Förändring 2025-12-15:Nu kommer du till produktresumén istället för Fass-vyn när du sökt fram ett läkemedel. Läs mer här…

Tillgänglig läkemedelsinformation i Sverige

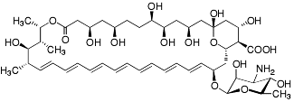
Amfotericin B

Det här är en substans. Ett läkemedel innehåller ett eller flera verksamma ämnen, så kallade aktiva substanser. I de allra flesta läkemedel finns också så kallade hjälpämnen.

Kemiskt namn

(20E,​22E,​24E,​26E,​28E,​30E,​32E)-(3R,​5R,​8R,​9R,​11S,​13R,​15S,​16R,​17S,​19R,​34S,​35R,​36R,​37S)-19-(3-Amino-3,​6-dideoxi-β-D-mannopyranosyloxi)-3,​5,​8,​9,​11,​13,​15,​35-oktahydroxi-16-karboxi-34,​36-dimetyl-13,​17-epoxioktatriakonta-20,​22,​24,​26,​28,​30,​32-heptaen-37-olid

Benäms även som

Amphotericin B (engelska)

Bild på kemisk struktur för Amfotericin B

ATC-koder kopplade till substansen

Läkemedel kopplade till substansen