Säkerhetsmeddelande till marknaden 2026-01-05, läs mer här.

Tillgänglig läkemedelsinformation i Sverige

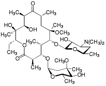
Klaritromycin

Det här är en substans. Ett läkemedel innehåller ett eller flera verksamma ämnen, så kallade aktiva substanser. I de allra flesta läkemedel finns också så kallade hjälpämnen.

Kemiskt namn

(2R,​3S,​4S,​5R,​6R,​8R,​10R,​11R,​12S,​13R)-3-[(2,​6-Dideoxi-3-C,​3-O-dimetyl-α-L-ribo-hexopyranosyl)oxi]-13-etyl-11,​12-dihydroxi-6-metoxi-2,​4,​6,​8,​10,​12-hexametyl-5-[(3,​4,​6-trideoxi-3-dimetylamino-β-D-xylo-hexopyranosyl)oxi]-9-oxotridekan-13-olid

Benäms även som

Clarithromycin (engelska)

Bild på kemisk struktur för Klaritromycin

Läkemedel kopplade till substansen