Viktigt meddelande.För närvarande kan tillfälliga störningar förekomma på Fass. Om Fass.se ej fungerar finns Fass appar tillgängliga via App Store eller Google Play.

Tillgänglig läkemedelsinformation i Sverige

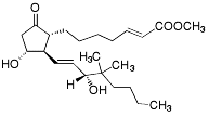
Gemeprost

Det här är en substans. Ett läkemedel innehåller ett eller flera verksamma ämnen, så kallade aktiva substanser. I de allra flesta läkemedel finns också så kallade hjälpämnen.

Kemiskt namn

Metyl-(E)-7-[(1R,​2R,​3R)-3-hydroxi-2-[(E)-(3R)-3-hydroxi-4,​4-dimetyl-1-oktenyl]-5-oxocyklopentyl]-2-heptenoat

Benäms även som

Gemeprost (engelska)

Bild på kemisk struktur för Gemeprost

Läkemedel kopplade till substansen

Läkemedel som innehåller Gemeprost (1)