Säkerhetsmeddelande till marknaden 2026-01-05, läs mer här.

Tillgänglig läkemedelsinformation i Sverige

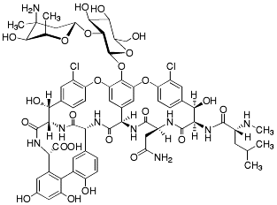
Vankomycin

Det här är en substans. Ett läkemedel innehåller ett eller flera verksamma ämnen, så kallade aktiva substanser. I de allra flesta läkemedel finns också så kallade hjälpämnen.

Kemiskt namn

rel-(3S,​6R,​7R,​22R,​23S,​26S,​36R,​38aR)-44-[[2-O-(3-Amino-2,​3,​6-trideoxi-3-C-metyl-α-L-lyxo-hexopyranosyl)-β-D-glukopyranosyl]oxi]-2,​3,​4,​5,​6,​7,​23,​24,​25,​26,​36,​38,​38a-tetradekahydro-7,​22,​28,​30,​32-pentahydroxi-3-(karbamoylmetyl)-10,​19-dikloro-6-[(R)-4-metyl-2-(metylamino)valeramido]-2,​5,​24,​38,​39-pentaoxo-22H-8,​11:18,​21-dieteno-23,​36-(iminometano)-13,​16:31,​35-dimeteno-1H,​16H-[1,​6,​9]-oxadiazacyklohexadecino[4,​5-m][10,​2,​16]benzoxadiazacyklotetrakosin-26-karboxylsyra

Benäms även som

Vancomycin (engelska)

Bild på kemisk struktur för Vankomycin