Tremfya 200 mg injektionsvätska, lösning i förfylld spruta
Tremfya 200 mg injektionsvätska, lösning i förfylld injektionspenna
Injektionsvätska, lösning (injektion)
Injektionsvätska, lösning (injektion) i förfylld injektionspenna (PushPen)
Lösningen är genomskinlig och färglös till ljusgul och kan innehålla ett fåtal små vita eller genomskinliga partiklar, med ett pH-målvärde på 5,8 och en ungefärlig osmolaritet på 367,5 mOsm/l.
Janssen-Cilag International NV
Turnhoutseweg 30
B-2340 Beerse
Belgien
Tremfya 200 mg injektionsvätska, lösning i förfylld spruta
EU/1/17/1234/006 1 förfylld spruta
EU/1/17/1234/007 2 förfyllda sprutor
Tremfya 200 mg injektionsvätska, lösning i förfylld injektionspenna
EU/1/17/1234/008 1 förfylld injektionspenna
EU/1/17/1234/009 2 förfyllda injektionspennor
Första godkännandet: 10 november 2017
Förnyat godkännande: 15 juli 2022
12/2025
Ytterligare information om detta läkemedel finns på Europeiska läkemedelsmyndighetens webbplats https://www.ema.europa.eu
Tremfya 200 mg injektionsvätska, lösning i förfylld spruta
En förfylld spruta innehåller 200 mg guselkumab i 2 ml lösning.
Tremfya 200 mg injektionsvätska, lösning i förfylld injektionspenna
En förfylld injektionspenna innehåller 200 mg guselkumab i 2 ml lösning.
Guselkumab är en helt human monoklonal antikropp (mAb) av typen immunglobulin-G1-lambda (IgG1λ) och produceras i celler från äggstockar från kinesisk hamster (CHO) med rekombinant DNA-teknik.
Hjälpämne(n) med känd effekt
Detta läkemedel innehåller 1 mg polysorbat 80 (E433) i varje förfylld spruta/förfylld injektionspenna, vilket motsvarar 0,5 mg/ml.
För fullständig förteckning över hjälpämnen, se avsnitt 6.1.
200 mg som administreras genom intravenös infusion vecka 0, 4 och 8. Se produktresumén för Tremfya 200 mg koncentrat till infusionsvätska, lösning.
eller
400 mg som administreras genom subkutan injektion (ges som två injektioner efter varandra på 200 mg vardera) vecka 0, vecka 4 och vecka 8.
Efter avslutad induktionsdosbehandling är den rekommenderade underhållsdosen 100 mg med början vecka 16, administrerat genom subkutan injektion var 8:e vecka. Alternativt, för patienter som enligt klinisk bedömning inte uppvisar tillräcklig terapeutisk nytta av induktionsbehandlingen, kan en underhållsdos på 200 mg administrerad genom subkutan injektion med början vecka 12 och därefter var 4:e vecka övervägas (se avsnitt 5.1). För dosen 100 mg, se produktresumén för Tremfya 100 mg injektionsvätska, lösning.
Behandling med immunmodulerande medel och/eller kortikosteroider kan fortsätta under behandling med guselkumab. Hos patienter som har svarat på behandling med guselkumab kan kortikosteroiderna minskas eller sättas ut i enlighet med standardbehandling.
Överväg att avbryta behandlingen hos patienter som inte har visat några tecken på terapeutisk nytta efter 24 veckors behandling.
Crohns sjukdom
En av de följande två induktionsdosbehandlingarna rekommenderas:
200 mg som administreras genom intravenös infusion vecka 0, vecka 4 och vecka 8. Se produktresumén för Tremfya 200 mg koncentrat till infusionsvätska, lösning.
eller
400 mg som administreras genom subkutan injektion (ges som två injektioner efter varandra på 200 mg vardera) vecka 0, vecka 4 och vecka 8.
Efter avslutad induktionsdosbehandling är den rekommenderade underhållsdosen 100 mg med början vecka 16, administrerat genom subkutan injektion var 8:e vecka. Alternativt, för patienter som enligt klinisk bedömning inte uppvisar tillräcklig terapeutisk nytta av induktionsbehandlingen, kan en underhållsdos på 200 mg, administrerad genom subkutan injektion med början vecka 12 och därefter var 4:e vecka, övervägas (se avsnitt 5.1). För dosen 100 mg, se produktresumén för Tremfya 100 mg injektionsvätska, lösning.
Behandling med immunmodulerande medel och/eller kortikosteroider kan fortsätta under behandling med guselkumab. Hos patienter som har svarat på behandling med guselkumab kan kortikosteroiderna minskas eller sättas ut i enlighet med standardbehandling.
Överväg att avbryta behandlingen hos patienter som inte har visat några tecken på terapeutisk nytta efter 24 veckors behandling.
Utebliven dos
Om en dos missas ska dosen administreras så snart som möjligt. Därefter ska doseringen återupptas vid den ordinarie schemalagda tidpunkten.
Särskilda populationer
Äldre
Ingen dosjustering krävs (se avsnitt 5.2).
Det finns begränsad information om behandling av patienter ≥ 65 år och mycket begränsad information om behandling av patienter ≥ 75 år (se avsnitt 5.2).
Nedsatt njur- eller leverfunktion
Tremfya har inte studerats i dessa patientpopulationer. Dessa tillstånd förväntas i allmänhet inte ha någon betydande inverkan på farmakokinetiken för monoklonala antikroppar, och inga dosjusteringar anses nödvändiga. För ytterligare information om eliminering av guselkumab, se avsnitt 5.2.
Pediatrisk population
Säkerhet och effekt för Tremfya för barn och ungdomar med ulcerös kolit och Crohns sjukdom under 18 år har inte fastställts. Inga data finns tillgängliga.
Administreringssätt
Endast subkutan användning. Injektionsställen är bland annat buken, låret och baksidan av överarmen. Tremfya ska inte injiceras i områden där huden är öm, har blåmärken, röd, hård, tjock eller fjällig.
Efter adekvat utbildning i subkutan injektionsteknik kan patienter injicera Tremfya om en läkare bedömer att detta är lämpligt. Läkaren bör dock säkerställa lämplig medicinsk uppföljning för patienterna. Patienterna ska instrueras att injicera hela mängden lösning i enlighet med ”Bruksanvisningar” som levereras i kartongen.
Anvisningar om förberedelse av läkemedlet före administrering finns i avsnitt 6.6.
Allvarlig överkänslighet mot den aktiva substansen eller mot något hjälpämne som anges i avsnitt 6.1.
Kliniskt betydelsefulla aktiva infektioner (t.ex. aktiv tuberkulos, se avsnitt 4.4).
Spårbarhet
För att underlätta spårbarhet av biologiska läkemedel ska läkemedlets namn och tillverkningssatsnummer dokumenteras.
Infektioner
Guselkumab kan öka risken för infektion. Behandling bör inte påbörjas för patienter med klinisk betydelsefull aktiv infektion förrän infektionen går över eller behandlas på lämpligt sätt.
Patienter som behandlas med guselkumab bör instrueras att söka medicinsk rådgivning om tecken eller symtom på klinisk betydelsefull kronisk eller akut infektion uppstår. Om en patient utvecklar en klinisk betydelsefull eller allvarlig infektion eller inte svarar på standardbehandling bör patienten övervakas noga och behandling bör avbrytas tills infektionen går över.
Utvärdering med avseende på tuberkulos före behandling
Innan behandling påbörjas bör patienterna utvärderas med avseende på tuberkulosinfektion (TBC). Patienter som får guselkumab bör övervakas med avseende på tecken och symtom på aktiv TBC under och efter behandling. Behandling mot TBC bör övervägas innan behandling påbörjas hos patienter med anamnes på latent eller aktiv TBC för vilka en adekvat behandlingskur inte kan bekräftas.
Överkänslighet
Allvarliga överkänslighetsreaktioner, inklusive anafylaxi, har rapporterats efter godkännandet (se avsnitt 4.8). Vissa allvarliga överkänslighetsreaktioner inträffade flera dagar efter behandling med guselkumab, inklusive fall av urtikaria och dyspné. Om en allvarlig överkänslighetsreaktion inträffar ska administreringen av guselkumab omedelbart avbrytas och lämplig behandling påbörjas.
Förhöjda levertransaminaser
I kliniska studier av psoriasisartrit observerades en ökad incidens av förhöjda leverenzymer hos patienter som behandlades med guselkumab var 4:e vecka jämfört med patienter som behandlades med guselkumab var 8:e vecka eller placebo (se avsnitt 4.8).
Vid förskrivning av guselkumab var 4:e vecka vid psoriasisartrit rekommenderas utvärdering av leverenzymer vid baseline och därefter vid rutinmässig uppföljning av patienten. Om ökningar av alaninaminotransferas (ALAT) eller aspartataminotransferas (ASAT) observeras och vid misstanke om läkemedelsinducerad leverskada, ska behandlingen sättas ut tillfälligt tills denna diagnos har uteslutits.
Immuniseringar
Innan behandling påbörjas bör slutförande av alla tillämpliga immuniseringar, i enlighet med aktuella riktlinjer för immunisering, övervägas. Levande vacciner bör inte användas samtidigt för patienter som behandlas med guselkumab. Det finns inga tillgängliga uppgifter om responsen på levande eller inaktiva vacciner.
Uppehåll i behandlingen bör göras i minst 12 veckor (räknat från den sista dosen av Tremfya) före vaccinering med levande virus eller levande bakterier. Behandlingen kan återupptas tidigast 2 veckor efter vaccinering. Förskrivande läkare ska läsa produktresumén för det specifika vaccinet för ytterligare information och vägledning om samtidig användning av immunsuppressiva medel efter vaccinering.
Hjälpämnen med känd effekt
Innehåll av polysorbat 80
Detta läkemedel innehåller 1 mg polysorbat 80 (E433) per förfylld spruta/förfylld injektionspenna motsvarande 0,5 mg/ml. Polysorbater kan orsaka allergiska reaktioner.
Interaktioner med CYP450-substrat
I en fas I-studie på patienter med måttlig till svår plackpsoriasis hade förändringar i systemexponeringen (Cmax och AUCinf) för midazolam, S-warfarin, omeprazol, dextrometorfan och koffein efter en enkel dos guselkumab ingen klinisk relevans, vilket tyder på att interaktioner mellan guselkumab och substrat av olika CYP-enzymer (CYP3A4, CYP2C9, CYP2C19, CYP2D6 och CYP1A2) är osannolika. Ingen dosjustering behövs vid samtidig administrering av guselkumab och CYP450-substrat.
Samtidig immunsuppressiv behandling eller ljusbehandling
I psoriasisstudier har säkerhet och effekt för guselkumab i kombination med immunsuppressiva läkemedel, inklusive biologiska läkemedel, eller ljusbehandling inte utvärderats. I psoriasisartritstudier verkade samtidig användning av MTX inte påverka säkerheten eller effekten av guselkumab.
I studier av ulcerös kolit och Crohns sjukdom verkade samtidig användning av immunmodulerande medel (t.ex. azatioprin [AZA], 6-merkaptopurin [6-MP])) eller kortikosteroider inte påverka säkerheten eller effekten av guselkumab.
Fertila kvinnor
Fertila kvinnor ska använda effektiva preventivmetoder under behandling och i minst 12 veckor efter avslutad behandling.
Graviditet
Det finns begränsad mängd data från användningen av guselkumab hos gravida kvinnor. Djurstudier visar inga direkta eller indirekta skadliga effekter avseende graviditet, embryo-/fosterutveckling, förlossning eller postnatal utveckling (se avsnitt 5.3). Som en försiktighetsåtgärd bör användning av Tremfya undvikas under graviditet.
Amning
Det är okänt om guselkumab utsöndras i bröstmjölk. Det är känt att humant IgG utsöndras i bröstmjölk under de första dagarna efter födseln och kort därefter sjunker till låga koncentrationer. Därmed kan en risk för det ammade spädbarnet inte uteslutas. Ett beslut måste fattas om man ska avbryta amningen eller avstå från behandling med Tremfya efter att man har tagit hänsyn till fördelen med amning för barnet och nyttan med behandling för kvinnan. Se avsnitt 5.3 för information om utsöndring av guselkumab i mjölk från djur (cynomolgusapa).
Fertilitet
Effekten av guselkumab på mänsklig fertilitet har inte utvärderats. Djurstudier visar inga direkta eller indirekta skadliga effekter avseende fertilitet (se avsnitt 5.3).
Tremfya har ingen eller försumbar effekt på förmågan att framföra fordon och använda maskiner.
Sammanfattning av säkerhetsprofilen
Den vanligaste biverkningen var luftvägsinfektioner (cirka 8 % av patienterna i studier av ulcerös kolit, 11 % av patienterna i studier av Crohns sjukdom och 15 % av patienterna i de kliniska studierna av psoriasis och psoriasisartrit).
Den övergripande säkerhetsprofilen hos patienter som behandlas med Tremfya är likartad med den för patienter med psoriasis, psoriasisartrit, ulcerös kolit och Crohns sjukdom.
Biverkningstabell
I tabell 1 listas biverkningar från kliniska studier av psoriasis, psoriasisartrit, ulcerös kolit och Crohns sjukdom samt biverkningar som rapporterats från erfarenhet efter marknadsgodkännandet. Biverkningarna är klassificerade efter MedDRA-organsystemklass och frekvens, med följande konvention: mycket vanliga (≥ 1/10), vanliga (≥ 1/100, < 1/10), mindre vanliga (≥ 1/1 000, < 1/100); sällsynta (≥ 1/10 000, < 1/1 000), mycket sällsynta (< 1/10 000), ingen känd frekvens (kan inte beräknas från tillgängliga data). Inom varje frekvensgrupp presenteras biverkningarna i ordning efter fallande allvarlighetsgrad.
Beskrivning av utvalda biverkningar
Förhöjda transaminaser
Under den placebokontrollerade perioden i två kliniska fas III‑studier av psoriasisartrit rapporterades biverkningar i form av förhöjda transaminaser (inklusive förhöjd ALAT, förhöjd ASAT, förhöjda leverenzymer, förhöjda transaminaser, onormala leverfunktionstester, hypertransaminasemi) oftare i grupperna som behandlades med guselkumab (8,6 % i gruppen som fick behandling med 100 mg subkutant var 4:e vecka och 8,3 % i gruppen som fick behandling med 100 mg subkutant var 8:e vecka) än i placebogruppen (4,6 %). Under 1 år rapporterades biverkningar i form av förhöjda transaminaser (enligt ovan) hos 12,9 % av patienterna i gruppen som fick behandling var 4:e vecka och hos 11,7 % av patienterna i gruppen som fick behandling var 8:e vecka.
Baserat på laboratoriebedömningar var de flesta transaminasökningar (ALAT och ASAT) ≤ 3 x övre normalgränsen (ULN). Transaminasökningar från > 3 till ≤ 5 x ULN och > 5 x ULN sågs med låg frekvens och förekom oftare i gruppen som fick guselkumab var 4:e vecka jämfört med gruppen som fick guselkumab var 8:e vecka (tabell 2). Ett liknande frekvensmönster baserat på svårighetsgrad och efter behandlingsgrupp observerades till och med slutet av den 2-åriga fas III-studien av psoriasisartrit.
I de kliniska psoriasisstudierna var frekvensen av transaminasökningar (ALAT och ASAT) det första året med guselkumab doserat var 8:e vecka liknande den som observerades för guselkumab doserat var 8:e vecka i de kliniska studierna inom psoriasisartrit. Till och med år 5 ökade inte incidensen av förhöjda transaminaser årligen vid behandling med guselkumab. De flesta transaminasökningarna var ≤ 3 x ULN.
I de flesta fall var ökningen av transaminaser övergående och ledde inte till behandlingsavbrott.
Under den placebokontrollerade induktionsperioden (vecka 0-12) i sammanslagna kliniska fas II- och fas III‑studier av Crohns sjukdom rapporterades biverkningar i form av förhöjda transaminaser (inklusive förhöjd ALAT, förhöjd ASAT, förhöjda leverenzymer, förhöjda transaminaser och förhöjda resultat i leverfunktionstester) oftare i de grupper som behandlades med guselkumab (1,7 % av patienterna) än i placebogruppen (0,6 % av patienterna). Under rapporteringsperioden på ungefär ett år i sammanslagna kliniska fas II- och fas III-studier av Crohns sjukdom rapporterades biverkningar i form av förhöjda transaminaser (inklusive förhöjd ALAT, förhöjd ASAT, förhöjda leverenzymer, förhöjda transaminaser, onormal leverfunktion och förhöjda resultat i leverfunktionstester) hos 3,4 % av patienterna i gruppen som fick guselkumab 200 mg subkutant var 4:e vecka och 4,1 % av patienterna i gruppen som fick guselkumab 100 mg subkutant var 8:e vecka jämfört med 2,4 % i placebogruppen.
Baserat på laboratoriebedömningar i sammanslagna kliniska fas II- och fas III‑studier av Crohns sjukdom var frekvensen av förhöjda ALAT och ASAT lägre än de som observerades i kliniska fas III‑studier av psoriasisartrit. Under den placebokontrollerade perioden (till och med vecka 12) i sammanslagna kliniska fas II- och fas III-studier av Crohns sjukdom, rapporterades förhöjda ALAT (< 1 % av patienterna) och ASAT (< 1 % av patienterna) ≥ 3 x ULN hos patienter som behandlades med guselkumab. Under rapporteringsperioden på ungefär ett år i sammanslagna kliniska fas II- och fas III-studier av Crohns sjukdom, rapporterades förhöjda ALAT och/eller ASAT ≥ 3 x ULN hos 2,7 % av patienterna i gruppen som fick guselkumab 200 mg subkutant var 4:e vecka och 2,6 % av patienterna i gruppen som fick guselkumab 100 mg subkutant var 8:e vecka jämfört med 1,9 % i placebogruppen. I de flesta fall var förhöjningen av transaminaser övergående och ledde inte till behandlingsavbrott.
Minskning av antalet neutrofiler
Under den placebokontrollerade perioden i två kliniska fas III‑studier av psoriasisartrit rapporterades biverkningen minskning av antalet neutrofiler oftare i gruppen som behandlades med guselkumab (0,9 %) än i placebogruppen (0 %). Under 1 år rapporterades biverkningen minskning av antalet neutrofiler hos 0,9 % av patienterna som behandlades med guselkumab. I de flesta fall var minskningen av antalet neutrofiler i blod liten, övergående, inte förknippad med infektion och ledde inte till behandlingsavbrott.
Gastroenterit
Under den placebokontrollerade perioden i två kliniska fas III-studier av psoriasis förekom gastroenterit oftare i gruppen som behandlades med guselkumab (1,1 %) än i placebogruppen (0,7 %). Till och med vecka 264 rapporterade 5,8 % av alla patienter som behandlades med guselkumab gastroenterit. Biverkningarna i form av gastroenterit var inte allvarliga och ledde inte till utsättning av guselkumab till och med vecka 264. Under den placebokontrollerade perioden liknade frekvenserna av gastroenterit som observerades hos patienter med psoriasisartrit de som observerades i de kliniska studierna av psoriasis.
Reaktioner vid injektionsstället
I två kliniska fas III-studier av psoriasis till och med vecka 48 var 0,7 % av injektionerna med guselkumab och 0,3 % av injektionerna med placebo förknippade med reaktioner vid injektionsstället. Till och med vecka 264 var 0,4 % av injektionerna med guselkumab förknippade med reaktioner vid injektionsstället. Reaktioner vid injektionsstället var i allmänhet lätta till måttliga i allvarlighetsgrad, ingen var allvarlig och en ledde till utsättning av guselkumab.
Till och med vecka 24 i två kliniska fas III‑studier av psoriasisartrit var det antal patienter som rapporterade en eller fler reaktioner vid injektionsstället lågt och något högre i grupperna som fick behandling med guselkumab än i placebogruppen; 5 (1,3 %) patienter i gruppen som fick behandling med guselkumab var 8:e vecka, 4 (1,1 %) patienter i gruppen som fick behandling med guselkumab var 4:e vecka och 1 (0,3 %) patient i placebogruppen. En patient avbröt behandlingen med guselkumab på grund av en reaktion vid injektionsstället under den placebokontrollerade perioden i de kliniska studierna av psoriasisartrit. Under 1 år var andelen patienter som rapporterade en eller fler reaktioner vid injektionsstället 1,6 % respektive 2,4 % i gruppen som fick behandling med guselkumab var 8:e vecka respektive i gruppen som fick behandling med guselkumab var 4:e vecka. Totalt liknade frekvensen injektioner som förknippades med reaktioner vid injektionsstället som observerades i de kliniska studierna av psoriasisartrit under den placebokontrollerade perioden de frekvenser som observerades i de kliniska studierna av psoriasis.
I den kliniska fas III-underhållsstudien av ulcerös kolit till och med vecka 44 var andelen patienter som rapporterade en eller flera reaktioner på injektionsstället för guselkumab 7,9 % (2,5 % av injektionerna) i gruppen som fick 200 mg guselkumab subkutant var 4:e vecka (200 mg guselkumab administrerades som två 100 mg injektioner i den kliniska fas III-underhållsstudien av ulcerös kolit) och inga reaktioner på injektionsstället i gruppen som fick 100 mg guselkumab subkutant var 8:e vecka. De flesta reaktionerna på injektionsstället var lindriga och ingen var allvarlig.
I kliniska fas II- och fas III-studier av Crohns sjukdom till och med vecka 48 var andelen patienter som rapporterade en eller flera reaktioner på injektionsstället för guselkumab 4,1 % (0,8 % av injektionerna) i behandlingsgruppen som fick guselkumab 200 mg intravenös induktion följt av 200 mg subkutant var 4:e vecka och 1,4 % (0,6 % av injektionerna) av patienter i gruppen som fick guselkumab 200 mg intravenös induktion följt av 100 mg subkutant var 8:e vecka. Generellt var reaktionerna på injektionsstället lindriga och ingen var allvarlig.
I en klinisk fas III-studie av Crohns sjukdom till och med vecka 48 var andelen patienter som rapporterade en eller flera reaktioner på injektionsstället för guselkumab 7 % (1,3 % av injektionerna) i behandlingsgruppen som fick 400 mg subkutan induktion följt av 200 mg subkutant var 4:e vecka och 4,3 % (0,7 % av injektionerna) av patienterna i gruppen som fick 400 mg guselkumab subkutan induktion följt av 100 mg subkutant var 8:e vecka. De flesta reaktionerna på injektionsstället var lindriga och ingen var allvarlig.
Immunogenicitet
Immunogeniciteten för guselkumab utvärderades med hjälp av en känslig och läkemedelstolerant immunoassay.
I sammanslagna fas II- och fas III-analyser hos patienter med psoriasis och psoriasisartrit utvecklade 5 % (n = 145) av patienterna som behandlades med guselkumab antikroppar mot läkemedlet under upp till 52 veckors behandling. Av de patienter som utvecklade antikroppar mot läkemedlet hade cirka 8 % (n = 12) antikroppar som klassificerades som neutraliserande, vilket motsvarar 0,4 % av alla patienter som behandlades med guselkumab. I sammanslagna fas III-analyser av patienter med psoriasis utvecklade ungefär 15 % av patienterna som behandlades med guselkumab antikroppar mot läkemedlet under upp till 264 veckors behandling. Av de patienter som utvecklade antikroppar mot läkemedlet hade cirka 5 % antikroppar som klassificerades som neutraliserande, vilket motsvarar 0,76 % av alla patienter som behandlades med guselkumab. Antikroppar mot läkemedlet förknippades inte med lägre effekt eller utveckling av reaktioner vid injektionsstället.
I sammanslagna fas II- och fas III-analyser hos patienter med ulcerös kolit som behandlades med intravenös induktion följt av subkutan underhållsbehandling, utvecklade cirka 12 % (n=58) av patienterna som behandlades med guselkumab i upp till 56 veckor antikroppar mot läkemedlet. Av de patienter som utvecklade antikroppar mot guselkumab hade cirka 16 % (n=9) antikroppar som klassificerades som neutraliserande, vilket motsvarar 2 % av alla patienter som behandlades med guselkumab. I en fas III-analys till och med vecka 24 hos patienter med ulcerös kolit som behandlades med subkutan induktion följt av subkutan underhållsbehandling, utvecklade cirka 9 % (n = 24) av patienterna som behandlades med guselkumab antikroppar mot läkemedlet. Av de patienter som utvecklade antikroppar mot läkemedlet hade 13 % (n = 3) antikroppar som klassificerades som neutraliserande antikroppar, vilket motsvarar 1 % av de patienter som behandlades med guselkumab. Antikropparna mot guselkumab var inte förknippade med lägre effekt eller utveckling av reaktioner på injektionsstället.
I sammanslagna fas II- och fas III-analyser till och med vecka 48 hos patienter med Crohns sjukdom som behandlades med intravenös induktion följt av subkutan underhållsdosbehandling, utvecklade cirka 5 % (n = 30) av patienterna som behandlades med guselkumab antikroppar mot läkemedlet. Av de patienter som utvecklade antikroppar mot läkemedlet hade cirka 7 % (n = 2) antikroppar som klassificerades som neutraliserande antikroppar, vilket motsvarar 0,3 % av de patienter som behandlades med guselkumab. I en fas III-analys till och med vecka 48 hos patienter med Crohns sjukdom som behandlades med subkutan induktion följt av subkutan underhållsdosbehandling, utvecklade cirka 9 % (n = 24) av patienterna som behandlades med guselkumab antikroppar mot läkemedlet. Av dessa patienter hade 13 % (n = 3) antikroppar som klassificerades som neutraliserande antikroppar, vilket motsvarar 1 % av de patienter som behandlades med guselkumab. Antikroppar mot läkemedlet var inte förknippat med lägre effekt eller utveckling av reaktioner vid injektionsstället.
I kliniska studier har intravenösa doser av guselkumab på upp till 1 200 mg samt subkutana doser på upp till 400 mg administrerats under ett doseringsbesök utan dosbegränsande toxicitet. I händelse av överdosering ska patienten övervakas med avseende på tecken eller symtom på biverkningar och lämplig symtomatisk behandling ska sättas in omedelbart.
Ulcerös kolit
Tremfya är avsett för behandling av vuxna patienter med måttlig till svår aktiv ulcerös kolit som har haft otillräckligt svar på, förlorat svar på eller har varit intoleranta mot antingen konventionell behandling eller biologisk behandling.
Crohns sjukdom
Tremfya är avsett för behandling av vuxna patienter med måttlig till svår aktiv Crohns sjukdom som har haft otillräckligt svar på, förlorat svar på eller har varit intoleranta mot antingen konventionell behandling eller biologisk behandling.
Detta läkemedel är avsett att användas under handledning och överinseende av läkare med erfarenhet av diagnos och behandling av tillstånd för vilka det är indicerat.
Dosering
Ulcerös kolit
En av följande två induktionsbehandlingar rekommenderas:
200 mg som administreras genom intravenös infusion vecka 0, 4 och 8. Se produktresumén för Tremfya 200 mg koncentrat till infusionsvätska, lösning.
eller
400 mg som administreras genom subkutan injektion (ges som två injektioner efter varandra på 200 mg vardera) vecka 0, vecka 4 och vecka 8.
Efter avslutad induktionsdosbehandling är den rekommenderade underhållsdosen 100 mg med början vecka 16, administrerat genom subkutan injektion var 8:e vecka. Alternativt, för patienter som enligt klinisk bedömning inte uppvisar tillräcklig terapeutisk nytta av induktionsbehandlingen, kan en underhållsdos på 200 mg administrerad genom subkutan injektion med början vecka 12 och därefter var 4:e vecka övervägas (se avsnitt 5.1). För dosen 100 mg, se produktresumén för Tremfya 100 mg injektionsvätska, lösning.
Behandling med immunmodulerande medel och/eller kortikosteroider kan fortsätta under behandling med guselkumab. Hos patienter som har svarat på behandling med guselkumab kan kortikosteroiderna minskas eller sättas ut i enlighet med standardbehandling.
Överväg att avbryta behandlingen hos patienter som inte har visat några tecken på terapeutisk nytta efter 24 veckors behandling.
Crohns sjukdom
En av de följande två induktionsdosbehandlingarna rekommenderas:
200 mg som administreras genom intravenös infusion vecka 0, vecka 4 och vecka 8. Se produktresumén för Tremfya 200 mg koncentrat till infusionsvätska, lösning.
eller
400 mg som administreras genom subkutan injektion (ges som två injektioner efter varandra på 200 mg vardera) vecka 0, vecka 4 och vecka 8.
Efter avslutad induktionsdosbehandling är den rekommenderade underhållsdosen 100 mg med början vecka 16, administrerat genom subkutan injektion var 8:e vecka. Alternativt, för patienter som enligt klinisk bedömning inte uppvisar tillräcklig terapeutisk nytta av induktionsbehandlingen, kan en underhållsdos på 200 mg, administrerad genom subkutan injektion med början vecka 12 och därefter var 4:e vecka, övervägas (se avsnitt 5.1). För dosen 100 mg, se produktresumén för Tremfya 100 mg injektionsvätska, lösning.
Behandling med immunmodulerande medel och/eller kortikosteroider kan fortsätta under behandling med guselkumab. Hos patienter som har svarat på behandling med guselkumab kan kortikosteroiderna minskas eller sättas ut i enlighet med standardbehandling.
Överväg att avbryta behandlingen hos patienter som inte har visat några tecken på terapeutisk nytta efter 24 veckors behandling.
Utebliven dos
Om en dos missas ska dosen administreras så snart som möjligt. Därefter ska doseringen återupptas vid den ordinarie schemalagda tidpunkten.
Särskilda populationer
Äldre
Ingen dosjustering krävs (se avsnitt 5.2).
Det finns begränsad information om behandling av patienter ≥ 65 år och mycket begränsad information om behandling av patienter ≥ 75 år (se avsnitt 5.2).
Nedsatt njur- eller leverfunktion
Tremfya har inte studerats i dessa patientpopulationer. Dessa tillstånd förväntas i allmänhet inte ha någon betydande inverkan på farmakokinetiken för monoklonala antikroppar, och inga dosjusteringar anses nödvändiga. För ytterligare information om eliminering av guselkumab, se avsnitt 5.2.
Pediatrisk population
Säkerhet och effekt för Tremfya för barn och ungdomar med ulcerös kolit och Crohns sjukdom under 18 år har inte fastställts. Inga data finns tillgängliga.
Administreringssätt
Endast subkutan användning. Injektionsställen är bland annat buken, låret och baksidan av överarmen. Tremfya ska inte injiceras i områden där huden är öm, har blåmärken, röd, hård, tjock eller fjällig.
Efter adekvat utbildning i subkutan injektionsteknik kan patienter injicera Tremfya om en läkare bedömer att detta är lämpligt. Läkaren bör dock säkerställa lämplig medicinsk uppföljning för patienterna. Patienterna ska instrueras att injicera hela mängden lösning i enlighet med ”Bruksanvisningar” som levereras i kartongen.
Anvisningar om förberedelse av läkemedlet före administrering finns i avsnitt 6.6.
Allvarlig överkänslighet mot den aktiva substansen eller mot något hjälpämne som anges i avsnitt 6.1.
Kliniskt betydelsefulla aktiva infektioner (t.ex. aktiv tuberkulos, se avsnitt 4.4).
Spårbarhet
För att underlätta spårbarhet av biologiska läkemedel ska läkemedlets namn och tillverkningssatsnummer dokumenteras.
Infektioner
Guselkumab kan öka risken för infektion. Behandling bör inte påbörjas för patienter med klinisk betydelsefull aktiv infektion förrän infektionen går över eller behandlas på lämpligt sätt.
Patienter som behandlas med guselkumab bör instrueras att söka medicinsk rådgivning om tecken eller symtom på klinisk betydelsefull kronisk eller akut infektion uppstår. Om en patient utvecklar en klinisk betydelsefull eller allvarlig infektion eller inte svarar på standardbehandling bör patienten övervakas noga och behandling bör avbrytas tills infektionen går över.
Utvärdering med avseende på tuberkulos före behandling
Innan behandling påbörjas bör patienterna utvärderas med avseende på tuberkulosinfektion (TBC). Patienter som får guselkumab bör övervakas med avseende på tecken och symtom på aktiv TBC under och efter behandling. Behandling mot TBC bör övervägas innan behandling påbörjas hos patienter med anamnes på latent eller aktiv TBC för vilka en adekvat behandlingskur inte kan bekräftas.
Överkänslighet
Allvarliga överkänslighetsreaktioner, inklusive anafylaxi, har rapporterats efter godkännandet (se avsnitt 4.8). Vissa allvarliga överkänslighetsreaktioner inträffade flera dagar efter behandling med guselkumab, inklusive fall av urtikaria och dyspné. Om en allvarlig överkänslighetsreaktion inträffar ska administreringen av guselkumab omedelbart avbrytas och lämplig behandling påbörjas.
Förhöjda levertransaminaser
I kliniska studier av psoriasisartrit observerades en ökad incidens av förhöjda leverenzymer hos patienter som behandlades med guselkumab var 4:e vecka jämfört med patienter som behandlades med guselkumab var 8:e vecka eller placebo (se avsnitt 4.8).
Vid förskrivning av guselkumab var 4:e vecka vid psoriasisartrit rekommenderas utvärdering av leverenzymer vid baseline och därefter vid rutinmässig uppföljning av patienten. Om ökningar av alaninaminotransferas (ALAT) eller aspartataminotransferas (ASAT) observeras och vid misstanke om läkemedelsinducerad leverskada, ska behandlingen sättas ut tillfälligt tills denna diagnos har uteslutits.
Immuniseringar
Innan behandling påbörjas bör slutförande av alla tillämpliga immuniseringar, i enlighet med aktuella riktlinjer för immunisering, övervägas. Levande vacciner bör inte användas samtidigt för patienter som behandlas med guselkumab. Det finns inga tillgängliga uppgifter om responsen på levande eller inaktiva vacciner.
Uppehåll i behandlingen bör göras i minst 12 veckor (räknat från den sista dosen av Tremfya) före vaccinering med levande virus eller levande bakterier. Behandlingen kan återupptas tidigast 2 veckor efter vaccinering. Förskrivande läkare ska läsa produktresumén för det specifika vaccinet för ytterligare information och vägledning om samtidig användning av immunsuppressiva medel efter vaccinering.
Hjälpämnen med känd effekt
Innehåll av polysorbat 80
Detta läkemedel innehåller 1 mg polysorbat 80 (E433) per förfylld spruta/förfylld injektionspenna motsvarande 0,5 mg/ml. Polysorbater kan orsaka allergiska reaktioner.
Interaktioner med CYP450-substrat
I en fas I-studie på patienter med måttlig till svår plackpsoriasis hade förändringar i systemexponeringen (Cmax och AUCinf) för midazolam, S-warfarin, omeprazol, dextrometorfan och koffein efter en enkel dos guselkumab ingen klinisk relevans, vilket tyder på att interaktioner mellan guselkumab och substrat av olika CYP-enzymer (CYP3A4, CYP2C9, CYP2C19, CYP2D6 och CYP1A2) är osannolika. Ingen dosjustering behövs vid samtidig administrering av guselkumab och CYP450-substrat.
Samtidig immunsuppressiv behandling eller ljusbehandling
I psoriasisstudier har säkerhet och effekt för guselkumab i kombination med immunsuppressiva läkemedel, inklusive biologiska läkemedel, eller ljusbehandling inte utvärderats. I psoriasisartritstudier verkade samtidig användning av MTX inte påverka säkerheten eller effekten av guselkumab.
I studier av ulcerös kolit och Crohns sjukdom verkade samtidig användning av immunmodulerande medel (t.ex. azatioprin [AZA], 6-merkaptopurin [6-MP])) eller kortikosteroider inte påverka säkerheten eller effekten av guselkumab.
Fertila kvinnor
Fertila kvinnor ska använda effektiva preventivmetoder under behandling och i minst 12 veckor efter avslutad behandling.
Graviditet
Det finns begränsad mängd data från användningen av guselkumab hos gravida kvinnor. Djurstudier visar inga direkta eller indirekta skadliga effekter avseende graviditet, embryo-/fosterutveckling, förlossning eller postnatal utveckling (se avsnitt 5.3). Som en försiktighetsåtgärd bör användning av Tremfya undvikas under graviditet.
Amning
Det är okänt om guselkumab utsöndras i bröstmjölk. Det är känt att humant IgG utsöndras i bröstmjölk under de första dagarna efter födseln och kort därefter sjunker till låga koncentrationer. Därmed kan en risk för det ammade spädbarnet inte uteslutas. Ett beslut måste fattas om man ska avbryta amningen eller avstå från behandling med Tremfya efter att man har tagit hänsyn till fördelen med amning för barnet och nyttan med behandling för kvinnan. Se avsnitt 5.3 för information om utsöndring av guselkumab i mjölk från djur (cynomolgusapa).
Fertilitet
Effekten av guselkumab på mänsklig fertilitet har inte utvärderats. Djurstudier visar inga direkta eller indirekta skadliga effekter avseende fertilitet (se avsnitt 5.3).
Tremfya har ingen eller försumbar effekt på förmågan att framföra fordon och använda maskiner.
Sammanfattning av säkerhetsprofilen
Den vanligaste biverkningen var luftvägsinfektioner (cirka 8 % av patienterna i studier av ulcerös kolit, 11 % av patienterna i studier av Crohns sjukdom och 15 % av patienterna i de kliniska studierna av psoriasis och psoriasisartrit).
Den övergripande säkerhetsprofilen hos patienter som behandlas med Tremfya är likartad med den för patienter med psoriasis, psoriasisartrit, ulcerös kolit och Crohns sjukdom.
Biverkningstabell
I tabell 1 listas biverkningar från kliniska studier av psoriasis, psoriasisartrit, ulcerös kolit och Crohns sjukdom samt biverkningar som rapporterats från erfarenhet efter marknadsgodkännandet. Biverkningarna är klassificerade efter MedDRA-organsystemklass och frekvens, med följande konvention: mycket vanliga (≥ 1/10), vanliga (≥ 1/100, < 1/10), mindre vanliga (≥ 1/1 000, < 1/100); sällsynta (≥ 1/10 000, < 1/1 000), mycket sällsynta (< 1/10 000), ingen känd frekvens (kan inte beräknas från tillgängliga data). Inom varje frekvensgrupp presenteras biverkningarna i ordning efter fallande allvarlighetsgrad.
Beskrivning av utvalda biverkningar
Förhöjda transaminaser
Under den placebokontrollerade perioden i två kliniska fas III‑studier av psoriasisartrit rapporterades biverkningar i form av förhöjda transaminaser (inklusive förhöjd ALAT, förhöjd ASAT, förhöjda leverenzymer, förhöjda transaminaser, onormala leverfunktionstester, hypertransaminasemi) oftare i grupperna som behandlades med guselkumab (8,6 % i gruppen som fick behandling med 100 mg subkutant var 4:e vecka och 8,3 % i gruppen som fick behandling med 100 mg subkutant var 8:e vecka) än i placebogruppen (4,6 %). Under 1 år rapporterades biverkningar i form av förhöjda transaminaser (enligt ovan) hos 12,9 % av patienterna i gruppen som fick behandling var 4:e vecka och hos 11,7 % av patienterna i gruppen som fick behandling var 8:e vecka.
Baserat på laboratoriebedömningar var de flesta transaminasökningar (ALAT och ASAT) ≤ 3 x övre normalgränsen (ULN). Transaminasökningar från > 3 till ≤ 5 x ULN och > 5 x ULN sågs med låg frekvens och förekom oftare i gruppen som fick guselkumab var 4:e vecka jämfört med gruppen som fick guselkumab var 8:e vecka (tabell 2). Ett liknande frekvensmönster baserat på svårighetsgrad och efter behandlingsgrupp observerades till och med slutet av den 2-åriga fas III-studien av psoriasisartrit.
I de kliniska psoriasisstudierna var frekvensen av transaminasökningar (ALAT och ASAT) det första året med guselkumab doserat var 8:e vecka liknande den som observerades för guselkumab doserat var 8:e vecka i de kliniska studierna inom psoriasisartrit. Till och med år 5 ökade inte incidensen av förhöjda transaminaser årligen vid behandling med guselkumab. De flesta transaminasökningarna var ≤ 3 x ULN.
I de flesta fall var ökningen av transaminaser övergående och ledde inte till behandlingsavbrott.
Under den placebokontrollerade induktionsperioden (vecka 0-12) i sammanslagna kliniska fas II- och fas III‑studier av Crohns sjukdom rapporterades biverkningar i form av förhöjda transaminaser (inklusive förhöjd ALAT, förhöjd ASAT, förhöjda leverenzymer, förhöjda transaminaser och förhöjda resultat i leverfunktionstester) oftare i de grupper som behandlades med guselkumab (1,7 % av patienterna) än i placebogruppen (0,6 % av patienterna). Under rapporteringsperioden på ungefär ett år i sammanslagna kliniska fas II- och fas III-studier av Crohns sjukdom rapporterades biverkningar i form av förhöjda transaminaser (inklusive förhöjd ALAT, förhöjd ASAT, förhöjda leverenzymer, förhöjda transaminaser, onormal leverfunktion och förhöjda resultat i leverfunktionstester) hos 3,4 % av patienterna i gruppen som fick guselkumab 200 mg subkutant var 4:e vecka och 4,1 % av patienterna i gruppen som fick guselkumab 100 mg subkutant var 8:e vecka jämfört med 2,4 % i placebogruppen.
Baserat på laboratoriebedömningar i sammanslagna kliniska fas II- och fas III‑studier av Crohns sjukdom var frekvensen av förhöjda ALAT och ASAT lägre än de som observerades i kliniska fas III‑studier av psoriasisartrit. Under den placebokontrollerade perioden (till och med vecka 12) i sammanslagna kliniska fas II- och fas III-studier av Crohns sjukdom, rapporterades förhöjda ALAT (< 1 % av patienterna) och ASAT (< 1 % av patienterna) ≥ 3 x ULN hos patienter som behandlades med guselkumab. Under rapporteringsperioden på ungefär ett år i sammanslagna kliniska fas II- och fas III-studier av Crohns sjukdom, rapporterades förhöjda ALAT och/eller ASAT ≥ 3 x ULN hos 2,7 % av patienterna i gruppen som fick guselkumab 200 mg subkutant var 4:e vecka och 2,6 % av patienterna i gruppen som fick guselkumab 100 mg subkutant var 8:e vecka jämfört med 1,9 % i placebogruppen. I de flesta fall var förhöjningen av transaminaser övergående och ledde inte till behandlingsavbrott.
Minskning av antalet neutrofiler
Under den placebokontrollerade perioden i två kliniska fas III‑studier av psoriasisartrit rapporterades biverkningen minskning av antalet neutrofiler oftare i gruppen som behandlades med guselkumab (0,9 %) än i placebogruppen (0 %). Under 1 år rapporterades biverkningen minskning av antalet neutrofiler hos 0,9 % av patienterna som behandlades med guselkumab. I de flesta fall var minskningen av antalet neutrofiler i blod liten, övergående, inte förknippad med infektion och ledde inte till behandlingsavbrott.
Gastroenterit
Under den placebokontrollerade perioden i två kliniska fas III-studier av psoriasis förekom gastroenterit oftare i gruppen som behandlades med guselkumab (1,1 %) än i placebogruppen (0,7 %). Till och med vecka 264 rapporterade 5,8 % av alla patienter som behandlades med guselkumab gastroenterit. Biverkningarna i form av gastroenterit var inte allvarliga och ledde inte till utsättning av guselkumab till och med vecka 264. Under den placebokontrollerade perioden liknade frekvenserna av gastroenterit som observerades hos patienter med psoriasisartrit de som observerades i de kliniska studierna av psoriasis.
Reaktioner vid injektionsstället
I två kliniska fas III-studier av psoriasis till och med vecka 48 var 0,7 % av injektionerna med guselkumab och 0,3 % av injektionerna med placebo förknippade med reaktioner vid injektionsstället. Till och med vecka 264 var 0,4 % av injektionerna med guselkumab förknippade med reaktioner vid injektionsstället. Reaktioner vid injektionsstället var i allmänhet lätta till måttliga i allvarlighetsgrad, ingen var allvarlig och en ledde till utsättning av guselkumab.
Till och med vecka 24 i två kliniska fas III‑studier av psoriasisartrit var det antal patienter som rapporterade en eller fler reaktioner vid injektionsstället lågt och något högre i grupperna som fick behandling med guselkumab än i placebogruppen; 5 (1,3 %) patienter i gruppen som fick behandling med guselkumab var 8:e vecka, 4 (1,1 %) patienter i gruppen som fick behandling med guselkumab var 4:e vecka och 1 (0,3 %) patient i placebogruppen. En patient avbröt behandlingen med guselkumab på grund av en reaktion vid injektionsstället under den placebokontrollerade perioden i de kliniska studierna av psoriasisartrit. Under 1 år var andelen patienter som rapporterade en eller fler reaktioner vid injektionsstället 1,6 % respektive 2,4 % i gruppen som fick behandling med guselkumab var 8:e vecka respektive i gruppen som fick behandling med guselkumab var 4:e vecka. Totalt liknade frekvensen injektioner som förknippades med reaktioner vid injektionsstället som observerades i de kliniska studierna av psoriasisartrit under den placebokontrollerade perioden de frekvenser som observerades i de kliniska studierna av psoriasis.
I den kliniska fas III-underhållsstudien av ulcerös kolit till och med vecka 44 var andelen patienter som rapporterade en eller flera reaktioner på injektionsstället för guselkumab 7,9 % (2,5 % av injektionerna) i gruppen som fick 200 mg guselkumab subkutant var 4:e vecka (200 mg guselkumab administrerades som två 100 mg injektioner i den kliniska fas III-underhållsstudien av ulcerös kolit) och inga reaktioner på injektionsstället i gruppen som fick 100 mg guselkumab subkutant var 8:e vecka. De flesta reaktionerna på injektionsstället var lindriga och ingen var allvarlig.
I kliniska fas II- och fas III-studier av Crohns sjukdom till och med vecka 48 var andelen patienter som rapporterade en eller flera reaktioner på injektionsstället för guselkumab 4,1 % (0,8 % av injektionerna) i behandlingsgruppen som fick guselkumab 200 mg intravenös induktion följt av 200 mg subkutant var 4:e vecka och 1,4 % (0,6 % av injektionerna) av patienter i gruppen som fick guselkumab 200 mg intravenös induktion följt av 100 mg subkutant var 8:e vecka. Generellt var reaktionerna på injektionsstället lindriga och ingen var allvarlig.
I en klinisk fas III-studie av Crohns sjukdom till och med vecka 48 var andelen patienter som rapporterade en eller flera reaktioner på injektionsstället för guselkumab 7 % (1,3 % av injektionerna) i behandlingsgruppen som fick 400 mg subkutan induktion följt av 200 mg subkutant var 4:e vecka och 4,3 % (0,7 % av injektionerna) av patienterna i gruppen som fick 400 mg guselkumab subkutan induktion följt av 100 mg subkutant var 8:e vecka. De flesta reaktionerna på injektionsstället var lindriga och ingen var allvarlig.
Immunogenicitet
Immunogeniciteten för guselkumab utvärderades med hjälp av en känslig och läkemedelstolerant immunoassay.
I sammanslagna fas II- och fas III-analyser hos patienter med psoriasis och psoriasisartrit utvecklade 5 % (n = 145) av patienterna som behandlades med guselkumab antikroppar mot läkemedlet under upp till 52 veckors behandling. Av de patienter som utvecklade antikroppar mot läkemedlet hade cirka 8 % (n = 12) antikroppar som klassificerades som neutraliserande, vilket motsvarar 0,4 % av alla patienter som behandlades med guselkumab. I sammanslagna fas III-analyser av patienter med psoriasis utvecklade ungefär 15 % av patienterna som behandlades med guselkumab antikroppar mot läkemedlet under upp till 264 veckors behandling. Av de patienter som utvecklade antikroppar mot läkemedlet hade cirka 5 % antikroppar som klassificerades som neutraliserande, vilket motsvarar 0,76 % av alla patienter som behandlades med guselkumab. Antikroppar mot läkemedlet förknippades inte med lägre effekt eller utveckling av reaktioner vid injektionsstället.
I sammanslagna fas II- och fas III-analyser hos patienter med ulcerös kolit som behandlades med intravenös induktion följt av subkutan underhållsbehandling, utvecklade cirka 12 % (n=58) av patienterna som behandlades med guselkumab i upp till 56 veckor antikroppar mot läkemedlet. Av de patienter som utvecklade antikroppar mot guselkumab hade cirka 16 % (n=9) antikroppar som klassificerades som neutraliserande, vilket motsvarar 2 % av alla patienter som behandlades med guselkumab. I en fas III-analys till och med vecka 24 hos patienter med ulcerös kolit som behandlades med subkutan induktion följt av subkutan underhållsbehandling, utvecklade cirka 9 % (n = 24) av patienterna som behandlades med guselkumab antikroppar mot läkemedlet. Av de patienter som utvecklade antikroppar mot läkemedlet hade 13 % (n = 3) antikroppar som klassificerades som neutraliserande antikroppar, vilket motsvarar 1 % av de patienter som behandlades med guselkumab. Antikropparna mot guselkumab var inte förknippade med lägre effekt eller utveckling av reaktioner på injektionsstället.
I sammanslagna fas II- och fas III-analyser till och med vecka 48 hos patienter med Crohns sjukdom som behandlades med intravenös induktion följt av subkutan underhållsdosbehandling, utvecklade cirka 5 % (n = 30) av patienterna som behandlades med guselkumab antikroppar mot läkemedlet. Av de patienter som utvecklade antikroppar mot läkemedlet hade cirka 7 % (n = 2) antikroppar som klassificerades som neutraliserande antikroppar, vilket motsvarar 0,3 % av de patienter som behandlades med guselkumab. I en fas III-analys till och med vecka 48 hos patienter med Crohns sjukdom som behandlades med subkutan induktion följt av subkutan underhållsdosbehandling, utvecklade cirka 9 % (n = 24) av patienterna som behandlades med guselkumab antikroppar mot läkemedlet. Av dessa patienter hade 13 % (n = 3) antikroppar som klassificerades som neutraliserande antikroppar, vilket motsvarar 1 % av de patienter som behandlades med guselkumab. Antikroppar mot läkemedlet var inte förknippat med lägre effekt eller utveckling av reaktioner vid injektionsstället.
Rapportering av misstänkta biverkningar
I kliniska studier har intravenösa doser av guselkumab på upp till 1 200 mg samt subkutana doser på upp till 400 mg administrerats under ett doseringsbesök utan dosbegränsande toxicitet. I händelse av överdosering ska patienten övervakas med avseende på tecken eller symtom på biverkningar och lämplig symtomatisk behandling ska sättas in omedelbart.
Farmakodynamisk effekt
I en fas I-studie resulterade behandling med guselkumab i minskat uttryck av IL-23/Th17-vägens gener och genuttrycksprofiler förknippade med psoriasis, vilket visades genom analyser av mRNA som erhölls genom hudbiopsier från lesioner hos patienter med plackpsoriasis i vecka 12 jämfört med baseline. I samma fas I-studie resulterade behandling med guselkumab i förbättring av histologiska mått för psoriasis i vecka 12, inklusive minskning av epidermis tjocklek och T-cellsdensitet. Dessutom observerades sänkta IL-17A-, IL-17F- och IL-22-serumnivåer jämfört med placebo hos patienter som behandlades med guselkumab i fas II- och fas III-studier av plackpsoriasis. Dessa resultat överensstämmer med de kliniska fördelar som har observerats vid behandling med guselkumab vid plackpsoriasis.
I fas III‑studier med patienter med psoriasisartrit var serumnivåer av akutfasproteinet C‑reaktivt protein, serumamyloid A och IL‑6, och Th17 effektorcytokinerna IL‑17A, IL‑17F och IL‑22 förhöjda vid baseline. Guselkumab minskade nivåerna av dessa proteiner inom 4 veckor efter insättning av behandling. Guselkumab minskade nivåerna av dessa proteiner ytterligare vid vecka 24 jämfört med baseline och även jämfört med placebo.
Hos patienter med ulcerös kolit eller Crohns sjukdom ledde behandling med guselkumab till minskningar av inflammatoriska markörer, inklusive C-reaktivt protein (CRP) och fekalt kalprotektin, under vecka 12, vilket kvarstod under ett års underhållsbehandling. Serumproteinnivåerna av IL-17A, IL-22 och IFNγ minskade redan vecka 4 och fortsatte att minska under induktionsbehandlingen fram till och med vecka 12. Guselkumab minskade också RNA-nivåerna av IL-17A, IL-22 och IFNγ i biopsier från tarmens slemhinna vid vecka 12.
Klinisk effekt och säkerhet
Ulcerös kolit
Effekt och säkerhet för guselkumab utvärderades i tre multicenter, randomiserade, dubbelblinda, placebokontrollerade fas III-studier (QUASAR intravenös induktionsstudie, QUASAR underhållsstudie och ASTRO subkutan induktionsstudie) på vuxna patienter med måttlig till svår aktiv ulcerös kolit som hade otillräckligt svar på eller intolerans mot kortikosteroider, konventionella immunmodulerare (AZA, 6-MP), biologisk behandling (TNF-blockerare, vedolizumab), en Januskinashämmare (JAK) och/eller sfingosin-1-fosfatreceptormodulatorer (S1PRM), tillämpligt endast för ASTRO. Dessutom utvärderades effekt och säkerhet för guselkumab i en randomiserad, dubbelblindad, placebokontrollerad, fas IIb-studie för bestämmande av induktionsdos (QUASAR dosbestämmandestudie för induktionsdosen) som omfattade en liknande patientpopulation med ulcerös kolit som fas III-induktionsstudien.
Sjukdomsaktiviteten bedömdes med den modifierade Mayo-poängen (mMS), en Mayo-poäng med 3 komponenter (0–9) som består av summan av följande delpoäng (0 till 3 för varje delpoäng): avföringsfrekvens (SFS), rektal blödning (RBS) och fynd vid centralt granskad endoskopi (ES). Måttlig till svår aktiv ulcerös kolit definierades som en mMS mellan 5 och 9, en RBS ≥ 1 och en ES på 2 (definierad som markerat erytem, avsaknad av kärlmönster, rodnad med kontakt- eller spontanblödning och/eller erosioner) eller en ES på 3 (definierad som spontan blödning och ulceration).
Induktionsstudie: QUASAR IS
I induktionsstudien QUASAR IS randomiserades patienterna i förhållandet 3:2 till att få antingen guselkumab 200 mg eller placebo genom intravenös infusion vecka 0, 4 och 8. Totalt utvärderades 701 patienter. Vid baseline var medianvärdet för mMS 7, med 35,5 % av patienterna med ett mMS vid baseline på 5 till 6 och 64,5 % med ett mMS på 7 till 9 och 67,9 % av patienterna med ett ES vid baseline på 3. Medianåldern var 39 år (varierande från 18 till 79 år), 43,1 % var kvinnor och 72,5 % identifierade sig som vita, 21,4 % som asiater och 1 % som svarta.
Patienterna som deltog fick använda oförändrade doser av orala aminosalicylater, MTX, 6-MP, AZA och/eller orala kortikosteroider. Vid baseline fick 72,5 % av patienterna aminosalicylater, 20,8 % av patienterna fick immunmodulerande läkemedel (MTX, 6-MP eller AZA) och 43,1 % av patienterna fick kortikosteroider. Samtidig behandling med biologiska läkemedel eller JAK-hämmare var inte tillåten.
Totalt 49,1 % av patienterna hade tidigare sviktat på minst en behandling med biologiska läkemedel och/eller JAK-hämmare. Av dessa patienter hade 87,5 %, 54,1 % respektive 18 % tidigare sviktat på TNF-blockerare, vedolizumab eller JAK-hämmare, och 47,4 % hade sviktat på behandling med två eller flera av dessa behandlingar. Totalt 48,4 % av patienterna var naiva för biologiska läkemedel och JAK-hämmare, och 2,6 % hade tidigare fått men inte sviktat på biologiskt läkemedel eller JAK-hämmare.
Det primära effektmåttet var klinisk remission enligt mMS vid vecka 12. Sekundära effektmått vid vecka 12 inkluderade symtomatisk remission, endoskopisk läkning, klinisk respons, histologisk endoskopisk läkning av slemhinnan, trötthetsrespons och IBDQ-remission (tabell 3).
Signifikant större andelar av patienterna var i klinisk remission vid vecka 12 i gruppen som behandlades med guselkumab jämfört med placebogruppen.
QUASAR IS och QUASAR dosbestämmandestudie för induktionsdosen omfattade också 48 patienter med en mMS vid baseline på 4, inklusive en ES på 2 eller 3 och en RBS ≥ 1. Hos patienter med en mMS vid baseline på 4 var effekten av guselkumab jämfört med placebo, mätt som klinisk remission, klinisk respons och endoskopisk läkning vid vecka 12, jämförbar med den totala populationen med måttlig till svår aktiv ulcerös kolit.
Delpoäng för rektal blödning och avföringsfrekvens
Minskning av delpoäng för rektal blödning och avföringsfrekvens observerades redan vecka 2 hos patienter som behandlades med guselkumab och fortsatte att minska till och med vecka 12.
Underhållsstudie: QUASAR MS
I QUASAR MS utvärderades 568 patienter som uppnått klinisk respons 12 veckor efter första intravenös administrering av guselkumab i antingen QUASAR IS eller från QUASAR dosbestämmandestudie för induktionsdosen. I QUASAR MS randomiserades dessa patienter till att få en subkutan underhållsbehandling med antingen 100 mg guselkumab var 8:e vecka, 200 mg guselkumab var 4:e vecka eller placebo i 44 veckor.
Det primära effektmåttet var klinisk remission enligt mMS vid vecka 44. Sekundära effektmått vid vecka 44 inkluderade, men var inte begränsade till, symtomatisk remission, endoskopisk läkning, kortikosteroidfri klinisk remission, histologisk endoskopisk läkning av slemhinnan, trötthetsrespons och IBDQ-remission (tabell 4).
Signifikant större andelar av patienterna var i klinisk remission vid vecka 44 i båda grupperna som behandlades med guselkumab jämfört med placebo.
I QUASAR IS och QUASAR MS visades genomgående effekt och säkerhet för guselkumab oavsett ålder, kön, etnicitet, kroppsvikt och tidigare behandling med biologiskt läkemedel eller JAK-hämmare.
I QUASAR MS hade patienter med hög inflammatorisk börda efter avslutad induktionsdosering bättre resultat av 200 mg guselkumab subkutant var 4:e vecka jämfört med 100 mg subkutant var 8:e vecka. Kliniskt meningsfulla numeriska skillnader på > 15 % observerades mellan de två dosgrupperna av guselkumab bland patienter med en CRP-nivå på > 3 mg/l efter avslutad induktionsdosering för följande effektmått vid vecka 44: klinisk remission (48 % 200 mg var 4:e vecka jämfört med 30 % 100 mg var 8:e vecka), bibehållande av klinisk remission (88 % 200 mg var 4:e vecka mot 50 % 100 mg var 8:e vecka), kortikosteroidfri klinisk remission (46 % 200 mg var 4:e vecka mot 30 % 100 mg var 8:e vecka), endoskopisk läkning (52 % 200 mg var 4:e vecka mot 35 % 100 mg var 8:e vecka) och histologisk-endoskopisk läkning av slemhinnan (46 % 200 mg var 4:e vecka mot 29 % 100 mg var 8:e vecka).
I QUASAR MS ingick 31 patienter med en mMS vid induktionsbaseline på 4, inklusive en ES på 2 eller 3 och en RBS ≥ 1, som uppnådde klinisk respons 12 veckor efter den första intravenös administreringen av guselkumab i QUASAR IS eller QUASAR dosbestämmandestudie för induktionsdosen. Hos dessa patienter var effekten av guselkumab jämfört med placebo, mätt som klinisk remission, klinisk respons och endoskopisk läkning vid vecka 44, i linje med den totala populationen.
Symtomatisk remission över tid
I QUASAR MS upprätthölls symtomatisk remission, definierad som delpoäng för avföringsfrekvens på 0 eller 1 och ingen ökning från induktionsbaseline, och en delpoäng för rektal blödning på 0, till och med vecka 44 i båda behandlingsgrupperna med guselkumab, medan en minskning observerades i placebogruppen (figur 1):
Figur 1: Andel patienter i symtomatisk remission till och med vecka 44 i QUASAR MS
Behandlingssvar vecka 24 hos patienter med förlängd behandlingstid med guselkumab
Guselkumab-behandlade patienter som inte uppvisade klinisk respons vid induktionsvecka 12 fick 200 mg guselkumab subkutant vid vecka 12, 16 och 20. I QUASAR IS uppnådde 66/120 (55 %) guselkumab-behandlade patienter som inte uppvisade klinisk respons vid induktionsvecka 12 klinisk respons vid vecka 24. De som svarade på guselkumab vecka 24 gick in i QUASAR MS och fick 200 mg guselkumab subkutant var 4:e vecka. Vid vecka 44 i QUASAR MS hade 83/123 (67 %) av dessa patienter bibehållen klinisk respons och 37/123 (30 %) uppnådde klinisk remission.
Dosjustering vid tappad effekt av guselkumab
Nitton patienter som fick 100 mg guselkumab subkutant var 8:e vecka och som tappade effekt av behandlingen (10 %) mellan vecka 8 och 32 i QUASAR MS fick en blindad dosjustering till 200 mg guselkumab subkutant var 4:e vecka. 11 av dessa patienter (58 %) uppnådde symtomatisk respons och 5 patienter (26 %) uppnådde symtomatisk remission efter 12 veckor efter dosjusteringen.
Histologisk och endoskopisk bedömning
Histologisk remission definierades som Geboes histologiska poäng ≤ 2 B.0 (avsaknad av neutrofiler från slemhinnan [både lamina propria och epitel], ingen kryptdestruktion och inga erosioner, ulcerationer eller granulationsvävnad enligt Geboes graderingssystem). I QUASAR IS uppnåddes histologisk remission vid vecka 12 hos 40 % av patienterna som behandlades med guselkumab och hos 19 % av patienterna i placebogruppen. I QUASAR MS uppnåddes histologisk remission vid vecka 44 hos 59 % respektive 61 % av patienterna som behandlades med 100 mg guselkumab subkutant var 8:e vecka och 200 mg guselkumab subkutant var 4:e vecka och hos 27 % av patienterna i placebogruppen.
Normalisering av slemhinnans endoskopiska utseende definierades som ES på 0. I QUASAR IS uppnåddes endoskopisk normalisering vid vecka 12 hos 15 % av patienterna som behandlades med guselkumab och hos 5 % av patienterna i placebogruppen.
Kombinerade histologiska-endoskopiska resultat
Kombinerad symtomatisk remission, endoskopisk normalisering, histologisk remission och fekalt kalprotektin ≤ 250 mg/kg vid vecka 44 uppnåddes av en större andel patienter som behandlades med 100 mg guselkumab subkutant var 8:e vecka eller 200 mg subkutant var 4:e vecka jämfört med placebo (22 % respektive 28 % mot 9 %).
Hälsorelaterad livskvalitet
Vid vecka 12 i QUASAR IS uppvisade patienter som fick guselkumab större och kliniskt meningsfulla förbättringar från baseline med IBDQ (Inflammatory Bowel Disease Questionnaire) jämfört med placebo (gällande tarmsymtom inklusive buksmärta och tarmtömning, systemisk funktion, emotionell funktion och social funktion). Dessa förbättringar bibehölls hos guselkumab-behandlade patienter i QUASAR MS till och med vecka 44.
Ulcerös kolit-relaterade sjukhusinläggningar
Till och med vecka 12 i QUASAR IS hade en lägre andel av patienterna i guselkumabgruppen jämfört med placebogruppen ulcerös kolit-relaterade sjukhusinläggningar (1,9 %, 8/421 jämfört med 5,4 %, 15/280).
ASTRO
I ASTRO randomiserades patienterna i förhållandet 1:1:1 till att få guselkumab 400 mg subkutan induktion vid vecka 0, 4 och 8 följt av guselkumab 100 mg subkutan underhållsbehandling var 8:e vecka, eller guselkumab 400 mg subkutan induktion vid vecka 0, 4 och 8 följt av guselkumab 200 mg subkutan underhållsbehandling var 4:e vecka, eller placebo.
Totalt utvärderades 418 patienter. Medianåldern för patienterna var 40 år (från 18 till 80 år), 38,8 % var kvinnor och 64,6 % identifierades som vita, 28,9 % som asiater och 3,1 % som svarta.
Patienterna som deltog fick använda stabila doser av orala aminosalicylater, immunmodulerare (AZA. 6-MP, MTX), och/eller orala kortikosteroider (upp till 20 mg/dag prednison eller motsvarande). Vid baseline fick 77,3 % av patienterna aminosalicylater, 20,1 % av patienterna fick immunmodulerare och 32,8 % av patienterna fick kortikosteroider. Samtidig behandling med biologiska läkemedel, JAK-hämmare eller S1PRM:ar var inte tillåten. Totalt 40,2 % av patienterna hade tidigare sviktat på behandling med minst en biologisk behandling, JAK-hämmare och/eller S1PRM, 58,1 % var naiva för biologiska läkemedel, JAK-hämmare och S1PRM, och 1,7 % hade tidigare fått men inte sviktat på biologiskt läkemedel, JAK-hämmare eller S1PRM.
I ASTRO var det primära effektmåttet klinisk remission enligt mMS vid vecka 12. Sekundära effektmått vid vecka 12 inkluderade symtomatisk remission, endoskopisk läkning, klinisk respons, histologisk endoskopisk läkning av slemhinnan (se tabell 5). Sekundära effektmått vid vecka 24 inkluderade klinisk remission och endoskopisk läkning (se tabell 6).
Symtomatisk remission över tid
I ASTRO upprätthölls symtomatisk remission, definierad som delpoäng för avföringsfrekvens på 0 eller 1 och ingen ökning från baseline, och en delpoäng för rektal blödning på 0, till och med vecka 12. En större andel patienter i guselkumab-grupperna uppnådde symtomatisk remission jämfört med placebogruppen (figur 2):
Figur 2: Andel patienter i symtomatisk remission till och med vecka 12 i ASTRO
Delpoäng för rektal blödning och avföringsfrekvens
Minskning av delpoäng för rektal blödning och avföringsfrekvens observerades redan vecka 2 hos patienter som behandlades med guselkumab jämfört med placebo.
Histologisk och endoskopisk bedömning
Histologisk remission uppnåddes vid vecka 12 hos 44 % av patienterna som behandlades med guselkumab 400 mg subkutan induktion jämfört med 20 % av patienterna i placebogruppen.
Endoskopisk normalisering vid vecka 24 uppnåddes hos 21 % respektive 26 % av patienterna som behandlades med guselkumab 400 mg subkutan induktion följt av guselkumab 100 mg administrerat som subkutan injektion vid vecka 16 och därefter var 8:e vecka, eller guselkumab 200 mg administrerat som subkutan injektion vid vecka 12 och därefter var 4:e vecka, jämfört med 4 % av patienterna i placebogruppen.
Buksmärta och tarmtömning
En större andel patienter som behandlades med guselkumab 400 mg subkutan induktion jämfört med placebo hade ingen buksmärta (56 % jämfört med 31 %) och ingen trängningskänsla i tarmen (49 % jämfört med 24 %) vid vecka 12.
Hälsorelaterad livskvalitet
Sjukdomsspecifik hälsorelaterad livskvalitet bedömdes med IBDQ. En större andel patienter i den kombinerade gruppen med subkutan guselkumab 400 mg (61 %) uppnådde IBDQ-remission vid vecka 12 jämfört med placebogruppen (34 %).
Crohns sjukdom
Effekt och säkerhet för guselkumab utvärderades i tre kliniska fas III-studier på vuxna patienter med måttlig till svår aktiv Crohns sjukdom som hade otillräckligt svar på, förlorat svar på eller intolerans mot antingen orala kortikosteroider, konventionella immunmodulerare (AZA, 6-MP, MTX) och/eller biologisk behandling (TNF-blockerare eller vedolizumab): två identiskt utformade 48-veckors randomiserade, dubbelblinda, placebokontrollerade och aktivt kontrollerade (ustekinumab) multicenterstudier med parallella grupper (GALAXI 2 och GALAXI 3) och en 24-veckors randomiserad, dubbelblind, placebokontrollerad, multicenterstudie med parallella grupper (GRAVITI). Alla tre studierna hade en treat-through-studiedesign: patienter randomiserade till guselkumab (eller ustekinumab för GALAXI 2 och GALAXI 3) bibehöll denna behandling under hela studien.
GALAXI 2 och GALAXI 3
I fas III-studierna GALAXI 2 och GALAXI 3 definierades måttlig till svår aktiv Crohns sjukdom som en poäng på aktivitetsindex för Crohns sjukdom [CDAI] på ≥ 220 och ≤ 450 och en poäng på Simple Endoscopic Score for CD (SES-CD) på ≥ 6 (eller ≥ 4 för patienter med isolerad ileumsjukdom). Ytterligare kriterier för GALAXI 2/3 inkluderade poäng för genomsnittlig daglig avföringsfrekvens > 3 eller genomsnittlig daglig buksmärta > 1.
I GALAXI 2- och GALAXI 3-studierna randomiserades patienterna i förhållandet 2:2:2:1 till att få guselkumab 200 mg intravenös induktion vecka 0, 4 och 8 följt av guselkumab 200 mg subkutant var 4:e vecka som underhållsbehandling, eller guselkumab 200 mg intravenös induktion vecka 0, 4 och 8, följt av guselkumab 100 mg subkutant var 8:e vecka som underhållsbehandling, eller ustekinumab cirka 6 mg/kg intravenös induktion vid vecka 0 följt av ustekinumab 90 mg subkutant var 8:e vecka som underhållsbehandling, eller placebo. De patienter som inte svarade på placebo fick ustekinumab från och med vecka 12.
Totalt 1 021 patienter utvärderades i GALAXI 2 (n = 508) och GALAXI 3 (n = 513). Medianåldern var 34 år (från 18 till 83 år), 57,6 % var män och 74,3 % identifierades som vita, 21,3 % som asiater och 1,5 % som svarta.
I GALAXI 2, hade 52,8 % av patienterna tidigare sviktat på behandling med minst en biologisk behandling (50,6 % var intoleranta eller hade sviktat på minst en tidigare anti-TNFα-behandling, 7,5 % var intoleranta eller hade sviktat tidigare behandling med vedolizumab), 41,9 % var naiva för biologisk behandling och 5,3 % hade tidigare fått men hade inte sviktat på en biologisk behandling. Vid baseline fick 37,4 % av patienterna orala kortikosteroider och 29,9 % av patienterna fick konventionella immunmodulerare.
I GALAXI 3, hade 51,9 % av patienterna tidigare sviktat på behandling med minst en biologisk behandling (50,3 % var intoleranta eller hade sviktat på minst en tidigare anti-TNFα-behandling, 9,6 % var intoleranta eller hade sviktat på tidigare behandling med vedolizumab), 41,5 % var naiva för biologisk behandling och 6,6 % hade tidigare fått men hade inte sviktat på en biologisk behandling. Vid baseline fick 36,1 % av patienterna orala kortikosteroider och 30,2 % av patienterna fick konventionella immunmodulerare.
Resultaten av de sammansatta primära och huvudsakliga sekundära effektmåtten jämfört med placebo i GALAXI 2 och GALAXI 3 beskrivs i tabell 7 (vecka 12) och 8 (vecka 48). Resultaten av de huvudsakliga sekundära effektmåtten vid vecka 48 jämfört med ustekinumab beskrivs i tabell 9 och 10.
I GALAXI 2 och GALAXI 3 visades konsekvent effekt och säkerhet för guselkumab oberoende av ålder, kön, etnicitet och kroppsvikt.
I subpopulationsanalysen för de sammanslagna GALAXI fas III-studierna erhöll patienter med hög inflammatorisk börda efter avslutad induktionsdosering ytterligare nytta av guselkumab 200 mg subkutant var 4:e vecka jämfört med de subkutana underhållsbehandlingarna på 100 mg var 8:e vecka. En kliniskt betydelsefull skillnad observerades mellan de två dosgrupperna för guselkumab bland patienter med en CRP-nivå på > 5 mg/l efter avslutad induktion, för effektmåtten klinisk remission vid vecka 48 (100 mg subkutant var 8:e vecka: 54,1 % jämfört med 200 mg subkutant var 4:e vecka: 71,0 %), endoskopiskt svar vid vecka 48 (100 mg subkutant var 8:e vecka: 36,5 % jämfört med 200 mg subkutant var 4:e vecka: 50,5 %) och PRO-2 remission vid vecka 48 (100 mg subkutant var 8:e vecka: 51,8 % jämfört med 200 mg subkutant var 4:e vecka: 61,7 %).
Klinisk remission över tid
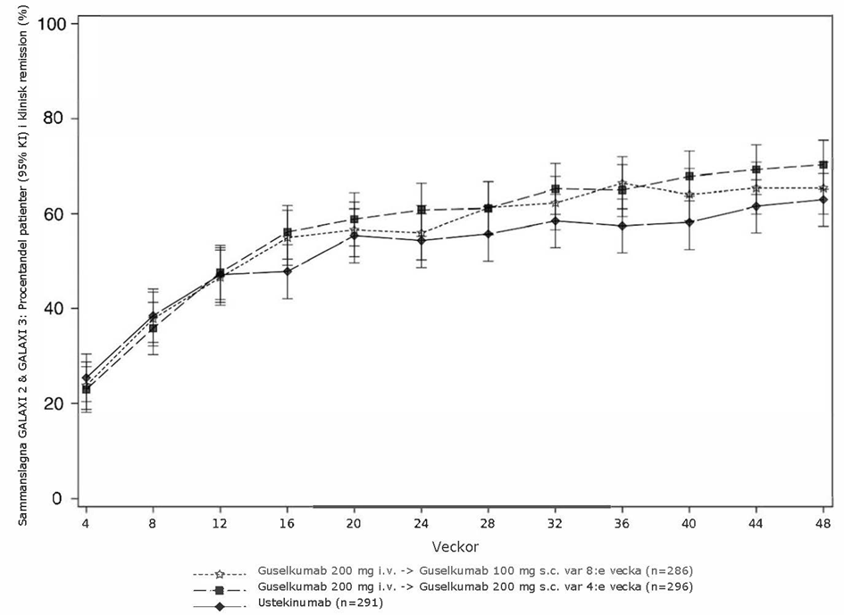
CDAI-poäng registrerades vid varje patientbesök. Andelen patienter i klinisk remission till och med vecka 48 beskrivs i figur 3.
Figur 3: Andelen patienter i klinisk remission till och med vecka 48 i sammanslagna GALAXI 2 och GALAXI 3
Hälsorelaterad livskvalitet
Vid vecka 12 observerades större förbättringar från baseline i grupper som fick guselkumab jämfört med placebo för inflammatorisk tarmsjukdom (IBD)-specifik livskvalitet enligt bedömning med IBDQ-totalpoäng. Dessa förbättringar bibehölls till och med vecka 48 i båda studierna.
GRAVITI
I fas III-studien GRAVITI definierades måttlig till svår aktiv Crohns sjukdom som CDAI-poäng på ≥ 220 och ≤ 450 och en CD (SES-CD) på ≥ 6 (eller ≥ 4 för patienter med isolerad ileumsjukdom) och en genomsnittlig daglig avföringsfrekvens på ≥ 4 eller poäng för genomsnittlig daglig buksmärta på ≥ 2.
I GRAVITI randomiserades patienterna i förhållandet 1:1:1 till att få guselkumab 400 mg subkutan induktion vid vecka 0, 4 och 8 följt av guselkumab 100 mg var 8:e vecka subkutant som underhållsbehandling, eller guselkumab 400 mg subkutan induktion vid vecka 0, 4 och 8 följt av guselkumab 200 mg var 4:e vecka subkutant som underhållsbehandling, eller placebo. Alla patienter i placebogruppen som uppnådde rescuebehandlingskriterierna fick induktionsdosering med guselkumab 400 mg subkutant vid vecka 16, 20 och 24 följt av guselkumab 100 mg subkutant var 8:e vecka.
Totalt 347 patienter utvärderades. Medianåldern för patienterna var 36 år (från 18 till 83 år), 58,5 % var män och 66 % identifierades som vita, 21,9 % som asiater och 2,6 % som svarta.
I GRAVITI hade 46,4 % av patienterna tidigare sviktat på behandling med minst en biologisk behandling, 46,4 % var naiva för biologisk behandling och 7,2 % hade tidigare fått men inte sviktat på en biologisk behandling. Vid baseline fick 29,7 % av patienterna orala kortikosteroider och 28,5 % av patienterna fick konventionella immunmodulerare.
Resultaten av de sammansatta primära och huvudsakliga sekundära effektmåtten jämfört med placebo vid vecka 12 beskrivs i tabell 11.
Klinisk remission vid vecka 24 uppnåddes av en signifikant större andel patienter som behandlades med guselkumab 400 mg subkutan induktion följt av guselkumab 100 mg subkutant var 8:e vecka eller 200 mg subkutant var 4:e vecka jämfört med placebo (60,9 % respektive 58,3 % mot 21,4 %, båda p‑värdena < 0,001). Klinisk remission vid vecka 48 uppnåddes av 60 % respektive 66,1 % av patienterna som behandlades med guselkumab 400 mg subkutan induktion följt av guselkumab 100 mg subkutant var 8:e vecka eller 200 mg subkutant var 4:e vecka (båda p-värdena < 0,001 jämfört med placebo).
Endoskopiskt svar vid vecka 48 uppnåddes av 44,3 % respektive 51,3 % av patienterna som behandlades med guselkumab 400 mg subkutan induktion följt av guselkumab 100 mg subkutant var 8:e vecka respektive 200 mg subkutant var 4:e vecka (båda p-värdena < 0,001 jämfört med placebo).
Hälsorelaterad livskvalitet
I GRAVITI observerades kliniskt betydelsefulla förbättringar av IBD-specifik livskvalitet enligt bedömning med totalpoäng för IBDQ vid vecka 12 och vecka 24 jämfört med placebo.
Pediatrisk population
Europeiska läkemedelsmyndigheten har senarelagt kravet att skicka in studieresultat för guselkumab för en eller flera grupper av den pediatriska populationen för ulcerös kolit och Crohns sjukdom (information om pediatrisk användning finns i avsnitt 4.2).
Absorption
Efter en 100 mg subkutan injektion till friska individer uppnådde guselkumab en genomsnittlig (± SD) maximal serumkoncentration (Cmax) på 8,09 ± 3,68 mikrogram/ml cirka 5,5 dagar efter dosadministrering. Den absoluta biotillgängligheten för guselkumab efter en 100 mg subkutan injektion uppskattades till cirka 49 % hos friska individer.
Hos patienter med plackpsoriasis uppnåddes steady state-koncentrationer av guselkumab i serum vecka 20 efter subkutana administreringar av 100 mg guselkumab i vecka 0 och 4 och var 8:e vecka därefter. Medelvärdet (± SD) för dalkoncentrationerna av guselkumab i serum vid steady state i två fas III-studier med patienter med plackpsoriasis var 1,15 ± 0,73 mikrogram/ml och 1,23 ± 0,84 mikrogram/ml.
Farmakokinetiken för guselkumab hos patienter med psoriasisartrit liknade den hos patienter med psoriasis. Efter subkutan administrering av 100 mg guselkumab i vecka 0, 4 och var 8:e vecka därefter var genomsnittliga steady‑state dalvärden för guselkumabkoncentration i serum också cirka 1,2 mikrogram/ml. Efter subkutan administrering av 100 mg guselkumab var 4:e vecka var genomsnittliga steady‑state dalvärden för guselkumabkoncentration i serum cirka 3,8 mikrogram/ml.
Farmakokinetiken för guselkumab var liknande hos patienter med ulcerös kolit och Crohns sjukdom. Efter den rekommenderade intravenösa induktionsdosbehandlingen med 200 mg guselkumab vid vecka 0, 4 och 8, var den genomsnittliga högsta serumkoncentrationen av guselkumab 68,27 mikrogram/ml i vecka 8 hos patienter med ulcerös kolit och 70,5 mikrogram/ml hos patienter med Crohns sjukdom.
Efter rekommenderad subkutan induktionsdosbehandling av guselkumab 400 mg vid vecka 0, 4 och 8 uppskattades den genomsnittliga högsta serumkoncentrationen av guselkumab vara 28,8 mikrogram/ml hos patienter med ulcerös kolit vid vecka 8 och 27,7 mikrogram/ml hos patienter med Crohns sjukdom. Den totala systemiska exponeringen (AUC) efter rekommenderad induktionsdosbehandling var liknande efter subkutan och intravenös induktion.
Efter subkutan underhållsdos på 100 mg guselkumab var 8:e vecka eller 200 mg guselkumab var 4:e vecka hos patienter med ulcerös kolit var de genomsnittliga dalvärdena för guselkumabkoncentrationerna i serum vid steady-state cirka 1,4 mikrogram/ml respektive 10,7 mikrogram/ml.
Efter subkutan underhållsdos på 100 mg guselkumab var 8:e vecka eller 200 mg guselkumab var 4:e vecka hos patienter med Crohns sjukdom var de genomsnittliga dalvärdena för guselkumabkoncentrationerna i serum vid steady-state cirka 1,2 mikrogram/ml respektive 10,1 mikrogram/ml.
Distribution
Den genomsnittliga distributionsvolymen under den terminala fasen (Vz) efter en intravenös administrering till friska individer varierade från cirka 7 till 10 l i olika studier.
Metabolism
Den exakta metaboliseringsvägen för guselkumab har inte karaktäriserats. Som en human IgG mAb-antikropp förväntas guselkumab brytas ned till små peptider och aminosyror via katabola vägar på samma sätt som endogent IgG.
Eliminering
Genomsnittlig systemisk clearance (CL) efter en intravenös administrering till friska individer varierade från 0,288 till 0,479 l/dag i olika studier. Den genomsnittliga halveringstiden (T1/2) för guselkumab var cirka 17 dagar hos friska individer och cirka 15 till 18 dagar hos patienter med plackpsoriasis i olika studier och cirka 17 dagar hos patienter med ulcerös kolit eller Crohns sjukdom.
Farmakokinetiska analyser av populationen indikerade att samtidig användning av NSAIDs, AZA, 6-MP, orala kortikosteroider och csDMARDs som MTX, inte påverkade clearance av guselkumab.
Linjäritet/icke-linjäritet
Den systemiska exponeringen för guselkumab (Cmax och AUC) ökade på ett ungefärligt dosproportionellt sätt efter en subkutan injektion i doser från 10 mg till 300 mg till friska individer eller patienter med plackpsoriasis. Serumkoncentrationerna av guselkumab var nästan dosproportionella efter intravenös administrering hos patienter med ulcerös kolit eller Crohns sjukdom.
Pediatrisk population
Farmakokinetiken för guselkumab hos pediatriska patienter med ulcerös kolit och Crohns sjukdom har inte fastställts.
Äldre patienter
Inga specifika studier har utförts på äldre patienter. Av 1 384 patienter med plackpsoriasis som exponerades för guselkumab i kliniska fas III‑studier och ingick i den farmakokinetiska analysen av populationen var 70 patienter 65 år eller äldre, inklusive 4 patienter som var 75 år eller äldre. Av de 746 patienterna med psoriasisartrit som exponerades för guselkumab i kliniska fas III‑studier var totalt 38 patienter 65 år eller äldre och inga patienter var 75 år eller äldre. Av de 859 patienter med ulcerös kolit som exponerades för guselkumab i kliniska fas II/III-studier och som ingick i den farmakokinetiska analysen av populationen var totalt 52 patienter 65 år eller äldre och 9 patienter var 75 år eller äldre. Av de 1 009 patienter med Crohns sjukdom som exponerades för guselkumab i kliniska fas III‑studier och ingick i den farmakokinetiska analysen av populationen var sammanlagt 39 patienter 65 år eller äldre och 5 patienter var 75 år eller äldre.
Farmakokinetiska analyser av populationen hos patienter med plackpsoriasis, psoriasisartrit, ulcerös kolit och Crohns sjukdom visade inga uppenbara förändringar i uppskattat CL/F-värde hos patienter ≥ 65 år jämfört med patienter < 65 år, vilket tyder på att ingen dosjustering är nödvändig för äldre patienter.
Patienter med nedsatt njur- eller leverfunktion
Inga specifika studier har genomförts för att fastställa effekten av nedsatt njur- eller leverfunktion på farmakokinetiken för guselkumab. Renal eliminering av intakt guselkumab, en IgG mAb-antikropp, förväntas vara låg och av mindre betydelse. På samma sätt förväntas inte nedsatt leverfunktion påverka clearance av guselkumab eftersom IgG mAb-antikroppar huvudsakligen elimineras via intracellulär katabolism. Baserat på farmakokinetiska analyser av populationen hade kreatininclearance eller leverfunktion inte någon meningsfull inverkan på clearance av guselkumab.
Kroppsvikt
Clearance och distributionsvolym för guselkumab ökar med ökad kroppsvikt, men observerade data från kliniska prövningar tyder på att dosjustering för kroppsvikt inte är motiverad.
Prekliniska data från gängse studier avseende säkerhetsfarmakologi, allmäntoxicitet, reproduktionseffekter och effekter på pre- och postnatal utveckling visade inte några särskilda risker för människa.
I toxicitetsstudier med upprepad dosering på cynomolgusapor tolererades guselkumab väl via intravenösa och subkutana administreringsvägar. En veckovis subkutan dos på 50 mg/kg till apor resulterade i exponeringsvärden (AUC) som var minst 23 gånger högre än den maximala kliniska exponeringen efter en dos på 200 mg som gavs intravenöst. Vidare noterades inga negativa immunotoxiska eller kardiovaskulära säkerhetsfarmakologiska effekter under genomförandet av toxicitetsstudierna med upprepad dosering eller i en riktad kardiovaskulär säkerhetsfarmakologisk studie på cynomolgusapor.
Inga preneoplastiska förändringar observerades vid histopatologiska utvärderingar av djur som behandlades i upp till 24 veckor eller efter den 12 veckor långa återhämtningsperioden då den aktiva substansen var detekterbar i serum.
Inga mutagenitets- eller karcinogenitetsstudier har utförts med guselkumab.
Guselkumab kunde inte detekteras i bröstmjölk från cynomolgusapor enligt mätningar på dag 28 efter födseln.
Farmakoterapeutisk grupp: immunsuppressiva medel, interleukinhämmare, ATC-kod: L04AC16.
Verkningsmekanism
Guselkumab är en human monoklonal IgG1λ-antikropp (mAb) som binder selektivt till proteinet interleukin-23 (IL-23), via den antigenbindande delen, med hög specificitet och affinitet. IL-23 är ett cytokin som är inblandat i inflammatoriska reaktioner och immunsvar. Genom att blockera IL-23 från att binda till dess receptor hämmar guselkumab IL-23-beroende cellsignalering och frisättning av pro-inflammatoriska cytokiner.
Hos patienter med plackpsoriasis är nivåerna av IL-23 i huden förhöjda. Hos patienter med ulcerös kolit eller Crohns sjukdom är nivåerna av IL-23 förhöjda i tarmsvävnaden. I in vitro-modeller visade sig guselkumab hämma bioaktiviteten hos IL-23 genom att blockera dess interaktion med IL-23-cellytereceptorn, så att IL-23-medierad signalering, aktivering och cytokinkaskader avbröts. Guselkumab har kliniska effekter på plackpsoriasis, psoriasisartrit, ulcerös kolit och Crohns sjukdom genom blockad av IL-23-cytokinvägen.
Myeloida celler som uttrycker Fc-gamma receptor 1 (CD64) har visat sig vara en dominerande källa till IL-23 i inflammerad vävnad vid psoriasis, ulcerös kolit och Crohns sjukdom. Guselkumab har in vitro visat blockering av IL-23 och bindning till CD64. Dessa resultat tyder på att guselkumab kan neutralisera IL-23 vid den cellulära källan till inflammation.
Farmakodynamisk effekt
I en fas I-studie resulterade behandling med guselkumab i minskat uttryck av IL-23/Th17-vägens gener och genuttrycksprofiler förknippade med psoriasis, vilket visades genom analyser av mRNA som erhölls genom hudbiopsier från lesioner hos patienter med plackpsoriasis i vecka 12 jämfört med baseline. I samma fas I-studie resulterade behandling med guselkumab i förbättring av histologiska mått för psoriasis i vecka 12, inklusive minskning av epidermis tjocklek och T-cellsdensitet. Dessutom observerades sänkta IL-17A-, IL-17F- och IL-22-serumnivåer jämfört med placebo hos patienter som behandlades med guselkumab i fas II- och fas III-studier av plackpsoriasis. Dessa resultat överensstämmer med de kliniska fördelar som har observerats vid behandling med guselkumab vid plackpsoriasis.
I fas III‑studier med patienter med psoriasisartrit var serumnivåer av akutfasproteinet C‑reaktivt protein, serumamyloid A och IL‑6, och Th17 effektorcytokinerna IL‑17A, IL‑17F och IL‑22 förhöjda vid baseline. Guselkumab minskade nivåerna av dessa proteiner inom 4 veckor efter insättning av behandling. Guselkumab minskade nivåerna av dessa proteiner ytterligare vid vecka 24 jämfört med baseline och även jämfört med placebo.
Hos patienter med ulcerös kolit eller Crohns sjukdom ledde behandling med guselkumab till minskningar av inflammatoriska markörer, inklusive C-reaktivt protein (CRP) och fekalt kalprotektin, under vecka 12, vilket kvarstod under ett års underhållsbehandling. Serumproteinnivåerna av IL-17A, IL-22 och IFNγ minskade redan vecka 4 och fortsatte att minska under induktionsbehandlingen fram till och med vecka 12. Guselkumab minskade också RNA-nivåerna av IL-17A, IL-22 och IFNγ i biopsier från tarmens slemhinna vid vecka 12.
Klinisk effekt och säkerhet
Ulcerös kolit
Effekt och säkerhet för guselkumab utvärderades i tre multicenter, randomiserade, dubbelblinda, placebokontrollerade fas III-studier (QUASAR intravenös induktionsstudie, QUASAR underhållsstudie och ASTRO subkutan induktionsstudie) på vuxna patienter med måttlig till svår aktiv ulcerös kolit som hade otillräckligt svar på eller intolerans mot kortikosteroider, konventionella immunmodulerare (AZA, 6-MP), biologisk behandling (TNF-blockerare, vedolizumab), en Januskinashämmare (JAK) och/eller sfingosin-1-fosfatreceptormodulatorer (S1PRM), tillämpligt endast för ASTRO. Dessutom utvärderades effekt och säkerhet för guselkumab i en randomiserad, dubbelblindad, placebokontrollerad, fas IIb-studie för bestämmande av induktionsdos (QUASAR dosbestämmandestudie för induktionsdosen) som omfattade en liknande patientpopulation med ulcerös kolit som fas III-induktionsstudien.
Sjukdomsaktiviteten bedömdes med den modifierade Mayo-poängen (mMS), en Mayo-poäng med 3 komponenter (0–9) som består av summan av följande delpoäng (0 till 3 för varje delpoäng): avföringsfrekvens (SFS), rektal blödning (RBS) och fynd vid centralt granskad endoskopi (ES). Måttlig till svår aktiv ulcerös kolit definierades som en mMS mellan 5 och 9, en RBS ≥ 1 och en ES på 2 (definierad som markerat erytem, avsaknad av kärlmönster, rodnad med kontakt- eller spontanblödning och/eller erosioner) eller en ES på 3 (definierad som spontan blödning och ulceration).
Induktionsstudie: QUASAR IS
I induktionsstudien QUASAR IS randomiserades patienterna i förhållandet 3:2 till att få antingen guselkumab 200 mg eller placebo genom intravenös infusion vecka 0, 4 och 8. Totalt utvärderades 701 patienter. Vid baseline var medianvärdet för mMS 7, med 35,5 % av patienterna med ett mMS vid baseline på 5 till 6 och 64,5 % med ett mMS på 7 till 9 och 67,9 % av patienterna med ett ES vid baseline på 3. Medianåldern var 39 år (varierande från 18 till 79 år), 43,1 % var kvinnor och 72,5 % identifierade sig som vita, 21,4 % som asiater och 1 % som svarta.
Patienterna som deltog fick använda oförändrade doser av orala aminosalicylater, MTX, 6-MP, AZA och/eller orala kortikosteroider. Vid baseline fick 72,5 % av patienterna aminosalicylater, 20,8 % av patienterna fick immunmodulerande läkemedel (MTX, 6-MP eller AZA) och 43,1 % av patienterna fick kortikosteroider. Samtidig behandling med biologiska läkemedel eller JAK-hämmare var inte tillåten.
Totalt 49,1 % av patienterna hade tidigare sviktat på minst en behandling med biologiska läkemedel och/eller JAK-hämmare. Av dessa patienter hade 87,5 %, 54,1 % respektive 18 % tidigare sviktat på TNF-blockerare, vedolizumab eller JAK-hämmare, och 47,4 % hade sviktat på behandling med två eller flera av dessa behandlingar. Totalt 48,4 % av patienterna var naiva för biologiska läkemedel och JAK-hämmare, och 2,6 % hade tidigare fått men inte sviktat på biologiskt läkemedel eller JAK-hämmare.
Det primära effektmåttet var klinisk remission enligt mMS vid vecka 12. Sekundära effektmått vid vecka 12 inkluderade symtomatisk remission, endoskopisk läkning, klinisk respons, histologisk endoskopisk läkning av slemhinnan, trötthetsrespons och IBDQ-remission (tabell 3).
Signifikant större andelar av patienterna var i klinisk remission vid vecka 12 i gruppen som behandlades med guselkumab jämfört med placebogruppen.
QUASAR IS och QUASAR dosbestämmandestudie för induktionsdosen omfattade också 48 patienter med en mMS vid baseline på 4, inklusive en ES på 2 eller 3 och en RBS ≥ 1. Hos patienter med en mMS vid baseline på 4 var effekten av guselkumab jämfört med placebo, mätt som klinisk remission, klinisk respons och endoskopisk läkning vid vecka 12, jämförbar med den totala populationen med måttlig till svår aktiv ulcerös kolit.
Delpoäng för rektal blödning och avföringsfrekvens
Minskning av delpoäng för rektal blödning och avföringsfrekvens observerades redan vecka 2 hos patienter som behandlades med guselkumab och fortsatte att minska till och med vecka 12.
Underhållsstudie: QUASAR MS
I QUASAR MS utvärderades 568 patienter som uppnått klinisk respons 12 veckor efter första intravenös administrering av guselkumab i antingen QUASAR IS eller från QUASAR dosbestämmandestudie för induktionsdosen. I QUASAR MS randomiserades dessa patienter till att få en subkutan underhållsbehandling med antingen 100 mg guselkumab var 8:e vecka, 200 mg guselkumab var 4:e vecka eller placebo i 44 veckor.
Det primära effektmåttet var klinisk remission enligt mMS vid vecka 44. Sekundära effektmått vid vecka 44 inkluderade, men var inte begränsade till, symtomatisk remission, endoskopisk läkning, kortikosteroidfri klinisk remission, histologisk endoskopisk läkning av slemhinnan, trötthetsrespons och IBDQ-remission (tabell 4).
Signifikant större andelar av patienterna var i klinisk remission vid vecka 44 i båda grupperna som behandlades med guselkumab jämfört med placebo.
I QUASAR IS och QUASAR MS visades genomgående effekt och säkerhet för guselkumab oavsett ålder, kön, etnicitet, kroppsvikt och tidigare behandling med biologiskt läkemedel eller JAK-hämmare.
I QUASAR MS hade patienter med hög inflammatorisk börda efter avslutad induktionsdosering bättre resultat av 200 mg guselkumab subkutant var 4:e vecka jämfört med 100 mg subkutant var 8:e vecka. Kliniskt meningsfulla numeriska skillnader på > 15 % observerades mellan de två dosgrupperna av guselkumab bland patienter med en CRP-nivå på > 3 mg/l efter avslutad induktionsdosering för följande effektmått vid vecka 44: klinisk remission (48 % 200 mg var 4:e vecka jämfört med 30 % 100 mg var 8:e vecka), bibehållande av klinisk remission (88 % 200 mg var 4:e vecka mot 50 % 100 mg var 8:e vecka), kortikosteroidfri klinisk remission (46 % 200 mg var 4:e vecka mot 30 % 100 mg var 8:e vecka), endoskopisk läkning (52 % 200 mg var 4:e vecka mot 35 % 100 mg var 8:e vecka) och histologisk-endoskopisk läkning av slemhinnan (46 % 200 mg var 4:e vecka mot 29 % 100 mg var 8:e vecka).
I QUASAR MS ingick 31 patienter med en mMS vid induktionsbaseline på 4, inklusive en ES på 2 eller 3 och en RBS ≥ 1, som uppnådde klinisk respons 12 veckor efter den första intravenös administreringen av guselkumab i QUASAR IS eller QUASAR dosbestämmandestudie för induktionsdosen. Hos dessa patienter var effekten av guselkumab jämfört med placebo, mätt som klinisk remission, klinisk respons och endoskopisk läkning vid vecka 44, i linje med den totala populationen.
Symtomatisk remission över tid
I QUASAR MS upprätthölls symtomatisk remission, definierad som delpoäng för avföringsfrekvens på 0 eller 1 och ingen ökning från induktionsbaseline, och en delpoäng för rektal blödning på 0, till och med vecka 44 i båda behandlingsgrupperna med guselkumab, medan en minskning observerades i placebogruppen (figur 1):
Figur 1: Andel patienter i symtomatisk remission till och med vecka 44 i QUASAR MS
Behandlingssvar vecka 24 hos patienter med förlängd behandlingstid med guselkumab
Guselkumab-behandlade patienter som inte uppvisade klinisk respons vid induktionsvecka 12 fick 200 mg guselkumab subkutant vid vecka 12, 16 och 20. I QUASAR IS uppnådde 66/120 (55 %) guselkumab-behandlade patienter som inte uppvisade klinisk respons vid induktionsvecka 12 klinisk respons vid vecka 24. De som svarade på guselkumab vecka 24 gick in i QUASAR MS och fick 200 mg guselkumab subkutant var 4:e vecka. Vid vecka 44 i QUASAR MS hade 83/123 (67 %) av dessa patienter bibehållen klinisk respons och 37/123 (30 %) uppnådde klinisk remission.
Dosjustering vid tappad effekt av guselkumab
Nitton patienter som fick 100 mg guselkumab subkutant var 8:e vecka och som tappade effekt av behandlingen (10 %) mellan vecka 8 och 32 i QUASAR MS fick en blindad dosjustering till 200 mg guselkumab subkutant var 4:e vecka. 11 av dessa patienter (58 %) uppnådde symtomatisk respons och 5 patienter (26 %) uppnådde symtomatisk remission efter 12 veckor efter dosjusteringen.
Histologisk och endoskopisk bedömning
Histologisk remission definierades som Geboes histologiska poäng ≤ 2 B.0 (avsaknad av neutrofiler från slemhinnan [både lamina propria och epitel], ingen kryptdestruktion och inga erosioner, ulcerationer eller granulationsvävnad enligt Geboes graderingssystem). I QUASAR IS uppnåddes histologisk remission vid vecka 12 hos 40 % av patienterna som behandlades med guselkumab och hos 19 % av patienterna i placebogruppen. I QUASAR MS uppnåddes histologisk remission vid vecka 44 hos 59 % respektive 61 % av patienterna som behandlades med 100 mg guselkumab subkutant var 8:e vecka och 200 mg guselkumab subkutant var 4:e vecka och hos 27 % av patienterna i placebogruppen.
Normalisering av slemhinnans endoskopiska utseende definierades som ES på 0. I QUASAR IS uppnåddes endoskopisk normalisering vid vecka 12 hos 15 % av patienterna som behandlades med guselkumab och hos 5 % av patienterna i placebogruppen.
Kombinerade histologiska-endoskopiska resultat
Kombinerad symtomatisk remission, endoskopisk normalisering, histologisk remission och fekalt kalprotektin ≤ 250 mg/kg vid vecka 44 uppnåddes av en större andel patienter som behandlades med 100 mg guselkumab subkutant var 8:e vecka eller 200 mg subkutant var 4:e vecka jämfört med placebo (22 % respektive 28 % mot 9 %).
Hälsorelaterad livskvalitet
Vid vecka 12 i QUASAR IS uppvisade patienter som fick guselkumab större och kliniskt meningsfulla förbättringar från baseline med IBDQ (Inflammatory Bowel Disease Questionnaire) jämfört med placebo (gällande tarmsymtom inklusive buksmärta och tarmtömning, systemisk funktion, emotionell funktion och social funktion). Dessa förbättringar bibehölls hos guselkumab-behandlade patienter i QUASAR MS till och med vecka 44.
Ulcerös kolit-relaterade sjukhusinläggningar
Till och med vecka 12 i QUASAR IS hade en lägre andel av patienterna i guselkumabgruppen jämfört med placebogruppen ulcerös kolit-relaterade sjukhusinläggningar (1,9 %, 8/421 jämfört med 5,4 %, 15/280).
ASTRO
I ASTRO randomiserades patienterna i förhållandet 1:1:1 till att få guselkumab 400 mg subkutan induktion vid vecka 0, 4 och 8 följt av guselkumab 100 mg subkutan underhållsbehandling var 8:e vecka, eller guselkumab 400 mg subkutan induktion vid vecka 0, 4 och 8 följt av guselkumab 200 mg subkutan underhållsbehandling var 4:e vecka, eller placebo.
Totalt utvärderades 418 patienter. Medianåldern för patienterna var 40 år (från 18 till 80 år), 38,8 % var kvinnor och 64,6 % identifierades som vita, 28,9 % som asiater och 3,1 % som svarta.
Patienterna som deltog fick använda stabila doser av orala aminosalicylater, immunmodulerare (AZA. 6-MP, MTX), och/eller orala kortikosteroider (upp till 20 mg/dag prednison eller motsvarande). Vid baseline fick 77,3 % av patienterna aminosalicylater, 20,1 % av patienterna fick immunmodulerare och 32,8 % av patienterna fick kortikosteroider. Samtidig behandling med biologiska läkemedel, JAK-hämmare eller S1PRM:ar var inte tillåten. Totalt 40,2 % av patienterna hade tidigare sviktat på behandling med minst en biologisk behandling, JAK-hämmare och/eller S1PRM, 58,1 % var naiva för biologiska läkemedel, JAK-hämmare och S1PRM, och 1,7 % hade tidigare fått men inte sviktat på biologiskt läkemedel, JAK-hämmare eller S1PRM.
I ASTRO var det primära effektmåttet klinisk remission enligt mMS vid vecka 12. Sekundära effektmått vid vecka 12 inkluderade symtomatisk remission, endoskopisk läkning, klinisk respons, histologisk endoskopisk läkning av slemhinnan (se tabell 5). Sekundära effektmått vid vecka 24 inkluderade klinisk remission och endoskopisk läkning (se tabell 6).
Symtomatisk remission över tid
I ASTRO upprätthölls symtomatisk remission, definierad som delpoäng för avföringsfrekvens på 0 eller 1 och ingen ökning från baseline, och en delpoäng för rektal blödning på 0, till och med vecka 12. En större andel patienter i guselkumab-grupperna uppnådde symtomatisk remission jämfört med placebogruppen (figur 2):
Figur 2: Andel patienter i symtomatisk remission till och med vecka 12 i ASTRO
Delpoäng för rektal blödning och avföringsfrekvens
Minskning av delpoäng för rektal blödning och avföringsfrekvens observerades redan vecka 2 hos patienter som behandlades med guselkumab jämfört med placebo.
Histologisk och endoskopisk bedömning
Histologisk remission uppnåddes vid vecka 12 hos 44 % av patienterna som behandlades med guselkumab 400 mg subkutan induktion jämfört med 20 % av patienterna i placebogruppen.
Endoskopisk normalisering vid vecka 24 uppnåddes hos 21 % respektive 26 % av patienterna som behandlades med guselkumab 400 mg subkutan induktion följt av guselkumab 100 mg administrerat som subkutan injektion vid vecka 16 och därefter var 8:e vecka, eller guselkumab 200 mg administrerat som subkutan injektion vid vecka 12 och därefter var 4:e vecka, jämfört med 4 % av patienterna i placebogruppen.
Buksmärta och tarmtömning
En större andel patienter som behandlades med guselkumab 400 mg subkutan induktion jämfört med placebo hade ingen buksmärta (56 % jämfört med 31 %) och ingen trängningskänsla i tarmen (49 % jämfört med 24 %) vid vecka 12.
Hälsorelaterad livskvalitet
Sjukdomsspecifik hälsorelaterad livskvalitet bedömdes med IBDQ. En större andel patienter i den kombinerade gruppen med subkutan guselkumab 400 mg (61 %) uppnådde IBDQ-remission vid vecka 12 jämfört med placebogruppen (34 %).
Crohns sjukdom
Effekt och säkerhet för guselkumab utvärderades i tre kliniska fas III-studier på vuxna patienter med måttlig till svår aktiv Crohns sjukdom som hade otillräckligt svar på, förlorat svar på eller intolerans mot antingen orala kortikosteroider, konventionella immunmodulerare (AZA, 6-MP, MTX) och/eller biologisk behandling (TNF-blockerare eller vedolizumab): två identiskt utformade 48-veckors randomiserade, dubbelblinda, placebokontrollerade och aktivt kontrollerade (ustekinumab) multicenterstudier med parallella grupper (GALAXI 2 och GALAXI 3) och en 24-veckors randomiserad, dubbelblind, placebokontrollerad, multicenterstudie med parallella grupper (GRAVITI). Alla tre studierna hade en treat-through-studiedesign: patienter randomiserade till guselkumab (eller ustekinumab för GALAXI 2 och GALAXI 3) bibehöll denna behandling under hela studien.
GALAXI 2 och GALAXI 3
I fas III-studierna GALAXI 2 och GALAXI 3 definierades måttlig till svår aktiv Crohns sjukdom som en poäng på aktivitetsindex för Crohns sjukdom [CDAI] på ≥ 220 och ≤ 450 och en poäng på Simple Endoscopic Score for CD (SES-CD) på ≥ 6 (eller ≥ 4 för patienter med isolerad ileumsjukdom). Ytterligare kriterier för GALAXI 2/3 inkluderade poäng för genomsnittlig daglig avföringsfrekvens > 3 eller genomsnittlig daglig buksmärta > 1.
I GALAXI 2- och GALAXI 3-studierna randomiserades patienterna i förhållandet 2:2:2:1 till att få guselkumab 200 mg intravenös induktion vecka 0, 4 och 8 följt av guselkumab 200 mg subkutant var 4:e vecka som underhållsbehandling, eller guselkumab 200 mg intravenös induktion vecka 0, 4 och 8, följt av guselkumab 100 mg subkutant var 8:e vecka som underhållsbehandling, eller ustekinumab cirka 6 mg/kg intravenös induktion vid vecka 0 följt av ustekinumab 90 mg subkutant var 8:e vecka som underhållsbehandling, eller placebo. De patienter som inte svarade på placebo fick ustekinumab från och med vecka 12.
Totalt 1 021 patienter utvärderades i GALAXI 2 (n = 508) och GALAXI 3 (n = 513). Medianåldern var 34 år (från 18 till 83 år), 57,6 % var män och 74,3 % identifierades som vita, 21,3 % som asiater och 1,5 % som svarta.
I GALAXI 2, hade 52,8 % av patienterna tidigare sviktat på behandling med minst en biologisk behandling (50,6 % var intoleranta eller hade sviktat på minst en tidigare anti-TNFα-behandling, 7,5 % var intoleranta eller hade sviktat tidigare behandling med vedolizumab), 41,9 % var naiva för biologisk behandling och 5,3 % hade tidigare fått men hade inte sviktat på en biologisk behandling. Vid baseline fick 37,4 % av patienterna orala kortikosteroider och 29,9 % av patienterna fick konventionella immunmodulerare.
I GALAXI 3, hade 51,9 % av patienterna tidigare sviktat på behandling med minst en biologisk behandling (50,3 % var intoleranta eller hade sviktat på minst en tidigare anti-TNFα-behandling, 9,6 % var intoleranta eller hade sviktat på tidigare behandling med vedolizumab), 41,5 % var naiva för biologisk behandling och 6,6 % hade tidigare fått men hade inte sviktat på en biologisk behandling. Vid baseline fick 36,1 % av patienterna orala kortikosteroider och 30,2 % av patienterna fick konventionella immunmodulerare.
Resultaten av de sammansatta primära och huvudsakliga sekundära effektmåtten jämfört med placebo i GALAXI 2 och GALAXI 3 beskrivs i tabell 7 (vecka 12) och 8 (vecka 48). Resultaten av de huvudsakliga sekundära effektmåtten vid vecka 48 jämfört med ustekinumab beskrivs i tabell 9 och 10.
I GALAXI 2 och GALAXI 3 visades konsekvent effekt och säkerhet för guselkumab oberoende av ålder, kön, etnicitet och kroppsvikt.
I subpopulationsanalysen för de sammanslagna GALAXI fas III-studierna erhöll patienter med hög inflammatorisk börda efter avslutad induktionsdosering ytterligare nytta av guselkumab 200 mg subkutant var 4:e vecka jämfört med de subkutana underhållsbehandlingarna på 100 mg var 8:e vecka. En kliniskt betydelsefull skillnad observerades mellan de två dosgrupperna för guselkumab bland patienter med en CRP-nivå på > 5 mg/l efter avslutad induktion, för effektmåtten klinisk remission vid vecka 48 (100 mg subkutant var 8:e vecka: 54,1 % jämfört med 200 mg subkutant var 4:e vecka: 71,0 %), endoskopiskt svar vid vecka 48 (100 mg subkutant var 8:e vecka: 36,5 % jämfört med 200 mg subkutant var 4:e vecka: 50,5 %) och PRO-2 remission vid vecka 48 (100 mg subkutant var 8:e vecka: 51,8 % jämfört med 200 mg subkutant var 4:e vecka: 61,7 %).
Klinisk remission över tid
CDAI-poäng registrerades vid varje patientbesök. Andelen patienter i klinisk remission till och med vecka 48 beskrivs i figur 3.
Figur 3: Andelen patienter i klinisk remission till och med vecka 48 i sammanslagna GALAXI 2 och GALAXI 3
Hälsorelaterad livskvalitet
Vid vecka 12 observerades större förbättringar från baseline i grupper som fick guselkumab jämfört med placebo för inflammatorisk tarmsjukdom (IBD)-specifik livskvalitet enligt bedömning med IBDQ-totalpoäng. Dessa förbättringar bibehölls till och med vecka 48 i båda studierna.
GRAVITI
I fas III-studien GRAVITI definierades måttlig till svår aktiv Crohns sjukdom som CDAI-poäng på ≥ 220 och ≤ 450 och en CD (SES-CD) på ≥ 6 (eller ≥ 4 för patienter med isolerad ileumsjukdom) och en genomsnittlig daglig avföringsfrekvens på ≥ 4 eller poäng för genomsnittlig daglig buksmärta på ≥ 2.
I GRAVITI randomiserades patienterna i förhållandet 1:1:1 till att få guselkumab 400 mg subkutan induktion vid vecka 0, 4 och 8 följt av guselkumab 100 mg var 8:e vecka subkutant som underhållsbehandling, eller guselkumab 400 mg subkutan induktion vid vecka 0, 4 och 8 följt av guselkumab 200 mg var 4:e vecka subkutant som underhållsbehandling, eller placebo. Alla patienter i placebogruppen som uppnådde rescuebehandlingskriterierna fick induktionsdosering med guselkumab 400 mg subkutant vid vecka 16, 20 och 24 följt av guselkumab 100 mg subkutant var 8:e vecka.
Totalt 347 patienter utvärderades. Medianåldern för patienterna var 36 år (från 18 till 83 år), 58,5 % var män och 66 % identifierades som vita, 21,9 % som asiater och 2,6 % som svarta.
I GRAVITI hade 46,4 % av patienterna tidigare sviktat på behandling med minst en biologisk behandling, 46,4 % var naiva för biologisk behandling och 7,2 % hade tidigare fått men inte sviktat på en biologisk behandling. Vid baseline fick 29,7 % av patienterna orala kortikosteroider och 28,5 % av patienterna fick konventionella immunmodulerare.
Resultaten av de sammansatta primära och huvudsakliga sekundära effektmåtten jämfört med placebo vid vecka 12 beskrivs i tabell 11.
Klinisk remission vid vecka 24 uppnåddes av en signifikant större andel patienter som behandlades med guselkumab 400 mg subkutan induktion följt av guselkumab 100 mg subkutant var 8:e vecka eller 200 mg subkutant var 4:e vecka jämfört med placebo (60,9 % respektive 58,3 % mot 21,4 %, båda p‑värdena < 0,001). Klinisk remission vid vecka 48 uppnåddes av 60 % respektive 66,1 % av patienterna som behandlades med guselkumab 400 mg subkutan induktion följt av guselkumab 100 mg subkutant var 8:e vecka eller 200 mg subkutant var 4:e vecka (båda p-värdena < 0,001 jämfört med placebo).
Endoskopiskt svar vid vecka 48 uppnåddes av 44,3 % respektive 51,3 % av patienterna som behandlades med guselkumab 400 mg subkutan induktion följt av guselkumab 100 mg subkutant var 8:e vecka respektive 200 mg subkutant var 4:e vecka (båda p-värdena < 0,001 jämfört med placebo).
Hälsorelaterad livskvalitet
I GRAVITI observerades kliniskt betydelsefulla förbättringar av IBD-specifik livskvalitet enligt bedömning med totalpoäng för IBDQ vid vecka 12 och vecka 24 jämfört med placebo.
Pediatrisk population
Europeiska läkemedelsmyndigheten har senarelagt kravet att skicka in studieresultat för guselkumab för en eller flera grupper av den pediatriska populationen för ulcerös kolit och Crohns sjukdom (information om pediatrisk användning finns i avsnitt 4.2).
Absorption
Efter en 100 mg subkutan injektion till friska individer uppnådde guselkumab en genomsnittlig (± SD) maximal serumkoncentration (Cmax) på 8,09 ± 3,68 mikrogram/ml cirka 5,5 dagar efter dosadministrering. Den absoluta biotillgängligheten för guselkumab efter en 100 mg subkutan injektion uppskattades till cirka 49 % hos friska individer.
Hos patienter med plackpsoriasis uppnåddes steady state-koncentrationer av guselkumab i serum vecka 20 efter subkutana administreringar av 100 mg guselkumab i vecka 0 och 4 och var 8:e vecka därefter. Medelvärdet (± SD) för dalkoncentrationerna av guselkumab i serum vid steady state i två fas III-studier med patienter med plackpsoriasis var 1,15 ± 0,73 mikrogram/ml och 1,23 ± 0,84 mikrogram/ml.
Farmakokinetiken för guselkumab hos patienter med psoriasisartrit liknade den hos patienter med psoriasis. Efter subkutan administrering av 100 mg guselkumab i vecka 0, 4 och var 8:e vecka därefter var genomsnittliga steady‑state dalvärden för guselkumabkoncentration i serum också cirka 1,2 mikrogram/ml. Efter subkutan administrering av 100 mg guselkumab var 4:e vecka var genomsnittliga steady‑state dalvärden för guselkumabkoncentration i serum cirka 3,8 mikrogram/ml.
Farmakokinetiken för guselkumab var liknande hos patienter med ulcerös kolit och Crohns sjukdom. Efter den rekommenderade intravenösa induktionsdosbehandlingen med 200 mg guselkumab vid vecka 0, 4 och 8, var den genomsnittliga högsta serumkoncentrationen av guselkumab 68,27 mikrogram/ml i vecka 8 hos patienter med ulcerös kolit och 70,5 mikrogram/ml hos patienter med Crohns sjukdom.
Efter rekommenderad subkutan induktionsdosbehandling av guselkumab 400 mg vid vecka 0, 4 och 8 uppskattades den genomsnittliga högsta serumkoncentrationen av guselkumab vara 28,8 mikrogram/ml hos patienter med ulcerös kolit vid vecka 8 och 27,7 mikrogram/ml hos patienter med Crohns sjukdom. Den totala systemiska exponeringen (AUC) efter rekommenderad induktionsdosbehandling var liknande efter subkutan och intravenös induktion.
Efter subkutan underhållsdos på 100 mg guselkumab var 8:e vecka eller 200 mg guselkumab var 4:e vecka hos patienter med ulcerös kolit var de genomsnittliga dalvärdena för guselkumabkoncentrationerna i serum vid steady-state cirka 1,4 mikrogram/ml respektive 10,7 mikrogram/ml.
Efter subkutan underhållsdos på 100 mg guselkumab var 8:e vecka eller 200 mg guselkumab var 4:e vecka hos patienter med Crohns sjukdom var de genomsnittliga dalvärdena för guselkumabkoncentrationerna i serum vid steady-state cirka 1,2 mikrogram/ml respektive 10,1 mikrogram/ml.
Distribution
Den genomsnittliga distributionsvolymen under den terminala fasen (Vz) efter en intravenös administrering till friska individer varierade från cirka 7 till 10 l i olika studier.
Metabolism
Den exakta metaboliseringsvägen för guselkumab har inte karaktäriserats. Som en human IgG mAb-antikropp förväntas guselkumab brytas ned till små peptider och aminosyror via katabola vägar på samma sätt som endogent IgG.
Eliminering
Genomsnittlig systemisk clearance (CL) efter en intravenös administrering till friska individer varierade från 0,288 till 0,479 l/dag i olika studier. Den genomsnittliga halveringstiden (T1/2) för guselkumab var cirka 17 dagar hos friska individer och cirka 15 till 18 dagar hos patienter med plackpsoriasis i olika studier och cirka 17 dagar hos patienter med ulcerös kolit eller Crohns sjukdom.
Farmakokinetiska analyser av populationen indikerade att samtidig användning av NSAIDs, AZA, 6-MP, orala kortikosteroider och csDMARDs som MTX, inte påverkade clearance av guselkumab.
Linjäritet/icke-linjäritet
Den systemiska exponeringen för guselkumab (Cmax och AUC) ökade på ett ungefärligt dosproportionellt sätt efter en subkutan injektion i doser från 10 mg till 300 mg till friska individer eller patienter med plackpsoriasis. Serumkoncentrationerna av guselkumab var nästan dosproportionella efter intravenös administrering hos patienter med ulcerös kolit eller Crohns sjukdom.
Pediatrisk population
Farmakokinetiken för guselkumab hos pediatriska patienter med ulcerös kolit och Crohns sjukdom har inte fastställts.
Äldre patienter
Inga specifika studier har utförts på äldre patienter. Av 1 384 patienter med plackpsoriasis som exponerades för guselkumab i kliniska fas III‑studier och ingick i den farmakokinetiska analysen av populationen var 70 patienter 65 år eller äldre, inklusive 4 patienter som var 75 år eller äldre. Av de 746 patienterna med psoriasisartrit som exponerades för guselkumab i kliniska fas III‑studier var totalt 38 patienter 65 år eller äldre och inga patienter var 75 år eller äldre. Av de 859 patienter med ulcerös kolit som exponerades för guselkumab i kliniska fas II/III-studier och som ingick i den farmakokinetiska analysen av populationen var totalt 52 patienter 65 år eller äldre och 9 patienter var 75 år eller äldre. Av de 1 009 patienter med Crohns sjukdom som exponerades för guselkumab i kliniska fas III‑studier och ingick i den farmakokinetiska analysen av populationen var sammanlagt 39 patienter 65 år eller äldre och 5 patienter var 75 år eller äldre.
Farmakokinetiska analyser av populationen hos patienter med plackpsoriasis, psoriasisartrit, ulcerös kolit och Crohns sjukdom visade inga uppenbara förändringar i uppskattat CL/F-värde hos patienter ≥ 65 år jämfört med patienter < 65 år, vilket tyder på att ingen dosjustering är nödvändig för äldre patienter.
Patienter med nedsatt njur- eller leverfunktion
Inga specifika studier har genomförts för att fastställa effekten av nedsatt njur- eller leverfunktion på farmakokinetiken för guselkumab. Renal eliminering av intakt guselkumab, en IgG mAb-antikropp, förväntas vara låg och av mindre betydelse. På samma sätt förväntas inte nedsatt leverfunktion påverka clearance av guselkumab eftersom IgG mAb-antikroppar huvudsakligen elimineras via intracellulär katabolism. Baserat på farmakokinetiska analyser av populationen hade kreatininclearance eller leverfunktion inte någon meningsfull inverkan på clearance av guselkumab.
Kroppsvikt
Clearance och distributionsvolym för guselkumab ökar med ökad kroppsvikt, men observerade data från kliniska prövningar tyder på att dosjustering för kroppsvikt inte är motiverad.
Prekliniska data från gängse studier avseende säkerhetsfarmakologi, allmäntoxicitet, reproduktionseffekter och effekter på pre- och postnatal utveckling visade inte några särskilda risker för människa.
I toxicitetsstudier med upprepad dosering på cynomolgusapor tolererades guselkumab väl via intravenösa och subkutana administreringsvägar. En veckovis subkutan dos på 50 mg/kg till apor resulterade i exponeringsvärden (AUC) som var minst 23 gånger högre än den maximala kliniska exponeringen efter en dos på 200 mg som gavs intravenöst. Vidare noterades inga negativa immunotoxiska eller kardiovaskulära säkerhetsfarmakologiska effekter under genomförandet av toxicitetsstudierna med upprepad dosering eller i en riktad kardiovaskulär säkerhetsfarmakologisk studie på cynomolgusapor.
Inga preneoplastiska förändringar observerades vid histopatologiska utvärderingar av djur som behandlades i upp till 24 veckor eller efter den 12 veckor långa återhämtningsperioden då den aktiva substansen var detekterbar i serum.
Inga mutagenitets- eller karcinogenitetsstudier har utförts med guselkumab.
Guselkumab kunde inte detekteras i bröstmjölk från cynomolgusapor enligt mätningar på dag 28 efter födseln.
2 ml lösning i en förfylld glasspruta med en gummipropp av brombutyl, en fast nål och ett nålskydd, monterad i en automatisk nålskyddsanordning.
Tremfya finns tillgänglig i förpackningar som innehåller en förfylld spruta och i multipelförpackningar som innehåller 2 (2 förpackningar à 1) förfyllda sprutor.
Eventuellt kommer inte alla förpackningsstorlekar att marknadsföras.
Tremfya 200 mg injektionsvätska, lösning i förfylld injektionspenna
2 ml lösning i en förfylld glasspruta med en gummipropp av brombutyl, monterad i en förfylld injektionspenna med en automatisk nålskyddsanordning.
Tremfya finns tillgänglig i en förpackning som innehåller en förfylld injektionspenna och i en multipelförpackning innehållande 2 (2 förpackningar à 1) förfyllda injektionspennor.
Eventuellt kommer inte alla förpackningsstorlekar att marknadsföras.
Efter att ha tagit ut den förfyllda sprutan eller förfyllda injektionspennan ur kylskåpet, låt den förfyllda sprutan eller förfyllda injektionspennan vara kvar i kartongen och vänta i 30 minuter så att den uppnår rumstemperatur innan Tremfya injiceras. Den förfyllda sprutan eller förfyllda injektionspennan får inte skakas.
Före användning rekommenderas att den förfyllda sprutan eller förfyllda injektionspennan inspekteras visuellt. Lösningen ska vara genomskinlig, färglös till ljusgul, och kan innehålla ett fåtal små vita eller genomskinliga partiklar. Tremfya ska inte användas om lösningen är grumlig eller missfärgad eller innehåller stora partiklar.
Varje förpackning levereras med foldern ”Bruksanvisningar” som innehåller en fullständig beskrivning av förberedelse och administrering av den förfyllda sprutan eller förfyllda injektionspennan.
Ej använt läkemedel och avfall ska kasseras enligt gällande anvisningar.
Histidin
Histidinmonohydrokloridmonohydrat
Polysorbat 80 (E433)
Sackaros
Vatten för injektionsvätskor
Då blandbarhetsstudier saknas får detta läkemedel inte blandas med andra läkemedel.
2 år.
Förvaras i kylskåp (2 °C–8 °C). Får ej frysas.
Förvara den förfyllda sprutan eller förfyllda injektionspennan i ytterkartongen. Ljuskänsligt.
Tremfya 200 mg injektionsvätska, lösning i förfylld spruta
2 ml lösning i en förfylld glasspruta med en gummipropp av brombutyl, en fast nål och ett nålskydd, monterad i en automatisk nålskyddsanordning.
Tremfya finns tillgänglig i förpackningar som innehåller en förfylld spruta och i multipelförpackningar som innehåller 2 (2 förpackningar à 1) förfyllda sprutor.
Eventuellt kommer inte alla förpackningsstorlekar att marknadsföras.
Tremfya 200 mg injektionsvätska, lösning i förfylld injektionspenna
2 ml lösning i en förfylld glasspruta med en gummipropp av brombutyl, monterad i en förfylld injektionspenna med en automatisk nålskyddsanordning.
Tremfya finns tillgänglig i en förpackning som innehåller en förfylld injektionspenna och i en multipelförpackning innehållande 2 (2 förpackningar à 1) förfyllda injektionspennor.
Eventuellt kommer inte alla förpackningsstorlekar att marknadsföras.
Efter att ha tagit ut den förfyllda sprutan eller förfyllda injektionspennan ur kylskåpet, låt den förfyllda sprutan eller förfyllda injektionspennan vara kvar i kartongen och vänta i 30 minuter så att den uppnår rumstemperatur innan Tremfya injiceras. Den förfyllda sprutan eller förfyllda injektionspennan får inte skakas.
Före användning rekommenderas att den förfyllda sprutan eller förfyllda injektionspennan inspekteras visuellt. Lösningen ska vara genomskinlig, färglös till ljusgul, och kan innehålla ett fåtal små vita eller genomskinliga partiklar. Tremfya ska inte användas om lösningen är grumlig eller missfärgad eller innehåller stora partiklar.
Varje förpackning levereras med foldern ”Bruksanvisningar” som innehåller en fullständig beskrivning av förberedelse och administrering av den förfyllda sprutan eller förfyllda injektionspennan.
Ej använt läkemedel och avfall ska kasseras enligt gällande anvisningar.
Produktresumén är företagets information om läkemedlet riktat till förskrivare och personal inom sjukvård och apotek. Dokumentet är godkänt av Läkemedelsverket eller den europeiska läkemedelsmyndigheten EMA i samband med att läkemedlet godkänns för marknadsföring.