Säkerhetsmeddelande till marknaden 2026-01-05, läs mer här.

Tillgänglig läkemedelsinformation i Sverige

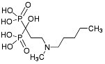
Ibandronsyra

Det här är en substans. Ett läkemedel innehåller ett eller flera verksamma ämnen, så kallade aktiva substanser. I de allra flesta läkemedel finns också så kallade hjälpämnen.

Kemiskt namn

[1-Hydroxi-3-(N-metylpentylamino)propyliden]bisfosfonsyra

Benäms även som

Ibandronic acid (engelska)

Bild på kemisk struktur för Ibandronsyra

Läkemedel kopplade till substansen

Läkemedel som innehåller Ibandronsyra (0)

    Läkemedel som innehåller Natriumibandronatpropylenglykolsolvat (0)