Rybelsus 1,5 mg tabletter
Rybelsus 4 mg tabletter
Rybelsus 9 mg tabletter
Rybelsus 25 mg tabletter
Rybelsus 50 mg tabletter
Novo Nordisk A/S
Novo Allé
DK-2880 Bagsværd
Danmark
Första godkännandet: 03 April 2020
Förnyat godkännande: 22 November 2024
11/2025
*human glukagonliknande peptid-1 (GLP-1)-analog framställd i Saccharomyces cerevisiae-celler med rekombinant DNA-teknik.
För fullständig förteckning över hjälpämnen, se avsnitt 6.1.
Rybelsus 1,5 mg tabletter
Varje tablett innehåller 1,5 mg semaglutid*.
Rybelsus 4 mg tabletter
Varje tablett innehåller 4 mg semaglutid*.
Rybelsus 9 mg tabletter
Varje tablett innehåller 9 mg semaglutid*.
Rybelsus 25 mg tabletter
Varje tablett innehåller 25 mg semaglutid*.
Rybelsus 50 mg tabletter
Varje tablett innehåller 50 mg semaglutid*.
*human glukagonliknande peptid-1 (GLP-1)-analog framställd i Saccharomyces cerevisiae-celler med rekombinant DNA-teknik.
För fullständig förteckning över hjälpämnen, se avsnitt 6.1.
Vit till ljusgul, oval tablett (6,8 mm x 12 mm) med ”50” präglat på ena sidan och ”novo” på den andra sidan.
Tablett
Rybelsus 1,5 mg tabletter
Vit till ljusgul, rund tablett (6,5 mm i diameter) med ”1,5” präglat på ena sidan och ”novo” på den andra sidan.
Rybelsus 4 mg tabletter
Vit till ljusgul, rund tablett (6,5 mm i diameter) med ”4” präglat på ena sidan och ”novo” på den andra sidan.
Rybelsus 9 mg tabletter
Vit till ljusgul, rund tablett (6,5 mm i diameter) med ”9” präglat på ena sidan och ”novo” på den andra sidan.
Rybelsus 25 mg tabletter
Vit till ljusgul, oval tablett (6,8 mm x 12 mm) med ”25” präglat på ena sidan och ”novo” på den andra sidan.
Rybelsus 50 mg tabletter
Vit till ljusgul, oval tablett (6,8 mm x 12 mm) med ”50” präglat på ena sidan och ”novo” på den andra sidan.
Övergång från subkutan till peroral semaglutid
Effekten av övergång mellan peroral och subkutan semaglutid kan inte enkelt förutsägas eftersom peroralt semaglutid uppvisar högre farmakokinetisk variabilitet i absorption jämfört med subkutant semaglutid.
Patienter som behandlas med subkutan semaglutid 0,5 mg en gång i veckan kan gå över till peroral semaglutid 4 mg eller 9 mg en gång dagligen.
Patienter som behandlas med subkutan semaglutid 1 mg en gång i veckan kan gå över till peroral semaglutid 9 mg eller 25 mg en gång dagligen.
Patienter som behandlas med subkutan semaglutid 2 mg en gång i veckan kan gå över till peroral semaglutid 25 mg eller 50 mg en gång dagligen.
Patienter kan börja med peroral semaglutid (Rybelsus) en vecka efter sin sista dos av subkutan semaglutid.
När semaglutid används i kombination med metformin och/eller en natriumglukoskotransportör 2-hämmare (SGLT2i) eller tiazolidinedion kan den aktuella dosen av metformin och/eller SGLT2i eller tiazolidinedion behållas.
När semaglutid används i kombination med en sulfonureid eller med insulin kan man överväga att minska dosen av sulfonureid eller insulin för att reducera risken för hypoglykemi (se avsnitt 4.4 och 4.8).
Egna kontroller av blodglukos krävs inte för att justera dosen av semaglutid. Egna kontroller av blodglukos är nödvändigt för att justera dosen av sulfonureid och insulin, särskilt när semaglutid initieras och insulin minskas. Ett stegvist tillvägagångssätt rekommenderas vid sänkning av insulindosen.
Missad dos
Om en dos missas, ska den missade dosen hoppas över och nästa dos ska tas följande dag.
Äldre
Ingen dosjustering krävs på grund av ålder.
Nedsatt njurfunktion
Ingen dosjustering krävs för patienter med lindrig, måttlig eller svår nedsättning av njurfunktionen. Erfarenheten från användning av semaglutid hos patienter med terminal njursjukdom är begränsad. När dessa patienter behandlas med peroralt semaglutid ska försiktighet iakttas (se avsnitt 5.2).
Nedsatt leverfunktion
Ingen dosjustering krävs för patienter med nedsatt leverfunktion. Erfarenheten från användning av semaglutid hos patienter med svår nedsättning av leverfunktionen är begränsad. När dessa patienter behandlas med semaglutid ska försiktighet iakttas (se avsnitt 5.2).
Pediatrisk population
Säkerhet och effekt för Rybelsus hos barn och ungdomar under 18 år har inte fastställts. Inga data finns tillgängliga.
Administreringssätt
Rybelsus är en tablett för oral användning en gång dagligen.
Detta läkemedel ska tas på tom mage efter en rekommenderad fasteperiod på minst 8 timmar (se avsnitt 5.2).
Den ska sväljas hel med lite vatten (upp till ett halvt glas vatten motsvarande 120 ml). Tabletter ska inte delas, krossas eller tuggas, eftersom det är okänt om detta påverkar absorptionen av semaglutid.
Patienter ska vänta minst 30 minuter innan de äter, dricker eller tar andra perorala läkemedel. Kortare väntetid än 30 minuter minskar absorptionen av semaglutid (se avsnitt 4.5 och 5.2).
Överkänslighet mot den aktiva substansen eller mot något hjälpämne som anges i avsnitt 6.1.
Spårbarhet
För att underlätta spårbarhet av biologiska läkemedel ska läkemedlets namn och tillverkningssatsnummer dokumenteras.
Allmänt
Semaglutid ska inte användas till patienter med typ 1-diabetes mellitus eller vid behandling av diabetesketoacidos. Diabetesketoacidos har rapporterats hos insulinberoende patienter som hastigt avbrutit eller minskat dosen insulin när behandling med en GLP-1-receptoragonist inletts (se avsnitt 4.2).
Det finns ingen erfarenhet från behandling av patienter med kronisk hjärtinsufficiens NYHA-klass IV (New York Heart Association) och semaglutid rekommenderas därför inte till dessa patienter.
Det finns ingen erfarenhet från behandling med semaglutid bland patienter som genomgått bariatrisk kirurgi.
Aspiration i samband med allmän anestesi eller djup sedering
Fall av pulmonell aspiration har rapporterats hos patienter som får GLP-1-receptoragonister och som genomgår allmän anestesi eller djup sedering. Den ökade risken för gastriskt restinnehåll på grund av fördröjd gastrisk tömning (se avsnitt 4.8) bör därför övervägas före utförande av förfaranden med allmän anestesi eller djup sedering.
Effekter på magtarmkanalen och uttorkning
Användning av GLP-1-receptoragonister kan vara förknippad med gastrointestinala biverkningar. Detta bör tas i beaktande vid behandling av patienter med nedsatt njurfunktion eftersom illamående, kräkningar och diarré kan orsaka uttorkning, vilket i sällsynta fall kan leda till en försämring av njurfunktionen (se avsnitt 4.8). Patienter som behandlas med semaglutid ska informeras om den potentiella risken för uttorkning relaterat till gastrointestinala biverkningar och vidta försiktighetsåtgärder för att undvika vätskebrist.
Akut pankreatit
Akut pankreatit har observerats vid användning av GLP-1-receptoragonister. Patienter ska informeras om de karakteristiska symtomen på akut pankreatit. Vid misstänkt pankreatit ska behandlingen med semaglutid upphöra. Om pankreatit fastställs ska semaglutid inte sättas in igen.
Hypoglykemi
Patienter som behandlas med semaglutid i kombination med en sulfonureid eller insulin kan löpa ökad risk för hypoglykemi (se avsnitt 4.8). Risken för hypoglykemi kan minskas genom att dosen sulfonureid eller insulin sänks när behandling med semaglutid sätts in (se avsnitt 4.2).
Diabetesretinopati
Hos patienter med diabetesretinopati som behandlas med insulin och subkutant semaglutid har en ökad risk för utveckling av komplikationer av diabetesretinopati observerats, en risk som inte kan uteslutas för oralt administrerat semaglutid (se avsnitt 4.8). Försiktighet ska iakttas vid användning av semaglutid till patienter med diabetesretinopati. Dessa patienter ska övervakas noga och behandlas enligt kliniska riktlinjer. En snabb förbättring av glukoskontrollen har förknippats med en tillfällig försämring av diabetesretinopati, men andra mekanismer kan inte uteslutas. Långsiktig glykemisk kontroll minskar risken för diabetesretinopati.
Det finns ingen erfarenhet med peroralt semaglutid 25 mg och 50 mg bland patienter med typ 2-diabetes med okontrollerad eller potentiellt instabil diabetesretinopati.
Icke-arteritisk främre ischemisk optikusneuropati (NAION)
Data från epidemiologiska studier indikerar en ökad risk för icke-arteritisk främre ischemisk optikusneuropati (NAION) vid behandling med semaglutid. Det finns inget identifierat tidsintervall för när NAION kan utvecklas efter behandlingsstart. Plötslig synförlust ska leda till oftalmologisk undersökning och behandling med semaglutid ska avbrytas om NAION bekräftas (se avsnitt 4.8).
Patienter med gastropares
Patienter med gastropares som behandlas med semaglutid kan uppleva allvarligare eller svårare gastrointestinala biverkningar. Semaglutid ska användas med försiktighet hos dessa patienter och semaglutid rekommenderas inte vid svår gastropares (se avsnitt 4.8).
Behandlingssvar
För optimal effekt av semaglutid rekommenderas följsamhet med doseringsschemat. Om behandlingssvaret med semaglutid är lägre än förväntat ska behandlande läkare vara medveten om att absorptionen av semaglutid varierar mycket och kan vara minimal (2-4% av patienterna kommer inte ha någon exponering), och att semaglutids absoluta biotillgänglighet är låg.
Natriuminnehåll
1,5 mg, 4 mg och 9 mg tabletter: Detta läkemedel innehåller mindre än 1 mmol natrium (23 mg) per tablett, d.v.s. är näst intill ”natriumfritt”.
25 mg och 50 mg tabletter: Detta läkemedel innehåller 23 mg natrium per tablett, vilket motsvarar 1% av WHO:s rekommenderade högsta dagliga intag på 2 gram natrium för en vuxen.
Semaglutid fördröjer magsäckens tömning vilket kan påverka absorptionen av andra perorala läkemedel.
Effekter av semaglutid på andra läkemedel
Tyroxin
Den totala exponeringen (Area Under the Curve (AUC)) för tyroxin (justerad för endogena nivåer) ökade med 33% efter administrering av en engångsdos av levotyroxin. Den maximala exponeringen (Cmax) var oförändrad. Övervakning av sköldkörtelparametrar ska övervägas när patienter behandlas med semaglutid på samma gång som levotyroxin.
Warfarin och andra kumarinderivat
Semaglutid ändrade inte AUC eller Cmax för R- och S-warfarin efter en engångsdos av warfarin, och de farmakodynamiska effekterna av warfarin uppmätta med internationell normaliserad kvot (INR) påverkades inte på ett kliniskt relevant sätt. Fall av minskat INR har dock rapporterats vid samtidig användning av acenokumarol och semaglutid. Vid initiering av semaglutidbehandling till patienter som får warfarin eller andra kumarinderivat rekommenderas frekvent kontroll av INR-värdet.
Rosuvastatin
AUC av rosuvastatin ökade med 41% [90% CI: 24;60] vid samtidig administrering med semaglutid. Baserat på det breda terapeutiska indexet för rosuvastatin bedöms storleken på exponerings-förändringarna sakna klinisk relevans.
Digoxin, perorala preventivmedel, metformin, furosemid
Ingen kliniskt relevant förändring av AUC eller Cmax för digoxin, perorala preventivmedel (som innehåller etinylestradiol och levonorgestrel), metformin eller furosemid observerades vid samtidig administrering med semaglutid.
Interaktioner med läkemedel med väldigt låg biotillgänglighet (1%) har inte utvärderats.
Effekter av andra läkemedel på semaglutid
Omeprazol
Ingen kliniskt relevant förändring av AUC eller Cmax för semaglutid observerades när det togs tillsammans med omeprazol.
I en studie där man undersökte farmakokinetiken för semaglutid vid samtidig administrering med fem andra tabletter minskade AUC för semaglutid med 34% och Cmax med 32%. Detta tyder på att närvaron av flera tabletter i magsäcken påverkar absorptionen av semaglutid om de administreras samtidigt. Efter administrering av semaglutid ska patienterna vänta 30 minuter innan de tar andra perorala läkemedel (se avsnitt 4.2).
Fertila kvinnor
Fertila kvinnor måste använda en effektiv preventivmetod under behandling med semaglutid.
Graviditet
Djurstudier har visat reproduktionstoxikologiska effekter (se avsnitt 5.3). Det finns begränsad mängd data från användningen av semaglutid hos gravida kvinnor. Därför ska semaglutid inte användas under graviditet. Om en patient önskar bli gravid eller en graviditet inträffar, ska semaglutid sättas ut. Semaglutid ska sättas ut minst 2 månader före en planerad graviditet på grund av den långa halveringstiden (se avsnitt 5.2).
Amning
Inga mätbara koncentrationer av semaglutid hittades i bröstmjölk hos ammande kvinnor. Salkaprozatnatrium fanns i bröstmjölk och några av dess metaboliter utsöndrades i bröstmjölk i låga koncentrationer. Eftersom det inte går att utesluta en risk för ett ammande barn ska Rybelsus inte användas under amning.
Fertilitet
Effekten av semaglutid på fertiliteten hos människor är inte känd. Semaglutid påverkade inte fertiliteten hos hanråttor. Hos honråttor observerades en förlängning av brunsten och en liten minskning av antalet ägglossningar vid doser som hade samband med viktminskning hos modern (se avsnitt 5.3).
Semaglutid har ingen eller försumbar effekt på förmågan att framföra fordon och använda maskiner. Yrsel kan dock upplevas främst vid dosökning. Framförande av fordon eller användning av maskiner ska ske med försiktighet om yrsel uppstår.
När det används i kombination med en sulfonureid eller insulin ska patienter rekommenderas att vidta försiktighetsåtgärder för att undvika hypoglykemi när de framför fordon eller använder maskiner (se avsnitt 4.4).
Sammanfattning av säkerhetsprofilen
I 10 fas 3a-studier exponerades 5 707 patienter för semaglutid enbart eller i kombination med andra glukossänkande läkemedel. Behandlingens längd varierade från 26 veckor till 78 veckor. De vanligast rapporterade biverkningarna i kliniska studier var gastrointestinala biverkningar, inklusive illamående (mycket vanlig), diarré (mycket vanlig) och kräkningar (vanlig).
Biverkningslista i tabellform
I tabell 1 lista biverkningar som identifierats i fas 3-studier (beskrivs ytterligare i avsnitt 5.1) och rapporter efter marknadsföring hos patienter med typ 2-diabetes mellitus. Biverkningarnas frekvenser (förutom komplikationer vid diabetisk retinopati och dysestesi, se fotnoter i tabell 1) baseras på en pool med fas 3a-studier, exklusive den kardiovaskulära utfallsstudien.
Biverkningarna listas nedan efter organsystem och absolut frekvens. Frekvenserna definieras som: mycket vanliga (≥ 1/10), vanliga (≥ 1/100, < 1/10), mindre vanliga (≥ 1/1 000, < 1/100), sällsynta (≥ 1/10 000, < 1/1 000); mycket sällsynta (< 1/10 000) och ingen känd frekvens (kan inte beräknas från tillgängliga data). Inom varje frekvensområde presenteras biverkningarna efter fallande allvarlighetsgrad.
Tabell 1 Biverkningsfrekvens av oral semaglutid
a) Hypoglykemi definieras som blodglukos < 3,0 mmol/l eller < 54 mg/dl
b) Komplikationer av diabetesretinopati är en kombination av fotokoagulation av näthinna, behandling med intravitreala medel, glaskroppsblödning och diabetesrelaterad blindhet (mindre vanlig). Frekvensen baseras på den kardiovaskulära utfallsstudien med subkutant semaglutid, men det kan inte uteslutas att den identifierade risken för komplikationer av diabetesretinopati även gäller Rybelsus.
c) Grupperad term som också täcker biverkningar relaterade till överkänslighet såsom utslag och urtikaria.
d) Från rapporter efter marknadsintroduktion.
e) Frekvensen är baserad på resultaten från PIONEER PLUS-studien för 25 mg och 50 mg. Se underrubriken ”Dysestesi” nedan för mer information. Det var ingen skillnad i biverkningsrapporteringen av dysestesi för Rybelsus 3 mg, 7 mg och 14 mg (bioekvivalent med respektive 1,5 mg, 4 mg och 9 mg) i fas 3a-studier. Biverkningar har rapporterats efter marknadsföringen.
f) Grupperad term som omfattar PT:s "tarmobstruktion", "ileus", "tunntarmsobstruktion.
Beskrivning av utvalda biverkningar
Hypoglykemi
Allvarlig hypoglykemi observerades framför allt när semaglutid användes med en sulfonureid (< 0,1% av försökspersonerna, < 0,001 fall/patientår) eller insulin (1,1% av försökspersonerna, 0,013 fall/patientår). Få episoder (0,1% av försökspersonerna, 0,001 fall/patientår) observerades med semaglutid i kombination med andra perorala diabetesmedel än sulfonureid.
Gastrointestinala biverkningar
Illamående förekom hos 15%, diarré hos 10% och kräkningar hos 7% av patienterna vid behandling med semaglutid. De flesta biverkningar var lindriga till måttliga och kortvariga. Biverkningarna ledde till att behandlingen avbröts hos 4% av försökspersonerna. Biverkningarna rapporterades oftast under de första månaderna av behandlingen.
Vid behandling med semaglutid 25 mg respektive 50 mgi PIONEER PLUS förekom illamående med 27% respektive 27%, diarré med 13% respektive 14% och kräkningar med 17% respektive 18% hos patienterna. Biverkningarna ledde till att behandlingen avbröts hos 6% respektive 8% av patienterna.
De flesta biverkningarna var lindriga till måttliga i svårighetsgrad och kortvariga. Biverkningarna rapporterades mest frekvent under dosökning de första månaderna av behandlingen.
Patienter med gastropares kan uppleva allvarligare eller svårare gastrointestinala biverkningar vid behandling med semaglutid.
Akut pankreatit bekräftad genom adjudicering har rapporterats i fas 3a-studier, semaglutid (< 0,1%) och jämförelseläkemedel (0,2%). I den kardiovaskulära utfallsstudien PIONEER 6 var frekvensen av akut pankreatit bekräftad genom adjudicering 0,1% för semaglutid och 0,2% för placebo (se avsnitt 4.4). I en fas 3b kardiovaskulär utfallsstudie SOUL, var frekvensen av akut pankreatit bekräftad genom adjudicering 0,4% för semaglutid och 0,4% för placebo.
Komplikationer av diabetesretinopati
I en 2-årig klinisk studie med subkutant semaglutid undersöktes 3 297 patienter med typ 2-diabetes som hade hög kardiovaskulär risk, lång tid sedan insjuknande i diabetes och dåligt kontrollerad blodglukos. I studien förekom fall som bedöms vara komplikationer av diabetesretinopati hos fler patienter som behandlades med subkutant semaglutid (3,0%) jämfört med placebo (1,8%). Detta observerades hos insulinbehandlade patienter med känd diabetesretinopati. Behandlingsskillnaden uppträdde tidigt och kvarstod under hela studien. Systematisk utvärdering av komplikation av diabetesretinopati utfördes endast i den kardiovaskulära utfallsstudien med subkutant semaglutid. I kliniska studier med Rybelsus på upp till 18 månaders varaktighet där 6 352 patienter med typ 2-diabetes ingick, rapporterades biverkningar relaterade till diabetesretinopati i liknande andel hos försökspersoner som behandlades med semaglutid (4,2%) och med jämförelseläkemedel (3,8%).
Icke-arteritisk främre ischemisk optikusneuropati (NAION)
Resultat från flera stora epidemiologiska studier tyder på att exponering för semaglutid i vuxna med typ-2 diabetes är förknippad med en ungefär tvåfaldig ökning av den relativa risken att utveckla NAION, vilket motsvarar cirka ett ytterligare fall per 10 000 personår med pågående behandling.
Immunogenicitet
I enlighet med de potentiellt immunogena egenskaperna hos läkemedel som innehåller proteiner eller peptider, kan patienter utveckla antikroppar efter behandling med semaglutid. Andelen försökspersoner som testades positivt för antikroppar mot semaglutid någon gång efter studiestart var låg (0,5%) och inga försökspersoner hade neutraliserande antikroppar mot semaglutid eller antikroppar mot semaglutid med neutraliserande effekt på endogent GLP-1 i slutet av studien.
Ökad hjärtfrekvens
Ökad hjärtfrekvens har observerats med GLP-1-receptoragonister. I fas 3a-studierna observerades genomsnittliga förändringar på 0 till 4 slag per minut från ett värde vid studiestart på 69 till 76 hos patienter som behandlades med Rybelsus.
Dysestesi
Biverkningar relaterade till en klinisk bild av förändrad hudsensitivitet såsom parestesi, smärta i huden, känslig hud, dysestesi och brännande känsla i huden rapporterades hos 2,1% och 5,2% av patienter behandlade med peroralt semaglutid 25 mg respektive 50 mg. Biverkningarna var lindriga till måttliga i svårighetsgrad och avtog hos de flesta patienter vid fortsatt behandling.
Effekter av överdosering med semaglutid i kliniska studier kan vara förknippade med gastrointestinala biverkningar. Vid överdosering ska lämplig understödjande behandling inledas baserat på patientens kliniska tecken och symtom. Med hänsyn till semaglutids långa halveringstid på cirka en vecka kan det vara nödvändigt att observera och behandla symtomen en längre tid (se avsnitt 5.2). Det finns ingen särskild antidot vid överdosering med semaglutid.
Rybelsus är indicerat för behandling av vuxna med otillräckligt kontrollerad typ 2-diabetes mellitus för att förbättra glykemisk kontroll som ett komplement till kost och motion
som monoterapi när metformin anses olämpligt
i kombination med andra läkemedel för behandling av diabetes.
För studieresultat vad gäller kombinationer, effekter på glykemisk kontroll och kardiovaskulära händelser, samt vilka populationer som studerats, se avsnitt 4.4, 4.5 och 5.1.
Dosering
Startdosen för semaglutid är 1,5 mg en gång dagligen i en månad. Efter en månad ska dosen ökas till en underhållsdos på 4 mg en gång dagligen. Vid behov kan dosen ökas till nästa högre dos efter minst en månad med aktuell dos. De rekommenderade dagliga underhållsdoserna är 4 mg, 9 mg, 25 mg eller 50 mg.
Den maximalt rekommenderade enskilda dagliga dosen av semaglutid är 50 mg. Rybelsus ska alltid användas som en tablett per dag. Intag av mer än en tablett per dag bör undvikas för att uppnå effekten av en högre dos.
Övergång från subkutan till peroral semaglutid
Effekten av övergång mellan peroral och subkutan semaglutid kan inte enkelt förutsägas eftersom peroralt semaglutid uppvisar högre farmakokinetisk variabilitet i absorption jämfört med subkutant semaglutid.
Patienter som behandlas med subkutan semaglutid 0,5 mg en gång i veckan kan gå över till peroral semaglutid 4 mg eller 9 mg en gång dagligen.
Patienter som behandlas med subkutan semaglutid 1 mg en gång i veckan kan gå över till peroral semaglutid 9 mg eller 25 mg en gång dagligen.
Patienter som behandlas med subkutan semaglutid 2 mg en gång i veckan kan gå över till peroral semaglutid 25 mg eller 50 mg en gång dagligen.
Patienter kan börja med peroral semaglutid (Rybelsus) en vecka efter sin sista dos av subkutan semaglutid.
När semaglutid används i kombination med metformin och/eller en natriumglukoskotransportör 2-hämmare (SGLT2i) eller tiazolidinedion kan den aktuella dosen av metformin och/eller SGLT2i eller tiazolidinedion behållas.
När semaglutid används i kombination med en sulfonureid eller med insulin kan man överväga att minska dosen av sulfonureid eller insulin för att reducera risken för hypoglykemi (se avsnitt 4.4 och 4.8).
Egna kontroller av blodglukos krävs inte för att justera dosen av semaglutid. Egna kontroller av blodglukos är nödvändigt för att justera dosen av sulfonureid och insulin, särskilt när semaglutid initieras och insulin minskas. Ett stegvist tillvägagångssätt rekommenderas vid sänkning av insulindosen.
Missad dos
Om en dos missas, ska den missade dosen hoppas över och nästa dos ska tas följande dag.
Äldre
Ingen dosjustering krävs på grund av ålder.
Nedsatt njurfunktion
Ingen dosjustering krävs för patienter med lindrig, måttlig eller svår nedsättning av njurfunktionen. Erfarenheten från användning av semaglutid hos patienter med terminal njursjukdom är begränsad. När dessa patienter behandlas med peroralt semaglutid ska försiktighet iakttas (se avsnitt 5.2).
Nedsatt leverfunktion
Ingen dosjustering krävs för patienter med nedsatt leverfunktion. Erfarenheten från användning av semaglutid hos patienter med svår nedsättning av leverfunktionen är begränsad. När dessa patienter behandlas med semaglutid ska försiktighet iakttas (se avsnitt 5.2).
Pediatrisk population
Säkerhet och effekt för Rybelsus hos barn och ungdomar under 18 år har inte fastställts. Inga data finns tillgängliga.
Administreringssätt
Rybelsus är en tablett för oral användning en gång dagligen.
Detta läkemedel ska tas på tom mage efter en rekommenderad fasteperiod på minst 8 timmar (se avsnitt 5.2).
Den ska sväljas hel med lite vatten (upp till ett halvt glas vatten motsvarande 120 ml). Tabletter ska inte delas, krossas eller tuggas, eftersom det är okänt om detta påverkar absorptionen av semaglutid.
Patienter ska vänta minst 30 minuter innan de äter, dricker eller tar andra perorala läkemedel. Kortare väntetid än 30 minuter minskar absorptionen av semaglutid (se avsnitt 4.5 och 5.2).
Överkänslighet mot den aktiva substansen eller mot något hjälpämne som anges i avsnitt 6.1.
Spårbarhet
För att underlätta spårbarhet av biologiska läkemedel ska läkemedlets namn och tillverkningssatsnummer dokumenteras.
Allmänt
Semaglutid ska inte användas till patienter med typ 1-diabetes mellitus eller vid behandling av diabetesketoacidos. Diabetesketoacidos har rapporterats hos insulinberoende patienter som hastigt avbrutit eller minskat dosen insulin när behandling med en GLP-1-receptoragonist inletts (se avsnitt 4.2).
Det finns ingen erfarenhet från behandling av patienter med kronisk hjärtinsufficiens NYHA-klass IV (New York Heart Association) och semaglutid rekommenderas därför inte till dessa patienter.
Det finns ingen erfarenhet från behandling med semaglutid bland patienter som genomgått bariatrisk kirurgi.
Aspiration i samband med allmän anestesi eller djup sedering
Fall av pulmonell aspiration har rapporterats hos patienter som får GLP-1-receptoragonister och som genomgår allmän anestesi eller djup sedering. Den ökade risken för gastriskt restinnehåll på grund av fördröjd gastrisk tömning (se avsnitt 4.8) bör därför övervägas före utförande av förfaranden med allmän anestesi eller djup sedering.
Effekter på magtarmkanalen och uttorkning
Användning av GLP-1-receptoragonister kan vara förknippad med gastrointestinala biverkningar. Detta bör tas i beaktande vid behandling av patienter med nedsatt njurfunktion eftersom illamående, kräkningar och diarré kan orsaka uttorkning, vilket i sällsynta fall kan leda till en försämring av njurfunktionen (se avsnitt 4.8). Patienter som behandlas med semaglutid ska informeras om den potentiella risken för uttorkning relaterat till gastrointestinala biverkningar och vidta försiktighetsåtgärder för att undvika vätskebrist.
Akut pankreatit
Akut pankreatit har observerats vid användning av GLP-1-receptoragonister. Patienter ska informeras om de karakteristiska symtomen på akut pankreatit. Vid misstänkt pankreatit ska behandlingen med semaglutid upphöra. Om pankreatit fastställs ska semaglutid inte sättas in igen.
Hypoglykemi
Patienter som behandlas med semaglutid i kombination med en sulfonureid eller insulin kan löpa ökad risk för hypoglykemi (se avsnitt 4.8). Risken för hypoglykemi kan minskas genom att dosen sulfonureid eller insulin sänks när behandling med semaglutid sätts in (se avsnitt 4.2).
Diabetesretinopati
Hos patienter med diabetesretinopati som behandlas med insulin och subkutant semaglutid har en ökad risk för utveckling av komplikationer av diabetesretinopati observerats, en risk som inte kan uteslutas för oralt administrerat semaglutid (se avsnitt 4.8). Försiktighet ska iakttas vid användning av semaglutid till patienter med diabetesretinopati. Dessa patienter ska övervakas noga och behandlas enligt kliniska riktlinjer. En snabb förbättring av glukoskontrollen har förknippats med en tillfällig försämring av diabetesretinopati, men andra mekanismer kan inte uteslutas. Långsiktig glykemisk kontroll minskar risken för diabetesretinopati.
Det finns ingen erfarenhet med peroralt semaglutid 25 mg och 50 mg bland patienter med typ 2-diabetes med okontrollerad eller potentiellt instabil diabetesretinopati.
Icke-arteritisk främre ischemisk optikusneuropati (NAION)
Data från epidemiologiska studier indikerar en ökad risk för icke-arteritisk främre ischemisk optikusneuropati (NAION) vid behandling med semaglutid. Det finns inget identifierat tidsintervall för när NAION kan utvecklas efter behandlingsstart. Plötslig synförlust ska leda till oftalmologisk undersökning och behandling med semaglutid ska avbrytas om NAION bekräftas (se avsnitt 4.8).
Patienter med gastropares
Patienter med gastropares som behandlas med semaglutid kan uppleva allvarligare eller svårare gastrointestinala biverkningar. Semaglutid ska användas med försiktighet hos dessa patienter och semaglutid rekommenderas inte vid svår gastropares (se avsnitt 4.8).
Behandlingssvar
För optimal effekt av semaglutid rekommenderas följsamhet med doseringsschemat. Om behandlingssvaret med semaglutid är lägre än förväntat ska behandlande läkare vara medveten om att absorptionen av semaglutid varierar mycket och kan vara minimal (2-4% av patienterna kommer inte ha någon exponering), och att semaglutids absoluta biotillgänglighet är låg.
Natriuminnehåll
1,5 mg, 4 mg och 9 mg tabletter: Detta läkemedel innehåller mindre än 1 mmol natrium (23 mg) per tablett, d.v.s. är näst intill ”natriumfritt”.
25 mg och 50 mg tabletter: Detta läkemedel innehåller 23 mg natrium per tablett, vilket motsvarar 1% av WHO:s rekommenderade högsta dagliga intag på 2 gram natrium för en vuxen.
Semaglutid fördröjer magsäckens tömning vilket kan påverka absorptionen av andra perorala läkemedel.
Effekter av semaglutid på andra läkemedel
Tyroxin
Den totala exponeringen (Area Under the Curve (AUC)) för tyroxin (justerad för endogena nivåer) ökade med 33% efter administrering av en engångsdos av levotyroxin. Den maximala exponeringen (Cmax) var oförändrad. Övervakning av sköldkörtelparametrar ska övervägas när patienter behandlas med semaglutid på samma gång som levotyroxin.
Warfarin och andra kumarinderivat
Semaglutid ändrade inte AUC eller Cmax för R- och S-warfarin efter en engångsdos av warfarin, och de farmakodynamiska effekterna av warfarin uppmätta med internationell normaliserad kvot (INR) påverkades inte på ett kliniskt relevant sätt. Fall av minskat INR har dock rapporterats vid samtidig användning av acenokumarol och semaglutid. Vid initiering av semaglutidbehandling till patienter som får warfarin eller andra kumarinderivat rekommenderas frekvent kontroll av INR-värdet.
Rosuvastatin
AUC av rosuvastatin ökade med 41% [90% CI: 24;60] vid samtidig administrering med semaglutid. Baserat på det breda terapeutiska indexet för rosuvastatin bedöms storleken på exponerings-förändringarna sakna klinisk relevans.
Digoxin, perorala preventivmedel, metformin, furosemid
Ingen kliniskt relevant förändring av AUC eller Cmax för digoxin, perorala preventivmedel (som innehåller etinylestradiol och levonorgestrel), metformin eller furosemid observerades vid samtidig administrering med semaglutid.
Interaktioner med läkemedel med väldigt låg biotillgänglighet (1%) har inte utvärderats.
Effekter av andra läkemedel på semaglutid
Omeprazol
Ingen kliniskt relevant förändring av AUC eller Cmax för semaglutid observerades när det togs tillsammans med omeprazol.
I en studie där man undersökte farmakokinetiken för semaglutid vid samtidig administrering med fem andra tabletter minskade AUC för semaglutid med 34% och Cmax med 32%. Detta tyder på att närvaron av flera tabletter i magsäcken påverkar absorptionen av semaglutid om de administreras samtidigt. Efter administrering av semaglutid ska patienterna vänta 30 minuter innan de tar andra perorala läkemedel (se avsnitt 4.2).
Fertila kvinnor
Fertila kvinnor måste använda en effektiv preventivmetod under behandling med semaglutid.
Graviditet
Djurstudier har visat reproduktionstoxikologiska effekter (se avsnitt 5.3). Det finns begränsad mängd data från användningen av semaglutid hos gravida kvinnor. Därför ska semaglutid inte användas under graviditet. Om en patient önskar bli gravid eller en graviditet inträffar, ska semaglutid sättas ut. Semaglutid ska sättas ut minst 2 månader före en planerad graviditet på grund av den långa halveringstiden (se avsnitt 5.2).
Amning
Inga mätbara koncentrationer av semaglutid hittades i bröstmjölk hos ammande kvinnor. Salkaprozatnatrium fanns i bröstmjölk och några av dess metaboliter utsöndrades i bröstmjölk i låga koncentrationer. Eftersom det inte går att utesluta en risk för ett ammande barn ska Rybelsus inte användas under amning.
Fertilitet
Effekten av semaglutid på fertiliteten hos människor är inte känd. Semaglutid påverkade inte fertiliteten hos hanråttor. Hos honråttor observerades en förlängning av brunsten och en liten minskning av antalet ägglossningar vid doser som hade samband med viktminskning hos modern (se avsnitt 5.3).
Semaglutid har ingen eller försumbar effekt på förmågan att framföra fordon och använda maskiner. Yrsel kan dock upplevas främst vid dosökning. Framförande av fordon eller användning av maskiner ska ske med försiktighet om yrsel uppstår.
När det används i kombination med en sulfonureid eller insulin ska patienter rekommenderas att vidta försiktighetsåtgärder för att undvika hypoglykemi när de framför fordon eller använder maskiner (se avsnitt 4.4).
Sammanfattning av säkerhetsprofilen
I 10 fas 3a-studier exponerades 5 707 patienter för semaglutid enbart eller i kombination med andra glukossänkande läkemedel. Behandlingens längd varierade från 26 veckor till 78 veckor. De vanligast rapporterade biverkningarna i kliniska studier var gastrointestinala biverkningar, inklusive illamående (mycket vanlig), diarré (mycket vanlig) och kräkningar (vanlig).
Biverkningslista i tabellform
I tabell 1 lista biverkningar som identifierats i fas 3-studier (beskrivs ytterligare i avsnitt 5.1) och rapporter efter marknadsföring hos patienter med typ 2-diabetes mellitus. Biverkningarnas frekvenser (förutom komplikationer vid diabetisk retinopati och dysestesi, se fotnoter i tabell 1) baseras på en pool med fas 3a-studier, exklusive den kardiovaskulära utfallsstudien.
Biverkningarna listas nedan efter organsystem och absolut frekvens. Frekvenserna definieras som: mycket vanliga (≥ 1/10), vanliga (≥ 1/100, < 1/10), mindre vanliga (≥ 1/1 000, < 1/100), sällsynta (≥ 1/10 000, < 1/1 000); mycket sällsynta (< 1/10 000) och ingen känd frekvens (kan inte beräknas från tillgängliga data). Inom varje frekvensområde presenteras biverkningarna efter fallande allvarlighetsgrad.
Tabell 1 Biverkningsfrekvens av oral semaglutid
a) Hypoglykemi definieras som blodglukos < 3,0 mmol/l eller < 54 mg/dl
b) Komplikationer av diabetesretinopati är en kombination av fotokoagulation av näthinna, behandling med intravitreala medel, glaskroppsblödning och diabetesrelaterad blindhet (mindre vanlig). Frekvensen baseras på den kardiovaskulära utfallsstudien med subkutant semaglutid, men det kan inte uteslutas att den identifierade risken för komplikationer av diabetesretinopati även gäller Rybelsus.
c) Grupperad term som också täcker biverkningar relaterade till överkänslighet såsom utslag och urtikaria.
d) Från rapporter efter marknadsintroduktion.
e) Frekvensen är baserad på resultaten från PIONEER PLUS-studien för 25 mg och 50 mg. Se underrubriken ”Dysestesi” nedan för mer information. Det var ingen skillnad i biverkningsrapporteringen av dysestesi för Rybelsus 3 mg, 7 mg och 14 mg (bioekvivalent med respektive 1,5 mg, 4 mg och 9 mg) i fas 3a-studier. Biverkningar har rapporterats efter marknadsföringen.
f) Grupperad term som omfattar PT:s "tarmobstruktion", "ileus", "tunntarmsobstruktion.
Beskrivning av utvalda biverkningar
Hypoglykemi
Allvarlig hypoglykemi observerades framför allt när semaglutid användes med en sulfonureid (< 0,1% av försökspersonerna, < 0,001 fall/patientår) eller insulin (1,1% av försökspersonerna, 0,013 fall/patientår). Få episoder (0,1% av försökspersonerna, 0,001 fall/patientår) observerades med semaglutid i kombination med andra perorala diabetesmedel än sulfonureid.
Gastrointestinala biverkningar
Illamående förekom hos 15%, diarré hos 10% och kräkningar hos 7% av patienterna vid behandling med semaglutid. De flesta biverkningar var lindriga till måttliga och kortvariga. Biverkningarna ledde till att behandlingen avbröts hos 4% av försökspersonerna. Biverkningarna rapporterades oftast under de första månaderna av behandlingen.
Vid behandling med semaglutid 25 mg respektive 50 mgi PIONEER PLUS förekom illamående med 27% respektive 27%, diarré med 13% respektive 14% och kräkningar med 17% respektive 18% hos patienterna. Biverkningarna ledde till att behandlingen avbröts hos 6% respektive 8% av patienterna.
De flesta biverkningarna var lindriga till måttliga i svårighetsgrad och kortvariga. Biverkningarna rapporterades mest frekvent under dosökning de första månaderna av behandlingen.
Patienter med gastropares kan uppleva allvarligare eller svårare gastrointestinala biverkningar vid behandling med semaglutid.
Akut pankreatit bekräftad genom adjudicering har rapporterats i fas 3a-studier, semaglutid (< 0,1%) och jämförelseläkemedel (0,2%). I den kardiovaskulära utfallsstudien PIONEER 6 var frekvensen av akut pankreatit bekräftad genom adjudicering 0,1% för semaglutid och 0,2% för placebo (se avsnitt 4.4). I en fas 3b kardiovaskulär utfallsstudie SOUL, var frekvensen av akut pankreatit bekräftad genom adjudicering 0,4% för semaglutid och 0,4% för placebo.
Komplikationer av diabetesretinopati
I en 2-årig klinisk studie med subkutant semaglutid undersöktes 3 297 patienter med typ 2-diabetes som hade hög kardiovaskulär risk, lång tid sedan insjuknande i diabetes och dåligt kontrollerad blodglukos. I studien förekom fall som bedöms vara komplikationer av diabetesretinopati hos fler patienter som behandlades med subkutant semaglutid (3,0%) jämfört med placebo (1,8%). Detta observerades hos insulinbehandlade patienter med känd diabetesretinopati. Behandlingsskillnaden uppträdde tidigt och kvarstod under hela studien. Systematisk utvärdering av komplikation av diabetesretinopati utfördes endast i den kardiovaskulära utfallsstudien med subkutant semaglutid. I kliniska studier med Rybelsus på upp till 18 månaders varaktighet där 6 352 patienter med typ 2-diabetes ingick, rapporterades biverkningar relaterade till diabetesretinopati i liknande andel hos försökspersoner som behandlades med semaglutid (4,2%) och med jämförelseläkemedel (3,8%).
Icke-arteritisk främre ischemisk optikusneuropati (NAION)
Resultat från flera stora epidemiologiska studier tyder på att exponering för semaglutid i vuxna med typ-2 diabetes är förknippad med en ungefär tvåfaldig ökning av den relativa risken att utveckla NAION, vilket motsvarar cirka ett ytterligare fall per 10 000 personår med pågående behandling.
Immunogenicitet
I enlighet med de potentiellt immunogena egenskaperna hos läkemedel som innehåller proteiner eller peptider, kan patienter utveckla antikroppar efter behandling med semaglutid. Andelen försökspersoner som testades positivt för antikroppar mot semaglutid någon gång efter studiestart var låg (0,5%) och inga försökspersoner hade neutraliserande antikroppar mot semaglutid eller antikroppar mot semaglutid med neutraliserande effekt på endogent GLP-1 i slutet av studien.
Ökad hjärtfrekvens
Ökad hjärtfrekvens har observerats med GLP-1-receptoragonister. I fas 3a-studierna observerades genomsnittliga förändringar på 0 till 4 slag per minut från ett värde vid studiestart på 69 till 76 hos patienter som behandlades med Rybelsus.
Dysestesi
Biverkningar relaterade till en klinisk bild av förändrad hudsensitivitet såsom parestesi, smärta i huden, känslig hud, dysestesi och brännande känsla i huden rapporterades hos 2,1% och 5,2% av patienter behandlade med peroralt semaglutid 25 mg respektive 50 mg. Biverkningarna var lindriga till måttliga i svårighetsgrad och avtog hos de flesta patienter vid fortsatt behandling.
Rapportering av misstänkta biverkningar
Effekter av överdosering med semaglutid i kliniska studier kan vara förknippade med gastrointestinala biverkningar. Vid överdosering ska lämplig understödjande behandling inledas baserat på patientens kliniska tecken och symtom. Med hänsyn till semaglutids långa halveringstid på cirka en vecka kan det vara nödvändigt att observera och behandla symtomen en längre tid (se avsnitt 5.2). Det finns ingen särskild antidot vid överdosering med semaglutid.
GLP‑1-receptorer uttrycks i hjärtat, blodkärlen, immunsystemet och njurarna. I kliniska studier har semaglutid en fördelaktig effekt på plasmalipider, sänker det systoliska blodtrycket och minskar inflammation. I djurstudier minskar semaglutid utvecklingen av ateroskleros genom att förhindra progression av plack i aorta och minska inflammationen i placken.
Verkningsmekanismen för semaglutid för kardiovaskulär riskreduktion är sannolikt multifaktoriell, delvis driven av minskning av HbA1c och effekter på kända kardio-renala-metabola riskfaktorer inklusive sänkning av blodtryck och kroppsvikt, förbättringar av lipidprofil och njurfunktion samt antiinflammatoriska effekter som påvisats genom sänkningar av hsCRP. Den exakta mekanismen för kardiovaskulär riskreduktion har inte fastställts.
Farmakodynamisk effekt
De farmakodynamiska utvärderingarna som beskrivs nedan utfördes med peroralt administrerat semaglutid efter 12 veckors behandling.
Fasteglukos och postprandiellt glukos
Semaglutid minskar koncentrationen av fasteglukos och postprandiellt glukos. Hos patienter med typ 2-diabetes resulterade behandling med semaglutid i en relativ minskning jämfört med placebo på 22% [13; 30] för fasteglukos och 29% [19; 37] för postprandiellt glukos.
Glukagonutsöndring
Semaglutid sänker koncentrationerna av postprandiellt glukagon. Hos patienter med typ 2-diabetes resulterade semaglutid i följande relativa minskning av glukagon jämfört med placebo: postprandiellt glukagonsvar med 29% [15; 41].
Magsäckstömning
Semaglutid orsakar en mindre fördröjning av tidig postprandiell magsäckstömning med (AUC0-1h) 31% [13; 46] lägre paracetamolexponering under den första timmen efter måltid. Därigenom sänks den hastighet med vilken glukos uppträder i blodet postprandiellt.
Fastelipider och postprandiella lipider
Jämfört med placebo sänkte semaglutid fastetriglycerider och kolesterolkoncentrationen av lipoproteiner med mycket låg densitet (VLDL) med 19% [8; 28] respektive 20% [5; 33]. Postprandiellt triglycerid- och VLDL-kolesterolsvar på en måltid med ett högt fettinnehåll minskades med 24% [9; 36] respektive 21% [7; 32]. ApoB48 minskades både vid fasta och postprandiellt med 25% [2; 42] respektive 30% [15; 43].
Klinisk effekt och säkerhet
Effekt och säkerhet för Rybelsus har utvärderats i åtta globala randomiserade kontrollerade fas 3a-studier. Fas 3a-studier ufördes med tabletter innehållande 3 mg, 7 mg och 14 mg semaglutid som är bioekvivalenta med 1,5 mg, 4 mg respektive 9 mg semaglutid. I sju studier var det primära målet att utvärdera glykemisk effekt. I en studie (PIONEER 6) var det primära målet att utvärdera kardiovaskulära utfall.
I studierna ingick 8 842 randomiserade patienter med typ 2-diabetes (5 169 behandlades med semaglutid), inklusive 1 165 patienter med måttligt nedsatt njurfunktion. Patienternas genomsnittliga ålder var 61 år (från 18 till 92 år), med 40% av patienterna ≥ 65 år och 8% ≥ 75 år. Effekten av semaglutid jämfördes med placebo eller aktiva kontroller (sitagliptin, empagliflozin och liraglutid).
Effekt och säkerhet av semaglutid 25 mg och 50 mg en gång dagligen utvärderades i en fas 3b studie (PIONEER PLUS) inklusive 1 606 randomiserade patienter.
En fas 3b kardiovaskulär utfallsstudie (SOUL), med 9 650 patienter genomfördes för att visa att oral semaglutid minskar risken för allvarliga kardiovaskulära händelser (MACE) jämfört med placebo utöver standardbehandling hos patienter med typ 2-diabetes och etablerad kardiovaskulär sjukdom och/eller kronisk njursjukdom.
Effekten av semaglutid påverkades inte av ålder vid studiestart, kön, ras, etniskt ursprung, kroppsvikt, BMI, hur länge personen haft diabetes, sjukdom i övre magtarmkanalen eller graden av njurfunktion.
PIONEER 1 – Monoterapi
I en 26 veckor lång dubbelblind studie randomiserades 703 patienter med typ 2-diabetes, som var otillräckligt kontrollerade med kost och motion, till semaglutid 3 mg, semaglutid 7 mg, semaglutid 14 mg eller placebo en gång dagligen.
Tabell 2 Resultat av en 26 veckor lång monoterapi-studie där semaglutid jämfördes med placebo (PIONEER 1)
1 Oavsett behandlingsavbrott eller initiering av undsättningsläkemedel (”rescue medication”) (pattern mixture model med användning av multipel imputation). * p< 0,001 (ojusterat 2-sidigt) för överlägsenhet, kontrollerat för multiplicitet. § p< 0,05, ej kontrollerat för multiplicitet; för ”Patienter som uppnådde HbA1c < 7,0% DCCT standard” är p-värdet för oddskvoten. 2 Bioekvivalensen har bekräftats mellan doserna 4 mg och 7 mg, och mellan doserna 9 mg och 14 mg, se avsnitt 5.2 Farmakokinetiska egenskaper.
PIONEER 2 – Semaglutid jämfört med empagliflozin, båda i kombination med metformin
I en 52 veckor lång öppen studie randomiserades 822 patienter med typ 2-diabetes till semaglutid 14 mg en gång dagligen eller empagliflozin 25 mg en gång dagligen, båda i kombination med metformin.
Tabell 3 Resultat av en 52 veckor lång studie där semaglutid jämfördes med empagliflozin (PIONEER 2)
1 Oavsett behandlingsavbrott eller initiering av undsättningsläkemedel (”rescue medication”) (pattern mixture model med användning av multipel imputation). * p< 0,001 (ojusterat 2-sidigt) för överlägsenhet, kontrollerat för multiplicitet. § p< 0,05, ej kontrollerat för multiplicitet; för ”Patienter som uppnådde HbA1c < 7,0% DCCT standard” är p-värdet för oddskvoten. 2 Bioekvivalensen har bekräftats mellan doserna 9 mg och 14 mg, se avsnitt 5.2 Farmakokinetiska egenskaper.
PIONEER 3 – Semaglutid jämfört med sitagliptin, båda i kombination med metformin eller metformin med sulfonureid
I en 78 veckor lång dubbelblind, double-dummy-studie randomiserades 1 864 patienter med typ 2-diabetes till semaglutid 3 mg, semaglutid 7 mg, semaglutid 14 mg eller sitagliptin 100 mg en gång dagligen, alla i kombination med enbart metformin eller metformin och sulfonureid. Reduktioner i HbA1c och kroppsvikt kvarstod under studiens varaktighet på 78 veckor.
Tabell 4 Resultat av en 78 veckor lång studie där semaglutid jämfördes med sitagliptin (PIONEER 3)
1 Oavsett behandlingsavbrott eller initiering av undsättningsläkemedel (”rescue medication”) (pattern mixture model med användning av multipel imputation). * p< 0,001 (ojusterat 2-sidigt) för överlägsenhet, kontrollerat för multiplicitet. § p< 0,05, ej kontrollerat för multiplicitet; för ”Patienter som uppnådde HbA1c < 7,0% DCCT standard” är p-värdet för oddskvoten. 2 Bioekvivalensen har bekräftats mellan doserna 4 mg och 7 mg, och mellan doserna 9 mg och 14 mg, se avsnitt 5.2 Farmakokinetiska egenskaper.
PIONEER 4 – Semaglutid jämfört med liraglutid och placebo, alla i kombination med metformin eller metformin med en SGLT2-hämmare
I en 52 veckor lång dubbelblind, double-dummy-studie randomiserades 711 patienter med typ 2-diabetes till semaglutid 14 mg, liraglutid 1,8 mg subkutan injektion eller placebo en gång dagligen, alla i kombination med metformin eller metformin och en SGLT2-hämmare.
Tabell 5 Resultat av en 52 veckor lång studie där semaglutid jämfördes med liraglutid och placebo (PIONEER 4)
1 Oavsett behandlingsavbrott eller initiering av undsättningsläkemedel (”rescue medication”) (pattern mixture model med användning av multipel imputation). * p< 0,001 (ojusterat 2-sidigt) för överlägsenhet, kontrollerat för multiplicitet. § p< 0,05, ej kontrollerat för multiplicitet; för ”Patienter som uppnådde HbA1c < 7,0% DCCT standard”, är p-värdet för oddskvoten. a jämfört med placebo. 2 Bioekvivalensen har bekräftats mellan doserna 9 mg och 14 mg, se avsnitt 5.2 Farmakokinetiska egenskaper.
PIONEER 5 – Semaglutid jämfört med placebo, båda i kombination med enbart basinsulin, metformin och basinsulin eller metformin och/eller sulfonureid, bland patienter med måttligt nedsatt njurfunktion
I en 26 veckor lång dubbelblind studie randomiserades 324 patienter med typ 2-diabetes och måttligt nedsatt njurfunktion (eGFR 30–59 ml/min/1,73 m2) till semaglutid 14 mg eller placebo en gång dagligen. Studieprodukten användes som tillägg till den stabilia antidiabetikabehandling som patienten hade före prövningen.
Tabell 6 Resultat av en 26 veckor lång studie där semaglutid jämfördes med placebo bland patienter med typ 2-diabetes och måttligt nedsatt njurfunktion (PIONEER 5)
1 Oavsett behandlingsavbrott eller initiering av undsättningsläkemedel (”rescue medication”) (pattern mixture model med användning av multipel imputation). * p< 0,001 (ojusterat 2-sidigt) för överlägsenhet, kontrollerat för multiplicitet. § p< 0,05, ej kontrollerat för multiplicitet; för ”Patienter som uppnådde HbA1c < 7,0% DCCT standard”, är p-värdet för oddskvoten. 2 Bioekvivalensen har bekräftats mellan doserna 9 mg och 14 mg, se avsnitt 5.2 Farmakokinetiska egenskaper.
PIONEER 7 – Semaglutid jämfört med sitagliptin, båda i kombination med metformin, SGLT2-hämmare, sulfonureid eller tiazolidinedion. Prövning med flexibel dosjustering
I en 52 veckor lång öppen studie randomiserades 504 patienter med typ 2-diabetes till semaglutid (flexibel dosjustering med 3 mg, 7 mg och 14 mg en gång dagligen) eller sitagliptin 100 mg en gång dagligen, alla i kombination med 1–2 perorala glukossänkande läkemedel (metformin, SGLT2-hämmare, sulfonureid eller tiazolidinedion). Dosen av semaglutid justerades var 8:e vecka baserat på patientens glykemiska respons och tolerabilitet. Dosen av sitagliptin på 100 mg var fast. Effekt och säkerhet för semaglutid utvärderades i vecka 52.
I vecka 52 var andelen patienter som behandlades med semaglutid 3 mg, 7 mg och 14 mg cirka 10%, 30% respektive 60%.
Tabell 7 Resultat av en 52 veckor lång studie med flexibel dosjustering där semaglutid jämfördes med sitagliptin (PIONEER 7)
1 Oavsett behandlingsavbrott (16,6% av patienterna med flexibel dos av semaglutid och 9,2% med sitagliptin, där 8,7% respektive 4,0% berodde på biverkningar) eller initiering av undsättningsläkemedel (”rescue medication”) (pattern mixture model med användning av multipel imputation). * p< 0,001 (ojusterat 2-sidigt) för överlägsenhet, kontrollerat för multiplicitet (för ”Patienter som uppnådde HbA1c < 7,0% DCCT standard”, är p-värdet för oddskvoten). 2 Bioekvivalensen har bekräftats mellan doserna 1,5 mg och 3 mg, mellan 4 mg och 7 mg och mellan 9 mg och 14 mg, se avsnitt 5.2 Farmakokinetiska egenskaper.
PIONEER 8 – Semaglutid jämfört med placebo, båda i kombination med insulin med eller utan metformin
I en 52 veckor lång dubbelblind studie randomiserades 731 patienter med typ 2-diabetes som var otillräckligt kontrollerade på insulin (bas, bas/bolus eller mix) med eller utan metformin till semaglutid 3 mg, semaglutid 7 mg, semaglutid 14 mg eller placebo en gång dagligen.
Tabell 8 Resultat av en 52 veckor lång studie där semaglutid jämfördes med placebo i kombination med insulin (PIONEER 8)
1 Oavsett behandlingsavbrott eller initiering av undsättningsläkemedel (”rescue medication”) (pattern mixture model med användning av multipel imputation). * p< 0,001 (ojusterat 2-sidigt) för överlägsenhet, kontrollerat för multiplicitet. § p< 0,05, ej kontrollerat för multiplicitet; för ”Patienter som uppnådde HbA1c < 7,0%” DCCT standard” är p-värdet för oddskvoten. + Den totala dagliga insulindosen var statistiskt signifikant lägre med semaglutid än med placebo i vecka 52. 2 Bioekvivalensen har bekräftats mellan doserna 4 mg och 7 mg, och mellan doserna 9 mg och 14 mg, se avsnitt 5.2 Farmakokinetiska egenskaper.
PIONEER PLUS – Effekt och säkerhet av semaglutid 25 mg och 50 mg jämfört med semaglutid 14 mg en gång dagligen hos försökspersoner med typ 2-diabetes
I en 68-veckors dubbelblind klinisk prövning randomiserades 1 606 patienter med typ 2-diabetes som stod på stabila doser av 1‑3 perorala antidiabetesmedel (metformin, sulfonureid, SGLT2-hämmare eller DPP-4 hämmare*) till att få underhållsdoser av antingen semaglutid 14 mg, semaglutid 25 mg eller semaglutid 50 mg en gång dagligen.
*DPP-4 hämmare sattes ut vid randomisering.
Behandling med semaglutid 25 mg och 50 mg en gång dagligen var överlägsen när det gällde att minska HbA1c DCCT standard och kroppsvikt jämfört med semaglutid 14 mg (se tabell 9). Data från vecka 68 stöder en kvarstående effekt av 14 mg, 25 mg och 50 mg peroralt semaglutid på HbA1c DCCT standard och kroppsvikt (se Bild 1).
Bild 1 Genomsnittlig HbA1c DCCT standard och genomsnittlig kroppsvikt (kg) från studiestart till vecka 68
Tabell 9 Resultat av en 52 veckors studie jämförande semaglutid 25 mg och 50 mg med semaglutid 14 mg (PIONEER PLUS)
1 Oavsett behandlingsavbrott eller initiering av undsättningsläkemedel (”rescue medication”) (pattern mixture model med användning av multipel imputation). * p< 0,001 (ojusterat 2-sidigt) för överlägsenhet, kontrollerat för multiplicitet. § p< 0,05, ej kontrollerat för multiplicitet; för ”Patienter som uppnådde HbA1c < 7,0% DCCT standard” är p-värdet för oddskvoten. 2 Bioekvivalensen har bekräftats mellan doserna 9 mg och 14 mg, se avsnitt 5.2 Farmakokinetiska egenskaper.
Kardiovaskulära utfall
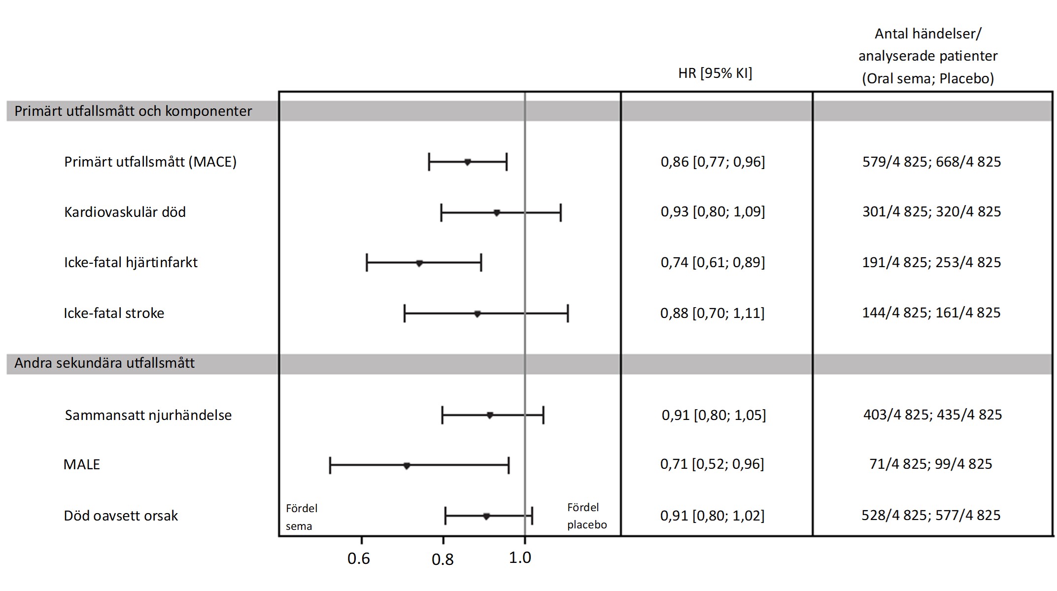
SOUL: Kardiovaskulär utfallstudie i patienter med typ 2 diabetes
I en dubbelblind, placebokontrollerad, händelsedriven studie randomiserades 9 650 patienter, 50 år eller äldre med typ 2-diabetes och hög kardiovaskulär risk, definerad som etablerad kardiovaskulär sjukdom och/eller kronisk njursjukdom, till antingen semaglutid 14 mg (bioekvivalent till semaglutid 9 mg) en gång dagligen eller placebo som tillägg till standardbehandling.
Totalt 5 468 patienter (56,7%) hade etablerad kardiovaskulär sjukdom utan kronisk njursjukdom, 1 241 (12,9%) hade endast kronisk njusjukdom och 2 620 (27,2%) hade både kardiovaskulär sjukdom och njursjukdom. Medelåldern vid baseline var 66,1 år, och 71,1% av patienterna var män. Den genomsnittliga tiden sedan diabetesdiagnos var 15,4 år och genomsnittligt HbA1c var 8,0%, genomsnittligt BMI var 31,1 kg/m2, och genomsnittligt eGFR var 73,8 ml/min/1,73 m2. Medicinsk anamnes inkluderade stroke (15,4%), hjärtinfarkt (40,0%), och perifer artärsjukdom (15,7%) Vid baseline behandlades 26,9% av patienterna med SGLT2-hämmare.
Primärt utfallsmått var tid från randomisering till första allvarliga kardiovaskulära händelse (MACE): kardiovaskulär död, icke-fatal hjärtinfarkt, eller icke-fatal stroke. Primära utfallsmåttet, tid från randomisering till första MACE, inträffade i 1 247 av de 9 650 inkluderade patienterna. 579 fall av första MACE (12%) dokumenterades bland de 4 825 patienter som behandlades med semaglutid, jämfört med 668 fall av första MACE (13,8%) bland de 4 825 patienter som behandlades med placebo.
Överlägsenheten för semaglutid jämfört med placebo för MACE, bekräftades med en hazardkvot på 0,86 [0,77 ; 0,96] [0,95% CI], vilket motsvarar en relativ riskreduktion för MACE på 14% (se Bild 2). Minskningen av MACE med semaglutid var konsekvent i alla åldersgrupper, kön, etnicitet, BMI vid baseline samt grad av nedsatt njurfunktion.
Analys av den första sammansatta njurhändelsen (det första bekräftande sekundära utfallsmåttet) resulterade i en hazardkvot på 0,91 [0,80 ; 1,05] [0,95% CI].
Data från i-studien (in-trial) perioden och baserad på full analysis set (FAS). Kumulativt incidensestimat baseras på tid från randomisering till första MACE bekräftad av EAC med icke-kardiovaskulär död modellerad som kompetitiv risk med Aalen-Johansen estimering. Patienter utan relevanta händelser censorerades vid slutet av deras in-trial observationsperiod. Tid från randomisering till första MACE analyserades med Cox regression med behandling som kategorisk variabel. Hazardkvoten och konfidensintervall är justerade för gruppens sekventiella design med sannolikhetskvot sortering. EAC: event adjudication committee/ adjudiceringskomittée, MACE: major adverse cardiovascular event/allvarlig kardiovaskulär händelse.
Bild 2: Kumulativ incidensfunktion av tid från randomisering till första MACE
Data från i-studien (in-trial) perioden och baserad på full analysis set (FAS). Tid från randomisering till varje utfallsmått analyserades med Cox regression med behandling som en kategorisk variabel. Patienter utan relevanta händelser censorerades vid slutet av deras in-trial observationsperiod. För primärt utfallsmått justerades hazardkvot (HR) och konfidensintervall för gruppens sekventiella design med sannolikhetskvot sortering. Kardiovaskulär död inkluderar både kardiovaskulär död och död av okänd orsak.
HR: hazardkvot CI: Konfidensintervall.
Sammansatt njurhändelse: utfallsmått som består av kardiovaskulär död, njurdöd, debut av ihållande ≥50 % minskning av uppskttad glomerulär filtartionshastighet (CKD-EPI) jämfört med baseline, debut av ihållande eGFR (CKD-EPI) <15 ml/min/1,73 m2, eller initiering av kronisk njurersättningsterapi (dialys eller njurtransplantation).
MALE: major adverse limb events/ allvarlig händelse i extremiteter; sammansatt utfallsmått bestående av akut eller kronisk ischemi i extremiteter som medförde sjukhusinläggning eller förlängd sådan
Bild 3: Behandlingseffekt av det primärt sammansatta utfallsmåttet, dess komponenter, och andra sekundära utfallsmått (SOUL)
PIONEER 6: Kardiovaskulär utfallstudie i patienter med typ2-diabetes
I en dubbelblind studie (PIONEER 6) randomiserades 3 183 patienter, 50 år eller äldre med typ 2-diabetes och hög kardiovaskulär risk till semaglutid 14 mg (bioekvivalent till semaglutid 9 mg) en gång dagligen eller placebo som tillägg till standardbehandling. Medianen för observationsperioden var 16 månader. PIONEER 6 var en kardiovaskulär utfallsstudie innan första godkännande designad att etablera kardiovaskulär säkerhet.
Primärt utfallsmått var tid från randomisering till första allvarliga kardiovaskulära händelse (MACE): kardiovaskulär död, icke-fatal hjärtinfarkt eller icke-fatal stroke.
Det totala antalet första MACE var 137: 61 (3,8%) med semaglutid och 76 (4,8%) med placebo. Analysen av tid till första MACE resulterade i en hazardkvot på 0,79 [0,57; 1,11]95% CI.
Kroppsvikt
Vid slutet av behandlingen hade 27‑65,7% av patienterna uppnått en viktminskning på ≥ 5% och 6‑34,7% hade uppnått en viktminskning på ≥ 10% med semaglutid, jämfört med 12-39% respektive 2‑8% med de aktiva jämförelseläkemedlen.
I den kardiovaskulära utfallsstudien SOUL, observerades en viktminskning från baseline till vecka 104 med semaglutid jämfört med placebo som tillägg till standardbehandling (-4,22 kg respektive -1,27 kg).
Blodtryck
Behandling med semaglutid hade minskat det systoliska blodtrycket med 2‑7 mmHg.
Pediatrisk population
Europeiska läkemedelsmyndigheten har senarelagt kravet att skicka in studieresultat för Rybelsus för en eller flera grupper av den pediatriska populationen för typ 2-diabetes (information om pediatrisk användning finns i avsnitt 4.2).
Det finns två formuleringar av semaglutid tabletter:
1,5 mg, 4 mg, och 9 mg (runda tabletter)
3 mg, 7 mg och 14 mg (ovala tabletter)
Liknande effekt och säkerhet kan förväntas för båda formuleringar. Bioekvivalenta doser av de två formuleringarna beskrivs i tabellen nedan:
Tabell 10: Samma effekt av de två perorala formuleringarna
Absorption
Oralt administrerat semaglutid har en låg absolut biotillgänglighet och en variabel absorption. Daglig administrering enligt den rekommenderade doseringen i kombination med en lång halveringstid minskar dagliga fluktuationer i exponeringen.
Farmakokinetiken för semaglutid har karakteriserats utförligt hos friska försökspersoner och patienter med typ 2‑diabetes. Efter peroral administrering erhölls maximal plasmakoncentration av semaglutid ungefär 1 timme efter dosering. Steady state-exponering uppnåddes efter 4–5 veckors administrering en gång dagligen. Hos patienter med typ 2-diabetes var de genomsnittliga steady state-koncentrationerna ungefär de som listas nedan:
4 mg (bioekvivalent med 7 mg): Genomsnittlig koncentration var 7 nmol/l med 90% av försökspersonerna som behandlades med semaglutid 7 mg hade en genomsnittlig koncentration mellan 2 och 22 nmol/l.
9 mg (bioekvivalent med 14 mg): Genomsnittlig koncentration var 15 nmol/l med 90% av försökspersonerna som behandlades med semaglutid 14 mg hade en genomsnittlig koncentration mellan 4 och 45 nmol/l.
25 mg: Genomsnittlig koncentration var 47 nmol/l med 90% av försökspersonerna som behandlades med semaglutid 25 mg hade en genomsnittlig koncentration mellan 11 och 142 nmol/l.
50 mg: Genomsnittlig koncentration var 92 nmol/l med 90% av försökspersonerna som behandlades med semaglutid 50 mg hade en genomsnittlig koncentration mellan 23 och 279 nmol/l.
Den systemiska exponeringen för semaglutid ökade på ett dosproportionerligt sätt.
Baserat på in vitro-data underlättar salkaprozatnatrium absorptionen av semaglutid. Absorptionen av semaglutid sker huvudsakligen i magsäcken.
Den beräknade biotillgängligheten för semaglutid är cirka 1-2% efter peroral administrering. Absorptionsvariabilitet mellan försökspersoner var hög (variationskoefficient var cirka 100%). Uppskattning av variabilitet i biotillgänglighet inom försökspersoner var inte pålitlig.
Absorptionen av semaglutid minskar om det tas tillsammans med mat eller stora mängder vatten. Olika doseringsscheman för semaglutid har undersökts. Studier visar att en längre period av fasta före och efter dos resulterar i en högre absorption (se avsnitt 4.2).
Distribution
Den beräknade absoluta distributionsvolymen är cirka 8 l hos patienter med typ 2-diabetes. Semaglutid binder i stor utsträckning till plasmaproteiner (> 99%).
Metabolism
Semaglutid metaboliseras genom proteolytisk klyvning av peptidkedjan och sekventiell beta-oxidation av fettsyrans sidokedja. Enzymet neutralt endopeptidas (NEP) förväntas vara involverat i semaglutids metabolism.
Eliminering
De primära utsöndringsvägarna för semaglutidrelaterat material är via urin och feces. Cirka 3% av den absorberade dosen utsöndras som intakt semaglutid via urinen.
Med en halveringstid vid eliminering på cirka 1 vecka kommer semaglutid att finnas kvar i blodet i cirka 5 veckor efter sista dosen. Clearance av semaglutid hos patienter med typ 2-diabetes är cirka 0,04 l/timme.
Speciella populationer
Äldre
Ålder hade ingen effekt på farmakokinetiken för semaglutid baserat på data från kliniska prövningar där patienter upp till 92 års ålder studerades.
Kön
Kön hade inga kliniskt betydelsefulla effekter på farmakokinetiken för semaglutid.
Ras och etniskt ursprung
Ras (vit, svart eller afro-amerikan, asiat) och etniskt ursprung (spansk eller latinamerikan, icke-spansk eller icke-latinamerikan) hade ingen kliniskt relevant effekt på farmakokinetiken för semaglutid.
Kroppsvikt
Kroppsvikt hade en effekt på exponeringen för semaglutid. Högre kroppsvikt var förknippat med lägre exponering. Semaglutid gav tillräcklig systemisk exponering i viktintervallet 40‑212 kg som utvärderades i de kliniska prövningarna.
Nedsatt njurfunktion
Nedsatt njurfunktion påverkade inte farmakokinetiken för semaglutid på ett kliniskt relevant sätt. Farmakokinetiken för semaglutid utvärderades hos patienter med lindrig, måttligt eller svårt nedsatt njurfunktion och patienter med terminal njursjukdom som behandlades med dialys jämfört med försökspersoner med normal njurfunktion i en studie med en daglig dos semaglutid under 10 dagar i följd. Detta visades även hos försökspersoner med typ 2-diabetes och nedsatt njurfunktion baserat på data från fas 3a-studier.
Nedsatt leverfunktion
Nedsatt leverfunktion påverkade inte farmakokinetiken för semaglutid på ett kliniskt relevant sätt. Farmakokinetiken för semaglutid utvärderades hos patienter med lindrig, måttligt eller svårt nedsatt leverfunktion jämfört med försökspersoner med normal leverfunktion i en studie med en daglig dos semaglutid under 10 dagar i följd.
Sjukdom i övre magtarmkanalen
Sjukdom i övre magtarmkanalen (kronisk gastrit och/eller gastroesofageal refluxsjukdom) påverkade inte farmakokinetiken för semaglutid på ett kliniskt relevant sätt. Farmakokinetiken utvärderades hos patienter med typ 2-diabetes med eller utan sjukdom i övre magtarmkanalen som fick en daglig dos semaglutid under 10 dagar i följd. Detta visades även hos försökspersoner med typ 2-diabetes och sjukdom i övre magtarmkanalen baserat på data från fas 3a-studier.
Pediatrisk population
Semaglutid har inte studerats hos pediatriska patienter.
Gängse studier avseende säkerhetsfarmakologi, allmäntoxicitet och gentoxicitet visade inte några särskilda risker för människa.
Icke-letala tumörer i sköldkörtelns C-celler som observerades hos gnagare är en klasseffekt för GLP‑1-receptoragonister. Vid 2 års karcinogenicitetsstudier på råtta och mus orsakade semaglutid tumörer i sköldkörtelns C-celler vid kliniskt relevanta exponeringar. Inga andra behandlingsrelaterade tumörer observerades. C-cellstumörer hos gnagare beror på en icke-gentoxisk, specifik GLP‑1-receptormedierad mekanism som gnagare är särskilt känsliga för. Relevansen för människa anses vara låg, men kan inte helt uteslutas.
I fertilitetsstudier på råtta påverkade semaglutid inte parningsförmågan eller hanarnas fertilitet. Hos honråttor observerades en ökning av brunstcykelns längd och en liten minskning av corpora lutea (ägglossningar) vid doser som hade samband med viktminskning hos modern.
I embryofetala utvecklingsstudier på råtta orsakade semaglutid embryotoxicitet vid exponering lägre än kliniskt relevant exponering. Semaglutid orsakade tydligt minskad vikt för modern och minskad överlevnad och tillväxt för embryot. Hos foster observerades större skeletala och viscerala missbildningar, inklusive effekter på rörben, revben, kotor, svans, blodkärl och hjärnventriklar. Mekanistiska utvärderingar indikerade att embryotoxiciteten involverade en GLP‑1-receptormedierad försämring av näringstillförseln till embryot genom råttans gulesäck. På grund av skillnader mellan arter vad gäller gulesäckens anatomi och funktion och på grund av avsaknad av GLP‑1-receptoruttryck i gulesäcken hos icke-mänskliga primater, anses det osannolikt att denna mekanism har någon relevans för människa. En direkt effekt av semaglutid på fostret kan dock inte uteslutas.
I toxikologiska studier avseende effekter på utveckling hos kanin och cynomolgusapa observerades en ökning av missfall och en något ökad frekvens av fostermissbildningar vid kliniskt relevanta exponeringar. Fynden sammanföll med tydligt minskad vikt för modern på upp till 16%. Det är okänt om dessa effekter är relaterade till minskat födointag hos modern som en direkt GLP‑1-effekt.
Postnatal tillväxt och utveckling utvärderades hos cynomolgusapa. Ungar var något mindre vid födseln, men återhämtade sig under digivningsperioden.
Hos juvenila råttor orsakade semaglutid fördröjd sexuell mognad hos både hanar och honor. Denna fördröjning hade ingen effekt på fertiliteten eller reproduktionsförmågan hos något av könen, eller på honornas förmåga att behålla graviditeten.
Farmakoterapeutisk grupp: Diabetesmedel, glukagonlik peptid-1-receptor (GLP-1) analoger, ATC-kod: A10BJ06
Verkningsmekanism
Semaglutid är en GLP‑1-analog med 94 % sekvenshomologi till human GLP‑1. Semaglutid verkar som en GLP‑1-receptoragonist som selektivt binder till och aktiverar GLP‑1-receptorn, målet för kroppseget GLP‑1.
GLP‑1 är ett fysiologiskt hormon som har multipla effekter på glukos- och aptitregleringen, och det kardiovaskulära systemet. Effekterna på glukos och aptit medieras särskilt via GLP‑1-receptorer i bukspottkörteln och i hjärnan.
Semaglutid sänker blodglukos på ett glukosberoende sätt genom att stimulera insulinutsöndringen och sänka glukagonutsöndringen vid högt blodglukos. I den blodglukossänkande mekanismen ingår även en mindre fördröjning av magsäckstömningen i den tidiga postprandiella fasen. Vid hypoglykemi minskar semaglutid insulinutsöndringen och hämmar inte glukagonutsöndringen. Verkningsmekanismen för semaglutid är oberoende av administreringsvägen.
Semaglutid ger minskad kroppsvikt och kroppsfettmassa genom minskat energiintag, vilket inbegriper en minskad aptit överlag. Dessutom minskar semaglutid suget efter livsmedel med högt fettinnehåll.
GLP‑1-receptorer uttrycks i hjärtat, blodkärlen, immunsystemet och njurarna. I kliniska studier har semaglutid en fördelaktig effekt på plasmalipider, sänker det systoliska blodtrycket och minskar inflammation. I djurstudier minskar semaglutid utvecklingen av ateroskleros genom att förhindra progression av plack i aorta och minska inflammationen i placken.
Verkningsmekanismen för semaglutid för kardiovaskulär riskreduktion är sannolikt multifaktoriell, delvis driven av minskning av HbA1c och effekter på kända kardio-renala-metabola riskfaktorer inklusive sänkning av blodtryck och kroppsvikt, förbättringar av lipidprofil och njurfunktion samt antiinflammatoriska effekter som påvisats genom sänkningar av hsCRP. Den exakta mekanismen för kardiovaskulär riskreduktion har inte fastställts.
Farmakodynamisk effekt
De farmakodynamiska utvärderingarna som beskrivs nedan utfördes med peroralt administrerat semaglutid efter 12 veckors behandling.
Fasteglukos och postprandiellt glukos
Semaglutid minskar koncentrationen av fasteglukos och postprandiellt glukos. Hos patienter med typ 2-diabetes resulterade behandling med semaglutid i en relativ minskning jämfört med placebo på 22% [13; 30] för fasteglukos och 29% [19; 37] för postprandiellt glukos.
Glukagonutsöndring
Semaglutid sänker koncentrationerna av postprandiellt glukagon. Hos patienter med typ 2-diabetes resulterade semaglutid i följande relativa minskning av glukagon jämfört med placebo: postprandiellt glukagonsvar med 29% [15; 41].
Magsäckstömning
Semaglutid orsakar en mindre fördröjning av tidig postprandiell magsäckstömning med (AUC0-1h) 31% [13; 46] lägre paracetamolexponering under den första timmen efter måltid. Därigenom sänks den hastighet med vilken glukos uppträder i blodet postprandiellt.
Fastelipider och postprandiella lipider
Jämfört med placebo sänkte semaglutid fastetriglycerider och kolesterolkoncentrationen av lipoproteiner med mycket låg densitet (VLDL) med 19% [8; 28] respektive 20% [5; 33]. Postprandiellt triglycerid- och VLDL-kolesterolsvar på en måltid med ett högt fettinnehåll minskades med 24% [9; 36] respektive 21% [7; 32]. ApoB48 minskades både vid fasta och postprandiellt med 25% [2; 42] respektive 30% [15; 43].
Klinisk effekt och säkerhet
Effekt och säkerhet för Rybelsus har utvärderats i åtta globala randomiserade kontrollerade fas 3a-studier. Fas 3a-studier ufördes med tabletter innehållande 3 mg, 7 mg och 14 mg semaglutid som är bioekvivalenta med 1,5 mg, 4 mg respektive 9 mg semaglutid. I sju studier var det primära målet att utvärdera glykemisk effekt. I en studie (PIONEER 6) var det primära målet att utvärdera kardiovaskulära utfall.
I studierna ingick 8 842 randomiserade patienter med typ 2-diabetes (5 169 behandlades med semaglutid), inklusive 1 165 patienter med måttligt nedsatt njurfunktion. Patienternas genomsnittliga ålder var 61 år (från 18 till 92 år), med 40% av patienterna ≥ 65 år och 8% ≥ 75 år. Effekten av semaglutid jämfördes med placebo eller aktiva kontroller (sitagliptin, empagliflozin och liraglutid).
Effekt och säkerhet av semaglutid 25 mg och 50 mg en gång dagligen utvärderades i en fas 3b studie (PIONEER PLUS) inklusive 1 606 randomiserade patienter.
En fas 3b kardiovaskulär utfallsstudie (SOUL), med 9 650 patienter genomfördes för att visa att oral semaglutid minskar risken för allvarliga kardiovaskulära händelser (MACE) jämfört med placebo utöver standardbehandling hos patienter med typ 2-diabetes och etablerad kardiovaskulär sjukdom och/eller kronisk njursjukdom.
Effekten av semaglutid påverkades inte av ålder vid studiestart, kön, ras, etniskt ursprung, kroppsvikt, BMI, hur länge personen haft diabetes, sjukdom i övre magtarmkanalen eller graden av njurfunktion.
PIONEER 1 – Monoterapi
I en 26 veckor lång dubbelblind studie randomiserades 703 patienter med typ 2-diabetes, som var otillräckligt kontrollerade med kost och motion, till semaglutid 3 mg, semaglutid 7 mg, semaglutid 14 mg eller placebo en gång dagligen.
Tabell 2 Resultat av en 26 veckor lång monoterapi-studie där semaglutid jämfördes med placebo (PIONEER 1)
1 Oavsett behandlingsavbrott eller initiering av undsättningsläkemedel (”rescue medication”) (pattern mixture model med användning av multipel imputation). * p< 0,001 (ojusterat 2-sidigt) för överlägsenhet, kontrollerat för multiplicitet. § p< 0,05, ej kontrollerat för multiplicitet; för ”Patienter som uppnådde HbA1c < 7,0% DCCT standard” är p-värdet för oddskvoten. 2 Bioekvivalensen har bekräftats mellan doserna 4 mg och 7 mg, och mellan doserna 9 mg och 14 mg, se avsnitt 5.2 Farmakokinetiska egenskaper.
PIONEER 2 – Semaglutid jämfört med empagliflozin, båda i kombination med metformin
I en 52 veckor lång öppen studie randomiserades 822 patienter med typ 2-diabetes till semaglutid 14 mg en gång dagligen eller empagliflozin 25 mg en gång dagligen, båda i kombination med metformin.
Tabell 3 Resultat av en 52 veckor lång studie där semaglutid jämfördes med empagliflozin (PIONEER 2)
1 Oavsett behandlingsavbrott eller initiering av undsättningsläkemedel (”rescue medication”) (pattern mixture model med användning av multipel imputation). * p< 0,001 (ojusterat 2-sidigt) för överlägsenhet, kontrollerat för multiplicitet. § p< 0,05, ej kontrollerat för multiplicitet; för ”Patienter som uppnådde HbA1c < 7,0% DCCT standard” är p-värdet för oddskvoten. 2 Bioekvivalensen har bekräftats mellan doserna 9 mg och 14 mg, se avsnitt 5.2 Farmakokinetiska egenskaper.
PIONEER 3 – Semaglutid jämfört med sitagliptin, båda i kombination med metformin eller metformin med sulfonureid
I en 78 veckor lång dubbelblind, double-dummy-studie randomiserades 1 864 patienter med typ 2-diabetes till semaglutid 3 mg, semaglutid 7 mg, semaglutid 14 mg eller sitagliptin 100 mg en gång dagligen, alla i kombination med enbart metformin eller metformin och sulfonureid. Reduktioner i HbA1c och kroppsvikt kvarstod under studiens varaktighet på 78 veckor.
Tabell 4 Resultat av en 78 veckor lång studie där semaglutid jämfördes med sitagliptin (PIONEER 3)
1 Oavsett behandlingsavbrott eller initiering av undsättningsläkemedel (”rescue medication”) (pattern mixture model med användning av multipel imputation). * p< 0,001 (ojusterat 2-sidigt) för överlägsenhet, kontrollerat för multiplicitet. § p< 0,05, ej kontrollerat för multiplicitet; för ”Patienter som uppnådde HbA1c < 7,0% DCCT standard” är p-värdet för oddskvoten. 2 Bioekvivalensen har bekräftats mellan doserna 4 mg och 7 mg, och mellan doserna 9 mg och 14 mg, se avsnitt 5.2 Farmakokinetiska egenskaper.
PIONEER 4 – Semaglutid jämfört med liraglutid och placebo, alla i kombination med metformin eller metformin med en SGLT2-hämmare
I en 52 veckor lång dubbelblind, double-dummy-studie randomiserades 711 patienter med typ 2-diabetes till semaglutid 14 mg, liraglutid 1,8 mg subkutan injektion eller placebo en gång dagligen, alla i kombination med metformin eller metformin och en SGLT2-hämmare.
Tabell 5 Resultat av en 52 veckor lång studie där semaglutid jämfördes med liraglutid och placebo (PIONEER 4)
1 Oavsett behandlingsavbrott eller initiering av undsättningsläkemedel (”rescue medication”) (pattern mixture model med användning av multipel imputation). * p< 0,001 (ojusterat 2-sidigt) för överlägsenhet, kontrollerat för multiplicitet. § p< 0,05, ej kontrollerat för multiplicitet; för ”Patienter som uppnådde HbA1c < 7,0% DCCT standard”, är p-värdet för oddskvoten. a jämfört med placebo. 2 Bioekvivalensen har bekräftats mellan doserna 9 mg och 14 mg, se avsnitt 5.2 Farmakokinetiska egenskaper.
PIONEER 5 – Semaglutid jämfört med placebo, båda i kombination med enbart basinsulin, metformin och basinsulin eller metformin och/eller sulfonureid, bland patienter med måttligt nedsatt njurfunktion
I en 26 veckor lång dubbelblind studie randomiserades 324 patienter med typ 2-diabetes och måttligt nedsatt njurfunktion (eGFR 30–59 ml/min/1,73 m2) till semaglutid 14 mg eller placebo en gång dagligen. Studieprodukten användes som tillägg till den stabilia antidiabetikabehandling som patienten hade före prövningen.
Tabell 6 Resultat av en 26 veckor lång studie där semaglutid jämfördes med placebo bland patienter med typ 2-diabetes och måttligt nedsatt njurfunktion (PIONEER 5)
1 Oavsett behandlingsavbrott eller initiering av undsättningsläkemedel (”rescue medication”) (pattern mixture model med användning av multipel imputation). * p< 0,001 (ojusterat 2-sidigt) för överlägsenhet, kontrollerat för multiplicitet. § p< 0,05, ej kontrollerat för multiplicitet; för ”Patienter som uppnådde HbA1c < 7,0% DCCT standard”, är p-värdet för oddskvoten. 2 Bioekvivalensen har bekräftats mellan doserna 9 mg och 14 mg, se avsnitt 5.2 Farmakokinetiska egenskaper.
PIONEER 7 – Semaglutid jämfört med sitagliptin, båda i kombination med metformin, SGLT2-hämmare, sulfonureid eller tiazolidinedion. Prövning med flexibel dosjustering
I en 52 veckor lång öppen studie randomiserades 504 patienter med typ 2-diabetes till semaglutid (flexibel dosjustering med 3 mg, 7 mg och 14 mg en gång dagligen) eller sitagliptin 100 mg en gång dagligen, alla i kombination med 1–2 perorala glukossänkande läkemedel (metformin, SGLT2-hämmare, sulfonureid eller tiazolidinedion). Dosen av semaglutid justerades var 8:e vecka baserat på patientens glykemiska respons och tolerabilitet. Dosen av sitagliptin på 100 mg var fast. Effekt och säkerhet för semaglutid utvärderades i vecka 52.
I vecka 52 var andelen patienter som behandlades med semaglutid 3 mg, 7 mg och 14 mg cirka 10%, 30% respektive 60%.
Tabell 7 Resultat av en 52 veckor lång studie med flexibel dosjustering där semaglutid jämfördes med sitagliptin (PIONEER 7)
1 Oavsett behandlingsavbrott (16,6% av patienterna med flexibel dos av semaglutid och 9,2% med sitagliptin, där 8,7% respektive 4,0% berodde på biverkningar) eller initiering av undsättningsläkemedel (”rescue medication”) (pattern mixture model med användning av multipel imputation). * p< 0,001 (ojusterat 2-sidigt) för överlägsenhet, kontrollerat för multiplicitet (för ”Patienter som uppnådde HbA1c < 7,0% DCCT standard”, är p-värdet för oddskvoten). 2 Bioekvivalensen har bekräftats mellan doserna 1,5 mg och 3 mg, mellan 4 mg och 7 mg och mellan 9 mg och 14 mg, se avsnitt 5.2 Farmakokinetiska egenskaper.
PIONEER 8 – Semaglutid jämfört med placebo, båda i kombination med insulin med eller utan metformin
I en 52 veckor lång dubbelblind studie randomiserades 731 patienter med typ 2-diabetes som var otillräckligt kontrollerade på insulin (bas, bas/bolus eller mix) med eller utan metformin till semaglutid 3 mg, semaglutid 7 mg, semaglutid 14 mg eller placebo en gång dagligen.
Tabell 8 Resultat av en 52 veckor lång studie där semaglutid jämfördes med placebo i kombination med insulin (PIONEER 8)
1 Oavsett behandlingsavbrott eller initiering av undsättningsläkemedel (”rescue medication”) (pattern mixture model med användning av multipel imputation). * p< 0,001 (ojusterat 2-sidigt) för överlägsenhet, kontrollerat för multiplicitet. § p< 0,05, ej kontrollerat för multiplicitet; för ”Patienter som uppnådde HbA1c < 7,0%” DCCT standard” är p-värdet för oddskvoten. + Den totala dagliga insulindosen var statistiskt signifikant lägre med semaglutid än med placebo i vecka 52. 2 Bioekvivalensen har bekräftats mellan doserna 4 mg och 7 mg, och mellan doserna 9 mg och 14 mg, se avsnitt 5.2 Farmakokinetiska egenskaper.
PIONEER PLUS – Effekt och säkerhet av semaglutid 25 mg och 50 mg jämfört med semaglutid 14 mg en gång dagligen hos försökspersoner med typ 2-diabetes
I en 68-veckors dubbelblind klinisk prövning randomiserades 1 606 patienter med typ 2-diabetes som stod på stabila doser av 1‑3 perorala antidiabetesmedel (metformin, sulfonureid, SGLT2-hämmare eller DPP-4 hämmare*) till att få underhållsdoser av antingen semaglutid 14 mg, semaglutid 25 mg eller semaglutid 50 mg en gång dagligen.
*DPP-4 hämmare sattes ut vid randomisering.
Behandling med semaglutid 25 mg och 50 mg en gång dagligen var överlägsen när det gällde att minska HbA1c DCCT standard och kroppsvikt jämfört med semaglutid 14 mg (se tabell 9). Data från vecka 68 stöder en kvarstående effekt av 14 mg, 25 mg och 50 mg peroralt semaglutid på HbA1c DCCT standard och kroppsvikt (se Bild 1).
Bild 1 Genomsnittlig HbA1c DCCT standard och genomsnittlig kroppsvikt (kg) från studiestart till vecka 68
Tabell 9 Resultat av en 52 veckors studie jämförande semaglutid 25 mg och 50 mg med semaglutid 14 mg (PIONEER PLUS)
1 Oavsett behandlingsavbrott eller initiering av undsättningsläkemedel (”rescue medication”) (pattern mixture model med användning av multipel imputation). * p< 0,001 (ojusterat 2-sidigt) för överlägsenhet, kontrollerat för multiplicitet. § p< 0,05, ej kontrollerat för multiplicitet; för ”Patienter som uppnådde HbA1c < 7,0% DCCT standard” är p-värdet för oddskvoten. 2 Bioekvivalensen har bekräftats mellan doserna 9 mg och 14 mg, se avsnitt 5.2 Farmakokinetiska egenskaper.
Kardiovaskulära utfall
SOUL: Kardiovaskulär utfallstudie i patienter med typ 2 diabetes
I en dubbelblind, placebokontrollerad, händelsedriven studie randomiserades 9 650 patienter, 50 år eller äldre med typ 2-diabetes och hög kardiovaskulär risk, definerad som etablerad kardiovaskulär sjukdom och/eller kronisk njursjukdom, till antingen semaglutid 14 mg (bioekvivalent till semaglutid 9 mg) en gång dagligen eller placebo som tillägg till standardbehandling.
Totalt 5 468 patienter (56,7%) hade etablerad kardiovaskulär sjukdom utan kronisk njursjukdom, 1 241 (12,9%) hade endast kronisk njusjukdom och 2 620 (27,2%) hade både kardiovaskulär sjukdom och njursjukdom. Medelåldern vid baseline var 66,1 år, och 71,1% av patienterna var män. Den genomsnittliga tiden sedan diabetesdiagnos var 15,4 år och genomsnittligt HbA1c var 8,0%, genomsnittligt BMI var 31,1 kg/m2, och genomsnittligt eGFR var 73,8 ml/min/1,73 m2. Medicinsk anamnes inkluderade stroke (15,4%), hjärtinfarkt (40,0%), och perifer artärsjukdom (15,7%) Vid baseline behandlades 26,9% av patienterna med SGLT2-hämmare.
Primärt utfallsmått var tid från randomisering till första allvarliga kardiovaskulära händelse (MACE): kardiovaskulär död, icke-fatal hjärtinfarkt, eller icke-fatal stroke. Primära utfallsmåttet, tid från randomisering till första MACE, inträffade i 1 247 av de 9 650 inkluderade patienterna. 579 fall av första MACE (12%) dokumenterades bland de 4 825 patienter som behandlades med semaglutid, jämfört med 668 fall av första MACE (13,8%) bland de 4 825 patienter som behandlades med placebo.
Överlägsenheten för semaglutid jämfört med placebo för MACE, bekräftades med en hazardkvot på 0,86 [0,77 ; 0,96] [0,95% CI], vilket motsvarar en relativ riskreduktion för MACE på 14% (se Bild 2). Minskningen av MACE med semaglutid var konsekvent i alla åldersgrupper, kön, etnicitet, BMI vid baseline samt grad av nedsatt njurfunktion.
Analys av den första sammansatta njurhändelsen (det första bekräftande sekundära utfallsmåttet) resulterade i en hazardkvot på 0,91 [0,80 ; 1,05] [0,95% CI].
Data från i-studien (in-trial) perioden och baserad på full analysis set (FAS). Kumulativt incidensestimat baseras på tid från randomisering till första MACE bekräftad av EAC med icke-kardiovaskulär död modellerad som kompetitiv risk med Aalen-Johansen estimering. Patienter utan relevanta händelser censorerades vid slutet av deras in-trial observationsperiod. Tid från randomisering till första MACE analyserades med Cox regression med behandling som kategorisk variabel. Hazardkvoten och konfidensintervall är justerade för gruppens sekventiella design med sannolikhetskvot sortering. EAC: event adjudication committee/ adjudiceringskomittée, MACE: major adverse cardiovascular event/allvarlig kardiovaskulär händelse.
Bild 2: Kumulativ incidensfunktion av tid från randomisering till första MACE
Data från i-studien (in-trial) perioden och baserad på full analysis set (FAS). Tid från randomisering till varje utfallsmått analyserades med Cox regression med behandling som en kategorisk variabel. Patienter utan relevanta händelser censorerades vid slutet av deras in-trial observationsperiod. För primärt utfallsmått justerades hazardkvot (HR) och konfidensintervall för gruppens sekventiella design med sannolikhetskvot sortering. Kardiovaskulär död inkluderar både kardiovaskulär död och död av okänd orsak.
HR: hazardkvot CI: Konfidensintervall.
Sammansatt njurhändelse: utfallsmått som består av kardiovaskulär död, njurdöd, debut av ihållande ≥50 % minskning av uppskttad glomerulär filtartionshastighet (CKD-EPI) jämfört med baseline, debut av ihållande eGFR (CKD-EPI) <15 ml/min/1,73 m2, eller initiering av kronisk njurersättningsterapi (dialys eller njurtransplantation).
MALE: major adverse limb events/ allvarlig händelse i extremiteter; sammansatt utfallsmått bestående av akut eller kronisk ischemi i extremiteter som medförde sjukhusinläggning eller förlängd sådan
Bild 3: Behandlingseffekt av det primärt sammansatta utfallsmåttet, dess komponenter, och andra sekundära utfallsmått (SOUL)
PIONEER 6: Kardiovaskulär utfallstudie i patienter med typ2-diabetes
I en dubbelblind studie (PIONEER 6) randomiserades 3 183 patienter, 50 år eller äldre med typ 2-diabetes och hög kardiovaskulär risk till semaglutid 14 mg (bioekvivalent till semaglutid 9 mg) en gång dagligen eller placebo som tillägg till standardbehandling. Medianen för observationsperioden var 16 månader. PIONEER 6 var en kardiovaskulär utfallsstudie innan första godkännande designad att etablera kardiovaskulär säkerhet.
Primärt utfallsmått var tid från randomisering till första allvarliga kardiovaskulära händelse (MACE): kardiovaskulär död, icke-fatal hjärtinfarkt eller icke-fatal stroke.
Det totala antalet första MACE var 137: 61 (3,8%) med semaglutid och 76 (4,8%) med placebo. Analysen av tid till första MACE resulterade i en hazardkvot på 0,79 [0,57; 1,11]95% CI.
Kroppsvikt
Vid slutet av behandlingen hade 27‑65,7% av patienterna uppnått en viktminskning på ≥ 5% och 6‑34,7% hade uppnått en viktminskning på ≥ 10% med semaglutid, jämfört med 12-39% respektive 2‑8% med de aktiva jämförelseläkemedlen.
I den kardiovaskulära utfallsstudien SOUL, observerades en viktminskning från baseline till vecka 104 med semaglutid jämfört med placebo som tillägg till standardbehandling (-4,22 kg respektive -1,27 kg).
Blodtryck
Behandling med semaglutid hade minskat det systoliska blodtrycket med 2‑7 mmHg.
Pediatrisk population
Europeiska läkemedelsmyndigheten har senarelagt kravet att skicka in studieresultat för Rybelsus för en eller flera grupper av den pediatriska populationen för typ 2-diabetes (information om pediatrisk användning finns i avsnitt 4.2).
Det finns två formuleringar av semaglutid tabletter:
1,5 mg, 4 mg, och 9 mg (runda tabletter)
3 mg, 7 mg och 14 mg (ovala tabletter)
Liknande effekt och säkerhet kan förväntas för båda formuleringar. Bioekvivalenta doser av de två formuleringarna beskrivs i tabellen nedan:
Tabell 10: Samma effekt av de två perorala formuleringarna
Absorption
Oralt administrerat semaglutid har en låg absolut biotillgänglighet och en variabel absorption. Daglig administrering enligt den rekommenderade doseringen i kombination med en lång halveringstid minskar dagliga fluktuationer i exponeringen.
Farmakokinetiken för semaglutid har karakteriserats utförligt hos friska försökspersoner och patienter med typ 2‑diabetes. Efter peroral administrering erhölls maximal plasmakoncentration av semaglutid ungefär 1 timme efter dosering. Steady state-exponering uppnåddes efter 4–5 veckors administrering en gång dagligen. Hos patienter med typ 2-diabetes var de genomsnittliga steady state-koncentrationerna ungefär de som listas nedan:
4 mg (bioekvivalent med 7 mg): Genomsnittlig koncentration var 7 nmol/l med 90% av försökspersonerna som behandlades med semaglutid 7 mg hade en genomsnittlig koncentration mellan 2 och 22 nmol/l.
9 mg (bioekvivalent med 14 mg): Genomsnittlig koncentration var 15 nmol/l med 90% av försökspersonerna som behandlades med semaglutid 14 mg hade en genomsnittlig koncentration mellan 4 och 45 nmol/l.
25 mg: Genomsnittlig koncentration var 47 nmol/l med 90% av försökspersonerna som behandlades med semaglutid 25 mg hade en genomsnittlig koncentration mellan 11 och 142 nmol/l.
50 mg: Genomsnittlig koncentration var 92 nmol/l med 90% av försökspersonerna som behandlades med semaglutid 50 mg hade en genomsnittlig koncentration mellan 23 och 279 nmol/l.
Den systemiska exponeringen för semaglutid ökade på ett dosproportionerligt sätt.
Baserat på in vitro-data underlättar salkaprozatnatrium absorptionen av semaglutid. Absorptionen av semaglutid sker huvudsakligen i magsäcken.
Den beräknade biotillgängligheten för semaglutid är cirka 1-2% efter peroral administrering. Absorptionsvariabilitet mellan försökspersoner var hög (variationskoefficient var cirka 100%). Uppskattning av variabilitet i biotillgänglighet inom försökspersoner var inte pålitlig.
Absorptionen av semaglutid minskar om det tas tillsammans med mat eller stora mängder vatten. Olika doseringsscheman för semaglutid har undersökts. Studier visar att en längre period av fasta före och efter dos resulterar i en högre absorption (se avsnitt 4.2).
Distribution
Den beräknade absoluta distributionsvolymen är cirka 8 l hos patienter med typ 2-diabetes. Semaglutid binder i stor utsträckning till plasmaproteiner (> 99%).
Metabolism
Semaglutid metaboliseras genom proteolytisk klyvning av peptidkedjan och sekventiell beta-oxidation av fettsyrans sidokedja. Enzymet neutralt endopeptidas (NEP) förväntas vara involverat i semaglutids metabolism.
Eliminering
De primära utsöndringsvägarna för semaglutidrelaterat material är via urin och feces. Cirka 3% av den absorberade dosen utsöndras som intakt semaglutid via urinen.
Med en halveringstid vid eliminering på cirka 1 vecka kommer semaglutid att finnas kvar i blodet i cirka 5 veckor efter sista dosen. Clearance av semaglutid hos patienter med typ 2-diabetes är cirka 0,04 l/timme.
Speciella populationer
Äldre
Ålder hade ingen effekt på farmakokinetiken för semaglutid baserat på data från kliniska prövningar där patienter upp till 92 års ålder studerades.
Kön
Kön hade inga kliniskt betydelsefulla effekter på farmakokinetiken för semaglutid.
Ras och etniskt ursprung
Ras (vit, svart eller afro-amerikan, asiat) och etniskt ursprung (spansk eller latinamerikan, icke-spansk eller icke-latinamerikan) hade ingen kliniskt relevant effekt på farmakokinetiken för semaglutid.
Kroppsvikt
Kroppsvikt hade en effekt på exponeringen för semaglutid. Högre kroppsvikt var förknippat med lägre exponering. Semaglutid gav tillräcklig systemisk exponering i viktintervallet 40‑212 kg som utvärderades i de kliniska prövningarna.
Nedsatt njurfunktion
Nedsatt njurfunktion påverkade inte farmakokinetiken för semaglutid på ett kliniskt relevant sätt. Farmakokinetiken för semaglutid utvärderades hos patienter med lindrig, måttligt eller svårt nedsatt njurfunktion och patienter med terminal njursjukdom som behandlades med dialys jämfört med försökspersoner med normal njurfunktion i en studie med en daglig dos semaglutid under 10 dagar i följd. Detta visades även hos försökspersoner med typ 2-diabetes och nedsatt njurfunktion baserat på data från fas 3a-studier.
Nedsatt leverfunktion
Nedsatt leverfunktion påverkade inte farmakokinetiken för semaglutid på ett kliniskt relevant sätt. Farmakokinetiken för semaglutid utvärderades hos patienter med lindrig, måttligt eller svårt nedsatt leverfunktion jämfört med försökspersoner med normal leverfunktion i en studie med en daglig dos semaglutid under 10 dagar i följd.
Sjukdom i övre magtarmkanalen
Sjukdom i övre magtarmkanalen (kronisk gastrit och/eller gastroesofageal refluxsjukdom) påverkade inte farmakokinetiken för semaglutid på ett kliniskt relevant sätt. Farmakokinetiken utvärderades hos patienter med typ 2-diabetes med eller utan sjukdom i övre magtarmkanalen som fick en daglig dos semaglutid under 10 dagar i följd. Detta visades även hos försökspersoner med typ 2-diabetes och sjukdom i övre magtarmkanalen baserat på data från fas 3a-studier.
Pediatrisk population
Semaglutid har inte studerats hos pediatriska patienter.
Gängse studier avseende säkerhetsfarmakologi, allmäntoxicitet och gentoxicitet visade inte några särskilda risker för människa.
Icke-letala tumörer i sköldkörtelns C-celler som observerades hos gnagare är en klasseffekt för GLP‑1-receptoragonister. Vid 2 års karcinogenicitetsstudier på råtta och mus orsakade semaglutid tumörer i sköldkörtelns C-celler vid kliniskt relevanta exponeringar. Inga andra behandlingsrelaterade tumörer observerades. C-cellstumörer hos gnagare beror på en icke-gentoxisk, specifik GLP‑1-receptormedierad mekanism som gnagare är särskilt känsliga för. Relevansen för människa anses vara låg, men kan inte helt uteslutas.
I fertilitetsstudier på råtta påverkade semaglutid inte parningsförmågan eller hanarnas fertilitet. Hos honråttor observerades en ökning av brunstcykelns längd och en liten minskning av corpora lutea (ägglossningar) vid doser som hade samband med viktminskning hos modern.
I embryofetala utvecklingsstudier på råtta orsakade semaglutid embryotoxicitet vid exponering lägre än kliniskt relevant exponering. Semaglutid orsakade tydligt minskad vikt för modern och minskad överlevnad och tillväxt för embryot. Hos foster observerades större skeletala och viscerala missbildningar, inklusive effekter på rörben, revben, kotor, svans, blodkärl och hjärnventriklar. Mekanistiska utvärderingar indikerade att embryotoxiciteten involverade en GLP‑1-receptormedierad försämring av näringstillförseln till embryot genom råttans gulesäck. På grund av skillnader mellan arter vad gäller gulesäckens anatomi och funktion och på grund av avsaknad av GLP‑1-receptoruttryck i gulesäcken hos icke-mänskliga primater, anses det osannolikt att denna mekanism har någon relevans för människa. En direkt effekt av semaglutid på fostret kan dock inte uteslutas.
I toxikologiska studier avseende effekter på utveckling hos kanin och cynomolgusapa observerades en ökning av missfall och en något ökad frekvens av fostermissbildningar vid kliniskt relevanta exponeringar. Fynden sammanföll med tydligt minskad vikt för modern på upp till 16%. Det är okänt om dessa effekter är relaterade till minskat födointag hos modern som en direkt GLP‑1-effekt.
Postnatal tillväxt och utveckling utvärderades hos cynomolgusapa. Ungar var något mindre vid födseln, men återhämtade sig under digivningsperioden.
Hos juvenila råttor orsakade semaglutid fördröjd sexuell mognad hos både hanar och honor. Denna fördröjning hade ingen effekt på fertiliteten eller reproduktionsförmågan hos något av könen, eller på honornas förmåga att behålla graviditeten.
Ej använt läkemedel och avfall ska kasseras enligt gällande anvisningar.
Salkaprozatnatrium
Magnesiumstearat
Ej relevant.
3 år
Förvaras i originalblisterförpackningen. Ljuskänsligt. Fuktkänsligt.
Inga särskilda temperaturanvisningar.
Alu/Alu-blister.
Förpackningsstorlekar: 10, 30, 60, 90 och 100 tabletter.
Eventuellt kommer inte alla förpackningsstorlekar att marknadsföras.
Ej använt läkemedel och avfall ska kasseras enligt gällande anvisningar.
EU/1/20/1430/031
EU/1/20/1430/032
EU/1/20/1430/033
EU/1/20/1430/034
EU/1/20/1430/035
EU/1/20/1430/036
EU/1/20/1430/037
EU/1/20/1430/038
EU/1/20/1430/039
EU/1/20/1430/040
EU/1/20/1430/016
EU/1/20/1430/017
EU/1/20/1430/018
EU/1/20/1430/019
EU/1/20/1430/020
EU/1/20/1430/021
EU/1/20/1430/022
EU/1/20/1430/023
EU/1/20/1430/024
EU/1/20/1430/025
EU/1/20/1430/026
EU/1/20/1430/027
EU/1/20/1430/028
EU/1/20/1430/029
EU/1/20/1430/030
EU/1/20/1430/031
EU/1/20/1430/032
EU/1/20/1430/033
EU/1/20/1430/034
EU/1/20/1430/035
EU/1/20/1430/036
EU/1/20/1430/037
EU/1/20/1430/038
EU/1/20/1430/039
EU/1/20/1430/040
Produktresumén är företagets information till hälso- och sjukvårdspersonal. Godkänd av myndighet.