Säkerhetsmeddelande till marknaden 2026-01-05, läs mer här.

Tillgänglig läkemedelsinformation i Sverige

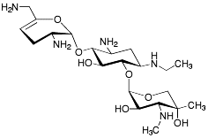
Netilmicin

Det här är en substans. Ett läkemedel innehåller ett eller flera verksamma ämnen, så kallade aktiva substanser. I de allra flesta läkemedel finns också så kallade hjälpämnen.

Kemiskt namn

O-3-Deoxi-4-C-metyl-3-(metylamino)-β-L-arabinopyranosyl-(1→4)-O-[2,​6-diamino-2,​3,​4,​6-tetradeoxi-α-D-glycero-hex-4-enopyranosyl-(1→6)]-2-deoxi-N3-D-streptamin

Benäms även som

Netilmicin (engelska)

Bild på kemisk struktur för Netilmicin

Läkemedel kopplade till substansen

Läkemedel som innehåller Netilmicin (0)

    Läkemedel som innehåller Netilmicinsulfat (2)