Säkerhetsmeddelande till marknaden 2026-01-05, läs mer här.

Tillgänglig läkemedelsinformation i Sverige

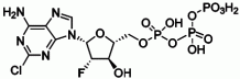
Klofarabin

Det här är en substans. Ett läkemedel innehåller ett eller flera verksamma ämnen, så kallade aktiva substanser. I de allra flesta läkemedel finns också så kallade hjälpämnen.

Kemiskt namn

9-(2-Deoxi-2-fluoro-β-D-arabinofuranosyl)-2-kloro-9H-purin-6-amin

Benäms även som

Clofarabine (engelska)

Bild på kemisk struktur för Klofarabin

Läkemedel kopplade till substansen

Läkemedel som innehåller Klofarabin (1)