandet rapporterades allvarliga psykiska händelser hos 1,2 % (8/674) av patienterna som fick Benlysta 10 mg/kg kroppsvikt och hos 0,4 % (3/675) av patienterna som fick placebo. Allvarlig depression rapporterades hos 0,6 % (4/674) av patienterna som fick Benlysta 10 mg/kg kroppsvikt och hos 0,3 % (2/675) av patienterna som fick placebo. Det var två suicid bland patienterna som behandlades med Benlysta (varav en som fick Benlysta 1 mg/kg kroppsvikt).
I en SLE-studie som utfördes efter marknadsintroduktionen rapporterades allvarliga psykiska händelser hos 1,0 % (20/2002) av patienterna som fick Benlysta och hos 0,3 % (6/2001) av patienterna som fick placebo. Allvarlig depression rapporterades hos 0,3 % (7/2002) av patienterna som fick Benlysta och hos < 0,1 % (1/2001) av patienterna som fick placebo. Den totala incidensen av allvarliga suicidtankar eller suicidalt beteende eller självskada utan suicidavsikt var 0,7 % (15/2002) hos patienter som fick Benlysta och 0,2 % (5/2001) i placebogruppen. Inget suicid rapporterades i någon av grupperna.
SLE-studierna med intravenös administrering ovan exkluderade inte patienter med psykiatriska tillstånd i anamnesen.
I den kliniska SLE-studien med subkutan administrering, som exkluderade patienter med anamnes på psykiatriska tillstånd, rapporterades allvarliga psykiska händelser hos 0,2 % (1/556) av patienterna som fick Benlysta och hos ingen av patienterna som fick placebo. Inga allvarliga depressionsrelaterade händelser eller suicid rapporterades i någon av grupperna.
Leukopeni: Incidensen av leukopeni rapporterad hos patienter med SLE som en biverkan var 3 % i gruppen som fick Benlysta och 2 % i gruppen som fick placebo.
Reaktioner vid injektionsstället: I SLE-studien med subkutana administrering var frekvensen av reaktioner vid injektionsstället 6,1 % (34/556) och 2,5 % (7/280) för patienter som fick Benlysta respektive placebo. Dessa reaktioner vid injektionsstället (varav de vanligaste var smärta, erytem, hematom, klåda och induration) var av mild till måttlig svårighetsgrad. Majoriteten behövde inte avbryta behandlingen.
Pediatrisk population
Biverkningsprofilen hos pediatriska patienter baseras på en studie med subkutan administrering och en studie med intravenös administrering.
I en 52-veckors öppen studie fick 25 pediatriska patienter (i åldern 10 till 17 år) med SLE Benlysta subkutant med en exponering som var jämförbar med den hos vuxna (200 mg med ett fastställt doseringsintervall baserat på kroppsvikt, i tillägg till bakgrundsbehandling). Säkerhetsprofilen hos pediatriska patienter som fick Benlysta subkutant överensstämde med den kända säkerhetsprofilen för belimumab.
I en 52-veckors placebokontrollerad studie fick 53 patienter (i åldern 6 till 17 år) med SLE Benlysta (10 mg/kg kroppsvikt intravenöst på dag 0, 14 och 28 och därefter var 28:e dag i tillägg till bakgrundsbehandling). Inga nya säkerhetssignaler observerades hos den pediatriska populationen från 12 års ålder (n = 43). Säkerhetsdata för barn yngre än 12 år (n = 10) är begränsade.
Infektioner
Åldersgruppen 5 till 11 år: infektioner rapporterades hos 8/10 patienter som fick Benlysta intravenöst och hos 3/3 patienter som fick placebo. Allvarliga infektioner rapporterades hos 1/10 patienter som fick Benlysta intravenöst och 2/3 patienter som fick placebo (se avsnitt 4.4).
Åldersgruppen 12 till 17 år: infektioner rapporterades hos 22/43 patienter som fick Benlysta intravenöst och hos 25/37 patienter som fick placebo. Allvarliga infektioner rapporterades hos 3/43 patienter som fick Benlysta intravenöst och hos 3/37 patienter som fick placebo. I den öppna förlängningsfasen fanns en dödlig infektion hos en patient som fick Benlysta intravenöst.
Rapportering av misstänkta biverkningar
Det finns begränsad klinisk erfarenhet av överdosering av Benlysta. Biverkningar som rapporterats i samband med överdosering har varit i enlighet med de som förväntats för belimumab.
Två doser upp till 20 mg/kg kroppsvikt som administrerades med 21 dagars mellanrum med intravenös infusion har givits till människa utan någon ökning av förekomsten eller svårighetsgraden av biverkningarna jämfört med doser på 1, 4 eller 10 mg/kg kroppsvikt.
Vid fall av oavsiktlig överdosering ska patienten observeras noga och stödjande vård ges efter behov.
Hos patienter med SLE med låga komplementnivåer sågs normalisering av C3 och C4 vid vecka 52 hos 42 % respektive 53 % av patienterna som fick Benlysta och hos 21 % respektive 20 % av patienterna som fick placebo.
Vecka 52 hade Benlysta signifikant minskat antalet cirkulerande totala, transitionella, naiva och SLE‑B‑celler liksom plasmaceller. Minskningar av naiva och transitionella B‑celler, liksom undergruppen av SLE‑B‑celler, observerades så tidigt som vecka 8. Minnesceller ökade initialt och hade vecka 52 långsamt sjunkit mot baslinjesnivåerna.
Förändringar i B-celler och IgG nivåer under långtidsbehandling med intravenöst Benlysta utvärderades i en icke-kontrollerad förlängningsstudie på SLE. Efter sju och ett halvt års behandling (inklusive den 72-veckors ursprungliga studien) observerades en väsentlig och varaktig minskning av olika undergrupper av B-celler, vilket ledde till en 87 % medianminskning av naiva B-celler, 67 % av minnes-B-celler, 99 % av aktiverade B-celler, samt 92 % medianminskning av plasmaceller efter mer är sju års behandling. Efter ca sju år observerades en medianminskning av IgG-nivåerna med 28 %, och 1,6 % av patienterna upplevde en minskning i IgG-nivåerna till under 400 mg/dl. Under studiens gång låg incidensen av rapporterade biverkningar i allmänhet kvar på samma nivå eller minskade.
Efter behandling med Benlysta (10 mg/kg kroppsvikt intravenöst) eller placebo hos patienter med aktiv SLE-nefrit förekom en ökning av serumnivåerna av IgG i samband med minskad proteinuri. I förhållande till placebo observerades mindre ökningar av serumnivån av IgG i Benlysta-gruppen såsom förväntas med tanke på belimumabs kända verkningsmekanism. Vecka 104 var den procentuella medianökningen av IgG från baslinjen 17 % för Benlysta och 37 % för placebo. Minskningar av autoantikroppar, ökningar av komplement och minskningar av totalt antal cirkulerande B-celler och undergrupper av B-celler, som observerades överensstämde med studierna på SLE.
I en studie med intravenös administrering på pediatriska patíenter med SLE (i åldern 6 till 17 år) och en studie med subkutan administrering på patienter med SLE (i åldern 10 till 17 år) överensstämde den farmakodynamiska responsen med den hos vuxna.
Immunogenicitet
I studien med subkutan administrering testades serum från över 550 vuxna patienter med SLE utan att några anti-belimumabantikroppar påvisades under eller efter behandling med 200 mg subkutant belimumab. I studien på SLE-nefrit i vilken 224 vuxna patienter fick Benlysta 10 mg/kg kroppsvikt intravenöst påvisades inga anti-belimumabantikroppar.
I en studie med intravenös administrering på pediatriska patíenter i åldern 6 till 17 år med SLE (n = 53) och en studie med subkutan administrering på patienter i åldern 10 till 17 år med SLE (n = 25) utvecklade ingen av patienterna antikroppar mot
belimumab.
Klinisk effekt och säkerhet
SLE
Subkutan injektion
Effekten av Benlysta administrerat subkutant utvärderades i en randomiserad, dubbelblind, placebokontrollerad, 52-veckorsstudie i fas III (HGS1006-C1115; BEL112341) på 836 vuxna patienter med en klinisk diagnos på SLE enligt klassificeringskriterierna fastställda av American College of Rheumatology. Lämpliga deltagare hade aktiv SLE, definierad som en SELENA‑SLEDAI-poäng ≥ 8 och positivt test för anti-nukleär antikropp (ANA eller anti-dsDNA) (ANA-titer ≥ 1:80 och/eller positivt anti-dsDNA [≥ 30 enheter/ml]) vid screening. Patienterna stod på stabila behandlingsregimer för SLE (standardbehandling) bestående av något av följande (enbart eller i kombination): kortikosteroider, antimalariamedel, NSAID-preparat eller immunsuppressiva medel. Patienter uteslöts från studien om de hade svår aktiv systemisk SLE i centrala nervsystemet eller svår aktiv SLE-nefrit.
Denna studie utfördes i USA, Sydamerika, Europa och Asien. Patienternas medianålder var 37 år (intervall: 18 till 77 år), och majoriteten (94 %) var kvinnor. Bakgrundsläkemedel inkluderade kortikosteroider (86 %; > 7,5 mg/dag prednisonekvivalent 60 %), immunosuppressiva medel (46 %) och antimalariamedel (69 %). Patienterna randomiserades i förhållandet 2:1 till att få belimumab 200 mg eller placebo subkutant en gång i veckan i 52 veckor.
Vid baslinjen hade 62,2 % av patienterna hög sjukdomsaktivitet (SELENA SLEDAI-poäng ≥ 10), hos 88 % av patienterna var mukokutana, hos 78 % muskuloskeletala, hos 8 % hematologiska, hos 12 % renala och hos 8 % vaskulära organsystem angripna.
Primärt effektmått var ett sammansatt effektmått (SLE Responder Index), för vilket svar definierades som att samtliga följande kriterier var uppfyllda vid vecka 52 jämfört med baslinjen:
≥ 4 poängs reduktion av SELENA‑SLEDAI-poängen och
inget nytt BILAG (British Isles Lupus Assessment Group) A organdomänpoäng eller 2 nya BILAG B organdomänpoäng och
ingen försämring (< 0,30 poängs ökning) av PGA-poäng (Physician’s Global Assessment)
SLE Responder Index mäter förbättringar av SLE-sjukdomsaktiviteten utan försämring i något organsystem eller av patientens totala tillstånd.
Tabell 1. Svarsfrekvens vecka 52
1 Analyserna exkluderade patienter som saknade bedömning vid baslinjen för någon av komponenterna (1 för placebo, 2 för Benlysta)
2 Alla patienter fick standardbehandling.
Skillnaden mellan behandlingsgrupperna var synlig vecka 16 och kvarstod till och med vecka 52 (figur 1).
Figur 1. Andel med SRI-svar per besök
SLE-skov definierades enligt modifierat SELENA SLEDAI SLE Flare Index. Risken för första skov minskade med 22 % under de första 52 observationsveckorna i gruppen som fick Benlysta jämfört med gruppen som fick placebo (riskkvot = 0,78; p = 0,0061). Mediantiden till det första skovet bland patienter som hade ett skov förlängdes hos patienter som fick Benlysta jämfört med placebo (190 dagar mot 141 dagar). Svåra skov observerades hos 10,6 % av patienterna i gruppen som fick Benlysta jämfört med hos 18,2 % av patienterna i gruppen som fick placebo under de 52 observationsveckorna (observerad behandlingsskillnad = ‑7,6 %). Risken för svåra skov minskade med 49 % under de 52 observationsveckorna i gruppen som fick Benlysta jämfört med gruppen som fick placebo (riskkvot = 0,51; p = 0,0004). Mediantiden till det första svåra skovet bland de patienter som fick ett svårt skov förlängdes hos patienter som fick Benlysta jämfört med placebo (171 dagar mot 118 dagar).
Procentandelen patienter som fick mer än 7,5 mg/dag prednison (eller motsvarande) vid baslinjen vars genomsnittliga kortikosteroiddos sänktes med minst 25 % från baslinjen till en dos motsvarande prednison ≤ 7,5 mg/dag under vecka 40 till och med vecka 52 var 18,2 % i gruppen som fick Benlysta och 11,9 % i gruppen som fick placebo (p = 0,0732).
Benlysta gav förbättring av trötthet jämfört med placebo mätt med FACIT-Fatigue Scale. Justerad genomsnittlig förändring av poängen vid vecka 52 från baslinjen är signifikant större med Benlysta jämfört med placebo (4,4 mot 2,7, p = 0,0130).
Subgruppsanalys av det primära effektmåttet visade att den största nyttan observerades hos patienter med högre sjukdomsaktivitet vid baslinjen, inkluderande patienter med SELENA SLEDAI-poäng ≥ 10 eller patienter som behövde steroider för att kontrollera sjukdomen eller patienter med låga komplementnivåer.
En ytterligare, tidigare identifierad serologiskt aktiv grupp, patienterna med låg komplementnivå och positivt anti-dsDNA vid baslinjen, visade också ett större relativt svar, se tabell 2 för resultat för detta exempel på en grupp med hög sjukdomsaktivitet.
Tabell 2. Patienter med lågt komplement och positivt anti-dsDNA vid baslinjen
1 Analysen av SRI-svarsfrekvens vecka 52 exkluderade patienter som saknade bedömning vid baslinjen (2 för Benlysta)
2 Bland patienter med prednisondos vid baslinjen > 7,5 mg/dag
Effekt och säkerhet för Benlysta i kombination med en cykel med rituximab har studerats i en randomised, dubbelblind, placebokontrollerad 104-veckors studie i fas III på 292 patienter (BLISS-BELIEVE). Primärt effektmått var andelen patienter med sjukdomskontroll definierat som en SLEDAI-2K-poäng ≤ 2, uppnådd utan immunsuppressiva och med kortikosteroider vid en dos motsvarande ≤ 5 mg prednison/dag vecka 52. Detta uppnåddes hos 19,4 % (n = 28/144) av patienterna behandlade med Benlysta i kombination med rituximab och hos 16,7 % (n = 12/72) av patienterna behandlade med Benlysta i kombination med placebo (oddskvot 1,27, 95 % KI: 0,60; 2,71, p = 0,5342). En högre frekvens av biverkningar (91,7 % jämfört med 87,5 %), allvarliga biverkningar (22,2 % jämfört med 13,9 %) och allvarliga infektioner (9,0 % jämfört med 2,8 %) observerades hos patienter behandlade med Benlysta i kombination med rituximab jämfört med Benlysta i kombination med placebo.
SLE-nefrit
Subkutan injektion
Effekt och säkerhet för Benlysta 200 mg administrerat subkutant till patienter med aktiv SLE-nefrit bygger på data från administrering av Benlysta 10 mg/kg kroppsvikt intravenöst och farmakokinetisk modellering och simulering (se avsnitt 5.2).
I SLE-studien med subkutan administrering, som beskrivs ovan, uteslöts patienter som hade svår aktiv SLE-nefrit, men 12 % av patienterna hade njurengagemang vid baslinjen (baserat på SELENA SLEDAI-bedömning). Följande studie på aktiv SLE-nefrit har utförts.
Intravenös infusion
Effekt och säkerhet för Benlysta 10 mg/kg kroppsvikt administrerat intravenöst över en 1‑timmesperiod på dag 0, 14, 28 och därefter var 28:e dag utvärderades i en 104‑veckors randomiserad (1:1), dubbelblind, placebokontrollerad fas III-studie (BEL114054) på 448 patienter med aktiv SLE-nefrit. Patienterna hade en klinisk diagnos på SLE, enligt ACR-klassificeringskriterier, biopsiverifierad SLE-nefrit av klass III, IV och/eller V och aktiv njursjukdom, som vid screening krävde standardbehandling.
Standardbehandling inkluderade kortikosteroider, 0 till 3 intravenösa administreringar med metylprednisolon (500 till 1000 mg per administrering), följt av oral prednison 0,5 till 1 mg/kg/dag med en total daglig dos ≤ 60 mg/dag nedtrappat till ≤ 10 mg/dag vid vecka 24, med:
oral mykofenolatmofetil 1 till 3 g/dag eller oral mykofenolatnatrium 720 till 2160 mg/dag för induktion och underhåll, eller
cyklofosfamid 500 mg intravenöst varannan vecka (totalt 6 infusioner) för induktion följt av oral azatioprin med en måldos på 2 mg/kg/dag för underhåll.
Studien utfördes i Asien, Nordamerika, Sydamerika och Europa. Patienternas medianålder var 31 år (intervall: 18 till 77 år); flertalet (88 %) var kvinnor.
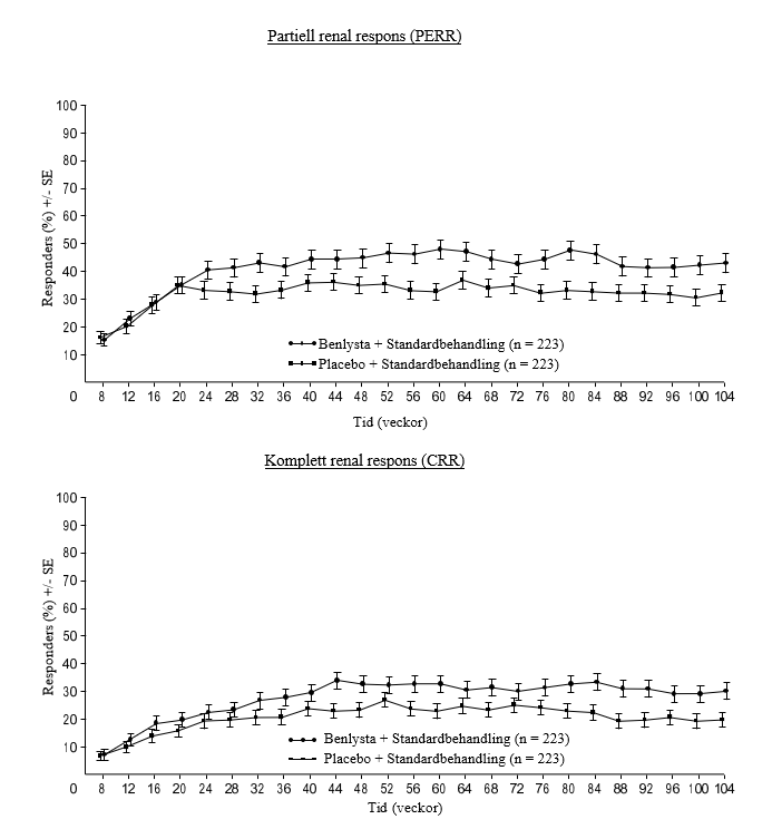
Primärt effektmått var partiell renal respons (Primary Efficacy Renal Response, PERR) vid vecka 104 definierat som ett svar vid vecka 100 bekräftat med en upprepad mätning vecka 104 av följande parametrar: U-protein: kreatininkvot (uPCR) ≤ 700 mg/g (79,5 mg/mmol) och beräknad glomerulär filtrationshastighet (eGFR) ≥ 60 ml/min/1,73m2 eller ingen sänkning av eGFR på > 20 % från värdet före skov.
De viktigaste sekundära effektmåtten var:
Komplett renal respons (Complete Renal Response, CRR) definierat som ett svar vecka 100 bekräftat med en upprepad mätning vecka 104 av följande parametrar: uPCR < 500 mg/g (56,8 mg/mmol) och eGFR ≥ 90 ml/min/1,73m2 eller ingen sänkning av eGFR på > 10 % från värdet före skov.
PERR vecka 52.
Tid till njurrelaterad händelse eller död (njurrelaterad händelse definierad som första förekomst av terminal njursjukdom, fördubbling av serumkreatinin, renal försämring [definierad som ökad proteinuri och/eller njurfunktionsnedsättning], eller behandling med särskild njurrelaterad terapi).
För effektmåtten PERR och CRR måste steroidbehandlingen ha sänkts till ≤ 10 mg/dag från vecka 24 för att patienten skulle betraktas som responders. För dessa effektmått betraktades patienter som avbröt behandlingen i förtid, fick förbjudet läkemedel eller avbröt deltagandet i studien i förtid som icke-responders.
Andelen patienter som uppnådde PERR vecka 104 var signifikant högre i gruppen som fick Benlysta jämfört med placebo. De viktigaste sekundära effektmåtten visade också signifikant förbättring med Benlysta jämfört med placebo (tabell 3).
Tabell 3. Effektresultat hos vuxna patienter med SLE-nefrit
En numeriskt större procentandel patienter som fick Benlysta uppnådde PERR från vecka 24 jämfört med placebo och denna behandlingsskillnad bibehölls till och med vecka 104. Från vecka 12 uppnådde en större procentandel patienter som fick Benlysta CRR jämfört med placebo och den numeriska skillnaden bibehölls till och med vecka 104 (figur 2).
Figur 2. Svarsfrekvensen hos vuxna med SLE-nefrit per besök
I beskrivande subgruppsanalyser undersöktes viktiga effektmått (PERR, CRR) per induktionsregim (mykofenolat eller cyklofosfamid) och biopsiklass (klass III eller IV, klass III + V eller klass IV + V eller klass V) (figur 3).
Figur 3. Oddskvot för PERR och CRR vecka 104 för olika subgrupper
Ålder och etniskt ursprung
Ålder
Det fanns inga observerade skillnader i effekt och säkerhet hos SLE-patienter ≥ 65 år som fick Benlysta intravenöst eller subkutant jämfört med den allmänna populationen i placebokontrollerade studier. Antalet patienter ≥ 65 år (62 patienter för effekt och 219 för säkerhet) är dock inte tillräckligt för att avgöra om de reagerar annorlunda än yngre patienter.
Svarta patienter
Det fanns för få svarta patienter registrerade i de placebokontrollerade kliniska studierna med subkutan Benlysta för att meningsfulla slutsatser ska kunna dras om effekterna av etniskt ursprung på kliniska resultat.
Säkerhet och effekt av intravenöst administrerad Benlysta har studerats hos svarta patienter. Tillgängliga data beskrivs i produktresumén för Benlysta 120 mg och 400 mg pulver till koncentrat till infusionvätska, lösning.
Pediatrisk population
SLE
Subkutan injektion
Säkerhet och effekt för Benlysta administrerat subkutant till pediatriska patienter i åldern 5 till < 18 år med aktiv SLE stöds av en populationsfarmakokinetisk modell och simulering som integrerar data från en öppen farmakokinetisk studie på 25 pediatriska patienter med aktiv SLE som fick Benlysta subkutant (200908) och en studie på pediatriska patienter med aktiv SLE som fick Benlysta intravenöst (PLUTO) som beskrivs nedan (se avsnitt 5.2).
Intravenös infusion
Säkerhet och effekt för Benlysta utvärderades i en randomiserad, dubbelblind, placebokontrollerad 52‑veckorsstudie (PLUTO) på 93 pediatriska patienter med en klinisk diagnos på SLE i enlighet med ACR-klassifieringskriterier. Patienterna hade aktiv SLE-sjukdom, definierad som en SELENA-SLEDAI-poäng ≥ 6 och posivititet för autoantikroppar vid screening så som beskrivs i studierna på vuxna. Patienterna stod på en stabil SLE-behandlingsregim (standardbehandling) och inklusionskriterierna var liknande de i studierna på vuxna. Patienter som hade svår aktiv SLE-nefrit, svår aktiv CNS-SLE, primär immunbrist, IgA-brist eller vårdkrävande akuta eller kroniska infektioner uteslöts från studien. Studien genomfördes i USA, Sydamerika, Europa och Asien. Patienternas medianålder var 15 år (intervall 6 till 17 år). I åldersgruppen 5 till 11 år (n = 13) låg SELENA-SLEDAI-poängen mellan 4 och 13, och i åldersgruppen 12 till 17 år (n = 79) låg SELENA-SLEDAI-poängen mellan 4 och 20. Flertalet (94,6 %) av patienterna var flickor. Studien hade inte styrka för några statistiska jämförelser och alla data är beskrivande.
Det primära effektmåttet var SLE Responder Index (SRI) vecka 52 i enlighet med beskrivningen av studierna med intravenös administrering till vuxna. Andelen pediatriska patienter som uppnådde ett SRI-svar var större bland de patienter som fick Benlysta än bland dem som fick placebo. Svaret för effektmåttets individuella komponenter överensstämde med SRI-svaret (tabell 4).
Tabell 4. Pediatrisk svarsfrekvens vecka 52
1 Analyserna exkluderade patienter som saknade bedömning vid baslinjen för någon av komponenterna (1 för placebo).
Bland de patienter som drabbades av ett svårt skov var medianstudiedagen för det första svåra skovet dag 150 i Benlysta-gruppen och dag 113 i placebogruppen. Svåra skov observerades hos 17,0 % i Benlysta-gruppen jämfört med hos 35,0 % i placebogruppen under de 52 veckorna med observation (observerad behandlingsskillnad = 18,0 %; riskkvot = 0,36, 95 % KI: 0,15; 0,86). Detta överensstämde med fynden i de kliniska studierna med intravenös administrering till vuxna.
Vid användning av Paediatric Rheumatology International Trials Organisation/American College of Rheumatology (PRINTO/ACR) Juvenile SLE Response Evaluation Criteria uppvisade en större andel av de pediatriska patienter som fick Benlysta förbättringar än i gruppen som fick placebo (tabell 5).
Tabell 5. PRINTO/ACR-svarsfrekvens vecka 52
1 De fem PRINTO/ACR-komponenterna var procentuell förändring vecka 52 av: Parent´s Global Assessment (Parent GA), PGA, SELENA SLEDAI-poäng, dygnsproteinuri och poäng för domänen fysisk funktion i Paediatric Quality of Life Inventory – Generic Core Scale (PedsQL GC).
Nedanstående farmakokinetiska parametrar för subkutant Benlysta baseras på beräkning av populationsparametrar för 661 personer varav 554 var SLE-patienter och 107 var friska försökspersoner som fick Benlysta subkutant.
Absorption
Benlysta i den förfyllda injektionspennan administreras genom subkutan injektion.
Efter subkutan administrering var belimumabs biotillgänglighet cirka 74 %. Steady state-exponering uppnåddes efter cirka 11 veckor med subkutan administrering. Maximala koncentrationer av belimumab i serum (Cmax) vid steady state var 108 µg/ml.
Distribution
Belimumab distribuerades till vävnader med en distributionsvolym vid steady state (Vss) på cirka 5 liter.
Metabolism
Belimumab är ett protein för vilket den förväntade metaboliska vägen är nedbrytning till små peptider och individuella aminosyror genom brett distribuerade proteolytiska enzymer. Klassiska metabolismstudier har inte utförts.
Eliminering
Efter subkutan administrering hade belimumab en terminal halveringstid på 18,3 dagar. Systemisk clearance var 204 ml/dag.
Studie på SLE-nefrit
En populationsfarmakokinetisk analys utfördes på 224 vuxna patienter med SLE-nefrit som fick Benlysta 10 mg/kg kroppsvikt intravenöst (dag 0, 14, 28 och därefter var 28:e dag i upp till 104 veckor). Hos patienter med SLE-nefrit var belimumab-clearance, på grund av aktiv njursjukdom, initialt högre än i studier på SLE. Efter 24 veckors behandling och under återstoden av studien var clearance och exponering för belimumab ungefär desamma som observerades hos vuxna patienter med SLE som fick belimumab 10 mg/kg kroppsvikt intravenöst.
Baserat på populationsfarmakokinetisk modellering och simulering förutses genomsnittliga steady state-koncentrationer av subkutant administrerat belimumab 200 mg en gång i veckan hos vuxna med SLE-nefrit vara desamma som hos vuxna med SLE-nefrit som får belimumab 10 mg/kg kroppsvikt intravenöst var 4:e vecka.
Särskilda patientpopulationer
Pediatrisk population: De farmakokinetiska parametrarna för belimumab administrerat subkutant är baserade på en populationsfarmakokinetisk analys av 25 patienter från en farmakokinetisk fas II-studie på pediatriska patienter med SLE som fick belimumab subkutant och fas II-studien på pediatriska patienter med SLE som fick belimumab intravenöst. Efter subkutan administrering av 200 mg belimumab hos pediatriska patienter i åldern 5 till under 18 år [en gång i veckan (patienter som vägde ≥ 50 kg), var 10:e dag (patienter som vägde 30 till < 50 kg) eller varannan vecka (patenter som vägde 15 till < 30 kg)] beräknas den genomsnittliga belimumabkoncentrationen vid steady-state vara likartad den hos vuxna deltagare med SLE efter subkutan administrering av 200 mg belimumab en gång i veckan, och likartad den hos pediatriska deltagare med SLE efter intravenös administrering av belimumab 10 mg/kg kroppsvikt på dag 0, 14 och 28 och därefter med 4 veckors intervall. Simulerat geometrisk medelvärde vid steady-state för Cmax, Cavg, Cmin och AUC (beräknade över doseringsintervallet) beräknas vara 124 μg/ml, 119 μg/ml, 111 μg/ml och 834 dag•μg/ml för pediatriska patienter som väger ≥ 50 kg och som får belimumab en gång i veckan, 114 μg/ml, 105 μg/ml, 91 μg/ml och 1 051 dag•μg/ml för pediatriska patienter som väger 30 till < 50 kg som får belimumab var 10:e dag och 119 μg/ml, 103 μg/ml, 79 μg/ml och 1 438 dag•μg/ml för pediatriska patienter som väger 15 till < 30 kg som får belimumab en gång varannan vecka.
Äldre: Benlysta har studerats hos ett begränsat antal äldre patienter. Ålder påverkade inte belimumabexponering i den subkutana populationsfarmakokinetiska analysen. Med tanke på det lilla antalet försökspersoner som var ≥ 65 år kan emellertid en effekt av ålder inte slutgiltigt uteslutas.
Nedsatt njurfunktion: Inga specifika studier har genomförts för att undersöka effekterna av nedsatt njurfunktion på farmakokinetiken för belimumab. Under den kliniska utvecklingen studerades Benlysta hos ett begränsat antal SLE-patienter med lindrigt (kreatininclearance ≥ 60 och < 90 ml/min), måttligt (kreatininclearance ≥ 30 och < 60 ml/min) eller allvarligt (kreatininclearance < 30 ml/min) nedsatt njurfunktion: 121 patienter med lindrigt nedsatt njurfunktion och 30 patienter med måttligt nedsatt njurfunktion fick Benlysta subkutant; 770 patienter med lindrigt nedsatt njurfunktion och 261 patienter med måttligt nedsatt njurfunktion och 14 patienter med allvarligt nedsatt njurfunktion fick Benlysta intravenöst.
Ingen kliniskt signifikant minskning av systemisk clearance observerades. Därför rekommenderas ingen dosjustering för patienter med nedsatt njurfunktion.
Nedsatt leverfunktion: Inga specifika studier har genomförts för att undersöka effekterna av nedsatt leverfunktion på farmakokinetiken för belimumab. IgG1‑molekyler som belimumab kataboliseras genom brett distribuerade proteolytiska enzymer som inte är begränsade till levervävnad, varför det är osannolikt att förändringar av leverfunktionen har någon effekt på elimineringen av belimumab.
Kroppsvikt/BMI
Effekterna av kroppsvikt och BMI på belimumabexponeringen efter subkutan administrering hos vuxna ansågs inte vara kliniskt betydelsefull. Vikten hade ingen signifikant påverkan på effekt och säkerhet. Därför rekommenderas ingen dosjustering hos vuxna.
Effekterna av kroppsvikt på belimumabexponeringen efter subkutan administrering hos pediatriska patienter har fastställts med en populationsfarmakokinetisk modell. Hos pediatriska patienter med lägre kroppsvikt är clearance lägre och distributionsvolymen mindre för belimumab, vilket leder till ökad exponering. För att säkerställa att belimumabexponeringen ligger kvar inom acceptabla gränser och är konsekvent i hela viktintervallet för pediatriska patienter ges belimumab med längre intervall till patienter med lägre kroppsvikt (se avsnitt 4.2).
Övergång från intravenös till subkutan administrering
SLE
Patienter med SLE-patienter som gick över från 10 mg/kg kroppsvikt intravenöst var 4:e vecka till 200 mg subkutant en gång i veckan med ett 1‑4 veckors bytesintervall hade belimumabkoncentrationer i serum före dosering vid den första subkutana dosen som låg nära deras slutliga subkutana dalkoncentrationer vid steady state (se avsnitt 4.2). Baserat på simuleringar med populationsfarmakokinetiska parametrar var de genomsnittliga belimumabkoncentrationerna för 200 mg subkutant varje vecka (hos vuxna patienter och hos pediatriska patienter i åldern 5 till under 18 år som vägde ≥ 50 kg) var 10:e dag (hos pediatriska patienter i åldern 5 till under 18 år som vägde 30 till < 50 kg) eller varannan vecka (hos pediatriska patienter i åldern 5 till under 18 år som vägde 15 till < 30 kg) likartade dem för 10 mg/kg kroppsvikt var 4:e vecka.
SLE-nefrit
En till 2 veckor efter att de första 2 intravenösa doserna har givits förutses patienter med SLE-nefrit som går över från 10 mg/kg kroppsvikt intravenöst till 200 mg subkutant en gång i veckan ha ungefär samma genomsnittliga serumkoncentrationer av belimumab som patienter som ges 10 mg/kg kroppsvikt intravenöst var 4:e vecka baserat på populationsfarmakokinetiska simuleringar (se avsnitt 4.2).
Icke-kliniska data visar inte några särskilda risker för människa baserat på studier av allmäntoxicitet och reproduktionstoxicitet.
Intravenös och subkutan administrering till apor resulterade i den förväntade minskningen av antalet perifera B-celler och B-celler i lymfvävnad utan några tillhörande toxikologiska fynd.
Reproduktionsstudier har utförts på dräktiga cynomolgusapor som fick belimumab 150 mg/kg kroppsvikt med intravenös infusion (cirka 9 gånger den förväntade maximala humana kliniska exponeringen) varannan vecka i upp till 21 veckor och behandling med belimumab förknippades inte med direkta eller indirekta skadliga effekter med hänsyn till maternell toxicitet, utvecklingstoxicitet eller teratogenicitet.
Behandlingsrelaterade fynd var begränsade till den förväntade reversibla minskningen av B-celler hos såväl moder som ungar och reversibel minskning av IgM hos apungar. B-cellsantalen återhämtade sig efter belimumabbehandlingens slut vid omkring 1 år post partum hos vuxna apor och vid 3 levnadsmånader hos apungar. IgM-nivåerna hos ungar som exponerats för belimumab in utero återhämtade sig vid 6 månaders ålder.
Effekterna på hanars och honors fertilitet hos apor bedömdes i 6-månaders toxikologistudier med upprepad dosering av belimumab med doser på upp till och med 50 mg/kg kroppsvikt. Inga behandlingsrelaterade förändringar noterades i de manliga och kvinnliga reproduktionsorganen hos sexuellt mogna djur. En informell bedömning av menstruationscykler hos honor visade inga belimumabrelaterade förändringar.
Eftersom belimumab är en monoklonal antikropp har inga gentoxicitetsstudier utförts. Inga karcinogenicitetsstudier eller fertilitetsstudier (hanar eller honor) har utförts.
Farmakoterapeutisk grupp: Immunsuppressiva medel, monoklonala antikroppar, ATC-kod: L04AG04
Verkningsmekanism
Benlysta är en human IgG1λ monoklonal antikropp specifik för lösligt humant BLyS‑protein (B Lymphocyte Stimulator) (även benämnt BAFF och TNFSF13B). Benlysta blockerar bindningen av lösligt BLyS, en B-cellsöverlevnadsfaktor, till dess receptorer på B-celler. Benlysta binder inte B-celler direkt utan genom att binda BLyS hämmar Benlysta överlevnaden av B-celler, inklusive autoreaktiva B-celler, och minskar differentieringen av B-celler till immunglobulinproducerande plasmaceller.
BLyS-nivåerna är förhöjda hos patienter med SLE och andra autoimmuna sjukdomar. Det finns ett samband mellan BLyS-nivåer i plasma och sjukdomsaktivitet för SLE. Det är inte känt i vilket förhållande BLyS-nivåerna bidrar till patofysiologin hos SLE.
Farmakodynamisk effekt
Median-IgG-nivåerna vid vecka 52 hade sänkts med 11 % hos patienter med SLE som fick Benlysta jämfört med en ökning med 0,7 % hos patienter som fick placebo.
Hos patienter med anti-dsDNA-antikroppar vid baslinjen hade mediannivån av anti-dsDNA-antikroppar minskat med 56 % vid vecka 52 hos patienter som fick Benlysta jämfört med 41 % hos patienter som fick placebo. Hos patienter med anti-dsDNA-antikroppar vid baslinjen hade 18 % av patienterna behandlade med Benlysta övergått till att vara anti-DNA-negativa vecka 52 jämfört med 15 % av patienterna som fick placebo.
Hos patienter med SLE med låga komplementnivåer sågs normalisering av C3 och C4 vid vecka 52 hos 42 % respektive 53 % av patienterna som fick Benlysta och hos 21 % respektive 20 % av patienterna som fick placebo.
Vecka 52 hade Benlysta signifikant minskat antalet cirkulerande totala, transitionella, naiva och SLE‑B‑celler liksom plasmaceller. Minskningar av naiva och transitionella B‑celler, liksom undergruppen av SLE‑B‑celler, observerades så tidigt som vecka 8. Minnesceller ökade initialt och hade vecka 52 långsamt sjunkit mot baslinjesnivåerna.
Förändringar i B-celler och IgG nivåer under långtidsbehandling med intravenöst Benlysta utvärderades i en icke-kontrollerad förlängningsstudie på SLE. Efter sju och ett halvt års behandling (inklusive den 72-veckors ursprungliga studien) observerades en väsentlig och varaktig minskning av olika undergrupper av B-celler, vilket ledde till en 87 % medianminskning av naiva B-celler, 67 % av minnes-B-celler, 99 % av aktiverade B-celler, samt 92 % medianminskning av plasmaceller efter mer är sju års behandling. Efter ca sju år observerades en medianminskning av IgG-nivåerna med 28 %, och 1,6 % av patienterna upplevde en minskning i IgG-nivåerna till under 400 mg/dl. Under studiens gång låg incidensen av rapporterade biverkningar i allmänhet kvar på samma nivå eller minskade.
Efter behandling med Benlysta (10 mg/kg kroppsvikt intravenöst) eller placebo hos patienter med aktiv SLE-nefrit förekom en ökning av serumnivåerna av IgG i samband med minskad proteinuri. I förhållande till placebo observerades mindre ökningar av serumnivån av IgG i Benlysta-gruppen såsom förväntas med tanke på belimumabs kända verkningsmekanism. Vecka 104 var den procentuella medianökningen av IgG från baslinjen 17 % för Benlysta och 37 % för placebo. Minskningar av autoantikroppar, ökningar av komplement och minskningar av totalt antal cirkulerande B-celler och undergrupper av B-celler, som observerades överensstämde med studierna på SLE.
I en studie med intravenös administrering på pediatriska patíenter med SLE (i åldern 6 till 17 år) och en studie med subkutan administrering på patienter med SLE (i åldern 10 till 17 år) överensstämde den farmakodynamiska responsen med den hos vuxna.
Immunogenicitet
I studien med subkutan administrering testades serum från över 550 vuxna patienter med SLE utan att några anti-belimumabantikroppar påvisades under eller efter behandling med 200 mg subkutant belimumab. I studien på SLE-nefrit i vilken 224 vuxna patienter fick Benlysta 10 mg/kg kroppsvikt intravenöst påvisades inga anti-belimumabantikroppar.
I en studie med intravenös administrering på pediatriska patíenter i åldern 6 till 17 år med SLE (n = 53) och en studie med subkutan administrering på patienter i åldern 10 till 17 år med SLE (n = 25) utvecklade ingen av patienterna antikroppar mot
belimumab.
Klinisk effekt och säkerhet
SLE
Subkutan injektion
Effekten av Benlysta administrerat subkutant utvärderades i en randomiserad, dubbelblind, placebokontrollerad, 52-veckorsstudie i fas III (HGS1006-C1115; BEL112341) på 836 vuxna patienter med en klinisk diagnos på SLE enligt klassificeringskriterierna fastställda av American College of Rheumatology. Lämpliga deltagare hade aktiv SLE, definierad som en SELENA‑SLEDAI-poäng ≥ 8 och positivt test för anti-nukleär antikropp (ANA eller anti-dsDNA) (ANA-titer ≥ 1:80 och/eller positivt anti-dsDNA [≥ 30 enheter/ml]) vid screening. Patienterna stod på stabila behandlingsregimer för SLE (standardbehandling) bestående av något av följande (enbart eller i kombination): kortikosteroider, antimalariamedel, NSAID-preparat eller immunsuppressiva medel. Patienter uteslöts från studien om de hade svår aktiv systemisk SLE i centrala nervsystemet eller svår aktiv SLE-nefrit.
Denna studie utfördes i USA, Sydamerika, Europa och Asien. Patienternas medianålder var 37 år (intervall: 18 till 77 år), och majoriteten (94 %) var kvinnor. Bakgrundsläkemedel inkluderade kortikosteroider (86 %; > 7,5 mg/dag prednisonekvivalent 60 %), immunosuppressiva medel (46 %) och antimalariamedel (69 %). Patienterna randomiserades i förhållandet 2:1 till att få belimumab 200 mg eller placebo subkutant en gång i veckan i 52 veckor.
Vid baslinjen hade 62,2 % av patienterna hög sjukdomsaktivitet (SELENA SLEDAI-poäng ≥ 10), hos 88 % av patienterna var mukokutana, hos 78 % muskuloskeletala, hos 8 % hematologiska, hos 12 % renala och hos 8 % vaskulära organsystem angripna.
Primärt effektmått var ett sammansatt effektmått (SLE Responder Index), för vilket svar definierades som att samtliga följande kriterier var uppfyllda vid vecka 52 jämfört med baslinjen:
≥ 4 poängs reduktion av SELENA‑SLEDAI-poängen och
inget nytt BILAG (British Isles Lupus Assessment Group) A organdomänpoäng eller 2 nya BILAG B organdomänpoäng och
ingen försämring (< 0,30 poängs ökning) av PGA-poäng (Physician’s Global Assessment)
SLE Responder Index mäter förbättringar av SLE-sjukdomsaktiviteten utan försämring i något organsystem eller av patientens totala tillstånd.
Tabell 1. Svarsfrekvens vecka 52
1 Analyserna exkluderade patienter som saknade bedömning vid baslinjen för någon av komponenterna (1 för placebo, 2 för Benlysta)
2 Alla patienter fick standardbehandling.
Skillnaden mellan behandlingsgrupperna var synlig vecka 16 och kvarstod till och med vecka 52 (figur 1).
Figur 1. Andel med SRI-svar per besök
SLE-skov definierades enligt modifierat SELENA SLEDAI SLE Flare Index. Risken för första skov minskade med 22 % under de första 52 observationsveckorna i gruppen som fick Benlysta jämfört med gruppen som fick placebo (riskkvot = 0,78; p = 0,0061). Mediantiden till det första skovet bland patienter som hade ett skov förlängdes hos patienter som fick Benlysta jämfört med placebo (190 dagar mot 141 dagar). Svåra skov observerades hos 10,6 % av patienterna i gruppen som fick Benlysta jämfört med hos 18,2 % av patienterna i gruppen som fick placebo under de 52 observationsveckorna (observerad behandlingsskillnad = ‑7,6 %). Risken för svåra skov minskade med 49 % under de 52 observationsveckorna i gruppen som fick Benlysta jämfört med gruppen som fick placebo (riskkvot = 0,51; p = 0,0004). Mediantiden till det första svåra skovet bland de patienter som fick ett svårt skov förlängdes hos patienter som fick Benlysta jämfört med placebo (171 dagar mot 118 dagar).
Procentandelen patienter som fick mer än 7,5 mg/dag prednison (eller motsvarande) vid baslinjen vars genomsnittliga kortikosteroiddos sänktes med minst 25 % från baslinjen till en dos motsvarande prednison ≤ 7,5 mg/dag under vecka 40 till och med vecka 52 var 18,2 % i gruppen som fick Benlysta och 11,9 % i gruppen som fick placebo (p = 0,0732).
Benlysta gav förbättring av trötthet jämfört med placebo mätt med FACIT-Fatigue Scale. Justerad genomsnittlig förändring av poängen vid vecka 52 från baslinjen är signifikant större med Benlysta jämfört med placebo (4,4 mot 2,7, p = 0,0130).
Subgruppsanalys av det primära effektmåttet visade att den största nyttan observerades hos patienter med högre sjukdomsaktivitet vid baslinjen, inkluderande patienter med SELENA SLEDAI-poäng ≥ 10 eller patienter som behövde steroider för att kontrollera sjukdomen eller patienter med låga komplementnivåer.
En ytterligare, tidigare identifierad serologiskt aktiv grupp, patienterna med låg komplementnivå och positivt anti-dsDNA vid baslinjen, visade också ett större relativt svar, se tabell 2 för resultat för detta exempel på en grupp med hög sjukdomsaktivitet.
Tabell 2. Patienter med lågt komplement och positivt anti-dsDNA vid baslinjen
1 Analysen av SRI-svarsfrekvens vecka 52 exkluderade patienter som saknade bedömning vid baslinjen (2 för Benlysta)
2 Bland patienter med prednisondos vid baslinjen > 7,5 mg/dag
Effekt och säkerhet för Benlysta i kombination med en cykel med rituximab har studerats i en randomised, dubbelblind, placebokontrollerad 104-veckors studie i fas III på 292 patienter (BLISS-BELIEVE). Primärt effektmått var andelen patienter med sjukdomskontroll definierat som en SLEDAI-2K-poäng ≤ 2, uppnådd utan immunsuppressiva och med kortikosteroider vid en dos motsvarande ≤ 5 mg prednison/dag vecka 52. Detta uppnåddes hos 19,4 % (n = 28/144) av patienterna behandlade med Benlysta i kombination med rituximab och hos 16,7 % (n = 12/72) av patienterna behandlade med Benlysta i kombination med placebo (oddskvot 1,27, 95 % KI: 0,60; 2,71, p = 0,5342). En högre frekvens av biverkningar (91,7 % jämfört med 87,5 %), allvarliga biverkningar (22,2 % jämfört med 13,9 %) och allvarliga infektioner (9,0 % jämfört med 2,8 %) observerades hos patienter behandlade med Benlysta i kombination med rituximab jämfört med Benlysta i kombination med placebo.
SLE-nefrit
Subkutan injektion
Effekt och säkerhet för Benlysta 200 mg administrerat subkutant till patienter med aktiv SLE-nefrit bygger på data från administrering av Benlysta 10 mg/kg kroppsvikt intravenöst och farmakokinetisk modellering och simulering (se avsnitt 5.2).
I SLE-studien med subkutan administrering, som beskrivs ovan, uteslöts patienter som hade svår aktiv SLE-nefrit, men 12 % av patienterna hade njurengagemang vid baslinjen (baserat på SELENA SLEDAI-bedömning). Följande studie på aktiv SLE-nefrit har utförts.
Intravenös infusion
Effekt och säkerhet för Benlysta 10 mg/kg kroppsvikt administrerat intravenöst över en 1‑timmesperiod på dag 0, 14, 28 och därefter var 28:e dag utvärderades i en 104‑veckors randomiserad (1:1), dubbelblind, placebokontrollerad fas III-studie (BEL114054) på 448 patienter med aktiv SLE-nefrit. Patienterna hade en klinisk diagnos på SLE, enligt ACR-klassificeringskriterier, biopsiverifierad SLE-nefrit av klass III, IV och/eller V och aktiv njursjukdom, som vid screening krävde standardbehandling.
Standardbehandling inkluderade kortikosteroider, 0 till 3 intravenösa administreringar med metylprednisolon (500 till 1000 mg per administrering), följt av oral prednison 0,5 till 1 mg/kg/dag med en total daglig dos ≤ 60 mg/dag nedtrappat till ≤ 10 mg/dag vid vecka 24, med:
oral mykofenolatmofetil 1 till 3 g/dag eller oral mykofenolatnatrium 720 till 2160 mg/dag för induktion och underhåll, eller
cyklofosfamid 500 mg intravenöst varannan vecka (totalt 6 infusioner) för induktion följt av oral azatioprin med en måldos på 2 mg/kg/dag för underhåll.
Studien utfördes i Asien, Nordamerika, Sydamerika och Europa. Patienternas medianålder var 31 år (intervall: 18 till 77 år); flertalet (88 %) var kvinnor.
Primärt effektmått var partiell renal respons (Primary Efficacy Renal Response, PERR) vid vecka 104 definierat som ett svar vid vecka 100 bekräftat med en upprepad mätning vecka 104 av följande parametrar: U-protein: kreatininkvot (uPCR) ≤ 700 mg/g (79,5 mg/mmol) och beräknad glomerulär filtrationshastighet (eGFR) ≥ 60 ml/min/1,73m2 eller ingen sänkning av eGFR på > 20 % från värdet före skov.
De viktigaste sekundära effektmåtten var:
Komplett renal respons (Complete Renal Response, CRR) definierat som ett svar vecka 100 bekräftat med en upprepad mätning vecka 104 av följande parametrar: uPCR < 500 mg/g (56,8 mg/mmol) och eGFR ≥ 90 ml/min/1,73m2 eller ingen sänkning av eGFR på > 10 % från värdet före skov.
PERR vecka 52.
Tid till njurrelaterad händelse eller död (njurrelaterad händelse definierad som första förekomst av terminal njursjukdom, fördubbling av serumkreatinin, renal försämring [definierad som ökad proteinuri och/eller njurfunktionsnedsättning], eller behandling med särskild njurrelaterad terapi).
För effektmåtten PERR och CRR måste steroidbehandlingen ha sänkts till ≤ 10 mg/dag från vecka 24 för att patienten skulle betraktas som responders. För dessa effektmått betraktades patienter som avbröt behandlingen i förtid, fick förbjudet läkemedel eller avbröt deltagandet i studien i förtid som icke-responders.
Andelen patienter som uppnådde PERR vecka 104 var signifikant högre i gruppen som fick Benlysta jämfört med placebo. De viktigaste sekundära effektmåtten visade också signifikant förbättring med Benlysta jämfört med placebo (tabell 3).
Tabell 3. Effektresultat hos vuxna patienter med SLE-nefrit
En numeriskt större procentandel patienter som fick Benlysta uppnådde PERR från vecka 24 jämfört med placebo och denna behandlingsskillnad bibehölls till och med vecka 104. Från vecka 12 uppnådde en större procentandel patienter som fick Benlysta CRR jämfört med placebo och den numeriska skillnaden bibehölls till och med vecka 104 (figur 2).
Figur 2. Svarsfrekvensen hos vuxna med SLE-nefrit per besök
I beskrivande subgruppsanalyser undersöktes viktiga effektmått (PERR, CRR) per induktionsregim (mykofenolat eller cyklofosfamid) och biopsiklass (klass III eller IV, klass III + V eller klass IV + V eller klass V) (figur 3).
Figur 3. Oddskvot för PERR och CRR vecka 104 för olika subgrupper
Ålder och etniskt ursprung
Ålder
Det fanns inga observerade skillnader i effekt och säkerhet hos SLE-patienter ≥ 65 år som fick Benlysta intravenöst eller subkutant jämfört med den allmänna populationen i placebokontrollerade studier. Antalet patienter ≥ 65 år (62 patienter för effekt och 219 för säkerhet) är dock inte tillräckligt för att avgöra om de reagerar annorlunda än yngre patienter.
Svarta patienter
Det fanns för få svarta patienter registrerade i de placebokontrollerade kliniska studierna med subkutan Benlysta för att meningsfulla slutsatser ska kunna dras om effekterna av etniskt ursprung på kliniska resultat.
Säkerhet och effekt av intravenöst administrerad Benlysta har studerats hos svarta patienter. Tillgängliga data beskrivs i produktresumén för Benlysta 120 mg och 400 mg pulver till koncentrat till infusionvätska, lösning.
Pediatrisk population
SLE
Subkutan injektion
Säkerhet och effekt för Benlysta administrerat subkutant till pediatriska patienter i åldern 5 till < 18 år med aktiv SLE stöds av en populationsfarmakokinetisk modell och simulering som integrerar data från en öppen farmakokinetisk studie på 25 pediatriska patienter med aktiv SLE som fick Benlysta subkutant (200908) och en studie på pediatriska patienter med aktiv SLE som fick Benlysta intravenöst (PLUTO) som beskrivs nedan (se avsnitt 5.2).
Intravenös infusion
Säkerhet och effekt för Benlysta utvärderades i en randomiserad, dubbelblind, placebokontrollerad 52‑veckorsstudie (PLUTO) på 93 pediatriska patienter med en klinisk diagnos på SLE i enlighet med ACR-klassifieringskriterier. Patienterna hade aktiv SLE-sjukdom, definierad som en SELENA-SLEDAI-poäng ≥ 6 och posivititet för autoantikroppar vid screening så som beskrivs i studierna på vuxna. Patienterna stod på en stabil SLE-behandlingsregim (standardbehandling) och inklusionskriterierna var liknande de i studierna på vuxna. Patienter som hade svår aktiv SLE-nefrit, svår aktiv CNS-SLE, primär immunbrist, IgA-brist eller vårdkrävande akuta eller kroniska infektioner uteslöts från studien. Studien genomfördes i USA, Sydamerika, Europa och Asien. Patienternas medianålder var 15 år (intervall 6 till 17 år). I åldersgruppen 5 till 11 år (n = 13) låg SELENA-SLEDAI-poängen mellan 4 och 13, och i åldersgruppen 12 till 17 år (n = 79) låg SELENA-SLEDAI-poängen mellan 4 och 20. Flertalet (94,6 %) av patienterna var flickor. Studien hade inte styrka för några statistiska jämförelser och alla data är beskrivande.
Det primära effektmåttet var SLE Responder Index (SRI) vecka 52 i enlighet med beskrivningen av studierna med intravenös administrering till vuxna. Andelen pediatriska patienter som uppnådde ett SRI-svar var större bland de patienter som fick Benlysta än bland dem som fick placebo. Svaret för effektmåttets individuella komponenter överensstämde med SRI-svaret (tabell 4).
Tabell 4. Pediatrisk svarsfrekvens vecka 52
1 Analyserna exkluderade patienter som saknade bedömning vid baslinjen för någon av komponenterna (1 för placebo).
Bland de patienter som drabbades av ett svårt skov var medianstudiedagen för det första svåra skovet dag 150 i Benlysta-gruppen och dag 113 i placebogruppen. Svåra skov observerades hos 17,0 % i Benlysta-gruppen jämfört med hos 35,0 % i placebogruppen under de 52 veckorna med observation (observerad behandlingsskillnad = 18,0 %; riskkvot = 0,36, 95 % KI: 0,15; 0,86). Detta överensstämde med fynden i de kliniska studierna med intravenös administrering till vuxna.
Vid användning av Paediatric Rheumatology International Trials Organisation/American College of Rheumatology (PRINTO/ACR) Juvenile SLE Response Evaluation Criteria uppvisade en större andel av de pediatriska patienter som fick Benlysta förbättringar än i gruppen som fick placebo (tabell 5).
Tabell 5. PRINTO/ACR-svarsfrekvens vecka 52
1 De fem PRINTO/ACR-komponenterna var procentuell förändring vecka 52 av: Parent´s Global Assessment (Parent GA), PGA, SELENA SLEDAI-poäng, dygnsproteinuri och poäng för domänen fysisk funktion i Paediatric Quality of Life Inventory – Generic Core Scale (PedsQL GC).
Nedanstående farmakokinetiska parametrar för subkutant Benlysta baseras på beräkning av populationsparametrar för 661 personer varav 554 var SLE-patienter och 107 var friska försökspersoner som fick Benlysta subkutant.
Absorption
Benlysta i den förfyllda injektionspennan administreras genom subkutan injektion.
Efter subkutan administrering var belimumabs biotillgänglighet cirka 74 %. Steady state-exponering uppnåddes efter cirka 11 veckor med subkutan administrering. Maximala koncentrationer av belimumab i serum (Cmax) vid steady state var 108 µg/ml.
Distribution
Belimumab distribuerades till vävnader med en distributionsvolym vid steady state (Vss) på cirka 5 liter.
Metabolism
Belimumab är ett protein för vilket den förväntade metaboliska vägen är nedbrytning till små peptider och individuella aminosyror genom brett distribuerade proteolytiska enzymer. Klassiska metabolismstudier har inte utförts.
Eliminering
Efter subkutan administrering hade belimumab en terminal halveringstid på 18,3 dagar. Systemisk clearance var 204 ml/dag.
Studie på SLE-nefrit
En populationsfarmakokinetisk analys utfördes på 224 vuxna patienter med SLE-nefrit som fick Benlysta 10 mg/kg kroppsvikt intravenöst (dag 0, 14, 28 och därefter var 28:e dag i upp till 104 veckor). Hos patienter med SLE-nefrit var belimumab-clearance, på grund av aktiv njursjukdom, initialt högre än i studier på SLE. Efter 24 veckors behandling och under återstoden av studien var clearance och exponering för belimumab ungefär desamma som observerades hos vuxna patienter med SLE som fick belimumab 10 mg/kg kroppsvikt intravenöst.
Baserat på populationsfarmakokinetisk modellering och simulering förutses genomsnittliga steady state-koncentrationer av subkutant administrerat belimumab 200 mg en gång i veckan hos vuxna med SLE-nefrit vara desamma som hos vuxna med SLE-nefrit som får belimumab 10 mg/kg kroppsvikt intravenöst var 4:e vecka.
Särskilda patientpopulationer
Pediatrisk population: De farmakokinetiska parametrarna för belimumab administrerat subkutant är baserade på en populationsfarmakokinetisk analys av 25 patienter från en farmakokinetisk fas II-studie på pediatriska patienter med SLE som fick belimumab subkutant och fas II-studien på pediatriska patienter med SLE som fick belimumab intravenöst. Efter subkutan administrering av 200 mg belimumab hos pediatriska patienter i åldern 5 till under 18 år [en gång i veckan (patienter som vägde ≥ 50 kg), var 10:e dag (patienter som vägde 30 till < 50 kg) eller varannan vecka (patenter som vägde 15 till < 30 kg)] beräknas den genomsnittliga belimumabkoncentrationen vid steady-state vara likartad den hos vuxna deltagare med SLE efter subkutan administrering av 200 mg belimumab en gång i veckan, och likartad den hos pediatriska deltagare med SLE efter intravenös administrering av belimumab 10 mg/kg kroppsvikt på dag 0, 14 och 28 och därefter med 4 veckors intervall. Simulerat geometrisk medelvärde vid steady-state för Cmax, Cavg, Cmin och AUC (beräknade över doseringsintervallet) beräknas vara 124 μg/ml, 119 μg/ml, 111 μg/ml och 834 dag•μg/ml för pediatriska patienter som väger ≥ 50 kg och som får belimumab en gång i veckan, 114 μg/ml, 105 μg/ml, 91 μg/ml och 1 051 dag•μg/ml för pediatriska patienter som väger 30 till < 50 kg som får belimumab var 10:e dag och 119 μg/ml, 103 μg/ml, 79 μg/ml och 1 438 dag•μg/ml för pediatriska patienter som väger 15 till < 30 kg som får belimumab en gång varannan vecka.
Äldre: Benlysta har studerats hos ett begränsat antal äldre patienter. Ålder påverkade inte belimumabexponering i den subkutana populationsfarmakokinetiska analysen. Med tanke på det lilla antalet försökspersoner som var ≥ 65 år kan emellertid en effekt av ålder inte slutgiltigt uteslutas.
Nedsatt njurfunktion: Inga specifika studier har genomförts för att undersöka effekterna av nedsatt njurfunktion på farmakokinetiken för belimumab. Under den kliniska utvecklingen studerades Benlysta hos ett begränsat antal SLE-patienter med lindrigt (kreatininclearance ≥ 60 och < 90 ml/min), måttligt (kreatininclearance ≥ 30 och < 60 ml/min) eller allvarligt (kreatininclearance < 30 ml/min) nedsatt njurfunktion: 121 patienter med lindrigt nedsatt njurfunktion och 30 patienter med måttligt nedsatt njurfunktion fick Benlysta subkutant; 770 patienter med lindrigt nedsatt njurfunktion och 261 patienter med måttligt nedsatt njurfunktion och 14 patienter med allvarligt nedsatt njurfunktion fick Benlysta intravenöst.
Ingen kliniskt signifikant minskning av systemisk clearance observerades. Därför rekommenderas ingen dosjustering för patienter med nedsatt njurfunktion.
Nedsatt leverfunktion: Inga specifika studier har genomförts för att undersöka effekterna av nedsatt leverfunktion på farmakokinetiken för belimumab. IgG1‑molekyler som belimumab kataboliseras genom brett distribuerade proteolytiska enzymer som inte är begränsade till levervävnad, varför det är osannolikt att förändringar av leverfunktionen har någon effekt på elimineringen av belimumab.
Kroppsvikt/BMI
Effekterna av kroppsvikt och BMI på belimumabexponeringen efter subkutan administrering hos vuxna ansågs inte vara kliniskt betydelsefull. Vikten hade ingen signifikant påverkan på effekt och säkerhet. Därför rekommenderas ingen dosjustering hos vuxna.
Effekterna av kroppsvikt på belimumabexponeringen efter subkutan administrering hos pediatriska patienter har fastställts med en populationsfarmakokinetisk modell. Hos pediatriska patienter med lägre kroppsvikt är clearance lägre och distributionsvolymen mindre för belimumab, vilket leder till ökad exponering. För att säkerställa att belimumabexponeringen ligger kvar inom acceptabla gränser och är konsekvent i hela viktintervallet för pediatriska patienter ges belimumab med längre intervall till patienter med lägre kroppsvikt (se avsnitt 4.2).
Övergång från intravenös till subkutan administrering
SLE
Patienter med SLE-patienter som gick över från 10 mg/kg kroppsvikt intravenöst var 4:e vecka till 200 mg subkutant en gång i veckan med ett 1‑4 veckors bytesintervall hade belimumabkoncentrationer i serum före dosering vid den första subkutana dosen som låg nära deras slutliga subkutana dalkoncentrationer vid steady state (se avsnitt 4.2). Baserat på simuleringar med populationsfarmakokinetiska parametrar var de genomsnittliga belimumabkoncentrationerna för 200 mg subkutant varje vecka (hos vuxna patienter och hos pediatriska patienter i åldern 5 till under 18 år som vägde ≥ 50 kg) var 10:e dag (hos pediatriska patienter i åldern 5 till under 18 år som vägde 30 till < 50 kg) eller varannan vecka (hos pediatriska patienter i åldern 5 till under 18 år som vägde 15 till < 30 kg) likartade dem för 10 mg/kg kroppsvikt var 4:e vecka.
SLE-nefrit
En till 2 veckor efter att de första 2 intravenösa doserna har givits förutses patienter med SLE-nefrit som går över från 10 mg/kg kroppsvikt intravenöst till 200 mg subkutant en gång i veckan ha ungefär samma genomsnittliga serumkoncentrationer av belimumab som patienter som ges 10 mg/kg kroppsvikt intravenöst var 4:e vecka baserat på populationsfarmakokinetiska simuleringar (se avsnitt 4.2).
Icke-kliniska data visar inte några särskilda risker för människa baserat på studier av allmäntoxicitet och reproduktionstoxicitet.
Intravenös och subkutan administrering till apor resulterade i den förväntade minskningen av antalet perifera B-celler och B-celler i lymfvävnad utan några tillhörande toxikologiska fynd.
Reproduktionsstudier har utförts på dräktiga cynomolgusapor som fick belimumab 150 mg/kg kroppsvikt med intravenös infusion (cirka 9 gånger den förväntade maximala humana kliniska exponeringen) varannan vecka i upp till 21 veckor och behandling med belimumab förknippades inte med direkta eller indirekta skadliga effekter med hänsyn till maternell toxicitet, utvecklingstoxicitet eller teratogenicitet.
Behandlingsrelaterade fynd var begränsade till den förväntade reversibla minskningen av B-celler hos såväl moder som ungar och reversibel minskning av IgM hos apungar. B-cellsantalen återhämtade sig efter belimumabbehandlingens slut vid omkring 1 år post partum hos vuxna apor och vid 3 levnadsmånader hos apungar. IgM-nivåerna hos ungar som exponerats för belimumab in utero återhämtade sig vid 6 månaders ålder.
Effekterna på hanars och honors fertilitet hos apor bedömdes i 6-månaders toxikologistudier med upprepad dosering av belimumab med doser på upp till och med 50 mg/kg kroppsvikt. Inga behandlingsrelaterade förändringar noterades i de manliga och kvinnliga reproduktionsorganen hos sexuellt mogna djur. En informell bedömning av menstruationscykler hos honor visade inga belimumabrelaterade förändringar.
Eftersom belimumab är en monoklonal antikropp har inga gentoxicitetsstudier utförts. Inga karcinogenicitetsstudier eller fertilitetsstudier (hanar eller honor) har utförts.
En Benlysta förfylld injektionspenna kan förvaras vid temperaturer upp till maximalt 25 °C under en period på upp till 12 timmar. Den förfyllda injektionspennan måste skyddas mot ljus och kasseras om den inte har använts inom 12-timmarsperioden.
1 ml lösning i en spruta av typ 1-glas med fast nål (rostfritt stål) i en förfylld injektionspenna.
Tillgänglig i förpackningar med 1 eller 4 förfyllda injektionspennor samt flerpack innehållande 12 endos förfyllda injektionspennor (3 förpackningar med 4 förfyllda injektionspennor).
Eventuellt kommer inte alla förpackningsstorlekar att marknadsföras.
Fullständiga anvisningar om subkutan administrering av Benlysta i förfylld injektionspenna finns i slutet av bipacksedeln (se Steg-för-steganvisningar).
Ej använt läkemedel och avfall ska kasseras enligt gällande anvisningar.
Argininhydroklorid
Histidin
Histidinmonohydroklorid
Polysorbat 80 (E 433)
Natriumklorid
Vatten för injektionsvätskor
Inga kända.
3 år.
Förvaras i kylskåp (2 °C till 8 °C).
Får ej frysas.
Förvaras i originalförpackningen. Ljuskänsligt.
En Benlysta förfylld injektionspenna kan förvaras vid temperaturer upp till maximalt 25 °C under en period på upp till 12 timmar. Den förfyllda injektionspennan måste skyddas mot ljus och kasseras om den inte har använts inom 12-timmarsperioden.
1 ml lösning i en spruta av typ 1-glas med fast nål (rostfritt stål) i en förfylld injektionspenna.
Tillgänglig i förpackningar med 1 eller 4 förfyllda injektionspennor samt flerpack innehållande 12 endos förfyllda injektionspennor (3 förpackningar med 4 förfyllda injektionspennor).
Eventuellt kommer inte alla förpackningsstorlekar att marknadsföras.
Fullständiga anvisningar om subkutan administrering av Benlysta i förfylld injektionspenna finns i slutet av bipacksedeln (se Steg-för-steganvisningar).
Ej använt läkemedel och avfall ska kasseras enligt gällande anvisningar.
Produktresumén är företagets information om läkemedlet riktat till förskrivare och personal inom sjukvård och apotek. Dokumentet är godkända av Läkemedelsverket eller den europeiska läkemedelsmyndigheten EMA i samband med att läkemedlet godkänns för marknadsföring.