Säkerhetsmeddelande till marknaden 2026-01-05, läs mer här.

Tillgänglig läkemedelsinformation i Sverige

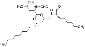
Orlistat

Det här är en substans. Ett läkemedel innehåller ett eller flera verksamma ämnen, så kallade aktiva substanser. I de allra flesta läkemedel finns också så kallade hjälpämnen.

Kemiskt namn

N-Formyl-L-leucin(S)-1-[[(2S,​3S)-3-hexyl-4-oxo-2-oxetanyl]metyl]dodecylester

Benäms även som

Orlistat (engelska)

Bild på kemisk struktur för Orlistat

Läkemedel kopplade till substansen

Läkemedel som innehåller Orlistat (3)