Säkerhetsmeddelande till marknaden 2026-01-05, läs mer här.

Tillgänglig läkemedelsinformation i Sverige

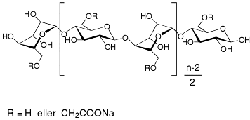
Karmellos

Det här är en substans. Ett läkemedel innehåller ett eller flera verksamma ämnen, så kallade aktiva substanser. I de allra flesta läkemedel finns också så kallade hjälpämnen.

Benäms även som

Carmellose (engelska)

Bild på kemisk struktur för Karmellos

Läkemedel kopplade till substansen

Läkemedel som innehåller Karmellos (0)

    Läkemedel som innehåller Karmellosnatrium (1)