Säkerhetsmeddelande till marknaden 2026-01-05, läs mer här.

Tillgänglig läkemedelsinformation i Sverige

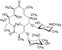
Erytromycin

Det här är en substans. Ett läkemedel innehåller ett eller flera verksamma ämnen, så kallade aktiva substanser. I de allra flesta läkemedel finns också så kallade hjälpämnen.

Kemiskt namn

(2R,​3S,​4S,​5R,​6R,​8R,​10R,​11R,​12S,​13R)-3-[(2,​6-Dideoxi-3-C,​3-O-dimetyl-α-L-ribo-hexopyranosyl)oxi]-13-etyl-6,​11,​12-trihydroxi-2,​4,​6,​8,​10,​12-hexametyl-5-[3,​4,​6-trideoxi-3-dimetylamino-β-D-xylo-hexopyranosyl)oxi]-9-oxotridekan-13-olid

Benäms även som

Erythromycin (engelska)

Bild på kemisk struktur för Erytromycin

Läkemedel kopplade till substansen

Läkemedel som innehåller Erytromycin (0)

    Läkemedel som innehåller Erytromycinlaktobionat (2)

    Läkemedel som innehåller Erytromycinstearat (1)