Säkerhetsmeddelande till marknaden 2026-01-05, läs mer här.

Tillgänglig läkemedelsinformation i Sverige

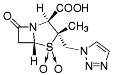
Tazobaktam

Det här är en substans. Ett läkemedel innehåller ett eller flera verksamma ämnen, så kallade aktiva substanser. I de allra flesta läkemedel finns också så kallade hjälpämnen.

Kemiskt namn

(2S,​3S,​5R)-3-Metyl-7-oxo-3-(1H-1,​2,​3-triazol-1-ylmetyl)-4-tia-1-azabicyklo[3.2.0]heptan-2-karboxylsyra-4,​4-dioxid

Benäms även som

Tazobactam (engelska)

Bild på kemisk struktur för Tazobaktam

Läkemedel kopplade till substansen

Läkemedel som innehåller Tazobaktam (0)