Säkerhetsmeddelande till marknaden 2026-01-05, läs mer här.

Tillgänglig läkemedelsinformation i Sverige

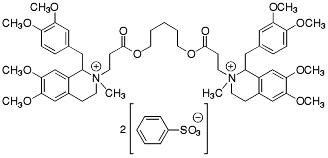
Atrakurium

Det här är en substans. Ett läkemedel innehåller ett eller flera verksamma ämnen, så kallade aktiva substanser. I de allra flesta läkemedel finns också så kallade hjälpämnen.

Kemiskt namn

2,​2¢-[1,​5-Pentandiylbis[oxi(3-oxo-3,​1-propandiyl)]]bis[1-(3,​4-dimetoxibensyl)-1,​2,​3,​4-tetrahydro-6,​7-dimetoxi-2-metylisokinolinium]dibensensulfonat

Benäms även som

Atracurium (engelska)

Bild på kemisk struktur för Atrakurium

Läkemedel kopplade till substansen

Läkemedel som innehåller Atrakurium (0)

    Läkemedel som innehåller Atrakuriumbesilat (2)