Säkerhetsmeddelande till marknaden 2026-01-05, läs mer här.

Tillgänglig läkemedelsinformation i Sverige

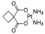
Karboplatin

Det här är en substans. Ett läkemedel innehåller ett eller flera verksamma ämnen, så kallade aktiva substanser. I de allra flesta läkemedel finns också så kallade hjälpämnen.

Kemiskt namn

cis-Diammin(1,​1-cyklobutandikarboxylato)platinum

Benäms även som

Carboplatin (engelska)

Bild på kemisk struktur för Karboplatin

Läkemedel kopplade till substansen