Säkerhetsmeddelande till marknaden 2026-01-05, läs mer här.

Tillgänglig läkemedelsinformation i Sverige

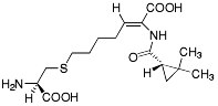
Cilastatin

Det här är en substans. Ett läkemedel innehåller ett eller flera verksamma ämnen, så kallade aktiva substanser. I de allra flesta läkemedel finns också så kallade hjälpämnen.

Kemiskt namn

(Z)-7-[[(R)-2-Amino-2-karboxietyl]tio]-2-[(S)-2,​2-dimetylcyklopropankarboxamido]-2-heptensyra

Benäms även som

Cilastatin (engelska)

Bild på kemisk struktur för Cilastatin

Läkemedel kopplade till substansen

Läkemedel som innehåller Cilastatin (0)

    Läkemedel som innehåller Cilastatinnatrium (2)