Säkerhetsmeddelande till marknaden 2026-01-05, läs mer här.

Tillgänglig läkemedelsinformation i Sverige

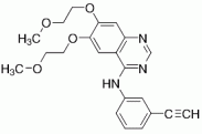
Erlotinib

Det här är en substans. Ett läkemedel innehåller ett eller flera verksamma ämnen, så kallade aktiva substanser. I de allra flesta läkemedel finns också så kallade hjälpämnen.

Kemiskt namn

N-(3-Etynylfenyl)-6,​7-bis(2-metoxietoxi)-4-kinazolinamin

Benäms även som

Erlotinib (engelska)

Bild på kemisk struktur för Erlotinib

Läkemedel kopplade till substansen

Läkemedel som innehåller Erlotinib (0)