Säkerhetsmeddelande till marknaden 2026-01-05, läs mer här.

Tillgänglig läkemedelsinformation i Sverige

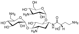
Amikacin

Det här är en substans. Ett läkemedel innehåller ett eller flera verksamma ämnen, så kallade aktiva substanser. I de allra flesta läkemedel finns också så kallade hjälpämnen.

Kemiskt namn

O-3-Amino-3-deoxi-α-D-glukopyranosyl-(1®4)-O-[6-amino-6-deoxi-α-D-glukopyranosyl-(1®6)]-N3-(4-amino-L-2-hydroxibutyryl)-2-deoxi-L-streptamin

Benäms även som

Amikacin (engelska)

Bild på kemisk struktur för Amikacin

ATC-koder kopplade till substansen

Läkemedel kopplade till substansen

Läkemedel som innehåller Amikacin (0)