Xolair 150 mg injektionsvätska, lösning i förfylld spruta
Xolair 300 mg injektionsvätska, lösning i förfylld spruta
Xolair 150 mg injektionsvätska, lösning i förfylld injektionspenna
Xolair 300 mg injektionsvätska, lösning i förfylld injektionspenna
Injektionsvätska, lösning (injektionsvätska).
Klar till lätt opalskimrande, ofärgad till svagt brun-gul lösning.
Novartis Europharm Limited
Vista Building
Elm Park, Merrion Road
Dublin 4
Irland
Första godkännandet: 25 oktober 2005
Förnyat godkännande: 22 juni 2015
2025-05-21
Ytterligare information om detta läkemedel finns på Europeiska läkemedelsmyndighetens webbplats http://www.ema.europa.eu
Xolair 150 mg injektionsvätska, lösning i förfylld spruta
Varje förfylld spruta innehåller 150 mg omalizumab* i 1 ml lösning.
Xolair 300 mg injektionsvätska, lösning i förfylld spruta
Varje förfylld spruta innehåller 300 mg omalizumab* i 2 ml lösning
Xolair 150 mg injektionsvätska, lösning i förfylld injektionspenna
Varje förfylld injektionspenna innehåller 150 mg omalizumab* i 1 ml lösning.
Xolair 300 mg injektionsvätska, lösning i förfylld injektionspenna
Varje förfylld injektionspenna innehåller 300 mg omalizumab* i 2 ml lösning.
*Omalizumab är en humaniserad monoklonal antikropp, tillverkad i en CHO (Chinese hamster ovary)-cellinje genom rekombinant DNA-teknik.
För fullständig förteckning över hjälpämnen, se avsnitt 6.1.
Kronisk rinosinuit med näspolyper
Xolair är indicerat som tilläggsbehandling tillsammans med intranasala kortikosteroider hos vuxna (från 18 års ålder) med svår kronisk rinosinuit med näspolyper och för vilka behandling med intranasala kortikosteroider inte leder till tillfredsställande sjukdomskontroll.
Kronisk spontan urtikaria
Xolair är indicerat som tilläggsbehandling vid behandling av kronisk spontan urtikaria hos vuxna och ungdomar (från 12 års ålder) med otillräcklig effekt av antihistamin H1-behandling.
Behandling skall initieras av läkare med erfarenhet av diagnostisering och behandling av svår astma, kronisk rinosinuit med näspolyper eller kronisk spontan urtikaria.
Dosering
Allergisk astma och kronisk rinosinuit med näspolyper
Dosering av allergisk astma och kronisk rinosinuit med näspolyper följer samma doseringsprinciper. Lämplig dos och doseringsintervall av omalizumab vid dessa sjukdomar bestäms utifrån utgångsvärdet av IgE (IE/ml), uppmätt före behandlingsstart, samt kroppsvikten (kg). Innan den första dosen ges skall patienten få sitt IgE-värde uppmätt med någon kommersiellt tillgänglig analysmetod för total-IgE i serum för dosbestämning. Baserat på dessa resultat kan 75 till 600 mg omalizumab behöva ges i form av 1‑4 injektioner vid varje administreringstillfälle.
Patienter med allergisk astma som hade ett utgångsvärde för IgE under 76 IE/ml hade lägre sannolikhet att ha nytta av behandlingen (se avsnitt 5.1). Förskrivande läkare skall före behandling säkerställa att vuxna och ungdomar med IgE-värde under 76 IE/ml och barn (från 6 till <12 års ålder) med IgE-värde under 200 IE/ml visar en tydlig in vitro-reaktion (RAST eller motsvarande) mot ett perenn allergen.
Se tabell 1 för omräkning och tabell 2 och 3 för dosering.
Patienter vars utgångsvärde för IgE eller kroppsvikt i kilogram är utanför gränserna i doseringstabellen skall inte behandlas med omalizumab.
Den högsta rekommenderade dosen är 600 mg omalizumab varannan vecka.
Tabell 1 Omräkning från dos till antal förfyllda injektionssprutor/injektionspennor*, antal injektioner** och total injektionsvolym vid varje administreringstillfälle
*Xolair 300 mg förfylld spruta och alla styrkor av Xolair förfylld injektionspenna är inte avsedda att användas hos patienter <12 års ålder.
**Denna tabell anger det minsta antalet injektioner hos en patient. Det finns även andra doskombinationer av spruta/injektionspenna som är möjliga för att uppnå önskad dos.
Tabell 2 ADMINISTRERING VAR FJÄRDE VECKA. Dosering av omalizumab (milligram per dos) givet som subkutan injektion var fjärde vecka
*Kroppsvikt under 30 kg studerades inte i de pivotala studierna på kronisk rinosinuit med näspolyper.
Tabell 3 ADMINISTRERING VARANNAN VECKA. Dosering av omalizumab (milligram per dos) givet som subkutan injektion varannan vecka
*Kroppsvikt under 30 kg studerades inte i de pivotala studierna på kronisk rinosinuit med näspolyper.
Behandlingslängd, monitorering och dosjustering
Allergisk astma
Xolair är avsett för långtidsbehandling. Kliniska prövningar har visat att det tar minst 12‑16 veckor innan behandlingen uppvisar effekt. Efter 16 veckors behandling med Xolair skall patienterna bedömas av sin läkare avseende behandlingseffekt innan ytterligare injektioner ges. Ett beslut att fortsätta med behandling skall baseras på om en markant förbättring av den totala astmakontrollen kan ses. Detta gäller både efter 16 veckors behandling samt vid efterföljande besök (se avsnitt 5.1, Prövarens totalbedömning av behandlingseffekten).
Kronisk rinosinuit med näspolyper
I kliniska studier på kronisk rinosinuit med näspolyper observerades förändringar efter 4 veckor i ”nasal polyp score” (NPS) samt ”nasal congestion score” (NCS). Behovet av kontinuerlig behandling ska utvärderas regelbundet baserat på allvarlighetsgraden av patientens sjukdom samt nivå av symtomkontroll.
Allergisk astma och kronisk rinosinuit med näspolyper
Utsättning av behandling leder i allmänhet till återgång till förhöjda nivåer av fritt IgE och tillhörande symtom. De totala IgE-nivåerna är förhöjda under behandlingen och är fortsatt förhöjda i upp till ett år efter avslutad behandling. Därför kan inte förnyade analyser av IgE-värdena under behandling användas som vägledning för dosbestämning. Dosbestämning efter behandlingsavbrott under kortare tid än ett år skall baseras på de IgE-nivåer i serum som uppmättes vid den initiala dosbestämningen. Förnyad analys av totalnivåerna av serum-IgE kan utföras för dosbestämning i de fall behandlingen varit avbruten i ett år eller längre.
Dosen skall justeras vid betydande förändringar av kroppsvikten (se tabell 2 och 3).
Kronisk spontan urtikaria
Rekommenderad dos är 300 mg som subkutan injektion var fjärde vecka. Varje 300 mg dos ges som en subkutan injektion på 300 mg eller som två subkutana injektioner på 150 mg.
Förskrivare rekommenderas att regelbundet ompröva behovet av fortsatt behandling.
Erfarenhet från kliniska studier avseende långtidsbehandling för denna indikation finns beskrivet i avsnitt 5.1.
Speciella patientpopulationer
Äldre (över 65 år)
Tillgängliga data avseende behandling av personer över 65 års ålder med omalizumab är begränsade, men det finns inget som talar för att äldre patienter behöver annan dos än yngre vuxna patienter.
Nedsatt njur- eller leverfunktion
Inga studier har genomförts för att studera farmakokinetiken av omalizumab hos patienter med nedsatt njur- eller leverfunktion. Eftersom clearance av omalizumab vid kliniska doser domineras av det retikuloendoteliala systemet (RES) torde det inte påverkas av nedsatt njur- eller leversjukdom. Trots att ingen dosjustering rekommenderas för dessa patienter skall omalizumab administreras med försiktighet (se avsnitt 4.4).
Pediatrisk population
Vid allergisk astma har säkerhet och effekt för omalizumab hos patienter under 6 år inte fastställts. Inga data finns tillgängliga.
Vid kronisk rinosinuit med näspolyper har säkerhet och effekt för omalizumab hos patienter under 18 år inte fastställts. Inga data finns tillgängliga.
Vid kronisk spontan urtikaria har säkerhet och effekt för omalizumab hos patienter under 12 år inte fastställts. Inga data finns tillgängliga.
Administreringssätt
Enbart för subkutan administrering. Omalizumab får inte administreras intravenöst eller intramuskulärt.
Xolair 300 mg förfylld spruta och alla dosstyrkor av Xolair förfylld injektionspenna är inte avsedda att användas hos patienter <12 års ålder. Xolair 75 mg förfylld spruta och Xolair 150 mg förfylld spruta kan användas hos barn 6 till 11 år med allergisk astma.
Om mer än en injektion krävs för att uppnå önskad dos ska injektionerna delas upp på två eller fler injektionsställen (Tabell 1).
Patienter utan anamnes på anafylaxi kan själv eller med hjälp av en annan person (t ex anhörig) administrera Xolair från och med den 4:e dosen om behandlande läkare bedömer detta lämpligt (se avsnitt 4.4). Patienten och den som ger injektionen måste utbildas i rätt injektionsteknik och lära sig känna igen tidiga tecken och symtom på allvarliga allergiska reaktioner.
Den som injicerar ska instrueras att injicera hela mängden av Xolair enligt användarinstruktionerna i bipacksedeln.
Överkänslighet mot den aktiva substansen eller mot något hjälpämne som anges i avsnitt 6.1.
Spårbarhet
För att underlätta spårbarhet av biologiska läkemedel ska läkemedlets namn och tillverkningssatsnummer dokumenteras.
Allmänt
Omalizumab är inte indicerat för behandling av akuta astmaexacerbationer, akut bronkospasm eller status asthmaticus.
Omalizumab har inte studerats hos patienter med hyperimmunoglobulin E-syndrom eller allergisk bronkopulmonell aspergillos eller vid förebyggande behandling av anafylaktiska reaktioner, inkluderande sådana som framkallats av födoämnesallergi, atopisk dermatit eller allergisk rinit. Omalizumab är inte indicerat vid dessa tillstånd.
Omalizumab har inte studerats hos patienter med autoimmuna sjukdomar, immunkomplexmedierade tillstånd eller med redan existerande nedsatt njur- eller leverfunktion (se avsnitt 4.2). Försiktighet skall iakttas när omalizumab ges till dessa patientgrupper.
Plötsligt avbrytande av behandling med systemiska eller inhalerade steroider efter insättande av omalizumab vid allergisk astma eller kronisk rinosinuit med näspolyper rekommenderas inte. Sänkning av steroiddosen skall göras under överinseende av läkare och kan behöva göras successivt.
Immunsystemet
Allergiska typ I-reaktioner
Lokala eller systemiska allergiska typ I-reaktioner, inkluderande anafylaxi och anafylaktisk chock, kan uppträda vid behandling med omalizumab även efter en lång tids användning. De flesta av dessa reaktioner inträffade emellertid inom 2 timmar efter den första eller de efterföljande injektionerna av omalizumab, men vissa inträffade 2 timmar, och till och med 24 timmar, efter injektion. Majoriteten av anafylaktiska reaktioner inträffade i samband med de första 3 doserna av omalizumab. De första 3 doserna måste därför administreras av, eller under överinseende av, sjukvårdspersonal. Anamnes på anafylaxi, som inte relateras till omalizumab, kan vara en riskfaktor för anfylaxi i samband med omalizumab-behandling. Hos patienter med anamnes på anafylaxi måste därför omalizumab administreras av sjukvårdspersonal, som alltid ska ha läkemedel för behandling av anafylaktiska reaktioner tillgängliga för omedelbar användning efter administrering av omalizumab. Om en anafylaktisk eller annan allvarlig allergisk reaktion inträffar, måste administrering av omalizumab omedelbart avbrytas och lämplig behandling sättas in. Patienterna skall informeras om att sådana reaktioner kan uppträda och att man då omedelbart skall söka medicinsk vård.
Ett litet antal patienter har i kliniska studier uppvisat antikroppar mot omalizumab (se avsnitt 4.8). Den kliniska betydelsen av dessa antikroppar är inte känd.
Serumsjuka
Serumsjuka och serumsjukeliknande reaktioner, vilka är sena allergiska typ III-reaktioner, har setts hos patienter som behandlats med humaniserade monoklonala antikroppar inklusive omalizumab. Den föreslagna patofysiologiska mekanismen inkluderar immunkomplexbildning och depositon på grund av antikroppsbildning mot omalizumab. Reaktionen uppstår 1‑5 dagar efter den första eller de efterföljande injektionerna och kan inträffa även efter en längre tids användning. Symtom som tyder på serumsjuka inkluderar artrit/artralgi, hudutslag (urtikaria eller annan typ), feber och lymfadenopati. Antihistaminer och kortikosteroider kan användas för att förebygga eller behandla detta tillstånd och patienter ska uppmanas att rapportera alla misstänkta symtom.
Churg-Strauss syndrom och hypereosinofilt syndrom
Patienter med svår astma kan i sällsynta fall uppvisa systemiskt hypereosinofilt syndrom eller allergisk eosinofil granulomatös vaskulit (Churg-Strauss syndrom), vilka båda vanligtvis behandlas med systemiska kortikosteroider.
I sällsynta fall kan patienter som behandlas med antiastmatiska läkemedel, inklusive omalizumab, uppvisa eller utveckla systemisk eosinofili och vaskulit. Dessa händelser är ofta kopplade till minskning av oral kortikosteroidterapi.
Hos dessa patienter ska läkare vara uppmärksamma på uppkomst av uttalad eosinofili, utslag orsakade av vaskulit, försämrade pulmonella symtom, bihåleförändringar, kardiella komplikationer och/eller neuropati.
Vid alla svåra fall av immunsystempåverkan som nämnts ovan ska avbrytande av behandlingen med omalizumab övervägas.
Parasitinfektioner (helmint)
IgE kan involveras i den immunologiska reaktionen för vissa helmintinfektioner. Hos patienter med kronisk hög risk för helmintinfektion visade en placebokontrollerad studie på allergiska patienter en lätt ökning av antalet infektioner vid behandling med omalizumab, trots att förloppet, svårighetsgraden och svaret på infektionsbehandlingen var oförändrade. Antalet helmintinfektioner i det totala kliniska programmet, som inte var avsett för att upptäcka sådana infektioner, var mindre än 1 på 1 000 patienter. Försiktighet är emellertid berättigad hos patienter med hög risk att få helmintinfektion, i synnerhet vid resa i områden där helmintinfektion är en endemisk sjukdom. Om patienterna inte svarar på den rekommenderade antihelmintbehandlingen skall utsättning av omalizumab övervägas.
Latex-känsliga personer (förfylld spruta)
Det löstagbara nålskyddet hos denna förfyllda spruta innehåller ett derivat av naturgummilatex. Hittills har inget naturgummilatex påträffats i det löstagbara nålskyddet. Användningen av Xolair injektionsvätska, lösning i förfylld spruta hos latex-känsliga personer har dock inte studerats och därför kan en potentiell risk för överkänslighetsreaktioner inte helt uteslutas.
Eftersom IgE kan vara inblandad i den immunologiska reaktionen för vissa helmintinfektioner, kan omalizumab möjligen indirekt minska effekten av läkemedel för behandling av helmint- eller andra parasitinfektioner (se avsnitt 4.4).
Cytokrom P450-enzymer, effluxpumpar och proteinbindningsmekanismer är inte inblandade i clearance av omalizumab, och därmed finns liten potential för interaktioner. Läkemedels- eller vaccininteraktionsstudier har inte utförts med omalizumab. Det finns ingen farmakologisk anledning att förvänta sig att läkemedel som förskrivs ofta för behandling av astma, kronisk rinosinuit med näspolyper eller kronisk spontan urtikaria skulle interagera med omalizumab.
Allergisk astma
Omalizumab har vanligtvis använts tillsammans med inhalations- och orala kortikosteroider, kort- och långverkande inhalations-beta-agonister, leukotrienmodifierare, teofylliner och orala antihistaminer i kliniska studier. Det fanns inga indikationer på att säkerheten hos omalizumab förändrades vid användning tillsammans med dessa andra vanligen använda läkemedlen mot astma. Det finns begränsade data på samtidig användning av omalizumab och specifik immunterapi (hyposensibiliseringsterapi). I en klinisk studie där omalizumab gavs tillsammans med immunterapi sågs ingen skillnad i säkerhet och effekt för omalizumab i kombination med specifik immunterapi, jämfört med omalizumab givet ensamt.
Kronisk rinosinuit med näspolyper
I kliniska studier har omalizumab enligt protokoll använts tillsammans med mometason nässpray. Andra läkemedel som vanligtvis användes samtidigt inkluderade andra intranasala kortikosteroider, bronkodilatorer, antihistaminer, leukotrienreceptorantagonister, adrenergika/sympatomimetika samt nasal lokalanestetika. Det fanns inga indikationer på att säkerheten hos omalizumab förändrades vid samtidig användning av dessa vanligtvis använda läkemedel.
Kronisk spontan urtikaria
I kliniska studier på kronisk spontan urtikaria användes omalizumab i kombination med antihistaminer (H1‑, H2-antagonister) och leukotrienreceptorantagonister. Jämfört med den kända säkerhetsprofilen för omalizumab vid allergisk astma finns inget som tyder på en förändrad säkerhet vid användning med dessa läkemedel. Dessutom visar en populationsfarmakokinetisk analys ingen relevant effekt av H2-antagonister eller leukotrienreceptorantagonister på omalizumabs farmakokinetik (se avsnitt 5.2).
Pediatrisk population
Kliniska studier på kronisk spontan urtikaria med omalizumab i kombination med antihistaminer (H1‑, H2-antagonister) och leukotrienreceptorantagonister inkluderade patienter i åldern 12 till 17 år. Inga studier har utförts på barn under 12 år.
Graviditet
En måttlig mängd data från gravida kvinnor (mellan 300‑1 000 graviditeter) baserade på graviditetsregister och spontana rapporter efter marknadsgodkännande, tyder inte på någon missbildnings- eller foster/neonatal toxicitet. En prospektiv registerstudie (EXPECT) på 250 gravida kvinnor med astma som behandlats med omalizumab visade att prevalensen för allvarliga medfödda anomaliteter var jämförbar (8,1 % mot 8,9 %) mellan patienter behandlade med Xolair och patienter med motsvarande sjukdomstillstånd (måttlig till allvarlig astma). Tolkningen av data kan vara påverkad av metodologiska begränsningar i studien, inkluderande ett litet antal patienter och en icke-randomiserad studiedesign.
Omalizumab passerar placentabarriären, men djurstudier tyder varken på direkta eller indirekta reproduktionstoxikologiska effekter (se avsnitt 5.3).
Omalizumab har förknippats med en åldersberoende minskning av antalet trombocyter hos primater, där unga djur är mer känsliga än äldre djur (se avsnitt 5.3).
Omalizumab kan övervägas under graviditet om det är kliniskt nödvändigt.
Amning
Immunglobulin G (IgG) förekommer i bröstmjölk och det är därför förväntat att omalizumab förekommer i bröstmjölk. Tillgängliga data har visat att omalizumab utsöndras i bröstmjölken hos icke-humana primater (se avsnitt 5.3).
EXPECT-studien med 154 spädbarn som exponerats för omalizumab under graviditet och genom amning indikerade inte biverkningar hos de spädbarn som ammats. Tolkningen av data kan vara påverkad av metodologiska begränsningar i studien, inkluderande ett litet antal patienter och en icke-randomiserad studiedesign.
Immunglobulin G-proteiner genomgår intestinal proteolys och har låg biotillgänglighet när de ges oralt. Inga effekter förväntas på ammande nyfödda/spädbarn. Följaktligen kan användning av omalizumab under amning övervägas om det är kliniskt nödvändigt.
Fertilitet
Det finns inga humandata för omalizumab avseende fertilitet. I särskilt utformade icke kliniska fertilitetsstudier i icke-humana primater, innefattande parningsstudier, sågs ingen nedsatt fertilitet hos honor eller hanar efter upprepad dosering av omalizumab vid doser upp till 75 mg/kg. Inte heller observerades genotoxiska effekter i en separat icke-klinisk genotoxicitetsstudie.
Omalizumab har ingen eller försumbar effekt på förmågan att framföra fordon och använda maskiner.
Allergisk astma och kronisk rinosinuit med näspolyper
Sammanfattning av säkerhetsprofilen
I kliniska prövningar på allergisk astma hos vuxna och ungdomar från 12 års ålder var de vanligast rapporterade biverkningarna huvudvärk, reaktioner på injektionsstället, inklusive smärta på injektionsstället, svullnad, erytem och pruritus. I kliniska prövningar på barn från 6 till <12 år var de vanligast rapporterade biverkningarna huvudvärk, feber och smärta i övre buken. De flesta reaktionerna var lätta eller måttliga i svårighetsgrad. I kliniska studier på patienter ≥18 års ålder vid kronisk rinosinuit med näspolyper var de vanligast rapporterade biverkningarna huvudvärk, yrsel, artralgi, smärta i övre buken och reaktioner på injektionsstället.
Tabell över biverkningar
Tabell 4 tar upp de biverkningar som rapporterats vid kliniska prövningar i den totala säkerhetspopulationen vid allergisk astma och kronisk rinosinuit med näspolyper som behandlats med Xolair per organsystemklass enligt MedDRA och frekvens. Biverkningarna presenteras inom varje frekvensområde efter fallande allvarlighetsgrad. Frekvenskategorierna definieras enligt följande: mycket vanliga (≥1/10), vanliga (≥1/100, <1/10), mindre vanliga (≥1/1 000, <1/100), sällsynta (≥1/10 000, <1/1 000) och mycket sällsynta (<1/10 000). Händelser rapporterade efter godkännande för försäljning anges med frekvensen ingen känd frekvens (kan inte beräknas från tillgängliga data).
Tabell 4 Biverkningar vid allergisk astma och kronisk rinosinuit med näspolyper
*: Mycket vanliga hos barn från 6 till <12 år
**: Hos barn från 6 till <12 år
#: Vanlig i studier på näspolyper
†: Ingen känd frekvens i studier på allergisk astma
Kronisk spontan urtikaria
Sammanfattning av säkerhetsprofilen
Säkerhet och tolerabilitet av omalizumab, i doser om 75 mg, 150 mg och 300 mg var fjärde vecka, undersöktes hos 975 patienter med kronisk spontan urtikaria varav 242 fick placebo. Totalt behandlades 733 patienter med omalizumab i upp till 12 veckor och 490 patienter i upp till 24 veckor. Av dessa behandlades 412 patienter i upp till 12 veckor och 333 patienter i upp till 24 veckor meden dos om 300 mg.
Tabell över biverkningar
Till följd av skillnader i dos och patientpopulation (med väsentligt olika riskfaktorer, komorbiditeter, samtidig medicinering och ålder [astmastudier inkluderade t.ex. barn i åldern 6-12 år]) redovisas biverkningar för kronisk spontan urtikaria i en separat tabell (tabell 5).
Tabell 5 anger biverkningar (förekomst hos ≥1 % av patienterna i någon av behandlingsgrupperna samt hos ≥2 % i någon av omalizumabgrupperna jämfört med placebo (efter medicinsk utvärdering)) för 300 mg från tre sammanslagna fas III-studier. Biverkningarna är indelade i två grupper: de som identifierades i den 12 veckor respektive 24 veckor långa behandlingsperioden.
Biverkningarna anges enligt MedDRAs organsystem. Inom varje organsystemklass presenteras biverkningarna efter frekvens med de vanligast reaktionerna först. Frekvenskategorierna definieras enligt följande: mycket vanliga (≥1/10), vanliga (≥1/100, <1/10), mindre vanliga (≥1/1 000, <1/100), sällsynta (≥1/10 000, <1/1 000), mycket sällsynta (<1/10 000)och ingen känd frekvens (kan inte beräknas från tillgängliga data).
Tabell 5 Biverkningar från den sammanslagna säkerhetsdatabasen för kronisk spontan urtikaria (dag 1 till vecka 24) med 300 mg omalizumab
I en 48 veckor lång studie fick 81 patienter med kronisk spontan urtikaria 300 mg omalizumab var fjärde vecka (se avnitt 5.1). Säkerhetsprofilen vid långtidsanvändning liknade den säkerhetsprofil som observerades i en 24-veckors studie på kronisk spontan urtikaria.
Beskrivning av utvalda biverkningar
Immunsystemet
För ytterligare information, se avsnitt 4.4.
Anafylaxi
Anafylaktiska reaktioner var sällsynta i kliniska studier. Vid en kumulativ sökning i säkerhetsdatabasen fanns emellertid totalt 898 fall av anafylaxi rapporterade efter läkemedlets godkännande för försäljning. Baserat på en beräknad exponering om 566 923 patientår motsvarar detta en rapporteringsfrekvens på cirka 0,20 %.
Arteriella tromboemboliska händelser
I kontrollerade kliniska studier och vid en interimanalys av en observationsstudie sågs en numerisk obalans av antalet ATE. Definitionen på det sammansatta effektmåttet av ATE innefattade stroke, transitorisk ischemisk attack, hjärtinfarkt, instabil angina och kardiovaskulär död (inklusive dödsfall av okänd anledning). I den slutliga analysen av observationsstudien var andelen ATE per 1 000 patientår 7,52 (115/15 286 patientår) för Xolair-behandlade patienter och 5,12 (51/9 963 patientår) för patienter i kontrollgruppen. I en multivariantanalys som tog hänsyn till kardiovaskulära riskfaktorer vid baseline, var hazardkvoten 1,32 (95 % konfidensintervall 0,91-1,91). I en separat poolad analys av kliniska prövningar, vilken inkluderar alla randomiserade dubbelblinda, placebo-kontrollerade kliniska studier som varat i 8 veckor eller mer, var andelen ATE per 1 000 patientår 2,69 (5/1 856 patientår) för Xolair-behandlade patienter och 2,38 (4/1 680 patientår) för placebobehandlade patienter (frekvenskvot 1,13; 95 % konfidensintervall 0,24-5,71).
Trombocyter
I kliniska studier var det få patienter som hade trombocytvärden under den nedre gränsen av normalvärdet. Enstaka fall av idiopatisk trombocytopeni, inklusive allvarliga fall, har rapporterats efter godkännande för försäljning.
Parasitinfektioner
Hos allergiska patienter med kronisk hög risk för helmintinfektion visades i en placebokontrollerad studie en lätt numerär ökning av antalet infektioner med omalizumab, som inte var statistiskt signifikant. Förloppet, svårighetsgraden och reaktionen på infektionsbehandlingen var oförändrade (se avsnitt 4.4).
Systemisk lupus erythematosus
Fall av systemisk lupus erythematosus (SLE) har rapporterats i kliniska prövningar och efter försäljningsgodkännande hos patienter med måttlig till svår astma och kronisk spontan urtikaria. Patogenesen av SLE är inte känd.
Högsta tolererbara dos av Xolair har inte fastställts. Enstaka intravenösa doser på upp till 4 000 mg har givits till patienter utan tecken på dosbegränsande toxicitet. Den högsta kumulativa dosen som givits till patient var 44 000 mg under en 20-veckorsperiod, och den dosen ledde inte till några akuta biverkningar.
Vid misstänkt överdos ska patienten övervakas avseende avvikande tecken och symtom och relevant medicinsk behandling sättas in.
Allergisk astma
Xolair är avsett för vuxna, ungdomar och barn (6 till <12 år).
Behandling med Xolair är endast avsedd för patienter med tydlig IgE (immunglobulin E)-medierad astma (se avsnitt 4.2).
Vuxna och ungdomar (från 12 års ålder)
Xolair är indicerat som tilläggsbehandling för bättre kontroll av astma hos patienter med svår, allergisk astma, som visat positivt hudtest eller in vitro reaktion på perenn luftvägsallergen och som har nedsatt lungfunktion (FEV1 <80 %) samt frekventa symtom dagtid eller nattliga uppvakningar och som upplevt flera svåra dokumenterade astmaexacerbationer, trots en daglig hög dos av inhalationssteroider plus en långverkande inhalations-beta‑2-agonist.
Barn (från 6 till <12 års ålder)
Xolair är indicerat som tilläggsbehandling för bättre kontroll av astma hos patienter med svår, allergisk astma, som visat positivt hudtest eller in vitro-reaktion på perenn luftvägsallergen samt frekventa symtom dagtid eller nattliga uppvakningar och som upplevt flera svåra dokumenterade astmaexacerbationer, trots en daglig hög dos av inhalationssteroider plus en långverkande inhalations-beta‑2-agonist.
Kronisk rinosinuit med näspolyper
Xolair är indicerat som tilläggsbehandling tillsammans med intranasala kortikosteroider hos vuxna (från 18 års ålder) med svår kronisk rinosinuit med näspolyper och för vilka behandling med intranasala kortikosteroider inte leder till tillfredsställande sjukdomskontroll.
Kronisk spontan urtikaria
Xolair är indicerat som tilläggsbehandling vid behandling av kronisk spontan urtikaria hos vuxna och ungdomar (från 12 års ålder) med otillräcklig effekt av antihistamin H1-behandling.
Behandling skall initieras av läkare med erfarenhet av diagnostisering och behandling av svår astma, kronisk rinosinuit med näspolyper eller kronisk spontan urtikaria.
Dosering
Allergisk astma och kronisk rinosinuit med näspolyper
Dosering av allergisk astma och kronisk rinosinuit med näspolyper följer samma doseringsprinciper. Lämplig dos och doseringsintervall av omalizumab vid dessa sjukdomar bestäms utifrån utgångsvärdet av IgE (IE/ml), uppmätt före behandlingsstart, samt kroppsvikten (kg). Innan den första dosen ges skall patienten få sitt IgE-värde uppmätt med någon kommersiellt tillgänglig analysmetod för total-IgE i serum för dosbestämning. Baserat på dessa resultat kan 75 till 600 mg omalizumab behöva ges i form av 1‑4 injektioner vid varje administreringstillfälle.
Patienter med allergisk astma som hade ett utgångsvärde för IgE under 76 IE/ml hade lägre sannolikhet att ha nytta av behandlingen (se avsnitt 5.1). Förskrivande läkare skall före behandling säkerställa att vuxna och ungdomar med IgE-värde under 76 IE/ml och barn (från 6 till <12 års ålder) med IgE-värde under 200 IE/ml visar en tydlig in vitro-reaktion (RAST eller motsvarande) mot ett perenn allergen.
Se tabell 1 för omräkning och tabell 2 och 3 för dosering.
Patienter vars utgångsvärde för IgE eller kroppsvikt i kilogram är utanför gränserna i doseringstabellen skall inte behandlas med omalizumab.
Den högsta rekommenderade dosen är 600 mg omalizumab varannan vecka.
Tabell 1 Omräkning från dos till antal förfyllda injektionssprutor/injektionspennor*, antal injektioner** och total injektionsvolym vid varje administreringstillfälle
*Xolair 300 mg förfylld spruta och alla styrkor av Xolair förfylld injektionspenna är inte avsedda att användas hos patienter <12 års ålder.
**Denna tabell anger det minsta antalet injektioner hos en patient. Det finns även andra doskombinationer av spruta/injektionspenna som är möjliga för att uppnå önskad dos.
Tabell 2 ADMINISTRERING VAR FJÄRDE VECKA. Dosering av omalizumab (milligram per dos) givet som subkutan injektion var fjärde vecka
*Kroppsvikt under 30 kg studerades inte i de pivotala studierna på kronisk rinosinuit med näspolyper.
Tabell 3 ADMINISTRERING VARANNAN VECKA. Dosering av omalizumab (milligram per dos) givet som subkutan injektion varannan vecka
*Kroppsvikt under 30 kg studerades inte i de pivotala studierna på kronisk rinosinuit med näspolyper.
Behandlingslängd, monitorering och dosjustering
Allergisk astma
Xolair är avsett för långtidsbehandling. Kliniska prövningar har visat att det tar minst 12‑16 veckor innan behandlingen uppvisar effekt. Efter 16 veckors behandling med Xolair skall patienterna bedömas av sin läkare avseende behandlingseffekt innan ytterligare injektioner ges. Ett beslut att fortsätta med behandling skall baseras på om en markant förbättring av den totala astmakontrollen kan ses. Detta gäller både efter 16 veckors behandling samt vid efterföljande besök (se avsnitt 5.1, Prövarens totalbedömning av behandlingseffekten).
Kronisk rinosinuit med näspolyper
I kliniska studier på kronisk rinosinuit med näspolyper observerades förändringar efter 4 veckor i ”nasal polyp score” (NPS) samt ”nasal congestion score” (NCS). Behovet av kontinuerlig behandling ska utvärderas regelbundet baserat på allvarlighetsgraden av patientens sjukdom samt nivå av symtomkontroll.
Allergisk astma och kronisk rinosinuit med näspolyper
Utsättning av behandling leder i allmänhet till återgång till förhöjda nivåer av fritt IgE och tillhörande symtom. De totala IgE-nivåerna är förhöjda under behandlingen och är fortsatt förhöjda i upp till ett år efter avslutad behandling. Därför kan inte förnyade analyser av IgE-värdena under behandling användas som vägledning för dosbestämning. Dosbestämning efter behandlingsavbrott under kortare tid än ett år skall baseras på de IgE-nivåer i serum som uppmättes vid den initiala dosbestämningen. Förnyad analys av totalnivåerna av serum-IgE kan utföras för dosbestämning i de fall behandlingen varit avbruten i ett år eller längre.
Dosen skall justeras vid betydande förändringar av kroppsvikten (se tabell 2 och 3).
Kronisk spontan urtikaria
Rekommenderad dos är 300 mg som subkutan injektion var fjärde vecka. Varje 300 mg dos ges som en subkutan injektion på 300 mg eller som två subkutana injektioner på 150 mg.
Förskrivare rekommenderas att regelbundet ompröva behovet av fortsatt behandling.
Erfarenhet från kliniska studier avseende långtidsbehandling för denna indikation finns beskrivet i avsnitt 5.1.
Speciella patientpopulationer
Äldre (över 65 år)
Tillgängliga data avseende behandling av personer över 65 års ålder med omalizumab är begränsade, men det finns inget som talar för att äldre patienter behöver annan dos än yngre vuxna patienter.
Nedsatt njur- eller leverfunktion
Inga studier har genomförts för att studera farmakokinetiken av omalizumab hos patienter med nedsatt njur- eller leverfunktion. Eftersom clearance av omalizumab vid kliniska doser domineras av det retikuloendoteliala systemet (RES) torde det inte påverkas av nedsatt njur- eller leversjukdom. Trots att ingen dosjustering rekommenderas för dessa patienter skall omalizumab administreras med försiktighet (se avsnitt 4.4).
Pediatrisk population
Vid allergisk astma har säkerhet och effekt för omalizumab hos patienter under 6 år inte fastställts. Inga data finns tillgängliga.
Vid kronisk rinosinuit med näspolyper har säkerhet och effekt för omalizumab hos patienter under 18 år inte fastställts. Inga data finns tillgängliga.
Vid kronisk spontan urtikaria har säkerhet och effekt för omalizumab hos patienter under 12 år inte fastställts. Inga data finns tillgängliga.
Administreringssätt
Enbart för subkutan administrering. Omalizumab får inte administreras intravenöst eller intramuskulärt.
Xolair 300 mg förfylld spruta och alla dosstyrkor av Xolair förfylld injektionspenna är inte avsedda att användas hos patienter <12 års ålder. Xolair 75 mg förfylld spruta och Xolair 150 mg förfylld spruta kan användas hos barn 6 till 11 år med allergisk astma.
Om mer än en injektion krävs för att uppnå önskad dos ska injektionerna delas upp på två eller fler injektionsställen (Tabell 1).
Patienter utan anamnes på anafylaxi kan själv eller med hjälp av en annan person (t ex anhörig) administrera Xolair från och med den 4:e dosen om behandlande läkare bedömer detta lämpligt (se avsnitt 4.4). Patienten och den som ger injektionen måste utbildas i rätt injektionsteknik och lära sig känna igen tidiga tecken och symtom på allvarliga allergiska reaktioner.
Den som injicerar ska instrueras att injicera hela mängden av Xolair enligt användarinstruktionerna i bipacksedeln.
Överkänslighet mot den aktiva substansen eller mot något hjälpämne som anges i avsnitt 6.1.
Spårbarhet
För att underlätta spårbarhet av biologiska läkemedel ska läkemedlets namn och tillverkningssatsnummer dokumenteras.
Allmänt
Omalizumab är inte indicerat för behandling av akuta astmaexacerbationer, akut bronkospasm eller status asthmaticus.
Omalizumab har inte studerats hos patienter med hyperimmunoglobulin E-syndrom eller allergisk bronkopulmonell aspergillos eller vid förebyggande behandling av anafylaktiska reaktioner, inkluderande sådana som framkallats av födoämnesallergi, atopisk dermatit eller allergisk rinit. Omalizumab är inte indicerat vid dessa tillstånd.
Omalizumab har inte studerats hos patienter med autoimmuna sjukdomar, immunkomplexmedierade tillstånd eller med redan existerande nedsatt njur- eller leverfunktion (se avsnitt 4.2). Försiktighet skall iakttas när omalizumab ges till dessa patientgrupper.
Plötsligt avbrytande av behandling med systemiska eller inhalerade steroider efter insättande av omalizumab vid allergisk astma eller kronisk rinosinuit med näspolyper rekommenderas inte. Sänkning av steroiddosen skall göras under överinseende av läkare och kan behöva göras successivt.
Immunsystemet
Allergiska typ I-reaktioner
Lokala eller systemiska allergiska typ I-reaktioner, inkluderande anafylaxi och anafylaktisk chock, kan uppträda vid behandling med omalizumab även efter en lång tids användning. De flesta av dessa reaktioner inträffade emellertid inom 2 timmar efter den första eller de efterföljande injektionerna av omalizumab, men vissa inträffade 2 timmar, och till och med 24 timmar, efter injektion. Majoriteten av anafylaktiska reaktioner inträffade i samband med de första 3 doserna av omalizumab. De första 3 doserna måste därför administreras av, eller under överinseende av, sjukvårdspersonal. Anamnes på anafylaxi, som inte relateras till omalizumab, kan vara en riskfaktor för anfylaxi i samband med omalizumab-behandling. Hos patienter med anamnes på anafylaxi måste därför omalizumab administreras av sjukvårdspersonal, som alltid ska ha läkemedel för behandling av anafylaktiska reaktioner tillgängliga för omedelbar användning efter administrering av omalizumab. Om en anafylaktisk eller annan allvarlig allergisk reaktion inträffar, måste administrering av omalizumab omedelbart avbrytas och lämplig behandling sättas in. Patienterna skall informeras om att sådana reaktioner kan uppträda och att man då omedelbart skall söka medicinsk vård.
Ett litet antal patienter har i kliniska studier uppvisat antikroppar mot omalizumab (se avsnitt 4.8). Den kliniska betydelsen av dessa antikroppar är inte känd.
Serumsjuka
Serumsjuka och serumsjukeliknande reaktioner, vilka är sena allergiska typ III-reaktioner, har setts hos patienter som behandlats med humaniserade monoklonala antikroppar inklusive omalizumab. Den föreslagna patofysiologiska mekanismen inkluderar immunkomplexbildning och depositon på grund av antikroppsbildning mot omalizumab. Reaktionen uppstår 1‑5 dagar efter den första eller de efterföljande injektionerna och kan inträffa även efter en längre tids användning. Symtom som tyder på serumsjuka inkluderar artrit/artralgi, hudutslag (urtikaria eller annan typ), feber och lymfadenopati. Antihistaminer och kortikosteroider kan användas för att förebygga eller behandla detta tillstånd och patienter ska uppmanas att rapportera alla misstänkta symtom.
Churg-Strauss syndrom och hypereosinofilt syndrom
Patienter med svår astma kan i sällsynta fall uppvisa systemiskt hypereosinofilt syndrom eller allergisk eosinofil granulomatös vaskulit (Churg-Strauss syndrom), vilka båda vanligtvis behandlas med systemiska kortikosteroider.
I sällsynta fall kan patienter som behandlas med antiastmatiska läkemedel, inklusive omalizumab, uppvisa eller utveckla systemisk eosinofili och vaskulit. Dessa händelser är ofta kopplade till minskning av oral kortikosteroidterapi.
Hos dessa patienter ska läkare vara uppmärksamma på uppkomst av uttalad eosinofili, utslag orsakade av vaskulit, försämrade pulmonella symtom, bihåleförändringar, kardiella komplikationer och/eller neuropati.
Vid alla svåra fall av immunsystempåverkan som nämnts ovan ska avbrytande av behandlingen med omalizumab övervägas.
Parasitinfektioner (helmint)
IgE kan involveras i den immunologiska reaktionen för vissa helmintinfektioner. Hos patienter med kronisk hög risk för helmintinfektion visade en placebokontrollerad studie på allergiska patienter en lätt ökning av antalet infektioner vid behandling med omalizumab, trots att förloppet, svårighetsgraden och svaret på infektionsbehandlingen var oförändrade. Antalet helmintinfektioner i det totala kliniska programmet, som inte var avsett för att upptäcka sådana infektioner, var mindre än 1 på 1 000 patienter. Försiktighet är emellertid berättigad hos patienter med hög risk att få helmintinfektion, i synnerhet vid resa i områden där helmintinfektion är en endemisk sjukdom. Om patienterna inte svarar på den rekommenderade antihelmintbehandlingen skall utsättning av omalizumab övervägas.
Latex-känsliga personer (förfylld spruta)
Det löstagbara nålskyddet hos denna förfyllda spruta innehåller ett derivat av naturgummilatex. Hittills har inget naturgummilatex påträffats i det löstagbara nålskyddet. Användningen av Xolair injektionsvätska, lösning i förfylld spruta hos latex-känsliga personer har dock inte studerats och därför kan en potentiell risk för överkänslighetsreaktioner inte helt uteslutas.
Eftersom IgE kan vara inblandad i den immunologiska reaktionen för vissa helmintinfektioner, kan omalizumab möjligen indirekt minska effekten av läkemedel för behandling av helmint- eller andra parasitinfektioner (se avsnitt 4.4).
Cytokrom P450-enzymer, effluxpumpar och proteinbindningsmekanismer är inte inblandade i clearance av omalizumab, och därmed finns liten potential för interaktioner. Läkemedels- eller vaccininteraktionsstudier har inte utförts med omalizumab. Det finns ingen farmakologisk anledning att förvänta sig att läkemedel som förskrivs ofta för behandling av astma, kronisk rinosinuit med näspolyper eller kronisk spontan urtikaria skulle interagera med omalizumab.
Allergisk astma
Omalizumab har vanligtvis använts tillsammans med inhalations- och orala kortikosteroider, kort- och långverkande inhalations-beta-agonister, leukotrienmodifierare, teofylliner och orala antihistaminer i kliniska studier. Det fanns inga indikationer på att säkerheten hos omalizumab förändrades vid användning tillsammans med dessa andra vanligen använda läkemedlen mot astma. Det finns begränsade data på samtidig användning av omalizumab och specifik immunterapi (hyposensibiliseringsterapi). I en klinisk studie där omalizumab gavs tillsammans med immunterapi sågs ingen skillnad i säkerhet och effekt för omalizumab i kombination med specifik immunterapi, jämfört med omalizumab givet ensamt.
Kronisk rinosinuit med näspolyper
I kliniska studier har omalizumab enligt protokoll använts tillsammans med mometason nässpray. Andra läkemedel som vanligtvis användes samtidigt inkluderade andra intranasala kortikosteroider, bronkodilatorer, antihistaminer, leukotrienreceptorantagonister, adrenergika/sympatomimetika samt nasal lokalanestetika. Det fanns inga indikationer på att säkerheten hos omalizumab förändrades vid samtidig användning av dessa vanligtvis använda läkemedel.
Kronisk spontan urtikaria
I kliniska studier på kronisk spontan urtikaria användes omalizumab i kombination med antihistaminer (H1‑, H2-antagonister) och leukotrienreceptorantagonister. Jämfört med den kända säkerhetsprofilen för omalizumab vid allergisk astma finns inget som tyder på en förändrad säkerhet vid användning med dessa läkemedel. Dessutom visar en populationsfarmakokinetisk analys ingen relevant effekt av H2-antagonister eller leukotrienreceptorantagonister på omalizumabs farmakokinetik (se avsnitt 5.2).
Pediatrisk population
Kliniska studier på kronisk spontan urtikaria med omalizumab i kombination med antihistaminer (H1‑, H2-antagonister) och leukotrienreceptorantagonister inkluderade patienter i åldern 12 till 17 år. Inga studier har utförts på barn under 12 år.
Graviditet
En måttlig mängd data från gravida kvinnor (mellan 300‑1 000 graviditeter) baserade på graviditetsregister och spontana rapporter efter marknadsgodkännande, tyder inte på någon missbildnings- eller foster/neonatal toxicitet. En prospektiv registerstudie (EXPECT) på 250 gravida kvinnor med astma som behandlats med omalizumab visade att prevalensen för allvarliga medfödda anomaliteter var jämförbar (8,1 % mot 8,9 %) mellan patienter behandlade med Xolair och patienter med motsvarande sjukdomstillstånd (måttlig till allvarlig astma). Tolkningen av data kan vara påverkad av metodologiska begränsningar i studien, inkluderande ett litet antal patienter och en icke-randomiserad studiedesign.
Omalizumab passerar placentabarriären, men djurstudier tyder varken på direkta eller indirekta reproduktionstoxikologiska effekter (se avsnitt 5.3).
Omalizumab har förknippats med en åldersberoende minskning av antalet trombocyter hos primater, där unga djur är mer känsliga än äldre djur (se avsnitt 5.3).
Omalizumab kan övervägas under graviditet om det är kliniskt nödvändigt.
Amning
Immunglobulin G (IgG) förekommer i bröstmjölk och det är därför förväntat att omalizumab förekommer i bröstmjölk. Tillgängliga data har visat att omalizumab utsöndras i bröstmjölken hos icke-humana primater (se avsnitt 5.3).
EXPECT-studien med 154 spädbarn som exponerats för omalizumab under graviditet och genom amning indikerade inte biverkningar hos de spädbarn som ammats. Tolkningen av data kan vara påverkad av metodologiska begränsningar i studien, inkluderande ett litet antal patienter och en icke-randomiserad studiedesign.
Immunglobulin G-proteiner genomgår intestinal proteolys och har låg biotillgänglighet när de ges oralt. Inga effekter förväntas på ammande nyfödda/spädbarn. Följaktligen kan användning av omalizumab under amning övervägas om det är kliniskt nödvändigt.
Fertilitet
Det finns inga humandata för omalizumab avseende fertilitet. I särskilt utformade icke kliniska fertilitetsstudier i icke-humana primater, innefattande parningsstudier, sågs ingen nedsatt fertilitet hos honor eller hanar efter upprepad dosering av omalizumab vid doser upp till 75 mg/kg. Inte heller observerades genotoxiska effekter i en separat icke-klinisk genotoxicitetsstudie.
Omalizumab har ingen eller försumbar effekt på förmågan att framföra fordon och använda maskiner.
Allergisk astma och kronisk rinosinuit med näspolyper
Sammanfattning av säkerhetsprofilen
I kliniska prövningar på allergisk astma hos vuxna och ungdomar från 12 års ålder var de vanligast rapporterade biverkningarna huvudvärk, reaktioner på injektionsstället, inklusive smärta på injektionsstället, svullnad, erytem och pruritus. I kliniska prövningar på barn från 6 till <12 år var de vanligast rapporterade biverkningarna huvudvärk, feber och smärta i övre buken. De flesta reaktionerna var lätta eller måttliga i svårighetsgrad. I kliniska studier på patienter ≥18 års ålder vid kronisk rinosinuit med näspolyper var de vanligast rapporterade biverkningarna huvudvärk, yrsel, artralgi, smärta i övre buken och reaktioner på injektionsstället.
Tabell över biverkningar
Tabell 4 tar upp de biverkningar som rapporterats vid kliniska prövningar i den totala säkerhetspopulationen vid allergisk astma och kronisk rinosinuit med näspolyper som behandlats med Xolair per organsystemklass enligt MedDRA och frekvens. Biverkningarna presenteras inom varje frekvensområde efter fallande allvarlighetsgrad. Frekvenskategorierna definieras enligt följande: mycket vanliga (≥1/10), vanliga (≥1/100, <1/10), mindre vanliga (≥1/1 000, <1/100), sällsynta (≥1/10 000, <1/1 000) och mycket sällsynta (<1/10 000). Händelser rapporterade efter godkännande för försäljning anges med frekvensen ingen känd frekvens (kan inte beräknas från tillgängliga data).
Tabell 4 Biverkningar vid allergisk astma och kronisk rinosinuit med näspolyper
*: Mycket vanliga hos barn från 6 till <12 år
**: Hos barn från 6 till <12 år
#: Vanlig i studier på näspolyper
†: Ingen känd frekvens i studier på allergisk astma
Kronisk spontan urtikaria
Sammanfattning av säkerhetsprofilen
Säkerhet och tolerabilitet av omalizumab, i doser om 75 mg, 150 mg och 300 mg var fjärde vecka, undersöktes hos 975 patienter med kronisk spontan urtikaria varav 242 fick placebo. Totalt behandlades 733 patienter med omalizumab i upp till 12 veckor och 490 patienter i upp till 24 veckor. Av dessa behandlades 412 patienter i upp till 12 veckor och 333 patienter i upp till 24 veckor meden dos om 300 mg.
Tabell över biverkningar
Till följd av skillnader i dos och patientpopulation (med väsentligt olika riskfaktorer, komorbiditeter, samtidig medicinering och ålder [astmastudier inkluderade t.ex. barn i åldern 6-12 år]) redovisas biverkningar för kronisk spontan urtikaria i en separat tabell (tabell 5).
Tabell 5 anger biverkningar (förekomst hos ≥1 % av patienterna i någon av behandlingsgrupperna samt hos ≥2 % i någon av omalizumabgrupperna jämfört med placebo (efter medicinsk utvärdering)) för 300 mg från tre sammanslagna fas III-studier. Biverkningarna är indelade i två grupper: de som identifierades i den 12 veckor respektive 24 veckor långa behandlingsperioden.
Biverkningarna anges enligt MedDRAs organsystem. Inom varje organsystemklass presenteras biverkningarna efter frekvens med de vanligast reaktionerna först. Frekvenskategorierna definieras enligt följande: mycket vanliga (≥1/10), vanliga (≥1/100, <1/10), mindre vanliga (≥1/1 000, <1/100), sällsynta (≥1/10 000, <1/1 000), mycket sällsynta (<1/10 000)och ingen känd frekvens (kan inte beräknas från tillgängliga data).
Tabell 5 Biverkningar från den sammanslagna säkerhetsdatabasen för kronisk spontan urtikaria (dag 1 till vecka 24) med 300 mg omalizumab
I en 48 veckor lång studie fick 81 patienter med kronisk spontan urtikaria 300 mg omalizumab var fjärde vecka (se avnitt 5.1). Säkerhetsprofilen vid långtidsanvändning liknade den säkerhetsprofil som observerades i en 24-veckors studie på kronisk spontan urtikaria.
Beskrivning av utvalda biverkningar
Immunsystemet
För ytterligare information, se avsnitt 4.4.
Anafylaxi
Anafylaktiska reaktioner var sällsynta i kliniska studier. Vid en kumulativ sökning i säkerhetsdatabasen fanns emellertid totalt 898 fall av anafylaxi rapporterade efter läkemedlets godkännande för försäljning. Baserat på en beräknad exponering om 566 923 patientår motsvarar detta en rapporteringsfrekvens på cirka 0,20 %.
Arteriella tromboemboliska händelser
I kontrollerade kliniska studier och vid en interimanalys av en observationsstudie sågs en numerisk obalans av antalet ATE. Definitionen på det sammansatta effektmåttet av ATE innefattade stroke, transitorisk ischemisk attack, hjärtinfarkt, instabil angina och kardiovaskulär död (inklusive dödsfall av okänd anledning). I den slutliga analysen av observationsstudien var andelen ATE per 1 000 patientår 7,52 (115/15 286 patientår) för Xolair-behandlade patienter och 5,12 (51/9 963 patientår) för patienter i kontrollgruppen. I en multivariantanalys som tog hänsyn till kardiovaskulära riskfaktorer vid baseline, var hazardkvoten 1,32 (95 % konfidensintervall 0,91-1,91). I en separat poolad analys av kliniska prövningar, vilken inkluderar alla randomiserade dubbelblinda, placebo-kontrollerade kliniska studier som varat i 8 veckor eller mer, var andelen ATE per 1 000 patientår 2,69 (5/1 856 patientår) för Xolair-behandlade patienter och 2,38 (4/1 680 patientår) för placebobehandlade patienter (frekvenskvot 1,13; 95 % konfidensintervall 0,24-5,71).
Trombocyter
I kliniska studier var det få patienter som hade trombocytvärden under den nedre gränsen av normalvärdet. Enstaka fall av idiopatisk trombocytopeni, inklusive allvarliga fall, har rapporterats efter godkännande för försäljning.
Parasitinfektioner
Hos allergiska patienter med kronisk hög risk för helmintinfektion visades i en placebokontrollerad studie en lätt numerär ökning av antalet infektioner med omalizumab, som inte var statistiskt signifikant. Förloppet, svårighetsgraden och reaktionen på infektionsbehandlingen var oförändrade (se avsnitt 4.4).
Systemisk lupus erythematosus
Fall av systemisk lupus erythematosus (SLE) har rapporterats i kliniska prövningar och efter försäljningsgodkännande hos patienter med måttlig till svår astma och kronisk spontan urtikaria. Patogenesen av SLE är inte känd.
Rapportering av misstänkta biverkningar
Högsta tolererbara dos av Xolair har inte fastställts. Enstaka intravenösa doser på upp till 4 000 mg har givits till patienter utan tecken på dosbegränsande toxicitet. Den högsta kumulativa dosen som givits till patient var 44 000 mg under en 20-veckorsperiod, och den dosen ledde inte till några akuta biverkningar.
Vid misstänkt överdos ska patienten övervakas avseende avvikande tecken och symtom och relevant medicinsk behandling sättas in.
Allergisk astma
Histaminfrisättningen in vitro från basofila celler som isolerats från personer som behandlats med omalizumab minskade med cirka 90 % efter stimulering med ett allergen, jämfört med värdena före behandlingen.
I kliniska studier på patienter med allergisk astma reducerades nivåerna av fritt IgE i serum på ett dosberoende sätt inom en timme efter den första dosen och dessa nivåer kvarstod mellan doserna. Ett år efter utsättningen av omalizumab hade IgE-nivåerna återgått till samma nivåer som före behandlingen utan observerad rebound-effekt vad avser IgE-nivåerna efter utsättningen av läkemedlet.
Kronisk rinosinuit med näspolyper
I kliniska studier på patienter med kronisk rinosinuit med näspolyper ledde omalizumab-behandling till en minskning av serumfritt IgE (cirka 95 %) och en ökning av totala IgE-nivåer i serum, i samma utsträckning som observerats hos patienter med allergisk astma. De totala IgE-nivåerna i serum ökade på grund av bildandet av omalizumab-IgE-komplex som har en långsammare eliminationsgrad jämfört med fritt IgE.
Kronisk spontan urtikaria
Verkningsmekanism
Omalizumab är en rekombinant DNA-deriverad humaniserad monoklonal antikropp, som selektivt binds till humant immunoglobulin E (IgE) och sänker nivåerna av fritt IgE. Antikroppen är av IgG1-kappatyp och innehåller humana, strukturella regioner med samma bindningsställekarakteristika som en murin moderantikropp som binder till IgE. Följaktligen nedregleras IgE-receptorerna (FcεRI) på cellerna. Det är inte helt klarlagt hur detta resulterar i en förbättring av symtomen vid kronisk spontan urtikaria.
Farmakodynamisk effekt
I kliniska studier på patienter med kronisk spontan urtikaria sågs en maximal minskning av fritt IgE 3 dagar efter den första subkutana dosen. Efter upprepad dosering en gång var fjärde vecka var nivåerna i serum av fritt IgE före injektion fortsatt stabila mellan 12 och 24 veckors behandling. Efter utsättning av omalizumab ökade nivåerna av fritt IgE under en 16 veckor behandlingsfri uppföljningsperiod till nivåer som hade uppmätts före behandlingen.
Klinisk effekt och säkerhet
Allergisk astma
Vuxna och ungdomar från 12 års ålder
Effekten och säkerheten av omalizumab visades i en 28-veckors, dubbelblind, placebokontrollerad studie (studie 1) som inkluderade 419 svårt allergiska astmatiker i åldrarna 12‑79 år, med nedsatt lungfunktion (FEV1 40‑80 % av beräknat normalvärde) och dålig kontroll av astmasymtomen, trots högdos inhalationssteroider och långverkande beta‑2-agonist. Patienterna hade haft multipla astmaexacerbationer som krävde behandling med systemiska steroider eller hade varit intagna på sjukhus eller sökt akutmottagning på grund av svår astmaexacerbation under det senaste året, trots kontinuerlig behandling med högdos inhalationssteroider och en långverkande beta‑2-agonist. Subkutant omalizumab eller placebo gavs i kombination med >1 000 mikrogram beklometasondipropionat (eller liknande) plus en långverkande beta‑2-agonist. Underhållsbehandling med orala steroider, teofyllin och leukotrienmodifierare var tillåtet (22 %, 27 % respektive 35 % av patienterna).
Den primära effektvariablen var antalet astmaexacerbationer som krävde behandling med systemiska steroider. Omalizumab reducerade antalet astmaexacerbationer med 19 % (p = 0,153). Ytterligare utvärderingar som visade statistisk signifikans (p<0,05) till förmån för omalizumab inkluderade minskning av antalet svåra exacerbationer (där patientens lungfunktion var reducerad till mindre än 60 % av personbästa och krävde behandling med systemiska kortikosteroider) och astmarelaterade akutbesök (inkluderande intagning på sjukhus, besök på akutmottagningen samt oplanerade läkarbesök) samt förbättringar enligt prövarens totalbedömning av behandlingseffekten, astmarelaterad livskvalitet (AQL), astmasymtom och lungfunktion.
I en subgruppsanalys hade patienter med ett totalt IgE-värde om ≥76 IE/ml före behandling större sannolikhet att erhålla kliniskt betydelsefull effekt av omalizumab. Hos dessa patienter i studie 1 minskade omalizumab antalet astmaexacerbationer med 40 % (p = 0,002). Dessutom uppvisade fler patienter i populationen med totalt IgE-värde ≥76 IE/ml kliniskt betydelsefulla behandlingssvar genom hela omalizumab-programmet för behandling av svår astma. Tabell 6 inkluderar resultaten från studie 1-populationen.
Tabell 6 Resultat från studie 1
* Markant förbättring eller fullständig kontroll
** p-värde för total bedömning
Studie 2 bedömde effekten och säkerheten av omalizumab i en population av 312 svårt allergiska astmatiker, som motsvarade populationen i studie 1. Behandlingen med omalizumab i denna öppna studie resulterade i en minskning med 61 % av antalet kliniskt signifikanta astmaexacerbationer, jämfört med enbart gängse astmaterapi.
Ytterligare fyra stora, placebokontrollerade, stödjande studier under 28 till 52 veckors tid på 1 722 vuxna och ungdomar (studierna 3, 4, 5, 6) bedömde effekten och säkerheten av omalizumab hos patienter med svår allergisk astma. De flesta patienterna kontrollerades otillräckligt men fick mindre samtidig astmabehandling än patienterna i studierna 1 eller 2. Studierna 3‑5 använde exacerbation som primär effektvariabel, medan studie 6 primärt bedömde besparing av inhalationssteroider.
De patienter som behandlades med omalizumab i studierna 3, 4 och 5 hade en minskning av antalet astmaexacerbationer med 37,5 % (p=0,027), 40,3 % (p<0,001) respektive 57,6 % (p<0,001), jämfört med placebo.
I studie 6, kunde signifikant fler patienter med svår allergisk astma, som behandlades med omalizumab, minska sin flutikasondos till ≤500 mikrogram/dag utan att försämra astmakontrollen (60,3 %), jämfört med placebogruppen (45,8 %, p<0,05).
Livskvalitetspoäng uppmättes med hjälp av Juniper Asthma-related Quality of Life Questionnaire. I alla sex studierna visades en statistiskt signifikant förbättring från utgångsvärdet i livskvalitetspoäng för omalizumab-patienterna, jämfört med placebo eller kontrollgruppen.
Prövarens totalbedömning av behandlingseffekten:
En klinisk bedömning av behandlingseffekten utfördes av den behandlande läkaren i fem av studierna ovan såsom ett övergripande mått på astmakontroll. Läkarens bedömning inkluderade PEF (peak expiratory flow), dag- och nattsymtom, användning av akut medicinering, spirometri och exacerbationer. I alla fem studierna bedömdes en signifikant större andel omalizumab-behandlade patienter ha uppnått antingen en markant förbättring eller fullständig kontroll av sin astma, jämfört med placebopatienter.
Barn från 6 till <12 års ålder
Underlaget för säkerhet och effekt av omalizumab i åldersgruppen 6 till <12 år baseras på en randomiserad, dubbelblind, placebokontrollerad multicenterstudie (studie 7).
Studie 7 var en placebokontrollerad studie som inkluderade en specifik subgrupp av patienter (N=235) definierade enligt nuvarande indikation, som behandlades med inhalationssteroid i hög dos (motsvarande en dygndos på ≥500 mikrogram flutikason) och långverkande beta-agonist.
En kliniskt signifikant exacerbation definierades som en försämring av astmasymtom som, enligt prövarens bedömning, krävde en fördubbling av utgångsdosen av inhalationssteroid under minst 3 dagar och/eller tillägg av systemiska kortikosteroider (oralt eller intravenöst) under minst 3 dagar.
I den specifika subgrupp av patienter med inhalationssteroid i hög dos hade gruppen som fick omalizumab en statistiskt signifikant lägre frekvens av kliniskt signifikanta astmaexacerbationer jämfört med placebogruppen. Vid 24 veckor motsvarade skillnaden i frekvens mellan behandlingsgrupperna en minskning med 34 % (frekvenskvot 0,662, p=0,047) för patienterna med omalizumab jämfört med placebo. I den andra dubbelblinda behandlingsperioden på 28 veckor var skillnaden i frekvens mellan behandlingsgrupperna en minskning med 63 % (frekvenskvot 0,37, p<0,001) för patienterna med omalizumab jämfört med placebo.
Under den 52 veckor dubbelblinda behandlingsperioden (som inkluderade en 24 veckorsperiod med fast steroiddos och en 28 veckorsperiod med justering av steroiddosen) motsvarade skillnaden i frekvens mellan behandlingsgrupperna en relativ minskning i exacerbationer med 50 % (frekvenskvot 0,504, p<0,001) för patienterna med omalizumab.
Omalizumabgruppen uppvisade en större minskning av akut medicinering med beta-agonist jämfört med placebogruppen i slutet av den 52 veckor långa behandlingsperioden, men skillnaden mellan behandlingsgrupperna var inte statistiskt signifikant. I den sammantagna utvärderingen av behandlingseffekten i slutet av den 52 veckor långa dubbelblinda behandlingsperioden i subgruppen svåra patienter med inhalationssteroider i hög dos och långverkande beta-agonister, var andelen patienter vars behandlingseffekt klassats som ”utmärkt” högre, och andelen med ”måttlig” eller ”dålig” behandlingseffekt lägre, i omalizumabgruppen jämfört med placebogruppen. Denna skillnad mellan grupperna var statistiskt signifikant (p<0,001), medan det inte förelåg någon skillnad mellan omalizumab- och placebogrupperna avseende patienternas subjektiva bedömning av livskvaliteten.
Kronisk rinosinuit med näspolyper
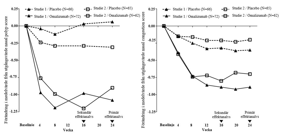
Säkerheten och effekten av omalizumab utvärderades i två randomiserade, dubbelblinda, placebokontrollerade studier hos patienter med kronisk rinosinuit med näspolyper (tabell 8). Patienter fick omalizumab eller placebo subkutant varannan eller 4:e vecka (se avsnitt 4.2). Samtliga patienter fick bakgrundsbehandling med intranasal mometason under hela studien. Tidigare sino-nasal kirurgi eller tidigare systemisk kortikosteroidanvändning krävdes inte för att inkluderas i studierna. Patienterna fick omalizumab eller placebo i 24 veckor följt av en 4-veckors uppföljningsperiod. Demografi och karaktäristika vid utgångsvärdet, inklusive allergiska komorbiditeter, beskrivs i tabell 7.
Tabell 7 Demografi och karaktäristika vid studiestart från studier på näspolyper
SD = standardavvikelse; SNOT‑22 = 22-delars sinonasalt resultattest; IgE = Immunoglobulin E; IU = internationell enhet. För NPS, NCS, och SNOT‑22 indikerar ett högre värde en högre svårighetsgrad av sjukdomen.
De kombinerade-primära effektmåtten var poäng bilateral ”nasal polyp score” (NPS) och genomsnittlig daglig ”nasal congestion score” (NCS) vid vecka 24. I båda studierna 1 och 2 vid näspolyper hade patienter som fick omalizumab statistiskt signifikant större förbättringar från utgångsvärdet vid vecka 24 i NPS och genomsnittlig NCS per vecka än patienter som fick placebo. Resultat från studierna 1 och 2 vid näspolyper visas i tabell 8.
Tabell 8 Förändring från utgångsvärdet vid vecka 24 i kliniska poäng från studie 1 samt studie 2 vid näspolyper, och poolade data
LS = minsta kvadrat; CI = konfidensintervall; TNSS = Total poäng nasala symtom; SNOT‑22 = 22‑delars sinonasalt resultattest; UPSIT = luktidentifieringstest enligt Pennsylvania-universitetet; MID = minsta betydelsefulla skillnaden.
Figur 1 Förändring i medeltal från utgångsvärdet i nasal congestion score och förändring i medeltal från utgångsvärdet i nasal polyp score per patiengrupp i studie 1 och studie 2 vid näspolyper
I en förutbestämd poolad analys av vidbehovsbehandling (systemiska kortikosteroider under ≥3 dagar i följd eller nasal polypektomi) under den 24 veckor långa behandlingsperioden var andelen patienter som krävde vidbehovsbehandling lägre hos patienter behandlade med omalizumab jämfört med placebo (2,3 % respektive 6,2 %). Oddsförhållandet för att ha tagit vidbehovsbehandling i omalizumab-armen jämfört med placebo var 0,38 (95 % CI: 0,10, 1,49). Det fanns inga rapporter om sinonasala operationer i någon av studierna.
Den långsiktiga effekten och säkerheten av omalizumab utvärderades i en öppen förlängningsstudie hos patienter med kronisk rinosinuit med näspolyper som hade deltagit i studierna 1 och 2 vid näspolyper. Effektdata från denna studie tyder på att klinisk betydelsefull effekt som erhållits vid vecka 24 kvarstod till och med vecka 52. Säkerhetsdata överrensstämnde över lag med den kända säkerhetsprofilen för omalizumab.
Kronisk spontan urtikaria
Effekt och säkerhet av omalizumab utvärderades i två randomiserade, placebokontrollerade fas III-studier (studie 1 och 2) på patienter med kronisk spontan urtikaria, vilka förblev symtomatiska trots behandling med en H1-antagonist i godkänd dos. En tredje studie (studie 3) utvärderade i första hand säkerheten av omalizumab hos patienter med kronisk spontan urtikaria, vilka förblev symtomatiska trots behandling med en H1-antagonist i upp till fyra gånger godkänd dos samt behandling med H2-antagonister och/eller leukotrienreceptorantagonister. De tre studierna inkluderade 975 patienter mellan 12 och 75 år (medelåldern var 42,3 år, 39 patienter var 12‑17 år, 54 patienter var ≥65 år, 259 patienter var män och 716 var kvinnor). Alla patienter hade otillräcklig symtomkontroll, vilket bedömdes med UAS7 ≥16 (Urticaria Activity Score under 1 vecka, intervall 0‑42) och svårighetsgrad av klåda ≥8 (del av UAS7, intervall 0‑21) under 7 dagar före randomisering, trots användning av ett antihistamin under minst 2 veckor tidigare.
I studie 1 och 2 hade patienterna ett genomsnittligt utgångsvärde av svårighetsgrad av klåda under en vecka på mellan 13,7 och 14,5 och ett genomsnittligt UAS7 på 29,5 respektive 31,7. Patienter i säkerhetsstudie 3 hade ett genomsnittligt utgångsvärde av svårighetsgrad av klåda under en vecka på 13,8 och ett genomsnittligt UAS7 på 31,2. I alla tre studierna rapporterade patienterna användning av i genomsnitt 4‑6 läkemedel (inklusive antihistamin H1-behandling) för sina symtom på kronisk spontan urtikaria före inklusion i studien. Patienterna fick 75 mg, 150 mg eller 300 mg omalizumab eller placebo som subkutan injektion var fjärde vecka i 24 respektive 12 veckor i studie 1 och 2. I studie 3 fick de 300 mg eller placebo som subkutan injektion var fjärde vecka i 24 veckor. Samtliga studier hade en 16 veckors behandlingsfri uppföljningsperiod.
Det primära effektmåttet var förändring av svårighetsgrad av klåda under en vecka från utgångsvärdet till vecka 12. Med 300 mg omalizumab minskade svårighetsgraden av klåda med 8,55-9,77 (p<0,0001) jämfört med en minskning med 3,63-5,14 för placebo (se tabell 9). Även UAS7 ≤6 (vid vecka 12) var statistiskt signifikant och 300 mg gav ett bättre behandlingssvar på 52‑66 %, jämfört med 11‑19 % för placebo (p<0,0001). Fullständigt svar (UAS7 =0) uppnåddes hos 34‑44 % av patienterna som behandlades med 300 mg, jämfört med 5‑9 % av patienterna som fick placebo (p<0,0001). Patienter som fick 300 mg uppnådde den högsta genomsnittliga andelen dagar utan angioödem från vecka 4 till vecka 12 (91,0‑96,1 %, p<0,001) jämfört med motsvarande placebogrupper (88,1‑89,2 %). Genomsnittlig förändring av total livskvalitet, mätt med DLQI från utgångsvärdet till vecka 12, var större för 300 mg än för placebo (p<0,001) och visade en förbättring på 9,7‑10,3 poäng, jämfört med 5,1‑6,1 poäng för motsvarande placebogrupper.
Tabell 9 Förändring av svårighetsgrad av klåda från utgångsvärdet till vecka 12, studie 1, 2 och 3 (mITT-population*)
*Modifierad intent-to-treat-(mITT)-population: inkluderar alla patienter som randomiserades och som fick minst en dos av studieläkemedlet.
BOCF (Baseline Observation Carried Forward) användes för att imputera saknade uppgifter.
1 Minsta kvadratmedelvärdet beräknades med hjälp av en ANCOVA-modell. Strata var utgångsvärdet av svårighetsgrad av klåda under en vecka (<13 mot ≥13) och utgångsvärdet av vikten (<80 kg mot ≥80 kg).
2 p-värden kommer från ANCOVA t-test.
Figur 2 visar den genomsnittliga svårighetsgraden av klåda över tid i studie 1. Det genomsnittliga värdet för svårighetsgraden av klåda minskade signifikant med en maximal effekt runt vecka 12, vilken kvarstod under den 24 veckor långa behandlingsperioden. Jämförbara resultat sågs i studie 3.
I samtliga tre studier ökade den genomsnittliga svårighetsgraden av klåda gradvis under den 16 veckor behandlingsfria uppföljningsperioden, samtidigt som symtomen återkom. Medelvärden vid slutet av uppföljningsperioden var jämförbara med placebo, men lägre än motsvarande genomsnittliga utgångsvärden.
Figur 2 Genomsnittlig svårighetsgrad av klåda över tid, studie 1 (mITT-population)
BOCF=baseline observation carried forward; mITT=modifierad intention-to-treat population
Storleken på de observerade effektmåtten av behandlingen vid vecka 24 var jämförbara med de som observerades vid vecka 12:
I studie 1 och 3 var den genomsnittliga minskningen från utgångsvärdet av svårighetsgrad av klåda under en vecka 9,8 respektive 8,6 för 300 mg. Andelen patienter med UAS7 ≤6 var 61,7 % respektive 55,6 % och andelen patienter med fullständigt svar (UAS7 =0) var 48,1 % respektive 42,5 %, (p<0,0001 för samtliga jämförelser med placebo).
Data från kliniska prövningar hos ungdomar (12‑17 år) innefattar totalt 39 patienter, varav 11 fick dosen 300 mg. Resultaten för 300 mg, 9 patienter vid vecka 12 och 6 patienter vid vecka 24, visar liknande behandlingsresultat som hos vuxna. Genomsnittlig förändring från utgångsvärdet av svårighetsgrad av klåda under en vecka visade en minskning med 8,25 vid vecka 12 och 8,95 vid vecka 24. Andelen patienter som hade UAS7 =0 var 33 % vid vecka 12 och 67 % vid vecka 24 och andelen som hade UAS7 ≤6 var 56 % vid vecka 12 och 67 % vid vecka 24.
I en 48 veckor lång studie inkluderades 206 patienter mellan 12 och 75 år i en 24 veckor öppen behandlingsperiod med 300 mg omalizumab var fjärde vecka. Patienter som svarade på behandling i den öppna behandlingsperioden randomiserades sedan till att få 300 mg omalizumab (81 patienter) eller placebo (53 patienter) var fjärde vecka i ytterligare 24 veckor.
Av patienterna som fortsatte på behandling med omalizumab i 48 veckor upplevde 21% klinisk försämring (UAS7-poäng≥12 under minst två på varandra följande veckor efter randomisering mellan vecka 24 och 48), jämfört med 60,4% av de som behandlades med placebo vid vecka 48 (skillnad ‑39,4%, p<0,0001, 95% KI: -54,5%, -22,5%).
Farmakokinetiken av omalizumab har studerats hos vuxna och ungdomar med allergisk astma såväl som hos vuxna patienter med kronisk rinosinuit med näspolyper och ungdomar med kronisk spontan urtikaria. De farmakokinetiska egenskaperna för omalizumab är i stort sett jämförbara i dessa populationer.
Absorption
Efter subkutan administrering absorberas omalizumab med en genomsnittlig absolut biotillgänglighet på 62 %. Efter en subkutan dos hos vuxna och ungdomar med astma eller kronisk spontan urtikaria absorberades omalizumab långsamt och maximala serumkoncentrationer uppnåddes efter i genomsnitt 6‑8 dagar. Efter multipla doser av omalizumab var AUC från dag 0 till dag 14 vid steady state upp till 6 gånger högre än efter den första dosen hos patienter med astma.
Farmakokinetiken av omalizumab är linjär vid doser högre än 0,5 mg/kg. Efter doser på 75 mg, 150 mg eller 300 mg var fjärde vecka hos patienter med kronisk spontan urtikaria ökade dalkoncentrationerna av omalizumab i serum proportionellt mot dosen.
Administrering av Xolair, tillverkad som frystorkad produkt eller lösning, gav liknande serumkoncentration-tidsprofil av omalizumab.
Distribution
In vitro bildar omalizumab komplex av begränsad storlek med IgE. Utfallande komplex och komplex med molekylvikt högre än en miljon Dalton har inte iakttagits in vitro eller in vivo. Baserat på populationsfarmakokinetik var distributionen av omalizumab likartad hos patienter med allergisk astma och kronisk spontan urtikaria. Skenbar distributionsvolym hos patienter med astma efter subkutan administrering var 78 ± 32 ml/kg kroppsvikt.
Eliminering
Omalizumabs clearance innefattar IgG-clearance-processer samt clearance via specifik bindning och komplexbildning med dess målligand, IgE. Eliminationen av IgG i levern innefattar nedbrytning i retikuloendotelsystemet och endotelcellerna. Intakt IgG utsöndras också i galla. Hos astmapatienter var eliminationshalveringstiden för omalizumab i serum i genomsnitt 26 dagar, med skenbart clearance av i genomsnitt 2,4 ± 1,1 ml/kg/dag. Fördubblad kroppsvikt gav ungefär en fördubbling av clearance. Baserat på populationsfarmakokinetiska simuleringar hos kronisk spontan urtikaria patienter var halveringstiden för omalizumab i serum vid steady state i genomsnitt 24 dagar och clearance för en patient på 80 kg 3,0 ml/kg/dag.
Egenskaper hos patientpopulationer
Ålder, Ras/Etnisk tillhörighet, Kön, BMI (body mass index)
Patienter med allergisk astma och kronisk rinosinuit med näspolyper
Effekterna av demografiska faktorer på omalizumabsfarmakokinetik utvärderades i populationsfarmakokinetisk analys. Analyserna av dessa begränsade data tyder på att dosjustering inte är nödvändig hos patienter med avseende på ålder (6‑76 år för patienter med allergisk astma, 18‑75 år för patienter med kronisk rinosinuit med näspolyper), ras/etnisk tillhörighet, kön eller BMI (se avsnitt 4.2).
Patienter med kronisk spontan urtikaria
Effekterna av demografiska egenskaper och andra faktorer på exponering för omalizumab utvärderades baserat på populationsfarmakokinetik. Kovariateffekter utvärderas dessutom genom analys av förhållandet mellan omalizumabkoncentrationer och kliniskt svar. Dessa analyser tyder på att dosjustering inte är nödvändig hos patienter med kronisk spontan urtikaria med avseende på ålder (12‑75 år), ras/etnicitet, kön, kroppsvikt, BMI, utgångsvärdet av IgE, anti-FcεRI-autoantikroppar eller samtidig behandling med H2-antagonister eller leukotrienreceptorantagonister.
Nedsatt njur- och leverfunktion
Det finns inga farmakokinetiska eller farmakodynamiska data från patienter med allergisk astma eller kronisk spontan urtikaria och nedsatt njur- eller leverfunktion (se avsnitt 4.2 och 4.4).
Omalizumabs säkerhet har studerats hos cynomolgusapa, eftersom omalizumab binder till cynomolgus- och humant IgE med liknande affinitet. Antikroppar mot omalizumab upptäcktes hos några apor efter upprepad subkutan eller intravenös administrering. Ingen märkbar toxicitet, såsom immunkomplexmedierad sjukdom eller komplementberoende cytotoxicitet, har iakttagits. Det förelåg inga tecken på anafylaktisk reaktion på grund av mastcellsdegranulering hos cynomolgusapor.
Kronisk tillförsel av omalizumab vid doser upp till 250 mg/kg (minst 14 gånger den högsta rekommenderade kliniska dosen i mg/kg enligt rekommenderad doseringstabell) tolererades väl hos primater (både vuxna och juvenila), med undantag för en dosrelaterad och åldersberoende minskning av trombocyter, med en större känslighet hos unga djur. Den serumkoncentration som krävs för att uppnå trombocytfall med 50 % från utgångsvärdet hos vuxna cynomolgusapor var ungefär 4 till 20 gånger högre än förväntade maximala kliniska serumkoncentrationer. Dessutom iakttogs akut blödning och inflammation på injektionsstället hos cynomolgusapor.
Formella karcinogenicitetsstudier har inte genomförts med omalizumab.
I reproduktionsstudier på cynomolgusapor framkallades inte någon maternell toxicitet, embryotoxicitet eller teratogenicitet efter subkutana doser upp till 75 mg/kg per vecka (minst 8 gånger den högsta rekommenderade kliniska dosen i mg/kg under en 4-veckorsperiod) när omalizumab gavs genom hela organogenesen. Omalizumab framkallade inte några biverkningar på fetal eller neonatal tillväxt när det gavs genom hela sena dräktighetsperioden, födelsen och diandet.
Omalizumab utsöndras i bröstmjölk hos cynomolgusapor. Nivåerna av omalizumab i bröstmjölken var 0,15 % av moderns serumkoncentration.
Farmakoterapeutisk grupp: Medel vid obstruktiva lungsjukdomar, övriga systemiska medel för obstruktiva lungsjukdomar, ATC-kod: R03DX05
Allergisk astma och kronisk rinosinuit med näspolyper
Verkningsmekanism
Omalizumab är en rekombinant DNA-deriverad humaniserad monoklonal antikropp, som selektivt binds till humant immunoglobulin E (IgE) och förhindrar att IgE binds till FcεRI (högaffinitets-IgE-receptorn) på basofiler och mastceller och reducerar därigenom mängden fritt IgE som är tillgängligt för att utlösa den allergiska kaskaden. Antikroppen är av IgG1-kappatyp och innehåller humana, strukturella regioner med samma bindningsställekarakteristika som en murin moderantikropp som binder till IgE.
Behandling med omalizumab ledde till en markant nedreglering av antalet FcεRI-receptorer på de basofila cellerna hos atopiska individer. Omalizumab hämmar IgE-medierad inflammation vilket påvisas av minskning av blod- och vävnadseosinofili och minskning av inflammatoriska mediatorer, inkluderande IL‑4, IL‑5 och IL‑13 i medfödda, förvärvade och icke-immuna celler.
Farmakodynamisk effekt
Allergisk astma
Histaminfrisättningen in vitro från basofila celler som isolerats från personer som behandlats med omalizumab minskade med cirka 90 % efter stimulering med ett allergen, jämfört med värdena före behandlingen.
I kliniska studier på patienter med allergisk astma reducerades nivåerna av fritt IgE i serum på ett dosberoende sätt inom en timme efter den första dosen och dessa nivåer kvarstod mellan doserna. Ett år efter utsättningen av omalizumab hade IgE-nivåerna återgått till samma nivåer som före behandlingen utan observerad rebound-effekt vad avser IgE-nivåerna efter utsättningen av läkemedlet.
Kronisk rinosinuit med näspolyper
I kliniska studier på patienter med kronisk rinosinuit med näspolyper ledde omalizumab-behandling till en minskning av serumfritt IgE (cirka 95 %) och en ökning av totala IgE-nivåer i serum, i samma utsträckning som observerats hos patienter med allergisk astma. De totala IgE-nivåerna i serum ökade på grund av bildandet av omalizumab-IgE-komplex som har en långsammare eliminationsgrad jämfört med fritt IgE.
Kronisk spontan urtikaria
Verkningsmekanism
Omalizumab är en rekombinant DNA-deriverad humaniserad monoklonal antikropp, som selektivt binds till humant immunoglobulin E (IgE) och sänker nivåerna av fritt IgE. Antikroppen är av IgG1-kappatyp och innehåller humana, strukturella regioner med samma bindningsställekarakteristika som en murin moderantikropp som binder till IgE. Följaktligen nedregleras IgE-receptorerna (FcεRI) på cellerna. Det är inte helt klarlagt hur detta resulterar i en förbättring av symtomen vid kronisk spontan urtikaria.
Farmakodynamisk effekt
I kliniska studier på patienter med kronisk spontan urtikaria sågs en maximal minskning av fritt IgE 3 dagar efter den första subkutana dosen. Efter upprepad dosering en gång var fjärde vecka var nivåerna i serum av fritt IgE före injektion fortsatt stabila mellan 12 och 24 veckors behandling. Efter utsättning av omalizumab ökade nivåerna av fritt IgE under en 16 veckor behandlingsfri uppföljningsperiod till nivåer som hade uppmätts före behandlingen.
Klinisk effekt och säkerhet
Allergisk astma
Vuxna och ungdomar från 12 års ålder
Effekten och säkerheten av omalizumab visades i en 28-veckors, dubbelblind, placebokontrollerad studie (studie 1) som inkluderade 419 svårt allergiska astmatiker i åldrarna 12‑79 år, med nedsatt lungfunktion (FEV1 40‑80 % av beräknat normalvärde) och dålig kontroll av astmasymtomen, trots högdos inhalationssteroider och långverkande beta‑2-agonist. Patienterna hade haft multipla astmaexacerbationer som krävde behandling med systemiska steroider eller hade varit intagna på sjukhus eller sökt akutmottagning på grund av svår astmaexacerbation under det senaste året, trots kontinuerlig behandling med högdos inhalationssteroider och en långverkande beta‑2-agonist. Subkutant omalizumab eller placebo gavs i kombination med >1 000 mikrogram beklometasondipropionat (eller liknande) plus en långverkande beta‑2-agonist. Underhållsbehandling med orala steroider, teofyllin och leukotrienmodifierare var tillåtet (22 %, 27 % respektive 35 % av patienterna).
Den primära effektvariablen var antalet astmaexacerbationer som krävde behandling med systemiska steroider. Omalizumab reducerade antalet astmaexacerbationer med 19 % (p = 0,153). Ytterligare utvärderingar som visade statistisk signifikans (p<0,05) till förmån för omalizumab inkluderade minskning av antalet svåra exacerbationer (där patientens lungfunktion var reducerad till mindre än 60 % av personbästa och krävde behandling med systemiska kortikosteroider) och astmarelaterade akutbesök (inkluderande intagning på sjukhus, besök på akutmottagningen samt oplanerade läkarbesök) samt förbättringar enligt prövarens totalbedömning av behandlingseffekten, astmarelaterad livskvalitet (AQL), astmasymtom och lungfunktion.
I en subgruppsanalys hade patienter med ett totalt IgE-värde om ≥76 IE/ml före behandling större sannolikhet att erhålla kliniskt betydelsefull effekt av omalizumab. Hos dessa patienter i studie 1 minskade omalizumab antalet astmaexacerbationer med 40 % (p = 0,002). Dessutom uppvisade fler patienter i populationen med totalt IgE-värde ≥76 IE/ml kliniskt betydelsefulla behandlingssvar genom hela omalizumab-programmet för behandling av svår astma. Tabell 6 inkluderar resultaten från studie 1-populationen.
Tabell 6 Resultat från studie 1
* Markant förbättring eller fullständig kontroll
** p-värde för total bedömning
Studie 2 bedömde effekten och säkerheten av omalizumab i en population av 312 svårt allergiska astmatiker, som motsvarade populationen i studie 1. Behandlingen med omalizumab i denna öppna studie resulterade i en minskning med 61 % av antalet kliniskt signifikanta astmaexacerbationer, jämfört med enbart gängse astmaterapi.
Ytterligare fyra stora, placebokontrollerade, stödjande studier under 28 till 52 veckors tid på 1 722 vuxna och ungdomar (studierna 3, 4, 5, 6) bedömde effekten och säkerheten av omalizumab hos patienter med svår allergisk astma. De flesta patienterna kontrollerades otillräckligt men fick mindre samtidig astmabehandling än patienterna i studierna 1 eller 2. Studierna 3‑5 använde exacerbation som primär effektvariabel, medan studie 6 primärt bedömde besparing av inhalationssteroider.
De patienter som behandlades med omalizumab i studierna 3, 4 och 5 hade en minskning av antalet astmaexacerbationer med 37,5 % (p=0,027), 40,3 % (p<0,001) respektive 57,6 % (p<0,001), jämfört med placebo.
I studie 6, kunde signifikant fler patienter med svår allergisk astma, som behandlades med omalizumab, minska sin flutikasondos till ≤500 mikrogram/dag utan att försämra astmakontrollen (60,3 %), jämfört med placebogruppen (45,8 %, p<0,05).
Livskvalitetspoäng uppmättes med hjälp av Juniper Asthma-related Quality of Life Questionnaire. I alla sex studierna visades en statistiskt signifikant förbättring från utgångsvärdet i livskvalitetspoäng för omalizumab-patienterna, jämfört med placebo eller kontrollgruppen.
Prövarens totalbedömning av behandlingseffekten:
En klinisk bedömning av behandlingseffekten utfördes av den behandlande läkaren i fem av studierna ovan såsom ett övergripande mått på astmakontroll. Läkarens bedömning inkluderade PEF (peak expiratory flow), dag- och nattsymtom, användning av akut medicinering, spirometri och exacerbationer. I alla fem studierna bedömdes en signifikant större andel omalizumab-behandlade patienter ha uppnått antingen en markant förbättring eller fullständig kontroll av sin astma, jämfört med placebopatienter.
Barn från 6 till <12 års ålder
Underlaget för säkerhet och effekt av omalizumab i åldersgruppen 6 till <12 år baseras på en randomiserad, dubbelblind, placebokontrollerad multicenterstudie (studie 7).
Studie 7 var en placebokontrollerad studie som inkluderade en specifik subgrupp av patienter (N=235) definierade enligt nuvarande indikation, som behandlades med inhalationssteroid i hög dos (motsvarande en dygndos på ≥500 mikrogram flutikason) och långverkande beta-agonist.
En kliniskt signifikant exacerbation definierades som en försämring av astmasymtom som, enligt prövarens bedömning, krävde en fördubbling av utgångsdosen av inhalationssteroid under minst 3 dagar och/eller tillägg av systemiska kortikosteroider (oralt eller intravenöst) under minst 3 dagar.
I den specifika subgrupp av patienter med inhalationssteroid i hög dos hade gruppen som fick omalizumab en statistiskt signifikant lägre frekvens av kliniskt signifikanta astmaexacerbationer jämfört med placebogruppen. Vid 24 veckor motsvarade skillnaden i frekvens mellan behandlingsgrupperna en minskning med 34 % (frekvenskvot 0,662, p=0,047) för patienterna med omalizumab jämfört med placebo. I den andra dubbelblinda behandlingsperioden på 28 veckor var skillnaden i frekvens mellan behandlingsgrupperna en minskning med 63 % (frekvenskvot 0,37, p<0,001) för patienterna med omalizumab jämfört med placebo.
Under den 52 veckor dubbelblinda behandlingsperioden (som inkluderade en 24 veckorsperiod med fast steroiddos och en 28 veckorsperiod med justering av steroiddosen) motsvarade skillnaden i frekvens mellan behandlingsgrupperna en relativ minskning i exacerbationer med 50 % (frekvenskvot 0,504, p<0,001) för patienterna med omalizumab.
Omalizumabgruppen uppvisade en större minskning av akut medicinering med beta-agonist jämfört med placebogruppen i slutet av den 52 veckor långa behandlingsperioden, men skillnaden mellan behandlingsgrupperna var inte statistiskt signifikant. I den sammantagna utvärderingen av behandlingseffekten i slutet av den 52 veckor långa dubbelblinda behandlingsperioden i subgruppen svåra patienter med inhalationssteroider i hög dos och långverkande beta-agonister, var andelen patienter vars behandlingseffekt klassats som ”utmärkt” högre, och andelen med ”måttlig” eller ”dålig” behandlingseffekt lägre, i omalizumabgruppen jämfört med placebogruppen. Denna skillnad mellan grupperna var statistiskt signifikant (p<0,001), medan det inte förelåg någon skillnad mellan omalizumab- och placebogrupperna avseende patienternas subjektiva bedömning av livskvaliteten.
Kronisk rinosinuit med näspolyper
Säkerheten och effekten av omalizumab utvärderades i två randomiserade, dubbelblinda, placebokontrollerade studier hos patienter med kronisk rinosinuit med näspolyper (tabell 8). Patienter fick omalizumab eller placebo subkutant varannan eller 4:e vecka (se avsnitt 4.2). Samtliga patienter fick bakgrundsbehandling med intranasal mometason under hela studien. Tidigare sino-nasal kirurgi eller tidigare systemisk kortikosteroidanvändning krävdes inte för att inkluderas i studierna. Patienterna fick omalizumab eller placebo i 24 veckor följt av en 4-veckors uppföljningsperiod. Demografi och karaktäristika vid utgångsvärdet, inklusive allergiska komorbiditeter, beskrivs i tabell 7.
Tabell 7 Demografi och karaktäristika vid studiestart från studier på näspolyper
SD = standardavvikelse; SNOT‑22 = 22-delars sinonasalt resultattest; IgE = Immunoglobulin E; IU = internationell enhet. För NPS, NCS, och SNOT‑22 indikerar ett högre värde en högre svårighetsgrad av sjukdomen.
De kombinerade-primära effektmåtten var poäng bilateral ”nasal polyp score” (NPS) och genomsnittlig daglig ”nasal congestion score” (NCS) vid vecka 24. I båda studierna 1 och 2 vid näspolyper hade patienter som fick omalizumab statistiskt signifikant större förbättringar från utgångsvärdet vid vecka 24 i NPS och genomsnittlig NCS per vecka än patienter som fick placebo. Resultat från studierna 1 och 2 vid näspolyper visas i tabell 8.
Tabell 8 Förändring från utgångsvärdet vid vecka 24 i kliniska poäng från studie 1 samt studie 2 vid näspolyper, och poolade data
LS = minsta kvadrat; CI = konfidensintervall; TNSS = Total poäng nasala symtom; SNOT‑22 = 22‑delars sinonasalt resultattest; UPSIT = luktidentifieringstest enligt Pennsylvania-universitetet; MID = minsta betydelsefulla skillnaden.
Figur 1 Förändring i medeltal från utgångsvärdet i nasal congestion score och förändring i medeltal från utgångsvärdet i nasal polyp score per patiengrupp i studie 1 och studie 2 vid näspolyper
I en förutbestämd poolad analys av vidbehovsbehandling (systemiska kortikosteroider under ≥3 dagar i följd eller nasal polypektomi) under den 24 veckor långa behandlingsperioden var andelen patienter som krävde vidbehovsbehandling lägre hos patienter behandlade med omalizumab jämfört med placebo (2,3 % respektive 6,2 %). Oddsförhållandet för att ha tagit vidbehovsbehandling i omalizumab-armen jämfört med placebo var 0,38 (95 % CI: 0,10, 1,49). Det fanns inga rapporter om sinonasala operationer i någon av studierna.
Den långsiktiga effekten och säkerheten av omalizumab utvärderades i en öppen förlängningsstudie hos patienter med kronisk rinosinuit med näspolyper som hade deltagit i studierna 1 och 2 vid näspolyper. Effektdata från denna studie tyder på att klinisk betydelsefull effekt som erhållits vid vecka 24 kvarstod till och med vecka 52. Säkerhetsdata överrensstämnde över lag med den kända säkerhetsprofilen för omalizumab.
Kronisk spontan urtikaria
Effekt och säkerhet av omalizumab utvärderades i två randomiserade, placebokontrollerade fas III-studier (studie 1 och 2) på patienter med kronisk spontan urtikaria, vilka förblev symtomatiska trots behandling med en H1-antagonist i godkänd dos. En tredje studie (studie 3) utvärderade i första hand säkerheten av omalizumab hos patienter med kronisk spontan urtikaria, vilka förblev symtomatiska trots behandling med en H1-antagonist i upp till fyra gånger godkänd dos samt behandling med H2-antagonister och/eller leukotrienreceptorantagonister. De tre studierna inkluderade 975 patienter mellan 12 och 75 år (medelåldern var 42,3 år, 39 patienter var 12‑17 år, 54 patienter var ≥65 år, 259 patienter var män och 716 var kvinnor). Alla patienter hade otillräcklig symtomkontroll, vilket bedömdes med UAS7 ≥16 (Urticaria Activity Score under 1 vecka, intervall 0‑42) och svårighetsgrad av klåda ≥8 (del av UAS7, intervall 0‑21) under 7 dagar före randomisering, trots användning av ett antihistamin under minst 2 veckor tidigare.
I studie 1 och 2 hade patienterna ett genomsnittligt utgångsvärde av svårighetsgrad av klåda under en vecka på mellan 13,7 och 14,5 och ett genomsnittligt UAS7 på 29,5 respektive 31,7. Patienter i säkerhetsstudie 3 hade ett genomsnittligt utgångsvärde av svårighetsgrad av klåda under en vecka på 13,8 och ett genomsnittligt UAS7 på 31,2. I alla tre studierna rapporterade patienterna användning av i genomsnitt 4‑6 läkemedel (inklusive antihistamin H1-behandling) för sina symtom på kronisk spontan urtikaria före inklusion i studien. Patienterna fick 75 mg, 150 mg eller 300 mg omalizumab eller placebo som subkutan injektion var fjärde vecka i 24 respektive 12 veckor i studie 1 och 2. I studie 3 fick de 300 mg eller placebo som subkutan injektion var fjärde vecka i 24 veckor. Samtliga studier hade en 16 veckors behandlingsfri uppföljningsperiod.
Det primära effektmåttet var förändring av svårighetsgrad av klåda under en vecka från utgångsvärdet till vecka 12. Med 300 mg omalizumab minskade svårighetsgraden av klåda med 8,55-9,77 (p<0,0001) jämfört med en minskning med 3,63-5,14 för placebo (se tabell 9). Även UAS7 ≤6 (vid vecka 12) var statistiskt signifikant och 300 mg gav ett bättre behandlingssvar på 52‑66 %, jämfört med 11‑19 % för placebo (p<0,0001). Fullständigt svar (UAS7 =0) uppnåddes hos 34‑44 % av patienterna som behandlades med 300 mg, jämfört med 5‑9 % av patienterna som fick placebo (p<0,0001). Patienter som fick 300 mg uppnådde den högsta genomsnittliga andelen dagar utan angioödem från vecka 4 till vecka 12 (91,0‑96,1 %, p<0,001) jämfört med motsvarande placebogrupper (88,1‑89,2 %). Genomsnittlig förändring av total livskvalitet, mätt med DLQI från utgångsvärdet till vecka 12, var större för 300 mg än för placebo (p<0,001) och visade en förbättring på 9,7‑10,3 poäng, jämfört med 5,1‑6,1 poäng för motsvarande placebogrupper.
Tabell 9 Förändring av svårighetsgrad av klåda från utgångsvärdet till vecka 12, studie 1, 2 och 3 (mITT-population*)
*Modifierad intent-to-treat-(mITT)-population: inkluderar alla patienter som randomiserades och som fick minst en dos av studieläkemedlet.
BOCF (Baseline Observation Carried Forward) användes för att imputera saknade uppgifter.
1 Minsta kvadratmedelvärdet beräknades med hjälp av en ANCOVA-modell. Strata var utgångsvärdet av svårighetsgrad av klåda under en vecka (<13 mot ≥13) och utgångsvärdet av vikten (<80 kg mot ≥80 kg).
2 p-värden kommer från ANCOVA t-test.
Figur 2 visar den genomsnittliga svårighetsgraden av klåda över tid i studie 1. Det genomsnittliga värdet för svårighetsgraden av klåda minskade signifikant med en maximal effekt runt vecka 12, vilken kvarstod under den 24 veckor långa behandlingsperioden. Jämförbara resultat sågs i studie 3.
I samtliga tre studier ökade den genomsnittliga svårighetsgraden av klåda gradvis under den 16 veckor behandlingsfria uppföljningsperioden, samtidigt som symtomen återkom. Medelvärden vid slutet av uppföljningsperioden var jämförbara med placebo, men lägre än motsvarande genomsnittliga utgångsvärden.
Figur 2 Genomsnittlig svårighetsgrad av klåda över tid, studie 1 (mITT-population)
BOCF=baseline observation carried forward; mITT=modifierad intention-to-treat population
Storleken på de observerade effektmåtten av behandlingen vid vecka 24 var jämförbara med de som observerades vid vecka 12:
I studie 1 och 3 var den genomsnittliga minskningen från utgångsvärdet av svårighetsgrad av klåda under en vecka 9,8 respektive 8,6 för 300 mg. Andelen patienter med UAS7 ≤6 var 61,7 % respektive 55,6 % och andelen patienter med fullständigt svar (UAS7 =0) var 48,1 % respektive 42,5 %, (p<0,0001 för samtliga jämförelser med placebo).
Data från kliniska prövningar hos ungdomar (12‑17 år) innefattar totalt 39 patienter, varav 11 fick dosen 300 mg. Resultaten för 300 mg, 9 patienter vid vecka 12 och 6 patienter vid vecka 24, visar liknande behandlingsresultat som hos vuxna. Genomsnittlig förändring från utgångsvärdet av svårighetsgrad av klåda under en vecka visade en minskning med 8,25 vid vecka 12 och 8,95 vid vecka 24. Andelen patienter som hade UAS7 =0 var 33 % vid vecka 12 och 67 % vid vecka 24 och andelen som hade UAS7 ≤6 var 56 % vid vecka 12 och 67 % vid vecka 24.
I en 48 veckor lång studie inkluderades 206 patienter mellan 12 och 75 år i en 24 veckor öppen behandlingsperiod med 300 mg omalizumab var fjärde vecka. Patienter som svarade på behandling i den öppna behandlingsperioden randomiserades sedan till att få 300 mg omalizumab (81 patienter) eller placebo (53 patienter) var fjärde vecka i ytterligare 24 veckor.
Av patienterna som fortsatte på behandling med omalizumab i 48 veckor upplevde 21% klinisk försämring (UAS7-poäng≥12 under minst två på varandra följande veckor efter randomisering mellan vecka 24 och 48), jämfört med 60,4% av de som behandlades med placebo vid vecka 48 (skillnad ‑39,4%, p<0,0001, 95% KI: -54,5%, -22,5%).
Farmakokinetiken av omalizumab har studerats hos vuxna och ungdomar med allergisk astma såväl som hos vuxna patienter med kronisk rinosinuit med näspolyper och ungdomar med kronisk spontan urtikaria. De farmakokinetiska egenskaperna för omalizumab är i stort sett jämförbara i dessa populationer.
Absorption
Efter subkutan administrering absorberas omalizumab med en genomsnittlig absolut biotillgänglighet på 62 %. Efter en subkutan dos hos vuxna och ungdomar med astma eller kronisk spontan urtikaria absorberades omalizumab långsamt och maximala serumkoncentrationer uppnåddes efter i genomsnitt 6‑8 dagar. Efter multipla doser av omalizumab var AUC från dag 0 till dag 14 vid steady state upp till 6 gånger högre än efter den första dosen hos patienter med astma.
Farmakokinetiken av omalizumab är linjär vid doser högre än 0,5 mg/kg. Efter doser på 75 mg, 150 mg eller 300 mg var fjärde vecka hos patienter med kronisk spontan urtikaria ökade dalkoncentrationerna av omalizumab i serum proportionellt mot dosen.
Administrering av Xolair, tillverkad som frystorkad produkt eller lösning, gav liknande serumkoncentration-tidsprofil av omalizumab.
Distribution
In vitro bildar omalizumab komplex av begränsad storlek med IgE. Utfallande komplex och komplex med molekylvikt högre än en miljon Dalton har inte iakttagits in vitro eller in vivo. Baserat på populationsfarmakokinetik var distributionen av omalizumab likartad hos patienter med allergisk astma och kronisk spontan urtikaria. Skenbar distributionsvolym hos patienter med astma efter subkutan administrering var 78 ± 32 ml/kg kroppsvikt.
Eliminering
Omalizumabs clearance innefattar IgG-clearance-processer samt clearance via specifik bindning och komplexbildning med dess målligand, IgE. Eliminationen av IgG i levern innefattar nedbrytning i retikuloendotelsystemet och endotelcellerna. Intakt IgG utsöndras också i galla. Hos astmapatienter var eliminationshalveringstiden för omalizumab i serum i genomsnitt 26 dagar, med skenbart clearance av i genomsnitt 2,4 ± 1,1 ml/kg/dag. Fördubblad kroppsvikt gav ungefär en fördubbling av clearance. Baserat på populationsfarmakokinetiska simuleringar hos kronisk spontan urtikaria patienter var halveringstiden för omalizumab i serum vid steady state i genomsnitt 24 dagar och clearance för en patient på 80 kg 3,0 ml/kg/dag.
Egenskaper hos patientpopulationer
Ålder, Ras/Etnisk tillhörighet, Kön, BMI (body mass index)
Patienter med allergisk astma och kronisk rinosinuit med näspolyper
Effekterna av demografiska faktorer på omalizumabsfarmakokinetik utvärderades i populationsfarmakokinetisk analys. Analyserna av dessa begränsade data tyder på att dosjustering inte är nödvändig hos patienter med avseende på ålder (6‑76 år för patienter med allergisk astma, 18‑75 år för patienter med kronisk rinosinuit med näspolyper), ras/etnisk tillhörighet, kön eller BMI (se avsnitt 4.2).
Patienter med kronisk spontan urtikaria
Effekterna av demografiska egenskaper och andra faktorer på exponering för omalizumab utvärderades baserat på populationsfarmakokinetik. Kovariateffekter utvärderas dessutom genom analys av förhållandet mellan omalizumabkoncentrationer och kliniskt svar. Dessa analyser tyder på att dosjustering inte är nödvändig hos patienter med kronisk spontan urtikaria med avseende på ålder (12‑75 år), ras/etnicitet, kön, kroppsvikt, BMI, utgångsvärdet av IgE, anti-FcεRI-autoantikroppar eller samtidig behandling med H2-antagonister eller leukotrienreceptorantagonister.
Nedsatt njur- och leverfunktion
Det finns inga farmakokinetiska eller farmakodynamiska data från patienter med allergisk astma eller kronisk spontan urtikaria och nedsatt njur- eller leverfunktion (se avsnitt 4.2 och 4.4).
Omalizumabs säkerhet har studerats hos cynomolgusapa, eftersom omalizumab binder till cynomolgus- och humant IgE med liknande affinitet. Antikroppar mot omalizumab upptäcktes hos några apor efter upprepad subkutan eller intravenös administrering. Ingen märkbar toxicitet, såsom immunkomplexmedierad sjukdom eller komplementberoende cytotoxicitet, har iakttagits. Det förelåg inga tecken på anafylaktisk reaktion på grund av mastcellsdegranulering hos cynomolgusapor.
Kronisk tillförsel av omalizumab vid doser upp till 250 mg/kg (minst 14 gånger den högsta rekommenderade kliniska dosen i mg/kg enligt rekommenderad doseringstabell) tolererades väl hos primater (både vuxna och juvenila), med undantag för en dosrelaterad och åldersberoende minskning av trombocyter, med en större känslighet hos unga djur. Den serumkoncentration som krävs för att uppnå trombocytfall med 50 % från utgångsvärdet hos vuxna cynomolgusapor var ungefär 4 till 20 gånger högre än förväntade maximala kliniska serumkoncentrationer. Dessutom iakttogs akut blödning och inflammation på injektionsstället hos cynomolgusapor.
Formella karcinogenicitetsstudier har inte genomförts med omalizumab.
I reproduktionsstudier på cynomolgusapor framkallades inte någon maternell toxicitet, embryotoxicitet eller teratogenicitet efter subkutana doser upp till 75 mg/kg per vecka (minst 8 gånger den högsta rekommenderade kliniska dosen i mg/kg under en 4-veckorsperiod) när omalizumab gavs genom hela organogenesen. Omalizumab framkallade inte några biverkningar på fetal eller neonatal tillväxt när det gavs genom hela sena dräktighetsperioden, födelsen och diandet.
Omalizumab utsöndras i bröstmjölk hos cynomolgusapor. Nivåerna av omalizumab i bröstmjölken var 0,15 % av moderns serumkoncentration.
Xolair 150 mg injektionsvätska, lösning i förfylld spruta (26 gauge fast nål, lila nålskydd)
Xolair 150 mg injektionsvätska, lösning i förfylld spruta tillhandahålls som 1 ml lösning i en förfylld spruta av cylindertyp (typ I glas) med 26 gauge fast nål (rostfritt stål), kolvpropp (typ I) och ett nålskydd.
Förpackningsstorlekar: förpackningar innehållande 1 förfylld spruta och multipack om 4 (4 x 1); 6(6 x 1) eller 10 (10 x 1) förfyllda sprutor.
Xolair 150 mg injektionsvätska, lösning i förfylld spruta (27 gauge fast nål, lila kolv)
Xolair 150 mg injektionsvätska, lösning i förfylld spruta tillhandahålls som 1 ml lösning i en förfylld spruta av cylindertyp (typ I glas) med 27 gauge fast nål (rostfritt stål), kolvpropp (typ I) och ett nålskydd.
Förpackningsstorlekar: förpackningar innehållande 1 förfylld spruta och multipack om 3 (3 x 1) eller 6 (6 x 1) förfyllda sprutor.
Xolair 300 mg injektionsvätska, lösning i förfylld spruta
Xolair 300 mg injektionsvätska, lösning i förfylld spruta tillhandahålls som 2 ml lösning i en förfylld spruta av cylindertyp (typ I glas) med 27 gauge fast nål (rostfritt stål), kolvpropp (typ I) och ett nålskydd.
Förpackningsstorlekar: förpackningar innehållande 1 förfylld spruta och multipack om 3 (3 x 1) eller 6 (6 x 1) förfyllda sprutor.
Xolair 150 mg injektionsvätska, lösning i förfylld injektionspenna
Xolair 150 mg injektionsvätska, lösning i förfylld injektionspenna tillhandahålls som 1 ml lösning i en förfylld injektionspenna av cylindertyp (typ I glas) med 27 gauge fast nål (rostfritt stål), kolvpropp (typ I) och ett nålskydd.
Förpackningsstorlekar: förpackningar innehållande 1 förfylld injektionspenna och multipack om 3 (3 x 1), 6 (6 x 1) eller 10 (10 x 1) förfyllda injektionspennor.
Xolair 300 mg injektionsvätska, lösning i förfylld injektionspenna
Xolair 300 mg injektionsvätska, lösning i förfylld injektionspenna tillhandahålls som 2 ml lösning i en förfylld injektionspenna av cylindertyp (typ I glas) med 27 gauge fast nål (rostfritt stål), kolvpropp (typ I) och ett nålskydd.
Förpackningsstorlekar: förpackningar innehållande 1 förfylld injektionspenna och multipack om 3 (3 x 1) eller 6 (6 x 1) förfyllda injektionspennor.
Eventuellt kommer inte alla förpackningsstorlekar att marknadsföras.
Förfylld spruta
Den förfyllda sprutan är avsedd för engångsbruk. Den ska tas ut ur kylskåpet 30 min före injektion så att den uppnår rumstemperatur.
Förfylld injektionspenna
Den förfyllda injektionspennan är avsedd för engångsbruk. Den ska tas ut ur kylskåpet 30 min före injektion så att den uppnår rumstemperatur.
Destruktionsanvisningar
Kassera omedelbart använd spruta eller injektionspenna i en kanylburk.
Ej använt läkemedel och avfall skall kasseras enligt gällande anvisningar.
Argininhydroklorid
Histidinhydrokloridmonohydrat
Histidin
Polysorbat 20
Vatten för injektionsvätskor
Detta läkemedel får inte blandas med andra läkemedel.
18 månader.
Produkten kan förvaras under sammanlagt 48 timmar vid 25°C.
Förvaras i kylskåp (2ºC ‑ 8ºC).
Får ej frysas.
Förvaras i originalförpackningen. Ljuskänsligt.
Xolair 150 mg injektionsvätska, lösning i förfylld spruta (26 gauge fast nål, lila nålskydd)
Xolair 150 mg injektionsvätska, lösning i förfylld spruta tillhandahålls som 1 ml lösning i en förfylld spruta av cylindertyp (typ I glas) med 26 gauge fast nål (rostfritt stål), kolvpropp (typ I) och ett nålskydd.
Förpackningsstorlekar: förpackningar innehållande 1 förfylld spruta och multipack om 4 (4 x 1); 6(6 x 1) eller 10 (10 x 1) förfyllda sprutor.
Xolair 150 mg injektionsvätska, lösning i förfylld spruta (27 gauge fast nål, lila kolv)
Xolair 150 mg injektionsvätska, lösning i förfylld spruta tillhandahålls som 1 ml lösning i en förfylld spruta av cylindertyp (typ I glas) med 27 gauge fast nål (rostfritt stål), kolvpropp (typ I) och ett nålskydd.
Förpackningsstorlekar: förpackningar innehållande 1 förfylld spruta och multipack om 3 (3 x 1) eller 6 (6 x 1) förfyllda sprutor.
Xolair 300 mg injektionsvätska, lösning i förfylld spruta
Xolair 300 mg injektionsvätska, lösning i förfylld spruta tillhandahålls som 2 ml lösning i en förfylld spruta av cylindertyp (typ I glas) med 27 gauge fast nål (rostfritt stål), kolvpropp (typ I) och ett nålskydd.
Förpackningsstorlekar: förpackningar innehållande 1 förfylld spruta och multipack om 3 (3 x 1) eller 6 (6 x 1) förfyllda sprutor.
Xolair 150 mg injektionsvätska, lösning i förfylld injektionspenna
Xolair 150 mg injektionsvätska, lösning i förfylld injektionspenna tillhandahålls som 1 ml lösning i en förfylld injektionspenna av cylindertyp (typ I glas) med 27 gauge fast nål (rostfritt stål), kolvpropp (typ I) och ett nålskydd.
Förpackningsstorlekar: förpackningar innehållande 1 förfylld injektionspenna och multipack om 3 (3 x 1), 6 (6 x 1) eller 10 (10 x 1) förfyllda injektionspennor.
Xolair 300 mg injektionsvätska, lösning i förfylld injektionspenna
Xolair 300 mg injektionsvätska, lösning i förfylld injektionspenna tillhandahålls som 2 ml lösning i en förfylld injektionspenna av cylindertyp (typ I glas) med 27 gauge fast nål (rostfritt stål), kolvpropp (typ I) och ett nålskydd.
Förpackningsstorlekar: förpackningar innehållande 1 förfylld injektionspenna och multipack om 3 (3 x 1) eller 6 (6 x 1) förfyllda injektionspennor.
Eventuellt kommer inte alla förpackningsstorlekar att marknadsföras.
Förfylld spruta
Den förfyllda sprutan är avsedd för engångsbruk. Den ska tas ut ur kylskåpet 30 min före injektion så att den uppnår rumstemperatur.
Förfylld injektionspenna
Den förfyllda injektionspennan är avsedd för engångsbruk. Den ska tas ut ur kylskåpet 30 min före injektion så att den uppnår rumstemperatur.
Destruktionsanvisningar
Kassera omedelbart använd spruta eller injektionspenna i en kanylburk.
Ej använt läkemedel och avfall skall kasseras enligt gällande anvisningar.
EU/1/05/319/027
EU/1/05/319/028
EU/1/05/319/029 EU/1/05/319/030
Xolair 300 mg injektionsvätska, lösning i förfylld injektionspenna
EU/1/05/319/015
EU/1/05/319/016
EU/1/05/319/017
Xolair 150 mg injektionsvätska, lösning i förfylld spruta
EU/1/05/319/008
EU/1/05/319/009
EU/1/05/319/010
EU/1/05/319/011
EU/1/05/319/024
EU/1/05/319/025
EU/1/05/319/026
Xolair 300 mg injektionsvätska, lösning i förfylld spruta
EU/1/05/319/012
EU/1/05/319/013
EU/1/05/319/014
Xolair 150 mg injektionsvätska, lösning i förfylld injektionspenna
EU/1/05/319/027
EU/1/05/319/028
EU/1/05/319/029 EU/1/05/319/030
Xolair 300 mg injektionsvätska, lösning i förfylld injektionspenna
EU/1/05/319/015
EU/1/05/319/016
EU/1/05/319/017
Produktresumén är företagets information om läkemedlet riktat till förskrivare och personal inom sjukvård och apotek. Dokumentet är godkänt av Läkemedelsverket eller den europeiska läkemedelsmyndigheten EMA i samband med att läkemedlet godkänns för marknadsföring.