Tillgänglig läkemedelsinformation i Sverige

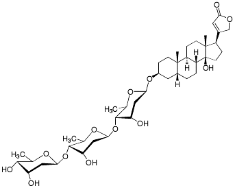
Digitoxin

Ett läkemedel innehåller ett eller flera verksamma ämnen, så kallade aktiva substanser. I de allra flesta läkemedel finns också så kallade hjälpämnen.

Kemiskt namn

3β-[(O-2,​6-Dideoxi-β-D-ribo-hexopyranosyl-(1®4)-O-2,​6-dideoxi-β-D-ribo-hexopyranosyl-(1®4)-2,​6-dideoxi-β-D-ribo-hexopyranosyl)oxi]-14-hydroxi-5β-kard-20(22)-enolid

Benäms även som

Digitoxin (engelska)

Bild på kemisk struktur för Digitoxin

Läkemedel kopplade till substansen

Läkemedel som innehåller Digitoxin (1)