Säkerhetsmeddelande till marknaden 2026-01-05, läs mer här.

Tillgänglig läkemedelsinformation i Sverige

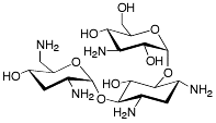
Tobramycin

Det här är en substans. Ett läkemedel innehåller ett eller flera verksamma ämnen, så kallade aktiva substanser. I de allra flesta läkemedel finns också så kallade hjälpämnen.

Kemiskt namn

O-3-Amino-3-deoxi-α-D-glukopyranosyl-(1®6)-O-[2,​6-diamino-2,​3,​6-trideoxi-α-D-ribo-hexopyranosyl-(1®4)]-2-deoxi-D-streptamin

Benäms även som

Tobramycin (engelska)

Bild på kemisk struktur för Tobramycin

ATC-koder kopplade till substansen