Benlysta 120 mg pulver till koncentrat till infusionsvätska, lösning
Benlysta 400 mg pulver till koncentrat till infusionsvätska, lösning
Pulver till koncentrat till infusionsvätska, lösning.
Vitt till benvitt pulver.
GlaxoSmithKline (Ireland) Limited
12 Riverwalk
Citywest Business Campus
Dublin 24
Irland
EU/1/11/700/001 - 1 injektionsflaska - 120 mg
EU/1/11/700/002 - 1 injektionsflaska - 400 mg
Första godkännandet: 13 juli 2011
Förnyat godkännande: 18 februari 2016
2025-07-18
Ytterligare information om detta läkemedel finns på Europeiska läkemedelsmyndighetens webbplats https://www.ema.europa.eu
Benlysta 400 mg pulver till koncentrat till infusionsvätska, lösning
Varje injektionsflaska innehåller 2,0 mg polysorbat 80.
För fullständig förteckning över hjälpämnen, se avsnitt 6.1.
Benlysta 120 mg pulver till koncentrat till infusionsvätska, lösning
Varje injektionsflaska innehåller 120 mg belimumab. Efter beredning innehåller lösningen 80 mg belimumab per ml.
Benlysta 400 mg pulver till koncentrat till infusionsvätska, lösning
Varje injektionsflaska innehåller 400 mg belimumab. Efter beredning innehåller lösningen 80 mg belimumab per ml.
Belimumab är en human, IgG1λ monoklonal antikropp som produceras i en mammaliecellinje (NS0) med rekombinant DNA-teknik.
Hjälpämnen med känd effekt
Benlysta 120 mg pulver till koncentrat till infusionsvätska, lösning
Varje injektionsflaska innehåller 0,6 mg polysorbat 80.
Benlysta 400 mg pulver till koncentrat till infusionsvätska, lösning
Varje injektionsflaska innehåller 2,0 mg polysorbat 80.
För fullständig förteckning över hjälpämnen, se avsnitt 6.1.
Patienter som behandlas med Benlysta måste uppmärksammas på den potentiella risken för allvarlig eller livshotande överkänslighet och en potentiell fördröjning eller återkommande symtom av denna. Patienten måste förses med bipacksedeln varje gång Benlysta administreras (se avsnitt 4.4).
Dosering
Premedicinering inklusive en antihistamin, med eller utan ett febernedsättande medel, kan administreras före Benlysta-infusionen (se avsnitt 4.4).
Hos patienter med SLE eller aktiv SLE-nefrit är den rekommenderade dosregimen för Benlysta 10 mg/kg kroppsvikt på dag 0, 14 och 28 samt med 4-veckors intervall därefter. Patientens tillstånd ska utvärderas kontinuerligt.
Hos patienter med SLE ska avbrytande av behandlingen med Benlysta övervägas om det inte förekommer någon förbättring av sjukdomen efter 6 månaders behandling.
Hos patienter med aktiv SLE-nefrit ska Benlysta användas i kombination med kortikosteroider och mykofenolat eller cyklofosfamid för induktion, eller mykofenolat eller azatioprin för underhåll.
Övergång från intravenös till subkutan administrering
SLE
Vid övergång från intravenös administrering till subkutan administrering av Benlysta hos patienter med SLE måste den första subkutana injektionen ges 1 till 4 veckor efter den sista intravenösa dosen (se avsnitt 5.2).
SLE-nefrit
Vid övergång från intravenös administrering till subkutan administrering av Benlysta hos patienter med aktiv SLE-nefrit rekommenderas att den första 200 mg-dos som injiceras subkutant ges 1 till 2 veckor efter den sista intravenösa dosen. Sådan övergång kan ske när som helst efter att patienten har fått de första 2 intravenösa doserna (se avsnitt 5.2).
Särskilda populationer
Äldre
Data för patienter ≥65 år är begränsade (se avsnitt 5.1). Benlysta ska användas med försiktighet hos äldre. Dosjustering krävs ej (se avsnitt 5.2).
Nedsatt njurfunktion
Belimumab har studerats hos ett begränsat antal SLE-patienter med nedsatt njurfunktion.
Baserat på tillgänglig information behövs ingen dosjustering till patienter med lindrigt, måttligt eller svårt nedsatt njurfunktion. Försiktighet rekommenderas emellertid till patienter med svårt nedsatt njurfunktion med hänsyn till bristen på data
(se avsnitt 5.2).
Nedsatt leverfunktion
Inga specifika studier har genomförts med Benlysta hos patienter med nedsatt leverfunktion. Det är inte sannolikt att patienter med nedsatt leverfunktion behöver någon dosjustering (se avsnitt 5.2).
Pediatrisk population
SLE
Rekommenderad doseringsregim för Benlysta för barn i åldern 5 år och äldre är 10 mg/kg kroppsvikt på dag 0, 14 och 28 och därefter med 4 veckors intervall.
Säkerhet och effekt för intravenös administrerat Benlysta hos barn under 5 år har inte fastställts. Inga data finns tillgängliga.
SLE-nefrit
Säkerhet och effekt för intravenös administrerat Benlysta hos barn och ungdomar under 18 år har inte fastställts. Inga data finns tillgängliga.
Administreringssätt
Benlysta administreras intravenöst genom infusion och måste beredas och spädas före administrering. För anvisningar om beredning, spädning och förvaring av läkemedlet före administrering, se avsnitt 6.6.
Benlysta måste infunderas under 1 timmas tid.
Benlysta får inte administreras som en intravenös bolus.
Infusionshastigheten kan sänkas eller avbrytas tillfälligt om patienten utvecklar en infusionsreaktion. Infusionen måste avslutas omedelbart om patienten drabbas av en potentiellt livshotande biverkan (se avsnitt 4.4 och 4.8).
Överkänslighet mot den aktiva substansen eller mot något hjälpämne som anges i avsnitt 6.1.
Spårbarhet
För att förbättra spårbarheten av biologiska läkemedel ska det administrerade läkemedlets namn och tillverkningssatsnummer registreras tydligt.
Benlysta har inte studerats hos följande patientgrupper hos barn och vuxna och rekommenderas inte vid:
svår aktiv SLE i centrala nervsystemet (se avsnitt 5.1)
hiv
tidigare eller pågående hepatit B eller C
hypogammaglobulinemi (IgG < 400 mg/dl) eller IgA-brist (IgA < 10 mg/dl)
en större organtransplantation eller hematopoietisk stam-/cell-/märgtransplantation eller njurtransplantation i anamnesen.
Samtidig användning med B-cellsinriktad terapi
Tillgängliga data stöder inte samtidig administrering av rituximab med Benlysta hos patienter med SLE (se avsnitt 5.1). Försiktighet bör iakttas om Benlysta administreras tillsammans med annan B-cellsinriktad terapi.
Infusionsreaktioner och överkänslighet
Administrering av Benlysta kan orsaka överkänslighetsreaktioner och infusionsreaktioner som kan vara allvarliga och dödliga. I händelse av en allvarlig reaktion måste administreringen av Benlysta avbrytas och lämplig medicinsk behandling administreras (se avsnitt 4.2). Risken för överkänslighetsreaktioner är störst vid de två första infusionerna; dock måste risken beaktas vid varje administrerad infusion. Patienter med en bakgrund av multipla läkemedelsallergier eller signifikant överkänslighet kan löpa ökad risk.
Premedicinering inklusive en antihistamin, med eller utan ett febernedsättande medel, kan administreras före Benlysta-infusionen. Det finns otillräcklig kunskap för att avgöra huruvida pre-medicinering kan minska frekvensen eller allvarligheten av infusionsreaktionen.
I kliniska studier drabbades cirka 0,9 % av de vuxna patienterna av allvarliga infusions- och överkänslighetsreaktioner, bland annat anafylaktisk reaktion, bradykardi, hypotoni, angioödem och dyspné. Infusionsreaktioner förekom oftare under de två första infusionerna och tenderade att minska med efterföljande infusioner (se avsnitt 4.8). Patienter har rapporterats utveckla symtom på akut överkänslighet flera timmar efter det att infusionen har administrerats. Återkommande, kliniskt signifikanta reaktioner efter initial, lämplig behandling av symtomen har även observerats (se avsnitt 4.2 och 4.8) Därför måste Benlysta administreras i en miljö där det finns resurser för att behandla sådana reaktioner omedelbart. Det rekommenderas att patienter stannar kvar under klinisk övervakning under en längre tidsperiod (flera timmar) efter åtminstone de två första infusionerna, där möjligheten för en fördröjd reaktion tas med i beräkningen. Patienter måste informeras om att överkänslighetsreaktioner är möjliga från dagen då infusionen ges eller flera dagar efter att infusionen givits, och om eventuella tecken och symtom samt möjligheten för att dessa återkommer. Patienter måste instrueras att söka omedelbar vård om de upplever något av dessa symtom. Patienten måste förses med bipacksedeln varje gång Benlysta administreras (se avsnitt 4.2).
Fördröjda, icke-akuta överkänslighetsreaktioner har också setts och inkluderade symtom som utslag, illamående, trötthet, myalgi, huvudvärk och ansiktsödem.
Infektioner
Verkningsmekanismen för belimumab kan öka risken för att utveckla infektioner hos vuxna och barn med SLE, inklusive opportunistiska infektioner, och yngre barn kan ha en ökad risk. I kontrollerade kliniska studier var incidensen av allvarliga infektioner liknande i Benlysta- och placebogrupperna; dödliga infektioner (t.ex. pneumoni och sepsis) förekom dock oftare hos patienter som fick Benlysta jämfört med placebo (se avsnitt 4.8). Pneumokockvaccin bör övervägas innan behandling med Benlysta påbörjas. Behandling med Benlysta får inte påbörjas hos patienter med aktiva allvarliga infektioner (inklusive allvarliga kroniska infektioner). Läkaren ska iaktta försiktighet och göra en noggrann bedömning av om nyttan förväntas överväga riskerna när användning av Benlysta övervägs till patienter med recidiverande infektion i anamnesen. Läkaren ska råda patienten att kontakta sin vårdgivare vid utveckling av symtom på en infektion. Patienter som utvecklar en infektion under tiden de genomgår behandling med Benlysta måste övervakas noga, och avbrytande av immunsuppressiv behandling inklusive Benlysta till dess infektionen är utläkt ska noga övervägas. Risken med användning av Benlysta till patienter med aktiv eller latent tuberkulos är inte känd.
Depression och suicidalitet
I kontrollerade studier med intravenös och subkutan administrering har psykiatriska tillstånd (depression, suicidtankar och suicidalt beteende inklusive suicid) rapporterats med högre frekvens hos patienter behandlade med Benlysta (se avsnitt 4.8). Läkare ska bedöma risken för depression och suicid mot bakgrund av patientens anamnes och aktuella psykiska status innan behandling med Benlysta påbörjas och fortsätta att övervaka patienten under behandlingen. Läkare måste uppmana patienter (och anhörigvårdare i förekommande fall) att kontakta läkare i händelse av nya eller förvärrade psykiska symtom. För patienter som utvecklar sådana symtom ska det övervägas om behandlingen ska avbrytas.
Svåra kutana biverkningar
Stevens-Johnsons syndrom (SJS) och toxisk epidermal nekrolys (TEN), som kan vara livshotande eller dödliga, har rapporterats i samband med behandling med Benlysta. Patienterna ska informeras om tecken och symtom på SJS och TEN och övervakas noga för hudreaktioner. Om tecken och symtom som tyder på dessa reaktioner uppstår, ska Benlysta omedelbart sättas ut och en alternativ behandling övervägas. Om patienten utvecklat SJS eller TEN vid användning av Benlysta, får behandling med Benlysta aldrig återinsättas hos denna patient.
Progressiv multifokal leukoencefalopati
Progressiv multifokal leukoencefalopati (PML) har rapporterats vid Benlystabehandling mot SLE. Läkare måste vara särskilt observanta på symtom som tyder på PML som patienterna själva kanske inte märker (t.ex. kognitiva, neurologiska eller psykiatriska symtom eller tecken). Patienterna bör monitoreras för alla dessa nya eller förvärrade symtom eller tecken och om sådana symtom/tecken uppkommer, remitteras till neurolog för övervägande av lämpliga diagnostikmetoder för PML enligt klinisk indikation. Om PML misstänks måste immunsuppressiv behandling, inklusive Benlysta, avbrytas till dess att PML har uteslutits. Om PML bekräftas, måste immunsuppressiv behandling, inklusive Benlysta, sättas ut.
Immunisering
Levande vacciner ska inte ges 30 dagar före eller samtidigt med Benlysta, eftersom klinisk säkerhet inte har fastställts. Det finns inga tillgängliga uppgifter om sekundär överföring av infektion från personer som erhåller levande vacciner till patienter som erhåller Benlysta.
På grund av verkningsmekanismen kan belimumab störa svaret på immuniseringar.
I en liten studie där responsen mot ett 23-valent pneumokockvaccin utvärderades var dock den övergripande immunresponsen mot de olika serotyperna liknande för SLE-patienter som fått Benlysta jämfört med de som fått standardiserad immunosuppressiv behandling vid tidpunkten för vaccinering. Det finns otillräckliga uppgifter för att dra slutsatser kring respons på andra vacciner.
Begränsade uppgifter tyder på att Benlysta inte signifikant påverkar förmågan att upprätthålla ett skyddande immunsvar på immuniseringar som erhållits före administrering av Benlysta. I en delstudie uppvisade en liten grupp patienter som tidigare erhållit antingen stelkramps-, pneumokock- eller influensavaccination fortfarande skyddande titrar efter behandling med Benlysta.
Maligniteter och lymfoproliferativa sjukdomar
Immunmodulatoriska läkemedel, inklusive Benlysta, kan öka risken för malignitet. Försiktighet tillråds när Benlysta-terapi övervägs för patienter med malignitet i anamnesen eller när man överväger att fortsätta behandlingen hos patienter som utvecklar malignitet. Patienter med malign neoplasm inom de senaste 5 åren har inte studerats, med undantag för basal- eller skivepitelcellscancer i huden eller cancer i livmoderhalsen som exciderats fullständigt eller blivit adekvat behandlad.
Innehåll av polysorbat 80
Detta läkemedel innehåller polysorbat 80 (se avsnitt 2), som kan orsaka allergiska reaktioner.
Natriuminnehåll
Detta läkemedel innehåller mindre än 1 mmol (23 mg) natrium per dos, d.v.s. är näst intill ”natriumfritt”. Benlysta pulver till koncentrat späds dock med en infusionsvätska, lösning som innehåller natrium, vilket ska beaktas hos patienter som har ordinerats natriumfattig kost (se avsnitt 6).
Inga interaktionsstudier har utförts in vivo. Bildandet av vissa CYP450-enzymer hämmas av ökade nivåer av vissa cytokiner vid kronisk inflammation. Det är inte känt om belimumab kan vara en indirekt modulator av sådana cytokiner. En risk för indirekt minskning av CYP-aktivitet med belimumab kan inte uteslutas. Vid initiering eller avbrytande av behandling med belimumab ska monitorering övervägas för patienter som behandlas med CYP-substrat med ett smalt terapeutiskt index, där dosen anpassas individuellt (t.ex. warfarin).
Fertila kvinnor/Födelsekontroll hos män och kvinnor
Fertila kvinnor måste använda effektivt preventivmedel under behandling med Benlysta och under minst 4 månader efter den sista behandlingen.
Graviditet
Det finns begränsad mängd data från användning av Benlysta hos gravida kvinnor. Förutom en förväntad farmakologisk effekt, dvs. reduktion av B-celler, tyder djurstudier på apor inte på några direkta eller indirekta skadliga effekter med avseende på reproduktionstoxicitet (se avsnitt 5.3).
Benlysta ska inte användas under graviditet såvida inte den potentiella nyttan rättfärdigar den potentiella risken för fostret.
Amning
Det är inte känt om Benlysta utsöndras i bröstmjölk eller absorberas systemiskt efter förtäring. Belimumab har detekterats i mjölk från honapor som tillförts 150 mg/kg kroppsvikt varannan vecka.
Eftersom maternella antikroppar (IgG) utsöndras i bröstmjölk, rekommenderas att ett beslut fattas huruvida amningen ska avbrytas eller Benlysta-behandlingen ska avbrytas med hänsyn till fördelen med amningen för barnet och fördelen med behandlingen för kvinnan.
Fertilitet
Det finns inga uppgifter om effekterna av belimumab på human fertilitet. Effekterna på manlig och kvinnlig fertilitet har inte formellt utvärderats i djurstudier (se avsnitt 5.3).
Inga studier av effekten på förmågan att framföra fordon och använda maskiner har utförts. Inga menliga effekter på sådana aktiviteter förutses med hänsyn till farmakologin hos belimumab. Det rekommenderas att patientens kliniska status och biverkningsprofilen för Benlysta beaktas när patientens förmåga att utföra uppgifter som kräver bedömningsförmåga, motorisk eller kognitiv förmåga övervägs.
Sammanfattning av säkerhetsprofilen hos vuxna
Säkerheten för belimumab hos patienter med SLE har utvärderats i tre placebokontrollerade studier med intravenös adminstrering, en efterföljande regional placebokontrollerad studie med intravenös administrering och en placebokontrollerad studie med subkutan administrering utförda före godkännandet och två placebokontrollerade studier med intravenös administrering utförda efter marknadsintroduktionen. Säkerheten hos patienter med aktiv SLE-nefrit har utvärderats i en placebokontrollerad studie med intravenös administrering.
Uppgifterna som redovisas i tabellen nedan avspeglar en exponering hos 674 patienter med SLE från de tre kliniska studierna och 470 patienter i den efterföljande placebokontrollerade studien som utfördes före godkännandet vilka fått Benlysta intravenöst (10 mg/kg kroppsvikt intravenöst under 1 timme på dag 0, 14, 28 och sedan var 28:e dag i upp till 52 veckor) och 556 patienter med SLE som exponerades för Benlysta subkutant (200 mg en gång i veckan i upp till 52 veckor). Säkerhetsdata inkluderar data utöver 52 veckor för vissa patienter med SLE. Data avspeglar dessutom exponering hos 224 patienter med aktiv SLE-nefrit som fått Benlysta intravenöst (10 mg/kg kroppsvikt i upp till 104 veckor). Data från rapporter efter marknadsintroduktion är också inkluderade.
Huvuddelen av patienterna erhöll också samtidigt en eller flera av följande behandlingar för SLE: kortikosteroider, immunmodulatoriska läkemedel, anti-malariamedel, icke-steroidala anti-inflammatoriska läkemedel.
Biverkningar rapporterades för 84 % av de patienter som behandlats med Benlysta och för 87 % av de patienter som behandlats med placebo. De oftast rapporterade biverkningarna (≥ 5 % av patienterna med SLE som behandlats med Benlysta som tilläggsbehandling till standardterapi och en frekvens på ≥ 1 % mer än placebo) var
nasofaryngit. Andelen patienter som avbröt behandlingen på grund av biverkningar var 7 % för Benlysta-behandlade patienter och 8 % för placebobehandlade patienter.
De oftast rapporterade biverkningarna (> 5 % av patienterna med aktiv SLE-nefrit behandlade med Benlysta plus standardbehandling) var övre luftvägsinfektion, urinvägsinfektion och herpes zoster. Andelen patienter som avbröt behandlingen på grund av biverkningar var 12,9 % för Benlysta-behandlade patienter och 12,9 % för placebobehandlade patienter.
Svåra kutana biverkningar: Stevens-Johnsons syndrom (SJS) och toxisk epidermal nekrolys (TEN) har rapporterats i samband med behandling med Benlysta (se avsnitt 4.4).
Tabell över biverkningar
Biverkningar är listade nedan enligt MedDRA-organklass och frekvens. De frekvenskategorier som används är:
Biverkningarna presenteras inom varje frekvensområde efter fallande allvarlighetsgrad. Angiven frekvens är den högsta som setts med någon av formuleringarna.
1 Se ”Beskrivning av valda biverkningar” och avsnitt 4.4 ”Infektioner” för mer information.
2 "Överkänslighetsreaktioner" omfattar en grupp av termer, bland annat anafylaxi, och kan manifesteras som en rad symtom, bland annat hypotoni, angioödem, urtikaria eller annat utslag, klåda och dyspné. "Infusions- eller injektionsrelaterade systemiska reaktioner" omfattar en grupp av termer och kan manifesteras som en rad symtom, bland annat bradykardi, myalgi, huvudvärk, utslag, urtikaria, feber, hypotoni, hypertoni, yrsel och artralgi. Eftersom tecken och symtom överlappar varandra, är det inte möjligt att skilja mellan överkänslighetsreaktioner och infusions- eller injektionsrelaterade systemiska reaktioner i alla fall.
3 Gäller endast den subkutana formuleringen.
Beskrivning av valda biverkningar
Nedan redovisade data har poolats från de tre kliniska studierna med intravenös administrering (endast 10 mg/ml kroppsvikt intravenös dos) och den kliniska studien med subkutan administrering som utfördes före godkännandet. "Infektioner" och "Psykiatriska tillstånd" inkluderar data från en studie utförd efter marknadsintroduktionen.
Infusions- eller injektionsrelaterade systemiska reaktioner och överkänslighet: Infusions- eller injektionsrelaterade systemiska reaktioner och överkänslighetsreaktioner observerades vanligtvis på administreringsdagen men akuta överkänslighetsreaktioner kan förekomma flera dagar efter dosering. Patienter med en bakgrund av multipla läkemedelsallergier eller signifikanta överkänslighetsreaktioner kan löpa ökad risk.
Incidensen av infusionsreaktioner och överkänslighetsreaktioner efter intravenös administrering inom 3 dagar efter en infusion var 12 % i gruppen som erhöll Benlysta och 10 % i gruppen som erhöll placebo, varvid 1,2 % respektive 0,3 % krävde att behandlingen avbröts permanent.
Infektioner: Den totala incidensen av infektioner i intravenös och subkutan SLE-studie före godkännandet var 63 % både i gruppen som fick Benlysta och i gruppen som fick placebo. Infektioner som förekom hos minst 3 % av Benlysta-patienterna och minst 1 % mer frekvent än hos patienter som fick placebo var virusinfektion i övre luftvägarna, bronkit och bakteriella urinvägsinfektioner. Allvarliga infektioner förekom hos 5 % av patienterna både i gruppen som fick Benlysta och i gruppen som fick placebo; allvarliga opportunistiska infektioner stod för 0,4 % respektive 0 % av dessa. Infektioner som ledde till att behandlingen avbröts förekom hos 0,7 % av patienterna som fick Benlysta och hos 1,5 % av patienterna som fick placebo. Några infektioner var allvarliga eller dödliga.
För information om infektioner observerade hos pediatriska patienter med SLE se avsnittet om Pediatrisk population nedan.
I SLE-nefritstudien fick patienterna bakgrundsbehandling av standardtyp (se avsnitt 5.1) och den totala incidensen av infektioner var 82 % hos patienterna som fick Benlysta jämfört med 76 % hos patienterna som fick placebo. Allvarliga infektioner förekom hos 13,8 % av patienterna som fick Benlysta och hos 17,0 % hos patienterna som fick placebo. Dödliga infektioner förekom hos 0,9 % (2/224) av patienterna som fick Benlysta och hos 0,9 % (2/224) av patienterna som fick placebo.
I en randomised, dubbelblind, 52-veckorsstudie på SLE som utfördes efter marknadsintroduktionen (BEL115467) och som bedömde mortalitet och specifika biverkningar hos vuxna, förekom allvarliga infektioner hos 3,7 % av patienterna som fick Benlysta 10 mg/kg kroppsvikt intravenöst och hos 4,1 % av patienterna som fick placebo. Dödliga infektioner (t.ex. pneumoni och sepsis) förekom dock hos 0,45 % (9/2002) av patienterna som behandlades med Benlysta och hos 0,15 % (3/2001) av patienterna som fick placebo, medan incidensen av mortalitet oavsett orsak var 0,50 % (10/2002) bland de patienter som behandlades med Benlysta och 0,40 % (8/2001) bland patienterna som fick placebo. De flesta dödliga infektionerna observerades under de första 20 behandlingsveckorna med Benlysta.
Psykiatriska tillstånd: I de kliniska SLE-studierna med intravenös administrering som utfördes före godkännandet rapporterades allvarliga psykiska händelser hos 1,2 % (8/674) av patienterna som fick Benlysta 10 mg/kg kroppsvikt och hos 0,4 % (3/675) av patienterna som fick placebo. Allvarlig depression rapporterades hos 0,6 % (4/674) av patienterna som fick Benlysta 10 mg/kg kroppsvikt och hos 0,3 % (2/675) av patienterna som fick placebo. Det var två suicid bland patienterna som behandlades med Benlysta (varav en som fick Benlysta 1 mg/kg kroppsvikt).
I en SLE-studie som utfördes efter marknadsintroduktionen rapporterades allvarliga psykiska händelser hos 1,0 % (20/2002) av patienterna som fick Benlysta och hos 0,3 % (6/2001) av patienterna som fick placebo. Allvarlig depression rapporterades hos 0,3 % (7/2002) av patienterna som fick Benlysta och hos < 0,1 % (1/2001) av patienterna som fick placebo. Den totala incidensen av allvarliga suicidtankar eller suicidalt beteende eller självskada utan suicidavsikt var 0,7 % (15/2002) hos patienter som fick Benlysta och 0,2 % (5/2001) i placebogruppen. Inget suicid rapporterades i någon av grupperna.
SLE-studierna med intravenös administrering ovan exkluderade inte patienter med psykiatriska tillstånd i anamnesen.
I den kliniska SLE-studien med subkutan administrering, som exkluderade patienter med anamnes på psykiatriska tillstånd, rapporterades allvarliga psykiska händelser hos 0,2 % (1/556) av patienterna som fick Benlysta och hos ingen av patienterna som fick placebo. Inga allvarliga depressionsrelaterade händelser eller suicid rapporterades i någon av grupperna.
Leukopeni: Incidensen av leukopeni rapporterad hos patienter med SLE som en biverkan var 3 % i gruppen som fick Benlysta och 2 % i gruppen som fick placebo.
Magtarmkanalen: Överviktiga patienter [Body Mass Index (BMI) > 30 kg/m2] med SLE som behandlades med intravenöst administrerat Benlysta rapporterade högre förekomst av illamående, kräkningar och diarré i förhållande till placebo och jämfört med normalviktiga patienter (BMI ≥ 18,5 till ≤ 30 kg/m2). Ingen av dessa gastrointestinala händelser hos överviktiga patienter var allvarliga.
Pediatrisk population
Biverkningsprofilen hos pediatriska patienter baseras på en studie med subkutan administrering och en studie med intravenös administrering.
I en 52-veckors, öppen studie, i vilken 25 pediatriska patienter (i åldern 10 till 17 år) med SLE fick Benlysta subkutant vid en exponering jämförbar med den hos vuxna (200 mg med ett fastställt doseringsintervall baserat på kroppsvikt, i tillägg till bakgrundsmedicinering), överensstämde säkerhetsprofilen hos pediatriska patienter som fick Benlysta subkutant med den kända säkerhetsprofilen för belimumab.
I en 52-veckors placebokontrollerad studie fick 53 patienter (i åldern 6 till 17 år) med SLE Benlysta (10 mg/kg kroppsvikt intravenöst på dag 0, 14 och 28 och därefter var 28:e dag i tillägg till bakgrundsbehandling). Inga nya säkerhetssignaler observerades hos den pediatriska populationen från 12 års ålder (n = 43). Säkerhetsdata för barn yngre än 12 år (n = 10) är begränsade.
InfektionerÅldersgruppen 5 till 11 år: infektioner rapporterades hos 8/10 patienter som fick Benlysta intravenöst och hos 3/3 patienter som fick placebo. Allvarliga infektioner rapporterades hos 1/10 patienter som fick Benlysta intravenöst och 2/3 patienter som fick placebo (se avsnitt 4.4).Åldersgruppen 12 till 17 år: infektioner rapporterades hos 22/43 patienter som fick Benlysta intravenöst och hos 25/37 patienter som fick placebo. Allvarliga infektioner rapporterades hos 3/43 patienter som fick Benlysta intravenöst och hos 3/37 patienter som fick placebo. I den öppna förlängningsfasen fanns en dödlig infektion hos en patient som fick Benlysta intravenöst.
Det finns begränsad klinisk erfarenhet av överdosering av Benlysta. Biverkningar som rapporterats i samband med överdosering har varit i enlighet med de som förväntats för belimumab.
Två doser upp till 20 mg/kg kroppsvikt som administrerades med 21 dagars mellanrum med intravenös infusion har givits till människa utan någon ökning av förekomsten eller svårighetsgraden av biverkningarna jämfört med doser på 1, 4 eller 10 mg/kg kroppsvikt.
Vid fall av oavsiktlig överdosering ska patienten observeras noga och stödjande vård ges efter behov.
Benlysta är indicerat som tilläggsbehandling hos patienter i åldern 5 år och äldre med aktiv, autoantikroppspositiv Systemisk Lupus Erythematosus (SLE) med en hög grad av sjukdomsaktivitet (t.ex. positivt anti-dsDNA och lågt komplement) trots standardterapi (se avsnitt 5.1).
Benlysta i kombination med immunsupprimerande bakgrundsbehandling är indicerat för behandling av vuxna patienter med aktiv SLE-nefrit (se avsnitt 4.2 och 5.1).
Behandling med Benlysta ska inledas och övervakas av en kvalificerad läkare med erfarenhet av diagnostisering och behandling av SLE. Infusioner med Benlysta måste administreras av kvalificerad sjukvårdspersonal med utbildning i att ge infusionsterapi.
Administrering av Benlysta kan orsaka allvarliga eller livshotande överkänslighetsreaktioner och infusionsreaktioner. Patienter har rapporterats att utveckla symtom på akuta överkänslighetsreaktioner flera timmar efter det att infusionen har administrerats. Återkommande kliniskt signifikanta reaktioner efter initial, lämplig behandling av symtomen har även observerats (se avsnitt 4.4 och 4.8).
Därför måste Benlysta administreras i en miljö där det finns tillgängliga resurser för behandling av sådana reaktioner omedelbart. Det rekommenderas att patienter stannar kvar under klinisk övervakning en längre tidsperiod (flera timmar), efter åtminstone de två första infusionerna, där möjligheten till en fördröjd reaktion tas med i beräkningen.
Patienter som behandlas med Benlysta måste uppmärksammas på den potentiella risken för allvarlig eller livshotande överkänslighet och en potentiell fördröjning eller återkommande symtom av denna. Patienten måste förses med bipacksedeln varje gång Benlysta administreras (se avsnitt 4.4).
Dosering
Premedicinering inklusive en antihistamin, med eller utan ett febernedsättande medel, kan administreras före Benlysta-infusionen (se avsnitt 4.4).
Hos patienter med SLE eller aktiv SLE-nefrit är den rekommenderade dosregimen för Benlysta 10 mg/kg kroppsvikt på dag 0, 14 och 28 samt med 4-veckors intervall därefter. Patientens tillstånd ska utvärderas kontinuerligt.
Hos patienter med SLE ska avbrytande av behandlingen med Benlysta övervägas om det inte förekommer någon förbättring av sjukdomen efter 6 månaders behandling.
Hos patienter med aktiv SLE-nefrit ska Benlysta användas i kombination med kortikosteroider och mykofenolat eller cyklofosfamid för induktion, eller mykofenolat eller azatioprin för underhåll.
Övergång från intravenös till subkutan administrering
SLE
Vid övergång från intravenös administrering till subkutan administrering av Benlysta hos patienter med SLE måste den första subkutana injektionen ges 1 till 4 veckor efter den sista intravenösa dosen (se avsnitt 5.2).
SLE-nefrit
Vid övergång från intravenös administrering till subkutan administrering av Benlysta hos patienter med aktiv SLE-nefrit rekommenderas att den första 200 mg-dos som injiceras subkutant ges 1 till 2 veckor efter den sista intravenösa dosen. Sådan övergång kan ske när som helst efter att patienten har fått de första 2 intravenösa doserna (se avsnitt 5.2).
Särskilda populationer
Äldre
Data för patienter ≥65 år är begränsade (se avsnitt 5.1). Benlysta ska användas med försiktighet hos äldre. Dosjustering krävs ej (se avsnitt 5.2).
Nedsatt njurfunktion
Belimumab har studerats hos ett begränsat antal SLE-patienter med nedsatt njurfunktion.
Baserat på tillgänglig information behövs ingen dosjustering till patienter med lindrigt, måttligt eller svårt nedsatt njurfunktion. Försiktighet rekommenderas emellertid till patienter med svårt nedsatt njurfunktion med hänsyn till bristen på data
(se avsnitt 5.2).
Nedsatt leverfunktion
Inga specifika studier har genomförts med Benlysta hos patienter med nedsatt leverfunktion. Det är inte sannolikt att patienter med nedsatt leverfunktion behöver någon dosjustering (se avsnitt 5.2).
Pediatrisk population
SLE
Rekommenderad doseringsregim för Benlysta för barn i åldern 5 år och äldre är 10 mg/kg kroppsvikt på dag 0, 14 och 28 och därefter med 4 veckors intervall.
Säkerhet och effekt för intravenös administrerat Benlysta hos barn under 5 år har inte fastställts. Inga data finns tillgängliga.
SLE-nefrit
Säkerhet och effekt för intravenös administrerat Benlysta hos barn och ungdomar under 18 år har inte fastställts. Inga data finns tillgängliga.
Administreringssätt
Benlysta administreras intravenöst genom infusion och måste beredas och spädas före administrering. För anvisningar om beredning, spädning och förvaring av läkemedlet före administrering, se avsnitt 6.6.
Benlysta måste infunderas under 1 timmas tid.
Benlysta får inte administreras som en intravenös bolus.
Infusionshastigheten kan sänkas eller avbrytas tillfälligt om patienten utvecklar en infusionsreaktion. Infusionen måste avslutas omedelbart om patienten drabbas av en potentiellt livshotande biverkan (se avsnitt 4.4 och 4.8).
Överkänslighet mot den aktiva substansen eller mot något hjälpämne som anges i avsnitt 6.1.
Spårbarhet
För att förbättra spårbarheten av biologiska läkemedel ska det administrerade läkemedlets namn och tillverkningssatsnummer registreras tydligt.
Benlysta har inte studerats hos följande patientgrupper hos barn och vuxna och rekommenderas inte vid:
svår aktiv SLE i centrala nervsystemet (se avsnitt 5.1)
hiv
tidigare eller pågående hepatit B eller C
hypogammaglobulinemi (IgG < 400 mg/dl) eller IgA-brist (IgA < 10 mg/dl)
en större organtransplantation eller hematopoietisk stam-/cell-/märgtransplantation eller njurtransplantation i anamnesen.
Samtidig användning med B-cellsinriktad terapi
Tillgängliga data stöder inte samtidig administrering av rituximab med Benlysta hos patienter med SLE (se avsnitt 5.1). Försiktighet bör iakttas om Benlysta administreras tillsammans med annan B-cellsinriktad terapi.
Infusionsreaktioner och överkänslighet
Administrering av Benlysta kan orsaka överkänslighetsreaktioner och infusionsreaktioner som kan vara allvarliga och dödliga. I händelse av en allvarlig reaktion måste administreringen av Benlysta avbrytas och lämplig medicinsk behandling administreras (se avsnitt 4.2). Risken för överkänslighetsreaktioner är störst vid de två första infusionerna; dock måste risken beaktas vid varje administrerad infusion. Patienter med en bakgrund av multipla läkemedelsallergier eller signifikant överkänslighet kan löpa ökad risk.
Premedicinering inklusive en antihistamin, med eller utan ett febernedsättande medel, kan administreras före Benlysta-infusionen. Det finns otillräcklig kunskap för att avgöra huruvida pre-medicinering kan minska frekvensen eller allvarligheten av infusionsreaktionen.
I kliniska studier drabbades cirka 0,9 % av de vuxna patienterna av allvarliga infusions- och överkänslighetsreaktioner, bland annat anafylaktisk reaktion, bradykardi, hypotoni, angioödem och dyspné. Infusionsreaktioner förekom oftare under de två första infusionerna och tenderade att minska med efterföljande infusioner (se avsnitt 4.8). Patienter har rapporterats utveckla symtom på akut överkänslighet flera timmar efter det att infusionen har administrerats. Återkommande, kliniskt signifikanta reaktioner efter initial, lämplig behandling av symtomen har även observerats (se avsnitt 4.2 och 4.8) Därför måste Benlysta administreras i en miljö där det finns resurser för att behandla sådana reaktioner omedelbart. Det rekommenderas att patienter stannar kvar under klinisk övervakning under en längre tidsperiod (flera timmar) efter åtminstone de två första infusionerna, där möjligheten för en fördröjd reaktion tas med i beräkningen. Patienter måste informeras om att överkänslighetsreaktioner är möjliga från dagen då infusionen ges eller flera dagar efter att infusionen givits, och om eventuella tecken och symtom samt möjligheten för att dessa återkommer. Patienter måste instrueras att söka omedelbar vård om de upplever något av dessa symtom. Patienten måste förses med bipacksedeln varje gång Benlysta administreras (se avsnitt 4.2).
Fördröjda, icke-akuta överkänslighetsreaktioner har också setts och inkluderade symtom som utslag, illamående, trötthet, myalgi, huvudvärk och ansiktsödem.
Infektioner
Verkningsmekanismen för belimumab kan öka risken för att utveckla infektioner hos vuxna och barn med SLE, inklusive opportunistiska infektioner, och yngre barn kan ha en ökad risk. I kontrollerade kliniska studier var incidensen av allvarliga infektioner liknande i Benlysta- och placebogrupperna; dödliga infektioner (t.ex. pneumoni och sepsis) förekom dock oftare hos patienter som fick Benlysta jämfört med placebo (se avsnitt 4.8). Pneumokockvaccin bör övervägas innan behandling med Benlysta påbörjas. Behandling med Benlysta får inte påbörjas hos patienter med aktiva allvarliga infektioner (inklusive allvarliga kroniska infektioner). Läkaren ska iaktta försiktighet och göra en noggrann bedömning av om nyttan förväntas överväga riskerna när användning av Benlysta övervägs till patienter med recidiverande infektion i anamnesen. Läkaren ska råda patienten att kontakta sin vårdgivare vid utveckling av symtom på en infektion. Patienter som utvecklar en infektion under tiden de genomgår behandling med Benlysta måste övervakas noga, och avbrytande av immunsuppressiv behandling inklusive Benlysta till dess infektionen är utläkt ska noga övervägas. Risken med användning av Benlysta till patienter med aktiv eller latent tuberkulos är inte känd.
Depression och suicidalitet
I kontrollerade studier med intravenös och subkutan administrering har psykiatriska tillstånd (depression, suicidtankar och suicidalt beteende inklusive suicid) rapporterats med högre frekvens hos patienter behandlade med Benlysta (se avsnitt 4.8). Läkare ska bedöma risken för depression och suicid mot bakgrund av patientens anamnes och aktuella psykiska status innan behandling med Benlysta påbörjas och fortsätta att övervaka patienten under behandlingen. Läkare måste uppmana patienter (och anhörigvårdare i förekommande fall) att kontakta läkare i händelse av nya eller förvärrade psykiska symtom. För patienter som utvecklar sådana symtom ska det övervägas om behandlingen ska avbrytas.
Svåra kutana biverkningar
Stevens-Johnsons syndrom (SJS) och toxisk epidermal nekrolys (TEN), som kan vara livshotande eller dödliga, har rapporterats i samband med behandling med Benlysta. Patienterna ska informeras om tecken och symtom på SJS och TEN och övervakas noga för hudreaktioner. Om tecken och symtom som tyder på dessa reaktioner uppstår, ska Benlysta omedelbart sättas ut och en alternativ behandling övervägas. Om patienten utvecklat SJS eller TEN vid användning av Benlysta, får behandling med Benlysta aldrig återinsättas hos denna patient.
Progressiv multifokal leukoencefalopati
Progressiv multifokal leukoencefalopati (PML) har rapporterats vid Benlystabehandling mot SLE. Läkare måste vara särskilt observanta på symtom som tyder på PML som patienterna själva kanske inte märker (t.ex. kognitiva, neurologiska eller psykiatriska symtom eller tecken). Patienterna bör monitoreras för alla dessa nya eller förvärrade symtom eller tecken och om sådana symtom/tecken uppkommer, remitteras till neurolog för övervägande av lämpliga diagnostikmetoder för PML enligt klinisk indikation. Om PML misstänks måste immunsuppressiv behandling, inklusive Benlysta, avbrytas till dess att PML har uteslutits. Om PML bekräftas, måste immunsuppressiv behandling, inklusive Benlysta, sättas ut.
Immunisering
Levande vacciner ska inte ges 30 dagar före eller samtidigt med Benlysta, eftersom klinisk säkerhet inte har fastställts. Det finns inga tillgängliga uppgifter om sekundär överföring av infektion från personer som erhåller levande vacciner till patienter som erhåller Benlysta.
På grund av verkningsmekanismen kan belimumab störa svaret på immuniseringar.
I en liten studie där responsen mot ett 23-valent pneumokockvaccin utvärderades var dock den övergripande immunresponsen mot de olika serotyperna liknande för SLE-patienter som fått Benlysta jämfört med de som fått standardiserad immunosuppressiv behandling vid tidpunkten för vaccinering. Det finns otillräckliga uppgifter för att dra slutsatser kring respons på andra vacciner.
Begränsade uppgifter tyder på att Benlysta inte signifikant påverkar förmågan att upprätthålla ett skyddande immunsvar på immuniseringar som erhållits före administrering av Benlysta. I en delstudie uppvisade en liten grupp patienter som tidigare erhållit antingen stelkramps-, pneumokock- eller influensavaccination fortfarande skyddande titrar efter behandling med Benlysta.
Maligniteter och lymfoproliferativa sjukdomar
Immunmodulatoriska läkemedel, inklusive Benlysta, kan öka risken för malignitet. Försiktighet tillråds när Benlysta-terapi övervägs för patienter med malignitet i anamnesen eller när man överväger att fortsätta behandlingen hos patienter som utvecklar malignitet. Patienter med malign neoplasm inom de senaste 5 åren har inte studerats, med undantag för basal- eller skivepitelcellscancer i huden eller cancer i livmoderhalsen som exciderats fullständigt eller blivit adekvat behandlad.
Innehåll av polysorbat 80
Detta läkemedel innehåller polysorbat 80 (se avsnitt 2), som kan orsaka allergiska reaktioner.
Natriuminnehåll
Detta läkemedel innehåller mindre än 1 mmol (23 mg) natrium per dos, d.v.s. är näst intill ”natriumfritt”. Benlysta pulver till koncentrat späds dock med en infusionsvätska, lösning som innehåller natrium, vilket ska beaktas hos patienter som har ordinerats natriumfattig kost (se avsnitt 6).
Inga interaktionsstudier har utförts in vivo. Bildandet av vissa CYP450-enzymer hämmas av ökade nivåer av vissa cytokiner vid kronisk inflammation. Det är inte känt om belimumab kan vara en indirekt modulator av sådana cytokiner. En risk för indirekt minskning av CYP-aktivitet med belimumab kan inte uteslutas. Vid initiering eller avbrytande av behandling med belimumab ska monitorering övervägas för patienter som behandlas med CYP-substrat med ett smalt terapeutiskt index, där dosen anpassas individuellt (t.ex. warfarin).
Fertila kvinnor/Födelsekontroll hos män och kvinnor
Fertila kvinnor måste använda effektivt preventivmedel under behandling med Benlysta och under minst 4 månader efter den sista behandlingen.
Graviditet
Det finns begränsad mängd data från användning av Benlysta hos gravida kvinnor. Förutom en förväntad farmakologisk effekt, dvs. reduktion av B-celler, tyder djurstudier på apor inte på några direkta eller indirekta skadliga effekter med avseende på reproduktionstoxicitet (se avsnitt 5.3).
Benlysta ska inte användas under graviditet såvida inte den potentiella nyttan rättfärdigar den potentiella risken för fostret.
Amning
Det är inte känt om Benlysta utsöndras i bröstmjölk eller absorberas systemiskt efter förtäring. Belimumab har detekterats i mjölk från honapor som tillförts 150 mg/kg kroppsvikt varannan vecka.
Eftersom maternella antikroppar (IgG) utsöndras i bröstmjölk, rekommenderas att ett beslut fattas huruvida amningen ska avbrytas eller Benlysta-behandlingen ska avbrytas med hänsyn till fördelen med amningen för barnet och fördelen med behandlingen för kvinnan.
Fertilitet
Det finns inga uppgifter om effekterna av belimumab på human fertilitet. Effekterna på manlig och kvinnlig fertilitet har inte formellt utvärderats i djurstudier (se avsnitt 5.3).
Inga studier av effekten på förmågan att framföra fordon och använda maskiner har utförts. Inga menliga effekter på sådana aktiviteter förutses med hänsyn till farmakologin hos belimumab. Det rekommenderas att patientens kliniska status och biverkningsprofilen för Benlysta beaktas när patientens förmåga att utföra uppgifter som kräver bedömningsförmåga, motorisk eller kognitiv förmåga övervägs.
Sammanfattning av säkerhetsprofilen hos vuxna
Säkerheten för belimumab hos patienter med SLE har utvärderats i tre placebokontrollerade studier med intravenös adminstrering, en efterföljande regional placebokontrollerad studie med intravenös administrering och en placebokontrollerad studie med subkutan administrering utförda före godkännandet och två placebokontrollerade studier med intravenös administrering utförda efter marknadsintroduktionen. Säkerheten hos patienter med aktiv SLE-nefrit har utvärderats i en placebokontrollerad studie med intravenös administrering.
Uppgifterna som redovisas i tabellen nedan avspeglar en exponering hos 674 patienter med SLE från de tre kliniska studierna och 470 patienter i den efterföljande placebokontrollerade studien som utfördes före godkännandet vilka fått Benlysta intravenöst (10 mg/kg kroppsvikt intravenöst under 1 timme på dag 0, 14, 28 och sedan var 28:e dag i upp till 52 veckor) och 556 patienter med SLE som exponerades för Benlysta subkutant (200 mg en gång i veckan i upp till 52 veckor). Säkerhetsdata inkluderar data utöver 52 veckor för vissa patienter med SLE. Data avspeglar dessutom exponering hos 224 patienter med aktiv SLE-nefrit som fått Benlysta intravenöst (10 mg/kg kroppsvikt i upp till 104 veckor). Data från rapporter efter marknadsintroduktion är också inkluderade.
Huvuddelen av patienterna erhöll också samtidigt en eller flera av följande behandlingar för SLE: kortikosteroider, immunmodulatoriska läkemedel, anti-malariamedel, icke-steroidala anti-inflammatoriska läkemedel.
Biverkningar rapporterades för 84 % av de patienter som behandlats med Benlysta och för 87 % av de patienter som behandlats med placebo. De oftast rapporterade biverkningarna (≥ 5 % av patienterna med SLE som behandlats med Benlysta som tilläggsbehandling till standardterapi och en frekvens på ≥ 1 % mer än placebo) var
nasofaryngit. Andelen patienter som avbröt behandlingen på grund av biverkningar var 7 % för Benlysta-behandlade patienter och 8 % för placebobehandlade patienter.
De oftast rapporterade biverkningarna (> 5 % av patienterna med aktiv SLE-nefrit behandlade med Benlysta plus standardbehandling) var övre luftvägsinfektion, urinvägsinfektion och herpes zoster. Andelen patienter som avbröt behandlingen på grund av biverkningar var 12,9 % för Benlysta-behandlade patienter och 12,9 % för placebobehandlade patienter.
Svåra kutana biverkningar: Stevens-Johnsons syndrom (SJS) och toxisk epidermal nekrolys (TEN) har rapporterats i samband med behandling med Benlysta (se avsnitt 4.4).
Tabell över biverkningar
Biverkningar är listade nedan enligt MedDRA-organklass och frekvens. De frekvenskategorier som används är:
Biverkningarna presenteras inom varje frekvensområde efter fallande allvarlighetsgrad. Angiven frekvens är den högsta som setts med någon av formuleringarna.
1 Se ”Beskrivning av valda biverkningar” och avsnitt 4.4 ”Infektioner” för mer information.
2 "Överkänslighetsreaktioner" omfattar en grupp av termer, bland annat anafylaxi, och kan manifesteras som en rad symtom, bland annat hypotoni, angioödem, urtikaria eller annat utslag, klåda och dyspné. "Infusions- eller injektionsrelaterade systemiska reaktioner" omfattar en grupp av termer och kan manifesteras som en rad symtom, bland annat bradykardi, myalgi, huvudvärk, utslag, urtikaria, feber, hypotoni, hypertoni, yrsel och artralgi. Eftersom tecken och symtom överlappar varandra, är det inte möjligt att skilja mellan överkänslighetsreaktioner och infusions- eller injektionsrelaterade systemiska reaktioner i alla fall.
3 Gäller endast den subkutana formuleringen.
Beskrivning av valda biverkningar
Nedan redovisade data har poolats från de tre kliniska studierna med intravenös administrering (endast 10 mg/ml kroppsvikt intravenös dos) och den kliniska studien med subkutan administrering som utfördes före godkännandet. "Infektioner" och "Psykiatriska tillstånd" inkluderar data från en studie utförd efter marknadsintroduktionen.
Infusions- eller injektionsrelaterade systemiska reaktioner och överkänslighet: Infusions- eller injektionsrelaterade systemiska reaktioner och överkänslighetsreaktioner observerades vanligtvis på administreringsdagen men akuta överkänslighetsreaktioner kan förekomma flera dagar efter dosering. Patienter med en bakgrund av multipla läkemedelsallergier eller signifikanta överkänslighetsreaktioner kan löpa ökad risk.
Incidensen av infusionsreaktioner och överkänslighetsreaktioner efter intravenös administrering inom 3 dagar efter en infusion var 12 % i gruppen som erhöll Benlysta och 10 % i gruppen som erhöll placebo, varvid 1,2 % respektive 0,3 % krävde att behandlingen avbröts permanent.
Infektioner: Den totala incidensen av infektioner i intravenös och subkutan SLE-studie före godkännandet var 63 % både i gruppen som fick Benlysta och i gruppen som fick placebo. Infektioner som förekom hos minst 3 % av Benlysta-patienterna och minst 1 % mer frekvent än hos patienter som fick placebo var virusinfektion i övre luftvägarna, bronkit och bakteriella urinvägsinfektioner. Allvarliga infektioner förekom hos 5 % av patienterna både i gruppen som fick Benlysta och i gruppen som fick placebo; allvarliga opportunistiska infektioner stod för 0,4 % respektive 0 % av dessa. Infektioner som ledde till att behandlingen avbröts förekom hos 0,7 % av patienterna som fick Benlysta och hos 1,5 % av patienterna som fick placebo. Några infektioner var allvarliga eller dödliga.
För information om infektioner observerade hos pediatriska patienter med SLE se avsnittet om Pediatrisk population nedan.
I SLE-nefritstudien fick patienterna bakgrundsbehandling av standardtyp (se avsnitt 5.1) och den totala incidensen av infektioner var 82 % hos patienterna som fick Benlysta jämfört med 76 % hos patienterna som fick placebo. Allvarliga infektioner förekom hos 13,8 % av patienterna som fick Benlysta och hos 17,0 % hos patienterna som fick placebo. Dödliga infektioner förekom hos 0,9 % (2/224) av patienterna som fick Benlysta och hos 0,9 % (2/224) av patienterna som fick placebo.
I en randomised, dubbelblind, 52-veckorsstudie på SLE som utfördes efter marknadsintroduktionen (BEL115467) och som bedömde mortalitet och specifika biverkningar hos vuxna, förekom allvarliga infektioner hos 3,7 % av patienterna som fick Benlysta 10 mg/kg kroppsvikt intravenöst och hos 4,1 % av patienterna som fick placebo. Dödliga infektioner (t.ex. pneumoni och sepsis) förekom dock hos 0,45 % (9/2002) av patienterna som behandlades med Benlysta och hos 0,15 % (3/2001) av patienterna som fick placebo, medan incidensen av mortalitet oavsett orsak var 0,50 % (10/2002) bland de patienter som behandlades med Benlysta och 0,40 % (8/2001) bland patienterna som fick placebo. De flesta dödliga infektionerna observerades under de första 20 behandlingsveckorna med Benlysta.
Psykiatriska tillstånd: I de kliniska SLE-studierna med intravenös administrering som utfördes före godkännandet rapporterades allvarliga psykiska händelser hos 1,2 % (8/674) av patienterna som fick Benlysta 10 mg/kg kroppsvikt och hos 0,4 % (3/675) av patienterna som fick placebo. Allvarlig depression rapporterades hos 0,6 % (4/674) av patienterna som fick Benlysta 10 mg/kg kroppsvikt och hos 0,3 % (2/675) av patienterna som fick placebo. Det var två suicid bland patienterna som behandlades med Benlysta (varav en som fick Benlysta 1 mg/kg kroppsvikt).
I en SLE-studie som utfördes efter marknadsintroduktionen rapporterades allvarliga psykiska händelser hos 1,0 % (20/2002) av patienterna som fick Benlysta och hos 0,3 % (6/2001) av patienterna som fick placebo. Allvarlig depression rapporterades hos 0,3 % (7/2002) av patienterna som fick Benlysta och hos < 0,1 % (1/2001) av patienterna som fick placebo. Den totala incidensen av allvarliga suicidtankar eller suicidalt beteende eller självskada utan suicidavsikt var 0,7 % (15/2002) hos patienter som fick Benlysta och 0,2 % (5/2001) i placebogruppen. Inget suicid rapporterades i någon av grupperna.
SLE-studierna med intravenös administrering ovan exkluderade inte patienter med psykiatriska tillstånd i anamnesen.
I den kliniska SLE-studien med subkutan administrering, som exkluderade patienter med anamnes på psykiatriska tillstånd, rapporterades allvarliga psykiska händelser hos 0,2 % (1/556) av patienterna som fick Benlysta och hos ingen av patienterna som fick placebo. Inga allvarliga depressionsrelaterade händelser eller suicid rapporterades i någon av grupperna.
Leukopeni: Incidensen av leukopeni rapporterad hos patienter med SLE som en biverkan var 3 % i gruppen som fick Benlysta och 2 % i gruppen som fick placebo.
Magtarmkanalen: Överviktiga patienter [Body Mass Index (BMI) > 30 kg/m2] med SLE som behandlades med intravenöst administrerat Benlysta rapporterade högre förekomst av illamående, kräkningar och diarré i förhållande till placebo och jämfört med normalviktiga patienter (BMI ≥ 18,5 till ≤ 30 kg/m2). Ingen av dessa gastrointestinala händelser hos överviktiga patienter var allvarliga.
Pediatrisk population
Biverkningsprofilen hos pediatriska patienter baseras på en studie med subkutan administrering och en studie med intravenös administrering.
I en 52-veckors, öppen studie, i vilken 25 pediatriska patienter (i åldern 10 till 17 år) med SLE fick Benlysta subkutant vid en exponering jämförbar med den hos vuxna (200 mg med ett fastställt doseringsintervall baserat på kroppsvikt, i tillägg till bakgrundsmedicinering), överensstämde säkerhetsprofilen hos pediatriska patienter som fick Benlysta subkutant med den kända säkerhetsprofilen för belimumab.
I en 52-veckors placebokontrollerad studie fick 53 patienter (i åldern 6 till 17 år) med SLE Benlysta (10 mg/kg kroppsvikt intravenöst på dag 0, 14 och 28 och därefter var 28:e dag i tillägg till bakgrundsbehandling). Inga nya säkerhetssignaler observerades hos den pediatriska populationen från 12 års ålder (n = 43). Säkerhetsdata för barn yngre än 12 år (n = 10) är begränsade.
InfektionerÅldersgruppen 5 till 11 år: infektioner rapporterades hos 8/10 patienter som fick Benlysta intravenöst och hos 3/3 patienter som fick placebo. Allvarliga infektioner rapporterades hos 1/10 patienter som fick Benlysta intravenöst och 2/3 patienter som fick placebo (se avsnitt 4.4).Åldersgruppen 12 till 17 år: infektioner rapporterades hos 22/43 patienter som fick Benlysta intravenöst och hos 25/37 patienter som fick placebo. Allvarliga infektioner rapporterades hos 3/43 patienter som fick Benlysta intravenöst och hos 3/37 patienter som fick placebo. I den öppna förlängningsfasen fanns en dödlig infektion hos en patient som fick Benlysta intravenöst.
Rapportering av misstänkta biverkningar
Det finns begränsad klinisk erfarenhet av överdosering av Benlysta. Biverkningar som rapporterats i samband med överdosering har varit i enlighet med de som förväntats för belimumab.
Två doser upp till 20 mg/kg kroppsvikt som administrerades med 21 dagars mellanrum med intravenös infusion har givits till människa utan någon ökning av förekomsten eller svårighetsgraden av biverkningarna jämfört med doser på 1, 4 eller 10 mg/kg kroppsvikt.
Vid fall av oavsiktlig överdosering ska patienten observeras noga och stödjande vård ges efter behov.
Hos patienter med SLE med anti-dsDNA-antikroppar övergick 16 % av patienterna som behandlades med Benlysta till att vara anti-dsDNA-negativa jämfört med 7 % av patienterna som erhöll placebo vid vecka 52.
Hos patienter med SLE med låga komplementnivåer sågs normalisering av C3 och C4 vid vecka 52 hos 38 % respektive 44 % av patienterna som erhöll Benlysta och hos 17 % respektive 18 % av patienterna som erhöll placebo.
Av antifosfolipidantikropparna, mättes endast antikardiolipinantikroppar. För antikardiolipin IgA-antikroppar iakttogs en 37 %-ig minskning vecka 52 (p = 0,0003), för antikardiolipin IgG-antikroppar sågs en 26 %-ig minskning vecka 52 (p = 0,0324) och för antikardiolipin IgM sågs en 25 %-ig minskning (p = NS, 0,46).
Förändringar i B-celler (inklusive undergrupperna: naiva, minnes- och aktiverade B‑celler samt plasmaceller) och av IgG nivåer som sker hos patienter med SLE under pågående behandling med intravenös belimumab, följdes i en långsiktig icke-kontrollerad förlängningsstudie. Efter sju och ett halvt års behandling (inklusive 72‑veckors ursprunglig studie) observerades en väsentlig och varaktig minskning av olika undergrupper av B-celler, vilket ledde till en 87 % medianminskning av naiva B‑celler, 67 % av minnes-B-celler, 99 % av aktiverade B-celler, samt 92 % medianminskning av plasmaceller efter mer är sju års behandling. Efter ca sju år observerades en 28 % medianminskning av IgG-nivåerna, varav 1,6 % av patienterna upplevde en minskning i IgG-nivåerna till under 400 mg/dl. Biverkningsrapporteringen förblev under studiens gång i allmänhet stabil, eller minskad.
Efter behandling med Benlysta (10 mg/kg kroppsvikt intravenöst) eller placebo hos patienter med aktiv SLE-nefrit förekom en ökning av serumnivåerna av IgG i samband med minskad proteinuri. I förhållande till placebo observerades mindre ökningar av serumnivån av IgG i Benlysta-gruppen såsom förväntas med tanke på belimumabs kända verkningsmekanism. Vecka 104 var den procentuella medianökningen av IgG från baslinjen 17 % för Benlysta och 37 % för placebo. Observerande minskningar av autoantikroppar, ökningar av komplement och minskningar av totalt antal cirkulerande B-celler och undergrupper av B-celler överensstämde med studierna på SLE.
I en studie med intravenös administrering på pediatriska med SLE patienter (6 till 17 år) överensstämde den farmakodynamiska responsen med den hos vuxna.
Immunogenicitet
Analyssensitivitet för neutraliserande antikroppar och icke-specifik antidrogantikropp (ADA) begränsas av förekomsten av aktivt läkemedel i de insamlade proverna. Den verkliga förekomsten av neutraliserande antikroppar och icke-specifik antidrogantikropp i studiepopulationen är därför inte känd.
I de två SLE-studierna i fas III på vuxna testade 4 av de 563 (0,7 %) patienter i gruppen som fick 10 mg/kg kroppsvikt och 27 av 559 (4,8 %) patienter i gruppen som fick 1 mg/kg kroppsvikt positiva för persistent förekomst av antikroppar mot belimumab.
Bland försökspersoner med upprepat positivt test i SLE-studierna i fas III upplevde 1/10 (10 %), 2/27 (7 %) och 1/4 (25 %) försökspersoner i placebogruppen, i gruppen som fick 1 mg/kg kroppsvikt respektive i gruppen som fick 10 mg/kg kroppsvikt infusionsreaktioner en doseringsdag. Ingen av dessa infusionsreaktioner var allvarlig utan alla var av lindrig till måttlig svårighetsgrad. Ett fåtal patienter med ADA rapporterade allvarliga/svåra biverkningar. Frekvenserna för infusionsreaktioner bland försökspersoner med upprepat positivt test var jämförbara med frekvenserna för ADA-negativa patienter med 75/552 (14 %), 78/523 (15 %) och 83/559 (15 %) i placebogruppen, gruppen som fick 1 mg/kg kroppsvikt respektive gruppen som fick 10 mg/kg kroppsvikt.
I studien på SLE-nefrit i vilken 224 vuxna patienter fick Benlysta 10 mg/kg kroppsvikt intravenöst påvisades inga anti-belimumabantikroppar.
I en studie med intravenös administrering på pediatriska patienter i åldern 6 till 17 år med SLE (n = 53) utvecklade ingen av patienterna antikroppar mot belimumab.
Klinisk effekt och säkerhet
SLE
Intravenös infusion hos vuxna
Effekten av intravenöst administrerat Benlysta utvärderades i 2 randomiserade, dubbelblinda, placebokontrollerade studier av 1 684 patienter med en klinisk diagnos på SLE enligt klassificeringskriterierna från American College of Rheumatology (ACR). Patienterna hade aktiv SLE-sjukdom definierad som en SELENA SLEDAI‑poäng (SELENA = Safety of Estrogens in Systemic Lupus Erythematosus National Assessment; SLEDAI = Systemic Lupus Erythematosus Disease Activity Index) på ≥ 6 och positiva testresultat för anti-nukleär antikropp (ANA) (ANA-titer ≥ 1:80 och/eller ett positivt anti-dsDNA [≥ 30 enheter/ml]) vid screening. Patienterna stod på en stabil SLE-behandlingsregim bestående av (enbart eller i kombination): kortikosteroider, antimalariamedel, NSAID-preparat eller andra immunosuppressiva medel. De två studierna hade samma design, förutom att BLISS‑76 var en 76‑veckorsstudie och BLISS‑52 var en 52‑veckorsstudie. I båda studierna utvärderades det primära effektmåttet vid 52 veckor.
Patienter som hade svår aktiv SLE nefrit och patienter som hade svår aktiv SLE i centrala nervsystemet (CNS) exkluderades.
BLISS-76 genomfördes främst i Nordamerika och Västeuropa. Bakgrundsläkemedel omfattade kortikosteroider (76 %; > 7,5 mg/dag 46 %), immunosuppressiva medel (56 %) och antimalariamedel (63 %).
BLISS-52 genomfördes i Sydamerika, Östeuropa, Asien och Australien. Bakgrundsläkemedel omfattade kortikosteroider (96 %; >7,5 mg/dag 69 %), immunosuppressiva medel (42 %) och antimalariamedel (67 %).
Vid baslinjen hade 52 % av patienterna hög sjukdomsaktivitet (SELENA SLEDAI-poäng ≥ 10), hos 59 % av patienterna var mukokutana, 60 % muskuloskeletala, 16 % hematologiska, 11 % renala och 9 % vaskulära organområden angripna (BILAG A eller B vid baslinjen).
Primärt effektmått var ett sammansatt effektmått (SLE Responder Index), för vilket svar definierades som att samtliga följande kriterier var uppfyllda vid vecka 52 jämfört med baslinjen:
≥ 4 poängs reduktion av SELENA-SLEDAI-poängen och
inget nytt BILAG (British Isles Lupus Assessment Group) A organdomänpoäng eller 2 nya BILAG B organdomänpoäng och
ingen försämring (< 0,30 poängs ökning) av PGA-poäng (Physician’s Global Assessment)
SLE Responder Index mäter förbättringar av SLE-sjukdomsaktiviteten utan försämring i något organsystem eller av patientens totala tillstånd.
Tabell 1. Svarsfrekvens vid vecka 52
1 Alla patienter fick standardterapi
I en poolad analys av de två studierna var procentandelen patienter som erhöll > 7,5 mg/dag prednison (eller motsvarande) vid baslinjen, och vars genomsnittliga kortikosteroiddos var minskad med minst 25 % till en dos motsvarande prednison ≤ 7,5 mg/dag under vecka 40 till och med 52, 17,9 % i gruppen som erhöll Benlysta och 12,3 % i gruppen som erhöll placebo (p = 0,0451).
Skov i SLE definierades enligt det modifierade SELENA SLEDAI SLE Flare Index. Mediantiden till det första skovet var fördröjd i den poolade gruppen som erhöll Benlysta jämfört med gruppen som erhöll placebo (110 jfrt med 84 dagar, hazardkvot = 0,84, p = 0,012). Svåra skov observerades hos 15,6 % i gruppen som erhöll Benlysta jämfört med 23,7 % i gruppen som erhöll placebo under de 52 observationsveckorna (observerad behandlingsskillnad = -8,1 %, hazardkvot = 0,64, p = 0,0011).
Benlysta visade en förbättring av trötthet jämfört med placebo mätt med FACIT-trötthetsskalan i den poolade analysen. Den genomsnittliga poängförändringen vid vecka 52 från baslinjen är signifikant större med Benlysta jämfört med placebo (4,70 jfrt med 2,46, p = 0,0006).
Univariat- och multivariatanalys av det primära effektmåttet i förspecificerade undergrupper visade att den största fördelen iakttogs hos patienter med högre sjukdomsaktivitet, inklusive patienter med SELENA SLEDAI-poäng ≥ 10 eller patienter som behövde steroider för att kontrollera sjukdomen eller patienter med låga komplementnivåer.
Post hoc-analys har identifierat undergrupper med högt svar, t.ex. patienter med lågt komplement och positivt anti-dsDNA vid baslinjen, se tabell 2 för resultatet för detta exempel på en grupp med hög sjukdomsaktivitet. Av dessa patienter hade 64,5 % SELENA SLEDAI-poäng ≥ 10 vid baslinjen.
Tabell 2. Patienter med lågt komplement och positivt anti-dsDNA vid baslinjen
1 Bland patienter med prednisondos > 7,5 mg/dag vid baslinjen
Effekt och säkerhet för Benlysta i kombination med en cykel med rituximab har studerats i en randomised, dubbelblind, placebokontrollerad 104-veckors studie i fas III på 292 patienter (BLISS-BELIEVE). Primärt effektmått var andelen patienter med sjukdomskontroll definierat som en SLEDAI-2K-poäng ≤ 2, uppnådd utan immunsuppressiva och med kortikosteroider vid en dos motsvarande ≤ 5 mg prednison/dag vecka 52. Detta uppnåddes hos 19,4 % (n = 28/144) av patienterna behandlade med Benlysta i kombination med rituximab och hos 16,7 % (n = 12/72) av patienterna behandlade med Benlysta i kombination med placebo (oddskvot 1,27, 95 % KI: 0,60; 2,71, p = 0,5342). En högre frekvens av biverkningar (91,7 % jämfört med 87,5 %), allvarliga biverkningar (22,2 % jämfört med 13,9 %) och allvarliga infektioner (9,0 % jämfört med 2,8 %) observerades hos patienter behandlade med Benlysta i kombination med rituximab jämfört med Benlysta i kombination med placebo.
SLE-nefrit
I SLE-studien med intravenös administrering, som beskrivs ovan, uteslöts patienter som hade svår aktiv SLE-nefrit, men 11 % av patienterna hade njurengagemang vid baslinjen (baserat på BILAG A eller B-bedömning). Följande studie på aktiv SLE‑nefrit har utförts.
Effekt och säkerhet för Benlysta 10 mg/kg kroppsvikt administrerat intravenöst över en 1‑timmesperiod på dag 0, 14, 28 och därefter var 28:e dag utvärderades i en 104‑veckors randomiserad (1:1), dubbelblind, placebokontrollerad fas III-studie (BEL114054) på 448 patienter med aktiv SLE-nefrit. Patienterna hade en klinisk diagnos på SLE, enligt ACR-klassificeringskriterier, biopsiverifierad SLE-nefrit av klass III, IV och/eller V, och aktiv njursjukdom vid screening som krävde standardbehandling. Standardbehandling inkluderade kortikosteroider, 0 till 3 intravenösa administreringar med metylprednisolon (500 till 1000 mg per administrering), följt av oral prednison 0.5 till1 mg/kg/dag med en total daglig dos ≤ 60 mg/dag och nedtrappat till ≤ 10 mg/dag vid vecka 24, med:
mykofenolatmofetil 1 till 3 g/dag oralt eller mykofenolatnatrium 720 till 2160 mg/dag oralt för induktion och underhåll, eller
cyklofosfamid 500 mg intravenöst varannan vecka (totalt 6 infusioner) för induktion följt av oral azatioprin med en måldos på 2 mg/kg/dag för underhåll.
Studien utfördes i Asien, Nordamerika, Sydamerika och Europa. Patienternas medianålder var 31 år (intervall: 18 till 77 år); flertalet (88 %) var kvinnor.
Primärt effektmått var partiell renal respons (Primary Efficacy Renal Response, PERR) vecka 104 definierat som ett svar vid vecka 100 bekräftat med en upprepad mätning vecka 104 av följande parametrar: U-protein:kreatininkvot (uPCR) ≤ 700 mg/g (79,5 mg/mmol) och beräknad glomerulär filtrationshastighet (eGFR) ≥ 60 ml/min/1,73 m2 eller ingen sänkning av eGFR på > 20 % från värdet före skov.
De viktigaste sekundära effektmåtten var:
Komplett renal respons (Complete Renal Response, CRR) definierat som ett svar vecka 100 bekräftat med en upprepad mätning vecka 104 av följande parametrar: uPCR < 500 mg/g (56,8 mg/mmol) och eGFR ≥ 90 ml/min/1,73 m2 eller ingen sänkning av eGFR på > 10 % från värdet före skov.
PERR vecka 52.
Tid till njurrelaterad händelse eller död (njurrelaterad händelse definierad som första förekomst av terminal njursjukdom, fördubbling av serumkreatinin, renal försämring [definierad som ökad proteinuri och/eller njurfunktionsnedsättning], eller behandling med särskild njurrelaterad terapi).
För effektmåtten PERR och CRR måste steroidbehandlingen ha sänkts till ≤ 10 mg/dag från vecka 24 för att patienten skulle betraktas som responders. För dessa effektmått betraktades patienter som avbröt behandlingen i förtid, fick förbjudet läkemedel eller avbröt deltagandet i studien i förtid som icke-responders.
Andelen patienter som uppnådde PERR vecka 104 var signifikant högre i gruppen som fick Benlysta jämfört med placebo. De viktigaste sekundära effektmåtten visade också signifikant förbättring med Benlysta jämfört med placebo (tabell 3).
Tabell 3. Effektresultat hos vuxna patienter med SLE-nefrit
En numeriskt större procentandel patienter som fick Benlysta uppnådde PERR från vecka 24 jämfört med placebo och denna behandlingsskillnad bibehölls till och med vecka 104. Från vecka 12 uppnådde en större procentandel patienter som fick Benlysta CRR jämfört med placebo och den numeriska skillnaden bibehölls till och med vecka 104 (figur 1).
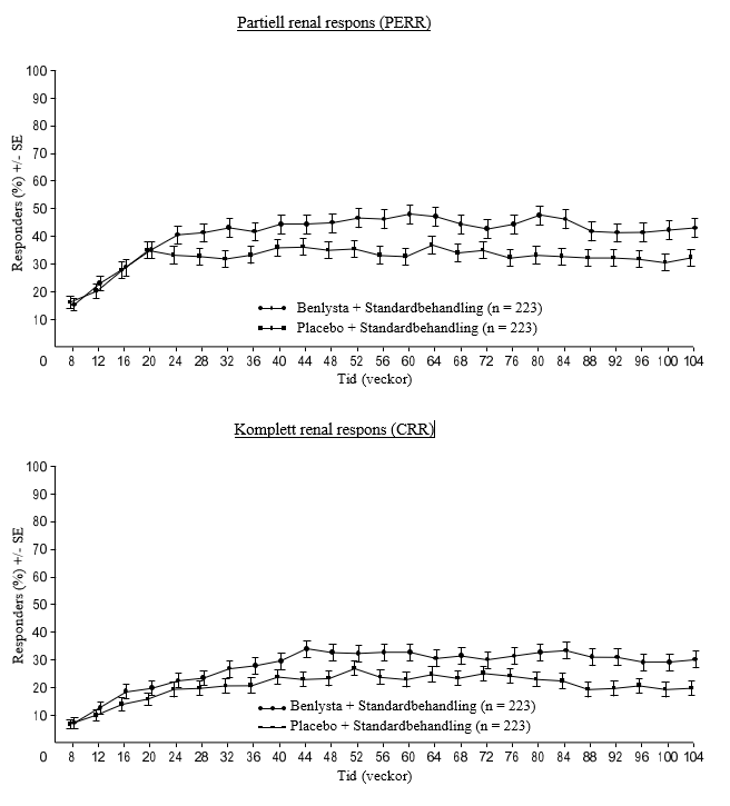
Figur 1. Svarsfrekvensen hos vuxna med SLE-nefrit per besök
I beskrivande subgruppsanalyser undersöktes viktiga effektmått (PERR, CRR och tid till njurrelaterad händelse eller död) per induktionsregim (mykofenolat eller cyklofosfamid) och biopsiklass (klass III eller IV, klass III + V eller klass IV + V eller klass V) (figur 2).
Figur 2. Oddskvot för PERR och CRR vecka 104 för olika subgrupper
Ålder och etniskt ursprung
Ålder
Det fanns inga observerade skillnader i effekt och säkerhet hos SLE-patienter ≥ 65 år som fick Benlysta intravenöst eller subkutant jämfört med den allmänna populationen i placebokontrollerade studier. Antalet patienter ≥ 65 år (62 patienter för effekt och 219 för säkerhet) är dock inte tillräckligt för att avgöra om de reagerar annorlunda än yngre patienter.
Svarta patienter
Benlysta administrerades intravenöst till svarta patienter med SLE i en randomiserad (2:1), dubbelblind, placebo-kontrollerad, 52 veckors fas III/IV studie (EMBRACE). Effekt utvärderades hos 448 patienter. Andelen svarta patienter som uppnådde ett SRI-S2K värde var högre hos patienter som fick Benlysta men skillnaden var inte statistisk signifikant jämfört med placebo. Men, i överensstämmelse med resultat från andra studier, av svarta patienter med hög sjukdomsaktivitet (lågt komplement och positivt anti-dsDNA vid baslinje, n = 141) var SRI-S2K värdet 45,1 % för Benlysta 10 mg/kg kroppsvikt jämfört med 24,0 % hos placebo (oddskvot 3,00; 95 % KI: 1,35, 6,68).
Pediatrisk population
SLE
Säkerhet och effekt för Benlysta utvärderades i en randomiserad, dubbelblind, placebokontrollerad 52‑veckorsstudie (PLUTO) på 93 pediatriska patienter med en klinisk diagnos på SLE enligt ACR:s klassificeringskriterier. Patienterna hade aktiv SLE, definierad som en SELENA-SLEDAI-poäng ≥ 6 och med positivitet för autoantikroppar vid screening i enlighet med beskrivningen av studierna på vuxna. Patienterna stod på en stabil behandlingsregim för SLE (standardvård), och inklusions- och exklusionskriterierna var desamma som i studierna på vuxna. Patienter som hade svår aktiv SLE-nefrit, svår aktiv SLE i CNS, primär immunbrist, IgA-brist eller akuta eller kroniska infektioner som krävde hantering utesluts från studien. Denna studie utfördes i USA, Sydamerika, Europa och Asien. Patienternas medianålder var 15 år (intervall 6 till 17 år). I åldersgruppen 5 till 11 år (n = 13) varierar SELENA-SLEDAI-poäng från 4 till 13, och i åldersgruppen 12 till 17 år (n = 79) SELENA-SLEDAI-poäng sträcker sig från 4 till 20. Flertalet (94,6 %) patienter var flickor. Studien hade inte styrka för statistiska jämförelser och alla data är beskrivande.
Det primära effektmåttet var SLE Responder Index (SRI) vecka 52 i enlighet med beskrivningen av studierna med intravenös administrering till vuxna. Andelen pediatriska patienter som uppnådde ett SRI-svar var större bland de patienter som fick Benlysta än bland de som fick placebo. Svaret för de effektmåttets individuella komponenter överensstämde med SRI-svaret (tabell 4).
Tabell 4. Pediatrisk svarsfrekvens vecka 52
1 Analyserna exkluderade patienter som saknade bedömning vid baslinjen för någon av komponenterna (1 för placebo)
Bland de patienter som drabbades av ett svårt skov var medianstudiedagen för det första svåra skovet 150 i Benlystagruppen och dag 113 i placebogruppen. Svåra skov observerades i 17,0 % av Benlysta-gruppen jämfört med 35,0 % av placebogruppen under de 52 veckorna av observationen (observerad behandlingsskillnad = 18,0 %; riskkvot = 0,36, 95 % KI: 0,15, 0,86). Detta överensstämde med fynden i de kliniska studierna med intravenös administrering till vuxna.
Vid användning av Paediatric Rheumatology International Trials Organisation/American College of Rheumatology (PRINTO/ACR) Juvenile SLE Response Evaluation Criteria uppvisade en större andel av de pediatriska patienter som fick Benlysta förbättringar än de som fick placebo (tabell 5).
Tabell 5. PRINTO/ACR-svarsfrekvens vecka 52
1De fem PRINTO/ACR-komponenterna var procentuell förändring vecka 52 av:
Parent´s Global Assessment (Parent GA), PGA, SELENA SLEDAI-poäng, dygnsproteinuri och poäng för domänen fysisk funktion i Paediatric Quality of Life Inventory – Generic Core Scale (PedsQL GC).
De intravenösa farmakokinetiska parametrar som återges nedan baseras på uppskattningar av populationsparametrar för de 563 patienter med SLE som erhöll Benlysta 10 mg/kg kroppsvikt i de två fas III-studierna.
Absorption
Benlysta administreras genom intravenös infusion. Maximala koncentrationer av belimumab i serum iakttogs i allmänhet när infusionen avslutades eller kort därefter. Maximal serumkoncentration var 313 µg/ml (intervall: 173–573 µg/ml) baserat på simulering av koncentrations-tidsprofilen med hjälp av de typiska parametervärdena för den populationsfarmakokinetiska modellen.
Distribution
Belimumab distribuerades till vävnader med en distributionsvolym vid steady state (Vss) på cirka 5 liter.
Metabolism
Belimumab är ett protein för vilket den förväntade metaboliska vägen är nedbrytning till små peptider och individuella aminosyror genom brett distribuerade proteolytiska enzymer. Klassiska biotransformeringsstudier har inte utförts.
Eliminering
Belimumabkoncentrationer i serum minskade på ett bi-exponentiellt sätt med en distributionshalveringstid på 1,75 dagar och en terminal halveringstid på 19,4 dagar. Systemisk clearance var 215 ml/dag (intervall: 69–622 ml/dag).
Studie på SLE-nefrit
En populationsfarmakokinetisk analys utfördes på 224 vuxna patienter med SLE-nefrit som fick Benlysta 10 mg/kg kroppsvikt intravenöst (dag 0, 14, 28 och därefter var 28:e dag i upp till 104 veckor). Hos patienter med SLE-nefrit var belimumab-clearance, på grund av aktiv njursjukdom, initialt högre än i studier på SLE. Efter 24 veckors behandling och under återstoden av studien var clearance och exponering för belimumab ungefär desamma som observerades hos vuxna patienter med SLE som fick belimumab 10 mg/kg kroppsvikt intravenöst.
Särskilda patientpopulationer
Pediatrisk population: De farmakokinetiska parametrarna bygger på individuella parameterestimat från en populationsfarmakokinetisk analys av 53 patienter från en studie på pediatriska patienter med SLE. Efter intravenös administrering av 10 mg/kg kroppsvikt på dag 0, 14 och 28, och därefter med 4-veckorsintervall, var belimumabexponeringen likartad hos pediatriska och vuxna SLE-patienter. Geometriska medelvärden vid steady-state för Cmax, Cmin och AUC var 305 μg/ml, 42 μg/ml, och 2569 dygn × μg/ml i åldersgruppen 5 till 11 år och 317 μg/ml, 52 μg/ml, och 3126 dygn × μg/ml i åldersgruppen 12 till 17 år (n = 43).
Äldre: Benlysta har studerats hos ett begränsat antal äldre patienter. I den totala intravenösa SLE-studiepopulationen påverkade ålder inte belimumabexponering i den populationsfarmakokinetiska analysen. Mot bakgrund av det lilla antalet försökspersoner som var ≥65 år kan en effekt av ålder inte slutgiltigt uteslutas.
Nedsatt njurfunktion: Inga specifika studier har genomförts för att undersöka effekterna av nedsatt njurfunktion på farmakokinetiken för belimumab. Under den kliniska utvecklingen studerades Benlysta hos patienter med SLE och nedsatt njurfunktion (261 försökspersoner med måttligt nedsatt njurfunktion, kreatininclearance ≥ 30 och < 60 ml/min; 14 försökspersoner med svårt nedsatt njurfunktion, kreatininclearance ≥ 15 och < 30 ml/min). Minskningen i systemisk clearance som uppskattats genom populationsfarmakokinetisk modellering för patienter i mitten av kategorierna för njurfunktionsnedsättning i förhållande till patienter med median kreatininclearance i den farmakokinetiska populationen (79,9 ml/min) var 1,4 % för lindrigt (75 ml/min), 11,7 % för måttligt (45 ml/min) och 24,0 % för svårt (22,5 ml/min) nedsatt njurfunktion. Även om proteinuri (≥ 2 g/dag) ökade clearance av belimumab och minskningar av kreatininclearance minskade clearence av belimumab var dessa effekter inom det förväntade variationsintervallet. Därför rekommenderas ingen dosjustering för patienter med nedsatt njurfunktion.
Nedsatt leverfunktion: Inga specifika studier har genomförts för att undersöka effekterna av nedsatt leverfunktion på farmakokinetiken för Benlysta. IgG1‑molekyler som t.ex. belimumab kataboliseras genom brett distribuerade proteolytiska enzymer som inte är begränsade till levervävnad, varför det är osannolikt att förändringar av leverfunktionen har någon effekt på elimineringen av belimumab.
Kroppsvikt/BMI
Viktnormaliserad belimumabdosering leder till minskad exponering för underviktiga försökspersoner (BMI < 18,5) och till ökad exponering för överviktiga försökspersoner (BMI ≥ 30). BMI-beroende förändringar av exponeringen ledde inte till motsvarande förändringar av effekten. Ökad exponering för överviktiga försökspersoner som erhöll belimumab 10 mg/kg kroppsvikt ledde inte till någon total ökning av biverkningsfrekvenserna eller allvarliga biverkningar jämfört med överviktiga försökspersoner som erhöll placebo. Högre frekvenser av illamående, kräkningar och diarré iakttogs dock hos överviktiga patienter. Ingen av dessa gastrointestinala händelser hos överviktiga patienter var allvarliga.
Ingen dosjustering rekommenderas för underviktiga eller överviktiga patienter.
Övergång från intravenös till subkutan administrering
SLE
Patienter med SLE som gick över från 10 mg/kg kroppsvikt intravenöst var 4:e vecka till 200 mg subkutant en gång i veckan med ett 1‑4 veckors bytesintervall hade belimumabkoncentrationer i serum före dosering vid den första subkutana dosen som låg nära deras slutliga subkutana dalkoncentrationer vid steady state (se avsnitt 4.2). Baserat på simuleringar med populationsfarmakokinetiska parametrar var de genomsnittliga belimumabkoncentrationerna för 200 mg subkutant varje vecka (hos vuxna patienter och hos pediatriska patienter i åldern 5 till under 18 år som vägde ≥ 50 kg) var 10:e dag (hos pediatriska patienter i åldern 5 till under 18 år som vägde 30 till < 50 kg) eller varannan vecka (hos pediatriska patienter i åldern 5 till under 18 år som vägde 15 till < 30 kg) likartade dem för 10 mg/kg kroppsvikt var 4:e vecka.
SLE-nefrit
En till 2 veckor efter att de första 2 intravenösa doserna har givits förutses patienter med SLE-nefrit som går över från 10 mg/kg kroppsvikt intravenöst till 200 mg subkutant en gång i veckan ha ungefär samma genomsnittliga serumkoncentrationer av belimumab som patienter som ges 10 mg/kg kroppsvikt intravenöst var 4:e vecka baserat på populationsfarmakokinetiska simuleringar (se avsnitt 4.2).
Icke-kliniska uppgifter visar inte några särskilda risker för människa baserat på studier av allmäntoxicitet och reproduktionstoxicitet.
Intravenös och subkutan administrering till apor resulterade i den förväntade minskningen av antalet perifera B-celler och B-celler i lymfvävnad utan några tillhörande toxikologiska fynd.
Reproduktionsstudier har utförts på dräktiga cynomolgusapor som erhöll belimumab 150 mg/kg kroppsvikt med intravenös infusion (cirka 9 gånger den förväntade maximala humana kliniska exponeringen) varannan vecka i upp till 21 veckor och behandling med belimumab förknippades inte med direkta eller indirekta skadliga effekter med hänsyn till maternell toxicitet, utvecklingstoxicitet eller teratogenicitet. Behandlingsrelaterade fynd var begränsade till den förväntade reversibla minskningen av B-celler hos såväl moder som ungar och reversibel minskning av IgM hos apungar. B-cellsantalen återhämtade sig efter belimumabbehandlingens slut vid omkring 1 år post partum hos vuxna apor och vid 3 levnadsmånader hos apungar. IgM-nivåerna hos ungar som exponerats för belimumab in utero återhämtade sig vid 6 månaders ålder.
Effekterna på manlig och kvinnlig fertilitet hos apor bedömdes i 6-månaders toxikologistudier med upprepad dosering av belimumab med doser på upp till och med 50 mg/kg kroppsvikt. Inga behandlingsrelaterade förändringar noterades i de manliga och kvinnliga reproduktionsorganen hos sexuellt mogna djur. En informell bedömning av menstruationscykler hos honor visade inga belimumabrelaterade förändringar.
Eftersom belimumab är en monoklonal antikropp har inga gentoxicitetsstudier utförts. Inga karcinogenicitetsstudier eller fertilitetsstudier (manliga eller kvinnliga) har utförts.
Farmakoterapeutisk grupp: Immunsuppressiva medel, monoklonala antikroppar, ATC-kod: L04AG04
Verkningsmekanism
Belimumab är en human IgG1λ monoklonal antikropp specifik för lösligt humant BLyS-protein (B Lymphocyte Stimulator) (även benämnt BAFF och TNFSF13B). Belimumab blockerar bindningen av lösligt BLyS, en B-cellsöverlevnadsfaktor, till dess receptorer på B-celler. Belimumab binder inte B-celler direkt utan genom att binda BLyS hämmar belimumab överlevnaden av B-celler, inklusive autoreaktiva B-celler, och minskar differentieringen av B-celler till immunglobulinproducerande plasmaceller.
BLyS-nivåerna är förhöjda hos patienter med SLE och andra autoimmuna sjukdomar. Det finns ett samband mellan BLyS-nivåer i plasma och sjukdomsaktivitet för SLE. Det är inte känt i vilket förhållande BLyS-nivåerna bidrar till patofysiologin hos SLE.
Farmakodynamisk effekt
Förändringar av biomarkörer sågs i kliniska prövningar med intravenöst administrerat Benlysta. Hos vuxna patienter med SLE med hypergammaglobulinemi iakttogs normalisering av IgG-nivåerna vid vecka 52 hos 49 % och 20 % av patienterna som erhöll Benlysta respektive placebo.
Hos patienter med SLE med anti-dsDNA-antikroppar övergick 16 % av patienterna som behandlades med Benlysta till att vara anti-dsDNA-negativa jämfört med 7 % av patienterna som erhöll placebo vid vecka 52.
Hos patienter med SLE med låga komplementnivåer sågs normalisering av C3 och C4 vid vecka 52 hos 38 % respektive 44 % av patienterna som erhöll Benlysta och hos 17 % respektive 18 % av patienterna som erhöll placebo.
Av antifosfolipidantikropparna, mättes endast antikardiolipinantikroppar. För antikardiolipin IgA-antikroppar iakttogs en 37 %-ig minskning vecka 52 (p = 0,0003), för antikardiolipin IgG-antikroppar sågs en 26 %-ig minskning vecka 52 (p = 0,0324) och för antikardiolipin IgM sågs en 25 %-ig minskning (p = NS, 0,46).
Förändringar i B-celler (inklusive undergrupperna: naiva, minnes- och aktiverade B‑celler samt plasmaceller) och av IgG nivåer som sker hos patienter med SLE under pågående behandling med intravenös belimumab, följdes i en långsiktig icke-kontrollerad förlängningsstudie. Efter sju och ett halvt års behandling (inklusive 72‑veckors ursprunglig studie) observerades en väsentlig och varaktig minskning av olika undergrupper av B-celler, vilket ledde till en 87 % medianminskning av naiva B‑celler, 67 % av minnes-B-celler, 99 % av aktiverade B-celler, samt 92 % medianminskning av plasmaceller efter mer är sju års behandling. Efter ca sju år observerades en 28 % medianminskning av IgG-nivåerna, varav 1,6 % av patienterna upplevde en minskning i IgG-nivåerna till under 400 mg/dl. Biverkningsrapporteringen förblev under studiens gång i allmänhet stabil, eller minskad.
Efter behandling med Benlysta (10 mg/kg kroppsvikt intravenöst) eller placebo hos patienter med aktiv SLE-nefrit förekom en ökning av serumnivåerna av IgG i samband med minskad proteinuri. I förhållande till placebo observerades mindre ökningar av serumnivån av IgG i Benlysta-gruppen såsom förväntas med tanke på belimumabs kända verkningsmekanism. Vecka 104 var den procentuella medianökningen av IgG från baslinjen 17 % för Benlysta och 37 % för placebo. Observerande minskningar av autoantikroppar, ökningar av komplement och minskningar av totalt antal cirkulerande B-celler och undergrupper av B-celler överensstämde med studierna på SLE.
I en studie med intravenös administrering på pediatriska med SLE patienter (6 till 17 år) överensstämde den farmakodynamiska responsen med den hos vuxna.
Immunogenicitet
Analyssensitivitet för neutraliserande antikroppar och icke-specifik antidrogantikropp (ADA) begränsas av förekomsten av aktivt läkemedel i de insamlade proverna. Den verkliga förekomsten av neutraliserande antikroppar och icke-specifik antidrogantikropp i studiepopulationen är därför inte känd.
I de två SLE-studierna i fas III på vuxna testade 4 av de 563 (0,7 %) patienter i gruppen som fick 10 mg/kg kroppsvikt och 27 av 559 (4,8 %) patienter i gruppen som fick 1 mg/kg kroppsvikt positiva för persistent förekomst av antikroppar mot belimumab.
Bland försökspersoner med upprepat positivt test i SLE-studierna i fas III upplevde 1/10 (10 %), 2/27 (7 %) och 1/4 (25 %) försökspersoner i placebogruppen, i gruppen som fick 1 mg/kg kroppsvikt respektive i gruppen som fick 10 mg/kg kroppsvikt infusionsreaktioner en doseringsdag. Ingen av dessa infusionsreaktioner var allvarlig utan alla var av lindrig till måttlig svårighetsgrad. Ett fåtal patienter med ADA rapporterade allvarliga/svåra biverkningar. Frekvenserna för infusionsreaktioner bland försökspersoner med upprepat positivt test var jämförbara med frekvenserna för ADA-negativa patienter med 75/552 (14 %), 78/523 (15 %) och 83/559 (15 %) i placebogruppen, gruppen som fick 1 mg/kg kroppsvikt respektive gruppen som fick 10 mg/kg kroppsvikt.
I studien på SLE-nefrit i vilken 224 vuxna patienter fick Benlysta 10 mg/kg kroppsvikt intravenöst påvisades inga anti-belimumabantikroppar.
I en studie med intravenös administrering på pediatriska patienter i åldern 6 till 17 år med SLE (n = 53) utvecklade ingen av patienterna antikroppar mot belimumab.
Klinisk effekt och säkerhet
SLE
Intravenös infusion hos vuxna
Effekten av intravenöst administrerat Benlysta utvärderades i 2 randomiserade, dubbelblinda, placebokontrollerade studier av 1 684 patienter med en klinisk diagnos på SLE enligt klassificeringskriterierna från American College of Rheumatology (ACR). Patienterna hade aktiv SLE-sjukdom definierad som en SELENA SLEDAI‑poäng (SELENA = Safety of Estrogens in Systemic Lupus Erythematosus National Assessment; SLEDAI = Systemic Lupus Erythematosus Disease Activity Index) på ≥ 6 och positiva testresultat för anti-nukleär antikropp (ANA) (ANA-titer ≥ 1:80 och/eller ett positivt anti-dsDNA [≥ 30 enheter/ml]) vid screening. Patienterna stod på en stabil SLE-behandlingsregim bestående av (enbart eller i kombination): kortikosteroider, antimalariamedel, NSAID-preparat eller andra immunosuppressiva medel. De två studierna hade samma design, förutom att BLISS‑76 var en 76‑veckorsstudie och BLISS‑52 var en 52‑veckorsstudie. I båda studierna utvärderades det primära effektmåttet vid 52 veckor.
Patienter som hade svår aktiv SLE nefrit och patienter som hade svår aktiv SLE i centrala nervsystemet (CNS) exkluderades.
BLISS-76 genomfördes främst i Nordamerika och Västeuropa. Bakgrundsläkemedel omfattade kortikosteroider (76 %; > 7,5 mg/dag 46 %), immunosuppressiva medel (56 %) och antimalariamedel (63 %).
BLISS-52 genomfördes i Sydamerika, Östeuropa, Asien och Australien. Bakgrundsläkemedel omfattade kortikosteroider (96 %; >7,5 mg/dag 69 %), immunosuppressiva medel (42 %) och antimalariamedel (67 %).
Vid baslinjen hade 52 % av patienterna hög sjukdomsaktivitet (SELENA SLEDAI-poäng ≥ 10), hos 59 % av patienterna var mukokutana, 60 % muskuloskeletala, 16 % hematologiska, 11 % renala och 9 % vaskulära organområden angripna (BILAG A eller B vid baslinjen).
Primärt effektmått var ett sammansatt effektmått (SLE Responder Index), för vilket svar definierades som att samtliga följande kriterier var uppfyllda vid vecka 52 jämfört med baslinjen:
≥ 4 poängs reduktion av SELENA-SLEDAI-poängen och
inget nytt BILAG (British Isles Lupus Assessment Group) A organdomänpoäng eller 2 nya BILAG B organdomänpoäng och
ingen försämring (< 0,30 poängs ökning) av PGA-poäng (Physician’s Global Assessment)
SLE Responder Index mäter förbättringar av SLE-sjukdomsaktiviteten utan försämring i något organsystem eller av patientens totala tillstånd.
Tabell 1. Svarsfrekvens vid vecka 52
1 Alla patienter fick standardterapi
I en poolad analys av de två studierna var procentandelen patienter som erhöll > 7,5 mg/dag prednison (eller motsvarande) vid baslinjen, och vars genomsnittliga kortikosteroiddos var minskad med minst 25 % till en dos motsvarande prednison ≤ 7,5 mg/dag under vecka 40 till och med 52, 17,9 % i gruppen som erhöll Benlysta och 12,3 % i gruppen som erhöll placebo (p = 0,0451).
Skov i SLE definierades enligt det modifierade SELENA SLEDAI SLE Flare Index. Mediantiden till det första skovet var fördröjd i den poolade gruppen som erhöll Benlysta jämfört med gruppen som erhöll placebo (110 jfrt med 84 dagar, hazardkvot = 0,84, p = 0,012). Svåra skov observerades hos 15,6 % i gruppen som erhöll Benlysta jämfört med 23,7 % i gruppen som erhöll placebo under de 52 observationsveckorna (observerad behandlingsskillnad = -8,1 %, hazardkvot = 0,64, p = 0,0011).
Benlysta visade en förbättring av trötthet jämfört med placebo mätt med FACIT-trötthetsskalan i den poolade analysen. Den genomsnittliga poängförändringen vid vecka 52 från baslinjen är signifikant större med Benlysta jämfört med placebo (4,70 jfrt med 2,46, p = 0,0006).
Univariat- och multivariatanalys av det primära effektmåttet i förspecificerade undergrupper visade att den största fördelen iakttogs hos patienter med högre sjukdomsaktivitet, inklusive patienter med SELENA SLEDAI-poäng ≥ 10 eller patienter som behövde steroider för att kontrollera sjukdomen eller patienter med låga komplementnivåer.
Post hoc-analys har identifierat undergrupper med högt svar, t.ex. patienter med lågt komplement och positivt anti-dsDNA vid baslinjen, se tabell 2 för resultatet för detta exempel på en grupp med hög sjukdomsaktivitet. Av dessa patienter hade 64,5 % SELENA SLEDAI-poäng ≥ 10 vid baslinjen.
Tabell 2. Patienter med lågt komplement och positivt anti-dsDNA vid baslinjen
1 Bland patienter med prednisondos > 7,5 mg/dag vid baslinjen
Effekt och säkerhet för Benlysta i kombination med en cykel med rituximab har studerats i en randomised, dubbelblind, placebokontrollerad 104-veckors studie i fas III på 292 patienter (BLISS-BELIEVE). Primärt effektmått var andelen patienter med sjukdomskontroll definierat som en SLEDAI-2K-poäng ≤ 2, uppnådd utan immunsuppressiva och med kortikosteroider vid en dos motsvarande ≤ 5 mg prednison/dag vecka 52. Detta uppnåddes hos 19,4 % (n = 28/144) av patienterna behandlade med Benlysta i kombination med rituximab och hos 16,7 % (n = 12/72) av patienterna behandlade med Benlysta i kombination med placebo (oddskvot 1,27, 95 % KI: 0,60; 2,71, p = 0,5342). En högre frekvens av biverkningar (91,7 % jämfört med 87,5 %), allvarliga biverkningar (22,2 % jämfört med 13,9 %) och allvarliga infektioner (9,0 % jämfört med 2,8 %) observerades hos patienter behandlade med Benlysta i kombination med rituximab jämfört med Benlysta i kombination med placebo.
SLE-nefrit
I SLE-studien med intravenös administrering, som beskrivs ovan, uteslöts patienter som hade svår aktiv SLE-nefrit, men 11 % av patienterna hade njurengagemang vid baslinjen (baserat på BILAG A eller B-bedömning). Följande studie på aktiv SLE‑nefrit har utförts.
Effekt och säkerhet för Benlysta 10 mg/kg kroppsvikt administrerat intravenöst över en 1‑timmesperiod på dag 0, 14, 28 och därefter var 28:e dag utvärderades i en 104‑veckors randomiserad (1:1), dubbelblind, placebokontrollerad fas III-studie (BEL114054) på 448 patienter med aktiv SLE-nefrit. Patienterna hade en klinisk diagnos på SLE, enligt ACR-klassificeringskriterier, biopsiverifierad SLE-nefrit av klass III, IV och/eller V, och aktiv njursjukdom vid screening som krävde standardbehandling. Standardbehandling inkluderade kortikosteroider, 0 till 3 intravenösa administreringar med metylprednisolon (500 till 1000 mg per administrering), följt av oral prednison 0.5 till1 mg/kg/dag med en total daglig dos ≤ 60 mg/dag och nedtrappat till ≤ 10 mg/dag vid vecka 24, med:
mykofenolatmofetil 1 till 3 g/dag oralt eller mykofenolatnatrium 720 till 2160 mg/dag oralt för induktion och underhåll, eller
cyklofosfamid 500 mg intravenöst varannan vecka (totalt 6 infusioner) för induktion följt av oral azatioprin med en måldos på 2 mg/kg/dag för underhåll.
Studien utfördes i Asien, Nordamerika, Sydamerika och Europa. Patienternas medianålder var 31 år (intervall: 18 till 77 år); flertalet (88 %) var kvinnor.
Primärt effektmått var partiell renal respons (Primary Efficacy Renal Response, PERR) vecka 104 definierat som ett svar vid vecka 100 bekräftat med en upprepad mätning vecka 104 av följande parametrar: U-protein:kreatininkvot (uPCR) ≤ 700 mg/g (79,5 mg/mmol) och beräknad glomerulär filtrationshastighet (eGFR) ≥ 60 ml/min/1,73 m2 eller ingen sänkning av eGFR på > 20 % från värdet före skov.
De viktigaste sekundära effektmåtten var:
Komplett renal respons (Complete Renal Response, CRR) definierat som ett svar vecka 100 bekräftat med en upprepad mätning vecka 104 av följande parametrar: uPCR < 500 mg/g (56,8 mg/mmol) och eGFR ≥ 90 ml/min/1,73 m2 eller ingen sänkning av eGFR på > 10 % från värdet före skov.
PERR vecka 52.
Tid till njurrelaterad händelse eller död (njurrelaterad händelse definierad som första förekomst av terminal njursjukdom, fördubbling av serumkreatinin, renal försämring [definierad som ökad proteinuri och/eller njurfunktionsnedsättning], eller behandling med särskild njurrelaterad terapi).
För effektmåtten PERR och CRR måste steroidbehandlingen ha sänkts till ≤ 10 mg/dag från vecka 24 för att patienten skulle betraktas som responders. För dessa effektmått betraktades patienter som avbröt behandlingen i förtid, fick förbjudet läkemedel eller avbröt deltagandet i studien i förtid som icke-responders.
Andelen patienter som uppnådde PERR vecka 104 var signifikant högre i gruppen som fick Benlysta jämfört med placebo. De viktigaste sekundära effektmåtten visade också signifikant förbättring med Benlysta jämfört med placebo (tabell 3).
Tabell 3. Effektresultat hos vuxna patienter med SLE-nefrit
En numeriskt större procentandel patienter som fick Benlysta uppnådde PERR från vecka 24 jämfört med placebo och denna behandlingsskillnad bibehölls till och med vecka 104. Från vecka 12 uppnådde en större procentandel patienter som fick Benlysta CRR jämfört med placebo och den numeriska skillnaden bibehölls till och med vecka 104 (figur 1).
Figur 1. Svarsfrekvensen hos vuxna med SLE-nefrit per besök
I beskrivande subgruppsanalyser undersöktes viktiga effektmått (PERR, CRR och tid till njurrelaterad händelse eller död) per induktionsregim (mykofenolat eller cyklofosfamid) och biopsiklass (klass III eller IV, klass III + V eller klass IV + V eller klass V) (figur 2).
Figur 2. Oddskvot för PERR och CRR vecka 104 för olika subgrupper
Ålder och etniskt ursprung
Ålder
Det fanns inga observerade skillnader i effekt och säkerhet hos SLE-patienter ≥ 65 år som fick Benlysta intravenöst eller subkutant jämfört med den allmänna populationen i placebokontrollerade studier. Antalet patienter ≥ 65 år (62 patienter för effekt och 219 för säkerhet) är dock inte tillräckligt för att avgöra om de reagerar annorlunda än yngre patienter.
Svarta patienter
Benlysta administrerades intravenöst till svarta patienter med SLE i en randomiserad (2:1), dubbelblind, placebo-kontrollerad, 52 veckors fas III/IV studie (EMBRACE). Effekt utvärderades hos 448 patienter. Andelen svarta patienter som uppnådde ett SRI-S2K värde var högre hos patienter som fick Benlysta men skillnaden var inte statistisk signifikant jämfört med placebo. Men, i överensstämmelse med resultat från andra studier, av svarta patienter med hög sjukdomsaktivitet (lågt komplement och positivt anti-dsDNA vid baslinje, n = 141) var SRI-S2K värdet 45,1 % för Benlysta 10 mg/kg kroppsvikt jämfört med 24,0 % hos placebo (oddskvot 3,00; 95 % KI: 1,35, 6,68).
Pediatrisk population
SLE
Säkerhet och effekt för Benlysta utvärderades i en randomiserad, dubbelblind, placebokontrollerad 52‑veckorsstudie (PLUTO) på 93 pediatriska patienter med en klinisk diagnos på SLE enligt ACR:s klassificeringskriterier. Patienterna hade aktiv SLE, definierad som en SELENA-SLEDAI-poäng ≥ 6 och med positivitet för autoantikroppar vid screening i enlighet med beskrivningen av studierna på vuxna. Patienterna stod på en stabil behandlingsregim för SLE (standardvård), och inklusions- och exklusionskriterierna var desamma som i studierna på vuxna. Patienter som hade svår aktiv SLE-nefrit, svår aktiv SLE i CNS, primär immunbrist, IgA-brist eller akuta eller kroniska infektioner som krävde hantering utesluts från studien. Denna studie utfördes i USA, Sydamerika, Europa och Asien. Patienternas medianålder var 15 år (intervall 6 till 17 år). I åldersgruppen 5 till 11 år (n = 13) varierar SELENA-SLEDAI-poäng från 4 till 13, och i åldersgruppen 12 till 17 år (n = 79) SELENA-SLEDAI-poäng sträcker sig från 4 till 20. Flertalet (94,6 %) patienter var flickor. Studien hade inte styrka för statistiska jämförelser och alla data är beskrivande.
Det primära effektmåttet var SLE Responder Index (SRI) vecka 52 i enlighet med beskrivningen av studierna med intravenös administrering till vuxna. Andelen pediatriska patienter som uppnådde ett SRI-svar var större bland de patienter som fick Benlysta än bland de som fick placebo. Svaret för de effektmåttets individuella komponenter överensstämde med SRI-svaret (tabell 4).
Tabell 4. Pediatrisk svarsfrekvens vecka 52
1 Analyserna exkluderade patienter som saknade bedömning vid baslinjen för någon av komponenterna (1 för placebo)
Bland de patienter som drabbades av ett svårt skov var medianstudiedagen för det första svåra skovet 150 i Benlystagruppen och dag 113 i placebogruppen. Svåra skov observerades i 17,0 % av Benlysta-gruppen jämfört med 35,0 % av placebogruppen under de 52 veckorna av observationen (observerad behandlingsskillnad = 18,0 %; riskkvot = 0,36, 95 % KI: 0,15, 0,86). Detta överensstämde med fynden i de kliniska studierna med intravenös administrering till vuxna.
Vid användning av Paediatric Rheumatology International Trials Organisation/American College of Rheumatology (PRINTO/ACR) Juvenile SLE Response Evaluation Criteria uppvisade en större andel av de pediatriska patienter som fick Benlysta förbättringar än de som fick placebo (tabell 5).
Tabell 5. PRINTO/ACR-svarsfrekvens vecka 52
1De fem PRINTO/ACR-komponenterna var procentuell förändring vecka 52 av:
Parent´s Global Assessment (Parent GA), PGA, SELENA SLEDAI-poäng, dygnsproteinuri och poäng för domänen fysisk funktion i Paediatric Quality of Life Inventory – Generic Core Scale (PedsQL GC).
De intravenösa farmakokinetiska parametrar som återges nedan baseras på uppskattningar av populationsparametrar för de 563 patienter med SLE som erhöll Benlysta 10 mg/kg kroppsvikt i de två fas III-studierna.
Absorption
Benlysta administreras genom intravenös infusion. Maximala koncentrationer av belimumab i serum iakttogs i allmänhet när infusionen avslutades eller kort därefter. Maximal serumkoncentration var 313 µg/ml (intervall: 173–573 µg/ml) baserat på simulering av koncentrations-tidsprofilen med hjälp av de typiska parametervärdena för den populationsfarmakokinetiska modellen.
Distribution
Belimumab distribuerades till vävnader med en distributionsvolym vid steady state (Vss) på cirka 5 liter.
Metabolism
Belimumab är ett protein för vilket den förväntade metaboliska vägen är nedbrytning till små peptider och individuella aminosyror genom brett distribuerade proteolytiska enzymer. Klassiska biotransformeringsstudier har inte utförts.
Eliminering
Belimumabkoncentrationer i serum minskade på ett bi-exponentiellt sätt med en distributionshalveringstid på 1,75 dagar och en terminal halveringstid på 19,4 dagar. Systemisk clearance var 215 ml/dag (intervall: 69–622 ml/dag).
Studie på SLE-nefrit
En populationsfarmakokinetisk analys utfördes på 224 vuxna patienter med SLE-nefrit som fick Benlysta 10 mg/kg kroppsvikt intravenöst (dag 0, 14, 28 och därefter var 28:e dag i upp till 104 veckor). Hos patienter med SLE-nefrit var belimumab-clearance, på grund av aktiv njursjukdom, initialt högre än i studier på SLE. Efter 24 veckors behandling och under återstoden av studien var clearance och exponering för belimumab ungefär desamma som observerades hos vuxna patienter med SLE som fick belimumab 10 mg/kg kroppsvikt intravenöst.
Särskilda patientpopulationer
Pediatrisk population: De farmakokinetiska parametrarna bygger på individuella parameterestimat från en populationsfarmakokinetisk analys av 53 patienter från en studie på pediatriska patienter med SLE. Efter intravenös administrering av 10 mg/kg kroppsvikt på dag 0, 14 och 28, och därefter med 4-veckorsintervall, var belimumabexponeringen likartad hos pediatriska och vuxna SLE-patienter. Geometriska medelvärden vid steady-state för Cmax, Cmin och AUC var 305 μg/ml, 42 μg/ml, och 2569 dygn × μg/ml i åldersgruppen 5 till 11 år och 317 μg/ml, 52 μg/ml, och 3126 dygn × μg/ml i åldersgruppen 12 till 17 år (n = 43).
Äldre: Benlysta har studerats hos ett begränsat antal äldre patienter. I den totala intravenösa SLE-studiepopulationen påverkade ålder inte belimumabexponering i den populationsfarmakokinetiska analysen. Mot bakgrund av det lilla antalet försökspersoner som var ≥65 år kan en effekt av ålder inte slutgiltigt uteslutas.
Nedsatt njurfunktion: Inga specifika studier har genomförts för att undersöka effekterna av nedsatt njurfunktion på farmakokinetiken för belimumab. Under den kliniska utvecklingen studerades Benlysta hos patienter med SLE och nedsatt njurfunktion (261 försökspersoner med måttligt nedsatt njurfunktion, kreatininclearance ≥ 30 och < 60 ml/min; 14 försökspersoner med svårt nedsatt njurfunktion, kreatininclearance ≥ 15 och < 30 ml/min). Minskningen i systemisk clearance som uppskattats genom populationsfarmakokinetisk modellering för patienter i mitten av kategorierna för njurfunktionsnedsättning i förhållande till patienter med median kreatininclearance i den farmakokinetiska populationen (79,9 ml/min) var 1,4 % för lindrigt (75 ml/min), 11,7 % för måttligt (45 ml/min) och 24,0 % för svårt (22,5 ml/min) nedsatt njurfunktion. Även om proteinuri (≥ 2 g/dag) ökade clearance av belimumab och minskningar av kreatininclearance minskade clearence av belimumab var dessa effekter inom det förväntade variationsintervallet. Därför rekommenderas ingen dosjustering för patienter med nedsatt njurfunktion.
Nedsatt leverfunktion: Inga specifika studier har genomförts för att undersöka effekterna av nedsatt leverfunktion på farmakokinetiken för Benlysta. IgG1‑molekyler som t.ex. belimumab kataboliseras genom brett distribuerade proteolytiska enzymer som inte är begränsade till levervävnad, varför det är osannolikt att förändringar av leverfunktionen har någon effekt på elimineringen av belimumab.
Kroppsvikt/BMI
Viktnormaliserad belimumabdosering leder till minskad exponering för underviktiga försökspersoner (BMI < 18,5) och till ökad exponering för överviktiga försökspersoner (BMI ≥ 30). BMI-beroende förändringar av exponeringen ledde inte till motsvarande förändringar av effekten. Ökad exponering för överviktiga försökspersoner som erhöll belimumab 10 mg/kg kroppsvikt ledde inte till någon total ökning av biverkningsfrekvenserna eller allvarliga biverkningar jämfört med överviktiga försökspersoner som erhöll placebo. Högre frekvenser av illamående, kräkningar och diarré iakttogs dock hos överviktiga patienter. Ingen av dessa gastrointestinala händelser hos överviktiga patienter var allvarliga.
Ingen dosjustering rekommenderas för underviktiga eller överviktiga patienter.
Övergång från intravenös till subkutan administrering
SLE
Patienter med SLE som gick över från 10 mg/kg kroppsvikt intravenöst var 4:e vecka till 200 mg subkutant en gång i veckan med ett 1‑4 veckors bytesintervall hade belimumabkoncentrationer i serum före dosering vid den första subkutana dosen som låg nära deras slutliga subkutana dalkoncentrationer vid steady state (se avsnitt 4.2). Baserat på simuleringar med populationsfarmakokinetiska parametrar var de genomsnittliga belimumabkoncentrationerna för 200 mg subkutant varje vecka (hos vuxna patienter och hos pediatriska patienter i åldern 5 till under 18 år som vägde ≥ 50 kg) var 10:e dag (hos pediatriska patienter i åldern 5 till under 18 år som vägde 30 till < 50 kg) eller varannan vecka (hos pediatriska patienter i åldern 5 till under 18 år som vägde 15 till < 30 kg) likartade dem för 10 mg/kg kroppsvikt var 4:e vecka.
SLE-nefrit
En till 2 veckor efter att de första 2 intravenösa doserna har givits förutses patienter med SLE-nefrit som går över från 10 mg/kg kroppsvikt intravenöst till 200 mg subkutant en gång i veckan ha ungefär samma genomsnittliga serumkoncentrationer av belimumab som patienter som ges 10 mg/kg kroppsvikt intravenöst var 4:e vecka baserat på populationsfarmakokinetiska simuleringar (se avsnitt 4.2).
Icke-kliniska uppgifter visar inte några särskilda risker för människa baserat på studier av allmäntoxicitet och reproduktionstoxicitet.
Intravenös och subkutan administrering till apor resulterade i den förväntade minskningen av antalet perifera B-celler och B-celler i lymfvävnad utan några tillhörande toxikologiska fynd.
Reproduktionsstudier har utförts på dräktiga cynomolgusapor som erhöll belimumab 150 mg/kg kroppsvikt med intravenös infusion (cirka 9 gånger den förväntade maximala humana kliniska exponeringen) varannan vecka i upp till 21 veckor och behandling med belimumab förknippades inte med direkta eller indirekta skadliga effekter med hänsyn till maternell toxicitet, utvecklingstoxicitet eller teratogenicitet. Behandlingsrelaterade fynd var begränsade till den förväntade reversibla minskningen av B-celler hos såväl moder som ungar och reversibel minskning av IgM hos apungar. B-cellsantalen återhämtade sig efter belimumabbehandlingens slut vid omkring 1 år post partum hos vuxna apor och vid 3 levnadsmånader hos apungar. IgM-nivåerna hos ungar som exponerats för belimumab in utero återhämtade sig vid 6 månaders ålder.
Effekterna på manlig och kvinnlig fertilitet hos apor bedömdes i 6-månaders toxikologistudier med upprepad dosering av belimumab med doser på upp till och med 50 mg/kg kroppsvikt. Inga behandlingsrelaterade förändringar noterades i de manliga och kvinnliga reproduktionsorganen hos sexuellt mogna djur. En informell bedömning av menstruationscykler hos honor visade inga belimumabrelaterade förändringar.
Eftersom belimumab är en monoklonal antikropp har inga gentoxicitetsstudier utförts. Inga karcinogenicitetsstudier eller fertilitetsstudier (manliga eller kvinnliga) har utförts.
Beredd och spädd lösning för infusion
Lösning av Benlysta spädd i natriumkloridlösning 9 mg/ml (0,9 %), natriumkloridlösning 4,5 mg/ml (0,45 %) eller Ringer-laktat lösning för infusion kan förvaras i 2 ºC till 8 ºC eller i rumstemperatur (15 ºC till 25 ºC).
Den totala tiden från beredning av Benlysta till avslutad infusion får inte överskrida 8 timmar.
Förvaras i kylskåp (2 ºC till 8 ºC).
Får inte frysas.
Förvaras i originalförpackningen. Ljuskänsligt.
För förvaringsanvisningar efter beredning och spädning av läkemedlet, se avsnitt 6.3.
Benlysta 120 mg pulver till koncentrat till infusionsvätska, lösning
Injektionsflaskor av glas typ 1 (5 ml) förseglade med en silikoniserad klorbutylgummipropp och en aluminiumkapsyl som innehåller 120 mg pulver.
Förpackningsstorlek: 1 injektionsflaska
Benlysta 400 mg pulver till koncentrat till infusionsvätska, lösning
Injektionsflaskor av glas typ 1 (20 ml) förseglad med en silikoniserad klorbutylgummipropp och en aluminiumkapsyl som innehåller 400 mg pulver.
Förpackningsstorlek: 1 injektionsflaska
Beredning av 120 mg lösning för infusion
Beredning
Beredning och spädning måste utföras under aseptiska förhållanden.
Låt injektionsflaskan stå i 10 till 15 minuter så att den värms till rumstemperatur (15 ºC till 25 ºC).
Det rekommenderas att en nål på 21-25 gauge används för håltagning av gummiproppen vid beredning och spädning.
En engångsinjektionsflaska med 120 mg belimumab bereds med 1,5 ml vatten för injektionsvätskor så att den ger en slutlig koncentration på 80 mg/ml belimumab.
Strålen med vatten för injektion ska riktas mot injektionsflaskans sida så att skumbildning minimeras. Snurra injektionsflaskan försiktigt i 60 sekunder. Låt injektionsflaskan stå i rumstemperatur (15 °C till 25 °C) under beredning, snurra injektionsflaskan försiktigt i 60 sekunder var femte minut tills pulvret är upplöst. Skaka inte. Beredningen är vanligtvis klar inom 10 till 15 minuter efter att vattnet tillsatts, men det kan ta upp till 30 minuter.
Skydda den färdigberedda lösningen mot solljus.
Om en mekanisk beredningsanordning används för att bereda Benlysta får den inte överskrida 500 rpm och injektionsflaskan får inte snurras längre än 30 minuter.
När beredningen är klar ska lösningen vara opaliserande och färglös till svagt gul samt utan partiklar. Små luftbubblor förväntas dock och är acceptabelt.
Efter beredning kan en volym på 1,5 ml (motsvarande 120 mg belimumab) dras upp från varje injektionsflaska.
Spädning
Det färdigberedda läkemedlet späds till 250 ml med natriumkloridlösning 9 mg/ml (0,9 %), natriumkloridlösning 4,5 mg/ml (0,45 %) eller Ringer-laktat lösning för infusion. För patienter med en kroppsvikt på 40 kg eller mindre kan infusionspåsar med 100 ml av dessa spädningsvätskor användas, förutsatt att den resulterande belimumabkoncentrationen i infusionspåsen inte överstiger 4 mg/ml.
5-procentiga intravenösa glukoslösningar är inkompatibla med Benlysta och får inte användas.
Drag upp och kassera den volym som motsvarar volymen av den färdigberedda Benlysta-lösning som behövs för patientens dos från en 250 ml (eller 100 ml) infusionspåse eller infusionsflaska med natriumkloridlösning 9 mg/ml (0,9 %), natriumkloridlösning 4,5 mg/ml (0,45 %) eller Ringer-laktat lösning för infusion. Tillsätt sedan den volym som behövs av den färdigberedda Benlysta-lösningen till infusionspåsen eller infusionsflaskan. Vänd påsen eller flaskan försiktigt så att lösningen blandas. Eventuell oanvänd lösning i injektionsflaskorna ska kasseras.
Inspektera Benlysta-lösningen visuellt med avseende på partiklar och missfärgning före administrering. Kassera lösningen om partiklar eller missfärgning iakttas.
Den totala tiden från beredning av Benlysta till avslutad infusion får inte överskrida 8 timmar.
Beredning av 400 mg lösning för infusion
Beredning
Beredning och spädning måste utföras under aseptiska förhållanden.
Låt injektionsflaskan stå i 10 till 15 minuter så att den värms till rumstemperatur (15 °C till 25 °C).
Det rekommenderas att en nål på 21-25 gauge används för håltagning av gummiproppen vid beredning och spädning.
En engångsinjektionsflaska med 400 mg belimumab bereds med 4,8 ml vatten för injektionsvätskor så att den ger en slutlig koncentration på 80 mg/ml belimumab.
Strålen med vatten för injektion ska riktas mot injektionsflaskans sida så att skumbildning minimeras. Snurra injektionsflaskan försiktigt i 60 sekunder. Låt injektionsflaskan stå i rumstemperatur (15 °C till 25 °C) under beredning, snurra injektionsflaskan försiktigt i 60 sekunder var femte minut tills pulvret är upplöst. Skaka inte. Beredningen är vanligtvis klar inom 10 till 15 minuter efter att vattnet tillsatts, men det kan ta upp till 30 minuter.
Skydda den färdigberedda lösningen mot solljus.
Om en mekanisk beredningsanordning används för att bereda Benlysta får den inte överskrida 500 rpm och injektionsflaskan får inte snurras längre än 30 minuter.
När beredningen är klar ska lösningen vara opaliserande och färglös till svagt gul samt utan partiklar. Små luftbubblor förväntas dock och är acceptabelt.
Efter beredning kan en volym på 5 ml (motsvarande 400 mg belimumab) dras upp från varje injektionsflaska.
Spädning
Det färdigberedda läkemedlet späds till 250 ml med natriumkloridlösning 9 mg/ml (0,9 %), natriumkloridlösning 4,5 mg/ml (0,45 %) eller Ringer-laktat lösning för infusion.
5-procentiga intravenösa glukoslösningar är inkompatibla med Benlysta och får inte användas.
Drag upp och kassera den volym som motsvarar volymen av den färdigberedda Benlysta-lösning som behövs för patientens dos från en 250 ml infusionspåse eller infusionsflaska med natriumkloridlösning 9 mg/ml (0,9 %), natriumkloridlösning 4,5 mg/ml (0,45 %) eller Ringer-laktat lösning för infusion. Tillsätt sedan den volym som behövs av den färdigberedda Benlysta-lösningen till infusionspåsen eller infusionsflaskan. Vänd påsen eller flaskan försiktigt så att lösningen blandas. Eventuell oanvänd lösning i injektionsflaskorna ska kasseras.
Inspektera Benlysta-lösningen visuellt med avseende på partiklar och missfärgning före administrering. Kassera lösningen om partiklar eller missfärgning iakttas.
Den totala tiden från beredning av Benlysta till avslutad infusion får inte överskrida 8 timmar.
Administreringssätt
Benlysta infunderas under en hel timmes tid.
Benlysta får inte infunderas samtidigt i samma intravenösa kateter som andra medel. Inga fysikaliska eller biokemiska blandbarhetsstudier har utförts för att utvärdera administrering av Benlysta tillsammans med andra medel.
Ingen inkompatibilitet mellan Benlysta och påsar av polyvinylklorid eller polyolefin har iakttagits.
Avfallshantering
Ej använt läkemedel och avfall ska kasseras enligt gällande anvisningar.
Citronsyramonohydrat (E 330)
Natriumcitrat (E 331)
Sackaros
Polysorbat 80 (E 433)
Benlysta är inte kompatibelt med 5-procentig glukos.
Detta läkemedel får inte blandas med andra läkemedel förutom de som nämns under avsnitt 6.6.
Oöppnade injektionsflaskor
5 år.
Beredd lösning
Efter beredning med vatten för injektionsvätskor måste den beredda lösningen, om den inte används omedelbart, skyddas mot direkt solljus och förvaras i kylskåp vid 2 ºC till 8 ºC.
Beredd och spädd lösning för infusion
Lösning av Benlysta spädd i natriumkloridlösning 9 mg/ml (0,9 %), natriumkloridlösning 4,5 mg/ml (0,45 %) eller Ringer-laktat lösning för infusion kan förvaras i 2 ºC till 8 ºC eller i rumstemperatur (15 ºC till 25 ºC).
Den totala tiden från beredning av Benlysta till avslutad infusion får inte överskrida 8 timmar.
Förvaras i kylskåp (2 ºC till 8 ºC).
Får inte frysas.
Förvaras i originalförpackningen. Ljuskänsligt.
För förvaringsanvisningar efter beredning och spädning av läkemedlet, se avsnitt 6.3.
Benlysta 120 mg pulver till koncentrat till infusionsvätska, lösning
Injektionsflaskor av glas typ 1 (5 ml) förseglade med en silikoniserad klorbutylgummipropp och en aluminiumkapsyl som innehåller 120 mg pulver.
Förpackningsstorlek: 1 injektionsflaska
Benlysta 400 mg pulver till koncentrat till infusionsvätska, lösning
Injektionsflaskor av glas typ 1 (20 ml) förseglad med en silikoniserad klorbutylgummipropp och en aluminiumkapsyl som innehåller 400 mg pulver.
Förpackningsstorlek: 1 injektionsflaska
Beredning av 120 mg lösning för infusion
Beredning
Beredning och spädning måste utföras under aseptiska förhållanden.
Låt injektionsflaskan stå i 10 till 15 minuter så att den värms till rumstemperatur (15 ºC till 25 ºC).
Det rekommenderas att en nål på 21-25 gauge används för håltagning av gummiproppen vid beredning och spädning.
En engångsinjektionsflaska med 120 mg belimumab bereds med 1,5 ml vatten för injektionsvätskor så att den ger en slutlig koncentration på 80 mg/ml belimumab.
Strålen med vatten för injektion ska riktas mot injektionsflaskans sida så att skumbildning minimeras. Snurra injektionsflaskan försiktigt i 60 sekunder. Låt injektionsflaskan stå i rumstemperatur (15 °C till 25 °C) under beredning, snurra injektionsflaskan försiktigt i 60 sekunder var femte minut tills pulvret är upplöst. Skaka inte. Beredningen är vanligtvis klar inom 10 till 15 minuter efter att vattnet tillsatts, men det kan ta upp till 30 minuter.
Skydda den färdigberedda lösningen mot solljus.
Om en mekanisk beredningsanordning används för att bereda Benlysta får den inte överskrida 500 rpm och injektionsflaskan får inte snurras längre än 30 minuter.
När beredningen är klar ska lösningen vara opaliserande och färglös till svagt gul samt utan partiklar. Små luftbubblor förväntas dock och är acceptabelt.
Efter beredning kan en volym på 1,5 ml (motsvarande 120 mg belimumab) dras upp från varje injektionsflaska.
Spädning
Det färdigberedda läkemedlet späds till 250 ml med natriumkloridlösning 9 mg/ml (0,9 %), natriumkloridlösning 4,5 mg/ml (0,45 %) eller Ringer-laktat lösning för infusion. För patienter med en kroppsvikt på 40 kg eller mindre kan infusionspåsar med 100 ml av dessa spädningsvätskor användas, förutsatt att den resulterande belimumabkoncentrationen i infusionspåsen inte överstiger 4 mg/ml.
5-procentiga intravenösa glukoslösningar är inkompatibla med Benlysta och får inte användas.
Drag upp och kassera den volym som motsvarar volymen av den färdigberedda Benlysta-lösning som behövs för patientens dos från en 250 ml (eller 100 ml) infusionspåse eller infusionsflaska med natriumkloridlösning 9 mg/ml (0,9 %), natriumkloridlösning 4,5 mg/ml (0,45 %) eller Ringer-laktat lösning för infusion. Tillsätt sedan den volym som behövs av den färdigberedda Benlysta-lösningen till infusionspåsen eller infusionsflaskan. Vänd påsen eller flaskan försiktigt så att lösningen blandas. Eventuell oanvänd lösning i injektionsflaskorna ska kasseras.
Inspektera Benlysta-lösningen visuellt med avseende på partiklar och missfärgning före administrering. Kassera lösningen om partiklar eller missfärgning iakttas.
Den totala tiden från beredning av Benlysta till avslutad infusion får inte överskrida 8 timmar.
Beredning av 400 mg lösning för infusion
Beredning
Beredning och spädning måste utföras under aseptiska förhållanden.
Låt injektionsflaskan stå i 10 till 15 minuter så att den värms till rumstemperatur (15 °C till 25 °C).
Det rekommenderas att en nål på 21-25 gauge används för håltagning av gummiproppen vid beredning och spädning.
En engångsinjektionsflaska med 400 mg belimumab bereds med 4,8 ml vatten för injektionsvätskor så att den ger en slutlig koncentration på 80 mg/ml belimumab.
Strålen med vatten för injektion ska riktas mot injektionsflaskans sida så att skumbildning minimeras. Snurra injektionsflaskan försiktigt i 60 sekunder. Låt injektionsflaskan stå i rumstemperatur (15 °C till 25 °C) under beredning, snurra injektionsflaskan försiktigt i 60 sekunder var femte minut tills pulvret är upplöst. Skaka inte. Beredningen är vanligtvis klar inom 10 till 15 minuter efter att vattnet tillsatts, men det kan ta upp till 30 minuter.
Skydda den färdigberedda lösningen mot solljus.
Om en mekanisk beredningsanordning används för att bereda Benlysta får den inte överskrida 500 rpm och injektionsflaskan får inte snurras längre än 30 minuter.
När beredningen är klar ska lösningen vara opaliserande och färglös till svagt gul samt utan partiklar. Små luftbubblor förväntas dock och är acceptabelt.
Efter beredning kan en volym på 5 ml (motsvarande 400 mg belimumab) dras upp från varje injektionsflaska.
Spädning
Det färdigberedda läkemedlet späds till 250 ml med natriumkloridlösning 9 mg/ml (0,9 %), natriumkloridlösning 4,5 mg/ml (0,45 %) eller Ringer-laktat lösning för infusion.
5-procentiga intravenösa glukoslösningar är inkompatibla med Benlysta och får inte användas.
Drag upp och kassera den volym som motsvarar volymen av den färdigberedda Benlysta-lösning som behövs för patientens dos från en 250 ml infusionspåse eller infusionsflaska med natriumkloridlösning 9 mg/ml (0,9 %), natriumkloridlösning 4,5 mg/ml (0,45 %) eller Ringer-laktat lösning för infusion. Tillsätt sedan den volym som behövs av den färdigberedda Benlysta-lösningen till infusionspåsen eller infusionsflaskan. Vänd påsen eller flaskan försiktigt så att lösningen blandas. Eventuell oanvänd lösning i injektionsflaskorna ska kasseras.
Inspektera Benlysta-lösningen visuellt med avseende på partiklar och missfärgning före administrering. Kassera lösningen om partiklar eller missfärgning iakttas.
Den totala tiden från beredning av Benlysta till avslutad infusion får inte överskrida 8 timmar.
Administreringssätt
Benlysta infunderas under en hel timmes tid.
Benlysta får inte infunderas samtidigt i samma intravenösa kateter som andra medel. Inga fysikaliska eller biokemiska blandbarhetsstudier har utförts för att utvärdera administrering av Benlysta tillsammans med andra medel.
Ingen inkompatibilitet mellan Benlysta och påsar av polyvinylklorid eller polyolefin har iakttagits.
Avfallshantering
Ej använt läkemedel och avfall ska kasseras enligt gällande anvisningar.
Produktresumén är företagets information om läkemedlet riktat till förskrivare och personal inom sjukvård och apotek. Dokumentet är godkända av Läkemedelsverket eller den europeiska läkemedelsmyndigheten EMA i samband med att läkemedlet godkänns för marknadsföring.