Tillgänglig läkemedelsinformation i Sverige

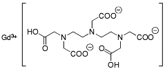
Gadopentetatdimeglumin

Det här är en substans. Ett läkemedel innehåller ett eller flera verksamma ämnen, så kallade aktiva substanser. I de allra flesta läkemedel finns också så kallade hjälpämnen.

Benäms även som

Gadopentetate dimeglumine (engelska)

Bild på kemisk struktur för Gadopentetatdimeglumin

Läkemedel kopplade till substansen

Gadopentetatdimeglumin: Läs om Aktiv Substans | FASS Patient