Säkerhetsmeddelande till marknaden 2026-01-05, läs mer här.

Tillgänglig läkemedelsinformation i Sverige

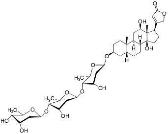
Digoxin

Det här är en substans. Ett läkemedel innehåller ett eller flera verksamma ämnen, så kallade aktiva substanser. I de allra flesta läkemedel finns också så kallade hjälpämnen.

Kemiskt namn

3-β-[(O-2,​6-Dideoxi-β-D-ribo-hexopyranosyl-(1→4)-O-2,​6-dideoxi-β-D-ribo-hexopyranosyl-(1→4)-2,​6-dideoxi-β-D-ribo-hexopyranosyl)oxi]-12β,​14-dihydroxi-5β-kard-20(22)-enolid

Benäms även som

Digoxin (engelska)

Bild på kemisk struktur för Digoxin

Läkemedel kopplade till substansen