BRUKINSA 160 mg filmdragerade tabletter.
Varje filmdragerad tablett innehåller 160 mg zanubrutinib.
För fullständig förteckning över hjälpämnen, se avsnitt 6.1.
Hjälpämnen med känd effekt
Varje 160 mg filmdragerad tablett innehåller 312,2 mg laktosmonohydrat.
Filmdragerad tablett (tablett).
Ovala, blå, filmdragerade tabletter, 16 mm långa och 7,8 mm breda, med bokstäverna ”zanu” präglade på ena sidan och en brytskåra på den andra sidan. Tabletterna kan delas i två lika stora halvor.
BeOne Medicines Ireland Limited.
10 Earlsfort Terrace
Dublin 2
D02 T380
Irland
Tfn +353 1 566 7660
E-post beone.ireland@beonemed.com
EU/1/21/1576/002
Första godkännandet: 22 november 2021
24/10/2025
BRUKINSA i kombination med obinutuzumab
Zanubrutinib måste administreras före infusion med obinutuzumab. Rekommenderad dos är obinutuzumab 1 000 mg intravenöst Dag 1, 8 och 15 i Cykel 1 samt Dag 1 i varje 28‑dagarscykel från Cykel 2 till Cykel 6. Obinutuzumab kan enligt läkarens bedömning administreras 100 mg Dag 1 och 900 mg Dag 2 i Cykel 1 istället för 1 000 mg Dag 1 i Cykel 1. Underhållsbehandling med obinutuzumab (en infusion varannan månad i upp till två år) kan förskrivas. Se produktresumén för obinutuzumab för ytterligare doseringsinformation, inklusive premedicinering före varje infusion.
Dosändring vid biverkningar
Rekommenderad dosändring av zanubrutinib vid biverkningar av grad 3 eller högre anges i tabell 1.
Tabell 1: Rekommenderade dosändringar vid biverkningar
Asymtomatisk lymfocytos ska inte betraktas som en biverkning, och dessa patienter ska fortsätta ta BRUKINSA.
För dosändring av obinutuzumab på grund av biverkningar, se produktresumén för obinutuzumab.
Dosändringar för samtidig behandling
Dosändringar för användning med CYP3A-hämmare eller -inducerare (se avsnitt 4.4, 4.5 och 5.2):
Tabell 2: Rekommenderade dosändringar vid samtidig administrering av andra läkemedel
Glömd dos:
En dubbel dos ska inte tas för att kompensera för en glömd dos. Om en dos inte tas vid den schemalagda tidpunkten, ska nästa dos tas enligt det ordinarie schemat.
Särskilda populationer
Äldre
Inga särskilda dosjusteringar krävs för äldre patienter (≥65 år).
Nedsatt njurfunktion
Ingen dosändring rekommenderas för patienter med lindrigt till måttligt nedsatt njurfunktion (kreatininclearance ≥30 ml/min, beräknat genom användning av Cockcroft-Gaults formel). Information rörande patienter med svårt nedsatt njurfunktion och ESRD (n=12) är begränsad. patienter med svår nedsatt njurfunktion (CrCl <30 ml/min) eller på dialys ska övervakas för biverkningar av BRUKINSA (se avsnitt 5.2).
Nedsatt leverfunktion
Dosändringar behövs inte för patienter med lindrigt (Child-Pugh klass A) eller måttligt (Child-Pugh klass B) nedsatt leverfunktion. Patienter med lindrigt eller måttligt nedsatt leverfunktion behandlades i kliniska studier av BRUKINSA. Den rekommenderade dosen av BRUKINSA för patienter med svårt nedsatt leverfunktion (Child-Pugh klass C) är 80 mg oralt två gånger dagligen. Säkerheten för BRUKINSA har inte utvärderats hos patienter med svårt nedsatt leverfunktion. Dessa patienter ska noggrant övervakas med avseende på biverkningar (se avsnitt 5.2).
Pediatrisk population
Säkerhet och effekt för BRUKINSA för barn i åldern under 18 år har inte fastställts. Inga uppgifter finns.
Administreringssätt
BRUKINSA är avsett för oral användning. De filmdragerade tabletterna kan tas med eller utan mat. Patienterna bör instrueras att svälja tabletterna med vatten och att inte tugga eller krossa dem. Tabletterna kan delas på hälften om en dosjustering behövs (se avsnitt 4.2).
Överkänslighet mot den aktiva substansen eller mot något hjälpämne som anges i avsnitt 6.1.
Blödning
Allvarliga och fatala blödningshändelser har förekommit hos patienter som behandlats med BRUKINSA. Blödningshändelser av grad 3 eller högre däribland intrakraniella och gastrointestinala blödningar, hematuri och hemotorax har rapporterats hos patienter, se avsnitt 4.8. Blödningshändelser oavsett grad, däribland purpura och petekier, har förekommit hos patienter med hematologiska maligniteter. Mekanismen för blödningshändelserna är inte helt klarlagd.
BRUKINSA kan öka blödningsrisken hos patienter som får trombocytaggregations- eller koagulationshämmande behandling och patienterna ska övervakas med avseende på tecken på blödning. Dosändring kan vara nödvändig för biverkningar av grad 3 eller högre enligt rekommendation (se avsnitt 4.2). Warfarin eller andra vitamin K-antagonister ska inte ges tillsammans med BRUKINSA. Patienter bör övervakas med avseende på tecken och symtom på blödning. Dessutom erfordras fullständing övervakning av blodvärdena. Nyttan och risken med koagulationshämmande eller trombocytaggregationshämmande behandling vid samtidig administrering av BRUKINSA bör övervägas. Nyttan och risken med utsättning av zanubrutinib i 3 till 7 dagar före och efter kirurgi beroende på typen av ingrepp och risken för blödning bör övervägas.
Infektioner
Fatala och icke-fatala infektioner (däribland bakteriella, virala och fungala infektioner, eller sepsis) samt opportunistiska infektioner (t.ex. infektioner med herpesvirus, kryptokocker, Aspergillus och Pneumocystis jiroveci) har förekommit hos patienter som behandlats med BRUKINSA. Infektioner av grad 3 eller högre har förekommit hos patienter, se avsnitt 4.8. Den vanligaste infektionen av grad 3 eller högre var pneumoni. Infektioner orsakade av reaktivering av hepatit B-virus (HBV) har också förekommit. Innan behandling med BRUKINSA påbörjas bör patientens HBV-status fastställas. Konsultation med en läkare specialiserad på leversjukdom rekommenderas innan behandlingen påbörjas för patienter som testar positivt för HBV eller har positiv hepatit B-serologi. Patienter ska övervakas och hanteras enligt de medicinska standarderna för att förhindra hepatit B-reaktivering. Profylax i enlighet med vårdstandarden hos patienter som löper ökad risk för infektioner bör övervägas. Patienter ska övervakas för tecken och symtom på infektion och behandlas på lämpligt sätt.
Cytopenier
Cytopenier av grad 3 eller 4, däribland neutropeni, trombocytopeni och anemi som grundar sig på laboratorieanalyser rapporterades hos patienter som behandlats med BRUKINSA, se avsnitt 4.8. Under behandlingen ska fullständigt blodcellsantal övervakas månatligen, se avsnitt 4.2.
Sekundära primära maligniteter
Sekundära primära maligniteter, däribland icke-hudkarcinom har förekommit hos patienter med hematologiska maligniteter som behandlats med BRUKINSA. Den vanligaste sekundära primära maligniteten var hudcancer (basalcellskarcinom och skivepitelkarcinom i huden). Patienterna ska rekommenderas att använda solskydd.
Förmaksflimmer och förmaksfladder
Förmaksflimmer och förmaksfladder har förekommit hos patienter med hematologiska maligniteter som behandlats med BRUKINSA, särskilt hos patienter med hjärtriskfaktorer, hypertoni, akuta infektioner och äldre (≥ 65 år). Tecken och symtom på förmaksflimmer och förmaksfladder ska övervakas och behandlas på lämpligt sätt.
Tumörlyssyndrom
Tumörlyssyndrom har i sällsynta fall rapporterats i samband med zanubrutini som monoterapi, särskilt hos patienter som behandlades för kronisk lymfatisk leukemi (KLL) (se avsnitt 4.8). Relevanta risker (t.ex. hög tumörbörda eller urinsyranivåer i blodet) ska bedömas och lämpliga försiktighetsåtgärder ska vidtas. Patienterna ska övervakas noggrant och behandlas efter behov.
Fertila kvinnor
Fertila kvinnor måste använda en mycket effektiv preventivmetod när de använder Brukinsa (se avsnitt 4.6).
Hjälpämnen med känd effekt
Detta läkemedel innehåller laktosmonohydrat. Patienter med något av följande sällsynta ärftliga tillstånd ska inte använda detta läkemedel: galaktosintolerans, total laktasbrist eller glukos-galaktosmalabsorption.
BRUKINSA innehåller natrium
Detta läkemedel innehåller mindre än 1 mmol natrium (23 mg) per dos, d.v.s. är näst intill ”natriumfritt”.
Zanubrutinib metaboliseras primärt via cytokrom P450-enzym 3A (CYP3A).
Medel som kan öka plasmakoncentrationer av zanubrutinib
Samtidig användning av BRUKINSA och läkemedel som kraftigt eller måttligt hämmar CYP3A kan öka exponeringen för zanubrutinib.
Starka CYP3A-hämmare
Samtidig användning av flera doser av itrakonazol (starka CYP3A-hämmare) hos friska frivilliga försökspersoner ökade Cmax för zanubrutinib 2,6-faldigt och AUC 3,8-faldigt. Samtidig användning av flera doser av de starka CYP3A-hämmarna vorikonazol och klaritromycin hos patienter med B-cellsmaligniteter ledde till 3,3-faldigt och 1,92-faldigt ökade zanubrutinibexponeringar för dosnormaliserat AUC0-24h respektive 3,29-faldigt och 2,01-faldigt för dosnormaliserat Cmax.
Om en stark CYP3A-hämmare måste användas (t.ex. posakonazol, vorikonazol, ketokonazol, itrakonazol, klaritromycin, indinavir, lopinavir, ritonavir, telaprevir), ska du sänka BRUKINSA-dosen till 80 mg (en halv tablett) under användning av hämmare. Patienterna ska övervakas noga för toxicitet och dosjusteringsanvisningarna ska följas vid behov (se avsnitt 4.2).
Måttliga CYP3A-hämmare
Samtidig användning av flera doser av de måttliga CYP3A-hämmarna flukonazol och diltiazem hos patienter med B-cellsmaligniteter ledde till 1,88-faldigt och 1,62-faldigt ökade zanubrutinibexponeringar för dosnormaliserat AUC0-24h respektive 1,81-faldigt och 1,62-faldigt för dosnormaliserat Cmax.
Om en måttlig CYP3A-hämmare måste användas (t.ex. erytromycin, ciprofloxacin, diltiazem, dronedaron, flukonazol, verapamil, aprepitant, imatinib, grapefruktjuice, Sevilla-apelsiner), sänk BRUKINSA-dosen till 160 mg (en tablett) under användning av hämmare. Patienterna ska övervakas noga för toxicitet och dosjusteringsanvisningarna ska följas vid behov (se avsnitt 4.2).
Milda CYP3A-hämmare
Simuleringar med fasta förhållanden föreslog att milda CYP3A-hämmare (t.ex. cyklosporin och fluvoxamin) kan öka AUC för zanubrutinib <1,5-faldigt. Ingen dosjustering krävs i kombination med milda hämmare. Patienterna ska övervakas noga för toxicitet och dosjusteringsanvisningarna ska följas efter behov.
Medel som kan minska plasmakoncentrationerna av zanubrutinib
Samtidig användning av zanubrutinib och starka eller måttliga CYP3A-inducerare kan minska plasmakoncentrationerna av zanubrutinib.
CYP3A-inducerare
Samtidig användning av flera doser av rifampicin (stark CYP3A-inducerare) minskade Cmax för zanubrutinib med 92 % och AUC med 93 % hos friska individer. Samtidig användning av flera doser rifabutin (måttlig CYP3A-inducerare) minskade Cmax för zanubrutinib med 48 % och AUC med 44 % hos friska individer. Samtidig användning av zanubrutinib och starka eller måttliga CYP3A-inducerare ska undvikas (se avsnitt 4.2). Milda CYP3A-inducerare kan användas med försiktighet under BRUKINSA-behandling.
Magsyrereducerande medel
Inga kliniskt signifikanta skillnader i zanubrutinibs farmakokinetik har observerats vid samtidig administrering av magsyrereducerande medel (protonpumphämmare, H2-receptorantagonister).
Medel vars plasmakoncentrationer kan förändras av zanubrutinib.
Zanubrutinib är en mild inducerare av CYP3A och CYP2C19. Samtidig användning av zanubrutinib kan minska plasmakoncentrationerna av dessa substratläkemedel.
CYP3A-substrat
Samtidig administrering av flera doser av zanubrutinib minskade Cmax för midazolam (CYP3A-substrat) med 30 % och AUC med 47 %. Läkemedel med smalt terapeutiskt index som metaboliseras av CYP3A (t.ex. alfentanil, ciklosporin, dihydroergotamin, ergotamin, fentanyl, pimozid, kinidin, sirolimus och takrolimus) bör användas med försiktighet, eftersom zanubrutinib kan minska plasmaexponeringen för dessa läkemedel.
CYP2C19-substrat
Samtidig administrering av flera doser av zanubrutinib minskade Cmax för omeprazol (CYP2C19-substratet) med 20 % och AUC med 36 %. Läkemedel med smalt terapeutiskt index som metaboliseras av CYP2C19 (t.ex. S-mefenytoin) bör användas med försiktighet, eftersom zanubrutinib kan minska plasmasexponeringen för dessa läkemedel.
Samtidig administrering med transportsubstrat / -hämmare
Samtidig administrering av flera doser av zanubrutinib ökade Cmax för digoxin (Pgp-substrat) med 34 % och AUC med 11 %. Inga kliniskt signifikanta skillnader i farmakokinetiken för rosuvastatin (BCRP-substrat) har observerats vid samtidig administrering av zanubrutinib.
Samtidig användning av orala P-gp-substrat med ett smalt terapeutiskt index (t.ex. digoxin) bör tas med försiktighet eftersom zanubrutinib kan öka deras koncentrationer.
Fertila kvinnor/Preventivmedel hos kvinnor
På grundval av resultat från djurstudier kan BRUKINSA orsaka fosterskador vid administrering till gravida kvinnor (se avsnitt 5.3). Kvinnor ska undvika graviditet under behandling med BRUKINSA och en månad efter avslutad behandling. Fertila kvinnor måste därför använda en mycket effektiv preventivmetod under behandling med BRUKINSA och en månad efter avslutad behandling. Det är för närvarande inte känt om zanubrutinib minskar effekten av hormonella preventivmedel och kvinnor som använder hormonella preventivmedel ska därför lägga till en barriärmetod. Graviditetstest före påbörjande av behandling rekommenderas för fertila kvinnor.
Graviditet
BRUKINSA rekommenderas inte under graviditet. Det finns inga eller begränsad mängd data från användningen av zanubrutinib i gravida kvinnor. Djurstudier har visat reproduktionstoxikologiska effekter (se avsnitt 5.3).
Amning
Det är inte känt om zanubrutinib eller dess metaboliter utsöndras i bröstmjölk och inga icke-kliniska studier har utförts. En risk för ammande barn kan inte uteslutas. Amning ska avbrytas under behandling med Brukinsa.
Fertilitet
Ingen effekt på manlig eller kvinnlig fertilitet observerades hos råttor men morfologiska avvikelser i sperma och ökad förlust efter implantation observerades på 300 mg/kg/dag (se avsnitt 5.3).
Brukinsa har ingen eller försumbar effekt på förmågan att framföra fordon och använda maskiner.
Trötthet, yrsel och asteni har rapporterats hos en del patienter som tar BRUKINSA och ska beaktas vid bedömning av patientens förmåga att framföra fordon eller använda maskiner.
Zanubrutinib som monoterapi
Sammanfattning av säkerhetsprofilen
De vanligaste biverkningarna (≥ 20 %) av zanubrutinib som monoterapi var övre luftvägsinfektion§ (36 %), blåmärken§ (32 %), blödning/hematom§ (30%), neutropeni§ (30 %), muskuloskeletal smärta§ (27 %), utslag§ (25 %), lunginflammation§ (24 %), diarré (21 %) och hosta § (21 %) (tabell 3).
De vanligaste biverkningarna av grad 3 eller högre (> 3 %) av zanubrutinib som monoterapi var neutropeni§ (21 %), lunginflammation§ (14 %) högt blodtryck (8 %), trombocytopeni§ (6 %), anemi (6 %) och blödning/hematom§ (4 %).
Av de 1 550 patienter som behandlades med zanubrutinib avbröt 4,8 % behandlingen på grund av biverkningar. Den vanligaste biverkningen som ledde till att behandlingen avbröts var lunginflammation§ (2,6 %). Biverkningar som ledde till dosminskning inträffade hos 5,0 % av patienterna
Zanubrutinib i kombination med obinutuzumab
De vanligaste biverkningarna (≥ 20 %) av zanubrutinib i kombination med obinutuzumab var trombocytopeni§ (37 %), neutropeni§ (31 %) och trötthet§ (27 %) (tabell 4).
De vanligaste biverkningarna av grad 3 eller högre (> 3 %) av zanubrutinib i kombination med obinutuzumab var neutropeni§ (25 %), trombocytopeni§ (16 %), lunginflammation§ (15 %) och anemi (5 %).
Av de 143 patienter som behandlades med zanubrutinib i kombination med obinutuzumab avbröt 4,9 % behandlingen på grund av biverkningar. Den vanligaste biverkningen som ledde till att behandlingen avbröts var lunginflammation§ (4,2 %). Biverkningar som ledde till dosminskning inträffade hos 7,0 % av patienterna.
Minskat trombocytantal† (baserat på laboratorievärden) observerades hos 65 % (alla grader) och 12 % (grad 3 eller grad 4) av de patienter som fick zanubrutinib i kombination med obinutuzumab jämfört med 43 % (alla grader) och 11 % (grad 3 eller grad 4) av de patienter som fick obinutuzumab. Minskat trombocytantal av alla grader och grad 3 eller grad 4 rapporterades för 39 % och 7,8 % patienter som fick zanubrutinib som monoterapi.
Lista i tabellform över biverkningar
Säkerhetsprofilen baseras på samlade data från 1 550 patienter med B-cellmaligniteter, inklusive patienter med kronisk lymfatisk leukemi (N = 938), Waldenströms makroglobulinemi (N = 249), mantelcellslymfom (N = 140), marginalzonslymfom (N = 93), follikulärt lymfom (N = 59) och andra typer av B-cellsmaligniteter (N = 71), som behandlats med BRUKINSA i kliniska studier med en median exponeringstid på 34,41 månader.
Säkerhetsprofilen för zanubrutinib i kombination med obinutuzumab är baserad på ROSEWOOD-studiens data från 143 patienter med FL som behandlades med BRUKINSA i kombination med obinutuzumab med en median varaktighet av exponering på 12,35 månader.
Biverkningar hos patienter som behandlats med BRUKINSA som monoterapi eller i kombination med obinutuzumab för B-cellsmaligniteter anges i tabell 3 respektive tabell 4, efter klassificering av organsystem och frekvensgrupp. Frekvenser definieras enligt följande: mycket vanliga (≥1/10), vanliga (≥1/100, <1/10), mindre vanliga (≥1/1 000, <1/100), sällsynta (≥1/10 000 till <1/1 000), mycket sällsynta (<1/10 000), ingen känd frekvens (kan inte beräknas från tillgängliga data). Inom varje frekvensgrupp presenteras biverkningarna enligt fallande allvarlighet.
Tabell 3: Biverkningar av zanubrutinib som monoterapi hos patienter med B-cellsmaligniteter som har rapporterats i kliniska studier (n = 1 550)
* Gradering enligt National Cancer Institute Common Terminology Criteria for Adverse Events (NCI-CTCAE) version 4.03.
† Baserat på laboratorieanalyser
± Procentandelen är baserad på antalet patienter med utvärderingar både vid baslinjen samt minst en efter baslinjen.
§ Inkluderar flera biverkningstermer
# Inkluderar händelser med dödlig utgång
Tabell 4: Biverkningar av zanubrutinib i kombination med obinutuzumab rapporterade i ROSEWOOD-studien (BGB-3111-212) hos patienter med follikulärt lymfom (n = 143)
* Biverkningar graderade enligt National Cancer Institute Common Terminology Criteria for Adverse Events (NCI-CTCAE version 5.0).
† Baserat på laboratoriemätningar.
§ Inkluderar flera biverkningstermer.
# Inkluderar händelser med dödlig utgång.
± Procentandelen är baserad på antalet patienter med utvärderingar både vid baslinjen samt minst en tillgänglig bedömning efter baslinjen.
Övriga särskilda patientgrupper
Äldre
Av de 1 550 patienter som behandlades med BRUKINSA som monoterapi var 61,3 % 65 år eller äldre. Förekomsten av biverkningar av grad 3 eller högre var något högre hos äldre patienter som behandlades med zanubrutinib (69,6 % av patienterna i åldern ≥65 år jämfört med 62,7 % av patienterna i åldern <65 år). Inga kliniskt relevanta skillnader observerades mellan patienter ≥ 65 år och yngre.
Av de 143 patienter som behandlades med BRUKINSA i kombination med obinutuzumab var 42,0 % 65 år eller äldre. Förekomsten av biverkningar av grad 3 eller högre var något högre hos äldre patienter som behandlades med zanubrutinib i kombination med obinutuzumab (70,0 % av patienterna i åldern ≥ 65 år jämfört med 62,7 % av patienterna i åldern <65 år). Inga kliniskt relevanta skillnader observerades mellan patienter ≥ 65 år och yngre.
Det finns inget specifikt motgift mot BRUKINSA. Patienten ska övervakas noggrant vid överdosering och lämplig understödjande behandling ska sättas in.
BRUKINSA som monoterapi är avsett för behandling av vuxna patienter med Waldenströms makroglobulinemi (WM) som fått minst en tidigare behandling, eller för första linjens behandling av patienter som är olämpliga för kemo-immunterapi.
BRUKINSA som monoterapi är avsett för behandling av vuxna patienter med marginalzonslymfom (MZL) som fått minst en tidigare anti-CD20-baserad behandling.
BRUKINSA som monoterapi är avsett för behandling av vuxna patienter med kronisk lymfatisk leukemi (KLL).
BRUKINSA i kombination med obinutuzumab är avsett för behandling av vuxna patienter med refraktärt eller recidiverande follikulärt lymfom (FL) som har fått minst två tidigare systemiska behandlingar.
Behandling med detta läkemedel ska initieras och övervakas av en läkare med erfarenhet av användning av cancerläkemedel.
Dosering
Rekommenderad daglig dos av zanubrutinib är 320 mg, som ska tas antingen en gång dagligen (två 160 mg tabletter en gång dagligen) eller två gånger dagligen (en 160 mg tablett två gånger dagligen). Behandlingen bör fortsätta fram till sjukdomsprogression eller oacceptabel toxicitet.
BRUKINSA i kombination med obinutuzumab
Zanubrutinib måste administreras före infusion med obinutuzumab. Rekommenderad dos är obinutuzumab 1 000 mg intravenöst Dag 1, 8 och 15 i Cykel 1 samt Dag 1 i varje 28‑dagarscykel från Cykel 2 till Cykel 6. Obinutuzumab kan enligt läkarens bedömning administreras 100 mg Dag 1 och 900 mg Dag 2 i Cykel 1 istället för 1 000 mg Dag 1 i Cykel 1. Underhållsbehandling med obinutuzumab (en infusion varannan månad i upp till två år) kan förskrivas. Se produktresumén för obinutuzumab för ytterligare doseringsinformation, inklusive premedicinering före varje infusion.
Dosändring vid biverkningar
Rekommenderad dosändring av zanubrutinib vid biverkningar av grad 3 eller högre anges i tabell 1.
Tabell 1: Rekommenderade dosändringar vid biverkningar
Asymtomatisk lymfocytos ska inte betraktas som en biverkning, och dessa patienter ska fortsätta ta BRUKINSA.
För dosändring av obinutuzumab på grund av biverkningar, se produktresumén för obinutuzumab.
Dosändringar för samtidig behandling
Dosändringar för användning med CYP3A-hämmare eller -inducerare (se avsnitt 4.4, 4.5 och 5.2):
Tabell 2: Rekommenderade dosändringar vid samtidig administrering av andra läkemedel
Glömd dos:
En dubbel dos ska inte tas för att kompensera för en glömd dos. Om en dos inte tas vid den schemalagda tidpunkten, ska nästa dos tas enligt det ordinarie schemat.
Särskilda populationer
Äldre
Inga särskilda dosjusteringar krävs för äldre patienter (≥65 år).
Nedsatt njurfunktion
Ingen dosändring rekommenderas för patienter med lindrigt till måttligt nedsatt njurfunktion (kreatininclearance ≥30 ml/min, beräknat genom användning av Cockcroft-Gaults formel). Information rörande patienter med svårt nedsatt njurfunktion och ESRD (n=12) är begränsad. patienter med svår nedsatt njurfunktion (CrCl <30 ml/min) eller på dialys ska övervakas för biverkningar av BRUKINSA (se avsnitt 5.2).
Nedsatt leverfunktion
Dosändringar behövs inte för patienter med lindrigt (Child-Pugh klass A) eller måttligt (Child-Pugh klass B) nedsatt leverfunktion. Patienter med lindrigt eller måttligt nedsatt leverfunktion behandlades i kliniska studier av BRUKINSA. Den rekommenderade dosen av BRUKINSA för patienter med svårt nedsatt leverfunktion (Child-Pugh klass C) är 80 mg oralt två gånger dagligen. Säkerheten för BRUKINSA har inte utvärderats hos patienter med svårt nedsatt leverfunktion. Dessa patienter ska noggrant övervakas med avseende på biverkningar (se avsnitt 5.2).
Pediatrisk population
Säkerhet och effekt för BRUKINSA för barn i åldern under 18 år har inte fastställts. Inga uppgifter finns.
Administreringssätt
BRUKINSA är avsett för oral användning. De filmdragerade tabletterna kan tas med eller utan mat. Patienterna bör instrueras att svälja tabletterna med vatten och att inte tugga eller krossa dem. Tabletterna kan delas på hälften om en dosjustering behövs (se avsnitt 4.2).
Överkänslighet mot den aktiva substansen eller mot något hjälpämne som anges i avsnitt 6.1.
Blödning
Allvarliga och fatala blödningshändelser har förekommit hos patienter som behandlats med BRUKINSA. Blödningshändelser av grad 3 eller högre däribland intrakraniella och gastrointestinala blödningar, hematuri och hemotorax har rapporterats hos patienter, se avsnitt 4.8. Blödningshändelser oavsett grad, däribland purpura och petekier, har förekommit hos patienter med hematologiska maligniteter. Mekanismen för blödningshändelserna är inte helt klarlagd.
BRUKINSA kan öka blödningsrisken hos patienter som får trombocytaggregations- eller koagulationshämmande behandling och patienterna ska övervakas med avseende på tecken på blödning. Dosändring kan vara nödvändig för biverkningar av grad 3 eller högre enligt rekommendation (se avsnitt 4.2). Warfarin eller andra vitamin K-antagonister ska inte ges tillsammans med BRUKINSA. Patienter bör övervakas med avseende på tecken och symtom på blödning. Dessutom erfordras fullständing övervakning av blodvärdena. Nyttan och risken med koagulationshämmande eller trombocytaggregationshämmande behandling vid samtidig administrering av BRUKINSA bör övervägas. Nyttan och risken med utsättning av zanubrutinib i 3 till 7 dagar före och efter kirurgi beroende på typen av ingrepp och risken för blödning bör övervägas.
Infektioner
Fatala och icke-fatala infektioner (däribland bakteriella, virala och fungala infektioner, eller sepsis) samt opportunistiska infektioner (t.ex. infektioner med herpesvirus, kryptokocker, Aspergillus och Pneumocystis jiroveci) har förekommit hos patienter som behandlats med BRUKINSA. Infektioner av grad 3 eller högre har förekommit hos patienter, se avsnitt 4.8. Den vanligaste infektionen av grad 3 eller högre var pneumoni. Infektioner orsakade av reaktivering av hepatit B-virus (HBV) har också förekommit. Innan behandling med BRUKINSA påbörjas bör patientens HBV-status fastställas. Konsultation med en läkare specialiserad på leversjukdom rekommenderas innan behandlingen påbörjas för patienter som testar positivt för HBV eller har positiv hepatit B-serologi. Patienter ska övervakas och hanteras enligt de medicinska standarderna för att förhindra hepatit B-reaktivering. Profylax i enlighet med vårdstandarden hos patienter som löper ökad risk för infektioner bör övervägas. Patienter ska övervakas för tecken och symtom på infektion och behandlas på lämpligt sätt.
Cytopenier
Cytopenier av grad 3 eller 4, däribland neutropeni, trombocytopeni och anemi som grundar sig på laboratorieanalyser rapporterades hos patienter som behandlats med BRUKINSA, se avsnitt 4.8. Under behandlingen ska fullständigt blodcellsantal övervakas månatligen, se avsnitt 4.2.
Sekundära primära maligniteter
Sekundära primära maligniteter, däribland icke-hudkarcinom har förekommit hos patienter med hematologiska maligniteter som behandlats med BRUKINSA. Den vanligaste sekundära primära maligniteten var hudcancer (basalcellskarcinom och skivepitelkarcinom i huden). Patienterna ska rekommenderas att använda solskydd.
Förmaksflimmer och förmaksfladder
Förmaksflimmer och förmaksfladder har förekommit hos patienter med hematologiska maligniteter som behandlats med BRUKINSA, särskilt hos patienter med hjärtriskfaktorer, hypertoni, akuta infektioner och äldre (≥ 65 år). Tecken och symtom på förmaksflimmer och förmaksfladder ska övervakas och behandlas på lämpligt sätt.
Tumörlyssyndrom
Tumörlyssyndrom har i sällsynta fall rapporterats i samband med zanubrutini som monoterapi, särskilt hos patienter som behandlades för kronisk lymfatisk leukemi (KLL) (se avsnitt 4.8). Relevanta risker (t.ex. hög tumörbörda eller urinsyranivåer i blodet) ska bedömas och lämpliga försiktighetsåtgärder ska vidtas. Patienterna ska övervakas noggrant och behandlas efter behov.
Fertila kvinnor
Fertila kvinnor måste använda en mycket effektiv preventivmetod när de använder Brukinsa (se avsnitt 4.6).
Hjälpämnen med känd effekt
Detta läkemedel innehåller laktosmonohydrat. Patienter med något av följande sällsynta ärftliga tillstånd ska inte använda detta läkemedel: galaktosintolerans, total laktasbrist eller glukos-galaktosmalabsorption.
BRUKINSA innehåller natrium
Detta läkemedel innehåller mindre än 1 mmol natrium (23 mg) per dos, d.v.s. är näst intill ”natriumfritt”.
Zanubrutinib metaboliseras primärt via cytokrom P450-enzym 3A (CYP3A).
Medel som kan öka plasmakoncentrationer av zanubrutinib
Samtidig användning av BRUKINSA och läkemedel som kraftigt eller måttligt hämmar CYP3A kan öka exponeringen för zanubrutinib.
Starka CYP3A-hämmare
Samtidig användning av flera doser av itrakonazol (starka CYP3A-hämmare) hos friska frivilliga försökspersoner ökade Cmax för zanubrutinib 2,6-faldigt och AUC 3,8-faldigt. Samtidig användning av flera doser av de starka CYP3A-hämmarna vorikonazol och klaritromycin hos patienter med B-cellsmaligniteter ledde till 3,3-faldigt och 1,92-faldigt ökade zanubrutinibexponeringar för dosnormaliserat AUC0-24h respektive 3,29-faldigt och 2,01-faldigt för dosnormaliserat Cmax.
Om en stark CYP3A-hämmare måste användas (t.ex. posakonazol, vorikonazol, ketokonazol, itrakonazol, klaritromycin, indinavir, lopinavir, ritonavir, telaprevir), ska du sänka BRUKINSA-dosen till 80 mg (en halv tablett) under användning av hämmare. Patienterna ska övervakas noga för toxicitet och dosjusteringsanvisningarna ska följas vid behov (se avsnitt 4.2).
Måttliga CYP3A-hämmare
Samtidig användning av flera doser av de måttliga CYP3A-hämmarna flukonazol och diltiazem hos patienter med B-cellsmaligniteter ledde till 1,88-faldigt och 1,62-faldigt ökade zanubrutinibexponeringar för dosnormaliserat AUC0-24h respektive 1,81-faldigt och 1,62-faldigt för dosnormaliserat Cmax.
Om en måttlig CYP3A-hämmare måste användas (t.ex. erytromycin, ciprofloxacin, diltiazem, dronedaron, flukonazol, verapamil, aprepitant, imatinib, grapefruktjuice, Sevilla-apelsiner), sänk BRUKINSA-dosen till 160 mg (en tablett) under användning av hämmare. Patienterna ska övervakas noga för toxicitet och dosjusteringsanvisningarna ska följas vid behov (se avsnitt 4.2).
Milda CYP3A-hämmare
Simuleringar med fasta förhållanden föreslog att milda CYP3A-hämmare (t.ex. cyklosporin och fluvoxamin) kan öka AUC för zanubrutinib <1,5-faldigt. Ingen dosjustering krävs i kombination med milda hämmare. Patienterna ska övervakas noga för toxicitet och dosjusteringsanvisningarna ska följas efter behov.
Medel som kan minska plasmakoncentrationerna av zanubrutinib
Samtidig användning av zanubrutinib och starka eller måttliga CYP3A-inducerare kan minska plasmakoncentrationerna av zanubrutinib.
CYP3A-inducerare
Samtidig användning av flera doser av rifampicin (stark CYP3A-inducerare) minskade Cmax för zanubrutinib med 92 % och AUC med 93 % hos friska individer. Samtidig användning av flera doser rifabutin (måttlig CYP3A-inducerare) minskade Cmax för zanubrutinib med 48 % och AUC med 44 % hos friska individer. Samtidig användning av zanubrutinib och starka eller måttliga CYP3A-inducerare ska undvikas (se avsnitt 4.2). Milda CYP3A-inducerare kan användas med försiktighet under BRUKINSA-behandling.
Magsyrereducerande medel
Inga kliniskt signifikanta skillnader i zanubrutinibs farmakokinetik har observerats vid samtidig administrering av magsyrereducerande medel (protonpumphämmare, H2-receptorantagonister).
Medel vars plasmakoncentrationer kan förändras av zanubrutinib.
Zanubrutinib är en mild inducerare av CYP3A och CYP2C19. Samtidig användning av zanubrutinib kan minska plasmakoncentrationerna av dessa substratläkemedel.
CYP3A-substrat
Samtidig administrering av flera doser av zanubrutinib minskade Cmax för midazolam (CYP3A-substrat) med 30 % och AUC med 47 %. Läkemedel med smalt terapeutiskt index som metaboliseras av CYP3A (t.ex. alfentanil, ciklosporin, dihydroergotamin, ergotamin, fentanyl, pimozid, kinidin, sirolimus och takrolimus) bör användas med försiktighet, eftersom zanubrutinib kan minska plasmaexponeringen för dessa läkemedel.
CYP2C19-substrat
Samtidig administrering av flera doser av zanubrutinib minskade Cmax för omeprazol (CYP2C19-substratet) med 20 % och AUC med 36 %. Läkemedel med smalt terapeutiskt index som metaboliseras av CYP2C19 (t.ex. S-mefenytoin) bör användas med försiktighet, eftersom zanubrutinib kan minska plasmasexponeringen för dessa läkemedel.
Samtidig administrering med transportsubstrat / -hämmare
Samtidig administrering av flera doser av zanubrutinib ökade Cmax för digoxin (Pgp-substrat) med 34 % och AUC med 11 %. Inga kliniskt signifikanta skillnader i farmakokinetiken för rosuvastatin (BCRP-substrat) har observerats vid samtidig administrering av zanubrutinib.
Samtidig användning av orala P-gp-substrat med ett smalt terapeutiskt index (t.ex. digoxin) bör tas med försiktighet eftersom zanubrutinib kan öka deras koncentrationer.
Fertila kvinnor/Preventivmedel hos kvinnor
På grundval av resultat från djurstudier kan BRUKINSA orsaka fosterskador vid administrering till gravida kvinnor (se avsnitt 5.3). Kvinnor ska undvika graviditet under behandling med BRUKINSA och en månad efter avslutad behandling. Fertila kvinnor måste därför använda en mycket effektiv preventivmetod under behandling med BRUKINSA och en månad efter avslutad behandling. Det är för närvarande inte känt om zanubrutinib minskar effekten av hormonella preventivmedel och kvinnor som använder hormonella preventivmedel ska därför lägga till en barriärmetod. Graviditetstest före påbörjande av behandling rekommenderas för fertila kvinnor.
Graviditet
BRUKINSA rekommenderas inte under graviditet. Det finns inga eller begränsad mängd data från användningen av zanubrutinib i gravida kvinnor. Djurstudier har visat reproduktionstoxikologiska effekter (se avsnitt 5.3).
Amning
Det är inte känt om zanubrutinib eller dess metaboliter utsöndras i bröstmjölk och inga icke-kliniska studier har utförts. En risk för ammande barn kan inte uteslutas. Amning ska avbrytas under behandling med Brukinsa.
Fertilitet
Ingen effekt på manlig eller kvinnlig fertilitet observerades hos råttor men morfologiska avvikelser i sperma och ökad förlust efter implantation observerades på 300 mg/kg/dag (se avsnitt 5.3).
Brukinsa har ingen eller försumbar effekt på förmågan att framföra fordon och använda maskiner.
Trötthet, yrsel och asteni har rapporterats hos en del patienter som tar BRUKINSA och ska beaktas vid bedömning av patientens förmåga att framföra fordon eller använda maskiner.
Zanubrutinib som monoterapi
Sammanfattning av säkerhetsprofilen
De vanligaste biverkningarna (≥ 20 %) av zanubrutinib som monoterapi var övre luftvägsinfektion§ (36 %), blåmärken§ (32 %), blödning/hematom§ (30%), neutropeni§ (30 %), muskuloskeletal smärta§ (27 %), utslag§ (25 %), lunginflammation§ (24 %), diarré (21 %) och hosta § (21 %) (tabell 3).
De vanligaste biverkningarna av grad 3 eller högre (> 3 %) av zanubrutinib som monoterapi var neutropeni§ (21 %), lunginflammation§ (14 %) högt blodtryck (8 %), trombocytopeni§ (6 %), anemi (6 %) och blödning/hematom§ (4 %).
Av de 1 550 patienter som behandlades med zanubrutinib avbröt 4,8 % behandlingen på grund av biverkningar. Den vanligaste biverkningen som ledde till att behandlingen avbröts var lunginflammation§ (2,6 %). Biverkningar som ledde till dosminskning inträffade hos 5,0 % av patienterna
Zanubrutinib i kombination med obinutuzumab
De vanligaste biverkningarna (≥ 20 %) av zanubrutinib i kombination med obinutuzumab var trombocytopeni§ (37 %), neutropeni§ (31 %) och trötthet§ (27 %) (tabell 4).
De vanligaste biverkningarna av grad 3 eller högre (> 3 %) av zanubrutinib i kombination med obinutuzumab var neutropeni§ (25 %), trombocytopeni§ (16 %), lunginflammation§ (15 %) och anemi (5 %).
Av de 143 patienter som behandlades med zanubrutinib i kombination med obinutuzumab avbröt 4,9 % behandlingen på grund av biverkningar. Den vanligaste biverkningen som ledde till att behandlingen avbröts var lunginflammation§ (4,2 %). Biverkningar som ledde till dosminskning inträffade hos 7,0 % av patienterna.
Minskat trombocytantal† (baserat på laboratorievärden) observerades hos 65 % (alla grader) och 12 % (grad 3 eller grad 4) av de patienter som fick zanubrutinib i kombination med obinutuzumab jämfört med 43 % (alla grader) och 11 % (grad 3 eller grad 4) av de patienter som fick obinutuzumab. Minskat trombocytantal av alla grader och grad 3 eller grad 4 rapporterades för 39 % och 7,8 % patienter som fick zanubrutinib som monoterapi.
Lista i tabellform över biverkningar
Säkerhetsprofilen baseras på samlade data från 1 550 patienter med B-cellmaligniteter, inklusive patienter med kronisk lymfatisk leukemi (N = 938), Waldenströms makroglobulinemi (N = 249), mantelcellslymfom (N = 140), marginalzonslymfom (N = 93), follikulärt lymfom (N = 59) och andra typer av B-cellsmaligniteter (N = 71), som behandlats med BRUKINSA i kliniska studier med en median exponeringstid på 34,41 månader.
Säkerhetsprofilen för zanubrutinib i kombination med obinutuzumab är baserad på ROSEWOOD-studiens data från 143 patienter med FL som behandlades med BRUKINSA i kombination med obinutuzumab med en median varaktighet av exponering på 12,35 månader.
Biverkningar hos patienter som behandlats med BRUKINSA som monoterapi eller i kombination med obinutuzumab för B-cellsmaligniteter anges i tabell 3 respektive tabell 4, efter klassificering av organsystem och frekvensgrupp. Frekvenser definieras enligt följande: mycket vanliga (≥1/10), vanliga (≥1/100, <1/10), mindre vanliga (≥1/1 000, <1/100), sällsynta (≥1/10 000 till <1/1 000), mycket sällsynta (<1/10 000), ingen känd frekvens (kan inte beräknas från tillgängliga data). Inom varje frekvensgrupp presenteras biverkningarna enligt fallande allvarlighet.
Tabell 3: Biverkningar av zanubrutinib som monoterapi hos patienter med B-cellsmaligniteter som har rapporterats i kliniska studier (n = 1 550)
* Gradering enligt National Cancer Institute Common Terminology Criteria for Adverse Events (NCI-CTCAE) version 4.03.
† Baserat på laboratorieanalyser
± Procentandelen är baserad på antalet patienter med utvärderingar både vid baslinjen samt minst en efter baslinjen.
§ Inkluderar flera biverkningstermer
# Inkluderar händelser med dödlig utgång
Tabell 4: Biverkningar av zanubrutinib i kombination med obinutuzumab rapporterade i ROSEWOOD-studien (BGB-3111-212) hos patienter med follikulärt lymfom (n = 143)
* Biverkningar graderade enligt National Cancer Institute Common Terminology Criteria for Adverse Events (NCI-CTCAE version 5.0).
† Baserat på laboratoriemätningar.
§ Inkluderar flera biverkningstermer.
# Inkluderar händelser med dödlig utgång.
± Procentandelen är baserad på antalet patienter med utvärderingar både vid baslinjen samt minst en tillgänglig bedömning efter baslinjen.
Övriga särskilda patientgrupper
Äldre
Av de 1 550 patienter som behandlades med BRUKINSA som monoterapi var 61,3 % 65 år eller äldre. Förekomsten av biverkningar av grad 3 eller högre var något högre hos äldre patienter som behandlades med zanubrutinib (69,6 % av patienterna i åldern ≥65 år jämfört med 62,7 % av patienterna i åldern <65 år). Inga kliniskt relevanta skillnader observerades mellan patienter ≥ 65 år och yngre.
Av de 143 patienter som behandlades med BRUKINSA i kombination med obinutuzumab var 42,0 % 65 år eller äldre. Förekomsten av biverkningar av grad 3 eller högre var något högre hos äldre patienter som behandlades med zanubrutinib i kombination med obinutuzumab (70,0 % av patienterna i åldern ≥ 65 år jämfört med 62,7 % av patienterna i åldern <65 år). Inga kliniskt relevanta skillnader observerades mellan patienter ≥ 65 år och yngre.
Rapportering av misstänkta biverkningar
Det finns inget specifikt motgift mot BRUKINSA. Patienten ska övervakas noggrant vid överdosering och lämplig understödjande behandling ska sättas in.
Vid rekommenderade doser (320 mg en gång dagligen eller 160 mg två gånger dagligen) fanns inga kliniskt relevanta effekter på QTc-intervallet. Vid en enkeldos 1,5 gånger den maximala rekommenderade dosen (480 mg), förlängde zanubrutinib inte QT-intervallet i någon kliniskt relevant omfattning (dvs. ≥10 msek).
Klinisk effekt och säkerhet
Patienter med Waldenströms makroglobulinemi (WM)
Säkerhet och effekt för BRUKINSA vid WM utvärderades i en randomiserad, öppen, multicenterstudie som jämförde zanubrutinib och iburutinib (ASPEN-studie, BGB-3111-302) hos patienter som var BTK-hämmarnaiva. Patienter som uppfyllde studiens kriterier var minst 18 år och hade en kliniskt och histologiskt definitiv diagnos på recidiverande/refraktär eller behandlingsnaiv WM då de ansågs olämpliga för standardregimer med kemo-immunterapi av sin behandlande läkare. Patienter skulle uppfylla minst ett kriterium för behandling enligt konsensuskriterierna från Seventh International Workshop on Waldenström’s Macroglobulinemia (IWWM) och ha en mätbar sjukdom, definierad som en IgM-serumnivå på >0,5 g/dl. Patienter med en MYD88-mutation (MYD88MUT) tilldelades till kohort 1 (N = 201) och randomiserades 1:1 till att få antingen zanubrutinib 160 mg två gånger dagligen (arm A) eller ibrutinib 420 mg en gång dagligen (arm B) fram till sjukdomsprogression eller oacceptabel toxicitet. Patienter som befanns ha MYD88 av vildtyp (MYD88WT) genom gensekvensering (beräknas finnas hos cirka 10 % av de inskrivna patienterna), skrevs in till kohort 2 (N = 28) och fick zanubrutinib 160 mg två gånger dagligen i en tredje, icke-randomiserad, studiearm (arm C).
I kohort 1 (MYD88MUT) var medianåldern 70 år (intervall: 38 till 90 år), med 71 % och 60 % av patienterna som behandlades med ibrutinib respektive zanubrutinib i åldern >65 år gamla. 33 % av patienterna i zanubrutinib-armen och 22 % i ibrutinib var >75 år. 67 % var män och 91 % var kaukasiska. Vid studiens start hade 44 % av patienterna i ibrutinib-armen och 46 % av patienterna i zanubrutinib-armen ett högt International Prognostic Scoring System (IPSS). Hundrasextiofyra patienter hade återfall eller refraktär sjukdom; medianantalet tidigare behandlingar var 1 (intervall 1 till 8).
Det primära resultatmåttet var frekvensen av fullständig respons (CR) eller mycket bra partiell respons (VGPR), enligt utvärdering av en oberoende granskningskommitté (IRC) med anpassning av de responskriterier som uppdaterats vid Sixth IWWM. De sekundära effektmåtten för kohort 1 omfattar huvudsaklig responsfrekvens (MRR), varaktighet av respons, hastighet för fullständig respons (CR) eller mycket bra partiell respons (VGPR) som fastställs av prövaren och progressionsfri överlevnad (PFS).
Testerna för överlägsenheten hos det primära effektmåttet VGPR eller CR krävde testning i den återfallande/refraktära analysuppsättningen före testning i ITT-analysuppsättningen. Medianuppföljningen var 19,4 månader. Hos de återfallande/refraktära patienterna uppnådde 19,8 % och 28,9 % VGPR eller CR på armarna för ibrutinib respektive zanubrutinib. Det primära effektmåttet för effekt var inte signifikant i uppsättningen för återfalls/refraktär analys (2-sidig p=0,1160). Tabell 5 sammanfattar svaren som bedömts av IRC för uppsättningen med återfalls/reafraktär och ITT-analys. Svar observerades med zanubrutinib i undergrupper, inklusive MYD88WT-patienter (kohort 2) som hade en VGPR- eller CR-frekvens på 26,9 % och en MRR på 50 %.
Tabell 5: Primär analys av sjukdomsrespons från oberoende granskningskommitté (ASPEN-studie)
Procenttalen baseras på N.
a dubbelsidigt konfidensintervall på 95 % beräknat med Clopper-Pearsons metod.
b 95 % konfidensintervall för den vanligaste riskskillnaden enligt Mantel-Haenszels metodik beräknat med användning av en normalfördelning och Satos standardfel som har stratifierats efter stratifieringsfaktorer per IRT (strata CXCR4 WT och UNK har sammanlagts) och åldersgrupp (≤65 och >65). Referensgruppen är Ibrutinib.
c Baserat på det CMH-test som stratifierats enligt stratifieringsfaktorer per IRT (strata CXCR4 WT och UNK har lagts samman) och åldersgrupp (≤65 och >65)
d Frånvaro av händelse beräknas enligt Kaplan-Meier-metoden med uppskattningsvis 95 % KI enligt Greenwoods formel.
Baserat på ett uppdaterat cut-off för datainsamling var den progressionsfria händelsefria frekvensen enligt utredarens bedömning 77,6 % mot 84,9 % efter 30 månader (ibrutinib vs zanubrutinib), med en uppskattad total riskkvot på 0,734 (95 % KI: 0,380, 1,415).
Patienter med marginalzonslymfom (MZL)
Effekten av zanubrutinib utvärderades i en öppen, enarmad multicenterstudie i fas två med 68 patienter med MZL som hade fått minst en tidigare anti-CD20-baserad behandling (MAGNOLIA-studien, BGB-3111-214). Tjugosex (38,2 %) patienter hade extranodal MZL, 26 (38,2 %) hade nodal MZL, 12 (17,6 %) hade mjält-MZL och hos 4 (6 %) patienter var subtypen okänd. Zanubrutinib gavs oralt i en dos på 160 mg två gånger dagligen tills sjukdomsprogression eller oacceptabel toxicitet uppstod. Patienternas medianålder var 70 år (intervall: 37 till 95) och 53 % var män. Mediantiden sedan initial diagnos var 61,5 månader (intervall: 2,0 till 353,6). Medianantalet tidigare behandlingar var 2 (intervall: 1 till 6) och 27,9 % av patienterna fick 3 eller fler linjer av systemisk behandling; 98,5 % (n=67) av patienterna hade fått tidigare rituximab-baserad cytostatikabehandling och 85,3 % (n=58) av patienterna hade fått tidigare behandling med alkylerande medel; 5,9 % av patienterna (n=4) hade genomgått tidigare stamcellstransplantation. Sextiotre (92,6 %) patienter hade vid baslinjen en ECOG-prestandastatus på 0 eller 1. Tjugotvå (32,4 %) patienter hade refraktär sjukdom vid studiestart. Tumörresponsen var i enlighet med Lugano Classification från 2014 och det primära effektmåttet var den totala responsfrekvensen enligt bedömningen av en oberoende granskningskommitté (IRC) (tabell 6).
Tabell 6: Effektresultat hos patienter med MZL av en oberoende granskningskommitté (MAGNOLIA-studien)
a Två patienter i BGB-3111-214 kunde inte utvärderas med avseende på effekt på grund av central bekräftelse av transformation av MZL till diffust storcelligt B-cellslymfom.
b Händelsefri frekvens beräknad enligt Kaplan-Meier-metoden med 95 % konfidensintervall som uppskattades enligt Greenwoods formel.
ORR: total responsfrekvens, CR: fullständig respons, PR: partiell respons, DoR: responsens varaktighet, CI: konfidensintervall, NE: ej uppskattningsbar
I BGB-3111-214 var mediantiden till respons 2,79 månader (intervall: 1,7 till 11,1 månader). Efter en median studieuppföljningstid på 28,04 månader (intervall: 1,64 till 32,89 månader) hade den mediana varaktigheten för respons (DOR) enligt bedömning av den oberoende granskningskommittén inte uppnåtts (95 % CI 25,0 månader till NE) och totalt 72,9 % (95 % CI 54,4 till 84,9) av patienterna med respons uppskattades vara händelsefria vid 24 månader efter initial respons.
De övergripande responsfrekvenser som observerades var desamma i tre olika MZL-subtyper (extranodal, nodal och mjälte).
Patienter med kronisk lymfatisk leukemi (KLL)
Effekten av BRUKINSA hos patienter med KLL utvärderades i två randomiserade, kontrollerade studier.
SEQUOIA-studien (BGB-3111-304): En internationell, öppen, randomiserad fas 3-studie av zanubrutinib jämfört med bendamustin plus rituximab (BR) hos patienter med tidigare obehandlad KLL
SEQUOIA-studien (BGB-3111-304) är en randomiserad multicenter, öppen, aktiv kontrollerad fas 3-studie av zanubrutinib som monoterapi och bendamustin i kombination med rituximab hos 479 patienter med tidigare obehandlad KLL utan 17p-deletion (del(17p)) (arm A och B; kohort 1). Arm C (kohort 2) är en enarmad multicenter-studie av zanubrutinib som monoterapi hos 110 patienter med tidigare obehandlad KLL med centralt bekräftad del(17p).
Bägge kohorterna inkluderade patienter som var 65 år och äldre samt patienter i åldern 18‑65 år som inte var lämpade för kemo-immunterapi med fludarabin, cyklofosfamid och rituximab (FCR).
Demografiska egenskaper och baslinje-egenskaper var generellt väl avvägda mellan arm A (zanubrutinib) och arm B (BR) i kohort 1. I båda armarna var medianåldern 70 år, med en något högre andel patienter ≥ 75 år (26,1 %) i arm A jämfört med arm B (22,3 %) och en något lägre andel patienter i åldern 65‑75 år (55,2 %) i arm A jämfört med arm B (58,4 %). I kohort 1 hade 92,7 % av patienterna vid baslinjen en ECOG-prestandastatus på 0 eller 1 (93,7 % i arm A och 91,6 % i arm B). I kohort 2 (arm C zanubrutinib) hade 87,3 % av patienterna vid baslinjen en ECOG-prestandastatus på 0 eller 1.
Demografiska egenskaper och baslinje-egenskaper var generellt väl avvägda också mellan arm A (zanubrutinib) i kohort 1 och arm C (zanubrutinib) i kohort 2.
I kohort 1 stratifierades randomiseringen efter ålder (< 65 år jämfört med ≥ 65 år), Binet-stadium (C jämfört med A eller B), mutationsstatus (muterad jämfört med omuterad) för variabel del av immunoglobulin tung kedja (immunoglobulin variable region heavy chain, IGHV) och geografisk region (Nordamerika jämfört med Europa jämfört med Asien och Stillahavsområdet). Totalt 479 patienter randomiserades (intent-to-treat [ITT] -analyspopulation), 241 patienter till zanubrutinib som kontinuerlig monoterapi och 238 patienter till 6 behandlingscykler med bendamustin och rituximab (BR).
I kohort 1 fick patienterna i zanubrutinib-arm A 160 mg två gånger dagligen fram till sjukdomsprogression eller oacceptabel toxicitet. I arm B fick patienterna bendamustin vid en dos på 90 mg/m2/dag under de första 2 dagarna av varje cykel i 6 cykler samt rituximab vid en dos på 375 mg/m2 under cykel 1 och 500 mg/m2 under cykel 2‑6. Varje behandlingscykel bestod av cirka 28 dagar. I kohort 2 (arm C) fick patienterna zanubrutinib 160 mg två gånger dagligen fram till sjukdomsprogression eller oacceptabel toxicitet.
För kohort 1 var det primära resultatmåttet progressionsfri överlevnad (PFS), bedömt av en oberoende central granskningskommitté (IRC). De sekundära resultatmåtten omfattade bl.a. total responsfrekvens (ORR) baserat på IRC-bedömning.
I kohort 1 var den mediana varaktigheten för uppföljning för PFS 25,0 månader (intervall: 0,0 till 41,4). PFS-frekvensen vid 24 månader var 85,5 % (95 % KI: 80,1; 89,6) för zanubrutinib och 69,5 % (95 % KI: 62,4; 75,5) för BR. I kohort 2 var den mediana varaktigheten för uppföljning för PFS 27,9 månader (intervall: 1,0 till 38,8) och PFS-frekvensen vid 24 månader 88,9 % (95 % KI: 81,3; 93,6). ORR bedömt av IRC i kohort 2 var 90,0 % (95 % KI: 82,8; 94,9). Mediantiden till partiell respons eller högre enligt bedömning av IRC var 2,89 månader (intervall: 1,8; 14,2) respektive 2,86 månader (intervall: 1,9; 13,9) i zanubrutinib-armen i kohort 1 och kohort 2.
Effektresultaten för kohort 1 presenteras i Tabell 7. Kaplan-Meier-kurvor för PFS för båda armarna i kohort 1 visas i Figur 1.
Tabell 7: Effektresultat i SEQUOIA-studien
Total responsfrekvens: CR+CRi+nPR+PR+PR-L, CR: fullständig respons, CRi: fullständig respons med ofullständig hematopoetisk återhämtning, nPR: nodulär partiell respons, PR-L: partiell respons med lymfocytom, KI: konfidensintervall, IU: icke uppskattningsbart, median uppföljningstid för PFS var 25,0 månader (95 % KI: 24,6; 25,2).
* ITT-analyspopulation.
† Bedömt av oberoende central granskningskommitté (ICR). a Baserat på Kaplan-Meier-uppskattning. b Baserat på en stratifierad Cox-regressionsmodell med bendamustin + rituximab som referensgrupp. c Baserat på ett stratifierat log-rank test.
Vid en uppdaterad ad hoc-analys med en medianuppföljning på 33,5 månader för PFS förblev den utredarbedömda PFS i överensstämmelse med den primära analysen med en HR på 0,33 (95 % KI: 0,22 till 0,48, beskrivande P<0,0001) i zanubrutinib-armen över BR-armen. Median PFS uppnåddes inte med zanubrutinib-armen och var 39,2 månader för BR-armen. 36 månader efter randomiseringen uppskattades 83,6 % av patienterna som behandlades med zanubrutinib och 55,1 % med BR vara progressionsfria och levande. Med en medianuppföljning på 35,8 månader nåddes inte median OS för båda armarna; 36-månaders OS-frekvensuppskattningen var 90,9 % (95 % KI: 86,3 till 94,0) i zanubrutinib-armen respektive 89,5 % (95 % KI: 84,2 till 93,1) i BR-armen.
Figur 1: Kaplan-Meier-kurva för IRC-bedömd PFS i SEQUOIA-studien kohort 1 (ITT-population)
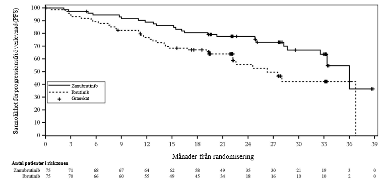
ALPINE-studien (BGB-3111-305): En randomiserad fas 3-studie av zanubrutinib jämfört med ibrutinib hos patienter med recidiverande/refraktär (R/R) KLL
ALPINE-studien (BGB-3111-305) är en randomiserad multicenter, öppen, aktiv kontrollerad fas 3-studie. Den inkluderade 652 patienter med recidiverande eller refraktär KLL efter minst en tidigare systemisk behandling. Patienterna randomiserades till antingen zanubrutinib 160 mg oralt två gånger dagligen eller ibrutinib 420 mg oralt en gång dagligen fram till sjukdomsprogression eller oacceptabel toxicitet.
Randomiseringen var stratifierad efter ålder (< 65 år jämfört med ≥ 65 år), geografisk region (Kina jämfört med icke-Kina), refraktär status (ja eller nej) och del(17p)/TP53-mutationsstatus (närvarande eller frånvarande).
Demografiska egenskaper och sjukdomsegenskaper vid baslinjen var generellt väl avvägda mellan behandlingsarmarna i ITT-analyspopulationen och hos de första 415 randomiserade patienterna.
I ITT-analyspopulationen var medianåldern 67,0 år i zanubrutinib-armen och 68,0 år i ibrutinib-armen. Merparten av patienterna i bägge armarna hade en ECOG-PS på 0 eller 1 (97,9 % i zanubrutinib-armen; 96,0 % i ibrutinib-armen). Samma demografiska egenskaper och baslinje-egenskaper observerades hos de första 415 randomiserade patienterna. Det mediana antalet av tidigare linjer med systemisk behandling är 1,0 i zanubrutinib-armen (intervall: 1 till 6) och 1,0 i ibrutinib-armen (intervall: 1 till 8) i både ITT-analyspopulationen och hos de första 415 randomiserade patienterna.
Patienter som tidigare behandlats med en BTK-hämmare var exkluderade från studie 305 och data för zanubrutinib efter tidigare behandling med BCL 2-hämmare är begränsade.
Av totalt 652 patienter tilldelades 327 till zanubrutinib som monoterapi och 325 till ibrutinib som monoterapi. Effektutvärderingen är baserad på den förspecificerade interimsanalysen av de första 415 randomiserade patienterna i ITT-populationen. Av dessa randomiserades 207 till zanubrutinib som monoterapi och 208 till ibrutinib som monoterapi. Effektresultaten presenteras i tabell 8.
Det primära resultatmåttet var total responsfrekvens (ORR, definierat som partiell respons eller bättre).
Vid den förspecificerade interimsanalysen av ORR hos de första 415 randomiserade patienterna uppvisade zanubrutinib icke-inferioritet (1-sidigt p < 0,0001) och superioritet (2-sidigt p = 0,0006) jämfört med ibrutinib i fråga om det protokollspecificerade primära resultatmåttet ORR bedömt av prövaren. Respons enligt fastställande av IRC uppvisade också icke-inferioritet för zanubrutinib jämfört med ibrutinib (1-sidigt p < 0,0001). Vid den slutliga ORR-analysen bedömer prövaren att ORR fortfarande är högre (79,5 % jämfört med 71,1 %) i zanubrutinib-armen jämfört med ibrutinib-armen (deskriptivt p = 0,0133); ORR fastställt av IRC var också signifikant högre i zanubrutinib-armen jämfört med ibrutinib-armen, med en bevisad superioritet (80,4 % respektive 72,9 %; 2-sidigt p = 0,0264).
Effektresultaten vid den slutliga ORR-analysen för samtliga 652 randomiserade patienter presenteras i Tabell 7.
Tabell 8: Effektresultat i ALPINE-studien (slutlig analys av samtliga 415 randomiserade patienter) av utredare (protokolldefinierad primärt effektmått) och IRC-bedömning
Total responsfrekvens: CR + CRi + nPR + PR, CR: fullständig respons, CRi: fullständig respons med ofullständig hematopoetisk återhämtning, nPR: nodulär partiell respons, PR: partiell respons, KI: konfidensintervall.
* Median varaktighet av respons enligt bedömning av prövaren uppnåddes inte i zanubrutinib-armen vid den slutliga analysen, median studieuppföljningstid var 15,31 månader (intervall: 0,1; 23,1) i zanubrutinib-armen och 15,43 månader (intervall: 0,1; 26,0) i ibrutinib-armen.
§ Hypotestestning för icke-inferioritet av ORR vid interimsanalysen baseras endast på de första 415 randomiserade patienterna med en 1-sidig signifikansnivå på 0,005
a Responskvot: uppskattad kvot av den totala responsfrekvensen i zanubrutinib-armen dividerad med den i ibrutinib-armen.
b Stratifierat test mot en nollad responskvot på 0,8558.
c Stratifierat Cochran-Mantel-Haenszel-test.
d Kaplan-Meier-uppskattning.
Mediantiden till respons enligt prövarens bedömning vid interimsanalysen av ORR hos de första 415 randomiserade patienterna var 5,59 månader (intervall: 2,7; 14,1) i zanubrutinib-armen och 5,65 månader (intervall: 2,8; 16,7) i ibrutinib-armen. Detta var förenligt med resultaten i bedömningen av IRC (5,55 månader jämfört med 5,63 månader i zanubrutinib- respektive ibrutinib-armen). Vid den slutliga ORR-analysen av samtliga 652 randomiserade patienter var mediantiden till respons oförändrad (5,59 månader jämfört med 5,65 månader enligt prövarens bedömning och 5,52 månader jämfört med 5,62 månader enligt IRC-bedömningen i zanubrutinib- respektive ibrutinib-armen).
Hos patienter med del(17p)-mutation i populationen med de första 415 randomiserade patienterna var ORR enligt prövarens bedömning 83,3 % (95 % KI 62,5; 95,3; 20 av 24 patienter) i zanubrutinib-armen och 53,8 % (95 % KI 33,4; 73,4; 14 av 26 patienter) i ibrutinib-armen. Baserat på IRC-bedömningen var ORR 79,2 % (95 % KI 57,8; 92,9; 19 av 24 patienter) i zanubrutinib-armen och 61,5 % (95 % KI 40,6; 79,8; 16 av 26 patienter) i ibrutinib-armen. Vid den slutliga ORR-analysen av samtliga 652 randomiserade patienter var ORR enligt prövarens bedömning 86,7 % (95 % KI 73,2; 94,9; 39 av 45 patienter med del(17p)-mutation) i zanubrutinib-armen och 56,0 % (95 % KI 41,3; 70,0; 28 av 50 patienter med del(17p)-mutation) i ibrutinib-armen. Baserat på IRC-bedömningen var ORR 86,7 % (95 % KI 73,2; 94,9; 39 av 45 patienter med del(17p)-mutation) i zanubrutinib-armen och 64,0 % (95 % KI 49,2; 77,1; 32 av 50 patienter med del(17p)-mutation) i ibrutinib-armen.
Totalt 652 patienter var inkluderade vid den förspecificerade tidpunkten för slutlig PFS-analys (brytdatum 8 augusti 2022). Den mediana uppföljningstiden för PFS 28,1 månader enligt bedömning av prövare och 30,7 månader enligt bedömning av IRC. Zanubrutinib uppvisade superioritet i PFS jämfört med ibrutinib enligt bedömning av prövare och IRC. Totalt 652 patienter skrevs in. Effektresultaten för PFS enligt bedömning av prövare och IRC presenteras i tabell 9, och ett Kaplan-Meier-diagram om PFS enligt bedömning av IRC finns i figur 2.
Tabell 9: Effektresultat i ALPINE-studien (förspecificerad slutlig PFS-analys av samtliga 652 randomiserade patienter) enligt bedömning av prövare respektive IRC (brytdatum 8 augusti 2022)
* Av oberoende central granskningskommitté.
a Baserat på en stratifierad Cox-regressionsmodell med ibrutinib som referensgrupp.
b Baserat på ett stratifierat log-rank-test.
Figur 2: Kaplan-Meier-diagram av progressionsfri överlevnad enligt oberoende central granskning (ITT) (brytdatum 8 augusti 2022)
Hos patienter med del(17p)/TP53-mutation var riskkvoten för progressionsfri överlevnad enligt prövarens bedömning 0,53 (95 % KI 0,31; 0,88). Baserat på en oberoende granskning var riskkvoten 0,52 (95 % KI 0,30; 0,88) (figur 3).
Figur 3: Kaplan-Meier-diagram av progressionsfri överlevnad enligt oberoende central granskning för patienter med del 17P eller TP53 (ITT) (brytdatum 8 augusti 2022)
Med en uppskattad median uppföljning på 32,8 månader uppnåddes inte den mediana totala överlevnaden i någondera armen och 17 % av patienterna upplevde en händelse.
Patienter med follikulärt lymfom (FL)
Effekten av zanubrutinib i kombination med obinutuzumab jämfört med obinutuzumab bedömdes i ROSEWOOD-studien (BGB-3111-212), en randomiserad, öppen, multicenterstudie i fas 2. Totalt inkluderades 217 patienter med recidiverande (definierat genom sjukdomsprogression efter slutförande av den allra senaste behandlingen) eller refraktär (definierat som icke-uppnådd CR eller PR på den allra senaste behandlingen) follikulärt lymfom (FL) av grad 1‑3a som tidigare hade fått minst två systemiska behandlingar, inklusive en anti-CD20-antikropp och en lämplig alkylatorbaserad kombinationsbehandling. Patienterna randomiserades i förhållandet 2:1 till antingen zanubrutinib 160 mg oralt två gånger dagligen fram till progressiv sjukdom eller oacceptabel toxicitet, i kombination med obinutuzumab 1 000 mg intravenöst (arm A) eller enbart obinutuzumab (arm B). Obinutuzumab gavs Dag 1, 8, och 15 i den första cykeln och därefter Dag 1 i cykel 2‑6. Varje cykel var 28 dagar lång. Patienterna fick valfri underhållsbehandling med obinutuzumab, en infusion varannan cykel, med högst 20 doser.
Patienter som randomiserades i obinutuzumab-armen fick byta arm och få kombinationen av zanubrutinib plus obinutuzumab i händelse av progressiv sjukdom eller avsaknad av respons (definierat genom stabil sjukdom som bästa respons) efter 12 cykler.
Randomiseringen var stratifierad enligt antalet tidigare behandlingar (2‑3 jämfört med > 3), rituximab-refraktär status (ja jämfört med nej) och geografisk region (Kina jämfört med övriga länder).
Demografiska egenskaper och baslinje-egenskaper var generellt väl avvägda mellan armen som fick zanubrutinib-kombinationen och armen som fick obinutuzumab som monoterapi hos de 217 randomiserade patienterna. Medianåldern var 64 år (intervall: 31‑88), 49,8 % var män och 64,1 % var vita. De flesta (97,2 %) av patienterna hade en ECOG-prestandastatus på 0 eller 1 vid baslinjen.
Vid screening var de flesta patienterna Ann Arbor stadium III eller IV (179 patienter [82,5 %]). Åttioåtta patienter (40,6 %) hade ”bulky disease” (definierat som > 1 mållesion > 5 cm i diameter vid baslinjen). Etthundratjugotre patienter (56,7 %) uppfyllde GELF-kriterierna.
Det mediana antalet tidigare cancerbehandlingar var tre behandlingslinjer (intervall 2‑11 behandlingslinjer). Alla 217 patienter hade fått > 2 tidigare behandlingslinjer som inkluderade rituximab-behandling (som monoterapi eller i kombination med cytostatika), och 59 av de 217 patienterna (27,2 %) hade fått > 3 tidigare behandlingslinjer. Av de 217 patienterna var 114 (52,5 %) refraktära mot rituximab (definierat som utebliven respons på eller progression under någon tidigare regim innehållande rituximab [monoterapi eller kombinerat med cytostatika], eller progression inom 6 månader efter den sista rituximab-dosen, inom ramen för induktions- eller underhållsbehandling). Tolv (5,5 %) patienter hade tidigare behandlats med obinutuzumab.
Av totalt 217 patienter randomiserades 145 till armen som fick zanubrutinib-kombinationen och 72 randomiserades till armen som fick obinutuzumab som monoterapi. Den mediana uppföljningstiden visas i tabell 10. Den mediana exponeringstiden var 12,4 månader vid brytdatum för datainsamling den 31 december 2024.
Av 72 patienter som randomiserades till armen som fick obinutuzumab som monoterapi var det 36 som valde att gå över till kombinationsbehandlingen.
Det primära resultatmåttet för effekt var total responsfrekvens (definierat som partiell respons eller fullständig respons) fastställt genom en oberoende central granskning som använde Lugano-klassificeringen för non-Hodgkins lymfom (NHL). De huvudsakliga sekundära resultatmåtten omfattade responsens varaktighet (DoR), progressionsfri överlevnad (PFS) och total överlevnad (OS).
Effektresultaten sammanfattas i tabell 10 och figur 4
Tabell 10: Effektresultat enligt oberoende central granskning (ITT) (ROSEWOOD-studien)
Total responsfrekvens: CR + PR, CR: fullständig respons, PR: partiell respons.
a Beräknat med Clopper-Pearsons metod.
b Cochran-Mantel-Haenszel-metod stratifierat enligt rituximab-refraktär status, antal tidigare behandlingslinjer och geografisk region enligt IRT.
c Medianer uppskattade enligt Kaplan-Meier-metoden; 95 % konfidensintervall (KI) beräknat enligt Brookmeyer-Crowley-metoden.
d DoR-frekvenser uppskattade enligt Kaplan-Meier-metoden; 95% 95 % konfidensintervall beräknat enligt Greenwoods formel. DoR kontrollerades inte för typ I-fel och konfidensintervallen är nominella.
Figur 4: Kaplan-Meier-diagram av progressionsfri överlevnad enligt oberoende central granskning (ITT)
Arm A, Zanubrutinib + Obinutuzumab; Arm B, Obinutuzumab
Total överlevnad
Den 31 december 2024 hade 51 patienter (35,2 %) i kombinationsarmen och 33 patienter (45,8 %) i armen som fick obinutuzumab som monoterapi avlidit. Vid 18 månader var den totala överlevnadsfrekvens 84,1 % (95 % KI: 76,6; 89,3) i kombinationsarmen och 71,5 % (95 % KI: 59,0; 80,8) i armen som fick obinutuzumab som monoterapi. Analysen av total överlevnad kan vara missvisande genom att 36 patienter (50,0 %) gick över från armen som fick obinutuzumab som monoterapi till kombinationsarmen.
Pediatrisk population
Europeiska läkemedelsmyndigheten har beviljat undantag från kravet att skicka in studieresultat för BRUKINSA för alla grupper av den pediatriska populationen för behandling av lymfoplasmacytiskt lymfom och för behandling av mogna B-cellstumörer (information om pediatrisk användning finns i avsnitt 4.2).
Brukinsa finns som hårda kapslar (80 mg) och filmdragerade tabletter (160 mg). Jämförande biotillgänglighets- och bioekvivalensstudier indikerade att under fastande tillstånd är Cmax 1,2 gånger högre och AUC är bioekvivalent för tablettberedningen jämfört med kapselberedningen. Under icke‑fastande tillstånd var Cmax 1,5 till 1,8 gånger högre och AUC 1,1 till 1,2 gånger högre för tablettberedningen jämfört med kapselberedningen. Förhållandet exponering‑säkerhet visade att den högre exponeringen med tablettberedningen inte leder till ytterligare säkerhetsproblem.
Maximal plasmakoncentration (Cmax) av Zanubrutinib och området under läkemedelskoncentrationen i plasma under tidskurvan (AUC) ökar proportionellt under ett dosintervall från 40 mg till 320 mg (0,13 till 1 gång den rekommenderade totala dagliga dosen). Begränsad systemisk ansamling av zanubrutinib observerades efter upprepad administrering under en vecka.
Det geometriska medelvärdet (% CV) för dagligt steady-state AUC av zanubrutinib är 2,099 (42 %) ng·h/ml efter 160 mg två gånger dagligen och 1,917 (59 %) ng·h/ml efter 320 mg en gång dagligen. Det geometriska medelvärdet (% CV) för steady-state Cmaxav zanubrutinib är 299 (56 %) ng/ml efter 160 mg två gånger dagligen och 533 (55 %) ng/ml efter 320 mg en gång dagligen.
Absorption
Medianvärdet för tmax av zanubrutinib är 2 timmar. Inga kliniskt betydelsefulla skillnader för AUC eller Cmax av zanubrutinib observerades efter administrering av en fettrik måltid (cirka 1 000 kalorier med 50 % av det totala kaloriinnehållet från fett) hos friska försökspersoner.
Distribution
Det geometriska medelvärdet (% CV) för clearance vid steady-state av distributionsvolymen för zanubrutinib under slutfasen (Vz/F) var 522 l (71 %). Plasmaproteinbindningen av zanubrutinib är cirka 94 % och förhållandet blod/plasma var 0,7–0,8.
Metabolism
Zanubrutinib metaboliseras primärt av cytokrom P450(CYP)3A.
Eliminering
Den genomsnittliga halveringstiden (t½) för zanubrutinib är cirka 2–4 timmar efter en enda oral dos av zanubrutinib på 160 mg eller 320 mg. Det geometriska medelvärdet (% CV) för apparent oral clearance (CL/F) av zanubrutinib under slutfasen var 128 (61 %) l/h. Efter en enda dos av radioaktivt märkt zanubrutinib på 320 mg till friska försökspersoner, återfanns cirka 87 % av dosen i avföringen (38 % oförändrad) och 8 % i urinen (mindre än 1 % oförändrad).
Särskilda populationer
Äldre
Ålder (19–90 år, medelålder 65 ± 12,5) hade ingen kliniskt meningsfull effekt på farmakokinetik för zanubrutinib baserat på farmakokinetisk populationsanalys (N = 1 291).
Kön
Kön (872 män och 419 kvinnor) hade ingen kliniskt meningsfull effekt på farmakokinetik för zanubrutinib baserat på farmakokinetisk populationsanalys.
Ras
Ras (964 vita, 237 asiatiska, 30 svarta och 25 kategoriserade som övriga) hade ingen kliniskt meningsfull effekt på farmakokinetik för zanubrutinib baserat på farmakokinetisk populationsanalys.
Kroppsvikt
Kroppsvikt (36–149 kg, medelvikt 76,5±16,9) hade ingen kliniskt meningsfull effekt på farmakokinetik för zanubrutinib baserat på farmakokinetisk populationsanalys (N=1 291).
Nedsatt njurfunktion
Zanubrutinib genomgår minimal renal elimination. Baserat på farmakokinetisk populationsanalys, hade lindrig och måttlig njurinsufficiens (kreatininclearance [CrCl] ≥30 ml/min beräknad enligt Cockcroft-Gaults formel) ingen effekt på exponeringen för zanubrutinib. Analysen baserades på 362 patienter med normal njurfunktion, 523 med lätt nedsatt njurfunktion, 303 med måttligt nedsatt njurfunktion, 11 med svårt nedsatt njurfunktion och en med ESRD. Effekten av svår njurinsufficiens (CrCl <30 ml/min) och dialys på farmakokinetik för zanubrutinib är okänd.
Nedsatt leverfunktion
Den totala AUC för zanubrutinib ökade med 11 % hos patienter med lindrigt nedsatt leverfunktion (Child-Pugh klass A), med 21 % hos patienter med måttligt nedsatt leverfunktion (Child-Pugh klass B) och med 60 % hos patienter med svårt nedsatt leverfunktion (Child-Pugh klass C) i förhållande till patienter med normal leverfunktion. Obunden AUC för zanubrutinib ökade med 23 % hos patienter med lindrigt nedsatt leverfunktion (Child-Pugh klass A), med 43 % hos patienter med måttligt nedsatt leverfunktion (Child-Pugh klass B), och med 194 % hos patienter med svårt nedsatt leverfunktion (Child-Pugh klass C) i förhållande till patienter med normal leverfunktion. En signifikant korrelation observerades mellan Child-Pugh-poängen, serumalbumin vid baslinjen, bilirubin vid baslinjen och protrombintiden vid baslinjen med obundet zanubrutinib AUC.
In vitro-studier
CYP-enzymer
Zanubrutinib är en svag inducerare av CYP2B6 och CYP2C8. Zanubrutinib är inte en inducerare av CYP1A2.
Samtidig administrering med transportsubstrat/-hämmare
Zanubrutinib är sannolikt ett substrat för P-gp. Zanubrutinib är inte ett substrat eller hämmare av OAT1, OAT3, OCT2, OATP1B1 eller OATP1B3.
Farmakodynamiska interaktioner
En in vitro-studie visade att den potentiella farmakodynamiska interaktionen mellan zanubrutinib och rituximab är låg och det är osannolikt att zanubrutinib kommer att störa den anti-CD20-antikroppsinducerade ADCC-effekten.
In vitro-, ex vivo- och djurstudier visade att zanubrutinib inte hade några eller minimala effekter på trombocytaktivering, glykoproteinuttryck och trombbildning.
Allmän toxicitet
De allmänna toxikologiska profilerna för zanubrutinib karakteriserades oralt hos Sprague-Dawley-råttor för upp till 6 månaders behandling och hos beaglehundar för upp till 9 månaders behandling.
I upprepade dosstudier hos råttor med upp till 6 månaders behandling noterades testartikelrelaterad mortalitet vid en dos på 1 000 mg/kg/dag (81x klinisk AUC) med histopatologiska fynd i magtarmkanalen. Andra fynd noterades främst i bukspottkörteln (atrofi, fibroplasi, blödning och/eller inflammatorisk cellinfiltration) vid doserna ≥ 30 mg/kg/dag (3x klinisk AUC), i huden kring nosen/munnen/ögonen (inflammatorisk cellinfiltration, erosion/sårbildning) från dosen 300 mg/kg/dag (16x klinisk AUC) och i lungan (förekomst av makrofager i alveolärerna) vid en dos på 300 mg/kg/dag. Alla dessa fynd återställdes helt eller delvis efter en återhämtningsperiod på 6 veckor, med undantag för fynden i bukspottskörteln som inte ansågs vara kliniskt relevanta.
I upprepade dosstudier hos hundar med upp till 9 månaders behandling noterades testartikelrelaterade fynd främst i magtarmsystemet (mjuk/vattnig/slemmig avföring), huden (utslag, röd missfärgning och förtjockning/flagning) och i mesenteriska, mandibulära och tarmassocierade lymfkörtlar och mjälte (lymfoid utarmning eller erytrofagocytos) vid doser från 10 mg/kg/dag till (3x klinisk AUC) till 100 mg/kg/dag (18x klinisk AUC). Alla dessa fynd återställdes helt eller delvis efter en återhämtningsperiod på 6 veckor.
Karcinogenicitet/genotoxicitet
Karcinogenicitetsstudier har inte genomförts med zanubrutinib.
Zanubrutinib var inte mutagent i en mutagenitetsanalys av bakterier (Ames), var inte klastogent i en kromosomaberrationstest i däggdjursceller (CHO) och var inte heller klastogent i en in vivo-analys av mikronukleus i benmärg hos råttor.
Utvecklings- och reproduktionstoxicitet
En kombinerad fertilitetsstudie med manlig och kvinnlig fertilitet och tidig embryonal utveckling utfördes på råttor vid orala zanubrutinib-doser på 30, 100 och 300 mg/kg/dag. Inga effekter på manlig eller kvinnlig fertilitet noterades men vid den högsta testade dosen noterades morfologiska avvikelser i spermier och ökad förlust efter implantation. Dosen på 100 mg/kg/dag är ungefär 13 gånger högre än den humana terapeutiska dosen.
Studier av embryo-fetal utvecklingstoxicitet genomfördes hos både råttor och kaniner. Zanubrutinib administrerades oralt till dräktiga råttor under organogenesperioden i doser på 30, 75 och 150 mg/kg/dag. Missbildningar i hjärtat (hjärtan med 2 eller 3 kammare hade en förekomst på 0,3 %–1,5 %) noterades i alla dosnivåer i frånvaro av maternell toxicitet. Dosen på 30 mg/kg/dag är cirka fem gånger högre än den humana terapeutiska exponeringen.
Administration av zanubrutinib till dräktiga kaniner under organogenesperioden på 30, 70 och 150 mg/kg/dag ledde till förlust efter implantation vid den högsta dosen. Dosen på 70 mg/kg är cirka 25 gånger högre än den humana terapeutiska exponeringen och förknippades med maternell toxicitet.
I en pre- och postnatal utvecklingstoxicitetsstudie, administrerades zanubrutinib oralt till råttor i doser på 30, 75 och 150 mg/kg/dag från implantation till och med avvänjning. Avkomman från grupperna som fick medelhög och hög dos minskade i kroppsvikt före avvänjning, och alla dosgrupper hade negativa okulära fynd (t.ex. starr, utstående öga). Dosen på 30 mg/kg/dag är cirka 5 gånger högre än den humana terapeutiska exponeringen.
Farmakoterapeutisk grupp: Antineoplastiska medel, Brutons tyrosinkinashämmare, ATC-kod: L01EL03.
Verkningsmekanism
Zanubrutinib är en Brutons tyrosinkinashämmare (BTK). Zanubrutinib bildar en kovalent bindning med en cysteinrest i det aktiva sätet hos BTK, vilket leder till hämning av BTK:s aktivitet. BTK är en signalmolekyl i B-cellsreceptorns (BCR) och cytokinreceptorns signalvägar. BTK:s signalering, via ytreceptorer på B-cellerna, resulterar i aktivering av signalvägar som är nödvändiga för B-cellernas proliferation, transport, kemotaxi och adhesion.
Farmakodynamisk effekt
BTK-beläggning i perifera mononukleära blodceller (PBMCer) och vävnadsprover från lymfkörtel
Steady-state för medianbeläggningen av BTK i perifera mononukleära blodceller upprätthölls till 100 % under 24 timmar vid en daglig dos på 320 mg hos patienter med B-cellsmaligniteter. Steady-state för medianbeläggningen av BTK i lymfkörtlar var 94 % till 100 % efter den rekommenderade dosen.
Effekt på QT-/QTc-intervallet och hjärtelektrofysiologi
Vid rekommenderade doser (320 mg en gång dagligen eller 160 mg två gånger dagligen) fanns inga kliniskt relevanta effekter på QTc-intervallet. Vid en enkeldos 1,5 gånger den maximala rekommenderade dosen (480 mg), förlängde zanubrutinib inte QT-intervallet i någon kliniskt relevant omfattning (dvs. ≥10 msek).
Klinisk effekt och säkerhet
Patienter med Waldenströms makroglobulinemi (WM)
Säkerhet och effekt för BRUKINSA vid WM utvärderades i en randomiserad, öppen, multicenterstudie som jämförde zanubrutinib och iburutinib (ASPEN-studie, BGB-3111-302) hos patienter som var BTK-hämmarnaiva. Patienter som uppfyllde studiens kriterier var minst 18 år och hade en kliniskt och histologiskt definitiv diagnos på recidiverande/refraktär eller behandlingsnaiv WM då de ansågs olämpliga för standardregimer med kemo-immunterapi av sin behandlande läkare. Patienter skulle uppfylla minst ett kriterium för behandling enligt konsensuskriterierna från Seventh International Workshop on Waldenström’s Macroglobulinemia (IWWM) och ha en mätbar sjukdom, definierad som en IgM-serumnivå på >0,5 g/dl. Patienter med en MYD88-mutation (MYD88MUT) tilldelades till kohort 1 (N = 201) och randomiserades 1:1 till att få antingen zanubrutinib 160 mg två gånger dagligen (arm A) eller ibrutinib 420 mg en gång dagligen (arm B) fram till sjukdomsprogression eller oacceptabel toxicitet. Patienter som befanns ha MYD88 av vildtyp (MYD88WT) genom gensekvensering (beräknas finnas hos cirka 10 % av de inskrivna patienterna), skrevs in till kohort 2 (N = 28) och fick zanubrutinib 160 mg två gånger dagligen i en tredje, icke-randomiserad, studiearm (arm C).
I kohort 1 (MYD88MUT) var medianåldern 70 år (intervall: 38 till 90 år), med 71 % och 60 % av patienterna som behandlades med ibrutinib respektive zanubrutinib i åldern >65 år gamla. 33 % av patienterna i zanubrutinib-armen och 22 % i ibrutinib var >75 år. 67 % var män och 91 % var kaukasiska. Vid studiens start hade 44 % av patienterna i ibrutinib-armen och 46 % av patienterna i zanubrutinib-armen ett högt International Prognostic Scoring System (IPSS). Hundrasextiofyra patienter hade återfall eller refraktär sjukdom; medianantalet tidigare behandlingar var 1 (intervall 1 till 8).
Det primära resultatmåttet var frekvensen av fullständig respons (CR) eller mycket bra partiell respons (VGPR), enligt utvärdering av en oberoende granskningskommitté (IRC) med anpassning av de responskriterier som uppdaterats vid Sixth IWWM. De sekundära effektmåtten för kohort 1 omfattar huvudsaklig responsfrekvens (MRR), varaktighet av respons, hastighet för fullständig respons (CR) eller mycket bra partiell respons (VGPR) som fastställs av prövaren och progressionsfri överlevnad (PFS).
Testerna för överlägsenheten hos det primära effektmåttet VGPR eller CR krävde testning i den återfallande/refraktära analysuppsättningen före testning i ITT-analysuppsättningen. Medianuppföljningen var 19,4 månader. Hos de återfallande/refraktära patienterna uppnådde 19,8 % och 28,9 % VGPR eller CR på armarna för ibrutinib respektive zanubrutinib. Det primära effektmåttet för effekt var inte signifikant i uppsättningen för återfalls/refraktär analys (2-sidig p=0,1160). Tabell 5 sammanfattar svaren som bedömts av IRC för uppsättningen med återfalls/reafraktär och ITT-analys. Svar observerades med zanubrutinib i undergrupper, inklusive MYD88WT-patienter (kohort 2) som hade en VGPR- eller CR-frekvens på 26,9 % och en MRR på 50 %.
Tabell 5: Primär analys av sjukdomsrespons från oberoende granskningskommitté (ASPEN-studie)
Procenttalen baseras på N.
a dubbelsidigt konfidensintervall på 95 % beräknat med Clopper-Pearsons metod.
b 95 % konfidensintervall för den vanligaste riskskillnaden enligt Mantel-Haenszels metodik beräknat med användning av en normalfördelning och Satos standardfel som har stratifierats efter stratifieringsfaktorer per IRT (strata CXCR4 WT och UNK har sammanlagts) och åldersgrupp (≤65 och >65). Referensgruppen är Ibrutinib.
c Baserat på det CMH-test som stratifierats enligt stratifieringsfaktorer per IRT (strata CXCR4 WT och UNK har lagts samman) och åldersgrupp (≤65 och >65)
d Frånvaro av händelse beräknas enligt Kaplan-Meier-metoden med uppskattningsvis 95 % KI enligt Greenwoods formel.
Baserat på ett uppdaterat cut-off för datainsamling var den progressionsfria händelsefria frekvensen enligt utredarens bedömning 77,6 % mot 84,9 % efter 30 månader (ibrutinib vs zanubrutinib), med en uppskattad total riskkvot på 0,734 (95 % KI: 0,380, 1,415).
Patienter med marginalzonslymfom (MZL)
Effekten av zanubrutinib utvärderades i en öppen, enarmad multicenterstudie i fas två med 68 patienter med MZL som hade fått minst en tidigare anti-CD20-baserad behandling (MAGNOLIA-studien, BGB-3111-214). Tjugosex (38,2 %) patienter hade extranodal MZL, 26 (38,2 %) hade nodal MZL, 12 (17,6 %) hade mjält-MZL och hos 4 (6 %) patienter var subtypen okänd. Zanubrutinib gavs oralt i en dos på 160 mg två gånger dagligen tills sjukdomsprogression eller oacceptabel toxicitet uppstod. Patienternas medianålder var 70 år (intervall: 37 till 95) och 53 % var män. Mediantiden sedan initial diagnos var 61,5 månader (intervall: 2,0 till 353,6). Medianantalet tidigare behandlingar var 2 (intervall: 1 till 6) och 27,9 % av patienterna fick 3 eller fler linjer av systemisk behandling; 98,5 % (n=67) av patienterna hade fått tidigare rituximab-baserad cytostatikabehandling och 85,3 % (n=58) av patienterna hade fått tidigare behandling med alkylerande medel; 5,9 % av patienterna (n=4) hade genomgått tidigare stamcellstransplantation. Sextiotre (92,6 %) patienter hade vid baslinjen en ECOG-prestandastatus på 0 eller 1. Tjugotvå (32,4 %) patienter hade refraktär sjukdom vid studiestart. Tumörresponsen var i enlighet med Lugano Classification från 2014 och det primära effektmåttet var den totala responsfrekvensen enligt bedömningen av en oberoende granskningskommitté (IRC) (tabell 6).
Tabell 6: Effektresultat hos patienter med MZL av en oberoende granskningskommitté (MAGNOLIA-studien)
a Två patienter i BGB-3111-214 kunde inte utvärderas med avseende på effekt på grund av central bekräftelse av transformation av MZL till diffust storcelligt B-cellslymfom.
b Händelsefri frekvens beräknad enligt Kaplan-Meier-metoden med 95 % konfidensintervall som uppskattades enligt Greenwoods formel.
ORR: total responsfrekvens, CR: fullständig respons, PR: partiell respons, DoR: responsens varaktighet, CI: konfidensintervall, NE: ej uppskattningsbar
I BGB-3111-214 var mediantiden till respons 2,79 månader (intervall: 1,7 till 11,1 månader). Efter en median studieuppföljningstid på 28,04 månader (intervall: 1,64 till 32,89 månader) hade den mediana varaktigheten för respons (DOR) enligt bedömning av den oberoende granskningskommittén inte uppnåtts (95 % CI 25,0 månader till NE) och totalt 72,9 % (95 % CI 54,4 till 84,9) av patienterna med respons uppskattades vara händelsefria vid 24 månader efter initial respons.
De övergripande responsfrekvenser som observerades var desamma i tre olika MZL-subtyper (extranodal, nodal och mjälte).
Patienter med kronisk lymfatisk leukemi (KLL)
Effekten av BRUKINSA hos patienter med KLL utvärderades i två randomiserade, kontrollerade studier.
SEQUOIA-studien (BGB-3111-304): En internationell, öppen, randomiserad fas 3-studie av zanubrutinib jämfört med bendamustin plus rituximab (BR) hos patienter med tidigare obehandlad KLL
SEQUOIA-studien (BGB-3111-304) är en randomiserad multicenter, öppen, aktiv kontrollerad fas 3-studie av zanubrutinib som monoterapi och bendamustin i kombination med rituximab hos 479 patienter med tidigare obehandlad KLL utan 17p-deletion (del(17p)) (arm A och B; kohort 1). Arm C (kohort 2) är en enarmad multicenter-studie av zanubrutinib som monoterapi hos 110 patienter med tidigare obehandlad KLL med centralt bekräftad del(17p).
Bägge kohorterna inkluderade patienter som var 65 år och äldre samt patienter i åldern 18‑65 år som inte var lämpade för kemo-immunterapi med fludarabin, cyklofosfamid och rituximab (FCR).
Demografiska egenskaper och baslinje-egenskaper var generellt väl avvägda mellan arm A (zanubrutinib) och arm B (BR) i kohort 1. I båda armarna var medianåldern 70 år, med en något högre andel patienter ≥ 75 år (26,1 %) i arm A jämfört med arm B (22,3 %) och en något lägre andel patienter i åldern 65‑75 år (55,2 %) i arm A jämfört med arm B (58,4 %). I kohort 1 hade 92,7 % av patienterna vid baslinjen en ECOG-prestandastatus på 0 eller 1 (93,7 % i arm A och 91,6 % i arm B). I kohort 2 (arm C zanubrutinib) hade 87,3 % av patienterna vid baslinjen en ECOG-prestandastatus på 0 eller 1.
Demografiska egenskaper och baslinje-egenskaper var generellt väl avvägda också mellan arm A (zanubrutinib) i kohort 1 och arm C (zanubrutinib) i kohort 2.
I kohort 1 stratifierades randomiseringen efter ålder (< 65 år jämfört med ≥ 65 år), Binet-stadium (C jämfört med A eller B), mutationsstatus (muterad jämfört med omuterad) för variabel del av immunoglobulin tung kedja (immunoglobulin variable region heavy chain, IGHV) och geografisk region (Nordamerika jämfört med Europa jämfört med Asien och Stillahavsområdet). Totalt 479 patienter randomiserades (intent-to-treat [ITT] -analyspopulation), 241 patienter till zanubrutinib som kontinuerlig monoterapi och 238 patienter till 6 behandlingscykler med bendamustin och rituximab (BR).
I kohort 1 fick patienterna i zanubrutinib-arm A 160 mg två gånger dagligen fram till sjukdomsprogression eller oacceptabel toxicitet. I arm B fick patienterna bendamustin vid en dos på 90 mg/m2/dag under de första 2 dagarna av varje cykel i 6 cykler samt rituximab vid en dos på 375 mg/m2 under cykel 1 och 500 mg/m2 under cykel 2‑6. Varje behandlingscykel bestod av cirka 28 dagar. I kohort 2 (arm C) fick patienterna zanubrutinib 160 mg två gånger dagligen fram till sjukdomsprogression eller oacceptabel toxicitet.
För kohort 1 var det primära resultatmåttet progressionsfri överlevnad (PFS), bedömt av en oberoende central granskningskommitté (IRC). De sekundära resultatmåtten omfattade bl.a. total responsfrekvens (ORR) baserat på IRC-bedömning.
I kohort 1 var den mediana varaktigheten för uppföljning för PFS 25,0 månader (intervall: 0,0 till 41,4). PFS-frekvensen vid 24 månader var 85,5 % (95 % KI: 80,1; 89,6) för zanubrutinib och 69,5 % (95 % KI: 62,4; 75,5) för BR. I kohort 2 var den mediana varaktigheten för uppföljning för PFS 27,9 månader (intervall: 1,0 till 38,8) och PFS-frekvensen vid 24 månader 88,9 % (95 % KI: 81,3; 93,6). ORR bedömt av IRC i kohort 2 var 90,0 % (95 % KI: 82,8; 94,9). Mediantiden till partiell respons eller högre enligt bedömning av IRC var 2,89 månader (intervall: 1,8; 14,2) respektive 2,86 månader (intervall: 1,9; 13,9) i zanubrutinib-armen i kohort 1 och kohort 2.
Effektresultaten för kohort 1 presenteras i Tabell 7. Kaplan-Meier-kurvor för PFS för båda armarna i kohort 1 visas i Figur 1.
Tabell 7: Effektresultat i SEQUOIA-studien
Total responsfrekvens: CR+CRi+nPR+PR+PR-L, CR: fullständig respons, CRi: fullständig respons med ofullständig hematopoetisk återhämtning, nPR: nodulär partiell respons, PR-L: partiell respons med lymfocytom, KI: konfidensintervall, IU: icke uppskattningsbart, median uppföljningstid för PFS var 25,0 månader (95 % KI: 24,6; 25,2).
* ITT-analyspopulation.
† Bedömt av oberoende central granskningskommitté (ICR). a Baserat på Kaplan-Meier-uppskattning. b Baserat på en stratifierad Cox-regressionsmodell med bendamustin + rituximab som referensgrupp. c Baserat på ett stratifierat log-rank test.
Vid en uppdaterad ad hoc-analys med en medianuppföljning på 33,5 månader för PFS förblev den utredarbedömda PFS i överensstämmelse med den primära analysen med en HR på 0,33 (95 % KI: 0,22 till 0,48, beskrivande P<0,0001) i zanubrutinib-armen över BR-armen. Median PFS uppnåddes inte med zanubrutinib-armen och var 39,2 månader för BR-armen. 36 månader efter randomiseringen uppskattades 83,6 % av patienterna som behandlades med zanubrutinib och 55,1 % med BR vara progressionsfria och levande. Med en medianuppföljning på 35,8 månader nåddes inte median OS för båda armarna; 36-månaders OS-frekvensuppskattningen var 90,9 % (95 % KI: 86,3 till 94,0) i zanubrutinib-armen respektive 89,5 % (95 % KI: 84,2 till 93,1) i BR-armen.
Figur 1: Kaplan-Meier-kurva för IRC-bedömd PFS i SEQUOIA-studien kohort 1 (ITT-population)
ALPINE-studien (BGB-3111-305): En randomiserad fas 3-studie av zanubrutinib jämfört med ibrutinib hos patienter med recidiverande/refraktär (R/R) KLL
ALPINE-studien (BGB-3111-305) är en randomiserad multicenter, öppen, aktiv kontrollerad fas 3-studie. Den inkluderade 652 patienter med recidiverande eller refraktär KLL efter minst en tidigare systemisk behandling. Patienterna randomiserades till antingen zanubrutinib 160 mg oralt två gånger dagligen eller ibrutinib 420 mg oralt en gång dagligen fram till sjukdomsprogression eller oacceptabel toxicitet.
Randomiseringen var stratifierad efter ålder (< 65 år jämfört med ≥ 65 år), geografisk region (Kina jämfört med icke-Kina), refraktär status (ja eller nej) och del(17p)/TP53-mutationsstatus (närvarande eller frånvarande).
Demografiska egenskaper och sjukdomsegenskaper vid baslinjen var generellt väl avvägda mellan behandlingsarmarna i ITT-analyspopulationen och hos de första 415 randomiserade patienterna.
I ITT-analyspopulationen var medianåldern 67,0 år i zanubrutinib-armen och 68,0 år i ibrutinib-armen. Merparten av patienterna i bägge armarna hade en ECOG-PS på 0 eller 1 (97,9 % i zanubrutinib-armen; 96,0 % i ibrutinib-armen). Samma demografiska egenskaper och baslinje-egenskaper observerades hos de första 415 randomiserade patienterna. Det mediana antalet av tidigare linjer med systemisk behandling är 1,0 i zanubrutinib-armen (intervall: 1 till 6) och 1,0 i ibrutinib-armen (intervall: 1 till 8) i både ITT-analyspopulationen och hos de första 415 randomiserade patienterna.
Patienter som tidigare behandlats med en BTK-hämmare var exkluderade från studie 305 och data för zanubrutinib efter tidigare behandling med BCL 2-hämmare är begränsade.
Av totalt 652 patienter tilldelades 327 till zanubrutinib som monoterapi och 325 till ibrutinib som monoterapi. Effektutvärderingen är baserad på den förspecificerade interimsanalysen av de första 415 randomiserade patienterna i ITT-populationen. Av dessa randomiserades 207 till zanubrutinib som monoterapi och 208 till ibrutinib som monoterapi. Effektresultaten presenteras i tabell 8.
Det primära resultatmåttet var total responsfrekvens (ORR, definierat som partiell respons eller bättre).
Vid den förspecificerade interimsanalysen av ORR hos de första 415 randomiserade patienterna uppvisade zanubrutinib icke-inferioritet (1-sidigt p < 0,0001) och superioritet (2-sidigt p = 0,0006) jämfört med ibrutinib i fråga om det protokollspecificerade primära resultatmåttet ORR bedömt av prövaren. Respons enligt fastställande av IRC uppvisade också icke-inferioritet för zanubrutinib jämfört med ibrutinib (1-sidigt p < 0,0001). Vid den slutliga ORR-analysen bedömer prövaren att ORR fortfarande är högre (79,5 % jämfört med 71,1 %) i zanubrutinib-armen jämfört med ibrutinib-armen (deskriptivt p = 0,0133); ORR fastställt av IRC var också signifikant högre i zanubrutinib-armen jämfört med ibrutinib-armen, med en bevisad superioritet (80,4 % respektive 72,9 %; 2-sidigt p = 0,0264).
Effektresultaten vid den slutliga ORR-analysen för samtliga 652 randomiserade patienter presenteras i Tabell 7.
Tabell 8: Effektresultat i ALPINE-studien (slutlig analys av samtliga 415 randomiserade patienter) av utredare (protokolldefinierad primärt effektmått) och IRC-bedömning
Total responsfrekvens: CR + CRi + nPR + PR, CR: fullständig respons, CRi: fullständig respons med ofullständig hematopoetisk återhämtning, nPR: nodulär partiell respons, PR: partiell respons, KI: konfidensintervall.
* Median varaktighet av respons enligt bedömning av prövaren uppnåddes inte i zanubrutinib-armen vid den slutliga analysen, median studieuppföljningstid var 15,31 månader (intervall: 0,1; 23,1) i zanubrutinib-armen och 15,43 månader (intervall: 0,1; 26,0) i ibrutinib-armen.
§ Hypotestestning för icke-inferioritet av ORR vid interimsanalysen baseras endast på de första 415 randomiserade patienterna med en 1-sidig signifikansnivå på 0,005
a Responskvot: uppskattad kvot av den totala responsfrekvensen i zanubrutinib-armen dividerad med den i ibrutinib-armen.
b Stratifierat test mot en nollad responskvot på 0,8558.
c Stratifierat Cochran-Mantel-Haenszel-test.
d Kaplan-Meier-uppskattning.
Mediantiden till respons enligt prövarens bedömning vid interimsanalysen av ORR hos de första 415 randomiserade patienterna var 5,59 månader (intervall: 2,7; 14,1) i zanubrutinib-armen och 5,65 månader (intervall: 2,8; 16,7) i ibrutinib-armen. Detta var förenligt med resultaten i bedömningen av IRC (5,55 månader jämfört med 5,63 månader i zanubrutinib- respektive ibrutinib-armen). Vid den slutliga ORR-analysen av samtliga 652 randomiserade patienter var mediantiden till respons oförändrad (5,59 månader jämfört med 5,65 månader enligt prövarens bedömning och 5,52 månader jämfört med 5,62 månader enligt IRC-bedömningen i zanubrutinib- respektive ibrutinib-armen).
Hos patienter med del(17p)-mutation i populationen med de första 415 randomiserade patienterna var ORR enligt prövarens bedömning 83,3 % (95 % KI 62,5; 95,3; 20 av 24 patienter) i zanubrutinib-armen och 53,8 % (95 % KI 33,4; 73,4; 14 av 26 patienter) i ibrutinib-armen. Baserat på IRC-bedömningen var ORR 79,2 % (95 % KI 57,8; 92,9; 19 av 24 patienter) i zanubrutinib-armen och 61,5 % (95 % KI 40,6; 79,8; 16 av 26 patienter) i ibrutinib-armen. Vid den slutliga ORR-analysen av samtliga 652 randomiserade patienter var ORR enligt prövarens bedömning 86,7 % (95 % KI 73,2; 94,9; 39 av 45 patienter med del(17p)-mutation) i zanubrutinib-armen och 56,0 % (95 % KI 41,3; 70,0; 28 av 50 patienter med del(17p)-mutation) i ibrutinib-armen. Baserat på IRC-bedömningen var ORR 86,7 % (95 % KI 73,2; 94,9; 39 av 45 patienter med del(17p)-mutation) i zanubrutinib-armen och 64,0 % (95 % KI 49,2; 77,1; 32 av 50 patienter med del(17p)-mutation) i ibrutinib-armen.
Totalt 652 patienter var inkluderade vid den förspecificerade tidpunkten för slutlig PFS-analys (brytdatum 8 augusti 2022). Den mediana uppföljningstiden för PFS 28,1 månader enligt bedömning av prövare och 30,7 månader enligt bedömning av IRC. Zanubrutinib uppvisade superioritet i PFS jämfört med ibrutinib enligt bedömning av prövare och IRC. Totalt 652 patienter skrevs in. Effektresultaten för PFS enligt bedömning av prövare och IRC presenteras i tabell 9, och ett Kaplan-Meier-diagram om PFS enligt bedömning av IRC finns i figur 2.
Tabell 9: Effektresultat i ALPINE-studien (förspecificerad slutlig PFS-analys av samtliga 652 randomiserade patienter) enligt bedömning av prövare respektive IRC (brytdatum 8 augusti 2022)
* Av oberoende central granskningskommitté.
a Baserat på en stratifierad Cox-regressionsmodell med ibrutinib som referensgrupp.
b Baserat på ett stratifierat log-rank-test.
Figur 2: Kaplan-Meier-diagram av progressionsfri överlevnad enligt oberoende central granskning (ITT) (brytdatum 8 augusti 2022)
Hos patienter med del(17p)/TP53-mutation var riskkvoten för progressionsfri överlevnad enligt prövarens bedömning 0,53 (95 % KI 0,31; 0,88). Baserat på en oberoende granskning var riskkvoten 0,52 (95 % KI 0,30; 0,88) (figur 3).
Figur 3: Kaplan-Meier-diagram av progressionsfri överlevnad enligt oberoende central granskning för patienter med del 17P eller TP53 (ITT) (brytdatum 8 augusti 2022)
Med en uppskattad median uppföljning på 32,8 månader uppnåddes inte den mediana totala överlevnaden i någondera armen och 17 % av patienterna upplevde en händelse.
Patienter med follikulärt lymfom (FL)
Effekten av zanubrutinib i kombination med obinutuzumab jämfört med obinutuzumab bedömdes i ROSEWOOD-studien (BGB-3111-212), en randomiserad, öppen, multicenterstudie i fas 2. Totalt inkluderades 217 patienter med recidiverande (definierat genom sjukdomsprogression efter slutförande av den allra senaste behandlingen) eller refraktär (definierat som icke-uppnådd CR eller PR på den allra senaste behandlingen) follikulärt lymfom (FL) av grad 1‑3a som tidigare hade fått minst två systemiska behandlingar, inklusive en anti-CD20-antikropp och en lämplig alkylatorbaserad kombinationsbehandling. Patienterna randomiserades i förhållandet 2:1 till antingen zanubrutinib 160 mg oralt två gånger dagligen fram till progressiv sjukdom eller oacceptabel toxicitet, i kombination med obinutuzumab 1 000 mg intravenöst (arm A) eller enbart obinutuzumab (arm B). Obinutuzumab gavs Dag 1, 8, och 15 i den första cykeln och därefter Dag 1 i cykel 2‑6. Varje cykel var 28 dagar lång. Patienterna fick valfri underhållsbehandling med obinutuzumab, en infusion varannan cykel, med högst 20 doser.
Patienter som randomiserades i obinutuzumab-armen fick byta arm och få kombinationen av zanubrutinib plus obinutuzumab i händelse av progressiv sjukdom eller avsaknad av respons (definierat genom stabil sjukdom som bästa respons) efter 12 cykler.
Randomiseringen var stratifierad enligt antalet tidigare behandlingar (2‑3 jämfört med > 3), rituximab-refraktär status (ja jämfört med nej) och geografisk region (Kina jämfört med övriga länder).
Demografiska egenskaper och baslinje-egenskaper var generellt väl avvägda mellan armen som fick zanubrutinib-kombinationen och armen som fick obinutuzumab som monoterapi hos de 217 randomiserade patienterna. Medianåldern var 64 år (intervall: 31‑88), 49,8 % var män och 64,1 % var vita. De flesta (97,2 %) av patienterna hade en ECOG-prestandastatus på 0 eller 1 vid baslinjen.
Vid screening var de flesta patienterna Ann Arbor stadium III eller IV (179 patienter [82,5 %]). Åttioåtta patienter (40,6 %) hade ”bulky disease” (definierat som > 1 mållesion > 5 cm i diameter vid baslinjen). Etthundratjugotre patienter (56,7 %) uppfyllde GELF-kriterierna.
Det mediana antalet tidigare cancerbehandlingar var tre behandlingslinjer (intervall 2‑11 behandlingslinjer). Alla 217 patienter hade fått > 2 tidigare behandlingslinjer som inkluderade rituximab-behandling (som monoterapi eller i kombination med cytostatika), och 59 av de 217 patienterna (27,2 %) hade fått > 3 tidigare behandlingslinjer. Av de 217 patienterna var 114 (52,5 %) refraktära mot rituximab (definierat som utebliven respons på eller progression under någon tidigare regim innehållande rituximab [monoterapi eller kombinerat med cytostatika], eller progression inom 6 månader efter den sista rituximab-dosen, inom ramen för induktions- eller underhållsbehandling). Tolv (5,5 %) patienter hade tidigare behandlats med obinutuzumab.
Av totalt 217 patienter randomiserades 145 till armen som fick zanubrutinib-kombinationen och 72 randomiserades till armen som fick obinutuzumab som monoterapi. Den mediana uppföljningstiden visas i tabell 10. Den mediana exponeringstiden var 12,4 månader vid brytdatum för datainsamling den 31 december 2024.
Av 72 patienter som randomiserades till armen som fick obinutuzumab som monoterapi var det 36 som valde att gå över till kombinationsbehandlingen.
Det primära resultatmåttet för effekt var total responsfrekvens (definierat som partiell respons eller fullständig respons) fastställt genom en oberoende central granskning som använde Lugano-klassificeringen för non-Hodgkins lymfom (NHL). De huvudsakliga sekundära resultatmåtten omfattade responsens varaktighet (DoR), progressionsfri överlevnad (PFS) och total överlevnad (OS).
Effektresultaten sammanfattas i tabell 10 och figur 4
Tabell 10: Effektresultat enligt oberoende central granskning (ITT) (ROSEWOOD-studien)
Total responsfrekvens: CR + PR, CR: fullständig respons, PR: partiell respons.
a Beräknat med Clopper-Pearsons metod.
b Cochran-Mantel-Haenszel-metod stratifierat enligt rituximab-refraktär status, antal tidigare behandlingslinjer och geografisk region enligt IRT.
c Medianer uppskattade enligt Kaplan-Meier-metoden; 95 % konfidensintervall (KI) beräknat enligt Brookmeyer-Crowley-metoden.
d DoR-frekvenser uppskattade enligt Kaplan-Meier-metoden; 95% 95 % konfidensintervall beräknat enligt Greenwoods formel. DoR kontrollerades inte för typ I-fel och konfidensintervallen är nominella.
Figur 4: Kaplan-Meier-diagram av progressionsfri överlevnad enligt oberoende central granskning (ITT)
Arm A, Zanubrutinib + Obinutuzumab; Arm B, Obinutuzumab
Total överlevnad
Den 31 december 2024 hade 51 patienter (35,2 %) i kombinationsarmen och 33 patienter (45,8 %) i armen som fick obinutuzumab som monoterapi avlidit. Vid 18 månader var den totala överlevnadsfrekvens 84,1 % (95 % KI: 76,6; 89,3) i kombinationsarmen och 71,5 % (95 % KI: 59,0; 80,8) i armen som fick obinutuzumab som monoterapi. Analysen av total överlevnad kan vara missvisande genom att 36 patienter (50,0 %) gick över från armen som fick obinutuzumab som monoterapi till kombinationsarmen.
Pediatrisk population
Europeiska läkemedelsmyndigheten har beviljat undantag från kravet att skicka in studieresultat för BRUKINSA för alla grupper av den pediatriska populationen för behandling av lymfoplasmacytiskt lymfom och för behandling av mogna B-cellstumörer (information om pediatrisk användning finns i avsnitt 4.2).
Brukinsa finns som hårda kapslar (80 mg) och filmdragerade tabletter (160 mg). Jämförande biotillgänglighets- och bioekvivalensstudier indikerade att under fastande tillstånd är Cmax 1,2 gånger högre och AUC är bioekvivalent för tablettberedningen jämfört med kapselberedningen. Under icke‑fastande tillstånd var Cmax 1,5 till 1,8 gånger högre och AUC 1,1 till 1,2 gånger högre för tablettberedningen jämfört med kapselberedningen. Förhållandet exponering‑säkerhet visade att den högre exponeringen med tablettberedningen inte leder till ytterligare säkerhetsproblem.
Maximal plasmakoncentration (Cmax) av Zanubrutinib och området under läkemedelskoncentrationen i plasma under tidskurvan (AUC) ökar proportionellt under ett dosintervall från 40 mg till 320 mg (0,13 till 1 gång den rekommenderade totala dagliga dosen). Begränsad systemisk ansamling av zanubrutinib observerades efter upprepad administrering under en vecka.
Det geometriska medelvärdet (% CV) för dagligt steady-state AUC av zanubrutinib är 2,099 (42 %) ng·h/ml efter 160 mg två gånger dagligen och 1,917 (59 %) ng·h/ml efter 320 mg en gång dagligen. Det geometriska medelvärdet (% CV) för steady-state Cmaxav zanubrutinib är 299 (56 %) ng/ml efter 160 mg två gånger dagligen och 533 (55 %) ng/ml efter 320 mg en gång dagligen.
Absorption
Medianvärdet för tmax av zanubrutinib är 2 timmar. Inga kliniskt betydelsefulla skillnader för AUC eller Cmax av zanubrutinib observerades efter administrering av en fettrik måltid (cirka 1 000 kalorier med 50 % av det totala kaloriinnehållet från fett) hos friska försökspersoner.
Distribution
Det geometriska medelvärdet (% CV) för clearance vid steady-state av distributionsvolymen för zanubrutinib under slutfasen (Vz/F) var 522 l (71 %). Plasmaproteinbindningen av zanubrutinib är cirka 94 % och förhållandet blod/plasma var 0,7–0,8.
Metabolism
Zanubrutinib metaboliseras primärt av cytokrom P450(CYP)3A.
Eliminering
Den genomsnittliga halveringstiden (t½) för zanubrutinib är cirka 2–4 timmar efter en enda oral dos av zanubrutinib på 160 mg eller 320 mg. Det geometriska medelvärdet (% CV) för apparent oral clearance (CL/F) av zanubrutinib under slutfasen var 128 (61 %) l/h. Efter en enda dos av radioaktivt märkt zanubrutinib på 320 mg till friska försökspersoner, återfanns cirka 87 % av dosen i avföringen (38 % oförändrad) och 8 % i urinen (mindre än 1 % oförändrad).
Särskilda populationer
Äldre
Ålder (19–90 år, medelålder 65 ± 12,5) hade ingen kliniskt meningsfull effekt på farmakokinetik för zanubrutinib baserat på farmakokinetisk populationsanalys (N = 1 291).
Kön
Kön (872 män och 419 kvinnor) hade ingen kliniskt meningsfull effekt på farmakokinetik för zanubrutinib baserat på farmakokinetisk populationsanalys.
Ras
Ras (964 vita, 237 asiatiska, 30 svarta och 25 kategoriserade som övriga) hade ingen kliniskt meningsfull effekt på farmakokinetik för zanubrutinib baserat på farmakokinetisk populationsanalys.
Kroppsvikt
Kroppsvikt (36–149 kg, medelvikt 76,5±16,9) hade ingen kliniskt meningsfull effekt på farmakokinetik för zanubrutinib baserat på farmakokinetisk populationsanalys (N=1 291).
Nedsatt njurfunktion
Zanubrutinib genomgår minimal renal elimination. Baserat på farmakokinetisk populationsanalys, hade lindrig och måttlig njurinsufficiens (kreatininclearance [CrCl] ≥30 ml/min beräknad enligt Cockcroft-Gaults formel) ingen effekt på exponeringen för zanubrutinib. Analysen baserades på 362 patienter med normal njurfunktion, 523 med lätt nedsatt njurfunktion, 303 med måttligt nedsatt njurfunktion, 11 med svårt nedsatt njurfunktion och en med ESRD. Effekten av svår njurinsufficiens (CrCl <30 ml/min) och dialys på farmakokinetik för zanubrutinib är okänd.
Nedsatt leverfunktion
Den totala AUC för zanubrutinib ökade med 11 % hos patienter med lindrigt nedsatt leverfunktion (Child-Pugh klass A), med 21 % hos patienter med måttligt nedsatt leverfunktion (Child-Pugh klass B) och med 60 % hos patienter med svårt nedsatt leverfunktion (Child-Pugh klass C) i förhållande till patienter med normal leverfunktion. Obunden AUC för zanubrutinib ökade med 23 % hos patienter med lindrigt nedsatt leverfunktion (Child-Pugh klass A), med 43 % hos patienter med måttligt nedsatt leverfunktion (Child-Pugh klass B), och med 194 % hos patienter med svårt nedsatt leverfunktion (Child-Pugh klass C) i förhållande till patienter med normal leverfunktion. En signifikant korrelation observerades mellan Child-Pugh-poängen, serumalbumin vid baslinjen, bilirubin vid baslinjen och protrombintiden vid baslinjen med obundet zanubrutinib AUC.
In vitro-studier
CYP-enzymer
Zanubrutinib är en svag inducerare av CYP2B6 och CYP2C8. Zanubrutinib är inte en inducerare av CYP1A2.
Samtidig administrering med transportsubstrat/-hämmare
Zanubrutinib är sannolikt ett substrat för P-gp. Zanubrutinib är inte ett substrat eller hämmare av OAT1, OAT3, OCT2, OATP1B1 eller OATP1B3.
Farmakodynamiska interaktioner
En in vitro-studie visade att den potentiella farmakodynamiska interaktionen mellan zanubrutinib och rituximab är låg och det är osannolikt att zanubrutinib kommer att störa den anti-CD20-antikroppsinducerade ADCC-effekten.
In vitro-, ex vivo- och djurstudier visade att zanubrutinib inte hade några eller minimala effekter på trombocytaktivering, glykoproteinuttryck och trombbildning.
Allmän toxicitet
De allmänna toxikologiska profilerna för zanubrutinib karakteriserades oralt hos Sprague-Dawley-råttor för upp till 6 månaders behandling och hos beaglehundar för upp till 9 månaders behandling.
I upprepade dosstudier hos råttor med upp till 6 månaders behandling noterades testartikelrelaterad mortalitet vid en dos på 1 000 mg/kg/dag (81x klinisk AUC) med histopatologiska fynd i magtarmkanalen. Andra fynd noterades främst i bukspottkörteln (atrofi, fibroplasi, blödning och/eller inflammatorisk cellinfiltration) vid doserna ≥ 30 mg/kg/dag (3x klinisk AUC), i huden kring nosen/munnen/ögonen (inflammatorisk cellinfiltration, erosion/sårbildning) från dosen 300 mg/kg/dag (16x klinisk AUC) och i lungan (förekomst av makrofager i alveolärerna) vid en dos på 300 mg/kg/dag. Alla dessa fynd återställdes helt eller delvis efter en återhämtningsperiod på 6 veckor, med undantag för fynden i bukspottskörteln som inte ansågs vara kliniskt relevanta.
I upprepade dosstudier hos hundar med upp till 9 månaders behandling noterades testartikelrelaterade fynd främst i magtarmsystemet (mjuk/vattnig/slemmig avföring), huden (utslag, röd missfärgning och förtjockning/flagning) och i mesenteriska, mandibulära och tarmassocierade lymfkörtlar och mjälte (lymfoid utarmning eller erytrofagocytos) vid doser från 10 mg/kg/dag till (3x klinisk AUC) till 100 mg/kg/dag (18x klinisk AUC). Alla dessa fynd återställdes helt eller delvis efter en återhämtningsperiod på 6 veckor.
Karcinogenicitet/genotoxicitet
Karcinogenicitetsstudier har inte genomförts med zanubrutinib.
Zanubrutinib var inte mutagent i en mutagenitetsanalys av bakterier (Ames), var inte klastogent i en kromosomaberrationstest i däggdjursceller (CHO) och var inte heller klastogent i en in vivo-analys av mikronukleus i benmärg hos råttor.
Utvecklings- och reproduktionstoxicitet
En kombinerad fertilitetsstudie med manlig och kvinnlig fertilitet och tidig embryonal utveckling utfördes på råttor vid orala zanubrutinib-doser på 30, 100 och 300 mg/kg/dag. Inga effekter på manlig eller kvinnlig fertilitet noterades men vid den högsta testade dosen noterades morfologiska avvikelser i spermier och ökad förlust efter implantation. Dosen på 100 mg/kg/dag är ungefär 13 gånger högre än den humana terapeutiska dosen.
Studier av embryo-fetal utvecklingstoxicitet genomfördes hos både råttor och kaniner. Zanubrutinib administrerades oralt till dräktiga råttor under organogenesperioden i doser på 30, 75 och 150 mg/kg/dag. Missbildningar i hjärtat (hjärtan med 2 eller 3 kammare hade en förekomst på 0,3 %–1,5 %) noterades i alla dosnivåer i frånvaro av maternell toxicitet. Dosen på 30 mg/kg/dag är cirka fem gånger högre än den humana terapeutiska exponeringen.
Administration av zanubrutinib till dräktiga kaniner under organogenesperioden på 30, 70 och 150 mg/kg/dag ledde till förlust efter implantation vid den högsta dosen. Dosen på 70 mg/kg är cirka 25 gånger högre än den humana terapeutiska exponeringen och förknippades med maternell toxicitet.
I en pre- och postnatal utvecklingstoxicitetsstudie, administrerades zanubrutinib oralt till råttor i doser på 30, 75 och 150 mg/kg/dag från implantation till och med avvänjning. Avkomman från grupperna som fick medelhög och hög dos minskade i kroppsvikt före avvänjning, och alla dosgrupper hade negativa okulära fynd (t.ex. starr, utstående öga). Dosen på 30 mg/kg/dag är cirka 5 gånger högre än den humana terapeutiska exponeringen.
Indigokarmin aluminiumlack (E132)
Ej relevant.
2 år.
Detta läkemedel kräver inga särskilda förvaringsanvisningar.
HDPE-burkar med en barnskyddande polypropylenförslutning. Varje kartong innehåller en burk med 60 filmdragerade tabletter.
Ej använt läkemedel och avfall ska kasseras enligt gällande anvisningar.
Tablettkärna
Laktosmonohydrat
Kroskarmellosnatrium
Natriumlaurylsulfat (E487)
Kolloidal vattenfri kiseldioxid
Povidon
Mikrokristallinsk cellulosa
Magnesiumstearat
Filmdragering
Hypromellos
Titandioxid (E171)
Triacetin
Brilliantblått FCF aluminiumlack (E133)
Indigokarmin aluminiumlack (E132)
Ej relevant.
2 år.
Detta läkemedel kräver inga särskilda förvaringsanvisningar.
HDPE-burkar med en barnskyddande polypropylenförslutning. Varje kartong innehåller en burk med 60 filmdragerade tabletter.
Ej använt läkemedel och avfall ska kasseras enligt gällande anvisningar.
Produktresumén är företagets information om läkemedlet riktat till förskrivare och personal inom sjukvård och apotek. Dokumentet är godkänt av Läkemedelsverket eller den europeiska läkemedelsmyndigheten EMA i samband med att läkemedlet godkänns för marknadsföring.