Säkerhetsmeddelande till marknaden 2026-01-05, läs mer här.

Tillgänglig läkemedelsinformation i Sverige

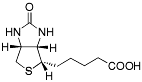
Biotin

Det här är en substans. Ett läkemedel innehåller ett eller flera verksamma ämnen, så kallade aktiva substanser. I de allra flesta läkemedel finns också så kallade hjälpämnen.

Kemiskt namn

(3aS,​4S,​6aR)-Hexahydro-2-oxo-1H-tienol[3,​4-d]imidazol-4-pentansyra

Benäms även som

Biotin (engelska)

Bild på kemisk struktur för Biotin

Läkemedel kopplade till substansen

Läkemedel som innehåller Biotin (3)

Läkemedel som innehåller Biotinnatrium (0)