Evrysdi 5 mg filmdragerade tabletter
Varje filmdragerad tablett innehåller 5 mg risdiplam.
För fullständig förteckning över hjälpämnen, se avsnitt 6.1.
Filmdragerad tablett (tablett).
Blekgul, filmdragerad tablett med en diameter på cirka 6,5 mm som är rund och kupad och har ”EVR” inpräglat på ena sidan.
Roche Registration GmbH
Emil-Barell-Strasse 1
79639 Grenzach-Wyhlen
Tyskland
EU/1/21/1531/002
Första godkännandet: 26 mars 2021
Förnyat godkännande: 8 januari 2026.
26 februari 2026
Ytterligare information om detta läkemedel finns på Europeiska läkemedelsmyndighetens webbplats https://www.ema.europa.eu.
Produktresumén är företagets information till hälso- och sjukvårdspersonal. Godkänd av myndighet.
Om en planerad dos missas ska den administreras snarast möjligt, förutsatt att det fortfarande gått mindre än 6 timmar från den schemalagda doseringstiden. I annat fall ska den missade dosen hoppas över och nästa dos administreras vid den schemalagda tiden påföljande dag.
Om inte hela dosen sväljs ned, eller om patienten kräks efter intag av risdiplam, ska ingen ytterligare dos administreras för att kompensera för den ofullständiga dosen. Nästa dos ska administreras vid den schemalagda tiden.
Äldre
Ingen dosjustering är nödvändig hos äldre patienter baserat på begränsade data för personer i åldern 65 år och äldre (se avsnitt 5.2).
Nedsatt njurfunktion
Risdiplam har inte studerats i denna population. Ingen dosjustering förväntas vara nödvändig hos patienter med nedsatt njurfunktion (se avsnitt 5.2).
Nedsatt leverfunktion
Ingen dosjustering är nödvändig hos patienter med lätt till måttligt nedsatt leverfunktion. Patienter med svårt nedsatt leverfunktion har inte studerats och exponeringen av risdiplam kan vara högre hos dessa patienter (se avsnitt 5.1 och 5.2).
Pediatrisk population
Det finns ingen relevant användning av risdiplam filmdragerade tabletter för barn <2 år och <20 kg.
Administreringssätt
Oral användning.
Det rekommenderas att hälso- och sjukvårdspersonal beskriver för patienten eller vårdaren hur den dagliga dosen förbereds innan den första dosen administreras.
Evrysdi tas peroralt en gång dagligen, med eller utan mat, vid ungefär samma tid varje dag.
De filmdragerade tabletterna ska sväljas hela eller lösas upp i en liten mängd rumstempererat vatten (se avsnitt 6.6). Tabletterna får inte tuggas, delas eller krossas.
Evrysdi som löses upp i vatten ska tas omedelbart. Evrysdi får inte lösas upp i någon annan vätska än vatten. Kassera den upplösta blandningen om den inte använts inom tio minuter efter det att vattnet har tillsatts. Utsätt inte den upplösta blandningen för solljus.
Om Evrysdi spills ut eller kommer i kontakt med hud, ska området tvättas med tvål och vatten.
Om läkemedlet behöver administreras genom en nasogastrisk sond eller gastrostomisond ska en sond som är minst 8 Fr användas för att administrera den beredda Evrysdi-blandningen när tabletten lösts upp klart. Efter administreringen av Evrydi-blandningen ska sonden spolas med vattnet (minst 15 ml) som användes för att skölja koppen som tabletten lösts upp i.
Detaljerade anvisningar för administrering av tabletten beredd som en blandning finns i bruksanvisningen i slutet av bipacksedeln.
Överkänslighet mot den aktiva substansen eller mot något hjälpämne som anges i avsnitt 6.1.
Potentiell embryofetal toxicitet
Embryofetal toxicitet har observerats i djurstudier (se avsnitt 5.3). Fertila patienter ska informeras om riskerna och måste använda en mycket effektiv preventivmetod under behandlingen och i minst 1 månad efter den sista dosen hos kvinnliga patienter och i 4 månader efter den sista dosen hos manliga patienter. Graviditetsstatus ska kontrolleras hos fertila kvinnliga patienter innan behandling med risdiplam påbörjas (se avsnitt 4.6).
Potentiella effekter på manlig fertilitet
Baserat på observationer i djurstudier, ska manliga patienter inte donera sperma under behandling och de närmaste 4 månaderna efter den sista dosen av risdiplam. Innan behandling sätts in ska fertilitetsbevarande åtgärder diskuteras med fertila manliga patienter (se avsnitt 4.6 och 5.3). Effekten av risdiplam på manlig fertilitet har inte undersökts hos människa.
Hjälpämnen
Natrium
Evrysdi innehåller mindre än 1 mmol natrium (23 mg) per 5 mg-dos, d.v.s. är näst intill ”natriumfritt”.
Andra läkemedels effekter på risdiplam
Omeprazol påverkade inte farmakokinetiken hos risdiplam som administrerats i tablettform. Risdiplamtabletten kan därför administreras samtidigt med läkemedel som ökar pH i magsäcken (protonpumpshämmare, H2-antagonister och antacida).
Samtidig administrering av 200 mg itrakonazol två gånger dagligen, en stark CYP3A4-hämmare, och en oral enkeldos om 6 mg risdiplam visade ingen kliniskt relevant effekt på PK-parametrarna för risdiplam (ökning av AUC med 11 %, minskning av Cmax med 9 %). Inga dosjusteringar är nödvändiga när risdiplam administreras samtidigt med en CYP3A4-hämmare.
Inga läkemedelsinteraktioner förväntas via FMO1- och FMO3-vägen.
Risdiplams effekter på andra läkemedel
Risdiplam är en svag hämmare av CYP3A. Hos friska, vuxna personer ledde oral administrering av risdiplam en gång dagligen under 2 veckor till en svag ökning av exponeringen av midazolam, ett känsligt CYP3A-substrat (ökning av AUC med 11 %; ökning av Cmax med 16 %). Interaktionens omfattning anses inte vara kliniskt betydelsefull och därför är ingen dosjustering nödvändig för CYP3A-substrat.
In vitro-studier har visat att risdiplam och dess huvudmetabolit i människa, M1, inte är signifikanta hämmare av humant MDR1, organisk anjontransporterande polypeptid (OATP)1B1, OATP1B3 eller organisk anjontransportör 1 och 3 (OAT 1 och 3). Risdiplam och dess metabolit hämmar dock human organisk katjontransportör 2 (OCT2) och multiläkemedels- och toxinutdrivande transportör (MATE)1 och MATE2-K in vitro. Vid terapeutiska läkemedelskoncentrationer förväntas ingen interaktion med OCT2-substrat. Effekten av samtidig administrering på farmakokinetiken för MATE1- och MATE2-K-substrat hos människa är inte känd. Baserat på in vitro-data kan risdiplam öka plasmakoncentrationerna av läkemedel som elimineras via MATE1 eller MATE2-K, såsom metformin. Om samtidig administrering inte kan undvikas ska läkemedelsrelaterade toxiciteter övervakas och dossänkning av det samtidigt administrerade läkemedlet vid behov övervägas.
Det finns inga effekt- eller säkerhetsdata som stödjer samtidig användning av risdiplam och nusinersen.
Fertila patienter
Antikonception hos manliga och kvinnliga patienter
Fertila manliga och kvinnliga patienter ska iaktta följande krav på antikonception:
Fertila kvinnliga patienter ska använda en mycket effektiv preventivmetod under behandlingen och i minst 1 månad efter den sista dosen.
Fertila manliga patienter och deras fertila kvinnliga partners ska säkerställa att en mycket effektiv preventivmetod används under behandlingen och i minst 4 månader efter den sista dosen.
Graviditetstester
Fertila kvinnliga patienters graviditetsstatus ska verifieras innan behandling med risdiplam påbörjas. Gravida kvinnor ska få tydlig information om den potentiella risken för fostret.
Graviditet
Det finns inga data från användning av risdiplam hos gravida kvinnor. Djurstudier har visat reproduktionstoxikologiska effekter (se avsnitt 5.3).
Risdiplam rekommenderas inte under graviditet eller till fertila kvinnor som inte använder preventivmedel (se avsnitt 4.4).
Amning
Det är inte känt om risdiplam utsöndras i bröstmjölk. Studier på råtta visar att risdiplam utsöndras i mjölk (se avsnitt 5.3). Eftersom risken för skada på ammade spädbarn inte är känd, rekommenderas att inte amma under behandling.
Fertilitet
Manliga patienter
Baserat på prekliniska rön kan manlig fertilitet försämras under behandling. I reproduktionsorgan hos råtta och apa observerades degeneration av sädesceller och minskat antal sädesceller (se avsnitt 5.3). Baserat på observationer från djurstudier förväntas effekterna på sädesceller vara reversibla vid utsättning av risdiplam.
Manliga patienter kan överväga att konservera sperma innan behandlingen påbörjas eller efter en behandlingsfri period på minst 4 månader. Manliga patienter som vill skaffa barn ska avbryta behandlingen i minst 4 månader. Behandlingen kan återupptas efter att kvinnan blivit gravid.
Kvinnliga patienter
Baserat på prekliniska data (se avsnitt 5.3) förväntas risdiplam inte påverka fertiliteten hos kvinnor.
Risdiplam har ingen eller försumbar effekt på förmågan att framföra fordon och använda maskiner
Sammanfattning av säkerhetsprofilen
Hos patienter med SMA som debuterat i spädbarnsåldern, var de vanligast observerade biverkningarna i kliniska studier av risdiplam pyrexi (54,8 %), hudutslag (29,0 %) och diarré (19,4 %).
Hos patienter med senare debuterad SMA var de vanligast observerade biverkningarna i kliniska studier av risdiplam pyrexi (21,7%), huvudvärk (20,0%), diarré (16,7 %) och hudutslag (16,7 %).
Biverkningarna som anges ovan förekom utan något identifierbart kliniskt eller tidsmässigt mönster och avklingade vanligtvis trots fortsatt behandling hos patienter med SMA med debut i spädbarnsåldern eller senare debuterad SMA.
Biverkningar i tabellform
Frekvenskategorin för vardera biverkning bygger på följande konvention: mycket vanliga (≥1/10), vanliga (≥1/100, <1/10), mindre vanliga (≥1/1 000, <1/100), sällsynta (≥1/10 000, <1/1 000), mycket sällsynta (<1/10 000).), ingen känd frekvens (kan inte beräknas från tillgängliga data). Biverkningar från kliniska studier (tabell 2) är listade efter organsystem enligt MedDRA.
Tabell 1. Läkemedelsbiverkningar hos patienter med SMA med debut i spädbarnsåldern och med senare debut baserat på kliniska studier och erfarenhet efter marknadsintroduktion med risdiplam
*Inkluderar dermatit, akneiform dermatit, allergisk dermatit, erytem, follikulit, hudutslag, erytematöst hudutslag, makulopapulöst hudutslag, papulöst hudutslag
**Kutan vaskulit har rapporterats efter marknadsintroduktionen. Symtomen försvann efter att risdiplam avslutats permanent. Frekvensen kan inte beräknas baserat från tillgängliga data.
Säkerhetsprofil hos presymtomatiska patienter
Baserat på den primära analysen för RAINBOWFISH är säkerhetsprofilen för Evrysdi hos presymtomatiska patienter överensstämmande med säkerhetsprofilen hos patienter med symtomatisk debut i spädbarnsåldern eller senare debuterad SMA. 26 patienter med presymtomatisk SMA i åldern 16 dagar till 41 dagar vid tiden för den första dosen (viktintervall 3,1 till 5,7 kg) rekryterades till studien RAINBOWFISH. Mediantiden för exponering var 20,4 månader (intervall: 10,6 till 41,9 månader). Data efter marknadsgodkännandet är begränsade hos nyfödda barn i åldern <20 dagar.
Säkerhetsprofil hos patienter som tidigare behandlats med andra SMA-modifierade terapier
Säkerhetsprofilen för risdiplam hos patienter som tidigare behandlats för SMA (inklusive de som tidigare behandlats med nusinersen eller med onasemnogene-abeparvovek), är överensstämmande med den hos patienter som inte tidigare fått behandling för SMA och som behandlades med risdiplam i de kliniska studierna FIREFISH, SUNFISH och RAINBOWFISH (se avsnitt 5.1).
Det finns ingen känd antidot mot överdosering av risdiplam. I händelse av överdosering ska patienten övervakas noga och understödjande behandling sättas in.
Evrysdi är indicerat för behandling av 5q spinal muskelatrofi (SMA) hos patienter med en klinisk diagnos av SMA typ 1, typ 2 eller typ 3 eller med en till fyra SMN2-kopior.
Behandling med risdiplam ska initieras av läkare med erfarenhet av behandling av SMA.
Dosering
Rekommenderad daglig dos av risdiplam filmdragerad tablett till patienter ≥2 år med en kroppsvikt på ≥20 kg är 5 mg.
Det finns en alternativ oral lösning tillgänglig för patienter i alla åldersgrupper. Mer information finns i produktresumén för Evrysdi pulver till oral lösning. Lämplig läkemedelsform ska förskrivas i enlighet med den dos som fordras och patientens behov, inklusive patientens förmåga att svälja. För patienter som har svårt att svälja tabletten hel eller som behöver administrering via en nasogastrisk sond eller gastrostomisond, kan den filmdragerade tabletten lösas upp i vatten eller så kan pulver till oral lösning förskrivas.
Behandling med en daglig dos över 5 mg har inte studerats.
Försenade eller missade doser
Om en planerad dos missas ska den administreras snarast möjligt, förutsatt att det fortfarande gått mindre än 6 timmar från den schemalagda doseringstiden. I annat fall ska den missade dosen hoppas över och nästa dos administreras vid den schemalagda tiden påföljande dag.
Om inte hela dosen sväljs ned, eller om patienten kräks efter intag av risdiplam, ska ingen ytterligare dos administreras för att kompensera för den ofullständiga dosen. Nästa dos ska administreras vid den schemalagda tiden.
Äldre
Ingen dosjustering är nödvändig hos äldre patienter baserat på begränsade data för personer i åldern 65 år och äldre (se avsnitt 5.2).
Nedsatt njurfunktion
Risdiplam har inte studerats i denna population. Ingen dosjustering förväntas vara nödvändig hos patienter med nedsatt njurfunktion (se avsnitt 5.2).
Nedsatt leverfunktion
Ingen dosjustering är nödvändig hos patienter med lätt till måttligt nedsatt leverfunktion. Patienter med svårt nedsatt leverfunktion har inte studerats och exponeringen av risdiplam kan vara högre hos dessa patienter (se avsnitt 5.1 och 5.2).
Pediatrisk population
Det finns ingen relevant användning av risdiplam filmdragerade tabletter för barn <2 år och <20 kg.
Administreringssätt
Oral användning.
Det rekommenderas att hälso- och sjukvårdspersonal beskriver för patienten eller vårdaren hur den dagliga dosen förbereds innan den första dosen administreras.
Evrysdi tas peroralt en gång dagligen, med eller utan mat, vid ungefär samma tid varje dag.
De filmdragerade tabletterna ska sväljas hela eller lösas upp i en liten mängd rumstempererat vatten (se avsnitt 6.6). Tabletterna får inte tuggas, delas eller krossas.
Evrysdi som löses upp i vatten ska tas omedelbart. Evrysdi får inte lösas upp i någon annan vätska än vatten. Kassera den upplösta blandningen om den inte använts inom tio minuter efter det att vattnet har tillsatts. Utsätt inte den upplösta blandningen för solljus.
Om Evrysdi spills ut eller kommer i kontakt med hud, ska området tvättas med tvål och vatten.
Om läkemedlet behöver administreras genom en nasogastrisk sond eller gastrostomisond ska en sond som är minst 8 Fr användas för att administrera den beredda Evrysdi-blandningen när tabletten lösts upp klart. Efter administreringen av Evrydi-blandningen ska sonden spolas med vattnet (minst 15 ml) som användes för att skölja koppen som tabletten lösts upp i.
Detaljerade anvisningar för administrering av tabletten beredd som en blandning finns i bruksanvisningen i slutet av bipacksedeln.
Överkänslighet mot den aktiva substansen eller mot något hjälpämne som anges i avsnitt 6.1.
Potentiell embryofetal toxicitet
Embryofetal toxicitet har observerats i djurstudier (se avsnitt 5.3). Fertila patienter ska informeras om riskerna och måste använda en mycket effektiv preventivmetod under behandlingen och i minst 1 månad efter den sista dosen hos kvinnliga patienter och i 4 månader efter den sista dosen hos manliga patienter. Graviditetsstatus ska kontrolleras hos fertila kvinnliga patienter innan behandling med risdiplam påbörjas (se avsnitt 4.6).
Potentiella effekter på manlig fertilitet
Baserat på observationer i djurstudier, ska manliga patienter inte donera sperma under behandling och de närmaste 4 månaderna efter den sista dosen av risdiplam. Innan behandling sätts in ska fertilitetsbevarande åtgärder diskuteras med fertila manliga patienter (se avsnitt 4.6 och 5.3). Effekten av risdiplam på manlig fertilitet har inte undersökts hos människa.
Hjälpämnen
Natrium
Evrysdi innehåller mindre än 1 mmol natrium (23 mg) per 5 mg-dos, d.v.s. är näst intill ”natriumfritt”.
Andra läkemedels effekter på risdiplam
Omeprazol påverkade inte farmakokinetiken hos risdiplam som administrerats i tablettform. Risdiplamtabletten kan därför administreras samtidigt med läkemedel som ökar pH i magsäcken (protonpumpshämmare, H2-antagonister och antacida).
Samtidig administrering av 200 mg itrakonazol två gånger dagligen, en stark CYP3A4-hämmare, och en oral enkeldos om 6 mg risdiplam visade ingen kliniskt relevant effekt på PK-parametrarna för risdiplam (ökning av AUC med 11 %, minskning av Cmax med 9 %). Inga dosjusteringar är nödvändiga när risdiplam administreras samtidigt med en CYP3A4-hämmare.
Inga läkemedelsinteraktioner förväntas via FMO1- och FMO3-vägen.
Risdiplams effekter på andra läkemedel
Risdiplam är en svag hämmare av CYP3A. Hos friska, vuxna personer ledde oral administrering av risdiplam en gång dagligen under 2 veckor till en svag ökning av exponeringen av midazolam, ett känsligt CYP3A-substrat (ökning av AUC med 11 %; ökning av Cmax med 16 %). Interaktionens omfattning anses inte vara kliniskt betydelsefull och därför är ingen dosjustering nödvändig för CYP3A-substrat.
In vitro-studier har visat att risdiplam och dess huvudmetabolit i människa, M1, inte är signifikanta hämmare av humant MDR1, organisk anjontransporterande polypeptid (OATP)1B1, OATP1B3 eller organisk anjontransportör 1 och 3 (OAT 1 och 3). Risdiplam och dess metabolit hämmar dock human organisk katjontransportör 2 (OCT2) och multiläkemedels- och toxinutdrivande transportör (MATE)1 och MATE2-K in vitro. Vid terapeutiska läkemedelskoncentrationer förväntas ingen interaktion med OCT2-substrat. Effekten av samtidig administrering på farmakokinetiken för MATE1- och MATE2-K-substrat hos människa är inte känd. Baserat på in vitro-data kan risdiplam öka plasmakoncentrationerna av läkemedel som elimineras via MATE1 eller MATE2-K, såsom metformin. Om samtidig administrering inte kan undvikas ska läkemedelsrelaterade toxiciteter övervakas och dossänkning av det samtidigt administrerade läkemedlet vid behov övervägas.
Det finns inga effekt- eller säkerhetsdata som stödjer samtidig användning av risdiplam och nusinersen.
Fertila patienter
Antikonception hos manliga och kvinnliga patienter
Fertila manliga och kvinnliga patienter ska iaktta följande krav på antikonception:
Fertila kvinnliga patienter ska använda en mycket effektiv preventivmetod under behandlingen och i minst 1 månad efter den sista dosen.
Fertila manliga patienter och deras fertila kvinnliga partners ska säkerställa att en mycket effektiv preventivmetod används under behandlingen och i minst 4 månader efter den sista dosen.
Graviditetstester
Fertila kvinnliga patienters graviditetsstatus ska verifieras innan behandling med risdiplam påbörjas. Gravida kvinnor ska få tydlig information om den potentiella risken för fostret.
Graviditet
Det finns inga data från användning av risdiplam hos gravida kvinnor. Djurstudier har visat reproduktionstoxikologiska effekter (se avsnitt 5.3).
Risdiplam rekommenderas inte under graviditet eller till fertila kvinnor som inte använder preventivmedel (se avsnitt 4.4).
Amning
Det är inte känt om risdiplam utsöndras i bröstmjölk. Studier på råtta visar att risdiplam utsöndras i mjölk (se avsnitt 5.3). Eftersom risken för skada på ammade spädbarn inte är känd, rekommenderas att inte amma under behandling.
Fertilitet
Manliga patienter
Baserat på prekliniska rön kan manlig fertilitet försämras under behandling. I reproduktionsorgan hos råtta och apa observerades degeneration av sädesceller och minskat antal sädesceller (se avsnitt 5.3). Baserat på observationer från djurstudier förväntas effekterna på sädesceller vara reversibla vid utsättning av risdiplam.
Manliga patienter kan överväga att konservera sperma innan behandlingen påbörjas eller efter en behandlingsfri period på minst 4 månader. Manliga patienter som vill skaffa barn ska avbryta behandlingen i minst 4 månader. Behandlingen kan återupptas efter att kvinnan blivit gravid.
Kvinnliga patienter
Baserat på prekliniska data (se avsnitt 5.3) förväntas risdiplam inte påverka fertiliteten hos kvinnor.
Risdiplam har ingen eller försumbar effekt på förmågan att framföra fordon och använda maskiner
Sammanfattning av säkerhetsprofilen
Hos patienter med SMA som debuterat i spädbarnsåldern, var de vanligast observerade biverkningarna i kliniska studier av risdiplam pyrexi (54,8 %), hudutslag (29,0 %) och diarré (19,4 %).
Hos patienter med senare debuterad SMA var de vanligast observerade biverkningarna i kliniska studier av risdiplam pyrexi (21,7%), huvudvärk (20,0%), diarré (16,7 %) och hudutslag (16,7 %).
Biverkningarna som anges ovan förekom utan något identifierbart kliniskt eller tidsmässigt mönster och avklingade vanligtvis trots fortsatt behandling hos patienter med SMA med debut i spädbarnsåldern eller senare debuterad SMA.
Biverkningar i tabellform
Frekvenskategorin för vardera biverkning bygger på följande konvention: mycket vanliga (≥1/10), vanliga (≥1/100, <1/10), mindre vanliga (≥1/1 000, <1/100), sällsynta (≥1/10 000, <1/1 000), mycket sällsynta (<1/10 000).), ingen känd frekvens (kan inte beräknas från tillgängliga data). Biverkningar från kliniska studier (tabell 2) är listade efter organsystem enligt MedDRA.
Tabell 1. Läkemedelsbiverkningar hos patienter med SMA med debut i spädbarnsåldern och med senare debut baserat på kliniska studier och erfarenhet efter marknadsintroduktion med risdiplam
*Inkluderar dermatit, akneiform dermatit, allergisk dermatit, erytem, follikulit, hudutslag, erytematöst hudutslag, makulopapulöst hudutslag, papulöst hudutslag
**Kutan vaskulit har rapporterats efter marknadsintroduktionen. Symtomen försvann efter att risdiplam avslutats permanent. Frekvensen kan inte beräknas baserat från tillgängliga data.
Säkerhetsprofil hos presymtomatiska patienter
Baserat på den primära analysen för RAINBOWFISH är säkerhetsprofilen för Evrysdi hos presymtomatiska patienter överensstämmande med säkerhetsprofilen hos patienter med symtomatisk debut i spädbarnsåldern eller senare debuterad SMA. 26 patienter med presymtomatisk SMA i åldern 16 dagar till 41 dagar vid tiden för den första dosen (viktintervall 3,1 till 5,7 kg) rekryterades till studien RAINBOWFISH. Mediantiden för exponering var 20,4 månader (intervall: 10,6 till 41,9 månader). Data efter marknadsgodkännandet är begränsade hos nyfödda barn i åldern <20 dagar.
Säkerhetsprofil hos patienter som tidigare behandlats med andra SMA-modifierade terapier
Säkerhetsprofilen för risdiplam hos patienter som tidigare behandlats för SMA (inklusive de som tidigare behandlats med nusinersen eller med onasemnogene-abeparvovek), är överensstämmande med den hos patienter som inte tidigare fått behandling för SMA och som behandlades med risdiplam i de kliniska studierna FIREFISH, SUNFISH och RAINBOWFISH (se avsnitt 5.1).
Rapportering av misstänkta biverkningar
Det finns ingen känd antidot mot överdosering av risdiplam. I händelse av överdosering ska patienten övervakas noga och understödjande behandling sättas in.
Hjärtelektrofysiologi
Effekten av risdiplam på QTc-intervallet utvärderades i en studie med 47 friska vuxna personer. Vid den terapeutiska exponeringen förlängde risdiplam inte QTc-intervallet.
Klinisk effekt och säkerhet
Risdiplams effekt vid behandling av patienter med SMA med debut i spädbarnsåldern (SMA typ 1) eller senare debuterad SMA (SMA typ 2 och 3) utvärderades i 2 pivotala kliniska studier, FIREFISH och SUNFISH. Effektdata för risdiplam vid behandling av patienter med presymtomatisk SMA utvärderades i den kliniska studien RAINBOWFISH. Patienter med en klinisk diagnos av typ 4 SMA har inte studerats i kliniska prövningar.
SMA med debut i spädbarnsåldern
Studien BP39056 (FIREFISH) är en öppen studie i två delar för att undersöka risdiplams effekt, säkerhet, farmakokinetik (PK) och farmakodynamik (PD) hos patienter med symtomatisk SMA typ 1 (samtliga patienter hade genetiskt bekräftad sjukdom med 2 kopior av SMN2-genen). Del 1 i FIREFISH var utformad som en dosfinnande del av studien. Den bekräftande del 2 i studien FIREFISH bedömde effekten av risdiplam. Patienter från del 1 deltog inte i del 2.
Det primära effektmåttet var förmågan att sitta utan stöd i minst 5 sekunder, mätt enligt punkt 22 på Bayley-skalan för spädbarns och små barns utveckling – tredje utgåvan (BSID-III) grovmotorisk skala (Bayley Scales of Infant and Toddler Development – Third Edition (BSID-III) gross motor scale), efter 12 månaders behandling.
FIREFISH del 2
Till FIREFISH del 2 rekryterades 41 patienter med SMA typ 1. Medianåldern vid debut med kliniska tecken och symtom på SMA typ 1 var 1,5 månader (intervall: 1,0–3,0 månader), 54 % var flickor, 54 % var kaukasier och 34 % var asiater. Medianåldern vid rekrytering var 5,3 månader (intervall: 2,2–6,9 månader) och mediantiden från symtomdebut till första dos var 3,4 månader (intervall: 1,0‑6,0 månader). Vid studiestart var medianpoängen på CHOP-INTEND-skalan (Children's Hospital of Philadelphia Infant Test for Neuromuscular Disease) 22,0 (intervall: 8,0–37,0) och medianpoängen på HINE-2-skalan (Hammersmith Infant Neurological Examination Module 2) var 1,0 (intervall:
0,0–5,0).
Primärt effektmått var andelen patienter med förmåga att sitta utan stöd i minst 5 sekunder efter 12 månaders behandling (BSID-III grovmotorisk skala, punkt 22). Huvudsakliga effektmått för risdiplam-behandlade patienter visas i tabell 2.
Tabell 2. Sammanfattning av huvudsakliga effektresultat månad 12 och månad 24 (FIREFISH del 2)
Förkortningar: CHOP‑INTEND=Children’s Hospital of Philadelphia Infant Test of Neuromuscular Disorders; HINE-2=Modul 2 i Hammersmith Infant Neurological Examination.
a p-värde baseras på en ensidig exakt binomial test. Resultatet är jämfört med ett gränsvärde på 5 %.
b Enligt HINE-2: ≥2 poängs ökning [eller maximal poäng] i förmågan att sparka, ELLER ≥1 poängs ökning för de motoriska milstolparna: huvudkontroll, rulla, sitta, krypa, stå eller gå, SAMT förbättring i fler kategorier av motoriska milstolpar än försämring definieras som svar i denna analys.
c Sitta utan stöd inkluderar patienter som uppnådde ”sitter stabilt” (24 %, 10/41) och ”vänder sig (roterar)” 29 % 12/41) enligt bedömning med HINE-2 vid månad 24.
d En händelse uppfyller effektmåttet permanent ventilation definierat som trakeostomi eller ≥16 timmars icke-invasiv ventilation per dag eller intubation under >21 dagar i följd i frånvaro av, eller efter resolution av, en akut reversibel händelse. Tre patienter avled inom de 3 första månaderna efter rekryteringen till studien och 4 patienter uppfyllde effektmåttet permanent ventilation före månad 24. Dessa 4 patienter uppnådde en ökning med minst 4 poäng i CHOP-INTEND från studiestart.
e Inkluderar patienter som uteslutande matades peroralt (totalt 29 patienter) och de som matades peroralt i kombination med matningssond (totalt 6 patienter) vid månad 24.
Vid månad 24 uppnådde 44 % av patienterna förmågan att sitta utan stöd i 30 sekunder (BSID-III, punkt 26). Patienterna fortsatte att uppnå ytterligare motoriska milstolpar mätt med HINE-2, 80,5 % av patienterna kunde rulla och 27 % av patienterna uppnådde ett effektmått av att kunna stå (12 % bar upp sin vikt och 15 % stod med stöd).
Obehandlade patienter med SMA med debut i spädbarnsåldern skulle aldrig kunna sitta utan stöd och endast 25 % förväntas överleva utan permanent ventilation längre än till 14 månaders ålder.
Figur 1. Kaplan-Meier-diagram över händelsefri överlevnad (FIREFISH del 1 och 2)
+ Exklusion: två patienter i del 2 exkluderades på grund av att besöket månad 24 gjordes i förtid, och en patient i del 1 exkluderades efter att ha avbrutit behandlingen och avled 3,5 månader senare.
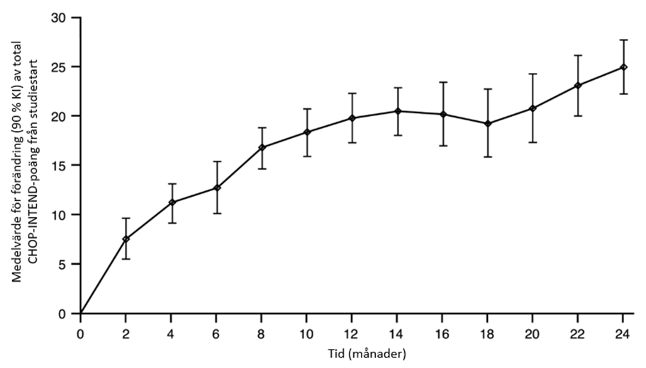
Figur 2. Medelvärde för förändring från studiestart i total CHOP-INTEND-poäng (FIREFISH del 2)
FIREFISH del 1
Risdiplams effekt hos patienter med SMA typ 1 stöds också av resultaten från FIREFISH del 1. Karakteristika vid studiestart för de 21 patienterna i del 1 överensstämde med symtomatiska patienter med SMA typ 1. Medianåldern vid rekrytering var 6,7 månader (intervall: 3,3–6,9 månader) och mediantiden från symtomdebut till första dos var 4,0 månader (intervall: 2,0–5,8 månader).
Totalt 17 patienter fick terapeutisk dos risdiplam (dos vald för del 2). Efter 12 månaders behandling kunde 41 % (7/17) av patienterna sitta självständigt i minst 5 sekunder (BSID-III, punkt 22). Efter 24 månaders behandling kunde ytterligare 3 patienter som fick terapeutisk dos sitta självständigt i minst 5 sekunder, vilket innebär att totalt 10 patienter (59 %) uppnådde denna motoriska milstolpe.
Efter 12 månaders behandling levde 90 % (19/21) av patienterna och var händelsefria (utan permanent ventilation) samt uppnådde 15 månaders ålder eller mer. Efter minst 33 månaders behandling levde 81 % (17/21) av patienterna och var händelsefria och uppnådde 37 månaders ålder eller mer (median 41 månader; intervall 37 till 53 månader), se figur 1. Tre patienter dog under behandling och en patient dog 3,5 månader efter att behandlingen sattes ut.
Senare debuterad SMA
Studie BP39055 (SUNFISH) är en multicenterstudie i två delar för att undersöka risdiplams effekt, säkerhet, PK och PD hos patienter med SMA typ 2 och 3 i åldern 2–25 år. Del 1 var den explorativa, dosfinnande delen och del 2 var den randomiserade, dubbelblinda, placebokontrollerade, bekräftande delen. Patienter från del 1 deltog inte i del 2.
Det primära effektmåttet var förändring från poängen vid studiestart till månad 12 på skalan Motor Function Measure-32 (MFM32). Med hjälp av MFM32 kan ett stort antal motoriska funktioner hos ett brett urval av SMA-patienter bedömas. Total MFM32-poäng uttrycks som procentandel (intervall:
0–100) av högsta möjliga poäng, där högre poäng indikerar bättre motorisk funktion.
SUNFISH del 2
SUNFISH del 2 är den randomiserade, dubbelblinda, placebokontrollerade delen av studien SUNFISH på 180 patienter utan gångförmåga med SMA typ 2 (71 %) eller typ 3 (29 %). Patienterna randomiserades med förhållandet 2:1 till att få antingen risdiplam vid terapeutisk dos (se avsnitt 4.2) eller placebo. Randomiseringen stratifierades efter åldersgrupp (2–5, 6–11, 12–17, 18–25 års ålder).
Patienternas medianålder vid behandlingsstart var 9,0 år (intervall 2–25 år), mediantiden från debut av initiala SMA-symtom till första behandling var 102,6 (1–275) månader. Totalt var 30 % 2 till 5 år, 32 % var 6 till 11 år, 26 % var 12 till 17 år och 12 % var 18 till 25 år vid rekrytering till studien. Av de 180 patienterna i studien var 51 % flickor, 67 % kaukasier och 19 % asiater. Vid studiestart hade 67 % skolios (32 % av patienterna hade svår skolios). Patienterna hade en genomsnittlig MFM32-poäng vid studiestart på 46,1 och en genomsnittlig poäng på Revised Upper Limb Module (RULM) på 20,1. Demografiska karakteristika vid studiestart var balanserade mellan risdiplam- och placeboarmarna med undantag av skolios (63 % av patienterna i risdiplam-armen och 73 % av patienterna i placeboarmen).
Den primära analysen för SUNFISH del 2, förändring från studiestart i total MFM32-poäng vid månad 12, visade en kliniskt meningsfull och statistiskt signifikant skillnad mellan patienter behandlade med risdiplam jämfört med placebo. Resultaten av den primära analysen och centrala sekundära effektmått visas i tabell 3, figur 3 och figur 4.
Tabell 3. Sammanfattning av effekt hos patienter med senare debuterad SMA efter 12 månaders behandling (SUNFISH del 2)
LS=minsta kvadrat
1. På grund av saknad dataregel för MFM32 uteslöts 6 patienter från analysen (risdiplam n=115; placebokontroll n=59).
2. Data analyserades med användning av en blandad modell för upprepade mätningar med total poäng vid studiestart, behandling, besök, åldersgrupp, behandling per besök och studiestart per besök.
3. Data analyserades med logistisk regression för total poäng vid studiestart, behandling och åldersgrupp.
4. Det justerade p-värdet erhölls för effektmåtten i den hierarkiska testningen och härleddes på basis av samtliga p-värden för effektmåtten i hierarkin fram till aktuellt effektmått.
5. På grund av saknad dataregel för RULM uteslöts 3 patienter från analysen (risdiplam n=119; placebokontroll n=58).
Efter 12 månaders slutförd behandling fortsatte 117 patienter att få risdiplam. Vid tidpunkten för 24-månaders analysen hade de patienter som behandlats med risdiplam i 24 månader totalt sett upplevt kvarstående förbättring av motorisk funktion mellan månad 12 och månad 24. Medelvärdet för förändring av MFM32 från studiestart var 1,83 (95 % KI: 0,74; 2,92) och 2,79 (95 % KI: 1,94; 3,64) för RULM.
Figur 3. Medelvärde för förändring av total MFM32-poäng från studiestart till månad 12 i SUNFISH del 21
1Minsta kvadratmedelvärden (LS) för skillnad i förändring av MFM32-poäng från studiestart [95 % KI]
Figur 4. Medelvärde för förändring av total RULM-poäng från studiestart till månad 12 i SUNFISH del 21
1Minsta kvadratmedelvärden (LS) för skillnad i förändring av RULM-poäng från studiestart [95 % KI]
SUNFISH del 1
Effekt hos patienter med senare debuterad SMA stöds också av resultat från del 1, den dosfinnande delen av SUNFISH. Till del 1 rekryterades 51 patienter med SMA typ 2 eller 3 (inklusive 7 patienter med bibehållen gångförmåga) mellan 2 och 25 års ålder. Efter 1 års behandling sågs en kliniskt meningsfull förbättring av motorisk funktion mätt med MFM32, med en genomsnittlig förändring från studiestart på 2,7 poäng (95 % KI: 1,5; 3,8). Förbättringen enligt MFM32 bibehölls under upp till 2 års behandling (genomsnittlig förändring på 2,7 poäng [95 % KI: 1,2; 4,2]).
Användning hos patienter som tidigare behandlats med andra SMA-modifierade terapier (JEWELFISH)
Studie BP39054 (JEWELFISH, n=174) är en enarmad, öppen studie som utvärderar säkerhet, tolerabilitet, farmakokinetik och farmakodynamik för risdiplam hos patienter med SMA med debut i spädbarnsåldern eller senare debuterad SMA (medianålder 14 år [intervall 1–60 år]), som tidigare fått behandling med andra godkända SMA-modifierade terapier (nusinersen n=76, onasemnogene-abeparvovek n=14) eller SMA-modifierade terapier i klinisk prövning. Av de 168 patienterna i åldern 2–60 år hade 83 % skolios och 63 % hade <10 poäng på HFMSE-skalan (Hammersmith Functional Motor Scale Expanded) vid studiestart.
Vid analysen vid behandlingsmånad 24 visade patienter i åldern 2–60 år en övergripande stabilisering av motorisk funktion mätt med MFM32 och RULM (n=137 respektive n=133). Patienter yngre än 2 år (n=6) bibehöll eller återfick motoriska milstolpar så som huvudkontroll, rulla och sitta utan stöd. Samtliga patienter som tidigare kunde gå (i åldern 5‑46 år, n=15) återfick sin förmåga att gå.
Presymtomatisk SMA (RAINBOWFISH)
Studie BN40703 (RAINBOWFISH) är en öppen, enarmad, multicenter klinisk studie för att undersöka effekt, säkerhet, farmakokinetik och farmakodynamik för risdiplam hos spädbarn från födsel till 6 veckors ålder (vid första dos) som har en genetiskt fastställd diagnos med SMA men som ännu inte uppvisar symtom.
Effekten hos patienter med presymtomatisk SMA utvärderades vid månad 12 hos 26 patienter [intent-to-treat-populationen (ITT)] som behandlats med risdiplam: åtta patienter hade 2 kopior av SMN2-genen, 13 patienter hade 3 kopior av SMN2-genen och 5 patienter hade ≥4 kopior av SMN2-genen. Medianåldern vid första dosen för dessa patienter var 25 dagar (intervall: 16 till 41 dagar), 62 % var av kvinnligt kön, 85 % var kaukasier. Vid studiestart var CHOP-INTEND-medianpoäng 51,5 (intervall: 35,0 till 62,0), medianpoängen på HINE-2-skalan var 2,5 (intervall: 0 till 6,0) och median amplitud för ulnanervens sammansatta muskelverkanspotential (CMAP) var 3,6 mV (intervall: 0,5 till 6,7 mV).
Populationen där primär effekt utvärderades (n=5) inkluderade patienter med 2 SMN2-kopior och en CMAP-amplitud på ≥1,5 mV vid baseline. Hos dessa patienter var CHOP-INTEND-medianpoäng 48,0 (intervall: 36,0 till 52,0), medianpoängen på HINE-2-skalan var 2,0 (intervall: 1,0 till 3,0) och median CMAP-amplitud var 2,6 mV (intervall: 1,6 till 3,8 mV) vid baseline.
Det primära effektmåttet i populationen där primär effekt utvärderades var andelen patienter med förmågan att sitta utan stöd under åtminstone 5 sekunder (BSID-III gross motor scale, Item 22) vid månad 12. En statistiskt signifikant och kliniskt betydelsefull andel av patienterna uppnådde denna milstolpe jämfört med det fördefinierade prestationskriteriet på 5 %.
De viktigaste effektmåtten för patienter behandlade med risdiplam visas i tabell 4 och 5 samt i figur 5.
Tabell 4. Förmåga att sitta definierat enligt BSID-III Item 22 för presymtomatiska patienter vid månad 12
Förkortningar: BSID-III = Bayley Scales of Infant and Toddler Development – Third Edition; KI=Konfidensintervall; ITT=Intent-to-treat
a Patienter med 2 SMN2-kopior hade en median CMAP amplitud på 2,0 (intevall 0,5 – 3,8) vid baseline.
b p-värde baseras på ett ensidigt exakt binomialtest. Resultaten jämförs med ett tröskelvärde på 5 %.
Dessutom uppnådde 80 % (4/5) av populationen där primär effekt utvärderades, 87,5 % (7/8) av patienterna med 2 SMN2-kopior och 80,8 % (21/26) av patienterna i ITT-populationen sittande utan stöd i 30 sekunder (BSID-III, Item 26).
Patienter i ITT-populationen uppnådde även motoriska milstolpar mätt med HINE-2 vid månad 12 (n=25). I denna population kunde 96,0 % av patienterna sitta [1 patient (1/8 patienter med 2 SMN2-kopior) kunde sitta stabilt och 23 patienter (6/8, 13/13, 4/4 av patienterna med 2, 3 respektive ≥4 SMN2-kopior) kunde vända sig/rotera]. Dessutom kunde 84 % av patienterna stå; 32 % (n=8) av patienterna kunde stå med stöd (3/8, 3/13 respektive 2/4 av patienterna med 2, 3 respektive ≥4 SMN2-kopior) och 52 % (n=13) av patienterna kunde stå utan hjälp (1/8, 10/13 respektive 2/4 av patienterna med 2, 3 respektive ≥4 SMN2-kopior). Dessutom kunde 72 % av patienterna hoppa, gå med stöd eller gå; 8 % (n=2) kunde hoppa (2/8 patienter med 2 SMN2-kopior), 16 % (n=4) kunde gå med stöd (3/13 och 1/4 patienter med 3 respektive ≥4 SMN2-kopior) och 48 % (n=12) kunde gå själva (1/8, 9/13 respektive 2/4 patienter med 2, 3 respektive ≥4 SMN2-kopior). Sju patienter testades inte för gångförmåga vid månad 12.
Figur 5. Total CHOP-INTEND-medianpoäng per besök och SMN2-kopia nummer (ITT-population)
Förkortningar: IQR = Interquartile range; SMN2 = Survival of Motor Neuron 2.
Farmakokinetiska parametrar har karakteriserats hos friska, vuxna personer och hos patienter med SMA.
Efter administrering av läkemedlet som oral lösning var PK för risdiplam ungefär linjär mellan 0,6 och 18 mg. Risdiplams PK beskrivs bäst med en populationsfarmakokinetisk modell med tre-transitkompartment för absorption, två kompartment för disposition och första ordningens eliminering. Kroppsvikt och ålder visades ha signifikant effekt på PK.
Beräknad exponering (genomsnittlig AUC0-24h) hos patienter med SMA med debut i spädbarnsåldern (ålder 2–7 månader vid rekrytering) vid den terapeutiska dosen 0,2 mg/kg en gång dagligen var 1930 ng*timme/ml. Beräknad genomsnittlig exponering hos presymtomatiska spädbarn (160 dagar till <2 månaders ålder) i studien RAINBOWFISH var 2020 ng*timme/ml vid 0,15 mg/kg en gång dagligen med 2 veckors administrering. Beräknad exponering hos patienter med senare debuterad SMA (2–25 år vid rekrytering) i SUNFISH (del 2) vid den terapeutiska dosen (0,25 mg/kg en gång dagligen för patienter med en kroppsvikt <20 kg; 5 mg en gång dagligen för patienter med en kroppsvikt ≥20 kg) var 2070 ng*timme/ml efter 1 års behandling och 1940 ng*timme/ml efter 5 års behandling. Beräknad exponering (genomsnittlig AUC0-24h) för patienter som tidigare behandlats för SMA (ålder 1–60 år vid rekrytering) var 1700 ng*timme/ml vid den terapeutiska dosen 0,25 mg/kg eller 5 mg. Den observerade maximala koncentrationen (genomsnittlig Cmax) var 194 ng/ml vid 0,2 mg/kg i FIREFISH, 140 ng/ml i SUNFISH del 2, 129 ng/ml i JEWELFISH, och den beräknade maximala koncentrationen vid 0,15 mg/kg i RAINBOWFISH är 111 ng/ml.
Absorption
Risdiplam absorberades snabbt vid fasta, med tmax i plasma på mellan 2 och 4,5 timmar efter att den filmdragerade tabletten hade administrerats oralt och svalts hel eller upplöst i vatten. Exponeringen för risdiplam efter att den filmdragerade tabletten hade administrerats och svalts hel eller lösts upp i vatten var bioekvivalent med pulvret till oral lösning. Föda (fettrik, kaloririk frukost) hade ingen relevant effekt på exponeringen av risdiplam. I de kliniska studierna administrerades risdiplam med ett morgonmål eller efter amning.
Distribution
Risdiplam distribueras jämnt till alla kroppsdelar, inklusive centrala nervsystemet (CNS) genom att passera blod-hjärnbarriären, och leder därmed till ökad mängd SMN-protein i CNS och i hela kroppen. Koncentrationerna av risdiplam i plasma och SMN-protein i blod speglar dess distribution och farmakodynamiska effekter i vävnader som hjärna och muskler.
Beräknade populationsfarmakokinetiska parametrar var: 98 l för skenbar central distributionsvolym, 93 l för perifer volym och 0,68 l/timme för clearance mellan kompartment.
Risdiplam binds i hög grad till serumalbumin utan bindning till surt alfa-1-glykoprotein, med en fri fraktion på 11 %.
Metabolism
Risdiplam metaboliseras huvudsakligen via FMO1 och FMO3 och även via CYP-enzymerna 1A1, 2J2, 3A4 och 3A7.
Samtidig administrering av 200 mg itrakonazol två gånger dagligen, en stark CYP3A4-hämmare, och en oral enkeldos om 6 mg risdiplam hade inte någon kliniskt betydelsefull effekt på PK för risdiplam (ökning av AUC med 11 %, minskning av Cmax med 9 %).
Eliminering
Populations-PK-analyser beräknade skenbart clearance (CL/F) till 2,6 l/timme för risdiplam.
Den effektiva halveringstiden för risdiplam var cirka 50 timmar hos SMA-patienter.
Risdiplam är inte substrat för humant multidrogresistensprotein 1 (MDR1).
Cirka 53 % av dosen (14 % oförändrat risdiplam) utsöndrades i feces och 28 % i urinen (8 % oförändrat risdiplam). Modersubstans var huvudkomponenten i plasma och stod för 83 % av läkemedelsrelaterat material i cirkulationen. Den farmakologiskt inaktiva metaboliten M1 identifierades som cirkulerande huvudmetabolit.
Farmakokinetik i särskilda populationer
Pediatrisk population
Kroppsvikt och ålder identifierades som kovariater i populations-PK-analysen. På basis av en sådan modell justeras därför dosen baserat på ålder (under och över 2 månader och 2 år) och kroppsvikt (upp till 20 kg) för att uppnå likartad exponering för olika åldrar och kroppsvikter. Begränsade PK-data finns tillgängliga för spädbarn yngre än 20 dagars ålder, eftersom endast ett 16 dagar gammalt spädbarn fick risdiplam i en lägre dos (0,04 mg/kg) i kliniska studier.
Äldre
Inga studier har utförts för att särskilt undersöka PK hos SMA-patienter äldre än 60 år. Patienter utan SMA upp till 69 års ålder inkluderades i de kliniska PK-studierna, vilka tyder på att ingen dosjustering är nödvändig för patienter upp till 69 års ålder.
Nedsatt njurfunktion
Inga studier har utförts för att undersöka PK hos patienter med nedsatt njurfunktion. Eliminering av risdiplam som oförändrad substans via renal utsöndring är blygsam (8 %).
Nedsatt leverfunktion
Lätt och måttligt nedsatt leverfunktion hade ingen signifikant påverkan på risdiplams PK. Efter en peroral engångsadministrering av 5 mg risdiplam var de genomsnittliga kvoterna för Cmax och AUC 0,95 och 0,80 vid lätt (n=8) respektive 1,20 och 1,08 vid måttligt nedsatt leverfunktion (n=8) jämfört med matchade friska kontroller (n=10). Säkerhet och PK hos patienter med svårt nedsatt leverfunktion har inte studerats.
Etnicitet
Det fanns inga farmakokinetiska skillnader mellan japanska och kaukasiska personer.
Nedsatt fertilitet
Behandling med risdiplam kopplades till cellcykelarrest av könsceller hos rått- och aphanar utan säkerhetsmarginaler baserat på systemiska exponeringar vid nivå utan observerade negativa effekter (NOAEL). Dessa effekter ledde till degenererade spermatocyter, degeneration/nekros i sädeskanalernas epitel och oligo/aspermi i bitestiklarna. Risdiplams effekter på sädesceller har sannolikt samband med en av risdiplam orsakad störning i celldelningscykeln, som är stadiumspecifik och förväntat reversibel. Inga effekter sågs på reproduktionsorgan hos rått- och aphonor efter behandling med risdiplam.
Inga studier avseende fertilitet eller tidig embryoutveckling utfördes med samtidig administrering av risdiplam, eftersom cellcykelarrest av sädesceller och embryotoxisk potential under behandling redan identifierats med behandling av råttor och apor i andra toxicitetsstudier. Ingen påverkan på manlig fertilitet eller kvinnlig fertilitet observerades i två studier i vilka råttor parade sig, antingen efter en fullföljd 13-veckors behandlingsperiod påbörjad vid avvänjning, eller 8 veckor efter en fullföljd 4-veckors behandlingsperiod påbörjad vid 4 dagars ålder.
Effekt på näthinnans struktur
Kronisk behandling av apor med risdiplam gav belägg för en effekt på näthinnan i form av degeneration av fotoreceptorer med start i näthinnans periferi. Vid utsättning av behandlingen var effekterna på retinogrammet delvis reversibla men degenerationen av fotoreceptorerna gick inte tillbaka. Effekterna monitorerades med optisk koherenstomografi (OCT) och med elektroretinografi (ERG). Effekterna sågs vid exponeringar som var mer än den dubbla exponeringen hos människa vid terapeutisk dos utan säkerhetsmarginal baserad på systemisk exponering vid NOAEL. Inga sådana fynd observerades hos albinoråttor eller pigmenterade råttor, när de fick kronisk behandling med risdiplam vid exponeringar som överskred dem hos apor. Sådana fynd har inte observerats i kliniska prövningar på SMA-patienter med regelbundna oftamologiska kontroller (inklusive SD-OCT och bedömning av synförmågan).
Effekter på epitelvävnader
Effekter på hud-, larynx- och ögonlockshistologi och på magtarmkanalen var tydliga hos råttor och apor som behandlades med risdiplam. Förändringar började bli synliga vid behandling med höga doser i 2 veckor eller mer. Vid kronisk behandling av apor i 39 veckor motsvarade NOAEL en exponering på mer än den dubbla genomsnittliga exponeringen hos människa vid terapeutisk dos.
Effekt på hematologiska parametrar
I det akuta mikrokärntestet i benmärg hos råtta observerades en mer än 50-procentig minskning av kvoten mellan polykroma (unga) och normokroma (mogna) erytrocyter, vilket tyder på en betydande benmärgstoxicitet vid den höga dosnivån, med en exponering som var mer än 15 gånger den genomsnittliga exponeringen hos människa vid terapeutisk dos. Vid längre behandling av råttor i 26 veckor var exponeringsmarginalerna till NOAEL cirka 4 gånger den genomsnittliga exponeringen hos människa vid terapeutisk dos.
Gentoxicitet
Risdiplam är inte mutagent i bakteriell omvänd mutationsanalys. I däggdjursceller in vitro och i benmärg hos råtta ökar risdiplam frekvensen av mikrokärnceller. Induktion av mikrokärnor i benmärg observerades i flera toxicitetsstudier på råtta (vuxna och juvenila djur). NOAEL är i samtliga studier associerad med en exponering på cirka 1,5 gånger exponeringen hos människa vid terapeutisk dos. Data tyder på att denna effekt är indirekt och sekundär till en störning i celldelningscykeln orsakad av risdiplam. Risdiplam har inte någon potential att skada DNA direkt.
Reproduktionstoxicitet
I studier på dräktiga råttor behandlade med risdiplam påvisades embryofetal toxicitet med lägre fostervikt och försenad utveckling. NOAEL för denna effekt var ungefär 2-faldigt de exponeringsnivåer som uppnås vid terapeutisk dos av risdiplam hos patienter. I studier på dräktiga kaniner observerades dysmorfogena effekter vid exponeringar som var toxiska för moderdjuret. Dessa effekter bestod i fyra foster (4 %) från 4 kullar (22 %) med hydrocefali. NOAEL för denna effekt var ungefär 4-faldigt de exponeringsnivåer som uppnås vid terapeutisk dos av risdiplam hos patienter. I en pre- och postnatal utvecklingsstudie på råttor som behandlades dagligen med risdiplam orsakade risdiplam en liten förlängning av dräktighetstiden. Studier på dräktiga och lakterande råttor visade att risdiplam passerar placentabarriären och utsöndras i mjölk.
Karcinogenicitet
Risdiplam visade inte någon karcinogen potential hos transgena rasH2-möss efter 6 månader och i en 2-årig studie på råtta med exponeringar som motsvarar de hos människa som fick maximal rekommenderad humandos (MRHD). Signifikanta ökningar av tumörer i preputialkörteln hos hanråttor och klitoralkörteln hos honråttor vid 4 gånger exponeringen av MRHD är utan relevans för människa eftersom båda är gnagarspecifika organ.
Studier på juvenila djur
Data från juvenila djur visar ingen särskild risk för människa.
Farmakoterapeutisk grupp: Övriga medel för sjukdomar i rörelseapparaten
ATC-kod: M09AX10
Verkningsmekanism
Risdiplam är en modifierare av pre-mRNA-splitsning av SMN2 (survival of motor neuron 2) utvecklad för behandling av SMA orsakad av mutationer i SMN1-genen i kromosom 5q som leder till brist på SMN-protein. Brist på funktionellt SMN-protein är direkt kopplad till SMA:s patofysiologi som inkluderar progredierande förlust av motoriska neuron och muskelsvaghet. Risdiplam korrigerar splitsningen av SMN2 så att exon 7 inkluderas istället för att exkluderas i mRNA-transkriptet, vilket leder till ökad produktion av funktionellt och stabilt SMN-protein. Risdiplam behandlar således SMA genom att öka och upprätthålla nivåerna av funktionellt SMN-protein.
Farmakodynamisk effekt
I studierna FIREFISH (patienter i åldern 2–7 månader vid rekrytering), SUNFISH (patienter i åldern 2–25 år vid rekrytering) och JEWELFISH (patienter i åldern 1–60 år vid rekrytering) hos patienter med SMA med debut i spädbarnsåldern eller med senare debuterad SMA, ledde risdiplam till en ökning av SMN-protein i blod med en mer än 2-faldig medianförändring från studiestart och inom 4 veckor från behandlingsstart vid alla typer av SMA som studerats. Ökningen kvarstod under hela behandlingsperioden (på minst 24 månader).
Hjärtelektrofysiologi
Effekten av risdiplam på QTc-intervallet utvärderades i en studie med 47 friska vuxna personer. Vid den terapeutiska exponeringen förlängde risdiplam inte QTc-intervallet.
Klinisk effekt och säkerhet
Risdiplams effekt vid behandling av patienter med SMA med debut i spädbarnsåldern (SMA typ 1) eller senare debuterad SMA (SMA typ 2 och 3) utvärderades i 2 pivotala kliniska studier, FIREFISH och SUNFISH. Effektdata för risdiplam vid behandling av patienter med presymtomatisk SMA utvärderades i den kliniska studien RAINBOWFISH. Patienter med en klinisk diagnos av typ 4 SMA har inte studerats i kliniska prövningar.
SMA med debut i spädbarnsåldern
Studien BP39056 (FIREFISH) är en öppen studie i två delar för att undersöka risdiplams effekt, säkerhet, farmakokinetik (PK) och farmakodynamik (PD) hos patienter med symtomatisk SMA typ 1 (samtliga patienter hade genetiskt bekräftad sjukdom med 2 kopior av SMN2-genen). Del 1 i FIREFISH var utformad som en dosfinnande del av studien. Den bekräftande del 2 i studien FIREFISH bedömde effekten av risdiplam. Patienter från del 1 deltog inte i del 2.
Det primära effektmåttet var förmågan att sitta utan stöd i minst 5 sekunder, mätt enligt punkt 22 på Bayley-skalan för spädbarns och små barns utveckling – tredje utgåvan (BSID-III) grovmotorisk skala (Bayley Scales of Infant and Toddler Development – Third Edition (BSID-III) gross motor scale), efter 12 månaders behandling.
FIREFISH del 2
Till FIREFISH del 2 rekryterades 41 patienter med SMA typ 1. Medianåldern vid debut med kliniska tecken och symtom på SMA typ 1 var 1,5 månader (intervall: 1,0–3,0 månader), 54 % var flickor, 54 % var kaukasier och 34 % var asiater. Medianåldern vid rekrytering var 5,3 månader (intervall: 2,2–6,9 månader) och mediantiden från symtomdebut till första dos var 3,4 månader (intervall: 1,0‑6,0 månader). Vid studiestart var medianpoängen på CHOP-INTEND-skalan (Children's Hospital of Philadelphia Infant Test for Neuromuscular Disease) 22,0 (intervall: 8,0–37,0) och medianpoängen på HINE-2-skalan (Hammersmith Infant Neurological Examination Module 2) var 1,0 (intervall:
0,0–5,0).
Primärt effektmått var andelen patienter med förmåga att sitta utan stöd i minst 5 sekunder efter 12 månaders behandling (BSID-III grovmotorisk skala, punkt 22). Huvudsakliga effektmått för risdiplam-behandlade patienter visas i tabell 2.
Tabell 2. Sammanfattning av huvudsakliga effektresultat månad 12 och månad 24 (FIREFISH del 2)
Förkortningar: CHOP‑INTEND=Children’s Hospital of Philadelphia Infant Test of Neuromuscular Disorders; HINE-2=Modul 2 i Hammersmith Infant Neurological Examination.
a p-värde baseras på en ensidig exakt binomial test. Resultatet är jämfört med ett gränsvärde på 5 %.
b Enligt HINE-2: ≥2 poängs ökning [eller maximal poäng] i förmågan att sparka, ELLER ≥1 poängs ökning för de motoriska milstolparna: huvudkontroll, rulla, sitta, krypa, stå eller gå, SAMT förbättring i fler kategorier av motoriska milstolpar än försämring definieras som svar i denna analys.
c Sitta utan stöd inkluderar patienter som uppnådde ”sitter stabilt” (24 %, 10/41) och ”vänder sig (roterar)” 29 % 12/41) enligt bedömning med HINE-2 vid månad 24.
d En händelse uppfyller effektmåttet permanent ventilation definierat som trakeostomi eller ≥16 timmars icke-invasiv ventilation per dag eller intubation under >21 dagar i följd i frånvaro av, eller efter resolution av, en akut reversibel händelse. Tre patienter avled inom de 3 första månaderna efter rekryteringen till studien och 4 patienter uppfyllde effektmåttet permanent ventilation före månad 24. Dessa 4 patienter uppnådde en ökning med minst 4 poäng i CHOP-INTEND från studiestart.
e Inkluderar patienter som uteslutande matades peroralt (totalt 29 patienter) och de som matades peroralt i kombination med matningssond (totalt 6 patienter) vid månad 24.
Vid månad 24 uppnådde 44 % av patienterna förmågan att sitta utan stöd i 30 sekunder (BSID-III, punkt 26). Patienterna fortsatte att uppnå ytterligare motoriska milstolpar mätt med HINE-2, 80,5 % av patienterna kunde rulla och 27 % av patienterna uppnådde ett effektmått av att kunna stå (12 % bar upp sin vikt och 15 % stod med stöd).
Obehandlade patienter med SMA med debut i spädbarnsåldern skulle aldrig kunna sitta utan stöd och endast 25 % förväntas överleva utan permanent ventilation längre än till 14 månaders ålder.
Figur 1. Kaplan-Meier-diagram över händelsefri överlevnad (FIREFISH del 1 och 2)
+ Exklusion: två patienter i del 2 exkluderades på grund av att besöket månad 24 gjordes i förtid, och en patient i del 1 exkluderades efter att ha avbrutit behandlingen och avled 3,5 månader senare.
Figur 2. Medelvärde för förändring från studiestart i total CHOP-INTEND-poäng (FIREFISH del 2)
FIREFISH del 1
Risdiplams effekt hos patienter med SMA typ 1 stöds också av resultaten från FIREFISH del 1. Karakteristika vid studiestart för de 21 patienterna i del 1 överensstämde med symtomatiska patienter med SMA typ 1. Medianåldern vid rekrytering var 6,7 månader (intervall: 3,3–6,9 månader) och mediantiden från symtomdebut till första dos var 4,0 månader (intervall: 2,0–5,8 månader).
Totalt 17 patienter fick terapeutisk dos risdiplam (dos vald för del 2). Efter 12 månaders behandling kunde 41 % (7/17) av patienterna sitta självständigt i minst 5 sekunder (BSID-III, punkt 22). Efter 24 månaders behandling kunde ytterligare 3 patienter som fick terapeutisk dos sitta självständigt i minst 5 sekunder, vilket innebär att totalt 10 patienter (59 %) uppnådde denna motoriska milstolpe.
Efter 12 månaders behandling levde 90 % (19/21) av patienterna och var händelsefria (utan permanent ventilation) samt uppnådde 15 månaders ålder eller mer. Efter minst 33 månaders behandling levde 81 % (17/21) av patienterna och var händelsefria och uppnådde 37 månaders ålder eller mer (median 41 månader; intervall 37 till 53 månader), se figur 1. Tre patienter dog under behandling och en patient dog 3,5 månader efter att behandlingen sattes ut.
Senare debuterad SMA
Studie BP39055 (SUNFISH) är en multicenterstudie i två delar för att undersöka risdiplams effekt, säkerhet, PK och PD hos patienter med SMA typ 2 och 3 i åldern 2–25 år. Del 1 var den explorativa, dosfinnande delen och del 2 var den randomiserade, dubbelblinda, placebokontrollerade, bekräftande delen. Patienter från del 1 deltog inte i del 2.
Det primära effektmåttet var förändring från poängen vid studiestart till månad 12 på skalan Motor Function Measure-32 (MFM32). Med hjälp av MFM32 kan ett stort antal motoriska funktioner hos ett brett urval av SMA-patienter bedömas. Total MFM32-poäng uttrycks som procentandel (intervall:
0–100) av högsta möjliga poäng, där högre poäng indikerar bättre motorisk funktion.
SUNFISH del 2
SUNFISH del 2 är den randomiserade, dubbelblinda, placebokontrollerade delen av studien SUNFISH på 180 patienter utan gångförmåga med SMA typ 2 (71 %) eller typ 3 (29 %). Patienterna randomiserades med förhållandet 2:1 till att få antingen risdiplam vid terapeutisk dos (se avsnitt 4.2) eller placebo. Randomiseringen stratifierades efter åldersgrupp (2–5, 6–11, 12–17, 18–25 års ålder).
Patienternas medianålder vid behandlingsstart var 9,0 år (intervall 2–25 år), mediantiden från debut av initiala SMA-symtom till första behandling var 102,6 (1–275) månader. Totalt var 30 % 2 till 5 år, 32 % var 6 till 11 år, 26 % var 12 till 17 år och 12 % var 18 till 25 år vid rekrytering till studien. Av de 180 patienterna i studien var 51 % flickor, 67 % kaukasier och 19 % asiater. Vid studiestart hade 67 % skolios (32 % av patienterna hade svår skolios). Patienterna hade en genomsnittlig MFM32-poäng vid studiestart på 46,1 och en genomsnittlig poäng på Revised Upper Limb Module (RULM) på 20,1. Demografiska karakteristika vid studiestart var balanserade mellan risdiplam- och placeboarmarna med undantag av skolios (63 % av patienterna i risdiplam-armen och 73 % av patienterna i placeboarmen).
Den primära analysen för SUNFISH del 2, förändring från studiestart i total MFM32-poäng vid månad 12, visade en kliniskt meningsfull och statistiskt signifikant skillnad mellan patienter behandlade med risdiplam jämfört med placebo. Resultaten av den primära analysen och centrala sekundära effektmått visas i tabell 3, figur 3 och figur 4.
Tabell 3. Sammanfattning av effekt hos patienter med senare debuterad SMA efter 12 månaders behandling (SUNFISH del 2)
LS=minsta kvadrat
1. På grund av saknad dataregel för MFM32 uteslöts 6 patienter från analysen (risdiplam n=115; placebokontroll n=59).
2. Data analyserades med användning av en blandad modell för upprepade mätningar med total poäng vid studiestart, behandling, besök, åldersgrupp, behandling per besök och studiestart per besök.
3. Data analyserades med logistisk regression för total poäng vid studiestart, behandling och åldersgrupp.
4. Det justerade p-värdet erhölls för effektmåtten i den hierarkiska testningen och härleddes på basis av samtliga p-värden för effektmåtten i hierarkin fram till aktuellt effektmått.
5. På grund av saknad dataregel för RULM uteslöts 3 patienter från analysen (risdiplam n=119; placebokontroll n=58).
Efter 12 månaders slutförd behandling fortsatte 117 patienter att få risdiplam. Vid tidpunkten för 24-månaders analysen hade de patienter som behandlats med risdiplam i 24 månader totalt sett upplevt kvarstående förbättring av motorisk funktion mellan månad 12 och månad 24. Medelvärdet för förändring av MFM32 från studiestart var 1,83 (95 % KI: 0,74; 2,92) och 2,79 (95 % KI: 1,94; 3,64) för RULM.
Figur 3. Medelvärde för förändring av total MFM32-poäng från studiestart till månad 12 i SUNFISH del 21
1Minsta kvadratmedelvärden (LS) för skillnad i förändring av MFM32-poäng från studiestart [95 % KI]
Figur 4. Medelvärde för förändring av total RULM-poäng från studiestart till månad 12 i SUNFISH del 21
1Minsta kvadratmedelvärden (LS) för skillnad i förändring av RULM-poäng från studiestart [95 % KI]
SUNFISH del 1
Effekt hos patienter med senare debuterad SMA stöds också av resultat från del 1, den dosfinnande delen av SUNFISH. Till del 1 rekryterades 51 patienter med SMA typ 2 eller 3 (inklusive 7 patienter med bibehållen gångförmåga) mellan 2 och 25 års ålder. Efter 1 års behandling sågs en kliniskt meningsfull förbättring av motorisk funktion mätt med MFM32, med en genomsnittlig förändring från studiestart på 2,7 poäng (95 % KI: 1,5; 3,8). Förbättringen enligt MFM32 bibehölls under upp till 2 års behandling (genomsnittlig förändring på 2,7 poäng [95 % KI: 1,2; 4,2]).
Användning hos patienter som tidigare behandlats med andra SMA-modifierade terapier (JEWELFISH)
Studie BP39054 (JEWELFISH, n=174) är en enarmad, öppen studie som utvärderar säkerhet, tolerabilitet, farmakokinetik och farmakodynamik för risdiplam hos patienter med SMA med debut i spädbarnsåldern eller senare debuterad SMA (medianålder 14 år [intervall 1–60 år]), som tidigare fått behandling med andra godkända SMA-modifierade terapier (nusinersen n=76, onasemnogene-abeparvovek n=14) eller SMA-modifierade terapier i klinisk prövning. Av de 168 patienterna i åldern 2–60 år hade 83 % skolios och 63 % hade <10 poäng på HFMSE-skalan (Hammersmith Functional Motor Scale Expanded) vid studiestart.
Vid analysen vid behandlingsmånad 24 visade patienter i åldern 2–60 år en övergripande stabilisering av motorisk funktion mätt med MFM32 och RULM (n=137 respektive n=133). Patienter yngre än 2 år (n=6) bibehöll eller återfick motoriska milstolpar så som huvudkontroll, rulla och sitta utan stöd. Samtliga patienter som tidigare kunde gå (i åldern 5‑46 år, n=15) återfick sin förmåga att gå.
Presymtomatisk SMA (RAINBOWFISH)
Studie BN40703 (RAINBOWFISH) är en öppen, enarmad, multicenter klinisk studie för att undersöka effekt, säkerhet, farmakokinetik och farmakodynamik för risdiplam hos spädbarn från födsel till 6 veckors ålder (vid första dos) som har en genetiskt fastställd diagnos med SMA men som ännu inte uppvisar symtom.
Effekten hos patienter med presymtomatisk SMA utvärderades vid månad 12 hos 26 patienter [intent-to-treat-populationen (ITT)] som behandlats med risdiplam: åtta patienter hade 2 kopior av SMN2-genen, 13 patienter hade 3 kopior av SMN2-genen och 5 patienter hade ≥4 kopior av SMN2-genen. Medianåldern vid första dosen för dessa patienter var 25 dagar (intervall: 16 till 41 dagar), 62 % var av kvinnligt kön, 85 % var kaukasier. Vid studiestart var CHOP-INTEND-medianpoäng 51,5 (intervall: 35,0 till 62,0), medianpoängen på HINE-2-skalan var 2,5 (intervall: 0 till 6,0) och median amplitud för ulnanervens sammansatta muskelverkanspotential (CMAP) var 3,6 mV (intervall: 0,5 till 6,7 mV).
Populationen där primär effekt utvärderades (n=5) inkluderade patienter med 2 SMN2-kopior och en CMAP-amplitud på ≥1,5 mV vid baseline. Hos dessa patienter var CHOP-INTEND-medianpoäng 48,0 (intervall: 36,0 till 52,0), medianpoängen på HINE-2-skalan var 2,0 (intervall: 1,0 till 3,0) och median CMAP-amplitud var 2,6 mV (intervall: 1,6 till 3,8 mV) vid baseline.
Det primära effektmåttet i populationen där primär effekt utvärderades var andelen patienter med förmågan att sitta utan stöd under åtminstone 5 sekunder (BSID-III gross motor scale, Item 22) vid månad 12. En statistiskt signifikant och kliniskt betydelsefull andel av patienterna uppnådde denna milstolpe jämfört med det fördefinierade prestationskriteriet på 5 %.
De viktigaste effektmåtten för patienter behandlade med risdiplam visas i tabell 4 och 5 samt i figur 5.
Tabell 4. Förmåga att sitta definierat enligt BSID-III Item 22 för presymtomatiska patienter vid månad 12
Förkortningar: BSID-III = Bayley Scales of Infant and Toddler Development – Third Edition; KI=Konfidensintervall; ITT=Intent-to-treat
a Patienter med 2 SMN2-kopior hade en median CMAP amplitud på 2,0 (intevall 0,5 – 3,8) vid baseline.
b p-värde baseras på ett ensidigt exakt binomialtest. Resultaten jämförs med ett tröskelvärde på 5 %.
Dessutom uppnådde 80 % (4/5) av populationen där primär effekt utvärderades, 87,5 % (7/8) av patienterna med 2 SMN2-kopior och 80,8 % (21/26) av patienterna i ITT-populationen sittande utan stöd i 30 sekunder (BSID-III, Item 26).
Patienter i ITT-populationen uppnådde även motoriska milstolpar mätt med HINE-2 vid månad 12 (n=25). I denna population kunde 96,0 % av patienterna sitta [1 patient (1/8 patienter med 2 SMN2-kopior) kunde sitta stabilt och 23 patienter (6/8, 13/13, 4/4 av patienterna med 2, 3 respektive ≥4 SMN2-kopior) kunde vända sig/rotera]. Dessutom kunde 84 % av patienterna stå; 32 % (n=8) av patienterna kunde stå med stöd (3/8, 3/13 respektive 2/4 av patienterna med 2, 3 respektive ≥4 SMN2-kopior) och 52 % (n=13) av patienterna kunde stå utan hjälp (1/8, 10/13 respektive 2/4 av patienterna med 2, 3 respektive ≥4 SMN2-kopior). Dessutom kunde 72 % av patienterna hoppa, gå med stöd eller gå; 8 % (n=2) kunde hoppa (2/8 patienter med 2 SMN2-kopior), 16 % (n=4) kunde gå med stöd (3/13 och 1/4 patienter med 3 respektive ≥4 SMN2-kopior) och 48 % (n=12) kunde gå själva (1/8, 9/13 respektive 2/4 patienter med 2, 3 respektive ≥4 SMN2-kopior). Sju patienter testades inte för gångförmåga vid månad 12.
Figur 5. Total CHOP-INTEND-medianpoäng per besök och SMN2-kopia nummer (ITT-population)
Förkortningar: IQR = Interquartile range; SMN2 = Survival of Motor Neuron 2.
Farmakokinetiska parametrar har karakteriserats hos friska, vuxna personer och hos patienter med SMA.
Efter administrering av läkemedlet som oral lösning var PK för risdiplam ungefär linjär mellan 0,6 och 18 mg. Risdiplams PK beskrivs bäst med en populationsfarmakokinetisk modell med tre-transitkompartment för absorption, två kompartment för disposition och första ordningens eliminering. Kroppsvikt och ålder visades ha signifikant effekt på PK.
Beräknad exponering (genomsnittlig AUC0-24h) hos patienter med SMA med debut i spädbarnsåldern (ålder 2–7 månader vid rekrytering) vid den terapeutiska dosen 0,2 mg/kg en gång dagligen var 1930 ng*timme/ml. Beräknad genomsnittlig exponering hos presymtomatiska spädbarn (160 dagar till <2 månaders ålder) i studien RAINBOWFISH var 2020 ng*timme/ml vid 0,15 mg/kg en gång dagligen med 2 veckors administrering. Beräknad exponering hos patienter med senare debuterad SMA (2–25 år vid rekrytering) i SUNFISH (del 2) vid den terapeutiska dosen (0,25 mg/kg en gång dagligen för patienter med en kroppsvikt <20 kg; 5 mg en gång dagligen för patienter med en kroppsvikt ≥20 kg) var 2070 ng*timme/ml efter 1 års behandling och 1940 ng*timme/ml efter 5 års behandling. Beräknad exponering (genomsnittlig AUC0-24h) för patienter som tidigare behandlats för SMA (ålder 1–60 år vid rekrytering) var 1700 ng*timme/ml vid den terapeutiska dosen 0,25 mg/kg eller 5 mg. Den observerade maximala koncentrationen (genomsnittlig Cmax) var 194 ng/ml vid 0,2 mg/kg i FIREFISH, 140 ng/ml i SUNFISH del 2, 129 ng/ml i JEWELFISH, och den beräknade maximala koncentrationen vid 0,15 mg/kg i RAINBOWFISH är 111 ng/ml.
Absorption
Risdiplam absorberades snabbt vid fasta, med tmax i plasma på mellan 2 och 4,5 timmar efter att den filmdragerade tabletten hade administrerats oralt och svalts hel eller upplöst i vatten. Exponeringen för risdiplam efter att den filmdragerade tabletten hade administrerats och svalts hel eller lösts upp i vatten var bioekvivalent med pulvret till oral lösning. Föda (fettrik, kaloririk frukost) hade ingen relevant effekt på exponeringen av risdiplam. I de kliniska studierna administrerades risdiplam med ett morgonmål eller efter amning.
Distribution
Risdiplam distribueras jämnt till alla kroppsdelar, inklusive centrala nervsystemet (CNS) genom att passera blod-hjärnbarriären, och leder därmed till ökad mängd SMN-protein i CNS och i hela kroppen. Koncentrationerna av risdiplam i plasma och SMN-protein i blod speglar dess distribution och farmakodynamiska effekter i vävnader som hjärna och muskler.
Beräknade populationsfarmakokinetiska parametrar var: 98 l för skenbar central distributionsvolym, 93 l för perifer volym och 0,68 l/timme för clearance mellan kompartment.
Risdiplam binds i hög grad till serumalbumin utan bindning till surt alfa-1-glykoprotein, med en fri fraktion på 11 %.
Metabolism
Risdiplam metaboliseras huvudsakligen via FMO1 och FMO3 och även via CYP-enzymerna 1A1, 2J2, 3A4 och 3A7.
Samtidig administrering av 200 mg itrakonazol två gånger dagligen, en stark CYP3A4-hämmare, och en oral enkeldos om 6 mg risdiplam hade inte någon kliniskt betydelsefull effekt på PK för risdiplam (ökning av AUC med 11 %, minskning av Cmax med 9 %).
Eliminering
Populations-PK-analyser beräknade skenbart clearance (CL/F) till 2,6 l/timme för risdiplam.
Den effektiva halveringstiden för risdiplam var cirka 50 timmar hos SMA-patienter.
Risdiplam är inte substrat för humant multidrogresistensprotein 1 (MDR1).
Cirka 53 % av dosen (14 % oförändrat risdiplam) utsöndrades i feces och 28 % i urinen (8 % oförändrat risdiplam). Modersubstans var huvudkomponenten i plasma och stod för 83 % av läkemedelsrelaterat material i cirkulationen. Den farmakologiskt inaktiva metaboliten M1 identifierades som cirkulerande huvudmetabolit.
Farmakokinetik i särskilda populationer
Pediatrisk population
Kroppsvikt och ålder identifierades som kovariater i populations-PK-analysen. På basis av en sådan modell justeras därför dosen baserat på ålder (under och över 2 månader och 2 år) och kroppsvikt (upp till 20 kg) för att uppnå likartad exponering för olika åldrar och kroppsvikter. Begränsade PK-data finns tillgängliga för spädbarn yngre än 20 dagars ålder, eftersom endast ett 16 dagar gammalt spädbarn fick risdiplam i en lägre dos (0,04 mg/kg) i kliniska studier.
Äldre
Inga studier har utförts för att särskilt undersöka PK hos SMA-patienter äldre än 60 år. Patienter utan SMA upp till 69 års ålder inkluderades i de kliniska PK-studierna, vilka tyder på att ingen dosjustering är nödvändig för patienter upp till 69 års ålder.
Nedsatt njurfunktion
Inga studier har utförts för att undersöka PK hos patienter med nedsatt njurfunktion. Eliminering av risdiplam som oförändrad substans via renal utsöndring är blygsam (8 %).
Nedsatt leverfunktion
Lätt och måttligt nedsatt leverfunktion hade ingen signifikant påverkan på risdiplams PK. Efter en peroral engångsadministrering av 5 mg risdiplam var de genomsnittliga kvoterna för Cmax och AUC 0,95 och 0,80 vid lätt (n=8) respektive 1,20 och 1,08 vid måttligt nedsatt leverfunktion (n=8) jämfört med matchade friska kontroller (n=10). Säkerhet och PK hos patienter med svårt nedsatt leverfunktion har inte studerats.
Etnicitet
Det fanns inga farmakokinetiska skillnader mellan japanska och kaukasiska personer.
Nedsatt fertilitet
Behandling med risdiplam kopplades till cellcykelarrest av könsceller hos rått- och aphanar utan säkerhetsmarginaler baserat på systemiska exponeringar vid nivå utan observerade negativa effekter (NOAEL). Dessa effekter ledde till degenererade spermatocyter, degeneration/nekros i sädeskanalernas epitel och oligo/aspermi i bitestiklarna. Risdiplams effekter på sädesceller har sannolikt samband med en av risdiplam orsakad störning i celldelningscykeln, som är stadiumspecifik och förväntat reversibel. Inga effekter sågs på reproduktionsorgan hos rått- och aphonor efter behandling med risdiplam.
Inga studier avseende fertilitet eller tidig embryoutveckling utfördes med samtidig administrering av risdiplam, eftersom cellcykelarrest av sädesceller och embryotoxisk potential under behandling redan identifierats med behandling av råttor och apor i andra toxicitetsstudier. Ingen påverkan på manlig fertilitet eller kvinnlig fertilitet observerades i två studier i vilka råttor parade sig, antingen efter en fullföljd 13-veckors behandlingsperiod påbörjad vid avvänjning, eller 8 veckor efter en fullföljd 4-veckors behandlingsperiod påbörjad vid 4 dagars ålder.
Effekt på näthinnans struktur
Kronisk behandling av apor med risdiplam gav belägg för en effekt på näthinnan i form av degeneration av fotoreceptorer med start i näthinnans periferi. Vid utsättning av behandlingen var effekterna på retinogrammet delvis reversibla men degenerationen av fotoreceptorerna gick inte tillbaka. Effekterna monitorerades med optisk koherenstomografi (OCT) och med elektroretinografi (ERG). Effekterna sågs vid exponeringar som var mer än den dubbla exponeringen hos människa vid terapeutisk dos utan säkerhetsmarginal baserad på systemisk exponering vid NOAEL. Inga sådana fynd observerades hos albinoråttor eller pigmenterade råttor, när de fick kronisk behandling med risdiplam vid exponeringar som överskred dem hos apor. Sådana fynd har inte observerats i kliniska prövningar på SMA-patienter med regelbundna oftamologiska kontroller (inklusive SD-OCT och bedömning av synförmågan).
Effekter på epitelvävnader
Effekter på hud-, larynx- och ögonlockshistologi och på magtarmkanalen var tydliga hos råttor och apor som behandlades med risdiplam. Förändringar började bli synliga vid behandling med höga doser i 2 veckor eller mer. Vid kronisk behandling av apor i 39 veckor motsvarade NOAEL en exponering på mer än den dubbla genomsnittliga exponeringen hos människa vid terapeutisk dos.
Effekt på hematologiska parametrar
I det akuta mikrokärntestet i benmärg hos råtta observerades en mer än 50-procentig minskning av kvoten mellan polykroma (unga) och normokroma (mogna) erytrocyter, vilket tyder på en betydande benmärgstoxicitet vid den höga dosnivån, med en exponering som var mer än 15 gånger den genomsnittliga exponeringen hos människa vid terapeutisk dos. Vid längre behandling av råttor i 26 veckor var exponeringsmarginalerna till NOAEL cirka 4 gånger den genomsnittliga exponeringen hos människa vid terapeutisk dos.
Gentoxicitet
Risdiplam är inte mutagent i bakteriell omvänd mutationsanalys. I däggdjursceller in vitro och i benmärg hos råtta ökar risdiplam frekvensen av mikrokärnceller. Induktion av mikrokärnor i benmärg observerades i flera toxicitetsstudier på råtta (vuxna och juvenila djur). NOAEL är i samtliga studier associerad med en exponering på cirka 1,5 gånger exponeringen hos människa vid terapeutisk dos. Data tyder på att denna effekt är indirekt och sekundär till en störning i celldelningscykeln orsakad av risdiplam. Risdiplam har inte någon potential att skada DNA direkt.
Reproduktionstoxicitet
I studier på dräktiga råttor behandlade med risdiplam påvisades embryofetal toxicitet med lägre fostervikt och försenad utveckling. NOAEL för denna effekt var ungefär 2-faldigt de exponeringsnivåer som uppnås vid terapeutisk dos av risdiplam hos patienter. I studier på dräktiga kaniner observerades dysmorfogena effekter vid exponeringar som var toxiska för moderdjuret. Dessa effekter bestod i fyra foster (4 %) från 4 kullar (22 %) med hydrocefali. NOAEL för denna effekt var ungefär 4-faldigt de exponeringsnivåer som uppnås vid terapeutisk dos av risdiplam hos patienter. I en pre- och postnatal utvecklingsstudie på råttor som behandlades dagligen med risdiplam orsakade risdiplam en liten förlängning av dräktighetstiden. Studier på dräktiga och lakterande råttor visade att risdiplam passerar placentabarriären och utsöndras i mjölk.
Karcinogenicitet
Risdiplam visade inte någon karcinogen potential hos transgena rasH2-möss efter 6 månader och i en 2-årig studie på råtta med exponeringar som motsvarar de hos människa som fick maximal rekommenderad humandos (MRHD). Signifikanta ökningar av tumörer i preputialkörteln hos hanråttor och klitoralkörteln hos honråttor vid 4 gånger exponeringen av MRHD är utan relevans för människa eftersom båda är gnagarspecifika organ.
Studier på juvenila djur
Data från juvenila djur visar ingen särskild risk för människa.
järnoxid (gulfärgad) (E172)
Ej relevant.
3 år.
Filmdragerade tabletter
Inga särskilda temperaturanvisningar. Förvaras i originalförpackningen. Fuktkänsligt.
De filmdragerade Evrysdi-tabletterna finns i perforerade endosblister av aluminium/aluminiumblister som innehåller sju filmdragerade tabletter. Förpackningsstorlek om 28 x 1 filmdragerade tabletter (fyra blister med 7 x 1 tabletter).
Fullständiga uppgifter om hur de filmdragerade Evrysdi-tabletterna ska beredas och administreras finns i bruksanvisningen i slutet av bipacksedeln.
Ej använt läkemedel och avfall ska kasseras enligt gällande anvisningar.
Tablettkärna
vinsyra (E334)
mannitol (E421)
mikrokristallin cellulosa (E460)
kiseldioxid, kolloidal, vattenfri (E551)
krospovidon
natriumstearylfumarat
smakämne (jordgubbssmak): naturliga aromämnen, aromberedningar, majsmaltodextrin, modifierad vaxartad majsstärkelse (E1450)
Filmdragering
polyvinylalkohol
titandioxid (E171)
makrogol 3350 (E1521)
talk (E553b)
järnoxid (gulfärgad) (E172)
Ej relevant.
3 år.
Filmdragerade tabletter
Inga särskilda temperaturanvisningar. Förvaras i originalförpackningen. Fuktkänsligt.
De filmdragerade Evrysdi-tabletterna finns i perforerade endosblister av aluminium/aluminiumblister som innehåller sju filmdragerade tabletter. Förpackningsstorlek om 28 x 1 filmdragerade tabletter (fyra blister med 7 x 1 tabletter).
Fullständiga uppgifter om hur de filmdragerade Evrysdi-tabletterna ska beredas och administreras finns i bruksanvisningen i slutet av bipacksedeln.
Ej använt läkemedel och avfall ska kasseras enligt gällande anvisningar.