Klar till något opalescent, färglös till svagt brungul lösning
Bimzelx 160 mg injektionsvätska, lösning i förfylld spruta
Bimzelx 320 mg injektionsvätska, lösning i förfylld spruta
Bimzelx 160 mg injektionsvätska, lösning i förfylld injektionspenna
Bimzelx 320 mg injektionsvätska, lösning i förfylld injektionspenna
Injektionsvätska, lösning (injektionsvätska)
Klar till något opalescent, färglös till svagt brungul lösning.
UCB Pharma S.A.
Allée de la Recherche 60
B-1070 Bruxelles
Belgien
Första godkännandet: 20 augusti 2021
12/2024 Ytterligare information om detta läkemedel finns på Europeiska läkemedelsmyndighetens webbplats https://www.ema.europa.eu.
För fullständig förteckning över hjälpämnen, se avsnitt 6.1.
Bimzelx 160 mg injektionsvätska, lösning i förfylld spruta
Varje förfylld spruta innehåller 160 mg bimekizumab i 1 ml lösning.
Bimzelx 320 mg injektionsvätska, lösning i förfylld spruta
Varje förfylld spruta innehåller 320 mg bimekizumab i 2 ml lösning.
Bimzelx 160 mg injektionsvätska, lösning i förfylld injektionspenna
Varje förfylld injektionspenna innehåller 160 mg bimekizumab i 1 ml lösning.
Bimzelx 320 mg injektionsvätska, lösning i förfylld injektionspenna
Varje förfylld injektionspenna innehåller 320 mg bimekizumab i 2 ml lösning.
Bimekizumab är en humaniserad monoklonal IgG1-antikropp som producerats med rekombinant DNA-teknik i genetiskt modifierade ovarieceller från kinesisk hamster.
För fullständig förteckning över hjälpämnen, se avsnitt 6.1.
Bimzelx är indicerat för behandling av aktiv ankyloserande spondylit hos vuxna som tidigare svarat otillräckligt på, eller är intoleranta mot konventionell behandling.
Hidradenitis suppurativa (HS)
Bimzelx är indicerat för behandling av aktiv måttlig till svår hidradenitis suppurativa (acne inversa) hos vuxna med otillräckligt svar på konventionell systemisk HS-behandling (se avsnitt 5.1).
Bimzelx är avsett att användas under vägledning och överinseende av läkare med erfarenhet av diagnostik och behandling av de sjukdomstillstånd för vilka Bimzelx är indicerat.
Dosering
Plackpsoriasis
Den rekommenderade dosen för vuxna patienter med plackpsoriasis är 320 mg (som ges som 2 subkutana injektioner på 160 mg eller 1 subkutan injektion på 320 mg) vid vecka 0, 4, 8, 12, 16 och därefter var 8:e vecka.
Psoriasisartrit
Den rekommenderade dosen för vuxna patienter med aktiv psoriasisartrit är 160 mg (som ges som 1 subkutan injektion på 160 mg) var 4:e vecka.
För patienter med psoriasisartrit och samtidig måttlig till svår plackpsoriasis är den rekommenderade dosen densamma som för plackpsoriasis [320mg (som ges som 2 subkutana injektioner på 160 mg eller 1 subkutan injektion på 320 mg) vid vecka 0, 4, 8, 12, 16 och därefter var 8:e vecka]. Efter 16 veckor rekommenderas regelbunden bedömning av effekt och om tillräckligt kliniskt svar i lederna inte kan upprätthållas kan ett byte till 160 mg var 4:e vecka övervägas.
Axial spondylartrit (nr-axSpA och AS)
Den rekommenderade dosen för vuxna patienter med axial spondylartrit är 160 mg (som ges som 1 subkutan injektion på 160 mg) var 4:e vecka.
Hidradenitis suppurativa
Den rekommenderade dosen för vuxna patienter med hidradenitis suppurativa är 320 mg (som ges som 2 subkutana injektioner på 160 mg eller 1 subkutan injektion på 320 mg) varannan vecka fram t.o.m. vecka 16 och därefter var 4:e vecka.
För ovanstående indikationer bör man överväga att avbryta behandlingen hos patienter som inte har uppvisat någon förbättring efter 16 veckors behandling.
Särskilda populationer
Överviktiga patienter med plackpsoriasis
För vissa patienter med plackpsoriasis (inklusive psoriasisartrit med samtidig måttlig till svår psoriasis) och en kroppsvikt ≥ 120 kg som inte uppnått fullständig utläkning vid vecka 16 kan 320 mg var 4:e vecka efter vecka 16 eventuellt förbättra behandlingssvaret ytterligare (se avsnitt 5.1).
Äldre (≥ 65 år)
Ingen dosjustering krävs (se avsnitt 5.2).
Nedsatt njur- eller leverfunktion
Bimekizumab har inte studerats i dessa patientpopulationer. Dosjusteringar anses inte nödvändiga baserat på farmakokinetiken (se avsnitt 5.2).
Pediatrisk population
Säkerhet och effekt för bimekizumab hos barn och ungdomar yngre än 18 år har inte fastställts. Inga data finns tillgängliga.
Administreringssätt
Läkemedlet administreras via subkutan injektion. En dos på 320 mg kan ges som 2 subkutana injektioner på 160 mg eller 1 subkutan injektion på 320 mg.
Lämpliga injektionsområden är lår, buk och överarm. Injektionsstället ska varieras och injektioner bör inte ges i områden där huden är öm, har blåmärken eller erytem, har förhårdnad eller är påverkad av psoriasis. Administrering i överarmen får endast utföras av hälso- och sjukvårdspersonal eller vårdare.
Den förfyllda sprutan eller den förfyllda injektionspennan får inte skakas.
Efter adekvat utbildning i subkutan injektionsteknik kan patienter själva injicera Bimzelx med en förfylld spruta eller förfylld injektionspenna om läkare bedömer att detta är lämpligt. Läkaren bör dock säkerställa lämplig medicinsk uppföljning vid behov. Patienterna ska instrueras att injicera hela mängden Bimzelx i enlighet med användarinstruktionerna som finns i bipacksedeln.
Överkänslighet mot den aktiva substansen eller mot något hjälpämne som anges i avsnitt 6.1.
Kliniskt betydelsefulla aktiva infektioner (t.ex. aktiv tuberkulos, se avsnitt 4.4).
Spårbarhet
För att underlätta spårbarhet av biologiska läkemedel ska läkemedlets namn och tillverkningssatsnummer dokumenteras.
Infektioner
Bimekizumab kan öka risken för infektioner såsom övre luftvägsinfektioner och oral kandidos (se avsnitt 4.8).
Försiktighet bör iakttas då man överväger att använda bimekizumab till patienter med kronisk infektion eller anamnes på återkommande infektion. Behandling med bimekizumab får inte påbörjas hos patienter med kliniskt betydelsefull aktiv infektion förrän infektionen gått över eller behandlats på lämpligt sätt (se avsnitt 4.3).
Patienter som behandlas med bimekizumab ska instrueras att söka medicinsk rådgivning om det uppstår tecken eller symtom som tyder på infektion. Om en patient utvecklar en infektion ska patienten noga övervakas. Om infektionen blir allvarlig eller inte svarar på standardbehandling ska bimekizumabbehandlingen sättas ut tills infektionen har gått över.
Undersökning med avseende på tuberkulos (TB) före behandling
Innan behandling med bimekizumab påbörjas bör patienterna undersökas med avseende på tuberkulosinfektion. Bimekizumab ska inte ges till patienter med aktiv TB (se avsnitt 4.3). Patienter som får bimekizumab bör övervakas avseende tecken och symtom på aktiv TB. Behandling mot TB bör övervägas innan behandling med bimekizumab påbörjas hos patienter med anamnes på latent eller aktiv TB för vilka en adekvat behandling inte kan bekräftas.
Inflammatorisk tarmsjukdom
Fall av debut eller exacerbationer av inflammatorisk tarmsjukdom har rapporterats med bimekizumab (se avsnitt 4.8). Bimekizumab rekommenderas inte till patienter med inflammatorisk tarmsjukdom. Om en patient utvecklar tecken och symtom på inflammatorisk tarmsjukdom eller upplever en försämring av befintlig inflammatorisk tarmsjukdom, ska bimekizumab sättas ut och lämplig medicinsk behandling sättas in.
Överkänslighet
Allvarliga överkänslighetsreaktioner inklusive anafylaktiska reaktioner har observerats med IL-17-hämmare. Om en allvarlig överkänslighetsreaktion inträffar ska administreringen av bimekizumab sättas ut omedelbart och lämplig behandling påbörjas.
Vaccinationer
Överväg att slutföra alla lämpliga vaccinationer enligt aktuella riktlinjer för åldersgruppen innan behandling med bimekizumab påbörjas.
Levande vacciner ska inte ges till patienter som behandlas med bimekizumab.
Patienter som behandlas med bimekizumab kan ges inaktiverade eller avdödade vacciner. Friska individer som fick en singeldos om 320 mg bimekizumab två veckor före vaccination med ett inaktiverat vaccin mot säsongsinfluensa hade liknande antikroppssvar jämfört med individer som inte fick bimekizumab före vaccination.
Hjälpämnen
Detta läkemedel innehåller 0,4 mg polysorbat 80 per 1 ml lösning. Polysorbater kan orsaka allergiska reaktioner.
Detta läkemedel innehåller mindre än 1 mmol (23 mg) natrium per dos, d.v.s. är näst intill ”natriumfritt”.
Inga interaktionsstudier har utförts.
Det finns inga direkta bevis för vilken roll IL-17A eller IL-17F har i uttrycket av CYP450-enzymer. Produktionen av vissa CYP450-enzymer hämmas av de ökade cytokinnivåerna vid kronisk inflammation. Antiinflammatoriska behandlingar, som IL-17A- och IL-17F-hämmaren bimekizumab, kan således leda till normaliserade CYP450-nivåer med åtföljande lägre exponering för läkemedel som metaboliseras av CYP450. En kliniskt relevant effekt på CYP450-substrat med snävt terapeutiskt index där dosen ställs in individuellt (t.ex. warfarin) kan därför inte uteslutas. När behandling med bimekizumab sätts in hos patienter som behandlas med dessa typer av läkemedel bör terapeutisk övervakning övervägas.
Analyser av farmakokinetiska populationsdata visade att samtidig administrering av konventionella sjukdomsmodifierande antireumatiska läkemedel (cDMARD) inklusive metotrexat eller tidigare exponering för biologiska läkemedel inte har någon klinisk relevant påverkan på clearance av bimekizumab.
Levande vaccin ska inte ges samtidigt med bimekizumab (se avsnitt 4.4).
Fertila kvinnor
Fertila kvinnor ska använda en effektiv preventivmetod under pågående behandling och i minst 17 veckor efter avslutad behandling.
Graviditet
Det finns begränsad mängd data från användning av bimekizumab hos gravida kvinnor. Djurstudier visar inga direkta eller indirekta skadliga effekter på graviditet, embryofetal utveckling, födelse eller postnatal utveckling (se avsnitt 5.3). Som en försiktighetsåtgärd bör man undvika användning av Bimzelx under graviditet.
Amning
Det är okänt om bimekizumab utsöndras i bröstmjölk. En risk för det nyfödda barnet/spädbarnet kan inte uteslutas. Ett beslut måste fattas om man ska avbryta amningen eller avbryta/avstå behandling med Bimzelx efter att man tagit hänsyn till fördelen med amning för barnet och fördelen med behandling för kvinnan.
Fertilitet
Effekten av bimekizumab på fertiliteten hos människa har inte utvärderats. Djurstudier visar inga direkta eller indirekta skadliga effekter avseende fertiliteten (se avsnitt 5.3).
Bimzelx har ingen eller försumbar effekt på förmågan att framföra fordon och använda maskiner.
Sammanfattning av säkerhetsprofilen
De vanligaste rapporterade biverkningarna var övre luftvägsinfektioner (14,5 %, 14,6 %, 16,3 %, 8,8 % vid plackpsoriasis, psoriasisartrit, axial spondylartrit (axSpA) respektive hidradenitis suppurativa) och oral kandidos (7,3 %, 2,3 %, 3,7 %, 5,6 % vid PSO, PsA, axSpA respektive HS).
Tabell över biverkningar
Biverkningar i kliniska studier och rapporter efter marknadsintroduktion (tabell 1) redovisas enligt MedDRA:s indelning av organsystem och frekvens enligt följande konvention: mycket vanliga (≥ 1/10), vanliga (≥ 1/100, < 1/10), mindre vanliga (≥ 1/1 000, < 1/100), sällsynta (≥ 1/10 000, < 1/1 000), mycket sällsynta (< 1/10 000), ingen känd frekvens (kan inte beräknas från tillgängliga data).
Totalt 5 862 patienter med plackpsoriasis (PSO), psoriasisartrit (PsA), axial spondylartrit (nr-axSpA och AS) och hidradenitis suppurativa (HS) har behandlats med bimekizumab i blindade och öppna kliniska studier vilket motsvarar en exponering på 11 468,6 patientår. Av dessa exponerades över 4 660 patienter för bimekizumab i minst ett år. Säkerhetsprofilen för bimekizumab är totalt sett jämförbar mellan alla indikationer.
Tabell 1: Lista över biverkningar
Beskrivning av utvalda biverkningar
Infektioner
Under den placebokontrollerade perioden av de kliniska fas III-studierna av plackpsoriasis rapporterades infektioner hos 36,0 % av de patienter som fick bimekizumab i upp till 16 veckor jämfört med 22,5 % av de patienter som fick placebo. Allvarliga infektioner uppstod hos 0,3 % av patienter som behandlades med bimekizumab och hos 0 % av patienter som behandlades med placebo.
Majoriteten av infektionerna var icke-allvarliga milda till måttliga övre luftvägsinfektioner som t.ex. nasofaryngit. I enlighet med verkningsmekanismen ökade frekvensen av oral och orofaryngeal kandidos hos patienter som behandlades med bimekizumab (7,3 % respektive 1,2 % jämfört med 0 % hos patienter som behandlades med placebo). Mer än 98 % av fallen var icke-allvarliga, milda eller måttliga i svårighetsgrad och krävde inte att behandlingen avbröts. En något högre incidens av oral kandidos rapporterades hos patienter < 70 kg (8,5 % jämfört med 7,0 % hos patienter ≥ 70 kg).
Under hela behandlingsperioden i kliniska fas III-studier av plackpsoriasis rapporterades infektioner hos 63,2 % av patienterna som behandlades med bimekizumab (120,4 per 100 patientår). Allvarliga infektioner rapporterades hos 1,5 % av patienterna som behandlades med bimekizumab (1,6 per 100 patientår) (se avsnitt 4.4).
Frekvensen av infektioner som observerades i kliniska fas III-studier av PsA och axSpA (nr-axSpA och AS) liknade de som observerades vid plackpsoriasis, med undantag för frekvensen av oral och orofaryngeal kandidos hos patienter som behandlades med bimekizumab, vilken var lägre med 2,3 % respektive 0 % vid PsA och 3,7 % respektive 0,3 % vid axSpA jämfört med 0 % med placebo.
Frekvensen av infektioner som observerades i kliniska fas III-studier av HS liknade de som observerades vid andra indikationer. Under den placebokontrollerade perioden var frekvensen av oral och orofaryngeal kandidos hos patienter som behandlades med bimekizumab 7,1 % respektive 0 % jämfört med 0 % med placebo.
Neutropeni
Neutropeni observerades med bimekizumab i kliniska fas III-studier av plackpsoriasis. Under hela behandlingsperioden i fas III-studierna observerades neutropeni av grad 3/4 hos 1 % av patienterna som behandlades med bimekizumab.
Frekvensen av neutropeni i kliniska studier av PsA, axSpA (nr-axSpA och AS) och HS liknade den som observerades i studier av plackpsoriasis.
De flesta fallen var övergående och krävde inte behandlingsavbrott. Inga allvarliga infektioner förknippades med neutropeni.
Överkänslighet
Allvarliga överkänslighetsreaktioner inklusive anafylaktiska reaktioner har observerats med IL-17-hämmare.
Immunogenicitet
Plackpsoriasis
Cirka 45 % av patienterna med plackpsoriasis som behandlades med den rekommenderade dosregimen (320 mg var 4:e vecka upp till vecka 16 och 320 mg var 8:e vecka därefter) av bimekizumab i upp till 56 veckor utvecklade antikroppar mot läkemedlet. Av de patienter som utvecklade antikroppar mot läkemedlet hade cirka 34 % (16 % av alla patienter som behandlades med bimekizumab) antikroppar som klassificerades som neutraliserande.
Psoriasisartrit
Cirka 31 % av patienterna med psoriasisartrit som behandlades med den rekommenderade dosregimen (160 mg var 4:e vecka) av bimekizumab i upp till 16 veckor utvecklade antikroppar mot läkemedlet. Av de patienter som utvecklade antikroppar mot läkemedlet hade cirka 33 % (10 % av alla patienter som behandlades med bimekizumab) antikroppar som klassificerades som neutraliserande. I BE OPTIMAL-studien hade vid vecka 52 cirka 47 % av de biologiska (b)DMARD-naiva patienterna med psoriasisartrit som behandlades med den rekommenderade dosregimen (160 mg var 4:e vecka) av bimekizumab utvecklat antikroppar mot läkemedlet. Av de patienter som utvecklade antikroppar mot läkemedlet hade cirka 38 % (18 % av alla patienter i BE OPTIMAL-studien som behandlades med bimekizumab) antikroppar som klassificerades som neutraliserande.
Axial spondylartrit (nr-axSpA och AS)
Cirka 57 % av patienterna med nr-axSpA som behandlades med den rekommenderade dosregimen (160 mg var 4:e vecka) av bimekizumab i upp till 52 veckor utvecklade antikroppar mot läkemedlet. Av de patienter som utvecklade antikroppar mot läkemedlet hade cirka 44 % (25 % av alla patienter som behandlades med bimekizumab) antikroppar som klassificerades som neutraliserande.
Cirka 44 % av patienterna med AS som behandlades med den rekommenderade dosregimen (160 mg var 4:e vecka) av bimekizumab i upp till 52 veckor utvecklade antikroppar mot läkemedlet. Av de patienter som utvecklade antikroppar mot läkemedlet hade cirka 44 % (20 % av alla patienter som behandlades med bimekizumab) antikroppar som klassificerades som neutraliserande.
Hidradenitis suppurativa
Cirka 59 % av patienterna med HS som behandlades med den rekommenderade dosregimen (320 mg varannan vecka upp till vecka 16 och 320 mg var 4:e vecka därefter) av bimekizumab i upp till 48 veckor utvecklade antikroppar mot läkemedlet. Av de patienter som utvecklade antikroppar mot läkemedlet hade cirka 63 % (37 % av alla patienter som behandlades med bimekizumab) antikroppar som klassificerades som neutraliserande.
Vid de olika indikationerna har utvecklingen av antikroppar mot bimekizumab inte kopplats till någon kliniskt betydelsefull inverkan på det kliniska svaret, och någon koppling mellan immunogenicitet och biverkningar som uppträder i samband med behandling har inte tydligt fastställts.
Äldre patienter (≥ 65 år)
Exponeringen är begränsad hos äldre forskningspersoner.
Äldre patienter kan löpa högre risk att uppleva vissa biverkningar såsom oral kandidos, dermatit och eksem när de använder bimekizumab.
Under den placebokontrollerade perioden i kliniska fas III-studier av plackpsoriasis observerades oral kandidos hos 18,2 % av patienter ≥ 65 år jämfört med 6,3 % av patienter < 65 år, samt dermatit och eksem hos 7,3 % av patienter ≥ 65 år jämfört med 2,8 % av patienter < 65 år.
Under den placebokontrollerade perioden i kliniska fas III-studier av psoriasisartrit observerades oral kandidos hos 7,0 % av patienter ≥ 65 år jämfört med 1,6 % av patienter < 65 år, samt dermatit och eksem hos 1,2 % av patienter ≥ 65 år jämfört med 2,0 % av patienter < 65 år.
Intravenösa singeldoser på 640 mg eller subkutana singeldoser på 640 mg, följt av 320 mg subkutant varannan vecka i fem doser har administrerats i kliniska studier utan dosbegränsande toxicitet. I händelse av överdosering är rekommendationen att patienten övervakas med avseende på tecken eller symtom på biverkningar och lämplig symtomatisk behandling sätts in omedelbart.
Plackpsoriasis
Bimzelx är indicerat för behandling av måttlig till svår plackpsoriasis hos vuxna som behöver systemisk behandling.
Psoriasisartrit
Bimzelx, som monoterapi eller i kombination med metotrexat, är indicerat för behandling av aktiv psoriasisartrit hos vuxna som tidigare svarat otillräckligt på, eller är intoleranta mot ett eller flera sjukdomsmodifierande antireumatiska läkemedel (DMARD).
Axial spondylartrit
Icke-radiografisk axial spondylartrit (nr-axSpA)
Bimzelx är indicerat för behandling av aktiv icke-radiografisk axial spondylartrit med objektiva tecken på inflammation påvisat genom förhöjt C-reaktivt protein (CRP) och/eller magnetkameraundersökning (MR) hos vuxna som tidigare svarat otillräckligt på, eller är intoleranta mot icke-steroida antiinflammatoriska läkemedel (NSAID).
Ankyloserande spondylit (AS, radiografisk axial spondylartrit)
Bimzelx är indicerat för behandling av aktiv ankyloserande spondylit hos vuxna som tidigare svarat otillräckligt på, eller är intoleranta mot konventionell behandling.
Hidradenitis suppurativa (HS)
Bimzelx är indicerat för behandling av aktiv måttlig till svår hidradenitis suppurativa (acne inversa) hos vuxna med otillräckligt svar på konventionell systemisk HS-behandling (se avsnitt 5.1).
Bimzelx är avsett att användas under vägledning och överinseende av läkare med erfarenhet av diagnostik och behandling av de sjukdomstillstånd för vilka Bimzelx är indicerat.
Dosering
Plackpsoriasis
Den rekommenderade dosen för vuxna patienter med plackpsoriasis är 320 mg (som ges som 2 subkutana injektioner på 160 mg eller 1 subkutan injektion på 320 mg) vid vecka 0, 4, 8, 12, 16 och därefter var 8:e vecka.
Psoriasisartrit
Den rekommenderade dosen för vuxna patienter med aktiv psoriasisartrit är 160 mg (som ges som 1 subkutan injektion på 160 mg) var 4:e vecka.
För patienter med psoriasisartrit och samtidig måttlig till svår plackpsoriasis är den rekommenderade dosen densamma som för plackpsoriasis [320mg (som ges som 2 subkutana injektioner på 160 mg eller 1 subkutan injektion på 320 mg) vid vecka 0, 4, 8, 12, 16 och därefter var 8:e vecka]. Efter 16 veckor rekommenderas regelbunden bedömning av effekt och om tillräckligt kliniskt svar i lederna inte kan upprätthållas kan ett byte till 160 mg var 4:e vecka övervägas.
Axial spondylartrit (nr-axSpA och AS)
Den rekommenderade dosen för vuxna patienter med axial spondylartrit är 160 mg (som ges som 1 subkutan injektion på 160 mg) var 4:e vecka.
Hidradenitis suppurativa
Den rekommenderade dosen för vuxna patienter med hidradenitis suppurativa är 320 mg (som ges som 2 subkutana injektioner på 160 mg eller 1 subkutan injektion på 320 mg) varannan vecka fram t.o.m. vecka 16 och därefter var 4:e vecka.
För ovanstående indikationer bör man överväga att avbryta behandlingen hos patienter som inte har uppvisat någon förbättring efter 16 veckors behandling.
Särskilda populationer
Överviktiga patienter med plackpsoriasis
För vissa patienter med plackpsoriasis (inklusive psoriasisartrit med samtidig måttlig till svår psoriasis) och en kroppsvikt ≥ 120 kg som inte uppnått fullständig utläkning vid vecka 16 kan 320 mg var 4:e vecka efter vecka 16 eventuellt förbättra behandlingssvaret ytterligare (se avsnitt 5.1).
Äldre (≥ 65 år)
Ingen dosjustering krävs (se avsnitt 5.2).
Nedsatt njur- eller leverfunktion
Bimekizumab har inte studerats i dessa patientpopulationer. Dosjusteringar anses inte nödvändiga baserat på farmakokinetiken (se avsnitt 5.2).
Pediatrisk population
Säkerhet och effekt för bimekizumab hos barn och ungdomar yngre än 18 år har inte fastställts. Inga data finns tillgängliga.
Administreringssätt
Läkemedlet administreras via subkutan injektion. En dos på 320 mg kan ges som 2 subkutana injektioner på 160 mg eller 1 subkutan injektion på 320 mg.
Lämpliga injektionsområden är lår, buk och överarm. Injektionsstället ska varieras och injektioner bör inte ges i områden där huden är öm, har blåmärken eller erytem, har förhårdnad eller är påverkad av psoriasis. Administrering i överarmen får endast utföras av hälso- och sjukvårdspersonal eller vårdare.
Den förfyllda sprutan eller den förfyllda injektionspennan får inte skakas.
Efter adekvat utbildning i subkutan injektionsteknik kan patienter själva injicera Bimzelx med en förfylld spruta eller förfylld injektionspenna om läkare bedömer att detta är lämpligt. Läkaren bör dock säkerställa lämplig medicinsk uppföljning vid behov. Patienterna ska instrueras att injicera hela mängden Bimzelx i enlighet med användarinstruktionerna som finns i bipacksedeln.
Överkänslighet mot den aktiva substansen eller mot något hjälpämne som anges i avsnitt 6.1.
Kliniskt betydelsefulla aktiva infektioner (t.ex. aktiv tuberkulos, se avsnitt 4.4).
Spårbarhet
För att underlätta spårbarhet av biologiska läkemedel ska läkemedlets namn och tillverkningssatsnummer dokumenteras.
Infektioner
Bimekizumab kan öka risken för infektioner såsom övre luftvägsinfektioner och oral kandidos (se avsnitt 4.8).
Försiktighet bör iakttas då man överväger att använda bimekizumab till patienter med kronisk infektion eller anamnes på återkommande infektion. Behandling med bimekizumab får inte påbörjas hos patienter med kliniskt betydelsefull aktiv infektion förrän infektionen gått över eller behandlats på lämpligt sätt (se avsnitt 4.3).
Patienter som behandlas med bimekizumab ska instrueras att söka medicinsk rådgivning om det uppstår tecken eller symtom som tyder på infektion. Om en patient utvecklar en infektion ska patienten noga övervakas. Om infektionen blir allvarlig eller inte svarar på standardbehandling ska bimekizumabbehandlingen sättas ut tills infektionen har gått över.
Undersökning med avseende på tuberkulos (TB) före behandling
Innan behandling med bimekizumab påbörjas bör patienterna undersökas med avseende på tuberkulosinfektion. Bimekizumab ska inte ges till patienter med aktiv TB (se avsnitt 4.3). Patienter som får bimekizumab bör övervakas avseende tecken och symtom på aktiv TB. Behandling mot TB bör övervägas innan behandling med bimekizumab påbörjas hos patienter med anamnes på latent eller aktiv TB för vilka en adekvat behandling inte kan bekräftas.
Inflammatorisk tarmsjukdom
Fall av debut eller exacerbationer av inflammatorisk tarmsjukdom har rapporterats med bimekizumab (se avsnitt 4.8). Bimekizumab rekommenderas inte till patienter med inflammatorisk tarmsjukdom. Om en patient utvecklar tecken och symtom på inflammatorisk tarmsjukdom eller upplever en försämring av befintlig inflammatorisk tarmsjukdom, ska bimekizumab sättas ut och lämplig medicinsk behandling sättas in.
Överkänslighet
Allvarliga överkänslighetsreaktioner inklusive anafylaktiska reaktioner har observerats med IL-17-hämmare. Om en allvarlig överkänslighetsreaktion inträffar ska administreringen av bimekizumab sättas ut omedelbart och lämplig behandling påbörjas.
Vaccinationer
Överväg att slutföra alla lämpliga vaccinationer enligt aktuella riktlinjer för åldersgruppen innan behandling med bimekizumab påbörjas.
Levande vacciner ska inte ges till patienter som behandlas med bimekizumab.
Patienter som behandlas med bimekizumab kan ges inaktiverade eller avdödade vacciner. Friska individer som fick en singeldos om 320 mg bimekizumab två veckor före vaccination med ett inaktiverat vaccin mot säsongsinfluensa hade liknande antikroppssvar jämfört med individer som inte fick bimekizumab före vaccination.
Hjälpämnen
Detta läkemedel innehåller 0,4 mg polysorbat 80 per 1 ml lösning. Polysorbater kan orsaka allergiska reaktioner.
Detta läkemedel innehåller mindre än 1 mmol (23 mg) natrium per dos, d.v.s. är näst intill ”natriumfritt”.
Inga interaktionsstudier har utförts.
Det finns inga direkta bevis för vilken roll IL-17A eller IL-17F har i uttrycket av CYP450-enzymer. Produktionen av vissa CYP450-enzymer hämmas av de ökade cytokinnivåerna vid kronisk inflammation. Antiinflammatoriska behandlingar, som IL-17A- och IL-17F-hämmaren bimekizumab, kan således leda till normaliserade CYP450-nivåer med åtföljande lägre exponering för läkemedel som metaboliseras av CYP450. En kliniskt relevant effekt på CYP450-substrat med snävt terapeutiskt index där dosen ställs in individuellt (t.ex. warfarin) kan därför inte uteslutas. När behandling med bimekizumab sätts in hos patienter som behandlas med dessa typer av läkemedel bör terapeutisk övervakning övervägas.
Analyser av farmakokinetiska populationsdata visade att samtidig administrering av konventionella sjukdomsmodifierande antireumatiska läkemedel (cDMARD) inklusive metotrexat eller tidigare exponering för biologiska läkemedel inte har någon klinisk relevant påverkan på clearance av bimekizumab.
Levande vaccin ska inte ges samtidigt med bimekizumab (se avsnitt 4.4).
Fertila kvinnor
Fertila kvinnor ska använda en effektiv preventivmetod under pågående behandling och i minst 17 veckor efter avslutad behandling.
Graviditet
Det finns begränsad mängd data från användning av bimekizumab hos gravida kvinnor. Djurstudier visar inga direkta eller indirekta skadliga effekter på graviditet, embryofetal utveckling, födelse eller postnatal utveckling (se avsnitt 5.3). Som en försiktighetsåtgärd bör man undvika användning av Bimzelx under graviditet.
Amning
Det är okänt om bimekizumab utsöndras i bröstmjölk. En risk för det nyfödda barnet/spädbarnet kan inte uteslutas. Ett beslut måste fattas om man ska avbryta amningen eller avbryta/avstå behandling med Bimzelx efter att man tagit hänsyn till fördelen med amning för barnet och fördelen med behandling för kvinnan.
Fertilitet
Effekten av bimekizumab på fertiliteten hos människa har inte utvärderats. Djurstudier visar inga direkta eller indirekta skadliga effekter avseende fertiliteten (se avsnitt 5.3).
Bimzelx har ingen eller försumbar effekt på förmågan att framföra fordon och använda maskiner.
Sammanfattning av säkerhetsprofilen
De vanligaste rapporterade biverkningarna var övre luftvägsinfektioner (14,5 %, 14,6 %, 16,3 %, 8,8 % vid plackpsoriasis, psoriasisartrit, axial spondylartrit (axSpA) respektive hidradenitis suppurativa) och oral kandidos (7,3 %, 2,3 %, 3,7 %, 5,6 % vid PSO, PsA, axSpA respektive HS).
Tabell över biverkningar
Biverkningar i kliniska studier och rapporter efter marknadsintroduktion (tabell 1) redovisas enligt MedDRA:s indelning av organsystem och frekvens enligt följande konvention: mycket vanliga (≥ 1/10), vanliga (≥ 1/100, < 1/10), mindre vanliga (≥ 1/1 000, < 1/100), sällsynta (≥ 1/10 000, < 1/1 000), mycket sällsynta (< 1/10 000), ingen känd frekvens (kan inte beräknas från tillgängliga data).
Totalt 5 862 patienter med plackpsoriasis (PSO), psoriasisartrit (PsA), axial spondylartrit (nr-axSpA och AS) och hidradenitis suppurativa (HS) har behandlats med bimekizumab i blindade och öppna kliniska studier vilket motsvarar en exponering på 11 468,6 patientår. Av dessa exponerades över 4 660 patienter för bimekizumab i minst ett år. Säkerhetsprofilen för bimekizumab är totalt sett jämförbar mellan alla indikationer.
Tabell 1: Lista över biverkningar
Beskrivning av utvalda biverkningar
Infektioner
Under den placebokontrollerade perioden av de kliniska fas III-studierna av plackpsoriasis rapporterades infektioner hos 36,0 % av de patienter som fick bimekizumab i upp till 16 veckor jämfört med 22,5 % av de patienter som fick placebo. Allvarliga infektioner uppstod hos 0,3 % av patienter som behandlades med bimekizumab och hos 0 % av patienter som behandlades med placebo.
Majoriteten av infektionerna var icke-allvarliga milda till måttliga övre luftvägsinfektioner som t.ex. nasofaryngit. I enlighet med verkningsmekanismen ökade frekvensen av oral och orofaryngeal kandidos hos patienter som behandlades med bimekizumab (7,3 % respektive 1,2 % jämfört med 0 % hos patienter som behandlades med placebo). Mer än 98 % av fallen var icke-allvarliga, milda eller måttliga i svårighetsgrad och krävde inte att behandlingen avbröts. En något högre incidens av oral kandidos rapporterades hos patienter < 70 kg (8,5 % jämfört med 7,0 % hos patienter ≥ 70 kg).
Under hela behandlingsperioden i kliniska fas III-studier av plackpsoriasis rapporterades infektioner hos 63,2 % av patienterna som behandlades med bimekizumab (120,4 per 100 patientår). Allvarliga infektioner rapporterades hos 1,5 % av patienterna som behandlades med bimekizumab (1,6 per 100 patientår) (se avsnitt 4.4).
Frekvensen av infektioner som observerades i kliniska fas III-studier av PsA och axSpA (nr-axSpA och AS) liknade de som observerades vid plackpsoriasis, med undantag för frekvensen av oral och orofaryngeal kandidos hos patienter som behandlades med bimekizumab, vilken var lägre med 2,3 % respektive 0 % vid PsA och 3,7 % respektive 0,3 % vid axSpA jämfört med 0 % med placebo.
Frekvensen av infektioner som observerades i kliniska fas III-studier av HS liknade de som observerades vid andra indikationer. Under den placebokontrollerade perioden var frekvensen av oral och orofaryngeal kandidos hos patienter som behandlades med bimekizumab 7,1 % respektive 0 % jämfört med 0 % med placebo.
Neutropeni
Neutropeni observerades med bimekizumab i kliniska fas III-studier av plackpsoriasis. Under hela behandlingsperioden i fas III-studierna observerades neutropeni av grad 3/4 hos 1 % av patienterna som behandlades med bimekizumab.
Frekvensen av neutropeni i kliniska studier av PsA, axSpA (nr-axSpA och AS) och HS liknade den som observerades i studier av plackpsoriasis.
De flesta fallen var övergående och krävde inte behandlingsavbrott. Inga allvarliga infektioner förknippades med neutropeni.
Överkänslighet
Allvarliga överkänslighetsreaktioner inklusive anafylaktiska reaktioner har observerats med IL-17-hämmare.
Immunogenicitet
Plackpsoriasis
Cirka 45 % av patienterna med plackpsoriasis som behandlades med den rekommenderade dosregimen (320 mg var 4:e vecka upp till vecka 16 och 320 mg var 8:e vecka därefter) av bimekizumab i upp till 56 veckor utvecklade antikroppar mot läkemedlet. Av de patienter som utvecklade antikroppar mot läkemedlet hade cirka 34 % (16 % av alla patienter som behandlades med bimekizumab) antikroppar som klassificerades som neutraliserande.
Psoriasisartrit
Cirka 31 % av patienterna med psoriasisartrit som behandlades med den rekommenderade dosregimen (160 mg var 4:e vecka) av bimekizumab i upp till 16 veckor utvecklade antikroppar mot läkemedlet. Av de patienter som utvecklade antikroppar mot läkemedlet hade cirka 33 % (10 % av alla patienter som behandlades med bimekizumab) antikroppar som klassificerades som neutraliserande. I BE OPTIMAL-studien hade vid vecka 52 cirka 47 % av de biologiska (b)DMARD-naiva patienterna med psoriasisartrit som behandlades med den rekommenderade dosregimen (160 mg var 4:e vecka) av bimekizumab utvecklat antikroppar mot läkemedlet. Av de patienter som utvecklade antikroppar mot läkemedlet hade cirka 38 % (18 % av alla patienter i BE OPTIMAL-studien som behandlades med bimekizumab) antikroppar som klassificerades som neutraliserande.
Axial spondylartrit (nr-axSpA och AS)
Cirka 57 % av patienterna med nr-axSpA som behandlades med den rekommenderade dosregimen (160 mg var 4:e vecka) av bimekizumab i upp till 52 veckor utvecklade antikroppar mot läkemedlet. Av de patienter som utvecklade antikroppar mot läkemedlet hade cirka 44 % (25 % av alla patienter som behandlades med bimekizumab) antikroppar som klassificerades som neutraliserande.
Cirka 44 % av patienterna med AS som behandlades med den rekommenderade dosregimen (160 mg var 4:e vecka) av bimekizumab i upp till 52 veckor utvecklade antikroppar mot läkemedlet. Av de patienter som utvecklade antikroppar mot läkemedlet hade cirka 44 % (20 % av alla patienter som behandlades med bimekizumab) antikroppar som klassificerades som neutraliserande.
Hidradenitis suppurativa
Cirka 59 % av patienterna med HS som behandlades med den rekommenderade dosregimen (320 mg varannan vecka upp till vecka 16 och 320 mg var 4:e vecka därefter) av bimekizumab i upp till 48 veckor utvecklade antikroppar mot läkemedlet. Av de patienter som utvecklade antikroppar mot läkemedlet hade cirka 63 % (37 % av alla patienter som behandlades med bimekizumab) antikroppar som klassificerades som neutraliserande.
Vid de olika indikationerna har utvecklingen av antikroppar mot bimekizumab inte kopplats till någon kliniskt betydelsefull inverkan på det kliniska svaret, och någon koppling mellan immunogenicitet och biverkningar som uppträder i samband med behandling har inte tydligt fastställts.
Äldre patienter (≥ 65 år)
Exponeringen är begränsad hos äldre forskningspersoner.
Äldre patienter kan löpa högre risk att uppleva vissa biverkningar såsom oral kandidos, dermatit och eksem när de använder bimekizumab.
Under den placebokontrollerade perioden i kliniska fas III-studier av plackpsoriasis observerades oral kandidos hos 18,2 % av patienter ≥ 65 år jämfört med 6,3 % av patienter < 65 år, samt dermatit och eksem hos 7,3 % av patienter ≥ 65 år jämfört med 2,8 % av patienter < 65 år.
Under den placebokontrollerade perioden i kliniska fas III-studier av psoriasisartrit observerades oral kandidos hos 7,0 % av patienter ≥ 65 år jämfört med 1,6 % av patienter < 65 år, samt dermatit och eksem hos 1,2 % av patienter ≥ 65 år jämfört med 2,0 % av patienter < 65 år.
Rapportering av misstänkta biverkningar
Intravenösa singeldoser på 640 mg eller subkutana singeldoser på 640 mg, följt av 320 mg subkutant varannan vecka i fem doser har administrerats i kliniska studier utan dosbegränsande toxicitet. I händelse av överdosering är rekommendationen att patienten övervakas med avseende på tecken eller symtom på biverkningar och lämplig symtomatisk behandling sätts in omedelbart.
Plackpsoriasis
Effekten och säkerheten hos bimekizumab utvärderades hos 1 480 patienter med måttlig till svår plackpsoriasis i tre randomiserade fas III-multicenterstudier som kontrollerades med placebo och/eller aktiv komparator. De patienter som deltog var 18 år och äldre med ett PASI-värde (Psoriasis Area and Severity Index) ≥ 12, psoriasis som täckte ≥ 10 % av kroppsytan (Body Surface Area, BSA), ett Investigator Global Assessment (IGA)-värde ≥ 3 på en femgradig skala, och var kandidater för systemisk behandling och/eller ljusbehandling. Effekten och säkerheten hos bimekizumab utvärderades jämfört med placebo och ustekinumab (BE VIVID – PS0009), jämfört med placebo (BE READY – PS0013) och jämfört med adalimumab (BE SURE – PS0008).
I studien BE VIVID utvärderades 567 patienter i 52 veckor. Patienterna randomiserades till antingen bimekizumab 320 mg var 4:e vecka, ustekinumab (45 mg eller 90 mg, beroende på patientens kroppsvikt, vid baslinjen och vecka 4 och sedan var 12:e vecka), eller placebo under de första 16 veckorna, följt av bimekizumab 320 mg var 4:e vecka.
I studien BE READY utvärderades 435 patienter i 56 veckor. Patienterna randomiserades till antingen bimekizumab 320 mg var 4:e vecka eller placebo. Patienter som uppnådde en PASI 90-respons vid vecka 16 gick in i en 40 veckor lång randomiserad utsättningsfas. Patienter som ursprungligen randomiserats till bimekizumab 320 mg var 4:e vecka randomiserades på nytt till antingen bimekizumab 320 mg var 4:e vecka eller bimekizumab 320 mg var 8:e vecka eller placebo (d.v.s. utsättning av bimekizumab). Patienter som ursprungligen randomiserats till placebo fortsatte att få placebo förutsatt att de uppnådde en PASI 90-respons. Patienter som inte uppnådde en PASI 90-respons vid vecka 16 gick in i en öppen ”escape-arm” och fick bimekizumab 320 mg var 4:e vecka i 12 veckor. Patienter som fick återfall (som inte uppnådde PASI 75-respons) under den randomiserade utsättningsfasen gick också in i ”escape-armen” i 12 veckor.
I studien BE SURE utvärderades 478 patienter i 56 veckor. Patienterna randomiserades till antingen bimekizumab 320 mg var 4:e vecka till och med vecka 56, bimekizumab 320 mg var 4:e vecka till och med vecka 16 följt av bimekizumab 320 mg var 8:e vecka till och med vecka 56, eller adalimumab enligt anvisningarna i produktresumén till och med vecka 24 följt av bimekizumab 320 mg var 4:e vecka till och med vecka 56.
Karakteristika vid baslinjen var konsekventa i samtliga 3 studier: Patienterna var huvudsakligen män (70,7 %) och vita (84,1 %), med en genomsnittsålder på 45,2 år (18 till 83 år) och 8,9 % var ≥ 65 år gamla. Medianvärdet för BSA vid baslinjen var 20 %, medianvärdet för PASI vid baslinjen var 18 och 33 % av patienterna hade ett IGA-värde vid baslinjen som motsvarande ”svår psoriasis”. Medianpoängen för smärta, klåda och fjällning uppmätt enligt Psoriasis Symptoms Diary (PSD) varierade vid baslinjen mellan 6 och 7 på en skala från 0–10 poäng och medianpoängen för Dermatology Life Quality Index (DLQI) var totalt 9 poäng vid baslinjen.
I samtliga 3 studier hade 38 % av patienterna fått tidigare biologisk behandling; 23 % hade fått minst ett anti-IL-17-läkemedel (primär svikt av anti-IL17 uteslöts) och 13 % hade fått minst en TNF-antagonist. Tjugotvå procent var naiva för någon form av systemisk behandling (inklusive icke-biologisk och biologisk) och 39 % av patienterna hade tidigare fått ljusbehandling eller fotokemoterapi.
Bimekizumabs effekt utvärderades med avseende på generellt hudengagemang, regional sjukdom (hårbotten, naglar, handflator och fotsulor), patientrapporterade symtom och påverkan på livskvalitet. De två koprimära effektmåtten för alla 3 studier var andelen patienter som uppnådde 1) PASI 90-respons och 2) en IGA-respons motsvarande ”utläkt eller nästan utläkt” (IGA 0/1 med minst två poängs förbättring från baslinjen) vid vecka 16. PASI 100, IGA 0-respons vid vecka 16 och PASI 75-respons vid vecka 4 var sekundära effektmått i alla 3 studier.
Generellt hudengagemang
Behandling med bimekizumab resulterade i signifikanta förbättringar för alla effektmått jämfört med placebo, ustekinumab och adalimumab vid vecka 16. De huvudsakliga effektresultaten redovisas i tabell 2.
Tabell 2: Sammanfattning av klinisk respons i BE VIVID, BE READY och BE SURE
Bimekizumab 320 mg Q4W = bimekizumab var 4:e vecka. NRI (Patienter för vilka data saknas räknades som icke-responders, Non-Responder Imputation) används.
IGA-respons 0/1 definierades som utläkt (0) eller nästan utläkt (1) med minst en 2-poängsreduktion från baslinjen vid vecka 16. IGA-respons 0 definierades som utläkt (0) med minst en 2-poängsreduktion från baslinjen vid vecka 16.
PSD står för Psoriasis Symptoms Diary, även kallad Psoriasis Symptoms and Impacts Measure (P-SIM), och mäter psoriasissymtomens svårighetsgrad på en skala från 0 (inga symtom) till 10 (mycket svåra symtom). Respons definieras som en minskning på ≥ 4 från baslinjen till vecka 16 för smärta, klåda och fjällning på en skala från 0 till 10.
a) p < 0,001 jämfört med placebo (BE VIVID och BE READY), jämfört med adalimumab (BE SURE), justerade för multiplicitet.
b) p < 0,001 jämfört med ustekinumab (BE VIVID), justerat för multiplicitet.
Bimekizumab var associerat med snabbt insättande effekt. I studien BE VIVID vid vecka 2 och 4 var PASI 90-responsen signifikant högre för patienter behandlade med bimekizumab (12,1 % respektive 43,6 %) jämfört med placebo (1,2 % respektive 2,4 %) och ustekinumab (1,2 % respektive 3,1 %).
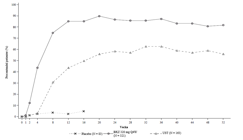
Vid vecka 52 i studien BE VIVID uppnådde patienter behandlade med bimekizumab (var 4:e vecka) signifikant högre svarsfrekvens än patienter behandlade med ustekinumab avseende effektmåtten PASI 90 (81,9 % bimekizumab jämfört med 55,8 % ustekinumab, p < 0,001), IGA 0/1 (78,2 % bimekizumab jämfört med 60,7 % ustekinumab, p < 0,001) och PASI 100 (64,5 % bimekizumab jämfört med 38,0 % ustekinumab).
Figur 1: PASI 90-svarsfrekvens över tid i BE VIVID
BKZ 320 mg Q4W = bimekizumab var 4:e vecka; UST = ustekinumab. NRI används.
I studien BE SURE vid vecka 24 uppnådde en signifikant högre andel patienter som behandlades med bimekizumab (Q4W/Q4W- och Q4W/Q8W-kombinerade doseringsarmar) PASI 90-respons och IGA-poäng 0/1 jämfört med adalimumab (85,6 % respektive 86,5 % jämfört med 51,6 % respektive 57,9 %, p < 0,001). Av de patienter som behandlats med bimekizumab Q8W uppnådde 70,2 % en PASI 100-respons vid vecka 56. Av de 65 patienter som inte svarat på adalimumab vid vecka 24 (< PASI 90) uppnådde 78,5 % en PASI 90-respons efter 16 veckors behandling med bimekizumab. Säkerhetsprofilen som observerades hos patienter som bytte från adalimumab till bimekizumab utan en washout-period var liknande som den hos patienter som påbörjat behandling med bimekizumab efter en washout-period från tidigare systemiska behandlingar.
Figur 2: PASI 90-svarsfrekvens över tid i BE SURE
BKZ 320 mg Q4W = bimekizumab var 4:e vecka; BKZ 320 mg Q8W = bimekizumab var 8:e vecka; ADA = adalimumab.
Patienter i gruppen BKZ Q4W/Q8W bytte dosering från Q4W till Q8W vid vecka 16. Patienter i gruppen ADA/BKZ 320 mg Q4W bytte från ADA till BKZ Q4W vid vecka 24. NRI används.
Effekten av bimekizumab påvisades oavsett ålder, kön, etnicitet, sjukdomsvaraktighet, kroppsvikt, PASI-svårighetsgrad vid baslinjen och tidigare biologisk behandling. Bimekizumab var verksamt hos biologiskt erfarna patienter, inklusive TNF-hämmare/anti-IL-17, samt hos patienter naiva för systemisk behandling. Effekt hos patienter med primärsvikt på anti-IL-17 har inte undersökts.
Patienter med en högre kroppsvikt (≥ 120 kg) som inte uppnått fullständig utläkning vid vecka 16 gynnades enligt populationsfarmakokinetisk/-farmakodynamisk (PK/PD) analys med vidare stöd av kliniska data av fortsatt behandling med bimekizumab 320 mg var fjärde vecka (Q4W) efter de första 16 veckornas initiala behandling. I studien BE SURE fick patienterna bimekizumab 320 mg Q4W till och med vecka 16, följt av dosering antingen Q4W eller Q8W till och med vecka 56 oavsett svarsstatus vid vecka 16. Patienter i gruppen ≥ 120 kg (N = 37) som stod på underhållsdos med dosering Q4W visade större förbättring av PASI 100 mellan vecka 16 (23,5 %) och vecka 56 (70,6 %) jämfört med dem som stod på underhållsdos med dosering Q8W (45,0 % vecka 16 jämfört med 60,0 % vecka 56).
Hos patienter som behandlades med bimekizumab observerades förbättringar av psoriasis i hårbotten, på naglar, i handflator och i fotsulor vid vecka 16 (se tabell 3).
Tabell 3: Respons avseende hårbotten-, palmoplantar och nagelpsoriasis vid vecka 16 i studierna BE VIVID, BE READY och BE SURE
Bimekizumab 320 mg Q4W= bimekizumab var 4:e vecka. NRI används
IGA 0/1-svar avseende hårbotten och palmoplantar IGA 0/1-svar definierades som utläkt (0) eller nästan utläkt (1) med minst en 2-poängsreduktion från baslinjen.
a) Inkluderar endast patienter med ett IGA-poäng (Investigator Global Assessment) ≥ 2 med avseende på hårbotten, ett pp-IGA-poäng (palmoplantar-IGA) ≥ 2 och ett mNAPSI-poäng (Modified Nail Psoriasis Severity Index) > 0 vid baslinjen.
b) p < 0,001 jämfört med placebo, justerat för multiplicitet
Responsen från IGA med avseende på hårbotten och palmoplantar IGA hos patienter som behandlats med bimekizumab bibehölls till och med vecka 52/56. Nagelpsoriasis fortsatte att förbättras efter vecka 16. I studien BE VIVID uppnådde 60,3 % av patienter som behandlades med bimekizumab 320 mg var 4:e vecka total utläkning av nagelpsoriasis (mNAPSI 100) vid vecka 52. I studien BE READY uppnådde 67,7 % och 69,8 % av PASI 90-responders vid vecka 16 total utläkning av nagelpsoriasis vid vecka 56 med bimekizumab 320 mg var 8:e vecka respektive bimekizumab 320 mg var 4:e vecka.
Bibehållande av respons
Tabell 4: Bibehållande av respons med bimekizumab vid vecka 52 i PASI 100-, PASI 90-, IGA 0/1- och absolut PASI ≤ 2-responders vid vecka 16*
* Integrerad analys av BE VIVID, BE READY och BE SURE. NRI används.
320 mg Q4W: bimekizumab 320 mg var 4:e vecka följt av bimekizumab 320mg var 4:e vecka från vecka 16.
320 mg Q8W: bimekizumab 320 mg var 4:e vecka följt av bimekizumab 320mg var 8:e vecka från vecka 16.
Responsens varaktighet (efter utsättande av bimekizumab)
Figur 3: PASI 90-svarsfrekvens över tid för PASI 90-responders vid vecka 16 – randomiserad utsättningsfas i studien BE READY
NRI används.
Vid vecka 16 påbörjade 105 studiedeltagare i gruppen bimekizumab 320 mg Q4W/placebo, 100 i gruppen bimekizumab 320 mg Q4W/Q8W och 106 i gruppen bimekizumab 320 mg Q4W/Q4W den randomiserade utsättningsfasen.
I studien BE READY var mediantiden till återfall, definierad som förlust av PASI 75, cirka 28 veckor (32 veckor efter den sista dosen av bimekizumab) för PASI 90-responders vid vecka 16 som randomiserades på nytt till placebo och sattes ut från bimekizumab. Bland dessa patienter återfick 88,1 % en PASI 90-respons inom 12 veckor efter återinsättande av behandling med bimekizumab 320 mg var 4:e vecka.
Hälsorelaterad livskvalitet/patientrapporterade utfall
I samtliga tre studier upplevde en större andel patienter som behandlades med bimekizumab ingen inverkan av psoriasis på livskvalitet mätt med Dermatology Life Quality Index (DLQI) jämfört med placebo och patienter behandlade med aktivt jämförande läkemedel vid vecka 16 (tabell 5).
Tabell 5: Livskvalitet i studierna BE VIVID, BE READY och BE SURE
a) Absolut DLQI-poäng på 0 eller 1 indikerar att sjukdomen inte påverkar hälsorelaterad livskvalitet. NRI används.
Svarsfrekvensen för DLQI 0/1 fortsatte att öka efter vecka 16 och bibehölls sedan till och med vecka 52/56. I studien BE VIVID var svarsfrekvensen vid vecka 52 för DLQI 0/1 74,8 % hos patienter behandlade med bimekizumab 320 mg var 4:e vecka. I studien BE SURE hade 78,9 % respektive 74,1 % av patienterna som behandlades med bimekizumab 320 mg var 8:e vecka och bimekizumab 320 mg var 4:e vecka DLQI 0/1 vid vecka 56.
Fas III öppen förlängningsstudie
Patienter som slutförde en av de pivotala fas III-studierna kunde gå vidare till en 144 veckor lång öppen förlängningsstudie (PS0014) för att utvärdera den långsiktiga säkerheten och effekten av bimekizumab.
344 patienter som behandlades med bimekizumab 320 mg var 8:e vecka (BKZ 320 mg Q8W) eller var 4:e vecka (BKZ 320 mg Q4W) under den pivotala fas III-studien och som uppnådde PASI 90 i slutet av den pivotala fas III-studien, fick bimekizumab 320 mg Q8W under hela PS0014. Av dessa slutförde 293 (85,2 %) patienter 144 veckors behandling med bimekizumab 320 mg Q8W. 48 patienter (14,0 %) avbröt studien under behandlingsperioden, varav 21 (6,1 %) patienter avbröt på grund av en biverkning och 4 (1,2 %) patienter avbröt på grund av utebliven effekt.
Bland de patienter som stannade kvar i studien bibehölls de förbättringar med bimekizumab som i de pivotala fas III-studierna uppnåtts avseende resultatmåtten för effekt, PASI 90 och IGA 0/1, under hela den öppna behandlingen på 144 veckor.
Fas IIIb direkt jämförande studie mot sekukinumab
Effekten och säkerheten för bimekizumab utvärderades också i en dubbelblind studie där det jämfördes med sekukinumab, en IL-17A-hämmare (BE RADIANT - PS0015). Patienterna randomiserades till att få bimekizumab (N = 373, 320 mg i vecka 0, 4, 8, 12 och 16 (Q4W) följt av 320 mg var 4:e vecka (Q4W/Q4W) eller 320 mg var 8:e vecka (Q4W/Q8W)) eller sekukinumab (N = 370, 300 mg i vecka 0, 1, 2, 3, 4 följt av 300 mg var 4:e vecka). Karakteristika vid baslinjen överensstämde med en population av patienter med måttlig till svår plackpsoriasis med ett medianvärde för BSA (kroppsyta) på 19 % och ett medianvärde för PASI-poäng på 18.
Patienter behandlade med bimekizumab uppnådde signifikant högre svarsfrekvens jämfört med patienter behandlade med sekukinumab, för det primära effektmåttet PASI 100 (fullständigt utläkt hud) vid vecka 16. Signifikant högre svarsfrekvens uppnåddes också för det sekundära effektmåttet PASI 100 vid vecka 48 (för både Q4W/Q4W- och Q4W/Q8W-dosregimer). Jämförande PASI-svarsfrekvenser presenteras i tabell 6.
Skillnader i svarsfrekvens mellan bimekizumab- och sekukinumab-behandlade patienter noterades så tidigt som vecka 1 för PASI 75 (7,2 % respektive 1,4 %) och så tidigt som vecka 2 för PASI 90 (7,5 % respektive 2,4 %).
Tabell 6: PASI-svarsfrekvens från BE RADIANT - bimekizumab jämfört med sekukinumab
a) Data kommer från underhållsgruppen bestående av patienter som fick minst en dos studieläkemedel vid vecka 16 eller senare
*p<0,001 jämfört med sekukinumab, justerat för multiplicitet. NRI används.
PASI 100-svarsfrekvenser för bimekizumab och sekukinumab till och med vecka 48 visas i figur 4.
Figur 4: PASI 100-svarsfrekvens över tid i BE RADIANT
NRI används. Underhållsgruppen bestående av patienter som fick minst en dos studieläkemedel vid vecka 16 eller senare
Effekten av bimekizumab i BE RADIANT överensstämde med effekten i BE VIVID, BE READY och BE SURE.
Fas IIIb öppen förlängningsperiod
Vid vecka 48 kunde patienterna gå in i en 96 veckor lång öppen förlängningsperiod där de började eller fortsatte med bimekizumab 320 mg var 4:e vecka (Q4W) eller 320 mg var 8:e vecka (Q8W), beroende på status för PASI 90-svar vid vecka 48. Studiedeltagare som initialt fick bimekizumab 320 mg var 4:e vecka (Q4W) under den öppna förlängningsperioden fick byta till bimekizumab 320 mg var 8:e vecka (Q8W) vid vecka 72 eller senare.
231 patienter som behandlades med bimekizumab 320 mg var 8:e vecka (Q8W) eller bimekizumab 320 mg var 4:e vecka (Q4W) och som uppnådde PASI 90 vid vecka 48 fick bimekizumab 320 mg var 8:e vecka (Q8W) under hela den öppna förlängningsperioden. Av dessa patienter avbröt 31 (13,4 %) patienter studien under den öppna förlängningsperioden, varav 10 (4,3 %) patienter avbröt på grund av en biverkning och 1 (0,4 %) patient avbröt på grund av utebliven effekt.
116 patienter som behandlades med sekukinumab och uppnådde PASI 90 vid vecka 48 fick bimekizumab 320 mg var 8:e vecka (Q8W) under hela den öppna förlängningsperioden. Av dessa patienter avbröt 16 (13,8 %) patienter studien under den öppna förlängningsperioden, varav 6 (5,2 %) patienter avbröt på grund av en biverkning och 1 (0,9 %) patient avbröt på grund av utebliven effekt.
Bland de patienter som stannade kvar i studien bibehölls de förbättringar med bimekizumab eller sekukinumab som vid vecka 48 uppnåtts avseende resultatmåtten för effekt, svarsfrekvensen för PASI 100, PASI 90, PASI 75 och PASI ≤ 2 vid behandling med bimekizumab 320 mg var 8:e vecka (Q8W) under ytterligare 96 veckors öppen behandling.
Säkerhetsprofilen för bimekizumab fram till vecka 144 motsvarade den säkerhetsprofil som observerades fram till vecka 48.
Psoriasisartrit (PsA)
Säkerhet och effekt av bimekizumab utvärderades hos 1 112 vuxna patienter (minst 18 år) med aktiv psoriasisartrit (PsA) i två randomiserade, dubbelblinda, placebokontrollerade multicenterstudier (PA0010 - BE OPTIMAL och PA0011- BE COMPLETE). Studien BE OPTIMAL inkluderade en aktiv referensbehandlingsgrupp (adalimumab) (N = 140).
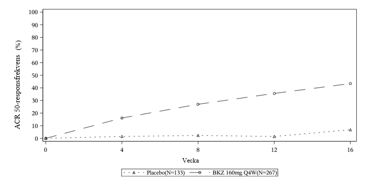
I båda studierna hade patienterna en diagnos på aktiv psoriasisartrit sedan minst 6 månader baserat på klassifikationskriterierna för psoriasisartrit (Classification Criteria for Psoriatic Arthritis, CASPAR) samt aktiv sjukdom med ömma leder (TJC) ≥ 3 och svullna leder (SJC) ≥ 3. I BE OPTIMAL var mediantiden för patienternas diagnos med PsA 3,6 år och i BE COMPLETE var den 6,8 år. Patienter med alla subtyper av PsA inkluderades i dessa studier, inklusive symmetrisk polyartrit, asymmetrisk oligoartrit, artrit primärt i distala interfalangealleder (DIP-leder), övervägande spondylitengagemang och artritis mutilans. Vid baslinjen hade 55,9 % av patienterna aktiv plackpsoriasis på ≥ 3 % av kroppsytan (Body Surface Area, BSA), medan 10,4 % av patienterna hade måttlig till svår plackpsoriasis samt 31,9 % och 12,3 % hade entesit respektive daktylit vid baslinjen. Det primära effektmåttet i båda studierna var respons enligt American College of Rheumatology 50 (ACR 50) vid vecka 16.
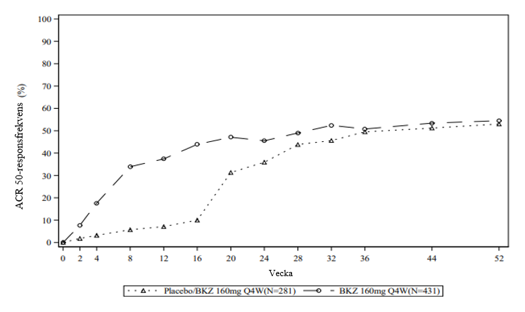
Studien BE OPTIMAL utvärderade 852 patienter som inte tidigare behandlats med något biologiskt sjukdomsmodifierande antireumatiskt läkemedel (bDMARD) för psoriasisartrit eller psoriasis. Patienterna randomiserades (3:2:1) till att få bimekizumab 160 mg var 4:e vecka till och med vecka 52 eller placebo upp till vecka 16 följt av bimekizumab 160 mg var 4:e vecka till och med vecka 52 eller en aktiv referensbehandlingsgrupp (adalimumab 40 mg varannan vecka) upp till vecka 52. I denna studie hade 78,3 % av patienterna tidigare fått behandling med ≥ 1 cDMARD medan 21,7 % av patienterna inte hade fått någon tidigare behandling med cDMARD. Vid baslinjen fick 58,2 % av patienterna samtidig behandling med metotrexat (MTX), 11,3 % fick samtidig behandling med annat cDMARD än MTX, och 30,5 % fick inget cDMARD.
Studien BE COMPLETE utvärderade 400 patienter med ett otillräckligt svar på (utebliven effekt) eller intolerans mot behandling med 1 eller 2 tumörnekrosfaktor-alfa-hämmare (TNFα-hämmar-IR) för antingen psoriasisartrit eller psoriasis. Patienterna randomiserades (2:1) till att få bimekizumab 160 mg var 4:e vecka eller placebo upp till vecka 16. Vid baslinjen fick 42,5 % av patienterna samtidig behandling med MTX, 8,0 % fick samtidig behandling med annat cDMARD än MTX, och 49,5 % fick inget cDMARD. I denna studie hade 76,5 % av deltagarna ett otillräckligt svar på 1 TNFα-hämmare, 11,3 % hade ett otillräckligt svar på 2 TNFα-hämmare och 12,3 % var intoleranta mot TNFα-hämmare.
Tecken och symtom
Hos bDMARD-naiva patienter (BE OPTIMAL) och patienter med otillräcklig effekt av eller intolerans mot TNFα-hämmare (BE COMPLETE) resulterade behandling med bimekizumab i signifikant förbättring av tecken och symtom samt mått på sjukdomsaktivitet jämfört med placebo vid vecka 16, med liknande responsfrekvenser i bägge patientpopulationerna (se tabell 7). Klinisk respons bibehölls upp till vecka 52 i studien BE OPTIMAL enligt bedömning genom ACR 20, ACR 50, ACR 70, MDA, PASI 90, PASI 100 och ACR 50/PASI 100.
Tabell 7: Klinisk respons i studierna BE OPTIMAL och BE COMPLETE
ACR 50/PASI 100 = sammansatt ACR 50- och PASI 100-respons; BKZ 160 mg Q4W = bimekizumab 160 mg var 4:e vecka. KI = konfidensintervall; EB = Ej beräkningsbart
(a) En patient klassificerades som att uppnå minimal sjukdomsaktivitet (Minimal Disease Activity, MDA) när 5 av följande 7 kriterier var uppfyllda: tal för ledsmärta ≤ 1; tal för ledsvullnad ≤ 1; PASI-värde (Psoriasis Activity and Severity Index) ≤ 1 eller kroppsyta (BSA) ≤ 3; visuell analog skala för patientrapporterad smärta (visual analogue scale, VAS) ≤ 15; VAS för patientrapporterad global sjukdomsaktivitet ≤ 20; frågeformulär för hälsobedömning av funktionsnedsättning (Health Assessment Questionnaire Disability Index) ≤ 0,5; punkter med entesitsmärta ≤ 1.
(b) Baserat på sammanslagna data från studierna BE OPTIMAL och BE COMPLETE för patienter med Leeds daktylit-index (Leeds Dactylitis Index, LDI) > 0 vid baslinjen. Daktylitfri status är LDI = 0.
(c) Baserat på sammanslagna data från studierna BE OPTIMAL och BE COMPLETE för patienter med Leeds entesit-index (Leeds Enthesitis Index, LEI) > 0. Entesitfri status är LEI = 0.
(d) Ojusterade skillnader visas.
(e) Ingen statistisk jämförelse med bimekizumab eller placebo utförd.
* p < 0,001 jämfört med placebo justerat för multiplicitet.
** p = 0,008 jämfört med placebo justerat för multiplicitet.
*** p = 0,002 jämfört med placebo justerat för multiplicitet. NRI har använts. Övriga resultatmått vid vecka 16 samt alla resultatmått vid vecka 24 och vecka 52 ingick inte i den sekventiella analyshierarkin och eventuella jämförelser är nominella.
Förbättring från baslinjen påvisades hos alla enskilda ACR-komponenter med bimekizumab vid vecka 16, vilken bibehölls upp till vecka 52 i studien BE OPTIMAL.
Behandlingsresponsen på bimekizumab var signifikant högre än hos de som stod på placebo redan vid vecka 2 för ACR 20 (BE OPTIMAL, 27,1 % jämfört med 7,8 %, nominellt p < 0,001) och vid vecka 4 för ACR 50 (BE OPTIMAL, 17,6 % jämfört med 3,2 %, nominellt p < 0,001 och BE COMPLETE, 16,1 % jämfört med 1,5 %, nominellt p < 0,001).
Figur 5: ACR 50-respons över tid upp till vecka 52 i studien BE OPTIMAL (NRI)
Patienter på placebo bytte till bimekizumab 160 mg Q4W vid vecka 16.
Figur 6: ACR 50-respons över tid upp till vecka 16 i studien BE COMPLETE (NRI)
För de bimekizumabbehandlade patienter som uppnådde en ACR 50-respons vid vecka 16 i studien BE OPTIMAL bibehöll 87,2 % denna respons vid vecka 52.
Effekten och säkerheten av bimekizumab påvisades oavsett ålder, kön, etnicitet, kroppsvikt vid baslinjen, psoriasisengagemang vid baslinjen, baslinje-CRP, sjukdomsvaraktighet och tidigare användning av cDMARD. I båda studierna observerades liknande respons med bimekizumab oavsett om patienterna stod på samtidig behandling med cDMARD, inklusive MTX, eller inte.
De modifierade responskriterierna vid psoriasisartrit (Psoriatic Arthritis Response Criteria, PsARC) är ett specifikt sammansatt responsindex som omfattar antal ömma leder, antal svullna leder samt global bedömning av patient och läkare. Andelen patienter som uppnådde modifierad PsARC vid vecka 16 var högre hos de bimekizumabbehandlade patienterna jämfört med placebo (80,3 % respektive 40,2 % i BE OPTIMAL och 85,4 % respektive 30,8 % i BE COMPLETE). PsARC-respons bibehölls upp till vecka 52 i studien BE OPTIMAL.
Radiografisk effekt
I studien BE OPTIMAL bedömdes hämning av strukturell ledskadeprogression radiografiskt och uttrycktes som förändring från baslinjen i Total Sharp-score modifierat enligt Van der Heijde (Van der Heijde modified total Sharp Score, vdHmTSS) och dess komponenter, erosioner (Erosion Score, ES) och minskad ledspalt (Joint Space Narrowing score, JSN) vid vecka 16 (se tabell 8).
Tabell 8: Förändring i vdHmTSS i studien BE OPTIMAL vid vecka 16
* p < 0,001 jämfört med placebo. p-värden är baserade på referensbaserad imputation med hjälp av skillnad i minsta-kvadrat-medelvärde (LS-medelvärde) med användning av en ANCOVA-modell med behandling, skeletterosion vid baslinjen och region som fasta effekter och baslinjepoäng som en kovariat.
Sammanfattade data för vecka 16 är baserade på den första uppsättningen avläsningar för den primära analysen.
a) Ojusterade skillnader visas.
Bimekizumab gav en signifikant hämning av ledskadeprogression vid vecka 16 hos både populationen med förhöjt hs-CRP och/eller minst 1 skeletterosion vid baslinjen och den totala populationen jämfört med placebo. Medan referensbaserad imputation specificerades som metoden för hantering av saknade data i den statistiska testprocedur där bimekizumab jämfördes med placebo, beräknades förändringar från baslinjen också med hjälp av multipel standardimputation i både populationen med förhöjt hs-CRP och/eller minst 1 skeletterosion vid baslinjen och den totala populationen vid vecka 16 i bimekizumabgruppen (genomsnittlig förändring från baslinjen 0,01 respektive 0,01) och adalimumabgruppen (genomsnittlig förändring från baslinjen ‑0,05 respektive ‑0,03). Hämning av ledskadeprogressionen bibehölls i både populationen med förhöjt hs-CRP och/eller minst 1 skeletterosion vid baslinjen och den totala populationen upp till vecka 52 i både bimekizumabgruppen (genomsnittlig förändring från baslinjen 0,10 respektive 0,10) och adalimumabgruppen (genomsnittlig förändring från baslinjen ‑0,17 respektive ‑0,12).
Den observerade procentandelen patienter utan radiografisk ledskadeprogression (definierat som en förändring från baslinjen i mTSS på ≤ 0,5) från randomiseringen till vecka 52 var 87,9 % (N=276/314) för bimekizumab och 84,8 % (N = 168/198) för studiedeltagare som bytte från placebo till bimekizumab och 94,1 % (N = 96/102) för adalimumab i populationen med förhöjt hs-CRP och/eller minst 1 skeletterosion. Liknande frekvens observerades i den totala populationen (89,3 % (N = 326/365) för bimekizumab och 87,3 % (N = 207/237) för studiedeltagare som bytte från placebo till bimekizumab och 94,1 % (N = 111/118) för adalimumab).
Fysisk funktion och andra hälsorelaterade utfall
Både bDMARD-naiva patienter (BE OPTIMAL) och patienter med otillräcklig effekt av eller intolerans mot TNFα-hämmare (BE COMPLETE) som fick bimekizumab visade signifikant förbättring från baslinjen avseende fysisk funktion jämfört med placebopatienter vid vecka 16 (p < 0,001) utvärderat med HAQ-DI (LS-medelvärde för förändring från baslinjen: -0,3 jämfört med -0,1 i BE OPTIMAL respektive -0,3 jämfört med 0 i BE COMPLETE). I båda studierna hade en större andel patienter uppnått en kliniskt signifikant minskning på minst 0,35 i HAQ-DI-poäng från baslinjen i bimekizumabgruppen jämfört med placebogruppen vid vecka 16.
Bimekizumabbehandlade patienter rapporterade signifikant förbättring från baslinjen i poäng vid vecka 16 i den sammanfattade fysiska delen av hälsoenkäten Short Form‑36 (Short Form-36 item Health Survey Physical Component Summary, SF-36 PCS) jämfört med placebo (LS-medelvärde för förändring från baslinjen: 6,3 jämfört med 1,9, p < 0,001 i BE OPTIMAL och 6,2 jämfört med 0,1, p < 0,001 i BE COMPLETE).
I båda studierna rapporterade bimekizumabbehandlade patienter signifikant minskning från baslinjen avseende fatigue mätt vid vecka 16 med Functional Assessment of Chronic Illness Therapy [FACIT]-Fatigue score jämfört med placebo. Signifikant förbättring från baslinjen observerades även i poäng vid vecka 16 i frågeformuläret om sjukdomsinverkan vid psoriasisartrit (Psoriatic Arthritis Impact of Disease-12, PsAID-12) i bimekizumabgruppen jämfört med placebogruppen.
Patienter med axialt engagemang vid baslinjen, dvs. cirka 74 % av patienterna, (definierat som en poäng enligt Baths index för sjukdomsaktivitet vid ankyloserande spondylit (Bath Ankylosing Spondylitis Disease Activity Index, BASDAI) på ≥ 4) visade större förbättring från baslinjen i BASDAI-poäng jämfört med placebo vid vecka 16.
Ovannämnda förbättringar som uppnåtts vid vecka 16 i alla mått för fysisk funktion och andra hälsorelaterade utfall (HAQ-DI, SF-36 PCS, FACIT-Fatigue, PsAID-12 och BASDAI) bibehölls upp till vecka 52 i studien BE OPTIMAL.
I studien BE OPTIMAL uppnådde 65,5 % av de patienter som behandlades med bimekizumab fullständig utläkning av nagelpsoriasis (modified Nail Psoriasis Severity Index (mNAPSI)-utläkning hos patienter med mNAPSI högre än 0 vid baslinjen) vid vecka 52.
Axial spondylartrit (nr-axSpA och AS)
Effekt och säkerhet av bimekizumab utvärderades hos 586 vuxna patienter (minst 18 år) med aktiv axial spondylartrit (axSpA) i två randomiserade, dubbelblinda, placebokontrollerade multicenterstudier, en på patienter med icke-radiografisk axial spondylartrit (nr-axSpA) och en på patienter med ankyloserande spondylit (AS), även kallat radiografisk axSpA. Det primära effektmåttet i båda studierna var andelen patienter som uppnådde svar enligt Assessment of SpondyloArthritis International Society 40 (ASAS 40) vid vecka 16. Jämförbara resultat sågs i båda patientpopulationerna.
Studien BE MOBILE 1 (AS0010) utvärderade 254 patienter med aktiv nr-axSpA. Patienterna hade axSpA (ålder vid symtomdebut < 45 år) som uppfyllde ASAS klassifikationsskriterier och hade aktiv sjukdom enligt Baths index för sjukdomsaktivitet vid ankyloserande spondylit (Bath Ankylosing Spondylitis Disease Activity Index, BASDAI) på ≥ 4 poäng och spinal smärta ≥ 4 på en numerisk skattningsskala (NRS) från 0 till 10 (från BASDAI item 2) samt inga tecken på radiografiska förändringar i sakroiliakalederna som uppfyllde de modifierade New York-kriterierna för AS. Patienterna hade dessutom objektiva tecken på inflammation påvisat med förhöjt C-reaktivt protein (CRP) och/eller sakroiliit vid magnetkameraundersökning (MRI) samt en anamnes av otillräcklig respons på två olika icke-steroida antiinflammatoriska läkemedel (NSAID) eller intolerans mot eller kontraindikation för NSAID. Patienterna randomiserades (1:1) till att få bimekizumab 160 mg var 4:e vecka upp till vecka 52 eller placebo upp till vecka 16 följt av bimekizumab 160 mg var 4:e vecka upp till vecka 52. Vid baslinjen hade patienterna symtom på nr-axSpA sedan i genomsnitt 9 år (median på 5,5 år). 10,6 % av patienterna var tidigare behandlade med en tumörnekrosfaktor-alfa-hämmare (TNFα-hämmare).
Studien BE MOBILE 2 (AS0011) utvärderade 332 patienter med aktiv AS fastställt genom dokumenterade radiografiska förändringar (slätröntgen) som uppfyllde de modifierade New York-kriterierna för AS. Patienterna hade aktiv sjukdom definierat enligt en BASDAI-poäng på ≥ 4 och spinal smärta ≥ 4 på en numerisk skattningsskala (NRS) från 0 till 10 (från BASDAI item 2). Patienterna måste i anamnesen ha haft otillräcklig respons på två olika NSAID eller intolerans mot eller kontraindikation för NSAID. Patienterna randomiserades (2:1) till att få bimekizumab 160 mg var 4:e vecka upp till vecka 52 eller placebo upp till vecka 16 följt av bimekizumab 160 mg var 4:e vecka upp till vecka 52. Vid baslinjen hade patienterna symtom på AS sedan i genomsnitt 13,5 år (median på 11 år). 16,3 % av patienterna var tidigare behandlade med minst en TNFα-hämmare.
Klinisk respons
Behandling med bimekizumab ledde till signifikant förbättring av tecken och symtom samt mått på sjukdomsaktivitet jämfört med placebo vid vecka 16 i både nr-axSpA- och AS-patientpopulationen (se tabell 9). Klinisk respons bibehölls upp till vecka 52 i båda patientpopulationerna enligt utvärdering av alla effektmått angivna i tabell 9.
Tabell 9: Klinisk respons i studierna BE MOBILE 1 och BE MOBILE 2
BKZ 160 mg Q4W = bimekizumab 160 mg var 4:e vecka. ASDAS = Ankylosing Spondylitis Disease Activity Score (poäng för sjukdomsaktivitet vid ankyloserande spondylit).
NRI används.
a) Ojusterade skillnader visas.
* p < 0,001 jämfört med placebo justerat för multiplicitet.
Andelen patienter i BE MOBILE 1 som uppnådde en ASDAS på < 2,1 (där ASDAS-inaktiv sjukdom [inactive disease, ID] kombinerades med ASDAS-låggradig sjukdom [low disease, LD]) vid vecka 16 var 46,1 % i bimekizumabgruppen jämfört med 21,1 % i placebogruppen (multipel imputation). Vid vecka 52 hade 61,6 % av patienterna i bimekizumabgruppen uppnått en ASDAS på < 2,1, inklusive 25,2 % med inaktiv sjukdomsstatus (ASDAS < 1,3).
Andelen patienter i BE MOBILE 2 som uppnådde en ASDAS på < 2,1 (där ASDAS-ID kombinerades med ASDAS-LD) vid vecka 16 var 44,8 % i bimekizumabgruppen jämfört med 17,4 % i placebogruppen (multipel imputation). Vid vecka 52 hade 57,1 % av patienterna i bimekizumabgruppen uppnått en ASDAS på < 2,1, inklusive 23,4 % med inaktiv sjukdomsstatus (ASDAS < 1,3).
Alla fyra ASAS 40-komponenterna (total ryggsmärta, morgonstelhet, Baths index för funktion vid ankyloserande spondylit [Bath Ankylosing Spondylitis Functional Index, BASFI] och patientens globala bedömning av sjukdomsaktivitet [Patient’s Global Assessment of Disease Activity, PGADA]) förbättrades med bimekizumabbehandling och bidrog till den övergripande ASAS 40-responsen vid vecka 16, och dessa förbättringar bibehölls upp till vecka 52 i båda patientpopulationerna.
Förbättringar avseende övriga effektmått visas i tabell 10.
Tabell 10: Övriga effektmått i studierna BE MOBILE 1 och BE MOBILE 2
BASMI = Bath Ankylosing Spondylitis Metrology Index. Hs-CRP = högkänsligt C-reaktivt protein
MI används.
* p < 0,001 referensbaserad imputation, jämfört med placebo, justerat för multiplicitet. ** p < 0,01 referensbaserad imputation, jämfört med placebo, justerat för multiplicitet.
Bimekizumab var förknippat med en snabbt insättande effekt hos både nr-axSpA- och AS-patientpopulationen.
Behandlingsresponsen hos bimekizumabbehandlade patienter för ASAS 40 var större än hos de som stod på placebo så tidigt som vecka 1 i studien BE MOBILE 1 (16,4 % jämfört med 1,6 %, nominellt p < 0,001) och vecka 2 i studien BE MOBILE 2 (16,7 % jämfört med 7,2 %, nominellt p = 0,019).
Bimekizumab var även förknippat med en snabb minskning av systemisk inflammation mätt med hs-CRP-nivåer så tidigt som vecka 2 i både nr-axSpA- och AS-patientpopulationen, med nominella p-värden < 0,001 i båda studierna.
Figur 7: ASAS 40-respons över tid upp till vecka 52 i studien BE MOBILE 1 (NRI)
Patienter som stod på placebo bytte till bimekizumab 160 mg Q4W vid vecka 16.
Figur 8: ASAS 40-respons över tid upp till vecka 52 i studien BE MOBILE 2 (NRI)
Patienter som stod på placebo bytte till bimekizumab 160 mg Q4W vid vecka 16.
I en integrerad analys av BE MOBILE 1 och BE MOBILE 2 bibehöll 82,1 % av de bimekizumabbehandlade patienterna som uppnådde en ASAS 40-respons vid vecka 16 denna respons vid vecka 52.
Effekten av bimekizumab påvisades oavsett ålder, kön, etnicitet, sjukdomsvaraktighet, inflammationsstatus vid baslinjen, ASDAS vid baslinjen och samtidig användning av cDMARD.
Patienternas ASAS 40-respons var liknande oavsett tidigare exponering för TNFα-hämmare.
Bland patienter med entesit vid baslinjen var andelen patienter (NRI) med utläkt entesit vid vecka 16 bedömt enligt Maastricht-index för entesit vid ankyloserande spondylit (Maastricht Ankylosing Spondylitis Enthesitis, MASES) större med bimekizumab jämfört med placebo (BE MOBILE 1: 51,1 % jämfört med 23,9 % och BE MOBILE 2: 51,5 % jämfört med 32,8 %). Utläkningen av entesit med bimekizumab bibehölls upp till vecka 52 i båda studierna (BE MOBILE 1: 54,3 % och BE MOBILE 2: 50,8 %).
Minskning av inflammation
Bimekizumab gav minskad inflammation mätt med hs-CRP (se tabell 10) och bedömt genom MRI i en imagingdelstudie. Tecken på inflammation bedömdes genom MRI vid baslinjen och vid vecka 16, uttryckt som förändring från baslinjen enligt Spondyloarthritis Research Consortium of Canada (SPARCC) i poäng för sakroiliakaleder och enligt MRI-aktivitet i ryggraden vid ankyloserande spondylit (Ankylosing Spondylitis spine Magnetic Resonance Imagine-activity [ASspiMRI-a] poäng enligt Berlin-ändringen) i poäng för ryggraden. Minskning av inflammatoriska tecken i både sakroiliakaleder och ryggrad observerades hos patienter som behandlades med bimekizumab jämfört med placebo (se tabell 11). Minskning av inflammation mätt med hs-CRP och bedömt genom MRI bibehölls till vecka 52.
Tabell 11: Minskning av inflammation bedömt genom MRI i studierna BE MOBILE 1 och BE MOBILE 2
Värdena för förändring från baslinjen är baserade på observerade fall bedömt genom central avläsning av datauppsättningen för vecka 52.
Fysisk funktion och andra hälsorelaterade utfall
Patienter behandlade med bimekizumab visade signifikant förbättring från baslinjen i fysisk funktion utvärderat med BASFI jämfört med placebo (LS-medelvärde för förändring från baslinjen vid vecka 16 i BE MOBILE 1: -2,4 jämfört med -0,9, p < 0,001 och i BE MOBILE 2: -2.0 jämfört med ‑1,0, p < 0,001). Patienter behandlade med bimekizumab rapporterade signifikant förbättring från baslinjen jämfört med placebobehandlade patienter i den sammanfattade fysiska delen av hälsoenkäten Short Form‑36 (Short Form-36 item Health Survey Physical Component Summary, SF-36 PCS) (LS-medelvärde för förändring från baslinjen vid vecka 16 i BE MOBILE 1: 9,3 poäng jämfört med 5,4 poäng, p < 0,001 och i BE MOBILE 2: 8,5 poäng jämfört med 5,2 poäng, p <0,001).
Patienter behandlade med bimekizumab rapporterade signifikant förbättring från baslinjen i hälsorelaterad livskvalitet mätt med ett frågeformulär om livskvalitet vid AS (AS Quality of Life Questionnaire, ASQoL) jämfört med placebo (LS-medelvärde för förändring från baslinjen vid vecka 16 i BE MOBILE 1: -4,9 jämfört med -2,3, p < 0,001 och i BE MOBILE 2: -4,6 jämfört med ‑3,0, p < 0,001) liksom en signifikant minskning från baslinjen i fatigue mätt med Functional Assessment of Chronic Illness Therapy [FACIT]-Fatigue score (genomsnittlig förändring från baslinjen vid vecka 16 i BE MOBILE 1: 8,5 för bimekizumab jämfört med 3,9 för placebo och i BE MOBILE 2: 8,4 för bimekizumab jämfört med 5,0 för placebo).
Förbättringar som uppnåtts vid vecka 16 i alla mått för fysisk funktion och andra hälsorelaterade utfall enligt ovan (BASFI, SF-36 PCS, ASQoL och FACIT-Fatigue) bibehölls upp till vecka 52 i båda studierna.
Extraartikulär manifestation
I sammanslagna data från BE MOBILE 1 (nr-axSpA) och BE MOBILE 2 (AS) var vid vecka 16 andelen patienter som utvecklade en uveithändelse lägre med bimekizumab (0,6 %) jämfört med placebo (4,6 %). Incidensen av uveit förblev låg vid långvarig behandling med bimekizumab (1,2/100 patientår i de sammanslagna fas II/III-studierna).
Hidradenitis suppurativa
Säkerhet och effekt av bimekizumab utvärderades hos 1 014 vuxna patienter (minst 18 år) med måttlig till svår hidradenitis suppurativa (HS) i två fas III randomiserade, dubbelblinda, placebokontrollerade multicenterstudier (HS0003 – BE HEARD I och HS0004 – BE HEARD II). Patienter hade diagnosticerats med HS sedan minst 6 månader med sjukdomsstadium Hurley grad II eller Hurley grad III och med ≥ 5 inflammatoriska lesioner (d.v.s. antal abscesser plus antal inflammatoriska noduli) och som tidigare svarat otillräckligt på systemisk antibiotikabehandling för HS.
I båda studierna randomiserades patienterna (2:2:2:1) till att få bimekizumab 320 mg varannan vecka i 48 veckor (320 mg Q2W/Q2W) eller bimekizumab 320 mg var 4:e vecka i 48 veckor (320 mg Q4W/Q4W) eller bimekizumab 320 mg varannan vecka fram till vecka 16 följt av 320 mg var 4:e vecka fram t.o.m. vecka 48 (320 mg Q2W/Q4W) eller placebo fram till vecka 16 följt av bimekizumab 320 mg varannan vecka fram t.o.m. vecka 48. Samtidig användning av oralt antibiotikum var tillåtet ifall patienten var på en stabil dosregim av doxycyklin, minocyklin eller en likvärdig systemisk tetracyklin i 28 dagar före baslinjen.
Det primära effektmåttet i båda studierna var Hidradenitis Suppurativa Clinical Response 50 (HiSCR50) vid vecka 16, d.v.s. minst 50 % reduktion av totalt antal abscesser och inflammatoriska noduli utan någon ökning av antal abscesser eller vätskande fistlar i förhållande till baslinjen.
Karakteristika vid baslinjen var konsekventa i båda studierna och motsvarade en population med måttlig till svår HS. Patienterna hade en sjukdomsduration på i median 5,3 år (medelvärde 8,0 år). Andelen patienter med Hurley grad II och Hurley grad III var 55,7 % (50,3 % i HS0003 och 61,1 % i HS0004) respektive 44,3 % (49,7 % i HS0003 och 38,9 % i HS0004), och 8,5 % fick samtidigt antibiotikabehandling för HS. Medelvärdet för total Dermatology Life Quality Index (DLQI) vid baslinjen var 11,4. 56,8 % av patienterna var kvinnor och medelåldern av alla patienterna var 36,6 år. 79,7 % av patienterna var vita och 10,8 % var svarta eller afroamerikaner. 45,6 % av patienterna var nuvarande rökare.
Klinisk respons
Behandling med bimekizumab resulterade i klinisk relevant förbättring av sjukdomsaktivitet jämfört med placebo vid vecka 16. Huvudresultaten avseende effekt visas i tabell 12 och 13. Resultaten i tabell 12 återspeglar den fördefinierade primära analysen där all systemisk antibiotikaanvändning före vecka 16 resulterade i imputation av icke-respons. I tabell 13 resulterade endast systemisk antibiotikaanvändning som av prövaren ansågs som rescue-behandling för HS i imputation av icke-respons.
Tabell 12: Respons i BE HEARD I och BE HEARD II vid vecka 16 - primär analysa
a) Patienter som behandlas systemiskt med antibiotika av någon anledning eller som avbryter behandlingen på grund av biverkningar eller bristande effekt behandlas som icke-svarande vid alla efterföljande besök för svarsvariabler (eller är föremål för multipel imputation för kontinuerliga variabler). Andra saknade data imputerades via multipel imputation.
b) Respons på hudsmärta, baserad på tröskelvärde för kliniskt betydelsefull förändring hos patienten (definierad som en minskning på minst 3 poäng från baslinjen i Hidradenitis Suppurativa Symptom Daily Diary (HSSDD) vid veckovis angivna poäng för värsta hudsmärta) vid vecka 16 hos studiedeltagare med en poäng på ≥ 3 vid baslinjen. För BE HEARD I: N = 46 för placebo, N = 103 för BKZ Q4W och N = 190 för BKZ Q2W; BE HEARD II: N = 49 för placebo, N = 108 för BKZ Q4W och N = 209 för BKZ Q2W.
*p < 0,025 jämfört med placebo, justerad för multiplicitet.
Tabell 13: Respons i BE HEARD I och BE HEARD II vid vecka 16 - stödjande analysa
a) Post-hoc-analys (modified nonresponder imputation [mNRI]): Patienter som behandlas systemiskt med antibiotika som rescue-medicinering för HS som definierats av prövaren eller som avbrutit behandlingen på grund av biverkningar eller bristande effekt behandlas som icke-svarande vid alla efterföljande besök för svarsvariabler (eller är föremål för multipel imputation för kontinuerliga variabler). Andra saknade data imputerades via multipel imputation.
b) Respons på hudsmärta, baserad på tröskelvärde för kliniskt betydelsefull förändring hos patienten (definierad som en minskning på minst 3 poäng från baslinjen i Hidradenitis Suppurativa Symptom Daily Diary (HSSDD) vid veckovis angivna poäng för värsta hudsmärta) vid vecka 16 hos studiedeltagare med en poäng på ≥ 3 vid baslinjen. För BE HEARD I: N = 46 för placebo, N = 103 för BKZ Q4W och N = 190 för BKZ Q2W; BE HEARD II: N = 49 för placebo, N = 108 för BKZ Q4W och N = 209 för BKZ Q2W.
I båda studierna började effekten av bimekizumab synas så tidigt som vecka 2.
Effekten av bimekizumab påvisades oavsett tidigare biologiska behandlingar samt systemisk antibiotikabehandling vid baslinjen.
Klinisk respons bibehölls upp t.o.m. vecka 48 i båda studierna (se tabell 14).
Tabell 14: Respons i BE HEARD I och BE HEARD II vid vecka 48 (mNRI*)
*mNRI (modified non-responder imputation): Patienter som behandlas systemiskt med antibiotika som rescue-medicinering för HS som definierats av prövaren eller som avbrutit behandlingen på grund av biverkningar eller bristande effekt behandlas som icke-svarande vid alla efterföljande besök för svarsvariabler (eller är föremål för multipel imputation för kontinuerliga variabler). Andra saknade data imputerades via multipel imputation. Denna exploratoriska analys för att hantera saknade data utfördes post-hoc.
Hälsorelaterad livskvalitet
I båda studierna upplevde patienter som behandlades med bimekizumab en större betydelsefull förbättring i deras hälsorelaterade livskvalitet jämfört med placebo, mätt med standardformuläret DLQI som är hudspecifikt (tabell 15).
Tabell 15: Hälsorelaterad livskvalitet i BE HEARD I och BE HEARD II vid vecka 16
DLQI-totalpoäng varierar från 0 till 30 där högre poäng indikerar lägre HRQoL.
Patienter som behandlas systemiskt med antibiotika som rescue-medicinering för HS som definierats av prövaren eller som avbrutit behandlingen på grund av biverkningar eller bristande effekt är föremål för multipel imputation. Andra saknade data imputerades via multipel imputation.
a) cfb: förändring från baslinjen.
Den förbättring som uppnåddes vid vecka 16 i hälsorelaterade livskvalitetmätningar med bimekizumab bibehölls till och med vecka 48.
Pediatrisk population
Europeiska läkemedelsmyndigheten har senarelagt kravet att skicka in studieresultat för Bimzelx för en eller flera grupper av den pediatriska populationen för behandling av psoriasis, kronisk idiopatisk artrit och hidradenitis suppurativa (information om pediatrisk användning finns i avsnitt 4.2).
De farmakokinetiska egenskaperna hos bimekizumab var liknande hos patienter med plackpsoriasis, psoriasisartrit och axial spondylartrit (nr-axSpA och AS).
Baserat på populationsfarmakokinetiska analyser och med en referenskroppsvikt på 90 kg uppskattades skenbart clearance respektive distributionsvolym för bimekizumab hos patienter med hidradenitis suppurativa vara ungefär 31 % och 18 % högre än för ovannämnda indikationer, med en uppskattad halveringstid vid HS på 20 dagar. Följaktligen var medianvärdet för dalkoncentrationen vid steady state vid en dos på 320 mg var 4:e vecka uppskattningsvis 40 % lägre vid HS jämfört med andra indikationer.
Absorption
Medianvärdet (2,5-percentilen och 97,5-percentilen) för högsta plasmakoncentration på 25 (12–50) μg/ml av bimekizumab uppnåddes i populationsfarmakokinetisk analys mellan 3 och 4 dagar efter en subkutan singeldos på 320 mg hos patienter med plackpsoriasis.
Populationsfarmakokinetisk analys visade en genomsnittlig absolut biotillgänglighet för bimekizumab på 70,1 % hos friska frivilliga individer.
Baserat på simulerade data är medianvärdet (2,5-percentilen och 97,5-percentilen) för topp- och dalkoncentrationen vid steady state efter subkutan administrering av 320 mg var 4:e vecka 43 (20–91) μg/ml respektive 20 (7–50) μg/ml och steady state uppnås efter cirka 16 veckor med dosering var 4:e vecka. Jämfört med exponeringen efter en singeldos visade den populationsfarmakokinetiska analysen att patienterna uppvisade en 1,74-faldig ökning av maximala plasmakoncentrationer och yta under kurvan (AUC) efter upprepad dosering var 4:e vecka.
Efter doseringsbyte från 320 mg var 4:e vecka till 320 mg var 8:e vecka vid vecka 16, uppnås steady state ungefär 16 veckor efter bytet. Medianvärdet (2,5-percentilen och 97,5-percentilen) för topp- och dalkoncentrationen i plasma är 30 (14–60) μg/ml respektive 5 (1–16) μg/ml.
Distribution
I populationsfarmakokinetiska analyser var medianen (variationskoefficient, %) för distributionsvolymen (V/F) vid steady state 11,2 (30,5 %) liter hos patienter med plackpsoriasis.
Metabolism
Bimekizumab är en monoklonal antikropp och förväntas brytas ned till små peptider och aminosyror genom katabola processer på samma sätt som endogena immunglobuliner.
Eliminering
I populationsfarmakokinetiska analyser var medianvärdet (variationskoefficient, %) för skenbart clearance (CL/F) för bimekizumab 0,337 l/dag (32,7 %) och den genomsnittliga terminala halveringstiden för bimekizumab var 23 dagar i kliniska studier på patienter med plackpsoriasis.
Linjäritet/icke-linjäritet
Bimekizumab uppvisade dosproportionell farmakokinetik hos patienter med plackpsoriasis för dosintervallet 64 mg till 480 mg efter flera subkutana administreringar, där skenbart clearance (CL/F) var oberoende av dos.
Farmakokinetiskt/farmakodynamiskt förhållande
En populationsfarmakokinetisk/-farmakodynamisk modell som inkluderade alla tillgängliga data för patienter med måttlig till svår plackpsoriasis utvecklades. Analysen visade att högre koncentrationer av bimekizumab är relaterade till bättre PASI- och IGA-respons. En dos på 320 mg var 4:e vecka visade sig vara en lämplig dos för den initiala behandlingsperioden och 320 mg var 8:e vecka därefter är en lämplig dos för underhållsperioden för majoriteten av patienter med måttlig till svår plackpsoriasis (se Särskilda populationer, kroppsvikt).
Särskilda populationer
Kroppsvikt
Populationsfarmakokinetisk modellering indikerade att exponeringen minskade vid ökad kroppsvikt. Genomsnittlig plasmakoncentration hos vuxna patienter med en kroppsvikt ≥ 120 kg efter en subkutan injektion på 320 mg förutsågs vara minst 30 % lägre än hos vuxna patienter med en kroppsvikt på 90 kg. Dosjustering kan vara lämplig för vissa patienter (se avsnitt 4.2).
Äldre
I populationsfarmakokinetisk analys med ett begränsat antal äldre patienter (n = 355 i åldern ≥ 65 år och n = 47 i åldern ≥ 75 år) var skenbart clearance (CL/F) hos äldre patienter och patienter yngre än 65 år likartad. Ingen dosjustering krävs (se avsnitt 4.2).
Nedsatt njur- eller leverfunktion
Inga specifika studier har genomförts för att fastställa effekten av nedsatt njur- eller leverfunktion på farmakokinetiken för bimekizumab. Renal eliminering av intakt bimekizumab, en monoklonal IgG-antikropp, förväntas vara låg och av mindre betydelse. På samma sätt förväntas inte nedsatt leverfunktion påverka clearance av bimekizumab eftersom IgG-antikroppar huvudsakligen elimineras via intracellulär katabolism. Baserat på populationsfarmakokinetiska analyser hade leverfunktionsmarkörer (ALAT/bilirubin) ingen påverkan på bimekizumabs clearance hos patienter med plackpsoriasis.
Etnicitet
Inga kliniskt betydelsefulla skillnader i exponeringen av bimekizumab observerades hos japanska eller kinesiska patienter jämfört med kaukasiska patienter i en klinisk famakokinetisk studie. Ingen dosjustering krävs.
Kön
Populationsfarmakokinetisk modellering antydde att kvinnor kan ha 10 % snabbare skenbart clearance (CL/F) jämfört med män men den är inte kliniskt betydelsefull. Ingen dosjustering krävs.
Icke-kliniska data visade inte några särskilda risker för människa baserat på studier avseende vävnadskorsreaktivitet, toxicitet vid upprepad dosering (inkluderar effektmått för säkerhetsfarmakologi och bedömning av fertilitetsrelaterade effektmått) och utvärdering av pre- och postnatal utveckling hos cynomolgusapor.
Hos cynomolgusapor var bimekizumabrelaterade effekter begränsade till mukokutana förändringar i enlighet med farmakologisk modulering av kommensal mikroflora.
Det har inte utförts några mutagenicitets- eller karcinogenitetsstudier med bimekizumab. Monoklonala antikroppar förväntas inte skada DNA eller kromosomer. I en 26 veckor lång kronisk toxikologistudie hos cynomolgusapor vid en dos som resulterade i 109 gånger högre exponering än hos människor som får 320 mg var 4:e vecka observerades inga preneoplastiska eller neoplastiska lesioner.
I en peri- och postnatal utvecklingsstudie hos cynomolgusapa visade bimekizumab inga effekter på dräktighet, förlossning, apungars överlevnad, foster- och postnatal utveckling vid administrering under hela organogenesen fram till förlossningen vid en dos som resulterade i 27 gånger högre exponering än hos människor som får 320 mg var 4:e vecka baserat på AUC. Koncentrationen av bimekizumab i serum hos apungar var vid födseln jämförbara med dem hos mödrarna.
Farmakoterapeutisk grupp: Immunsuppressiva medel, interleukinhämmare, ATC-kod: L04AC21
Verkningsmekanism
Bimekizumab är en humaniserad monoklonal antikropp av typen immunglobulin G1/κ (IgG1/κ) som selektivt binder med hög affinitet till cytokinerna IL-17A, IL-17F och IL-17AF och blockerar deras interaktion med IL-17RA/IL-17RC-receptorkomplexet. Förhöjda koncentrationer av IL-17A och IL-17F har föreslagits som en faktor i patogenesen för flera immunmedierade inflammatoriska sjukdomar, inklusive plackpsoriasis, psoriasisartrit, axial spondylartrit och hidradenitis suppurativa. IL‑17A och IL‑17F inducerar inflammation i samverkan och/eller synergi med andra inflammatoriska cytokiner. IL-17F produceras i signifikant mängd av medfödda immunceller. Denna produktion kan vara oberoende av IL‑23. Bimekizumab hämmar de proinflammatoriska cytokinerna, vilket resulterar i normalisering av inflammation i huden och väsentlig minskning av lokal och systemisk inflammation, och som en följd av detta förbättring av kliniska tecken och symtom i samband med psoriasis, psoriasisartrit, axial spondylartrit och hidradenitis suppurativa. In vitro-modeller har visat att behandling med bimekizumab minskar genuttrycket förknippat med psoriasis, produktionen av cytokiner, migrationen av inflammatoriska celler och patologisk bennybildning i större utsträckning än hämning av enbart IL-17A.
.
Klinisk effekt och säkerhet
Plackpsoriasis
Effekten och säkerheten hos bimekizumab utvärderades hos 1 480 patienter med måttlig till svår plackpsoriasis i tre randomiserade fas III-multicenterstudier som kontrollerades med placebo och/eller aktiv komparator. De patienter som deltog var 18 år och äldre med ett PASI-värde (Psoriasis Area and Severity Index) ≥ 12, psoriasis som täckte ≥ 10 % av kroppsytan (Body Surface Area, BSA), ett Investigator Global Assessment (IGA)-värde ≥ 3 på en femgradig skala, och var kandidater för systemisk behandling och/eller ljusbehandling. Effekten och säkerheten hos bimekizumab utvärderades jämfört med placebo och ustekinumab (BE VIVID – PS0009), jämfört med placebo (BE READY – PS0013) och jämfört med adalimumab (BE SURE – PS0008).
I studien BE VIVID utvärderades 567 patienter i 52 veckor. Patienterna randomiserades till antingen bimekizumab 320 mg var 4:e vecka, ustekinumab (45 mg eller 90 mg, beroende på patientens kroppsvikt, vid baslinjen och vecka 4 och sedan var 12:e vecka), eller placebo under de första 16 veckorna, följt av bimekizumab 320 mg var 4:e vecka.
I studien BE READY utvärderades 435 patienter i 56 veckor. Patienterna randomiserades till antingen bimekizumab 320 mg var 4:e vecka eller placebo. Patienter som uppnådde en PASI 90-respons vid vecka 16 gick in i en 40 veckor lång randomiserad utsättningsfas. Patienter som ursprungligen randomiserats till bimekizumab 320 mg var 4:e vecka randomiserades på nytt till antingen bimekizumab 320 mg var 4:e vecka eller bimekizumab 320 mg var 8:e vecka eller placebo (d.v.s. utsättning av bimekizumab). Patienter som ursprungligen randomiserats till placebo fortsatte att få placebo förutsatt att de uppnådde en PASI 90-respons. Patienter som inte uppnådde en PASI 90-respons vid vecka 16 gick in i en öppen ”escape-arm” och fick bimekizumab 320 mg var 4:e vecka i 12 veckor. Patienter som fick återfall (som inte uppnådde PASI 75-respons) under den randomiserade utsättningsfasen gick också in i ”escape-armen” i 12 veckor.
I studien BE SURE utvärderades 478 patienter i 56 veckor. Patienterna randomiserades till antingen bimekizumab 320 mg var 4:e vecka till och med vecka 56, bimekizumab 320 mg var 4:e vecka till och med vecka 16 följt av bimekizumab 320 mg var 8:e vecka till och med vecka 56, eller adalimumab enligt anvisningarna i produktresumén till och med vecka 24 följt av bimekizumab 320 mg var 4:e vecka till och med vecka 56.
Karakteristika vid baslinjen var konsekventa i samtliga 3 studier: Patienterna var huvudsakligen män (70,7 %) och vita (84,1 %), med en genomsnittsålder på 45,2 år (18 till 83 år) och 8,9 % var ≥ 65 år gamla. Medianvärdet för BSA vid baslinjen var 20 %, medianvärdet för PASI vid baslinjen var 18 och 33 % av patienterna hade ett IGA-värde vid baslinjen som motsvarande ”svår psoriasis”. Medianpoängen för smärta, klåda och fjällning uppmätt enligt Psoriasis Symptoms Diary (PSD) varierade vid baslinjen mellan 6 och 7 på en skala från 0–10 poäng och medianpoängen för Dermatology Life Quality Index (DLQI) var totalt 9 poäng vid baslinjen.
I samtliga 3 studier hade 38 % av patienterna fått tidigare biologisk behandling; 23 % hade fått minst ett anti-IL-17-läkemedel (primär svikt av anti-IL17 uteslöts) och 13 % hade fått minst en TNF-antagonist. Tjugotvå procent var naiva för någon form av systemisk behandling (inklusive icke-biologisk och biologisk) och 39 % av patienterna hade tidigare fått ljusbehandling eller fotokemoterapi.
Bimekizumabs effekt utvärderades med avseende på generellt hudengagemang, regional sjukdom (hårbotten, naglar, handflator och fotsulor), patientrapporterade symtom och påverkan på livskvalitet. De två koprimära effektmåtten för alla 3 studier var andelen patienter som uppnådde 1) PASI 90-respons och 2) en IGA-respons motsvarande ”utläkt eller nästan utläkt” (IGA 0/1 med minst två poängs förbättring från baslinjen) vid vecka 16. PASI 100, IGA 0-respons vid vecka 16 och PASI 75-respons vid vecka 4 var sekundära effektmått i alla 3 studier.
Generellt hudengagemang
Behandling med bimekizumab resulterade i signifikanta förbättringar för alla effektmått jämfört med placebo, ustekinumab och adalimumab vid vecka 16. De huvudsakliga effektresultaten redovisas i tabell 2.
Tabell 2: Sammanfattning av klinisk respons i BE VIVID, BE READY och BE SURE
Bimekizumab 320 mg Q4W = bimekizumab var 4:e vecka. NRI (Patienter för vilka data saknas räknades som icke-responders, Non-Responder Imputation) används.
IGA-respons 0/1 definierades som utläkt (0) eller nästan utläkt (1) med minst en 2-poängsreduktion från baslinjen vid vecka 16. IGA-respons 0 definierades som utläkt (0) med minst en 2-poängsreduktion från baslinjen vid vecka 16.
PSD står för Psoriasis Symptoms Diary, även kallad Psoriasis Symptoms and Impacts Measure (P-SIM), och mäter psoriasissymtomens svårighetsgrad på en skala från 0 (inga symtom) till 10 (mycket svåra symtom). Respons definieras som en minskning på ≥ 4 från baslinjen till vecka 16 för smärta, klåda och fjällning på en skala från 0 till 10.
a) p < 0,001 jämfört med placebo (BE VIVID och BE READY), jämfört med adalimumab (BE SURE), justerade för multiplicitet.
b) p < 0,001 jämfört med ustekinumab (BE VIVID), justerat för multiplicitet.
Bimekizumab var associerat med snabbt insättande effekt. I studien BE VIVID vid vecka 2 och 4 var PASI 90-responsen signifikant högre för patienter behandlade med bimekizumab (12,1 % respektive 43,6 %) jämfört med placebo (1,2 % respektive 2,4 %) och ustekinumab (1,2 % respektive 3,1 %).
Vid vecka 52 i studien BE VIVID uppnådde patienter behandlade med bimekizumab (var 4:e vecka) signifikant högre svarsfrekvens än patienter behandlade med ustekinumab avseende effektmåtten PASI 90 (81,9 % bimekizumab jämfört med 55,8 % ustekinumab, p < 0,001), IGA 0/1 (78,2 % bimekizumab jämfört med 60,7 % ustekinumab, p < 0,001) och PASI 100 (64,5 % bimekizumab jämfört med 38,0 % ustekinumab).
Figur 1: PASI 90-svarsfrekvens över tid i BE VIVID
BKZ 320 mg Q4W = bimekizumab var 4:e vecka; UST = ustekinumab. NRI används.
I studien BE SURE vid vecka 24 uppnådde en signifikant högre andel patienter som behandlades med bimekizumab (Q4W/Q4W- och Q4W/Q8W-kombinerade doseringsarmar) PASI 90-respons och IGA-poäng 0/1 jämfört med adalimumab (85,6 % respektive 86,5 % jämfört med 51,6 % respektive 57,9 %, p < 0,001). Av de patienter som behandlats med bimekizumab Q8W uppnådde 70,2 % en PASI 100-respons vid vecka 56. Av de 65 patienter som inte svarat på adalimumab vid vecka 24 (< PASI 90) uppnådde 78,5 % en PASI 90-respons efter 16 veckors behandling med bimekizumab. Säkerhetsprofilen som observerades hos patienter som bytte från adalimumab till bimekizumab utan en washout-period var liknande som den hos patienter som påbörjat behandling med bimekizumab efter en washout-period från tidigare systemiska behandlingar.
Figur 2: PASI 90-svarsfrekvens över tid i BE SURE
BKZ 320 mg Q4W = bimekizumab var 4:e vecka; BKZ 320 mg Q8W = bimekizumab var 8:e vecka; ADA = adalimumab.
Patienter i gruppen BKZ Q4W/Q8W bytte dosering från Q4W till Q8W vid vecka 16. Patienter i gruppen ADA/BKZ 320 mg Q4W bytte från ADA till BKZ Q4W vid vecka 24. NRI används.
Effekten av bimekizumab påvisades oavsett ålder, kön, etnicitet, sjukdomsvaraktighet, kroppsvikt, PASI-svårighetsgrad vid baslinjen och tidigare biologisk behandling. Bimekizumab var verksamt hos biologiskt erfarna patienter, inklusive TNF-hämmare/anti-IL-17, samt hos patienter naiva för systemisk behandling. Effekt hos patienter med primärsvikt på anti-IL-17 har inte undersökts.
Patienter med en högre kroppsvikt (≥ 120 kg) som inte uppnått fullständig utläkning vid vecka 16 gynnades enligt populationsfarmakokinetisk/-farmakodynamisk (PK/PD) analys med vidare stöd av kliniska data av fortsatt behandling med bimekizumab 320 mg var fjärde vecka (Q4W) efter de första 16 veckornas initiala behandling. I studien BE SURE fick patienterna bimekizumab 320 mg Q4W till och med vecka 16, följt av dosering antingen Q4W eller Q8W till och med vecka 56 oavsett svarsstatus vid vecka 16. Patienter i gruppen ≥ 120 kg (N = 37) som stod på underhållsdos med dosering Q4W visade större förbättring av PASI 100 mellan vecka 16 (23,5 %) och vecka 56 (70,6 %) jämfört med dem som stod på underhållsdos med dosering Q8W (45,0 % vecka 16 jämfört med 60,0 % vecka 56).
Hos patienter som behandlades med bimekizumab observerades förbättringar av psoriasis i hårbotten, på naglar, i handflator och i fotsulor vid vecka 16 (se tabell 3).
Tabell 3: Respons avseende hårbotten-, palmoplantar och nagelpsoriasis vid vecka 16 i studierna BE VIVID, BE READY och BE SURE
Bimekizumab 320 mg Q4W= bimekizumab var 4:e vecka. NRI används
IGA 0/1-svar avseende hårbotten och palmoplantar IGA 0/1-svar definierades som utläkt (0) eller nästan utläkt (1) med minst en 2-poängsreduktion från baslinjen.
a) Inkluderar endast patienter med ett IGA-poäng (Investigator Global Assessment) ≥ 2 med avseende på hårbotten, ett pp-IGA-poäng (palmoplantar-IGA) ≥ 2 och ett mNAPSI-poäng (Modified Nail Psoriasis Severity Index) > 0 vid baslinjen.
b) p < 0,001 jämfört med placebo, justerat för multiplicitet
Responsen från IGA med avseende på hårbotten och palmoplantar IGA hos patienter som behandlats med bimekizumab bibehölls till och med vecka 52/56. Nagelpsoriasis fortsatte att förbättras efter vecka 16. I studien BE VIVID uppnådde 60,3 % av patienter som behandlades med bimekizumab 320 mg var 4:e vecka total utläkning av nagelpsoriasis (mNAPSI 100) vid vecka 52. I studien BE READY uppnådde 67,7 % och 69,8 % av PASI 90-responders vid vecka 16 total utläkning av nagelpsoriasis vid vecka 56 med bimekizumab 320 mg var 8:e vecka respektive bimekizumab 320 mg var 4:e vecka.
Bibehållande av respons
Tabell 4: Bibehållande av respons med bimekizumab vid vecka 52 i PASI 100-, PASI 90-, IGA 0/1- och absolut PASI ≤ 2-responders vid vecka 16*
* Integrerad analys av BE VIVID, BE READY och BE SURE. NRI används.
320 mg Q4W: bimekizumab 320 mg var 4:e vecka följt av bimekizumab 320mg var 4:e vecka från vecka 16.
320 mg Q8W: bimekizumab 320 mg var 4:e vecka följt av bimekizumab 320mg var 8:e vecka från vecka 16.
Responsens varaktighet (efter utsättande av bimekizumab)
Figur 3: PASI 90-svarsfrekvens över tid för PASI 90-responders vid vecka 16 – randomiserad utsättningsfas i studien BE READY
NRI används.
Vid vecka 16 påbörjade 105 studiedeltagare i gruppen bimekizumab 320 mg Q4W/placebo, 100 i gruppen bimekizumab 320 mg Q4W/Q8W och 106 i gruppen bimekizumab 320 mg Q4W/Q4W den randomiserade utsättningsfasen.
I studien BE READY var mediantiden till återfall, definierad som förlust av PASI 75, cirka 28 veckor (32 veckor efter den sista dosen av bimekizumab) för PASI 90-responders vid vecka 16 som randomiserades på nytt till placebo och sattes ut från bimekizumab. Bland dessa patienter återfick 88,1 % en PASI 90-respons inom 12 veckor efter återinsättande av behandling med bimekizumab 320 mg var 4:e vecka.
Hälsorelaterad livskvalitet/patientrapporterade utfall
I samtliga tre studier upplevde en större andel patienter som behandlades med bimekizumab ingen inverkan av psoriasis på livskvalitet mätt med Dermatology Life Quality Index (DLQI) jämfört med placebo och patienter behandlade med aktivt jämförande läkemedel vid vecka 16 (tabell 5).
Tabell 5: Livskvalitet i studierna BE VIVID, BE READY och BE SURE
a) Absolut DLQI-poäng på 0 eller 1 indikerar att sjukdomen inte påverkar hälsorelaterad livskvalitet. NRI används.
Svarsfrekvensen för DLQI 0/1 fortsatte att öka efter vecka 16 och bibehölls sedan till och med vecka 52/56. I studien BE VIVID var svarsfrekvensen vid vecka 52 för DLQI 0/1 74,8 % hos patienter behandlade med bimekizumab 320 mg var 4:e vecka. I studien BE SURE hade 78,9 % respektive 74,1 % av patienterna som behandlades med bimekizumab 320 mg var 8:e vecka och bimekizumab 320 mg var 4:e vecka DLQI 0/1 vid vecka 56.
Fas III öppen förlängningsstudie
Patienter som slutförde en av de pivotala fas III-studierna kunde gå vidare till en 144 veckor lång öppen förlängningsstudie (PS0014) för att utvärdera den långsiktiga säkerheten och effekten av bimekizumab.
344 patienter som behandlades med bimekizumab 320 mg var 8:e vecka (BKZ 320 mg Q8W) eller var 4:e vecka (BKZ 320 mg Q4W) under den pivotala fas III-studien och som uppnådde PASI 90 i slutet av den pivotala fas III-studien, fick bimekizumab 320 mg Q8W under hela PS0014. Av dessa slutförde 293 (85,2 %) patienter 144 veckors behandling med bimekizumab 320 mg Q8W. 48 patienter (14,0 %) avbröt studien under behandlingsperioden, varav 21 (6,1 %) patienter avbröt på grund av en biverkning och 4 (1,2 %) patienter avbröt på grund av utebliven effekt.
Bland de patienter som stannade kvar i studien bibehölls de förbättringar med bimekizumab som i de pivotala fas III-studierna uppnåtts avseende resultatmåtten för effekt, PASI 90 och IGA 0/1, under hela den öppna behandlingen på 144 veckor.
Fas IIIb direkt jämförande studie mot sekukinumab
Effekten och säkerheten för bimekizumab utvärderades också i en dubbelblind studie där det jämfördes med sekukinumab, en IL-17A-hämmare (BE RADIANT - PS0015). Patienterna randomiserades till att få bimekizumab (N = 373, 320 mg i vecka 0, 4, 8, 12 och 16 (Q4W) följt av 320 mg var 4:e vecka (Q4W/Q4W) eller 320 mg var 8:e vecka (Q4W/Q8W)) eller sekukinumab (N = 370, 300 mg i vecka 0, 1, 2, 3, 4 följt av 300 mg var 4:e vecka). Karakteristika vid baslinjen överensstämde med en population av patienter med måttlig till svår plackpsoriasis med ett medianvärde för BSA (kroppsyta) på 19 % och ett medianvärde för PASI-poäng på 18.
Patienter behandlade med bimekizumab uppnådde signifikant högre svarsfrekvens jämfört med patienter behandlade med sekukinumab, för det primära effektmåttet PASI 100 (fullständigt utläkt hud) vid vecka 16. Signifikant högre svarsfrekvens uppnåddes också för det sekundära effektmåttet PASI 100 vid vecka 48 (för både Q4W/Q4W- och Q4W/Q8W-dosregimer). Jämförande PASI-svarsfrekvenser presenteras i tabell 6.
Skillnader i svarsfrekvens mellan bimekizumab- och sekukinumab-behandlade patienter noterades så tidigt som vecka 1 för PASI 75 (7,2 % respektive 1,4 %) och så tidigt som vecka 2 för PASI 90 (7,5 % respektive 2,4 %).
Tabell 6: PASI-svarsfrekvens från BE RADIANT - bimekizumab jämfört med sekukinumab
a) Data kommer från underhållsgruppen bestående av patienter som fick minst en dos studieläkemedel vid vecka 16 eller senare
*p<0,001 jämfört med sekukinumab, justerat för multiplicitet. NRI används.
PASI 100-svarsfrekvenser för bimekizumab och sekukinumab till och med vecka 48 visas i figur 4.
Figur 4: PASI 100-svarsfrekvens över tid i BE RADIANT
NRI används. Underhållsgruppen bestående av patienter som fick minst en dos studieläkemedel vid vecka 16 eller senare
Effekten av bimekizumab i BE RADIANT överensstämde med effekten i BE VIVID, BE READY och BE SURE.
Fas IIIb öppen förlängningsperiod
Vid vecka 48 kunde patienterna gå in i en 96 veckor lång öppen förlängningsperiod där de började eller fortsatte med bimekizumab 320 mg var 4:e vecka (Q4W) eller 320 mg var 8:e vecka (Q8W), beroende på status för PASI 90-svar vid vecka 48. Studiedeltagare som initialt fick bimekizumab 320 mg var 4:e vecka (Q4W) under den öppna förlängningsperioden fick byta till bimekizumab 320 mg var 8:e vecka (Q8W) vid vecka 72 eller senare.
231 patienter som behandlades med bimekizumab 320 mg var 8:e vecka (Q8W) eller bimekizumab 320 mg var 4:e vecka (Q4W) och som uppnådde PASI 90 vid vecka 48 fick bimekizumab 320 mg var 8:e vecka (Q8W) under hela den öppna förlängningsperioden. Av dessa patienter avbröt 31 (13,4 %) patienter studien under den öppna förlängningsperioden, varav 10 (4,3 %) patienter avbröt på grund av en biverkning och 1 (0,4 %) patient avbröt på grund av utebliven effekt.
116 patienter som behandlades med sekukinumab och uppnådde PASI 90 vid vecka 48 fick bimekizumab 320 mg var 8:e vecka (Q8W) under hela den öppna förlängningsperioden. Av dessa patienter avbröt 16 (13,8 %) patienter studien under den öppna förlängningsperioden, varav 6 (5,2 %) patienter avbröt på grund av en biverkning och 1 (0,9 %) patient avbröt på grund av utebliven effekt.
Bland de patienter som stannade kvar i studien bibehölls de förbättringar med bimekizumab eller sekukinumab som vid vecka 48 uppnåtts avseende resultatmåtten för effekt, svarsfrekvensen för PASI 100, PASI 90, PASI 75 och PASI ≤ 2 vid behandling med bimekizumab 320 mg var 8:e vecka (Q8W) under ytterligare 96 veckors öppen behandling.
Säkerhetsprofilen för bimekizumab fram till vecka 144 motsvarade den säkerhetsprofil som observerades fram till vecka 48.
Psoriasisartrit (PsA)
Säkerhet och effekt av bimekizumab utvärderades hos 1 112 vuxna patienter (minst 18 år) med aktiv psoriasisartrit (PsA) i två randomiserade, dubbelblinda, placebokontrollerade multicenterstudier (PA0010 - BE OPTIMAL och PA0011- BE COMPLETE). Studien BE OPTIMAL inkluderade en aktiv referensbehandlingsgrupp (adalimumab) (N = 140).
I båda studierna hade patienterna en diagnos på aktiv psoriasisartrit sedan minst 6 månader baserat på klassifikationskriterierna för psoriasisartrit (Classification Criteria for Psoriatic Arthritis, CASPAR) samt aktiv sjukdom med ömma leder (TJC) ≥ 3 och svullna leder (SJC) ≥ 3. I BE OPTIMAL var mediantiden för patienternas diagnos med PsA 3,6 år och i BE COMPLETE var den 6,8 år. Patienter med alla subtyper av PsA inkluderades i dessa studier, inklusive symmetrisk polyartrit, asymmetrisk oligoartrit, artrit primärt i distala interfalangealleder (DIP-leder), övervägande spondylitengagemang och artritis mutilans. Vid baslinjen hade 55,9 % av patienterna aktiv plackpsoriasis på ≥ 3 % av kroppsytan (Body Surface Area, BSA), medan 10,4 % av patienterna hade måttlig till svår plackpsoriasis samt 31,9 % och 12,3 % hade entesit respektive daktylit vid baslinjen. Det primära effektmåttet i båda studierna var respons enligt American College of Rheumatology 50 (ACR 50) vid vecka 16.
Studien BE OPTIMAL utvärderade 852 patienter som inte tidigare behandlats med något biologiskt sjukdomsmodifierande antireumatiskt läkemedel (bDMARD) för psoriasisartrit eller psoriasis. Patienterna randomiserades (3:2:1) till att få bimekizumab 160 mg var 4:e vecka till och med vecka 52 eller placebo upp till vecka 16 följt av bimekizumab 160 mg var 4:e vecka till och med vecka 52 eller en aktiv referensbehandlingsgrupp (adalimumab 40 mg varannan vecka) upp till vecka 52. I denna studie hade 78,3 % av patienterna tidigare fått behandling med ≥ 1 cDMARD medan 21,7 % av patienterna inte hade fått någon tidigare behandling med cDMARD. Vid baslinjen fick 58,2 % av patienterna samtidig behandling med metotrexat (MTX), 11,3 % fick samtidig behandling med annat cDMARD än MTX, och 30,5 % fick inget cDMARD.
Studien BE COMPLETE utvärderade 400 patienter med ett otillräckligt svar på (utebliven effekt) eller intolerans mot behandling med 1 eller 2 tumörnekrosfaktor-alfa-hämmare (TNFα-hämmar-IR) för antingen psoriasisartrit eller psoriasis. Patienterna randomiserades (2:1) till att få bimekizumab 160 mg var 4:e vecka eller placebo upp till vecka 16. Vid baslinjen fick 42,5 % av patienterna samtidig behandling med MTX, 8,0 % fick samtidig behandling med annat cDMARD än MTX, och 49,5 % fick inget cDMARD. I denna studie hade 76,5 % av deltagarna ett otillräckligt svar på 1 TNFα-hämmare, 11,3 % hade ett otillräckligt svar på 2 TNFα-hämmare och 12,3 % var intoleranta mot TNFα-hämmare.
Tecken och symtom
Hos bDMARD-naiva patienter (BE OPTIMAL) och patienter med otillräcklig effekt av eller intolerans mot TNFα-hämmare (BE COMPLETE) resulterade behandling med bimekizumab i signifikant förbättring av tecken och symtom samt mått på sjukdomsaktivitet jämfört med placebo vid vecka 16, med liknande responsfrekvenser i bägge patientpopulationerna (se tabell 7). Klinisk respons bibehölls upp till vecka 52 i studien BE OPTIMAL enligt bedömning genom ACR 20, ACR 50, ACR 70, MDA, PASI 90, PASI 100 och ACR 50/PASI 100.
Tabell 7: Klinisk respons i studierna BE OPTIMAL och BE COMPLETE
ACR 50/PASI 100 = sammansatt ACR 50- och PASI 100-respons; BKZ 160 mg Q4W = bimekizumab 160 mg var 4:e vecka. KI = konfidensintervall; EB = Ej beräkningsbart
(a) En patient klassificerades som att uppnå minimal sjukdomsaktivitet (Minimal Disease Activity, MDA) när 5 av följande 7 kriterier var uppfyllda: tal för ledsmärta ≤ 1; tal för ledsvullnad ≤ 1; PASI-värde (Psoriasis Activity and Severity Index) ≤ 1 eller kroppsyta (BSA) ≤ 3; visuell analog skala för patientrapporterad smärta (visual analogue scale, VAS) ≤ 15; VAS för patientrapporterad global sjukdomsaktivitet ≤ 20; frågeformulär för hälsobedömning av funktionsnedsättning (Health Assessment Questionnaire Disability Index) ≤ 0,5; punkter med entesitsmärta ≤ 1.
(b) Baserat på sammanslagna data från studierna BE OPTIMAL och BE COMPLETE för patienter med Leeds daktylit-index (Leeds Dactylitis Index, LDI) > 0 vid baslinjen. Daktylitfri status är LDI = 0.
(c) Baserat på sammanslagna data från studierna BE OPTIMAL och BE COMPLETE för patienter med Leeds entesit-index (Leeds Enthesitis Index, LEI) > 0. Entesitfri status är LEI = 0.
(d) Ojusterade skillnader visas.
(e) Ingen statistisk jämförelse med bimekizumab eller placebo utförd.
* p < 0,001 jämfört med placebo justerat för multiplicitet.
** p = 0,008 jämfört med placebo justerat för multiplicitet.
*** p = 0,002 jämfört med placebo justerat för multiplicitet. NRI har använts. Övriga resultatmått vid vecka 16 samt alla resultatmått vid vecka 24 och vecka 52 ingick inte i den sekventiella analyshierarkin och eventuella jämförelser är nominella.
Förbättring från baslinjen påvisades hos alla enskilda ACR-komponenter med bimekizumab vid vecka 16, vilken bibehölls upp till vecka 52 i studien BE OPTIMAL.
Behandlingsresponsen på bimekizumab var signifikant högre än hos de som stod på placebo redan vid vecka 2 för ACR 20 (BE OPTIMAL, 27,1 % jämfört med 7,8 %, nominellt p < 0,001) och vid vecka 4 för ACR 50 (BE OPTIMAL, 17,6 % jämfört med 3,2 %, nominellt p < 0,001 och BE COMPLETE, 16,1 % jämfört med 1,5 %, nominellt p < 0,001).
Figur 5: ACR 50-respons över tid upp till vecka 52 i studien BE OPTIMAL (NRI)
Patienter på placebo bytte till bimekizumab 160 mg Q4W vid vecka 16.
Figur 6: ACR 50-respons över tid upp till vecka 16 i studien BE COMPLETE (NRI)
För de bimekizumabbehandlade patienter som uppnådde en ACR 50-respons vid vecka 16 i studien BE OPTIMAL bibehöll 87,2 % denna respons vid vecka 52.
Effekten och säkerheten av bimekizumab påvisades oavsett ålder, kön, etnicitet, kroppsvikt vid baslinjen, psoriasisengagemang vid baslinjen, baslinje-CRP, sjukdomsvaraktighet och tidigare användning av cDMARD. I båda studierna observerades liknande respons med bimekizumab oavsett om patienterna stod på samtidig behandling med cDMARD, inklusive MTX, eller inte.
De modifierade responskriterierna vid psoriasisartrit (Psoriatic Arthritis Response Criteria, PsARC) är ett specifikt sammansatt responsindex som omfattar antal ömma leder, antal svullna leder samt global bedömning av patient och läkare. Andelen patienter som uppnådde modifierad PsARC vid vecka 16 var högre hos de bimekizumabbehandlade patienterna jämfört med placebo (80,3 % respektive 40,2 % i BE OPTIMAL och 85,4 % respektive 30,8 % i BE COMPLETE). PsARC-respons bibehölls upp till vecka 52 i studien BE OPTIMAL.
Radiografisk effekt
I studien BE OPTIMAL bedömdes hämning av strukturell ledskadeprogression radiografiskt och uttrycktes som förändring från baslinjen i Total Sharp-score modifierat enligt Van der Heijde (Van der Heijde modified total Sharp Score, vdHmTSS) och dess komponenter, erosioner (Erosion Score, ES) och minskad ledspalt (Joint Space Narrowing score, JSN) vid vecka 16 (se tabell 8).
Tabell 8: Förändring i vdHmTSS i studien BE OPTIMAL vid vecka 16
* p < 0,001 jämfört med placebo. p-värden är baserade på referensbaserad imputation med hjälp av skillnad i minsta-kvadrat-medelvärde (LS-medelvärde) med användning av en ANCOVA-modell med behandling, skeletterosion vid baslinjen och region som fasta effekter och baslinjepoäng som en kovariat.
Sammanfattade data för vecka 16 är baserade på den första uppsättningen avläsningar för den primära analysen.
a) Ojusterade skillnader visas.
Bimekizumab gav en signifikant hämning av ledskadeprogression vid vecka 16 hos både populationen med förhöjt hs-CRP och/eller minst 1 skeletterosion vid baslinjen och den totala populationen jämfört med placebo. Medan referensbaserad imputation specificerades som metoden för hantering av saknade data i den statistiska testprocedur där bimekizumab jämfördes med placebo, beräknades förändringar från baslinjen också med hjälp av multipel standardimputation i både populationen med förhöjt hs-CRP och/eller minst 1 skeletterosion vid baslinjen och den totala populationen vid vecka 16 i bimekizumabgruppen (genomsnittlig förändring från baslinjen 0,01 respektive 0,01) och adalimumabgruppen (genomsnittlig förändring från baslinjen ‑0,05 respektive ‑0,03). Hämning av ledskadeprogressionen bibehölls i både populationen med förhöjt hs-CRP och/eller minst 1 skeletterosion vid baslinjen och den totala populationen upp till vecka 52 i både bimekizumabgruppen (genomsnittlig förändring från baslinjen 0,10 respektive 0,10) och adalimumabgruppen (genomsnittlig förändring från baslinjen ‑0,17 respektive ‑0,12).
Den observerade procentandelen patienter utan radiografisk ledskadeprogression (definierat som en förändring från baslinjen i mTSS på ≤ 0,5) från randomiseringen till vecka 52 var 87,9 % (N=276/314) för bimekizumab och 84,8 % (N = 168/198) för studiedeltagare som bytte från placebo till bimekizumab och 94,1 % (N = 96/102) för adalimumab i populationen med förhöjt hs-CRP och/eller minst 1 skeletterosion. Liknande frekvens observerades i den totala populationen (89,3 % (N = 326/365) för bimekizumab och 87,3 % (N = 207/237) för studiedeltagare som bytte från placebo till bimekizumab och 94,1 % (N = 111/118) för adalimumab).
Fysisk funktion och andra hälsorelaterade utfall
Både bDMARD-naiva patienter (BE OPTIMAL) och patienter med otillräcklig effekt av eller intolerans mot TNFα-hämmare (BE COMPLETE) som fick bimekizumab visade signifikant förbättring från baslinjen avseende fysisk funktion jämfört med placebopatienter vid vecka 16 (p < 0,001) utvärderat med HAQ-DI (LS-medelvärde för förändring från baslinjen: -0,3 jämfört med -0,1 i BE OPTIMAL respektive -0,3 jämfört med 0 i BE COMPLETE). I båda studierna hade en större andel patienter uppnått en kliniskt signifikant minskning på minst 0,35 i HAQ-DI-poäng från baslinjen i bimekizumabgruppen jämfört med placebogruppen vid vecka 16.
Bimekizumabbehandlade patienter rapporterade signifikant förbättring från baslinjen i poäng vid vecka 16 i den sammanfattade fysiska delen av hälsoenkäten Short Form‑36 (Short Form-36 item Health Survey Physical Component Summary, SF-36 PCS) jämfört med placebo (LS-medelvärde för förändring från baslinjen: 6,3 jämfört med 1,9, p < 0,001 i BE OPTIMAL och 6,2 jämfört med 0,1, p < 0,001 i BE COMPLETE).
I båda studierna rapporterade bimekizumabbehandlade patienter signifikant minskning från baslinjen avseende fatigue mätt vid vecka 16 med Functional Assessment of Chronic Illness Therapy [FACIT]-Fatigue score jämfört med placebo. Signifikant förbättring från baslinjen observerades även i poäng vid vecka 16 i frågeformuläret om sjukdomsinverkan vid psoriasisartrit (Psoriatic Arthritis Impact of Disease-12, PsAID-12) i bimekizumabgruppen jämfört med placebogruppen.
Patienter med axialt engagemang vid baslinjen, dvs. cirka 74 % av patienterna, (definierat som en poäng enligt Baths index för sjukdomsaktivitet vid ankyloserande spondylit (Bath Ankylosing Spondylitis Disease Activity Index, BASDAI) på ≥ 4) visade större förbättring från baslinjen i BASDAI-poäng jämfört med placebo vid vecka 16.
Ovannämnda förbättringar som uppnåtts vid vecka 16 i alla mått för fysisk funktion och andra hälsorelaterade utfall (HAQ-DI, SF-36 PCS, FACIT-Fatigue, PsAID-12 och BASDAI) bibehölls upp till vecka 52 i studien BE OPTIMAL.
I studien BE OPTIMAL uppnådde 65,5 % av de patienter som behandlades med bimekizumab fullständig utläkning av nagelpsoriasis (modified Nail Psoriasis Severity Index (mNAPSI)-utläkning hos patienter med mNAPSI högre än 0 vid baslinjen) vid vecka 52.
Axial spondylartrit (nr-axSpA och AS)
Effekt och säkerhet av bimekizumab utvärderades hos 586 vuxna patienter (minst 18 år) med aktiv axial spondylartrit (axSpA) i två randomiserade, dubbelblinda, placebokontrollerade multicenterstudier, en på patienter med icke-radiografisk axial spondylartrit (nr-axSpA) och en på patienter med ankyloserande spondylit (AS), även kallat radiografisk axSpA. Det primära effektmåttet i båda studierna var andelen patienter som uppnådde svar enligt Assessment of SpondyloArthritis International Society 40 (ASAS 40) vid vecka 16. Jämförbara resultat sågs i båda patientpopulationerna.
Studien BE MOBILE 1 (AS0010) utvärderade 254 patienter med aktiv nr-axSpA. Patienterna hade axSpA (ålder vid symtomdebut < 45 år) som uppfyllde ASAS klassifikationsskriterier och hade aktiv sjukdom enligt Baths index för sjukdomsaktivitet vid ankyloserande spondylit (Bath Ankylosing Spondylitis Disease Activity Index, BASDAI) på ≥ 4 poäng och spinal smärta ≥ 4 på en numerisk skattningsskala (NRS) från 0 till 10 (från BASDAI item 2) samt inga tecken på radiografiska förändringar i sakroiliakalederna som uppfyllde de modifierade New York-kriterierna för AS. Patienterna hade dessutom objektiva tecken på inflammation påvisat med förhöjt C-reaktivt protein (CRP) och/eller sakroiliit vid magnetkameraundersökning (MRI) samt en anamnes av otillräcklig respons på två olika icke-steroida antiinflammatoriska läkemedel (NSAID) eller intolerans mot eller kontraindikation för NSAID. Patienterna randomiserades (1:1) till att få bimekizumab 160 mg var 4:e vecka upp till vecka 52 eller placebo upp till vecka 16 följt av bimekizumab 160 mg var 4:e vecka upp till vecka 52. Vid baslinjen hade patienterna symtom på nr-axSpA sedan i genomsnitt 9 år (median på 5,5 år). 10,6 % av patienterna var tidigare behandlade med en tumörnekrosfaktor-alfa-hämmare (TNFα-hämmare).
Studien BE MOBILE 2 (AS0011) utvärderade 332 patienter med aktiv AS fastställt genom dokumenterade radiografiska förändringar (slätröntgen) som uppfyllde de modifierade New York-kriterierna för AS. Patienterna hade aktiv sjukdom definierat enligt en BASDAI-poäng på ≥ 4 och spinal smärta ≥ 4 på en numerisk skattningsskala (NRS) från 0 till 10 (från BASDAI item 2). Patienterna måste i anamnesen ha haft otillräcklig respons på två olika NSAID eller intolerans mot eller kontraindikation för NSAID. Patienterna randomiserades (2:1) till att få bimekizumab 160 mg var 4:e vecka upp till vecka 52 eller placebo upp till vecka 16 följt av bimekizumab 160 mg var 4:e vecka upp till vecka 52. Vid baslinjen hade patienterna symtom på AS sedan i genomsnitt 13,5 år (median på 11 år). 16,3 % av patienterna var tidigare behandlade med minst en TNFα-hämmare.
Klinisk respons
Behandling med bimekizumab ledde till signifikant förbättring av tecken och symtom samt mått på sjukdomsaktivitet jämfört med placebo vid vecka 16 i både nr-axSpA- och AS-patientpopulationen (se tabell 9). Klinisk respons bibehölls upp till vecka 52 i båda patientpopulationerna enligt utvärdering av alla effektmått angivna i tabell 9.
Tabell 9: Klinisk respons i studierna BE MOBILE 1 och BE MOBILE 2
BKZ 160 mg Q4W = bimekizumab 160 mg var 4:e vecka. ASDAS = Ankylosing Spondylitis Disease Activity Score (poäng för sjukdomsaktivitet vid ankyloserande spondylit).
NRI används.
a) Ojusterade skillnader visas.
* p < 0,001 jämfört med placebo justerat för multiplicitet.
Andelen patienter i BE MOBILE 1 som uppnådde en ASDAS på < 2,1 (där ASDAS-inaktiv sjukdom [inactive disease, ID] kombinerades med ASDAS-låggradig sjukdom [low disease, LD]) vid vecka 16 var 46,1 % i bimekizumabgruppen jämfört med 21,1 % i placebogruppen (multipel imputation). Vid vecka 52 hade 61,6 % av patienterna i bimekizumabgruppen uppnått en ASDAS på < 2,1, inklusive 25,2 % med inaktiv sjukdomsstatus (ASDAS < 1,3).
Andelen patienter i BE MOBILE 2 som uppnådde en ASDAS på < 2,1 (där ASDAS-ID kombinerades med ASDAS-LD) vid vecka 16 var 44,8 % i bimekizumabgruppen jämfört med 17,4 % i placebogruppen (multipel imputation). Vid vecka 52 hade 57,1 % av patienterna i bimekizumabgruppen uppnått en ASDAS på < 2,1, inklusive 23,4 % med inaktiv sjukdomsstatus (ASDAS < 1,3).
Alla fyra ASAS 40-komponenterna (total ryggsmärta, morgonstelhet, Baths index för funktion vid ankyloserande spondylit [Bath Ankylosing Spondylitis Functional Index, BASFI] och patientens globala bedömning av sjukdomsaktivitet [Patient’s Global Assessment of Disease Activity, PGADA]) förbättrades med bimekizumabbehandling och bidrog till den övergripande ASAS 40-responsen vid vecka 16, och dessa förbättringar bibehölls upp till vecka 52 i båda patientpopulationerna.
Förbättringar avseende övriga effektmått visas i tabell 10.
Tabell 10: Övriga effektmått i studierna BE MOBILE 1 och BE MOBILE 2
BASMI = Bath Ankylosing Spondylitis Metrology Index. Hs-CRP = högkänsligt C-reaktivt protein
MI används.
* p < 0,001 referensbaserad imputation, jämfört med placebo, justerat för multiplicitet. ** p < 0,01 referensbaserad imputation, jämfört med placebo, justerat för multiplicitet.
Bimekizumab var förknippat med en snabbt insättande effekt hos både nr-axSpA- och AS-patientpopulationen.
Behandlingsresponsen hos bimekizumabbehandlade patienter för ASAS 40 var större än hos de som stod på placebo så tidigt som vecka 1 i studien BE MOBILE 1 (16,4 % jämfört med 1,6 %, nominellt p < 0,001) och vecka 2 i studien BE MOBILE 2 (16,7 % jämfört med 7,2 %, nominellt p = 0,019).
Bimekizumab var även förknippat med en snabb minskning av systemisk inflammation mätt med hs-CRP-nivåer så tidigt som vecka 2 i både nr-axSpA- och AS-patientpopulationen, med nominella p-värden < 0,001 i båda studierna.
Figur 7: ASAS 40-respons över tid upp till vecka 52 i studien BE MOBILE 1 (NRI)
Patienter som stod på placebo bytte till bimekizumab 160 mg Q4W vid vecka 16.
Figur 8: ASAS 40-respons över tid upp till vecka 52 i studien BE MOBILE 2 (NRI)
Patienter som stod på placebo bytte till bimekizumab 160 mg Q4W vid vecka 16.
I en integrerad analys av BE MOBILE 1 och BE MOBILE 2 bibehöll 82,1 % av de bimekizumabbehandlade patienterna som uppnådde en ASAS 40-respons vid vecka 16 denna respons vid vecka 52.
Effekten av bimekizumab påvisades oavsett ålder, kön, etnicitet, sjukdomsvaraktighet, inflammationsstatus vid baslinjen, ASDAS vid baslinjen och samtidig användning av cDMARD.
Patienternas ASAS 40-respons var liknande oavsett tidigare exponering för TNFα-hämmare.
Bland patienter med entesit vid baslinjen var andelen patienter (NRI) med utläkt entesit vid vecka 16 bedömt enligt Maastricht-index för entesit vid ankyloserande spondylit (Maastricht Ankylosing Spondylitis Enthesitis, MASES) större med bimekizumab jämfört med placebo (BE MOBILE 1: 51,1 % jämfört med 23,9 % och BE MOBILE 2: 51,5 % jämfört med 32,8 %). Utläkningen av entesit med bimekizumab bibehölls upp till vecka 52 i båda studierna (BE MOBILE 1: 54,3 % och BE MOBILE 2: 50,8 %).
Minskning av inflammation
Bimekizumab gav minskad inflammation mätt med hs-CRP (se tabell 10) och bedömt genom MRI i en imagingdelstudie. Tecken på inflammation bedömdes genom MRI vid baslinjen och vid vecka 16, uttryckt som förändring från baslinjen enligt Spondyloarthritis Research Consortium of Canada (SPARCC) i poäng för sakroiliakaleder och enligt MRI-aktivitet i ryggraden vid ankyloserande spondylit (Ankylosing Spondylitis spine Magnetic Resonance Imagine-activity [ASspiMRI-a] poäng enligt Berlin-ändringen) i poäng för ryggraden. Minskning av inflammatoriska tecken i både sakroiliakaleder och ryggrad observerades hos patienter som behandlades med bimekizumab jämfört med placebo (se tabell 11). Minskning av inflammation mätt med hs-CRP och bedömt genom MRI bibehölls till vecka 52.
Tabell 11: Minskning av inflammation bedömt genom MRI i studierna BE MOBILE 1 och BE MOBILE 2
Värdena för förändring från baslinjen är baserade på observerade fall bedömt genom central avläsning av datauppsättningen för vecka 52.
Fysisk funktion och andra hälsorelaterade utfall
Patienter behandlade med bimekizumab visade signifikant förbättring från baslinjen i fysisk funktion utvärderat med BASFI jämfört med placebo (LS-medelvärde för förändring från baslinjen vid vecka 16 i BE MOBILE 1: -2,4 jämfört med -0,9, p < 0,001 och i BE MOBILE 2: -2.0 jämfört med ‑1,0, p < 0,001). Patienter behandlade med bimekizumab rapporterade signifikant förbättring från baslinjen jämfört med placebobehandlade patienter i den sammanfattade fysiska delen av hälsoenkäten Short Form‑36 (Short Form-36 item Health Survey Physical Component Summary, SF-36 PCS) (LS-medelvärde för förändring från baslinjen vid vecka 16 i BE MOBILE 1: 9,3 poäng jämfört med 5,4 poäng, p < 0,001 och i BE MOBILE 2: 8,5 poäng jämfört med 5,2 poäng, p <0,001).
Patienter behandlade med bimekizumab rapporterade signifikant förbättring från baslinjen i hälsorelaterad livskvalitet mätt med ett frågeformulär om livskvalitet vid AS (AS Quality of Life Questionnaire, ASQoL) jämfört med placebo (LS-medelvärde för förändring från baslinjen vid vecka 16 i BE MOBILE 1: -4,9 jämfört med -2,3, p < 0,001 och i BE MOBILE 2: -4,6 jämfört med ‑3,0, p < 0,001) liksom en signifikant minskning från baslinjen i fatigue mätt med Functional Assessment of Chronic Illness Therapy [FACIT]-Fatigue score (genomsnittlig förändring från baslinjen vid vecka 16 i BE MOBILE 1: 8,5 för bimekizumab jämfört med 3,9 för placebo och i BE MOBILE 2: 8,4 för bimekizumab jämfört med 5,0 för placebo).
Förbättringar som uppnåtts vid vecka 16 i alla mått för fysisk funktion och andra hälsorelaterade utfall enligt ovan (BASFI, SF-36 PCS, ASQoL och FACIT-Fatigue) bibehölls upp till vecka 52 i båda studierna.
Extraartikulär manifestation
I sammanslagna data från BE MOBILE 1 (nr-axSpA) och BE MOBILE 2 (AS) var vid vecka 16 andelen patienter som utvecklade en uveithändelse lägre med bimekizumab (0,6 %) jämfört med placebo (4,6 %). Incidensen av uveit förblev låg vid långvarig behandling med bimekizumab (1,2/100 patientår i de sammanslagna fas II/III-studierna).
Hidradenitis suppurativa
Säkerhet och effekt av bimekizumab utvärderades hos 1 014 vuxna patienter (minst 18 år) med måttlig till svår hidradenitis suppurativa (HS) i två fas III randomiserade, dubbelblinda, placebokontrollerade multicenterstudier (HS0003 – BE HEARD I och HS0004 – BE HEARD II). Patienter hade diagnosticerats med HS sedan minst 6 månader med sjukdomsstadium Hurley grad II eller Hurley grad III och med ≥ 5 inflammatoriska lesioner (d.v.s. antal abscesser plus antal inflammatoriska noduli) och som tidigare svarat otillräckligt på systemisk antibiotikabehandling för HS.
I båda studierna randomiserades patienterna (2:2:2:1) till att få bimekizumab 320 mg varannan vecka i 48 veckor (320 mg Q2W/Q2W) eller bimekizumab 320 mg var 4:e vecka i 48 veckor (320 mg Q4W/Q4W) eller bimekizumab 320 mg varannan vecka fram till vecka 16 följt av 320 mg var 4:e vecka fram t.o.m. vecka 48 (320 mg Q2W/Q4W) eller placebo fram till vecka 16 följt av bimekizumab 320 mg varannan vecka fram t.o.m. vecka 48. Samtidig användning av oralt antibiotikum var tillåtet ifall patienten var på en stabil dosregim av doxycyklin, minocyklin eller en likvärdig systemisk tetracyklin i 28 dagar före baslinjen.
Det primära effektmåttet i båda studierna var Hidradenitis Suppurativa Clinical Response 50 (HiSCR50) vid vecka 16, d.v.s. minst 50 % reduktion av totalt antal abscesser och inflammatoriska noduli utan någon ökning av antal abscesser eller vätskande fistlar i förhållande till baslinjen.
Karakteristika vid baslinjen var konsekventa i båda studierna och motsvarade en population med måttlig till svår HS. Patienterna hade en sjukdomsduration på i median 5,3 år (medelvärde 8,0 år). Andelen patienter med Hurley grad II och Hurley grad III var 55,7 % (50,3 % i HS0003 och 61,1 % i HS0004) respektive 44,3 % (49,7 % i HS0003 och 38,9 % i HS0004), och 8,5 % fick samtidigt antibiotikabehandling för HS. Medelvärdet för total Dermatology Life Quality Index (DLQI) vid baslinjen var 11,4. 56,8 % av patienterna var kvinnor och medelåldern av alla patienterna var 36,6 år. 79,7 % av patienterna var vita och 10,8 % var svarta eller afroamerikaner. 45,6 % av patienterna var nuvarande rökare.
Klinisk respons
Behandling med bimekizumab resulterade i klinisk relevant förbättring av sjukdomsaktivitet jämfört med placebo vid vecka 16. Huvudresultaten avseende effekt visas i tabell 12 och 13. Resultaten i tabell 12 återspeglar den fördefinierade primära analysen där all systemisk antibiotikaanvändning före vecka 16 resulterade i imputation av icke-respons. I tabell 13 resulterade endast systemisk antibiotikaanvändning som av prövaren ansågs som rescue-behandling för HS i imputation av icke-respons.
Tabell 12: Respons i BE HEARD I och BE HEARD II vid vecka 16 - primär analysa
a) Patienter som behandlas systemiskt med antibiotika av någon anledning eller som avbryter behandlingen på grund av biverkningar eller bristande effekt behandlas som icke-svarande vid alla efterföljande besök för svarsvariabler (eller är föremål för multipel imputation för kontinuerliga variabler). Andra saknade data imputerades via multipel imputation.
b) Respons på hudsmärta, baserad på tröskelvärde för kliniskt betydelsefull förändring hos patienten (definierad som en minskning på minst 3 poäng från baslinjen i Hidradenitis Suppurativa Symptom Daily Diary (HSSDD) vid veckovis angivna poäng för värsta hudsmärta) vid vecka 16 hos studiedeltagare med en poäng på ≥ 3 vid baslinjen. För BE HEARD I: N = 46 för placebo, N = 103 för BKZ Q4W och N = 190 för BKZ Q2W; BE HEARD II: N = 49 för placebo, N = 108 för BKZ Q4W och N = 209 för BKZ Q2W.
*p < 0,025 jämfört med placebo, justerad för multiplicitet.
Tabell 13: Respons i BE HEARD I och BE HEARD II vid vecka 16 - stödjande analysa
a) Post-hoc-analys (modified nonresponder imputation [mNRI]): Patienter som behandlas systemiskt med antibiotika som rescue-medicinering för HS som definierats av prövaren eller som avbrutit behandlingen på grund av biverkningar eller bristande effekt behandlas som icke-svarande vid alla efterföljande besök för svarsvariabler (eller är föremål för multipel imputation för kontinuerliga variabler). Andra saknade data imputerades via multipel imputation.
b) Respons på hudsmärta, baserad på tröskelvärde för kliniskt betydelsefull förändring hos patienten (definierad som en minskning på minst 3 poäng från baslinjen i Hidradenitis Suppurativa Symptom Daily Diary (HSSDD) vid veckovis angivna poäng för värsta hudsmärta) vid vecka 16 hos studiedeltagare med en poäng på ≥ 3 vid baslinjen. För BE HEARD I: N = 46 för placebo, N = 103 för BKZ Q4W och N = 190 för BKZ Q2W; BE HEARD II: N = 49 för placebo, N = 108 för BKZ Q4W och N = 209 för BKZ Q2W.
I båda studierna började effekten av bimekizumab synas så tidigt som vecka 2.
Effekten av bimekizumab påvisades oavsett tidigare biologiska behandlingar samt systemisk antibiotikabehandling vid baslinjen.
Klinisk respons bibehölls upp t.o.m. vecka 48 i båda studierna (se tabell 14).
Tabell 14: Respons i BE HEARD I och BE HEARD II vid vecka 48 (mNRI*)
*mNRI (modified non-responder imputation): Patienter som behandlas systemiskt med antibiotika som rescue-medicinering för HS som definierats av prövaren eller som avbrutit behandlingen på grund av biverkningar eller bristande effekt behandlas som icke-svarande vid alla efterföljande besök för svarsvariabler (eller är föremål för multipel imputation för kontinuerliga variabler). Andra saknade data imputerades via multipel imputation. Denna exploratoriska analys för att hantera saknade data utfördes post-hoc.
Hälsorelaterad livskvalitet
I båda studierna upplevde patienter som behandlades med bimekizumab en större betydelsefull förbättring i deras hälsorelaterade livskvalitet jämfört med placebo, mätt med standardformuläret DLQI som är hudspecifikt (tabell 15).
Tabell 15: Hälsorelaterad livskvalitet i BE HEARD I och BE HEARD II vid vecka 16
DLQI-totalpoäng varierar från 0 till 30 där högre poäng indikerar lägre HRQoL.
Patienter som behandlas systemiskt med antibiotika som rescue-medicinering för HS som definierats av prövaren eller som avbrutit behandlingen på grund av biverkningar eller bristande effekt är föremål för multipel imputation. Andra saknade data imputerades via multipel imputation.
a) cfb: förändring från baslinjen.
Den förbättring som uppnåddes vid vecka 16 i hälsorelaterade livskvalitetmätningar med bimekizumab bibehölls till och med vecka 48.
Pediatrisk population
Europeiska läkemedelsmyndigheten har senarelagt kravet att skicka in studieresultat för Bimzelx för en eller flera grupper av den pediatriska populationen för behandling av psoriasis, kronisk idiopatisk artrit och hidradenitis suppurativa (information om pediatrisk användning finns i avsnitt 4.2).
De farmakokinetiska egenskaperna hos bimekizumab var liknande hos patienter med plackpsoriasis, psoriasisartrit och axial spondylartrit (nr-axSpA och AS).
Baserat på populationsfarmakokinetiska analyser och med en referenskroppsvikt på 90 kg uppskattades skenbart clearance respektive distributionsvolym för bimekizumab hos patienter med hidradenitis suppurativa vara ungefär 31 % och 18 % högre än för ovannämnda indikationer, med en uppskattad halveringstid vid HS på 20 dagar. Följaktligen var medianvärdet för dalkoncentrationen vid steady state vid en dos på 320 mg var 4:e vecka uppskattningsvis 40 % lägre vid HS jämfört med andra indikationer.
Absorption
Medianvärdet (2,5-percentilen och 97,5-percentilen) för högsta plasmakoncentration på 25 (12–50) μg/ml av bimekizumab uppnåddes i populationsfarmakokinetisk analys mellan 3 och 4 dagar efter en subkutan singeldos på 320 mg hos patienter med plackpsoriasis.
Populationsfarmakokinetisk analys visade en genomsnittlig absolut biotillgänglighet för bimekizumab på 70,1 % hos friska frivilliga individer.
Baserat på simulerade data är medianvärdet (2,5-percentilen och 97,5-percentilen) för topp- och dalkoncentrationen vid steady state efter subkutan administrering av 320 mg var 4:e vecka 43 (20–91) μg/ml respektive 20 (7–50) μg/ml och steady state uppnås efter cirka 16 veckor med dosering var 4:e vecka. Jämfört med exponeringen efter en singeldos visade den populationsfarmakokinetiska analysen att patienterna uppvisade en 1,74-faldig ökning av maximala plasmakoncentrationer och yta under kurvan (AUC) efter upprepad dosering var 4:e vecka.
Efter doseringsbyte från 320 mg var 4:e vecka till 320 mg var 8:e vecka vid vecka 16, uppnås steady state ungefär 16 veckor efter bytet. Medianvärdet (2,5-percentilen och 97,5-percentilen) för topp- och dalkoncentrationen i plasma är 30 (14–60) μg/ml respektive 5 (1–16) μg/ml.
Distribution
I populationsfarmakokinetiska analyser var medianen (variationskoefficient, %) för distributionsvolymen (V/F) vid steady state 11,2 (30,5 %) liter hos patienter med plackpsoriasis.
Metabolism
Bimekizumab är en monoklonal antikropp och förväntas brytas ned till små peptider och aminosyror genom katabola processer på samma sätt som endogena immunglobuliner.
Eliminering
I populationsfarmakokinetiska analyser var medianvärdet (variationskoefficient, %) för skenbart clearance (CL/F) för bimekizumab 0,337 l/dag (32,7 %) och den genomsnittliga terminala halveringstiden för bimekizumab var 23 dagar i kliniska studier på patienter med plackpsoriasis.
Linjäritet/icke-linjäritet
Bimekizumab uppvisade dosproportionell farmakokinetik hos patienter med plackpsoriasis för dosintervallet 64 mg till 480 mg efter flera subkutana administreringar, där skenbart clearance (CL/F) var oberoende av dos.
Farmakokinetiskt/farmakodynamiskt förhållande
En populationsfarmakokinetisk/-farmakodynamisk modell som inkluderade alla tillgängliga data för patienter med måttlig till svår plackpsoriasis utvecklades. Analysen visade att högre koncentrationer av bimekizumab är relaterade till bättre PASI- och IGA-respons. En dos på 320 mg var 4:e vecka visade sig vara en lämplig dos för den initiala behandlingsperioden och 320 mg var 8:e vecka därefter är en lämplig dos för underhållsperioden för majoriteten av patienter med måttlig till svår plackpsoriasis (se Särskilda populationer, kroppsvikt).
Särskilda populationer
Kroppsvikt
Populationsfarmakokinetisk modellering indikerade att exponeringen minskade vid ökad kroppsvikt. Genomsnittlig plasmakoncentration hos vuxna patienter med en kroppsvikt ≥ 120 kg efter en subkutan injektion på 320 mg förutsågs vara minst 30 % lägre än hos vuxna patienter med en kroppsvikt på 90 kg. Dosjustering kan vara lämplig för vissa patienter (se avsnitt 4.2).
Äldre
I populationsfarmakokinetisk analys med ett begränsat antal äldre patienter (n = 355 i åldern ≥ 65 år och n = 47 i åldern ≥ 75 år) var skenbart clearance (CL/F) hos äldre patienter och patienter yngre än 65 år likartad. Ingen dosjustering krävs (se avsnitt 4.2).
Nedsatt njur- eller leverfunktion
Inga specifika studier har genomförts för att fastställa effekten av nedsatt njur- eller leverfunktion på farmakokinetiken för bimekizumab. Renal eliminering av intakt bimekizumab, en monoklonal IgG-antikropp, förväntas vara låg och av mindre betydelse. På samma sätt förväntas inte nedsatt leverfunktion påverka clearance av bimekizumab eftersom IgG-antikroppar huvudsakligen elimineras via intracellulär katabolism. Baserat på populationsfarmakokinetiska analyser hade leverfunktionsmarkörer (ALAT/bilirubin) ingen påverkan på bimekizumabs clearance hos patienter med plackpsoriasis.
Etnicitet
Inga kliniskt betydelsefulla skillnader i exponeringen av bimekizumab observerades hos japanska eller kinesiska patienter jämfört med kaukasiska patienter i en klinisk famakokinetisk studie. Ingen dosjustering krävs.
Kön
Populationsfarmakokinetisk modellering antydde att kvinnor kan ha 10 % snabbare skenbart clearance (CL/F) jämfört med män men den är inte kliniskt betydelsefull. Ingen dosjustering krävs.
Icke-kliniska data visade inte några särskilda risker för människa baserat på studier avseende vävnadskorsreaktivitet, toxicitet vid upprepad dosering (inkluderar effektmått för säkerhetsfarmakologi och bedömning av fertilitetsrelaterade effektmått) och utvärdering av pre- och postnatal utveckling hos cynomolgusapor.
Hos cynomolgusapor var bimekizumabrelaterade effekter begränsade till mukokutana förändringar i enlighet med farmakologisk modulering av kommensal mikroflora.
Det har inte utförts några mutagenicitets- eller karcinogenitetsstudier med bimekizumab. Monoklonala antikroppar förväntas inte skada DNA eller kromosomer. I en 26 veckor lång kronisk toxikologistudie hos cynomolgusapor vid en dos som resulterade i 109 gånger högre exponering än hos människor som får 320 mg var 4:e vecka observerades inga preneoplastiska eller neoplastiska lesioner.
I en peri- och postnatal utvecklingsstudie hos cynomolgusapa visade bimekizumab inga effekter på dräktighet, förlossning, apungars överlevnad, foster- och postnatal utveckling vid administrering under hela organogenesen fram till förlossningen vid en dos som resulterade i 27 gånger högre exponering än hos människor som får 320 mg var 4:e vecka baserat på AUC. Koncentrationen av bimekizumab i serum hos apungar var vid födseln jämförbara med dem hos mödrarna.
Den förfyllda sprutan kan förvaras vid rumstemperatur (upp till 25 °C) under en enstaka period på högst 25 dagar i skydd mot ljus. När läkemedlet har tagits ut ur kylskåpet och förvarats under dessa förhållanden ska det kasseras efter 25 dagar eller vid utgångsdatumet som finns tryckt på förpackningen, beroende på vilket som kommer först. Det finns ett fält på kartongen för att anteckna det datum då den togs ut ur kylskåpet.
Bimzelx 320 mg injektionsvätska, lösning i förfylld spruta
Förvaras i kylskåp (2 °C–8 °C).
Får ej frysas.
Förvara den förfyllda sprutan i ytterkartongen. Ljuskänsligt.
Den förfyllda sprutan kan förvaras vid rumstemperatur (upp till 25 °C) under en enstaka period på högst 25 dagar i skydd mot ljus. När läkemedlet har tagits ut ur kylskåpet och förvarats under dessa förhållanden ska det kasseras efter 25 dagar eller vid utgångsdatumet som finns tryckt på förpackningen, beroende på vilket som kommer först. Det finns ett fält på kartongen för att anteckna det datum då den togs ut ur kylskåpet.
Bimzelx 160 mg injektionsvätska, lösning i förfylld injektionspenna
Förvaras i kylskåp (2 °C–8 °C).
Får ej frysas.
Förvara den förfyllda injektionspennan i ytterkartongen. Ljuskänsligt.
Den förfyllda injektionspennan kan förvaras vid rumstemperatur (upp till 25 °C) under en enstaka period på högst 25 dagar i skydd mot ljus. När läkemedlet har tagits ut ur kylskåpet och förvarats under dessa förhållanden ska det kasseras efter 25 dagar eller vid utgångsdatumet som finns tryckt på förpackningen, beroende på vilket som kommer först. Det finns ett fält på kartongen för att anteckna det datum då den togs ut ur kylskåpet.
Bimzelx 320 mg injektionsvätska, lösning i förfylld injektionspenna
Förvaras i kylskåp (2 °C–8 °C).
Får ej frysas.
Förvara den förfyllda injektionspennan i ytterkartongen. Ljuskänsligt.
Den förfyllda injektionspennan kan förvaras vid rumstemperatur (upp till 25 °C) under en enstaka period på högst 25 dagar i skydd mot ljus. När läkemedlet har tagits ut ur kylskåpet och förvarats under dessa förhållanden ska det kasseras efter 25 dagar eller vid utgångsdatumet som finns tryckt på förpackningen, beroende på vilket som kommer först. Det finns ett fält på kartongen för att anteckna det datum då den togs ut ur kylskåpet.
Bimzelx 160 mg injektionsvätska, lösning i förfylld spruta
1 ml förfylld spruta (typ I-glas) med en fluoropolymerlaminerad gummipropp av brombutyl, fastsatt 27G, ½″ tunnväggig nål och styvt nålskydd av polypropen monterat i en passiv säkerhetsanordning.
Förpackning med 1 förfylld spruta.
Förpackning med 2 förfyllda sprutor.
Multipelförpackning som innehåller 3 (3 förpackningar om 1) förfyllda sprutor.
Multipelförpackning som innehåller 4 (2 förpackningar om 2) förfyllda sprutor.
Eventuellt kommer inte alla förpackningsstorlekar att marknadsföras.
Bimzelx 160 mg injektionsvätska, lösning i förfylld injektionspenna
1 ml förfylld injektionspenna innehållande en förfylld spruta (typ I-glas) med en fluoropolymerlaminerad gummipropp av brombutyl, fastsatt 27G, ½″ tunnväggig nål och styvt nålskydd av polypropen.
Förpackning med 1 förfylld injektionspenna.
Förpackning med 2 förfyllda injektionspennor.
Multipelförpackning som innehåller 3 (3 förpackningar om 1) förfyllda injektionspennor.
Multipelförpackning som innehåller 4 (2 förpackningar om 2) förfyllda injektionspennor.
Eventuellt kommer inte alla förpackningsstorlekar att marknadsföras.
Ej använt läkemedel och avfall ska kasseras enligt gällande anvisningar.
Glycin
Natriumacetattrihydrat
Koncentrerad ättiksyra
Polysorbat 80
Vatten för injektionsvätskor
Då blandbarhetsstudier saknas får detta läkemedel inte blandas med andra läkemedel.
3 år
Bimzelx 160 mg injektionsvätska, lösning i förfylld spruta
Förvaras i kylskåp (2 °C–8 °C).
Får ej frysas.
Förvara den förfyllda sprutan i ytterkartongen. Ljuskänsligt.
Den förfyllda sprutan kan förvaras vid rumstemperatur (upp till 25 °C) under en enstaka period på högst 25 dagar i skydd mot ljus. När läkemedlet har tagits ut ur kylskåpet och förvarats under dessa förhållanden ska det kasseras efter 25 dagar eller vid utgångsdatumet som finns tryckt på förpackningen, beroende på vilket som kommer först. Det finns ett fält på kartongen för att anteckna det datum då den togs ut ur kylskåpet.
Bimzelx 320 mg injektionsvätska, lösning i förfylld spruta
Förvaras i kylskåp (2 °C–8 °C).
Får ej frysas.
Förvara den förfyllda sprutan i ytterkartongen. Ljuskänsligt.
Den förfyllda sprutan kan förvaras vid rumstemperatur (upp till 25 °C) under en enstaka period på högst 25 dagar i skydd mot ljus. När läkemedlet har tagits ut ur kylskåpet och förvarats under dessa förhållanden ska det kasseras efter 25 dagar eller vid utgångsdatumet som finns tryckt på förpackningen, beroende på vilket som kommer först. Det finns ett fält på kartongen för att anteckna det datum då den togs ut ur kylskåpet.
Bimzelx 160 mg injektionsvätska, lösning i förfylld injektionspenna
Förvaras i kylskåp (2 °C–8 °C).
Får ej frysas.
Förvara den förfyllda injektionspennan i ytterkartongen. Ljuskänsligt.
Den förfyllda injektionspennan kan förvaras vid rumstemperatur (upp till 25 °C) under en enstaka period på högst 25 dagar i skydd mot ljus. När läkemedlet har tagits ut ur kylskåpet och förvarats under dessa förhållanden ska det kasseras efter 25 dagar eller vid utgångsdatumet som finns tryckt på förpackningen, beroende på vilket som kommer först. Det finns ett fält på kartongen för att anteckna det datum då den togs ut ur kylskåpet.
Bimzelx 320 mg injektionsvätska, lösning i förfylld injektionspenna
Förvaras i kylskåp (2 °C–8 °C).
Får ej frysas.
Förvara den förfyllda injektionspennan i ytterkartongen. Ljuskänsligt.
Den förfyllda injektionspennan kan förvaras vid rumstemperatur (upp till 25 °C) under en enstaka period på högst 25 dagar i skydd mot ljus. När läkemedlet har tagits ut ur kylskåpet och förvarats under dessa förhållanden ska det kasseras efter 25 dagar eller vid utgångsdatumet som finns tryckt på förpackningen, beroende på vilket som kommer först. Det finns ett fält på kartongen för att anteckna det datum då den togs ut ur kylskåpet.
Bimzelx 160 mg injektionsvätska, lösning i förfylld spruta
1 ml förfylld spruta (typ I-glas) med en fluoropolymerlaminerad gummipropp av brombutyl, fastsatt 27G, ½″ tunnväggig nål och styvt nålskydd av polypropen monterat i en passiv säkerhetsanordning.
Förpackning med 1 förfylld spruta.
Förpackning med 2 förfyllda sprutor.
Multipelförpackning som innehåller 3 (3 förpackningar om 1) förfyllda sprutor.
Multipelförpackning som innehåller 4 (2 förpackningar om 2) förfyllda sprutor.
Eventuellt kommer inte alla förpackningsstorlekar att marknadsföras.
Bimzelx 160 mg injektionsvätska, lösning i förfylld injektionspenna
1 ml förfylld injektionspenna innehållande en förfylld spruta (typ I-glas) med en fluoropolymerlaminerad gummipropp av brombutyl, fastsatt 27G, ½″ tunnväggig nål och styvt nålskydd av polypropen.
Förpackning med 1 förfylld injektionspenna.
Förpackning med 2 förfyllda injektionspennor.
Multipelförpackning som innehåller 3 (3 förpackningar om 1) förfyllda injektionspennor.
Multipelförpackning som innehåller 4 (2 förpackningar om 2) förfyllda injektionspennor.
Eventuellt kommer inte alla förpackningsstorlekar att marknadsföras.
Ej använt läkemedel och avfall ska kasseras enligt gällande anvisningar.
Bimzelx 320 mg injektionsvätska, lösning i förfylld injektionspenna
EU/1/21/1575/011
EU/1/21/1575/012
Bimzelx 160 mg injektionsvätska, lösning i förfylld spruta
EU/1/21/1575/001
EU/1/21/1575/002
EU/1/21/1575/003
EU/1/21/1575/004
Bimzelx 320 mg injektionsvätska, lösning i förfylld spruta
EU/1/21/1575/009
EU/1/21/1575/010
Bimzelx 160 mg injektionsvätska, lösning i förfylld injektionspenna
EU/1/21/1575/005
EU/1/21/1575/006
EU/1/21/1575/007
EU/1/21/1575/008
Bimzelx 320 mg injektionsvätska, lösning i förfylld injektionspenna
EU/1/21/1575/011
EU/1/21/1575/012
Produktresumén är företagets information om läkemedlet riktat till förskrivare och personal inom sjukvård och apotek. Dokumentet är godkänt av Läkemedelsverket eller den europeiska läkemedelsmyndigheten EMA i samband med att läkemedlet godkänns för marknadsföring.