EXDENSUR 100 mg injektionsvätska, lösning, i förfylld injektionspenna
EXDENSUR 100 mg injektionsvätska, lösning, i förfylld spruta
Varje ml injektionsvätska, lösning, innehåller 100 mg depemokimab.
Depemokimab är en rekombinant humaniserad (IgG1, kappa) monoklonal antikropp framställd i ovarieceller från kinesisk hamster (CHO) med rekombinant DNA-teknik.
Hjälpämnen med känd effekt
Varje ml injektionsvätska, lösning, innehåller 0,2 mg polysorbat 80.
För fullständig förteckning över hjälpämnen, se avsnitt 6.1.
Injektionsvätska, lösning
Färglös, gul till brun, klar till opaliserande lösning, med ett pH-värde på 6,0 och en osmolalitet på 350 mOsm/kg.
GlaxoSmithKline Trading Services Limited
12 Riverwalk
Citywest Business Campus
Dublin 24
D24 YK11
Irland
EXDENSUR 100 mg injektionsvätska, lösning, i förfylld injektionspenna
EU/1/25/2007/001
EXDENSUR 100 mg injektionsvätska, lösning, i förfylld spruta
EU/1/25/2007/002
Första godkännandet: 2026-02-12
2026-02-12 Ytterligare information om detta läkemedel finns på Europeiska läkemedelsmyndighetens webbplats https://www.ema.europa.eu.
Astma
Vuxna och ungdomar från 12 års ålder
Rekommenderad dos av depemokimab är 100 mg administrerat subkutant en gång var sjätte månad.
CRSwNP
Vuxna
Rekommenderad dos av depemokimab är 100 mg administrerat subkutant en gång var sjätte månad.
Missad dos
Om patienten missar en dos ska den tas så snart som möjligt. Om den missade dosen tas 1 månad eller senare efter den schemalagda dosen, ska 6-månadersschemat för injektioner återupptas från det datum då den missade dosen togs.
Särskilda populationer
Äldre
Ingen dosjustering krävs för äldre patienter i åldern ≥ 65 år (se avsnitt 5.2).
Nedsatt njur- och leverfunktion
Ingen dosjustering krävs för patienter med nedsatt njur- eller leverfunktion (se avsnitt 5.2).
Pediatrisk population
Astma
Säkerhet och effekt för depemokimab för barn under 12 år har ännu inte fastställts. Inga data finns tillgängliga.
CRSwNP
Det finns ingen relevant användning av depemokimab för en pediatrisk population för behandling av CRSwNP.
Administreringssätt
Den förfyllda injektionspennan eller förfyllda sprutan får endast användas för subkutan injektion.
En patient som är vuxen eller ungdom eller en vårdare kan administrera detta läkemedel om hälso- och sjukvårdspersonal anser det lämpligt och om patienten eller vårdaren utbildas i injektionsteknik.
Vid självadministrering rekommenderas magen, med undantag av området 5 cm runt naveln, eller låret som injektionsställe. En vårdare kan även injicera lösningen i överarmen. Injektionen ska inte ges i områden med blåmärken eller där huden är öm, erytematös eller hård.
Fullständiga instruktioner om administrering finns i bruksanvisningen i slutet av bipacksedeln.
Överkänslighet mot den aktiva substansen eller mot något hjälpämne som anges i avsnitt 6.1.
Spårbarhet
För att underlätta spårbarhet av biologiska läkemedel ska läkemedlets namn och tillverkningssatsnummer dokumenteras.
Överkänslighetsreaktioner
Överkänslighetsreaktioner, t.ex. anafylaxi och angioödem, kan förekomma efter administrering av depemokimab (se avsnitt 4.8). Sådana reaktioner kan uppstå inom några timmar efter administrering, men kan ibland vara fördröjda (dvs. uppstå efter flera dagar). I händelse av en överkänslighetsreaktion rekommenderas lämplig behandling enligt klinisk indikation. Vid upprepad administrering av depemokimab rekommenderas övervakning för att upptäcka tecken på återkommande överkänslighetsreaktioner. Vid en svår eller återkommande överkänslighetsreaktion ska permanent utsättning av depemokimab övervägas.
Akuta astmaexacerbationer
Depemokimab får inte användas för att behandla akuta astmasymtom eller akuta exacerbationer.
Astmarelaterade biverkningar eller exacerbationer kan förekomma under behandling med depemokimab. Det rekommenderas att patienten instrueras att söka läkarvård om astman fortfarande inte kontrolleras eller om den förvärras efter påbörjad behandling med depemokimab.
Kortikosteroider
Abrupt utsättning av underhållsbehandlingar (inklusive systemiska eller inhalerade kortikosteroider) efter påbörjad behandling med depemokimab rekommenderas inte. Vid behov ska dosen av underhållsbehandlingar sänkas stegvis under överinseende av läkare.
Parasitinfektioner (maskinfektioner)
Eosinofiler kan vara involverade i det immunologiska svaret på vissa maskinfektioner. Patienter med befintliga maskinfektioner uteslöts från det kliniska programmet. Patienter med befintliga maskinfektioner ska behandlas för maskinfektionen innan behandling med depemokimab påbörjas. Om patienten blir infekterad under behandling med depemokimab och inte svarar på maskmedel, ska senareläggning av administreringen av nästa dos depemokimab till dess att infektionen läkt ut övervägas.
Hjälpämnen med känd effekt
Polysorbater
Detta läkemedel innehåller 0,2 mg polysorbat 80 per 100 mg dosering (se avsnitt 2). Polysorbater kan orsaka allergiska reaktioner.
Natrium
Detta läkemedel innehåller mindre än 1 mmol (23 mg) natrium per 100 mg dosering, d.v.s. är näst intill ”natriumfritt”.
Inga interaktionsstudier har utförts. Potentialen för läkemedelsinteraktioner anses vara låg eftersom depemokimab kataboliseras av proteolytiska enzymer som inte är begränsade till levervävnad utan förekommer allmänt i kroppen. Risken för interaktion mellan läkemedel och sjukdomstillstånd på grund av en indirekt effekt på genuttrycket av cytokrom P450 (CYP450) eller transportörer anses också vara låg eftersom målet för depemokimab är cytokinet interleukin-5 (IL-5).
Graviditet
Det finns inga eller begränsad mängd data från användning av depemokimab hos gravida kvinnor. Djurstudier av IL-5-signalvägar visar inga direkta eller indirekta reproduktionstoxikologiska effekter (se avsnitt 5.3).
Monoklonala antikroppar, som depemokimab, förväntas passera placenta på ett linjärt sätt vartefter graviditeten fortskrider.
Som en försiktighetsåtgärd bör man undvika användning av EXDENSUR under graviditet.
Amning
Det är okänt om depemokimab utsöndras i bröstmjölk. Det är känt att humana IgG:er utsöndras i bröstmjölk under de första dagarna efter förlossningen och att utsöndringen sedan minskar till låga koncentrationer snart därefter. Således kan en risk för det nyfödda barnet/spädbarnet inte uteslutas under denna korta period. Därefter kan EXDENSUR användas under amning om ett kliniskt behov föreligger.
Fertilitet
Det finns inga fertilitetsdata för människa. Djurstudier har inte visat några negativa effekter på fertiliteten av läkemedel riktade mot IL‑5 (se avsnitt 5.3).
EXDENSUR har ingen eller försumbar effekt på förmågan att framföra fordon och använda maskiner.
Sammanfattning av säkerhetsprofilen
De vanligaste rapporterade biverkningarna av depemokimab är lokala reaktioner vid injektionsstället (2 %).
Tabell över biverkningar
Biverkningar rapporterade under kliniska studier presenteras i tabellen nedan (tabell 1).
Frekvenserna anges som mycket vanliga (≥ 1/10), vanliga (≥ 1/100, < 1/10), mindre vanliga (≥ 1/1 000, < 1/100), sällsynta (≥ 1/10 000, < 1/1 000) och mycket sällsynta (< 1/10 000). Inom varje frekvensgrupp anges biverkningarna efter minskande allvarlighetsgrad.
Tabell 1. Biverkningar
Beskrivning av valda biverkningar
Systemiska reaktioner (allergiska)
Överkänslighetsreaktioner, som anafylaxi och angioödem, har rapporterats med andra monoklonala antikroppar riktade mot IL-5 eller dess receptor. Sådana reaktioner kan uppstå med tanke på erfarenheten av denna läkemedelsklass (se avsnitt 4.4.).
Systemiska reaktioner (icke-allergiska)
Administreringsrelaterade icke-allergiska reaktioner (t.ex. huvudvärk, trötthet, hudutslag) rapporterades hos totalt 1 % av patienterna som fick depemokimab under det kliniska utvecklingsprogrammet. I de placebokontrollerade 52-veckorsstudierna av astma och CRSwNP rapporterades systemiska icke-allergiska reaktioner hos < 1 % av patienterna som fick depemokimab.
De systemiska reaktioner (icke-allergiska) som rapporterades med depemokimab var inte allvarliga och var antingen av mild eller måttlig intensitet. Majoriteten av händelser var övergående: 88 % av händelserna gick tillbaka ≤ 7 dagar från debuten medan 67 % av händelserna gick tillbaka ≤ 2 dagar från debuten.
Lokala reaktioner vid injektionsstället
Lokala reaktioner vid injektionsstället (t.ex. smärta, erytem, svullnad, klåda) rapporterades hos totalt 2 % av patienterna som fick depemokimab under det kliniska utvecklingsprogrammet. Reaktionerna som rapporterades med depemokimab var inte allvarliga, var av mild intensitet och var övergående (79 % gick tillbaka inom ≤ 7 dagar och de flesta reaktionerna (56 %) gick tillbaka inom ≤ 2 dagar från debuten).
I de placebokontrollerade studierna på astma och CRSwNP rapporterades lokala reaktioner vid injektionsstället hos 1 % av patienterna som fick depemokimab jämfört med < 1 % av patienterna som fick placebo.
Pediatrisk population
Femton ungdomar (i åldern 12‑17 år) fick depemokimab i två placebokontrollerade 52-veckorsstudier på astma (SWIFT-1 och SWIFT-2). Säkerhetsprofilen var generellt likartad den som sågs hos vuxna. Inga ytterligare biverkningar identifierades.
Engångsdoser på upp till 300 mg har administrerats subkutant utan tecken på dosrelaterade toxiciteter.
Det finns ingen specifik behandling vid överdosering av depemokimab. Vid överdosering ska patienten ges understödjande behandling med lämplig övervakning efter behov.
Astma
EXDENSUR är avsett som tillägg till underhållsbehandling för svår astma med typ 2-inflammation som karakteriseras av eosinofiler i blodet hos vuxna och ungdomar från 12 års ålder och som inte kontrolleras tillräckligt trots hög dos inhalerade kortikosteroider (ICS) samt ett annat astmaläkemedel (se avsnitt 5.1).
Kronisk rinosinuit med näspolyper (CRSwNP)
EXDENSUR är avsett som tilläggsbehandling till intranasala kortikosteroider för behandling av vuxna patienter med svår CRSwNP, som inte uppnår tillräcklig sjukdomskontroll med systemiska kortikosteroider och/eller kirurgi.
Detta läkemedel ska förskrivas av läkare med erfarenhet av diagnos och behandling av astma eller CRSwNP.
Dosering
Detta läkemedel är avsett för långtidsbehandling. Beslut om fortsatt behandling ska fattas minst en gång om året baserat på graden av sjukdomskontroll hos patienten.
Astma
Vuxna och ungdomar från 12 års ålder
Rekommenderad dos av depemokimab är 100 mg administrerat subkutant en gång var sjätte månad.
CRSwNP
Vuxna
Rekommenderad dos av depemokimab är 100 mg administrerat subkutant en gång var sjätte månad.
Missad dos
Om patienten missar en dos ska den tas så snart som möjligt. Om den missade dosen tas 1 månad eller senare efter den schemalagda dosen, ska 6-månadersschemat för injektioner återupptas från det datum då den missade dosen togs.
Särskilda populationer
Äldre
Ingen dosjustering krävs för äldre patienter i åldern ≥ 65 år (se avsnitt 5.2).
Nedsatt njur- och leverfunktion
Ingen dosjustering krävs för patienter med nedsatt njur- eller leverfunktion (se avsnitt 5.2).
Pediatrisk population
Astma
Säkerhet och effekt för depemokimab för barn under 12 år har ännu inte fastställts. Inga data finns tillgängliga.
CRSwNP
Det finns ingen relevant användning av depemokimab för en pediatrisk population för behandling av CRSwNP.
Administreringssätt
Den förfyllda injektionspennan eller förfyllda sprutan får endast användas för subkutan injektion.
En patient som är vuxen eller ungdom eller en vårdare kan administrera detta läkemedel om hälso- och sjukvårdspersonal anser det lämpligt och om patienten eller vårdaren utbildas i injektionsteknik.
Vid självadministrering rekommenderas magen, med undantag av området 5 cm runt naveln, eller låret som injektionsställe. En vårdare kan även injicera lösningen i överarmen. Injektionen ska inte ges i områden med blåmärken eller där huden är öm, erytematös eller hård.
Fullständiga instruktioner om administrering finns i bruksanvisningen i slutet av bipacksedeln.
Överkänslighet mot den aktiva substansen eller mot något hjälpämne som anges i avsnitt 6.1.
Spårbarhet
För att underlätta spårbarhet av biologiska läkemedel ska läkemedlets namn och tillverkningssatsnummer dokumenteras.
Överkänslighetsreaktioner
Överkänslighetsreaktioner, t.ex. anafylaxi och angioödem, kan förekomma efter administrering av depemokimab (se avsnitt 4.8). Sådana reaktioner kan uppstå inom några timmar efter administrering, men kan ibland vara fördröjda (dvs. uppstå efter flera dagar). I händelse av en överkänslighetsreaktion rekommenderas lämplig behandling enligt klinisk indikation. Vid upprepad administrering av depemokimab rekommenderas övervakning för att upptäcka tecken på återkommande överkänslighetsreaktioner. Vid en svår eller återkommande överkänslighetsreaktion ska permanent utsättning av depemokimab övervägas.
Akuta astmaexacerbationer
Depemokimab får inte användas för att behandla akuta astmasymtom eller akuta exacerbationer.
Astmarelaterade biverkningar eller exacerbationer kan förekomma under behandling med depemokimab. Det rekommenderas att patienten instrueras att söka läkarvård om astman fortfarande inte kontrolleras eller om den förvärras efter påbörjad behandling med depemokimab.
Kortikosteroider
Abrupt utsättning av underhållsbehandlingar (inklusive systemiska eller inhalerade kortikosteroider) efter påbörjad behandling med depemokimab rekommenderas inte. Vid behov ska dosen av underhållsbehandlingar sänkas stegvis under överinseende av läkare.
Parasitinfektioner (maskinfektioner)
Eosinofiler kan vara involverade i det immunologiska svaret på vissa maskinfektioner. Patienter med befintliga maskinfektioner uteslöts från det kliniska programmet. Patienter med befintliga maskinfektioner ska behandlas för maskinfektionen innan behandling med depemokimab påbörjas. Om patienten blir infekterad under behandling med depemokimab och inte svarar på maskmedel, ska senareläggning av administreringen av nästa dos depemokimab till dess att infektionen läkt ut övervägas.
Hjälpämnen med känd effekt
Polysorbater
Detta läkemedel innehåller 0,2 mg polysorbat 80 per 100 mg dosering (se avsnitt 2). Polysorbater kan orsaka allergiska reaktioner.
Natrium
Detta läkemedel innehåller mindre än 1 mmol (23 mg) natrium per 100 mg dosering, d.v.s. är näst intill ”natriumfritt”.
Inga interaktionsstudier har utförts. Potentialen för läkemedelsinteraktioner anses vara låg eftersom depemokimab kataboliseras av proteolytiska enzymer som inte är begränsade till levervävnad utan förekommer allmänt i kroppen. Risken för interaktion mellan läkemedel och sjukdomstillstånd på grund av en indirekt effekt på genuttrycket av cytokrom P450 (CYP450) eller transportörer anses också vara låg eftersom målet för depemokimab är cytokinet interleukin-5 (IL-5).
Graviditet
Det finns inga eller begränsad mängd data från användning av depemokimab hos gravida kvinnor. Djurstudier av IL-5-signalvägar visar inga direkta eller indirekta reproduktionstoxikologiska effekter (se avsnitt 5.3).
Monoklonala antikroppar, som depemokimab, förväntas passera placenta på ett linjärt sätt vartefter graviditeten fortskrider.
Som en försiktighetsåtgärd bör man undvika användning av EXDENSUR under graviditet.
Amning
Det är okänt om depemokimab utsöndras i bröstmjölk. Det är känt att humana IgG:er utsöndras i bröstmjölk under de första dagarna efter förlossningen och att utsöndringen sedan minskar till låga koncentrationer snart därefter. Således kan en risk för det nyfödda barnet/spädbarnet inte uteslutas under denna korta period. Därefter kan EXDENSUR användas under amning om ett kliniskt behov föreligger.
Fertilitet
Det finns inga fertilitetsdata för människa. Djurstudier har inte visat några negativa effekter på fertiliteten av läkemedel riktade mot IL‑5 (se avsnitt 5.3).
EXDENSUR har ingen eller försumbar effekt på förmågan att framföra fordon och använda maskiner.
Sammanfattning av säkerhetsprofilen
De vanligaste rapporterade biverkningarna av depemokimab är lokala reaktioner vid injektionsstället (2 %).
Tabell över biverkningar
Biverkningar rapporterade under kliniska studier presenteras i tabellen nedan (tabell 1).
Frekvenserna anges som mycket vanliga (≥ 1/10), vanliga (≥ 1/100, < 1/10), mindre vanliga (≥ 1/1 000, < 1/100), sällsynta (≥ 1/10 000, < 1/1 000) och mycket sällsynta (< 1/10 000). Inom varje frekvensgrupp anges biverkningarna efter minskande allvarlighetsgrad.
Tabell 1. Biverkningar
Beskrivning av valda biverkningar
Systemiska reaktioner (allergiska)
Överkänslighetsreaktioner, som anafylaxi och angioödem, har rapporterats med andra monoklonala antikroppar riktade mot IL-5 eller dess receptor. Sådana reaktioner kan uppstå med tanke på erfarenheten av denna läkemedelsklass (se avsnitt 4.4.).
Systemiska reaktioner (icke-allergiska)
Administreringsrelaterade icke-allergiska reaktioner (t.ex. huvudvärk, trötthet, hudutslag) rapporterades hos totalt 1 % av patienterna som fick depemokimab under det kliniska utvecklingsprogrammet. I de placebokontrollerade 52-veckorsstudierna av astma och CRSwNP rapporterades systemiska icke-allergiska reaktioner hos < 1 % av patienterna som fick depemokimab.
De systemiska reaktioner (icke-allergiska) som rapporterades med depemokimab var inte allvarliga och var antingen av mild eller måttlig intensitet. Majoriteten av händelser var övergående: 88 % av händelserna gick tillbaka ≤ 7 dagar från debuten medan 67 % av händelserna gick tillbaka ≤ 2 dagar från debuten.
Lokala reaktioner vid injektionsstället
Lokala reaktioner vid injektionsstället (t.ex. smärta, erytem, svullnad, klåda) rapporterades hos totalt 2 % av patienterna som fick depemokimab under det kliniska utvecklingsprogrammet. Reaktionerna som rapporterades med depemokimab var inte allvarliga, var av mild intensitet och var övergående (79 % gick tillbaka inom ≤ 7 dagar och de flesta reaktionerna (56 %) gick tillbaka inom ≤ 2 dagar från debuten).
I de placebokontrollerade studierna på astma och CRSwNP rapporterades lokala reaktioner vid injektionsstället hos 1 % av patienterna som fick depemokimab jämfört med < 1 % av patienterna som fick placebo.
Pediatrisk population
Femton ungdomar (i åldern 12‑17 år) fick depemokimab i två placebokontrollerade 52-veckorsstudier på astma (SWIFT-1 och SWIFT-2). Säkerhetsprofilen var generellt likartad den som sågs hos vuxna. Inga ytterligare biverkningar identifierades.
Rapportering av misstänkta biverkningar
Engångsdoser på upp till 300 mg har administrerats subkutant utan tecken på dosrelaterade toxiciteter.
Det finns ingen specifik behandling vid överdosering av depemokimab. Vid överdosering ska patienten ges understödjande behandling med lämplig övervakning efter behov.
I fas 3-studierna på astma och CRSwNP kvarstod dessa minskningar under behandlingsperioden och vecka 52 var minskningarna av antalet eosinofiler i blodet 79 % respektive 85 % jämfört med placebo.
Immunogenicitet
Hos patienter som fick minst en subkutant administrerad dos med 100 mg depemokimab var 6:e månad var 9 % (44/499) av patienterna med astma (SWIFT-1 och SWIFT-2) och 8 % (21/272) av patienterna med CRSwNP (ANCHOR-1 och ANCHOR-2) positiva för antikroppar mot depemokimab (ADA) under 52-veckorsstudierna.
Procentandelen patienter som var positiva för ADA var 9 % (55/622) i en 52 veckor lång öppen, förlängningsstudie på astma (AGILE; n = 395 med data insamlade under 104 veckor).
I de placebokontrollerade studierna på indikationerna astma och CRSwNP och den 52 veckor långa, öppna förlängningsstudien på astma (AGILE) var < 1 % av patienterna (n = 7) positiva för neutraliserande antikroppar.
Anti-läkemedelsantikroppar (ADA) påvisades ofta. Ingen evidens för att ADA påverkar farmakokinetik, farmakodynamik, effekt eller säkerhet observerades. Data är dock fortfarande begränsade.
Klinisk effekt och säkerhet
Astma
Effekten av depemokimab utvärderades i två identiska randomiserade (i förhållandet 2:1, depemokimab:placebo), dubbelblinda, placebokontrollerade, multicenterstudier med parallella grupper med 52-veckors behandling (SWIFT-1 och SWIFT-2). De två studierna rekryterade patienter från åldern 12 år och äldre med astma med typ 2-inflammation karakteriserad av eosinofil fenotyp. I dessa studier administrerades 100 mg depemokimab subkutant en gång var 6:e månad om totalt två doser som tillägg till standardbehandling (SoC). Patienterna måste under de senaste 12 månaderna ha haft två eller fler astmaexacerbationer som krävde behandling med systemiska kortikosteroider (SCS) medan de stod på medium- till högdos-ICS (≥ 440 µg flutikasonpropionat eller motsvarande) samt minst ytterligare ett läkemedel för astmakontroll. Patienterna måste också ha ett dokumenterat blodeosinofilvärde ≥ 150 celler/µl vid screening eller ≥ 300 celler/µl under året före inklusion i studien och en reducerad lungfunktion vid baslinjen (forcerad exspiratorisk volym under 1 sekund [FEV1] före bronkvidgare < 80 % av förväntat normalvärde hos vuxna och [FEV1] < 90 % eller FEV1:FVC-kvot < 0,8 hos ungdomar). Patienterna rekryterades utan något krav på en lägsta poäng på Asthma Control Questionnaire-5 (ACQ-5). Depemokimab administrerades som tillägg till underhållsbehandling för astma som fortsatte under hela studietiden. Hela analyspopulationen (FAS-populationen) bestod av 762 patienter som randomiserades och fick minst en dos depemokimab eller placebo i de två studierna (382 i SWIFT-1 och 380 i SWIFT-2).
Demografi och karakteristika vid baslinjen för patienterna i dessa 2 studier redovisas i tabell 2.
Tabell 2. Demografi och karakteristika vid baslinjen (FAS-population)
FAS = hela analyssetet, FEV1 = forcerad exspiratorisk volym under 1 sekund, IgE = immunoglobulin E, SGRQ = St. George’s Respiratory Questionnaire, ACQ-5 = Asthma Control Questionnaire, ICS = inhalerad kortikosteroid, OCS = oral kortikosteroid
a Medelhög dos-ICS = 440 µg FP dagligen eller motsvarande; högdos-ICS = > 440 µg FP dagligen eller motsvarande
Exacerbationer
Det primära effektmåttet i SWIFT‑1 och SWIFT‑2 var den annualiserade frekvensen av kliniskt signifikanta exacerbationer under den 52 veckor långa behandlingsperioden. En kliniskt signifikant exacerbation definierades som försämring av astma som krävde användning av SCS (intravenösa eller orala steroider i minst 3 dagar eller en enda intramuskulär kortikosteroiddos) och/eller sjukhusinläggning eller besök på akutmottagning. För patienter på underhållsbehandling med SCS krävdes minst en dubblering av den aktuellaunderhållsdosen i minst 3 dagar. Samtliga patienter som drabbades av en exacerbation behandlades med SCS. Majoritetenav patienterna (95 % och 92 % för SWIFT-1 respektive SWIFT-2) slutförde studierna.
I SWIFT-1 och SWIFT-2 var den annualiserade frekvensen av exacerbationer signifikant lägre hos patienter som fick depemokimab jämfört med placebo (tabell 3). Procentandelen patienter med exacerbationer som behövde sjukhusinläggning och/eller besök på akutmottagning var lägre för patienter behandlade med depemokimab (1 % och 4 %) jämfört med placebo (8 % och 10 %) i SWIFT-1 respektive SWIFT-2.
Tabell 3. Resultat för det primära effektmåttet exacerbationer (FAS-population)
FAS = hela analyssetet
Sekundära effektmått
Ytterligare bedömningar av effekten inkluderade hälsorelaterad livskvalitet mätt med St. George’s Respiratory Questionnaire (SGRQ), astmakontroll mätt med Asthma Control Questionnaire (ACQ-5) och lungfunktion (FEV1 före bronkvidgare). I tabell 4 redovisas resultaten för dessa sekundära effektmått för FAS-populationen i SWIFT‑1 och SWIFT‑2.
Tabell 4. Resultat för sekundära effektmått (FAS-population)
FAS = hela analyssetet; LS = minsta kvadratmetoden; FEV1 = forcerad exspiratorisk volym under 1 sekund.
a Antal patienter med analyserbara data vid tidpunkten
b Justerad behandlingsskillnad (depemokimab jämfört med placebo)
Öppen förlängningsstudie på astma (AGILE)
Patienter som slutförde antingen SWIFT-1 eller SWIFT-2 kunde rekryteras till en öppen förlängningsstudie (AGILE) där samtliga fick upp till två doser depemokimab under en ytterligare 52 veckorsperiod. Analysen i AGILE (n = 629) visade en annualiserad exacerbationsfrekvens på 0,56 (95 % KI: 0,49; 0,65).
Kronisk rinosinuit med näspolyper (CRSwNP)
Effekten av depemokimab hos vuxna patienter med CRSwNP utvärderades i två identiska 52 veckor långa, randomiserade, dubbelblinda, placebokontrollerade, kliniska multicenterstudier med parallella grupper (ANCHOR-1 och ANCHOR-2). Dessa studier utvärderade effekten av 100 mg depemokimab subkutant administrerat en gång var 6:e månad om totalt två doser som tillägg till standardbehandling (SoC). Patienterna hade behandlats med systemiska kortikosteroider (SCS) vid något tillfälle inom de senaste två åren och/eller hade en medicinsk kontraindikation/intolerans mot SCS och/eller hade en dokumenterad historik med tidigare kirurgi för näspolyper (NP) före screening. Randomiserade patienter måste ha en endoskopisk bilateral NP-poäng på minst 5 av maximalt 8 poäng med en lägsta poäng på 2 i vardera näshåla och en genomsnittlig poäng på minst 2 för nästäppa enligt Verbal Response Scale (VRS) vid baslinjen. Utöver nästäppa fanns inga andra inklusionskriterier för symtom eller livskvalitet vid randomisering. Totalt 528 patienter (271 i ANCHOR-1 och 257 i ANCHOR-2) inkluderades i FAS-populationen (hela analyssetet).
Demografi och karakteristika vid baslinjen för patienterna i dessa två studier redovisas i tabell 5 nedan:
Tabell 5. Demografi och karakteristika vid baslinjen (FAS-population)
FAS = hela analyssetet; CRSwNP = kronisk rinosinuit med näspolyper; SCS = systemisk kortikosteroid; NP = näspolyp; AERD = aspirinförvärrad luftvägssjukdom; VRS = Verbal Response Scale; SNOT-22 = Sino-Nasal Outcome Test
a Högre poäng innebär svårare sjukdom.
b Enligt gradering av oberoende, blindade bedömare.
c NP-poäng är summan av poäng från båda näsborrarna (skala 0‑8) där varje näsborre graderades (0=inga polyper; 1=små polyper i mellersta meatus som inte går nedanför mellersta conchas nedre gräns; 2=polyper som går nedanför mellersta turbinatens nedre gräns; 3=stora polyper som går till nedre turbinatens nedre gräns eller polyper medialt om mellersta concha; 4=stora polyper som orsakar nästan fullständig tilltäppning/obstruktion av nedre meatus).
d Insamlade dagligen av patienterna på en skala från 0 till 3 där 0=inga symtom, 1=milda symtom, 2=måttliga symtom, 3=svåra symtom.
e SNOT-22 är ett verktyg för bedömning av hälsorelaterad livskvalitet och innehåller 22 frågor i 6 domäner för symtom och påverkan associerad med CRSwNP (nasal, icke-nasal, öra/ansikte, sömn, trötthet, emotionella konsekvenser). Högre poäng innebär sämre hälsorelaterad livskvalitet.
Total endoskopisk poäng för näspolyper och poäng för nästäppa enligt VRS
Det koprimära effektmåttet i vardera studie var förändring från baslinjen i total endoskopisk NP-poäng (skala 0‑8) vecka 52 graderad av centrala, blindade granskare och förändring från baslinjen i genomsnittlig poäng för nästäppa enligt VRS (skala 0‑3 [0=inga symtom, 1=milda symtom, 2=måttliga symtom, 3=svåra symtom]) under vecka 49 till 52 enligt patientens egen dagliga rapportering i en dagbok. Resultaten för de koprimära effektmåtten i studierna ANCHOR-1 och ANCHOR-2 redovisas i tabell 6.
Tabell 6. Resultat för koprimära effektmått (FAS-population)
FAS = hela analyssetet, NP = näspolyp, LS = minsta kvadratmetoden, VRS = Verbal Response Scale
a Patienter som hade genomgått näskirurgi eller använde annan underhållsbehandling som påverkar typ 2-inflammation (inkluderande biologiska läkemedel indicerade för CRSwNP, kronisk användning av systemiska kortikosteroider och intranasala kortikosteroider) före tidpunkten av intresse tilldelades värsta möjliga värde i relevant poäng för alla bedömningar efter kirurgi eller insättning av annan underhållsbehandling som påverkar typ 2-inflammation.
b Baserat på analyser med blandad modell för upprepade mätningar (MMRM) med kovariaterna behandling, baslinjepoäng, blodeosinofilvärde vid baslinjen, region, tidigare kirurgi för näspolyper, besök- och interaktionsvillkor för besök vid baslinje och behandlingsbesök.
c Antal patienter med analyserbara data vid tidpunkten
D Justerad behandlingsskillnad (depemokimab jämfört med placebo)
e Övre gränsen för 95 % KI representerar en avrundad siffra på -0,003.
I analyserna från de enskilda studierna, ANCHOR‑1 och ANCHOR‑2, observerades en behandlingsskillnad som gynnade depemokimab vecka 12 (första tidpunkt för bedömning) för total endoskopisk NP-poäng och vecka 1‑4 (första tidpunkt för bedömning) för genomsnittlig poäng för nästäppa enligt VRS som kvarstod fram till vecka 52 (figur 1 och 2).
Figur 1. LS-medelvärdesförändring från baslinjen (95 % KI) i total endoskopisk NP-poäng fram till vecka 52 från studierna ANCHOR-1 och ANCHOR-2 (FAS-population)
LS = minsta kvadratmetoden; NP = näspolyp; FAS = hela analyssetet
Figur 2. LS-medelvärdesförändring från baslinjen (95 % KI) i genomsnittlig poäng för nästäppa enligt VRS fram till vecka 49-52 från studierna ANCHOR-1 och ANCHOR-2 (FAS-population)
LS = minsta kvadratmetoden; VRS = Verbal Response Scale; FAS = hela analyssetet
Näskirurgi, användning av systemiska kortikosteroider, insättning av annan underhållsbehandling som påverkar typ 2-inflammation för CRSwNP
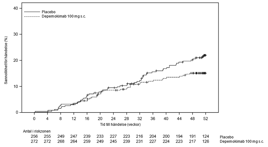
I de båda ANCHOR-studierna var det viktigaste sekundära effektmåttet andelen patienter som behövde genomgå näskirurgi (utförd eller planerad) eller påbörjade annan underhållsbehandling som påverkar typ 2-inflammation (inkluderande biologiska läkemedel indicerade för CRSwNP, kronisk användning av systemiska kortikosteroider och intranasala kortikosteroider) var 16 % (44/272) i depemokimabgruppen och 22 % (56 /256) i placebogruppen (27 % riskminskning; HR: 0,735; 95 % KI: 0,495; 1,092, figur 3). Andelen patienter som genomgick näskirurgi eller påbörjade annan underhållsbehandling som påverkar typ 2-inflammation för CRSwNP var 12 % (33/272) i depemokimabgruppen jämfört med 17 % (43/256) i placebogruppen, vilket motsvarar en riskminskning på 29 % (HR: 0,713; 95 % KI: 0,453; 1,124).
Figur 3: Kaplan-Meier-kurva för tid till första näspolypkirurgi (utförd eller planerad) eller insättning av annan underhållsbehandling som påverkar typ 2-inflammation1 för CRSwNP fram till vecka 52 (poolad FAS-population)
CRSwNP = kronisk rinosinuit med näspolyper; FAS = hela analyssetet
1Annan underhållsbehandling som påverkar typ 2-inflammation inkluderar biologiska läkemedel indicerade för CRSwNP, kronisk användning av systemiska kortikosteroider och intranasala kortikosteroider.
I de båda ANCHOR-studierna var andelen patienter som behövde minst en SCS-kur för CRSwNP eller annan underhållsbehandling som påverkar typ 2-inflammation för CRSwNP eller näskirurgi 26 % (72/272) i depemokimabgruppen jämfört med 36 % (92/256) i placebogruppen (OR: 0,58; 95 % KI: 0,40; 0,86).
Pediatrisk population
Astma
I studierna SWIFT-1 och SWIFT-2 ingick 30 ungdomar (i åldern 12 till 17 år), varav 15 fick placebo och 15 fick depemokimab 100 mg subkutant. I en kombinerad analys av dessa studier observerades en 43-procentig minskning av kliniskt signifikanta exacerbationer hos ungdomar efter behandling med depemokimab jämfört med placebo (frekvenskvot 0,57; 95 % KI: 0,15; 2,13).
Kronisk rinosinuit med näspolyper (CRSwNP)
Det finns inga kliniska data tillgängliga för barn och ungdomar yngre än 18 år.
Europeiska läkemedelsmyndigheten har beviljat undantag från kravet att skicka in studieresultat för EXDENSUR för alla grupper av den pediatriska populationen för astma och CRSwNP (information om pediatrisk användning finns i avsnitt 4.2).
Depemokimab uppvisar en ungefärligt dosproportionell farmakokinetik över dosintervallet 10 till 300 mg hos patienter med astma efter subkutan administrering. Efter subkutan administrering av 100 mg depemokimab var 6:e månad var genomsnittlig koncentration (%CV) vid steady state 5,9 µg/ml (28 %) och 5,2 µg/ml (27 %) hos patienter med astma respektive CRSwNP. Vecka 26 var dalkoncentrationerna 1,2 µg/ml (37 %) och 1,0 µg/ml (36 %) hos patienter med astma respektive CRSwNP.
Absorption
Efter subkutan engångsadministrering (doser från 2 till 300 mg) uppnåddes observerade maximala plasmakoncentrationer (Cmax) efter i median 8 till 14 dagar. Efter subkutan enkeladminstrering av 100 mg depemokimab var genomsnittlig Cmax (%CV) 12,2 µg/ml (16 %).
Efter subkutan administrering en gång var 6:e månad för två doser, varvid steady state-förhållanden uppnåddes, var ackumuleringen av depemokimab försumbar (< 10%).
Distribution
Efter en subkutan engångsadministrering av depemokimab är genomsnittlig uppskattad distributionsvolym 6 till 9 l.
Metabolism
Depemokimab är en monoklonal antikropp som kataboliseras av allmänt förekommande proteolytiska enzymer som inte är begränsade till levervävnad.
Eliminering
Efter en subkutan engångsadministrering av depemokimab var det geometriska medelvärdet för terminal halveringstid 38‑53 dagar och det geometriska medelvärdet för uppskattat clearance var 0,081 till 0,16 l/dag.
Särskilda populationer
Kroppsvikt
Populationsfarmakokinetiska analyser tyder på att exponeringen för depemokimab minskar med ökande kroppsvikt. Vikt var den viktigaste bestämmande faktorn för exponeringen av depemokimab och tillfredsställde konventionell allometri med koefficienterna 0,841 för CL/F och 0,887 för V/F, vilket är typiskt för en monoklonal antikropp som depemokimab. Över kroppsviktsintervallet 54 till 108 kg (motsvarande 5:e till 95:e percentilen) var skillnaden i alla exponeringsmått mindre än 1,3 gånger. Kroppsviktens effekt på exponeringen av depemokimab anses därför inte vara kliniskt relevant inom detta kroppsviktsintervall. Vid hög kroppsvikt (140-160 kg) kan exponeringen minska tvåfaldigt. För dessa patienter kan inte minskad effekt uteslutas
Kön, etnicitet
Populationsfarmakokinetiska analyser tyder på att kön och etnicitet inte har någon kliniskt relevant effekt på depemokimabs farmakokinetik.
Äldre
Tillgängliga farmakokinetiska data för äldre patienter (≥ 65 år, N = 176) i samtliga kliniska studier visade att depemokimabs farmakokinetik var likartad för vuxna patienter och patienter från 65 års ålder (upp till 93 år), baserat på den populationsfarmakokinetiska analysen.
Nedsatt njurfunktion
Inga formella studier har utförts för att undersöka effekten av nedsatt njurfunktion på farmakokinetiken för depemokimab. Baserat på populationsfarmakokinetiska analyser behöver dosen inte justeras för patienter med nedsatt njurfunktion. Data är begränsade (n = 2) för patienter med eGFR < 30 ml/min/1,73m2, men CL/F-värdena för dessa två patienter låg inom intervallet för patienter med normal njurfunktion.
Nedsatt njurfunktion förväntas inte ha någon signifikant effekt på clearance eftersom depemokimab inte elimineras renalt.
Nedsatt leverfunktion
Inga formella studier har utförts för att undersöka effekten av nedsatt leverfunktion på farmakokinetiken för depemokimab. Eftersom depemokimab i hög grad bryts ned av allmänt förekommande proteolytiska enzymer som inte är begränsade till levervävnad är det inte troligt att förändringar i leverfunktionen har någon effekt på elimineringen av depemokimab. Baserat på populationsfarmakokinetisk analys hade biomarkörer för leverfunktionen vid baslinjen (alaninaminotransferas [ALAT], aspartataminotransferas [ASAT] och bilirubin) ingen kliniskt relevant effekt på uppskattat clearance av depemokimab.
Pediatrisk population
Astma
Det finns begränsade farmakokinetiska data tillgängliga för den pediatriska populationen (15 ungdomar med astma). Depemokimabs farmakokinetik hos ungdomar i åldern 12 till 17 år var likartad den hos vuxna (se avsnitt 4.2) och viktiga farmakokinetiska parametrar redovisas i tabell 7.
Tabell 7. Erhållna sekundära farmakokinetiska parametrar hos patienter som fick depemokimab 100 mg subkutant var 26:e vecka i de poolade studierna SWIFT-1 och SWIFT-2
AUCtau,ss: area under koncentration-tidskurvan under ett doseringsintervall vid steady state; Cav,ss: genomsnittlig koncentration under ett doseringsintervall; Cmax, 26-52: maximal koncentration under det andra doseringsintervallet; Tmax, 26-52: tid till maximal koncentration under det andra doseringsintervallet; Cdal, vecka52: dalkoncentration i slutet av den andra adminstreringen; t1/2: halveringstid
Farmakokinetiken för depemokimab har inte fastställts hos pediatriska patienter med astma yngre än 12 år.
Farmakokinetiskt/farmakodynamiskt förhållande
Det finns ett tydligt samband mellan depemokimabs farmakokinetik och minskningen av antalet eosinofiler i blodet (farmakodynamik) med en största uppnåbar minskning på cirka 85 % och en koncentration som ger halv maximal effekt (EC50) på 0,19 µg/ml. Koncentrationen associerad med 90 % av den maximala effekten (EC90) var 0,75 µg/ml.
Gängse studier avseende allmäntoxicitet med säkerhetsfarmakologiska effektmått visade inte några särskilda risker för människa.
Inga studier av gentoxicitet, karcinogenicitet eller reproduktionstoxikologi har utförts med depemokimab.
I djurstudier av IL-5-signaleringsvägar (t.ex. data från knockout-djur och klasseffekter) observerades inga effekter på utvecklingen.
Det är osannolikt att manlig och kvinnlig fertilitet skulle påverkas med tanke på att inga histopatologiska fynd sågs i reproduktionsorganen från cynomolgusapor vid exponeringar som var tillräckligt mycket högre än den maximala exponeringen hos människa. Parningsbeteende och reproduktionsförmåga påverkades inte hos han- och hon-CD1-möss som fick en analog antikropp som hämmar aktiviteten hos murint IL-5.
Farmakoterapeutisk grupp: Medel vid obstruktiva luftvägssjukdomar, övriga systemiska medel för obstruktiva lungsjukdomar, ATC-kod: R03DX12
Verkningsmekanism
Depemokimab är riktat mot humant IL-5 med en bindningsaffinitet på 10,5 pM och blockerar därmed bindningen till alfakedjan hos IL-5-receptorkomplexet som uttrycks på cellytan med pikomolär potens (IC50 4 pM) in vitro. Depemokimab innehåller en trippel aminosyrasubstitution (YTE) i Fc-regionen, vilket ökar bindningen till den neonatala Fc-receptorn och därmed förlänger halveringstiden jämfört med vildtyps-IgG1.
IL-5 är ett pleiotropiskt cytokin med etablerad påverkan på eosinofiler och andra immunceller och strukturella celler. Vid svår astma har hämning av IL-5 visat en förbättring av epitelial integritet, slemproppsbildning och minskning av vävnadsremodellering. Verkningsmekanismen har dock inte fastställts definitivt.
Farmakodynamisk effekt
I en klinisk farmakologistudie på patienter med mild till måttlig astma gav en subkutan enkeldos med 100 mg depemokimab en snabb minskning av antalet eosinofiler i blodet. Eosinofiltalet minskade med 54 % jämfört med placebo 24 timmar efter dosering, då den första bedömningen efter dosen gjordes.
I fas 3-studierna på astma och CRSwNP kvarstod dessa minskningar under behandlingsperioden och vecka 52 var minskningarna av antalet eosinofiler i blodet 79 % respektive 85 % jämfört med placebo.
Immunogenicitet
Hos patienter som fick minst en subkutant administrerad dos med 100 mg depemokimab var 6:e månad var 9 % (44/499) av patienterna med astma (SWIFT-1 och SWIFT-2) och 8 % (21/272) av patienterna med CRSwNP (ANCHOR-1 och ANCHOR-2) positiva för antikroppar mot depemokimab (ADA) under 52-veckorsstudierna.
Procentandelen patienter som var positiva för ADA var 9 % (55/622) i en 52 veckor lång öppen, förlängningsstudie på astma (AGILE; n = 395 med data insamlade under 104 veckor).
I de placebokontrollerade studierna på indikationerna astma och CRSwNP och den 52 veckor långa, öppna förlängningsstudien på astma (AGILE) var < 1 % av patienterna (n = 7) positiva för neutraliserande antikroppar.
Anti-läkemedelsantikroppar (ADA) påvisades ofta. Ingen evidens för att ADA påverkar farmakokinetik, farmakodynamik, effekt eller säkerhet observerades. Data är dock fortfarande begränsade.
Klinisk effekt och säkerhet
Astma
Effekten av depemokimab utvärderades i två identiska randomiserade (i förhållandet 2:1, depemokimab:placebo), dubbelblinda, placebokontrollerade, multicenterstudier med parallella grupper med 52-veckors behandling (SWIFT-1 och SWIFT-2). De två studierna rekryterade patienter från åldern 12 år och äldre med astma med typ 2-inflammation karakteriserad av eosinofil fenotyp. I dessa studier administrerades 100 mg depemokimab subkutant en gång var 6:e månad om totalt två doser som tillägg till standardbehandling (SoC). Patienterna måste under de senaste 12 månaderna ha haft två eller fler astmaexacerbationer som krävde behandling med systemiska kortikosteroider (SCS) medan de stod på medium- till högdos-ICS (≥ 440 µg flutikasonpropionat eller motsvarande) samt minst ytterligare ett läkemedel för astmakontroll. Patienterna måste också ha ett dokumenterat blodeosinofilvärde ≥ 150 celler/µl vid screening eller ≥ 300 celler/µl under året före inklusion i studien och en reducerad lungfunktion vid baslinjen (forcerad exspiratorisk volym under 1 sekund [FEV1] före bronkvidgare < 80 % av förväntat normalvärde hos vuxna och [FEV1] < 90 % eller FEV1:FVC-kvot < 0,8 hos ungdomar). Patienterna rekryterades utan något krav på en lägsta poäng på Asthma Control Questionnaire-5 (ACQ-5). Depemokimab administrerades som tillägg till underhållsbehandling för astma som fortsatte under hela studietiden. Hela analyspopulationen (FAS-populationen) bestod av 762 patienter som randomiserades och fick minst en dos depemokimab eller placebo i de två studierna (382 i SWIFT-1 och 380 i SWIFT-2).
Demografi och karakteristika vid baslinjen för patienterna i dessa 2 studier redovisas i tabell 2.
Tabell 2. Demografi och karakteristika vid baslinjen (FAS-population)
FAS = hela analyssetet, FEV1 = forcerad exspiratorisk volym under 1 sekund, IgE = immunoglobulin E, SGRQ = St. George’s Respiratory Questionnaire, ACQ-5 = Asthma Control Questionnaire, ICS = inhalerad kortikosteroid, OCS = oral kortikosteroid
a Medelhög dos-ICS = 440 µg FP dagligen eller motsvarande; högdos-ICS = > 440 µg FP dagligen eller motsvarande
Exacerbationer
Det primära effektmåttet i SWIFT‑1 och SWIFT‑2 var den annualiserade frekvensen av kliniskt signifikanta exacerbationer under den 52 veckor långa behandlingsperioden. En kliniskt signifikant exacerbation definierades som försämring av astma som krävde användning av SCS (intravenösa eller orala steroider i minst 3 dagar eller en enda intramuskulär kortikosteroiddos) och/eller sjukhusinläggning eller besök på akutmottagning. För patienter på underhållsbehandling med SCS krävdes minst en dubblering av den aktuellaunderhållsdosen i minst 3 dagar. Samtliga patienter som drabbades av en exacerbation behandlades med SCS. Majoritetenav patienterna (95 % och 92 % för SWIFT-1 respektive SWIFT-2) slutförde studierna.
I SWIFT-1 och SWIFT-2 var den annualiserade frekvensen av exacerbationer signifikant lägre hos patienter som fick depemokimab jämfört med placebo (tabell 3). Procentandelen patienter med exacerbationer som behövde sjukhusinläggning och/eller besök på akutmottagning var lägre för patienter behandlade med depemokimab (1 % och 4 %) jämfört med placebo (8 % och 10 %) i SWIFT-1 respektive SWIFT-2.
Tabell 3. Resultat för det primära effektmåttet exacerbationer (FAS-population)
FAS = hela analyssetet
Sekundära effektmått
Ytterligare bedömningar av effekten inkluderade hälsorelaterad livskvalitet mätt med St. George’s Respiratory Questionnaire (SGRQ), astmakontroll mätt med Asthma Control Questionnaire (ACQ-5) och lungfunktion (FEV1 före bronkvidgare). I tabell 4 redovisas resultaten för dessa sekundära effektmått för FAS-populationen i SWIFT‑1 och SWIFT‑2.
Tabell 4. Resultat för sekundära effektmått (FAS-population)
FAS = hela analyssetet; LS = minsta kvadratmetoden; FEV1 = forcerad exspiratorisk volym under 1 sekund.
a Antal patienter med analyserbara data vid tidpunkten
b Justerad behandlingsskillnad (depemokimab jämfört med placebo)
Öppen förlängningsstudie på astma (AGILE)
Patienter som slutförde antingen SWIFT-1 eller SWIFT-2 kunde rekryteras till en öppen förlängningsstudie (AGILE) där samtliga fick upp till två doser depemokimab under en ytterligare 52 veckorsperiod. Analysen i AGILE (n = 629) visade en annualiserad exacerbationsfrekvens på 0,56 (95 % KI: 0,49; 0,65).
Kronisk rinosinuit med näspolyper (CRSwNP)
Effekten av depemokimab hos vuxna patienter med CRSwNP utvärderades i två identiska 52 veckor långa, randomiserade, dubbelblinda, placebokontrollerade, kliniska multicenterstudier med parallella grupper (ANCHOR-1 och ANCHOR-2). Dessa studier utvärderade effekten av 100 mg depemokimab subkutant administrerat en gång var 6:e månad om totalt två doser som tillägg till standardbehandling (SoC). Patienterna hade behandlats med systemiska kortikosteroider (SCS) vid något tillfälle inom de senaste två åren och/eller hade en medicinsk kontraindikation/intolerans mot SCS och/eller hade en dokumenterad historik med tidigare kirurgi för näspolyper (NP) före screening. Randomiserade patienter måste ha en endoskopisk bilateral NP-poäng på minst 5 av maximalt 8 poäng med en lägsta poäng på 2 i vardera näshåla och en genomsnittlig poäng på minst 2 för nästäppa enligt Verbal Response Scale (VRS) vid baslinjen. Utöver nästäppa fanns inga andra inklusionskriterier för symtom eller livskvalitet vid randomisering. Totalt 528 patienter (271 i ANCHOR-1 och 257 i ANCHOR-2) inkluderades i FAS-populationen (hela analyssetet).
Demografi och karakteristika vid baslinjen för patienterna i dessa två studier redovisas i tabell 5 nedan:
Tabell 5. Demografi och karakteristika vid baslinjen (FAS-population)
FAS = hela analyssetet; CRSwNP = kronisk rinosinuit med näspolyper; SCS = systemisk kortikosteroid; NP = näspolyp; AERD = aspirinförvärrad luftvägssjukdom; VRS = Verbal Response Scale; SNOT-22 = Sino-Nasal Outcome Test
a Högre poäng innebär svårare sjukdom.
b Enligt gradering av oberoende, blindade bedömare.
c NP-poäng är summan av poäng från båda näsborrarna (skala 0‑8) där varje näsborre graderades (0=inga polyper; 1=små polyper i mellersta meatus som inte går nedanför mellersta conchas nedre gräns; 2=polyper som går nedanför mellersta turbinatens nedre gräns; 3=stora polyper som går till nedre turbinatens nedre gräns eller polyper medialt om mellersta concha; 4=stora polyper som orsakar nästan fullständig tilltäppning/obstruktion av nedre meatus).
d Insamlade dagligen av patienterna på en skala från 0 till 3 där 0=inga symtom, 1=milda symtom, 2=måttliga symtom, 3=svåra symtom.
e SNOT-22 är ett verktyg för bedömning av hälsorelaterad livskvalitet och innehåller 22 frågor i 6 domäner för symtom och påverkan associerad med CRSwNP (nasal, icke-nasal, öra/ansikte, sömn, trötthet, emotionella konsekvenser). Högre poäng innebär sämre hälsorelaterad livskvalitet.
Total endoskopisk poäng för näspolyper och poäng för nästäppa enligt VRS
Det koprimära effektmåttet i vardera studie var förändring från baslinjen i total endoskopisk NP-poäng (skala 0‑8) vecka 52 graderad av centrala, blindade granskare och förändring från baslinjen i genomsnittlig poäng för nästäppa enligt VRS (skala 0‑3 [0=inga symtom, 1=milda symtom, 2=måttliga symtom, 3=svåra symtom]) under vecka 49 till 52 enligt patientens egen dagliga rapportering i en dagbok. Resultaten för de koprimära effektmåtten i studierna ANCHOR-1 och ANCHOR-2 redovisas i tabell 6.
Tabell 6. Resultat för koprimära effektmått (FAS-population)
FAS = hela analyssetet, NP = näspolyp, LS = minsta kvadratmetoden, VRS = Verbal Response Scale
a Patienter som hade genomgått näskirurgi eller använde annan underhållsbehandling som påverkar typ 2-inflammation (inkluderande biologiska läkemedel indicerade för CRSwNP, kronisk användning av systemiska kortikosteroider och intranasala kortikosteroider) före tidpunkten av intresse tilldelades värsta möjliga värde i relevant poäng för alla bedömningar efter kirurgi eller insättning av annan underhållsbehandling som påverkar typ 2-inflammation.
b Baserat på analyser med blandad modell för upprepade mätningar (MMRM) med kovariaterna behandling, baslinjepoäng, blodeosinofilvärde vid baslinjen, region, tidigare kirurgi för näspolyper, besök- och interaktionsvillkor för besök vid baslinje och behandlingsbesök.
c Antal patienter med analyserbara data vid tidpunkten
D Justerad behandlingsskillnad (depemokimab jämfört med placebo)
e Övre gränsen för 95 % KI representerar en avrundad siffra på -0,003.
I analyserna från de enskilda studierna, ANCHOR‑1 och ANCHOR‑2, observerades en behandlingsskillnad som gynnade depemokimab vecka 12 (första tidpunkt för bedömning) för total endoskopisk NP-poäng och vecka 1‑4 (första tidpunkt för bedömning) för genomsnittlig poäng för nästäppa enligt VRS som kvarstod fram till vecka 52 (figur 1 och 2).
Figur 1. LS-medelvärdesförändring från baslinjen (95 % KI) i total endoskopisk NP-poäng fram till vecka 52 från studierna ANCHOR-1 och ANCHOR-2 (FAS-population)
LS = minsta kvadratmetoden; NP = näspolyp; FAS = hela analyssetet
Figur 2. LS-medelvärdesförändring från baslinjen (95 % KI) i genomsnittlig poäng för nästäppa enligt VRS fram till vecka 49-52 från studierna ANCHOR-1 och ANCHOR-2 (FAS-population)
LS = minsta kvadratmetoden; VRS = Verbal Response Scale; FAS = hela analyssetet
Näskirurgi, användning av systemiska kortikosteroider, insättning av annan underhållsbehandling som påverkar typ 2-inflammation för CRSwNP
I de båda ANCHOR-studierna var det viktigaste sekundära effektmåttet andelen patienter som behövde genomgå näskirurgi (utförd eller planerad) eller påbörjade annan underhållsbehandling som påverkar typ 2-inflammation (inkluderande biologiska läkemedel indicerade för CRSwNP, kronisk användning av systemiska kortikosteroider och intranasala kortikosteroider) var 16 % (44/272) i depemokimabgruppen och 22 % (56 /256) i placebogruppen (27 % riskminskning; HR: 0,735; 95 % KI: 0,495; 1,092, figur 3). Andelen patienter som genomgick näskirurgi eller påbörjade annan underhållsbehandling som påverkar typ 2-inflammation för CRSwNP var 12 % (33/272) i depemokimabgruppen jämfört med 17 % (43/256) i placebogruppen, vilket motsvarar en riskminskning på 29 % (HR: 0,713; 95 % KI: 0,453; 1,124).
Figur 3: Kaplan-Meier-kurva för tid till första näspolypkirurgi (utförd eller planerad) eller insättning av annan underhållsbehandling som påverkar typ 2-inflammation1 för CRSwNP fram till vecka 52 (poolad FAS-population)
CRSwNP = kronisk rinosinuit med näspolyper; FAS = hela analyssetet
1Annan underhållsbehandling som påverkar typ 2-inflammation inkluderar biologiska läkemedel indicerade för CRSwNP, kronisk användning av systemiska kortikosteroider och intranasala kortikosteroider.
I de båda ANCHOR-studierna var andelen patienter som behövde minst en SCS-kur för CRSwNP eller annan underhållsbehandling som påverkar typ 2-inflammation för CRSwNP eller näskirurgi 26 % (72/272) i depemokimabgruppen jämfört med 36 % (92/256) i placebogruppen (OR: 0,58; 95 % KI: 0,40; 0,86).
Pediatrisk population
Astma
I studierna SWIFT-1 och SWIFT-2 ingick 30 ungdomar (i åldern 12 till 17 år), varav 15 fick placebo och 15 fick depemokimab 100 mg subkutant. I en kombinerad analys av dessa studier observerades en 43-procentig minskning av kliniskt signifikanta exacerbationer hos ungdomar efter behandling med depemokimab jämfört med placebo (frekvenskvot 0,57; 95 % KI: 0,15; 2,13).
Kronisk rinosinuit med näspolyper (CRSwNP)
Det finns inga kliniska data tillgängliga för barn och ungdomar yngre än 18 år.
Europeiska läkemedelsmyndigheten har beviljat undantag från kravet att skicka in studieresultat för EXDENSUR för alla grupper av den pediatriska populationen för astma och CRSwNP (information om pediatrisk användning finns i avsnitt 4.2).
Depemokimab uppvisar en ungefärligt dosproportionell farmakokinetik över dosintervallet 10 till 300 mg hos patienter med astma efter subkutan administrering. Efter subkutan administrering av 100 mg depemokimab var 6:e månad var genomsnittlig koncentration (%CV) vid steady state 5,9 µg/ml (28 %) och 5,2 µg/ml (27 %) hos patienter med astma respektive CRSwNP. Vecka 26 var dalkoncentrationerna 1,2 µg/ml (37 %) och 1,0 µg/ml (36 %) hos patienter med astma respektive CRSwNP.
Absorption
Efter subkutan engångsadministrering (doser från 2 till 300 mg) uppnåddes observerade maximala plasmakoncentrationer (Cmax) efter i median 8 till 14 dagar. Efter subkutan enkeladminstrering av 100 mg depemokimab var genomsnittlig Cmax (%CV) 12,2 µg/ml (16 %).
Efter subkutan administrering en gång var 6:e månad för två doser, varvid steady state-förhållanden uppnåddes, var ackumuleringen av depemokimab försumbar (< 10%).
Distribution
Efter en subkutan engångsadministrering av depemokimab är genomsnittlig uppskattad distributionsvolym 6 till 9 l.
Metabolism
Depemokimab är en monoklonal antikropp som kataboliseras av allmänt förekommande proteolytiska enzymer som inte är begränsade till levervävnad.
Eliminering
Efter en subkutan engångsadministrering av depemokimab var det geometriska medelvärdet för terminal halveringstid 38‑53 dagar och det geometriska medelvärdet för uppskattat clearance var 0,081 till 0,16 l/dag.
Särskilda populationer
Kroppsvikt
Populationsfarmakokinetiska analyser tyder på att exponeringen för depemokimab minskar med ökande kroppsvikt. Vikt var den viktigaste bestämmande faktorn för exponeringen av depemokimab och tillfredsställde konventionell allometri med koefficienterna 0,841 för CL/F och 0,887 för V/F, vilket är typiskt för en monoklonal antikropp som depemokimab. Över kroppsviktsintervallet 54 till 108 kg (motsvarande 5:e till 95:e percentilen) var skillnaden i alla exponeringsmått mindre än 1,3 gånger. Kroppsviktens effekt på exponeringen av depemokimab anses därför inte vara kliniskt relevant inom detta kroppsviktsintervall. Vid hög kroppsvikt (140-160 kg) kan exponeringen minska tvåfaldigt. För dessa patienter kan inte minskad effekt uteslutas
Kön, etnicitet
Populationsfarmakokinetiska analyser tyder på att kön och etnicitet inte har någon kliniskt relevant effekt på depemokimabs farmakokinetik.
Äldre
Tillgängliga farmakokinetiska data för äldre patienter (≥ 65 år, N = 176) i samtliga kliniska studier visade att depemokimabs farmakokinetik var likartad för vuxna patienter och patienter från 65 års ålder (upp till 93 år), baserat på den populationsfarmakokinetiska analysen.
Nedsatt njurfunktion
Inga formella studier har utförts för att undersöka effekten av nedsatt njurfunktion på farmakokinetiken för depemokimab. Baserat på populationsfarmakokinetiska analyser behöver dosen inte justeras för patienter med nedsatt njurfunktion. Data är begränsade (n = 2) för patienter med eGFR < 30 ml/min/1,73m2, men CL/F-värdena för dessa två patienter låg inom intervallet för patienter med normal njurfunktion.
Nedsatt njurfunktion förväntas inte ha någon signifikant effekt på clearance eftersom depemokimab inte elimineras renalt.
Nedsatt leverfunktion
Inga formella studier har utförts för att undersöka effekten av nedsatt leverfunktion på farmakokinetiken för depemokimab. Eftersom depemokimab i hög grad bryts ned av allmänt förekommande proteolytiska enzymer som inte är begränsade till levervävnad är det inte troligt att förändringar i leverfunktionen har någon effekt på elimineringen av depemokimab. Baserat på populationsfarmakokinetisk analys hade biomarkörer för leverfunktionen vid baslinjen (alaninaminotransferas [ALAT], aspartataminotransferas [ASAT] och bilirubin) ingen kliniskt relevant effekt på uppskattat clearance av depemokimab.
Pediatrisk population
Astma
Det finns begränsade farmakokinetiska data tillgängliga för den pediatriska populationen (15 ungdomar med astma). Depemokimabs farmakokinetik hos ungdomar i åldern 12 till 17 år var likartad den hos vuxna (se avsnitt 4.2) och viktiga farmakokinetiska parametrar redovisas i tabell 7.
Tabell 7. Erhållna sekundära farmakokinetiska parametrar hos patienter som fick depemokimab 100 mg subkutant var 26:e vecka i de poolade studierna SWIFT-1 och SWIFT-2
AUCtau,ss: area under koncentration-tidskurvan under ett doseringsintervall vid steady state; Cav,ss: genomsnittlig koncentration under ett doseringsintervall; Cmax, 26-52: maximal koncentration under det andra doseringsintervallet; Tmax, 26-52: tid till maximal koncentration under det andra doseringsintervallet; Cdal, vecka52: dalkoncentration i slutet av den andra adminstreringen; t1/2: halveringstid
Farmakokinetiken för depemokimab har inte fastställts hos pediatriska patienter med astma yngre än 12 år.
Farmakokinetiskt/farmakodynamiskt förhållande
Det finns ett tydligt samband mellan depemokimabs farmakokinetik och minskningen av antalet eosinofiler i blodet (farmakodynamik) med en största uppnåbar minskning på cirka 85 % och en koncentration som ger halv maximal effekt (EC50) på 0,19 µg/ml. Koncentrationen associerad med 90 % av den maximala effekten (EC90) var 0,75 µg/ml.
Gängse studier avseende allmäntoxicitet med säkerhetsfarmakologiska effektmått visade inte några särskilda risker för människa.
Inga studier av gentoxicitet, karcinogenicitet eller reproduktionstoxikologi har utförts med depemokimab.
I djurstudier av IL-5-signaleringsvägar (t.ex. data från knockout-djur och klasseffekter) observerades inga effekter på utvecklingen.
Det är osannolikt att manlig och kvinnlig fertilitet skulle påverkas med tanke på att inga histopatologiska fynd sågs i reproduktionsorganen från cynomolgusapor vid exponeringar som var tillräckligt mycket högre än den maximala exponeringen hos människa. Parningsbeteende och reproduktionsförmåga påverkades inte hos han- och hon-CD1-möss som fick en analog antikropp som hämmar aktiviteten hos murint IL-5.
Förvaras i originalkartongen. Ljuskänsligt.
Den förfyllda injektionspennan och den förfyllda sprutan kan tas ut ur kylskåpet och förvaras i oöppnad kartong i upp till 7 dagar vid rumstemperatur (högst 30 °C) i skydd mot ljus. Kasseras om den förvarats utanför kylskåp i mer än 7 dagar.
Den förfyllda injektionspennan eller förfyllda sprutan måste administreras inom 8 timmar efter att förpackningen öppnats. Kasseras om den inte har använts inom 8 timmar.
EXDENSUR 100 mg injektionsvätska, lösning, i förfylld injektionspenna
1 ml lösning i en spruta av typ 1-glas med fast nål (rostfritt stål) i en förfylld injektionspenna.
Förpackningsstorlek:
1 förfylld injektionspenna
EXDENSUR 100 mg injektionsvätska, lösning, i förfylld spruta
1 ml lösning i en spruta av typ 1-glas med fast nål (rostfritt stål) och passivt stickskydd.
Förpackningsstorlek:
1 förfylld spruta
Före administrering ska lösningen inspekteras visuellt. Om lösningen är grumlig, missfärgad eller innehåller partiklar får lösningen inte användas.
Efter att den förfyllda injektionspennan eller förfyllda sprutan har tagits ut ur kylskåpet ska den få anta rumstemperatur i minst 30 minuter innan lösningen injiceras.
Ej använt läkemedel och avfall ska kasseras enligt gällande lokala anvisningar.
Histidin
Histidinmonohydroklorid
Trehalosdihydrat
Argininhydroklorid
Dinatriumedetat
Polysorbat 80 (E 433)
Vatten för injektionsvätskor
Då blandbarhetsstudier saknas får detta läkemedel inte blandas med andra läkemedel.
2 år.
Förvaras i kylskåp (2–8 °C).
Får ej frysas.
Skaka inte.
Förvaras i originalkartongen. Ljuskänsligt.
Den förfyllda injektionspennan och den förfyllda sprutan kan tas ut ur kylskåpet och förvaras i oöppnad kartong i upp till 7 dagar vid rumstemperatur (högst 30 °C) i skydd mot ljus. Kasseras om den förvarats utanför kylskåp i mer än 7 dagar.
Den förfyllda injektionspennan eller förfyllda sprutan måste administreras inom 8 timmar efter att förpackningen öppnats. Kasseras om den inte har använts inom 8 timmar.
EXDENSUR 100 mg injektionsvätska, lösning, i förfylld injektionspenna
1 ml lösning i en spruta av typ 1-glas med fast nål (rostfritt stål) i en förfylld injektionspenna.
Förpackningsstorlek:
1 förfylld injektionspenna
EXDENSUR 100 mg injektionsvätska, lösning, i förfylld spruta
1 ml lösning i en spruta av typ 1-glas med fast nål (rostfritt stål) och passivt stickskydd.
Förpackningsstorlek:
1 förfylld spruta
Före administrering ska lösningen inspekteras visuellt. Om lösningen är grumlig, missfärgad eller innehåller partiklar får lösningen inte användas.
Efter att den förfyllda injektionspennan eller förfyllda sprutan har tagits ut ur kylskåpet ska den få anta rumstemperatur i minst 30 minuter innan lösningen injiceras.
Ej använt läkemedel och avfall ska kasseras enligt gällande lokala anvisningar.
Produktresumén är företagets information till hälso- och sjukvårdspersonal. Godkänd av myndighet.