Afqlir 40 mg/ml injektionsvätska, lösning i förfylld spruta
1 ml injektionsvätska, lösning innehåller 40 mg aflibercept*.
Varje förfylld spruta innehåller 6,6 mg aflibercept i en lösning om 0,165 ml. Denna mängd räcker till en enkeldos på 0,05 ml innehållande 2 mg aflibercept.
*Fusionsprotein som består av delar av extracellulära domäner av human VEGF (vaskulär endotel tillväxtfaktor)‑receptorer 1 och 2 kopplade till Fc‑delen av humant IgG1 och som framställs i ovarialceller från kinesisk hamster (CHO‑K1) med rekombinant DNA‑teknologi.
Hjälpämne med känd effekt
Varje levererad dos på 0,05 ml innehåller 0,02 mg polysorbat 20 (E 432).
För fullständig förteckning över hjälpämnen, se avsnitt 6.1.
Injektionsvätska, lösning (injektion)
Klar, färglös till lätt brunaktig, gul, isoosmotisk lösning
Sandoz GmbH
Biochemiestr. 10
6250 Kundl
Österrike
EU/1/24/1867/001
Första godkännandet: 13 november 2024
18-07-2025. Ytterligare information om detta läkemedel finns på Europeiska läkemedelsmyndighetens webbplats https://www.ema.europa.eu.
Den rekommenderade dosen Afqlir är 2 mg aflibercept, motsvarande 0,05 ml.
Behandling med Afqlir påbörjas med en injektion per månad, tre doser i rad. Behandlingsintervallet utökas därefter till två månader.
Baserat på läkarens bedömning av synskärpa och/eller anatomiska resultat kan behandlingsintervallet kvarstå på två månader eller förlängas ytterligare med hjälp av en ”treat‑and‑extend”‑modell varvid injektionsintervallen förlängs med 2 eller 4 veckor i taget för att bibehålla stabil synskärpa och/eller anatomiskt resultat. Om synskärpa och/eller anatomiska resultat försämras ska behandlingsintervallet förkortas i motsvarande grad.
Det finns inga krav på kontroller mellan injektionerna. Baserat på läkarens bedömning kan de planerade kontrollbesöken vara fler än antalet planerade injektionstillfällen.
Behandlingsintervall på mer än fyra månader eller mindre än 4 veckor mellan injektionerna har inte studerats (se avsnitt 5.1).
Makulaödem sekundärt till RVO (grenvensocklusion eller centralvensocklusion)
Den rekommenderade dosen Afqlir är 2 mg aflibercept, motsvarande 0,05 ml.
Efter den första injektionen ska behandlingen ges en gång per månad. Intervallet mellan två doser bör inte vara kortare än en månad.
Om synskärpa och anatomiska resultat visar att patienten inte svarar på fortsatt behandling bör behandling med Afqlir avbrytas.
Behandlingen ges fortlöpande en gång i månaden tills maximal synskärpa har uppnåtts och/eller det inte finns några tecken på sjukdomsaktivitet. Tre eller flera på varandra följande månatliga injektioner kan behövas.
Behandlingen kan fortsätta enligt behandlingsmodellen ”treat‑and‑extend”, d.v.s. gradvis förlängda behandlingsintervall för att bibehålla stabil synskärpa och/eller anatomiskt utfall. Det finns dock inte tillräckligt med data för att kunna dra slutsatser om längden på dessa intervaller. Om synskärpa och/eller anatomiska resultat försämras ska behandlingsintervallet förkortas.
Kontroll‑ och behandlingsschemat ska bestämmas av behandlande läkare baserat på patientens individuella respons.
Kontroller avseende sjukdomsaktivitet kan omfatta klinisk undersökning, funktionstestning eller bilddiagnostik (t.ex. optisk koherenstomografi eller fluoresceinangiografi).
Diabetiska makulaödem
Den rekommenderade dosen Afqlir är 2 mg aflibercept, motsvarande 0,05 ml.
Behandling med Afqlir påbörjas med en injektion per månad fem doser i rad, följt av en injektion varannan månad.
Baserat på läkarens bedömning av synskärpa och/eller anatomiska resultat, kan behandlingsintervallet bibehållas vid 2 månader eller individualiseras, t.ex. med en ”treat‑and‑extend”‑modell, varvid behandlingsintervallerna vanligen utökas med 2 veckor i taget för att bibehålla stabil synskärpa och/eller anatomiska resultat. Det finns begränsat med data för behandlingsintervall på längre än 4 månader. Om synskärpa och/eller anatomiska resultat försämras, ska behandlingsintervallet förkortas. Behandlingsintervall på mindre än 4 veckor mellan injektionerna har inte studerats (se avsnitt 5.1).
Hur ofta kontrollbesöken ska ske ska beslutas av behandlande läkare.
Om synskärpa och anatomiska resultat visar att patienten inte gynnas av fortsatt behandling bör behandling med Afqlir avbrytas.
Myopisk koroidal neovaskularisering
Den rekommenderade dosen Afqlir är en intravitreal engångsinjektion av 2 mg aflibercept, motsvarande 0,05 ml.
Upprepade doser kan administreras om synskärpa och/eller anatomiska undersökningar visar att sjukdomen kvarstår. Recidiv bör behandlas som nya manifestationer av sjukdomen.
Behandlande läkare bestämmer hur ofta kontrollbesöken ska ske.
Intervallet mellan två doser bör inte vara kortare än en månad.
Speciella populationer
Nedsatt lever‑ och/eller njurfunktion
Inga specifika studier hos patienter med nedsatt lever‑ och/eller njurfunktion har utförts med aflibercept.
Tillgängliga data tyder inte på något behov av dosjustering av aflibercept hos dessa patienter (se avsnitt 5.2).
Äldre
Ingen särskild hänsyn krävs. Det finns begränsad erfarenhet hos patienter med DME som är äldre än 75 år.
Pediatrisk population
Säkerhet och effekt för Afqlir hos barn och ungdomar under 18 år har inte fastställts. Det finns ingen relevant användning av afliberceptför en pediatrisk population för indikationerna våt AMD, CRVO, BRVO, DME och myopisk CNV.
Administreringssätt
Intravitreala injektioner måste utföras i enlighet med medicinska standarder och tillämpliga riktlinjer av en kvalificerad läkare med erfarenhet av administrering av intravitreala injektioner. I allmänhet måste man försäkra sig om adekvat bedövning och aseptiska förhållanden, inklusive lokal bredspektrummikrobicid (t.ex. applicering av povidonjodid på periokulär hud, ögonlock och okulär yta). Kirurgisk handdesinfektion, sterila handskar, en steril duk och ett sterilt ögonlocksspekulum (eller motsvarande) rekommenderas.
Omedelbart efter den intravitreala injektionen ska patienten kontrolleras för ökning av det intraokulära trycket. Lämplig metod kan bestå av en kontroll av perfusion av synnerven eller tonometri. Vid behov ska steril utrustning för paracentes finnas tillgänglig.
Efter intravitreal injektion ska patienter instrueras att omedelbart rapportera alla symtom som tyder på endoftalmit (t.ex. ögonsmärta, ögonrodnad, fotofobi, dimsyn).
Varje förfylld spruta får bara användas för behandling av ett öga. Administrering av multipla doser från en förfylld spruta kan öka risken för kontaminering och efterföljande infektion.
Den förfyllda sprutan innehåller mer än den rekommenderade dosen på 2 mg aflibercept (motsvarande 0,05 ml injektionsvätska). Varje förfylld spruta med Afqlir innehåller en volym på 0,165 ml och den ska inte användas i sin helhet. Överskottsvolymen måste tömmas ut före injektion av den rekommenderade dosen (se avsnitt 6.6).
Injicering av hela mängden vätska i den förfyllda sprutan kan resultera i överdosering. För att avlägsna luftbubblor ur sprutan och samtidigt tömma sprutan på överflödigt läkemedel, tryck långsamt ned kolven så att basen på kolvens välvda del (inte toppen på den välvda delen) kommer i nivå med doseringslinjen på sprutan (vilket motsvarar 0,05 ml, d.v.s. 2 mg aflibercept) (se avsnitt 4.9 och 6.6).
Injektionsnålen bör föras in 3,5‑4,0 mm posteriort om limbus in i glaskroppsrummet samtidigt som man undviker den horisontella meridianen och riktar nålen mot ögonglobens centrum. Injektionsmängden på 0,05 ml injiceras därefter. Ett annat skleralt område bör användas vid efterföljande injektioner.
Efter injektion ska all oanvänd produkt kasseras.
Anvisningar om hantering av läkemedlet före administrering finns i avsnitt 6.6.
Överkänslighet mot den aktiva substansen aflibercept eller mot något hjälpämne som anges i avsnitt 6.1.
Aktiv eller misstänkt okulär eller periokulär infektion.
Aktiv allvarlig intraokulär inflammation.
Spårbarhet
För att underlätta spårbarhet av biologiska läkemedel ska läkemedlets namn och tillverkningssatsnummer dokumenteras.
Intravitreala injektionsrelaterade reaktioner
Intravitreala injektioner, inklusive injektioner med aflibercept, har förknippats med endoftalmit, intraokulär inflammation, regmatogen näthinneavlossning, näthinneruptur och iatrogen traumatisk katarakt (se avsnitt 4.8). Korrekta aseptiska injektionstekniker måste alltid användas vid administrering av Afqlir. Dessutom ska patienterna övervakas veckan efter injektionen för att möjliggöra tidig behandling om en infektion uppstår.
Patienter ska instrueras att omedelbart rapportera alla symtom som tyder på endoftalmit eller någon av ovanstående händelser.
Den förfyllda sprutan innehåller mer än den rekommenderade dosen på 2 mg aflibercept (motsvarande 0,05 ml). Överskottsvolymen måste tömmas ut före administrering (se avsnitt 4.2 och 6.6).
Ökat intraokulärt tryck har setts inom 60 minuter efter en intravitreal injektion, t.ex. med aflibercept (se avsnitt 4.8). Särskild försiktighet krävs hos patienter med dåligt kontrollerat glaukom (injicera inte Afqlir när det intraokulära trycket är ≥ 30 mmHg). I samtliga fall måste således både det intraokulära trycket och perfusion av synnerven kontrolleras och behandlas på lämpligt sätt.
Immunogenitet
Eftersom detta är ett terapeutiskt protein, finns potential för immunogenitet med Afqlir (se avsnitt 4.8). Patienter bör instrueras att rapportera alla tecken eller symtom som tyder på intraokulär inflammation, t.ex. ögonsmärta, fotofobi eller rodnad i ögat som kan vara kliniska tecken på överkänslighet.
Systemisk effekt
Systemiska biverkningar som t ex icke okulära blödningar och arteriella tromboemboliska händelser har rapporterats till följd av intravitreal användning av VEGF‑hämmare, och det finns en teoretisk risk att dessa kan ha samband med VEGF‑hämning. Det finns begränsade data om säkerhet vid behandling av patienter med CRVO, BRVO, DME eller myopisk CNV med en anamnes på stroke eller transitorisk ischemisk attack eller myokardinfarkt de senaste 6 månaderna. Försiktighet ska iakttas vid behandling av sådana patienter.
Övrigt
I likhet med andra intravitreala anti‑VEGF‑behandlingar för AMD, CRVO, BRVO, DME och myopisk CNV gäller också följande:
Säkerheten och effekten för aflibercept administrerat i båda ögonen samtidigt har inte studerats systematiskt (se avsnitt 5.1). Om bilateral behandling utförs samtidigt kan det leda till en ökad systemisk exponering, vilket skulle kunna öka risken för systemiska biverkningar.
Samtidig användning av annat anti‑VEGF (vascular endothelial growth factor)‑läkemedel: Det finns inga tillgängliga data på samtidig användning av aflibercept med andra anti‑VEGF (vascular endothelial growth factor)‑läkemedel (systemiska eller okulära).
Riskfaktorer som förknippas med utveckling av en ruptur på det retinala pigmentepitelet efter anti‑VEGF‑behandling för våt AMD, innefattar en uttalad och/eller hög avlossning av retinala pigmentepitelet. När behandling med Afqlir sätts in, ska försiktighet iakttas hos patienter med riskfaktorer för ruptur på det retinala pigmentepitelet.
Behandling ska inte ges till patienter med regmatogen näthinneavlossning eller makulahål i stadium 3 eller 4.
Om retinal ruptur uppstår, ska behandlingen avbrytas till dess att rupturen har åtgärdats.
Dosen ska inte ges och behandlingen ska inte återupptas före nästa planerade injektion om något av följande inträffar:
en försämring av synskärpan med bästa korrektion (BCVA) med ≥30 bokstäver jämfört med den senaste bedömningen av synskärpan
en subretinal blödning som innefattar foveas centrum, eller om blödningens storlek är ≥50 % av det totala lesionsområdet
Dosen ska inte ges 28 dagar före eller 28 dagar efter en utförd eller planerad intraokulär kirurgi.
Afqlir ska inte ges till gravida kvinnor om inte de eventuella fördelarna överväger de eventuella riskerna för fostret (se avsnitt 4.6).
Fertila kvinnor ska använda effektiv preventivmetod under behandling och under minst 3 månader efter den sista intravitreala injektionen av aflibercept (se avsnitt 4.6).
Erfarenheten av behandling av patienter med ischemisk CRVO och BRVO är begränsad. Behandling rekommenderas inte till patienter med kliniska tecken på irreversibel ischemisk förlust av synförmågan.
Populationer med begränsade data
Det finns endast begränsad erfarenhet av att behandla typ I‑diabetespatienter med DME eller diabetespatienter som har ett HbA1c över 12 % eller med proliferativ diabetesretinopati.
Aflibercept har inte studerats på patienter med aktiva systemiska infektioner eller patienter med samtidiga ögonsjukdomar som t.ex. näthinneavlossning eller makulahål. Det finns inte heller någon erfarenhet av behandling med aflibercept hos diabetespatienter med okontrollerad hypertoni. Denna brist på information bör beaktas av läkaren vid behandling av sådana patienter.
Det finns ingen erfarenhet av aflibercept som behandling för myopisk CNV hos icke‑asiatiska patienter, hos patienter som tidigare har genomgått behandling för myopisk CNV eller hos patienter med extrafoveala lesioner.
Information om hjälpämnen
Detta läkemedel innehåller mindre än 1 mmol (23 mg) natrium per dosenhet, d.v.s är näst intill ”natriumfritt”.
Detta läkemedel innehåller 0,02 mg polysorbat 20 i varje levererad dos på 0,05 ml (50 mikroliter) lösning. Polysorbater kan orsaka allergiska reaktioner. Fråga din patient om han eller hon har några kända allergier.
Inga interaktionsstudier har utförts.
Adjunktiv användning av fotodynamisk behandling (PDT) med verteporfin och aflibercept har inte studerats, därför har en säkerhetsprofil inte kunnat fastställas.
Fertila kvinnor
Fertila kvinnor ska använda effektiv preventivmetod under behandling och under minst 3 månader efter den sista intravitreala injektionen av aflibercept (se avsnitt 4.4).
Graviditet
Det finns inga data från användningen av aflibercept hos gravida kvinnor.
Djurstudier har visat embryofetal toxicitet (se avsnitt 5.3).
Även om den systemiska exponeringen efter okulär administrering är mycket låg, ska Afqlir inte användas under graviditet om inte de eventuella fördelarna överväger de eventuella riskerna för fostret.
Amning
Baserat på mycket begränsade humana data kan aflibercept utsöndras i bröstmjölk i låga nivåer. Aflibercept är en stor proteinmolekyl och den mängd läkemedel som absorberas av spädbarnet förväntas vara minimal. Effekterna av aflibercept på ammade nyfödda barn/spädbarn är okända.
Som en försiktighetsåtgärd rekommenderas inte amning under användningen av Afqlir.
Fertilitet
Resultat från djurstudier med hög systematisk exponering indikerar att aflibercept kan ha en negativ effekt på manlig och kvinnlig fertilitet (se avsnitt 5.3). Sådana effekter förväntas inte efter okulär administrering med mycket låg systemisk exponering.
Injektion med Afqlir har mindre effekt på förmågan att framföra fordon och använda maskiner på grund av möjliga tillfälliga synstörningar som kan kopplas antingen till injektionen eller till ögonundersökningen i samband med injektionen. Patienten ska inte köra bil eller använda maskiner förrän synen är tillfredsställande återställd.
Sammanfattning av säkerhetsprofilen
Totalt 3 102 patienter utgjorde säkerhetspopulationen i åtta fas III‑studier. Av dessa behandlades 2 501 patienter med den rekommenderade dosen 2 mg.
Allvarliga okulära biverkningar i studieögat i samband med injektionsproceduren har förekommit vid färre än 1 av 1 900 intravitreala injektioner med aflibercept. Dessa inkluderade blindhet, endoftalmit, näthinneavlossning, traumatisk katarakt, katarakt, glaskroppsblödning, glaskroppsavlossning och ökat intraokulärt tryck (se avsnitt 4.4).
De vanligaste biverkningarna (hos minst 5 % av patienterna behandlade med aflibercept) var konjunktival blödning (25 %), retinal blödning (11%), nedsatt synskärpa (11 %), ögonsmärta (10 %), katarakt (8 %), ökat intraokulärt tryck (8 %), glaskroppsavlossning (7 %) och fläckar i synfältet (7 %).
Tabell med biverkningar
De säkerhetsdata som beskrivs nedan omfattar alla biverkningar från åtta fas III‑studier för indikationerna våt AMD, CRVO, BRVO, DME och myopisk CNV med en rimlig möjlighet för orsakssamband med injektionsproceduren eller med läkemedlet.
Biverkningarna listas efter organsystem och frekvens enligt följande konvention:
Mycket vanliga (≥ 1/10), vanliga (≥ 1/100, < 1/10), mindre vanliga (≥ 1/1 000, < 1/100), sällsynta (≥ 1/10 000, < 1/1 000), ingen känd frekvens (kan inte beräknas från tillgängliga data).
Biverkningar presenteras inom varje frekvensområde efter fallande allvarlighetsgrad.
Beskrivning av utvalda biverkningar
I våt AMD fas III studier rapporterades ökad incidens av konjunktival blödning hos patienter som fick antitrombotiska preparat. Den ökade incidensen var likartad hos patienter som behandlades med ranibizumab och aflibercept.
Arteriella tromboemboliska händelser (ATEs) är biverkningar som eventuellt har ett samband med systemisk VEGF‑hämning. Det finns en teoretisk risk för ATEs, inklusive stroke och hjärtinfarkt, efter intravitreal användning av VEGF‑hämmare.
Ett lågt incidenstal för ATEs observerades i de kliniska prövningarna med aflibercept hos patienter med AMD, DME, RVO, myopiskt CNV och ROP. Inga märkbara skillnader sågs mellan grupperna som behandlades med aflibercept och jämförelsegrupperna, oavsett indikation.
Som för alla terapeutiska proteiner finns det en potentiell risk för immunogenitet med Afqlir.
I kliniska studier har doser av upp till 4 mg med en månads intervall använts och i enstaka fall har överdosering med 8 mg förekommit.
Överdosering med ökad injektionsvolym kan öka det intraokulära trycket. Vid en överdosering ska därför det intraokulära trycket kontrolleras, och om behandlande läkare anser det nödvändigt ska adekvat behandling sättas in (se avsnitt 6.6).
Afqlir är avsett för vuxna för behandling av
neovaskulär (våt) åldersrelaterad makuladegeneration (AMD) (se avsnitt 5.1)
nedsatt syn till följd av makulaödem sekundärt till retinal venocklusion (RVO) (grenvensocklusion eller centralvensocklusion) (se avsnitt 5.1)
nedsatt syn till följd av diabetiska makulaödem (DME) (se avsnitt 5.1)
nedsatt syn till följd av myopisk koroidal neovaskularisering (myopisk CNV) (se avsnitt 5.1).
Afqlir är endast avsett för intravitreal injektion.
Afqlir får bara administreras av en kvalificerad läkare med erfarenhet av administrering av intravitreala injektioner.
Dosering
Våt AMD
Den rekommenderade dosen Afqlir är 2 mg aflibercept, motsvarande 0,05 ml.
Behandling med Afqlir påbörjas med en injektion per månad, tre doser i rad. Behandlingsintervallet utökas därefter till två månader.
Baserat på läkarens bedömning av synskärpa och/eller anatomiska resultat kan behandlingsintervallet kvarstå på två månader eller förlängas ytterligare med hjälp av en ”treat‑and‑extend”‑modell varvid injektionsintervallen förlängs med 2 eller 4 veckor i taget för att bibehålla stabil synskärpa och/eller anatomiskt resultat. Om synskärpa och/eller anatomiska resultat försämras ska behandlingsintervallet förkortas i motsvarande grad.
Det finns inga krav på kontroller mellan injektionerna. Baserat på läkarens bedömning kan de planerade kontrollbesöken vara fler än antalet planerade injektionstillfällen.
Behandlingsintervall på mer än fyra månader eller mindre än 4 veckor mellan injektionerna har inte studerats (se avsnitt 5.1).
Makulaödem sekundärt till RVO (grenvensocklusion eller centralvensocklusion)
Den rekommenderade dosen Afqlir är 2 mg aflibercept, motsvarande 0,05 ml.
Efter den första injektionen ska behandlingen ges en gång per månad. Intervallet mellan två doser bör inte vara kortare än en månad.
Om synskärpa och anatomiska resultat visar att patienten inte svarar på fortsatt behandling bör behandling med Afqlir avbrytas.
Behandlingen ges fortlöpande en gång i månaden tills maximal synskärpa har uppnåtts och/eller det inte finns några tecken på sjukdomsaktivitet. Tre eller flera på varandra följande månatliga injektioner kan behövas.
Behandlingen kan fortsätta enligt behandlingsmodellen ”treat‑and‑extend”, d.v.s. gradvis förlängda behandlingsintervall för att bibehålla stabil synskärpa och/eller anatomiskt utfall. Det finns dock inte tillräckligt med data för att kunna dra slutsatser om längden på dessa intervaller. Om synskärpa och/eller anatomiska resultat försämras ska behandlingsintervallet förkortas.
Kontroll‑ och behandlingsschemat ska bestämmas av behandlande läkare baserat på patientens individuella respons.
Kontroller avseende sjukdomsaktivitet kan omfatta klinisk undersökning, funktionstestning eller bilddiagnostik (t.ex. optisk koherenstomografi eller fluoresceinangiografi).
Diabetiska makulaödem
Den rekommenderade dosen Afqlir är 2 mg aflibercept, motsvarande 0,05 ml.
Behandling med Afqlir påbörjas med en injektion per månad fem doser i rad, följt av en injektion varannan månad.
Baserat på läkarens bedömning av synskärpa och/eller anatomiska resultat, kan behandlingsintervallet bibehållas vid 2 månader eller individualiseras, t.ex. med en ”treat‑and‑extend”‑modell, varvid behandlingsintervallerna vanligen utökas med 2 veckor i taget för att bibehålla stabil synskärpa och/eller anatomiska resultat. Det finns begränsat med data för behandlingsintervall på längre än 4 månader. Om synskärpa och/eller anatomiska resultat försämras, ska behandlingsintervallet förkortas. Behandlingsintervall på mindre än 4 veckor mellan injektionerna har inte studerats (se avsnitt 5.1).
Hur ofta kontrollbesöken ska ske ska beslutas av behandlande läkare.
Om synskärpa och anatomiska resultat visar att patienten inte gynnas av fortsatt behandling bör behandling med Afqlir avbrytas.
Myopisk koroidal neovaskularisering
Den rekommenderade dosen Afqlir är en intravitreal engångsinjektion av 2 mg aflibercept, motsvarande 0,05 ml.
Upprepade doser kan administreras om synskärpa och/eller anatomiska undersökningar visar att sjukdomen kvarstår. Recidiv bör behandlas som nya manifestationer av sjukdomen.
Behandlande läkare bestämmer hur ofta kontrollbesöken ska ske.
Intervallet mellan två doser bör inte vara kortare än en månad.
Speciella populationer
Nedsatt lever‑ och/eller njurfunktion
Inga specifika studier hos patienter med nedsatt lever‑ och/eller njurfunktion har utförts med aflibercept.
Tillgängliga data tyder inte på något behov av dosjustering av aflibercept hos dessa patienter (se avsnitt 5.2).
Äldre
Ingen särskild hänsyn krävs. Det finns begränsad erfarenhet hos patienter med DME som är äldre än 75 år.
Pediatrisk population
Säkerhet och effekt för Afqlir hos barn och ungdomar under 18 år har inte fastställts. Det finns ingen relevant användning av afliberceptför en pediatrisk population för indikationerna våt AMD, CRVO, BRVO, DME och myopisk CNV.
Administreringssätt
Intravitreala injektioner måste utföras i enlighet med medicinska standarder och tillämpliga riktlinjer av en kvalificerad läkare med erfarenhet av administrering av intravitreala injektioner. I allmänhet måste man försäkra sig om adekvat bedövning och aseptiska förhållanden, inklusive lokal bredspektrummikrobicid (t.ex. applicering av povidonjodid på periokulär hud, ögonlock och okulär yta). Kirurgisk handdesinfektion, sterila handskar, en steril duk och ett sterilt ögonlocksspekulum (eller motsvarande) rekommenderas.
Omedelbart efter den intravitreala injektionen ska patienten kontrolleras för ökning av det intraokulära trycket. Lämplig metod kan bestå av en kontroll av perfusion av synnerven eller tonometri. Vid behov ska steril utrustning för paracentes finnas tillgänglig.
Efter intravitreal injektion ska patienter instrueras att omedelbart rapportera alla symtom som tyder på endoftalmit (t.ex. ögonsmärta, ögonrodnad, fotofobi, dimsyn).
Varje förfylld spruta får bara användas för behandling av ett öga. Administrering av multipla doser från en förfylld spruta kan öka risken för kontaminering och efterföljande infektion.
Den förfyllda sprutan innehåller mer än den rekommenderade dosen på 2 mg aflibercept (motsvarande 0,05 ml injektionsvätska). Varje förfylld spruta med Afqlir innehåller en volym på 0,165 ml och den ska inte användas i sin helhet. Överskottsvolymen måste tömmas ut före injektion av den rekommenderade dosen (se avsnitt 6.6).
Injicering av hela mängden vätska i den förfyllda sprutan kan resultera i överdosering. För att avlägsna luftbubblor ur sprutan och samtidigt tömma sprutan på överflödigt läkemedel, tryck långsamt ned kolven så att basen på kolvens välvda del (inte toppen på den välvda delen) kommer i nivå med doseringslinjen på sprutan (vilket motsvarar 0,05 ml, d.v.s. 2 mg aflibercept) (se avsnitt 4.9 och 6.6).
Injektionsnålen bör föras in 3,5‑4,0 mm posteriort om limbus in i glaskroppsrummet samtidigt som man undviker den horisontella meridianen och riktar nålen mot ögonglobens centrum. Injektionsmängden på 0,05 ml injiceras därefter. Ett annat skleralt område bör användas vid efterföljande injektioner.
Efter injektion ska all oanvänd produkt kasseras.
Anvisningar om hantering av läkemedlet före administrering finns i avsnitt 6.6.
Överkänslighet mot den aktiva substansen aflibercept eller mot något hjälpämne som anges i avsnitt 6.1.
Aktiv eller misstänkt okulär eller periokulär infektion.
Aktiv allvarlig intraokulär inflammation.
Spårbarhet
För att underlätta spårbarhet av biologiska läkemedel ska läkemedlets namn och tillverkningssatsnummer dokumenteras.
Intravitreala injektionsrelaterade reaktioner
Intravitreala injektioner, inklusive injektioner med aflibercept, har förknippats med endoftalmit, intraokulär inflammation, regmatogen näthinneavlossning, näthinneruptur och iatrogen traumatisk katarakt (se avsnitt 4.8). Korrekta aseptiska injektionstekniker måste alltid användas vid administrering av Afqlir. Dessutom ska patienterna övervakas veckan efter injektionen för att möjliggöra tidig behandling om en infektion uppstår.
Patienter ska instrueras att omedelbart rapportera alla symtom som tyder på endoftalmit eller någon av ovanstående händelser.
Den förfyllda sprutan innehåller mer än den rekommenderade dosen på 2 mg aflibercept (motsvarande 0,05 ml). Överskottsvolymen måste tömmas ut före administrering (se avsnitt 4.2 och 6.6).
Ökat intraokulärt tryck har setts inom 60 minuter efter en intravitreal injektion, t.ex. med aflibercept (se avsnitt 4.8). Särskild försiktighet krävs hos patienter med dåligt kontrollerat glaukom (injicera inte Afqlir när det intraokulära trycket är ≥ 30 mmHg). I samtliga fall måste således både det intraokulära trycket och perfusion av synnerven kontrolleras och behandlas på lämpligt sätt.
Immunogenitet
Eftersom detta är ett terapeutiskt protein, finns potential för immunogenitet med Afqlir (se avsnitt 4.8). Patienter bör instrueras att rapportera alla tecken eller symtom som tyder på intraokulär inflammation, t.ex. ögonsmärta, fotofobi eller rodnad i ögat som kan vara kliniska tecken på överkänslighet.
Systemisk effekt
Systemiska biverkningar som t ex icke okulära blödningar och arteriella tromboemboliska händelser har rapporterats till följd av intravitreal användning av VEGF‑hämmare, och det finns en teoretisk risk att dessa kan ha samband med VEGF‑hämning. Det finns begränsade data om säkerhet vid behandling av patienter med CRVO, BRVO, DME eller myopisk CNV med en anamnes på stroke eller transitorisk ischemisk attack eller myokardinfarkt de senaste 6 månaderna. Försiktighet ska iakttas vid behandling av sådana patienter.
Övrigt
I likhet med andra intravitreala anti‑VEGF‑behandlingar för AMD, CRVO, BRVO, DME och myopisk CNV gäller också följande:
Säkerheten och effekten för aflibercept administrerat i båda ögonen samtidigt har inte studerats systematiskt (se avsnitt 5.1). Om bilateral behandling utförs samtidigt kan det leda till en ökad systemisk exponering, vilket skulle kunna öka risken för systemiska biverkningar.
Samtidig användning av annat anti‑VEGF (vascular endothelial growth factor)‑läkemedel: Det finns inga tillgängliga data på samtidig användning av aflibercept med andra anti‑VEGF (vascular endothelial growth factor)‑läkemedel (systemiska eller okulära).
Riskfaktorer som förknippas med utveckling av en ruptur på det retinala pigmentepitelet efter anti‑VEGF‑behandling för våt AMD, innefattar en uttalad och/eller hög avlossning av retinala pigmentepitelet. När behandling med Afqlir sätts in, ska försiktighet iakttas hos patienter med riskfaktorer för ruptur på det retinala pigmentepitelet.
Behandling ska inte ges till patienter med regmatogen näthinneavlossning eller makulahål i stadium 3 eller 4.
Om retinal ruptur uppstår, ska behandlingen avbrytas till dess att rupturen har åtgärdats.
Dosen ska inte ges och behandlingen ska inte återupptas före nästa planerade injektion om något av följande inträffar:
en försämring av synskärpan med bästa korrektion (BCVA) med ≥30 bokstäver jämfört med den senaste bedömningen av synskärpan
en subretinal blödning som innefattar foveas centrum, eller om blödningens storlek är ≥50 % av det totala lesionsområdet
Dosen ska inte ges 28 dagar före eller 28 dagar efter en utförd eller planerad intraokulär kirurgi.
Populationer med begränsade data
Det finns endast begränsad erfarenhet av att behandla typ I‑diabetespatienter med DME eller diabetespatienter som har ett HbA1c över 12 % eller med proliferativ diabetesretinopati.
Aflibercept har inte studerats på patienter med aktiva systemiska infektioner eller patienter med samtidiga ögonsjukdomar som t.ex. näthinneavlossning eller makulahål. Det finns inte heller någon erfarenhet av behandling med aflibercept hos diabetespatienter med okontrollerad hypertoni. Denna brist på information bör beaktas av läkaren vid behandling av sådana patienter.
Det finns ingen erfarenhet av aflibercept som behandling för myopisk CNV hos icke‑asiatiska patienter, hos patienter som tidigare har genomgått behandling för myopisk CNV eller hos patienter med extrafoveala lesioner.
Information om hjälpämnen
Detta läkemedel innehåller mindre än 1 mmol (23 mg) natrium per dosenhet, d.v.s är näst intill ”natriumfritt”.
Detta läkemedel innehåller 0,02 mg polysorbat 20 i varje levererad dos på 0,05 ml (50 mikroliter) lösning. Polysorbater kan orsaka allergiska reaktioner. Fråga din patient om han eller hon har några kända allergier.
Inga interaktionsstudier har utförts.
Adjunktiv användning av fotodynamisk behandling (PDT) med verteporfin och aflibercept har inte studerats, därför har en säkerhetsprofil inte kunnat fastställas.
Fertila kvinnor
Fertila kvinnor ska använda effektiv preventivmetod under behandling och under minst 3 månader efter den sista intravitreala injektionen av aflibercept (se avsnitt 4.4).
Graviditet
Det finns inga data från användningen av aflibercept hos gravida kvinnor.
Djurstudier har visat embryofetal toxicitet (se avsnitt 5.3).
Även om den systemiska exponeringen efter okulär administrering är mycket låg, ska Afqlir inte användas under graviditet om inte de eventuella fördelarna överväger de eventuella riskerna för fostret.
Amning
Baserat på mycket begränsade humana data kan aflibercept utsöndras i bröstmjölk i låga nivåer. Aflibercept är en stor proteinmolekyl och den mängd läkemedel som absorberas av spädbarnet förväntas vara minimal. Effekterna av aflibercept på ammade nyfödda barn/spädbarn är okända.
Som en försiktighetsåtgärd rekommenderas inte amning under användningen av Afqlir.
Fertilitet
Resultat från djurstudier med hög systematisk exponering indikerar att aflibercept kan ha en negativ effekt på manlig och kvinnlig fertilitet (se avsnitt 5.3). Sådana effekter förväntas inte efter okulär administrering med mycket låg systemisk exponering.
Injektion med Afqlir har mindre effekt på förmågan att framföra fordon och använda maskiner på grund av möjliga tillfälliga synstörningar som kan kopplas antingen till injektionen eller till ögonundersökningen i samband med injektionen. Patienten ska inte köra bil eller använda maskiner förrän synen är tillfredsställande återställd.
Sammanfattning av säkerhetsprofilen
Totalt 3 102 patienter utgjorde säkerhetspopulationen i åtta fas III‑studier. Av dessa behandlades 2 501 patienter med den rekommenderade dosen 2 mg.
Allvarliga okulära biverkningar i studieögat i samband med injektionsproceduren har förekommit vid färre än 1 av 1 900 intravitreala injektioner med aflibercept. Dessa inkluderade blindhet, endoftalmit, näthinneavlossning, traumatisk katarakt, katarakt, glaskroppsblödning, glaskroppsavlossning och ökat intraokulärt tryck (se avsnitt 4.4).
De vanligaste biverkningarna (hos minst 5 % av patienterna behandlade med aflibercept) var konjunktival blödning (25 %), retinal blödning (11%), nedsatt synskärpa (11 %), ögonsmärta (10 %), katarakt (8 %), ökat intraokulärt tryck (8 %), glaskroppsavlossning (7 %) och fläckar i synfältet (7 %).
Tabell med biverkningar
De säkerhetsdata som beskrivs nedan omfattar alla biverkningar från åtta fas III‑studier för indikationerna våt AMD, CRVO, BRVO, DME och myopisk CNV med en rimlig möjlighet för orsakssamband med injektionsproceduren eller med läkemedlet.
Biverkningarna listas efter organsystem och frekvens enligt följande konvention:
Mycket vanliga (≥ 1/10), vanliga (≥ 1/100, < 1/10), mindre vanliga (≥ 1/1 000, < 1/100), sällsynta (≥ 1/10 000, < 1/1 000), ingen känd frekvens (kan inte beräknas från tillgängliga data).
Biverkningar presenteras inom varje frekvensområde efter fallande allvarlighetsgrad.
Beskrivning av utvalda biverkningar
I våt AMD fas III studier rapporterades ökad incidens av konjunktival blödning hos patienter som fick antitrombotiska preparat. Den ökade incidensen var likartad hos patienter som behandlades med ranibizumab och aflibercept.
Arteriella tromboemboliska händelser (ATEs) är biverkningar som eventuellt har ett samband med systemisk VEGF‑hämning. Det finns en teoretisk risk för ATEs, inklusive stroke och hjärtinfarkt, efter intravitreal användning av VEGF‑hämmare.
Ett lågt incidenstal för ATEs observerades i de kliniska prövningarna med aflibercept hos patienter med AMD, DME, RVO, myopiskt CNV och ROP. Inga märkbara skillnader sågs mellan grupperna som behandlades med aflibercept och jämförelsegrupperna, oavsett indikation.
Som för alla terapeutiska proteiner finns det en potentiell risk för immunogenitet med Afqlir.
Rapportering av misstänkta biverkningar
I kliniska studier har doser av upp till 4 mg med en månads intervall använts och i enstaka fall har överdosering med 8 mg förekommit.
Överdosering med ökad injektionsvolym kan öka det intraokulära trycket. Vid en överdosering ska därför det intraokulära trycket kontrolleras, och om behandlande läkare anser det nödvändigt ska adekvat behandling sättas in (se avsnitt 6.6).
Farmakodynamisk effekt
Våt AMD
Våt AMD kännetecknas av patologisk koroidal neovaskularisering (CNV). Läckage av blod och vätska från CNV kan leda till näthinneförtjockning eller näthinneödem och/eller sub‑/intraretinal blödning, som leder till nedsatt synskärpa.
Hos patienter behandlade med aflibercept (en injektion per månad tre månader i rad, följt av en injektion varannan månad), minskade central retinal tjocklek [CRT] strax efter att behandlingen satts in, och den genomsnittliga CNV‑lesionsstorleken minskade, i enlighet med de resultat som sågs med ranibizumab 0,5 mg varje månad.
I VIEW1‑studien påvisades genomsnittlig minskning av CRT mätt med optisk koherenstomografi (OCT) (‑130 respektive ‑129 mikrometer vecka 52 för gruppen som fick aflibercept 2 mg varannan månad respektive gruppen som fick ranibizumab 0,5 mg varje månad). Den genomsnittliga minskningen av CRT på OCT påvisades också i vecka 52 av VIEW2‑studien (‑149 respektive ‑139 mikrometer i gruppen som fick aflibercept 2 mg varannan månad respektive ranibizumab 0,5 mg varje månad). Minskningen av CNV‑storlek och minskningen av CRT kvarstod i allmänhet under studiens andra år.
ALTAIR‑studien genomfördes på japanska patienter med tidigare obehandlad våt AMD och påvisade liknande resultat som VIEW‑studierna. I ALTAIR‑studien gavs 3 initiala månatliga injektioner aflibercept 2 mg följt av en injektion efter ytterligare två månader, och fortsatte därefter med en ”treat‑and‑extend”‑modell med varierande behandlingsintervaller (2‑ eller 4‑veckorsjusteringar) upp till maximalt 16 veckors intervall, enligt på förhand specificerade kriterier. Vecka 52 syntes en genomsnittlig minskning av central retinal tjocklek (CRT) mätt med OCT på ‑134,4 och ‑126,1 mikrometer i 2‑ respektive 4‑veckorsgruppen. Andelen patienter utan vätska vid OCT vecka 52 var 68,3 % och 69,1 % i 2‑ respektive 4‑veckorsgruppen. Reduktionen i CRT bibehölls överlag i bägge behandlingsgrupper under det andra året av ALTAIR‑studien.
ARIES‑studien utformades för att undersöka non‑inferiority av aflibercept 2 mg med "treat‑and‑extend"‑dosering initierad direkt efter administrering av 3 initiala månatliga injektioner och en ytterligare injektion efter 2 månader jämfört med "treat‑and‑extend"‑dosering initierad efter ett års behandling. För patienter som krävde dosering oftare än var 8:e vecka (Q8) minst en gång under studien, förblev CRT högre, men den genomsnittliga minskningen av CRT från studiestart till vecka 104 var ‑160,4 mikrometer, liknande för de patienter som behandlades var 8:e vecka (Q8) eller med mindre frekventa intervaller.
Makulaödem sekundärt till CRVO och BRVO
Vid CRVO och BRVO inträffar retinal ischemi som signalerar frisättningen av VEGF, som i sin tur destabiliserar de täta förbindelserna och främjar endotelcellsproliferation. Uppreglering av VEGF förknippas med nedbrytningen av blod‑retinabarriären, ökad vaskulär permeabilitet, retinalt ödem och neovaskulariseringskomplikationer.
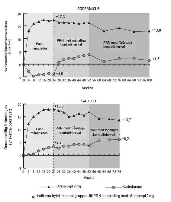
Hos patienter behandlade med aflibercept 2 mg sex månader i följd sågs ett stabilt, snabbt och robust morfologiskt svar (som uppmättes gällande förbättring av genomsnittlig CRT). Vecka 24 var reduktionen av CRT statistiskt överlägsen jämfört med kontrollgruppen i alla tre studierna (COPERNICUS, CRVO: ‑457 vs. ‑145 mikrometer; GALILEO, CRVO: ‑449 vs. ‑169 mikrometer; VIBRANT, BRVO: ‑280 vs. ‑128 mikrometer).
Minskningen i CRT från studiestart kvarstod till slutet av varje studie, d.v.s. till vecka 100 för COPERNICUS, vecka 76 för GALILEO, och vecka 52 för VIBRANT.
Diabetiska makulaödem
Diabetiska makulaödem är en konsekvens av diabetisk retinopati och kännetecknas av ökad vasopermeabilitet och skada på retinala kapillärer som kan leda till nedsatt synskärpa.
Hos patienter behandlade med aflibercept, av vilka huvuddelen klassificerades som Typ II‑diabetiker, observerades ett snabbt och robust svar på morfologi (CRT och Diabetic Retinopathy Severity Score (DRSS)).
I studierna VIVIDDME och VISTADME var den genomsnittliga minskningen av CRT från studiestart till vecka 52 statistiskt sett betydligt större hos patienter som behandlades med aflibercept jämfört med laserkontrollgrupperna, och var ‑192,4 och ‑183,1 mikrometer för 2Q8 aflibercept‑grupperna respektive ‑66,2 och ‑73,3 mikrometer för kontrollgrupperna. Vecka 100 bibehölls minskningen med ‑195,8 och ‑191,1 mikrometer för 2Q8 aflibercept‑grupperna och med ‑85,7 och ‑83,9 mikrometer för kontrollgrupperna i studierna VIVIDDME respektive VISTADME.
En ≥ 2‑stegsförbättring av DRSS uppskattades enligt förspecificerade kriterier i VIVIDDME och VISTADME. DRSS‑resultatet var graderbart hos 73,7 % av patienterna i VIVID‑ DME och 98,3 % av patienterna i VISTA‑DME. Vecka 52 upplevde 27,7 % och 29,1 % i aflibercept 2Q8‑grupperna och 7,5 % och 14,3 % i kontrollgrupperna en ≥ 2‑stegsförbättring i DRSS. Vecka 100 var respektive procentandel 32,6 % och 37,1 % i aflibercept 2Q8‑grupperna och 8,2 % och 15,6 % i kontrollgrupperna.
VIOLET‑studien jämförde tre olika doseringsregimer med aflibercept 2 mg för behandling av DME efter minst ett års behandling med fasta intervaller, där behandlingen inleddes med 5 månatliga doser följt av dosering varannan månad. Vid vecka 52 och vecka 100 av studien, dvs andra och tredje behandlingsåret, var de genomsnittliga förändringarna i CRT kliniskt jämförbara vid "treat‑and‑extend" (2T&E), efter behov (pro re nata, 2PRN) respektive 2Q8‑dosering, ‑2,1, 2,2 och 18,8 mikrometer vid vecka 52 och 2,3, ‑13,9 och ‑15,5 mikrometer vid vecka 100.
Myopisk koroidal neovaskularisering
Myopisk koroidal neovaskularisering (myopisk CNV) är en vanlig orsak till synnedsättning hos vuxna med patologisk myopi. Det utvecklas som en sårläkningsmekanism som en följd av rupturer i Bruchs membran och utgör den största synhotande händelsen vid patologisk mypoi.
Hos patienter behandlade med aflibercept i MYRROR‑studien (en injektion given vid behandlingsstart, följt av ytterligare injektioner i händelse av kvarstående eller recidiverande sjukdom) minskade CRT strax efter behandlingsstart till fördel för aflibercept vecka 24 (‑79 mikrometer för gruppen som behandlades med aflibercept 2 mg och ‑4 mikrometer i kontrollgruppen), vilket kvarstod till och med vecka 48. Dessutom minskade den genomsnittliga CNV‑lesionen.
Klinisk effekt och säkerhet
Våt AMD
Säkerheten och effekten för aflibercept bedömdes i två randomiserade, dubbelmaskerade, aktivt kontrollerade multicenterstudier på patienter med våt AMD (VIEW1 och VIEW2) där totalt 2 412 patienter (1 817 med aflibercept) behandlades och utvärderades för effekt. Patienterna var mellan 49 och 99 år med en genomsnittsålder på 76 år. I dessa kliniska studier var ca 89 % (1 616/1 817) av patienterna som randomiserats till behandling med aflibercept 65 år eller äldre och ca 63 % (1 139/1 817) var 75 år eller äldre. I varje studie indelades patienterna slumpmässigt i kvoten 1:1:1:1 till 1 av 4 doseringsregimer:
1) aflibercept 2 mg administrerat var 8:e vecka efter 3 initiala månadsdoser ( aflibercept 2Q8)
2) aflibercept 2 mg administrerat var 4:e vecka (aflibercept 2Q4)
3) aflibercept 0,5 mg administrerat var 4:e vecka (aflibercept 0,5Q4)
4) ranibizumab 0,5 mg administrerat var 4:e vecka (ranibizumab 0,5Q4).
Under studiernas andra år fick patienterna fortsatt samma initialt randomiserade dos, men med ett doseringsschema som modifierats efter bedömning av synskärpa och anatomiska resultat med ett protokolldefinierat maximalt doseringsintervall på 12 veckor.
I båda studierna var det primära resultatmåttet den andel patienter i ”Per Protocol Set” som bibehöll synskärpan, d.v.s. som förlorade färre än 15 bokstäver i synskärpa vecka 52 jämfört med studiestart.
Vecka 52 i VIEW1‑studien hade 95,1 % av patienterna i gruppen aflibercept 2Q8 bibehållen syn jämfört med 94,4 % av patienterna i ranibizumabgruppen 0,5Q4. Vecka 52 i VIEW2‑studien hade 95,6 % av patienterna i gruppen aflibercept 2Q8 bibehållen syn jämfört med 94,4 % av patienterna i ranibizumabgruppen 0,5Q4. I båda studierna visade sig aflibercept vara non‑inferior och kliniskt likvärdig med ranibizumabgruppen 0,5Q4.
Detaljerade resultat från den kombinerade analysen av båda studierna visas i tabell 2 och figur 1 nedan.
Figur 1. Genomsnittlig förändring av synskärpa från studiestart till vecka 96 för kombinerade data från VIEW1‑ och VIEW2‑studierna
I den kombinerade datanalysen av VIEW1 och VIEW2 visade aflibercept kliniskt betydande förändringar från studiestart i ett fördefinierat sekundärt effektmått i frågeformuläret National Eye Institute Visual Function Questionnaire (NEI VFQ‑25) utan kliniskt betydande skillnader jämfört med ranibizumab. Storleken på dessa förändringar liknande de som setts i publicerade studier, som överensstämde med en ökning på 15‑bokstäver på BCVA (Best Corrected Visual Acuity).
Under studiernas andra år kvarstod i allmänhet effekten t.o.m. den sista bedömningen vecka 96. 2‑4 % av patienterna fick alla injektioner månadsvis, och en tredjedel krävde åtminstone en injektion med ett behandlingsintervall på endast en månad.
Minskningar av genomsnittligt CNV‑område var tydligt i alla dosgrupper i båda studierna.
Effektresultat i alla utvärderingsbara undergrupper (t.ex. ålder, kön, etnicitet, synskärpa vid studiestart, lesionstyp, lesionsstorlek) i varje studie för sig och i den kombinerade analysen överensstämde med resultaten hos de totala populationerna.
ALTAIR var en 96 veckor lång, multicenter, randomiserad, öppen studie med 247 japanska patienter med tidigare obehandlad våt AMD. Studien utformades för att mäta effekten och säkerheten hos aflibercept med två olika justeringsintervall (2‑veckors och 4‑veckors) i en ”treat‑and‑extend”‑modell.
Alla patienter fick månatliga injektioner med aflibercept 2 mg i 3 månader och därefter en injektion efter ytterligare 2‑månader. Vecka 16 randomiserades patienterna i kvoten 1:1 till två olika behandlingsgrupper: 1) aflibercept ”treat‑and‑extend” med 2‑veckorsjusteringar och 2) aflibercept ”treat‑and‑extend” med 4‑veckorsjusteringar. Utökat eller förkortat behandlingsintervall beslutades på basis av synskärpa och/eller anatomiska kriterier som definierades enligt protokoll. Behandlingsintervallet var maximalt 16 veckor i båda grupperna.
Det primära effektmåttet var genomsnittlig förändring av BCVA från studiestart till vecka 52. De sekundära effektmåtten var andelen patienter som undvek förlust av ≥15 bokstäver, och andelen patienter som förbättrade ≥ 15 bokstäver BCVA från studiestart till vecka 52.
Vecka 52 förbättrade patienter i ”treat‑and‑extend”‑gruppen med 2‑veckorsjustering i genomsnitt 9,0 bokstäver från studiestart jämfört med 8,4 bokstäver för dem i gruppen med 4‑veckorsjustering [LS genomsnittlig skillnad i bokstäver (95 % CI): 0,4 (‑3,8, 3,0), ANCOVA]. Andelen patienter som undvek förlust av ≥15 bokstäver i de två behandlingsgrupperna var likvärdig (96,7 % i 2‑veckors och 95,9 % i 4‑veckorsgruppen). Andelen patienter som förbättrade ≥15 bokstäver vecka 52 var 32,5 % i 2‑veckorsgruppen och 30,9 % i 4‑veckorsgruppen. Andelen patienter som ökade behandlingsintervallet till 12 veckor eller mer var 42,3 % i 2‑veckorsgruppen och 49,6 % i 4-veckorsgruppen. I 4‑veckorsgruppen förlängdes dessutom 40,7 % av patienterna till 16-veckorsintervall. Vid det sista besöket fram till vecka 52, fick 56,8 % och 57,8 % i 2‑ respektive 4-veckorsgruppen sin nästa injektion planerad i ett intervall på 12 veckor eller längre.
I studiens andra år bibehölls effekten generellt fram till och med den sista bedömningen vid vecka 96, med en genomsnittlig förbättring jämfört med studiestart på 7,6 bokstäver för 2‑veckorsgruppen och 6,1 bokstäver för 4‑veckorsgruppen. Andelen patienter som ökade behandlingsintervallet till 12 veckor eller mer var 56,9 % i 2‑veckorsgruppen och 60,2 % i 4‑veckorsgruppen. Vid det sista besöket innan vecka 96, fick 64,9 % och 61,2 % i 2‑ respektive 4‑veckorsgruppen sin nästa injektion planerad i ett intervall på 12 veckor eller längre. Under behandlingens andra år fick patienter både i 2‑ och i 4veckorsgruppen i genomsnitt 3,6 respektive 3,7 injektioner. I genomsnitt fick patienterna 10,4 injektioner under den 2‑åriga behandlingsperioden.
De okulära och systemiska säkerhetsprofilerna liknade säkerheten som observerats i de pivotala VIEW1‑ och VIEW2‑studierna.
ARIES var en 104 veckor lång, multicenter, randomiserad, öppen, aktivt kontrollerad studie med 269 patienter med tidigare obehandlad våt AMD. Studien utformades för att bedöma non‑inferiority vad gäller effekt och säkerhet för en "treat‑and‑extend"‑dosering initierad efter 3 månatliga doser följt av en förlängning till ett behandlingsintervall på 2 månader jämfört med en "treat‑and‑extend"‑dosering initierad efter det första årets behandling.
ARIES‑studien undersökte också andelen patienter som krävde mer frekvent behandling än var 8:e vecka baserat på studieläkarens beslut. Av de 269 patienterna fick 62 patienter mer frekvent dosering minst en gång under studien. Dessa patienter stannade kvar i studien och behandlades enligt studieläkarens kliniska bedömning men inte oftare än var 4:e vecka och deras behandlingsintervall kunde förlängas igen senare. Det genomsnittliga behandlingsintervallet var 6,1 veckor efter beslut att behandla mer frekvent. Vecka 104 var BCVA lägre hos patienter som krävde mer intensiv behandling minst en gång under studien jämfört med patienter som inte gjorde det och genomsnittlig förändring i BCVA från studiestart till avslut var +2,3 ±15.6 bokstäver. Bland patienterna som behandlades mer frekvent, bibehöll 85,5% synen, dvs förlorade mindre än 15 bokstäver, och 19,4% förbättrades med 15 bokstäver eller mer. Säkerhetsprofilen hos patienter som behandlades mer frekvent än var 8:e vecka var jämförbar med säkerhetsdata i VIEW 1 och VIEW 2.
Makulaödem sekundärt till CRVO
Säkerheten och effekten för aflibercept bedömdes i två randomiserade, dubbelmaskerade,
multicenterstudier med simulerad kontroll hos patienter med makulaödem sekundärt till CRVO (COPERNICUS och GALILEO) där totalt 358 patienter behandlades och bedömdes för effekt (217 med aflibercept). Patienterna var mellan 22 och 89 år med en genomsnittsålder på 64 år. I CRVO‑studierna var 52 % (112/217) av patienterna som randomiserats till behandling med aflibercept 65 år eller äldre, och ca 18 % (38/217) var 75 år eller äldre. I båda studierna delades patienterna slumpvis in enligt en 3:2‑kvot till antingen 2 mg aflibercept administrerat var 4:e vecka (2Q4) eller kontrollgruppen som fick simulerade injektioner var 4:e vecka med totalt 6 injektioner.
Efter 6 månaders injektioner i en följd fick patienterna bara behandling om de uppfyllde de i förväg specificerade återbehandlingskriterierna, förutom patienterna i kontrollgruppen i GALILEO‑studien som fortsatt fick simulerade injektioner (kontroll till kontroll) till och med vecka 52. Med början från den här tidpunkten behandlades alla patienter om de i förväg specificerade kriterierna uppfylldes.
I båda studierna var det primära effektmåttet andelen patienter som ökade minst 15 bokstäver på BCVA vecka 24 jämfört med studiestart. En sekundär effektvariabel var förändring av synskärpan vecka 24 jämfört med studiestart.
Skillnaden mellan behandlingsgrupperna var statistiskt signifikant till fördel för aflibercept i båda studierna. Den maximala förbättringen av synskärpa nåddes månad 3 med efterföljande stabilisering av synskärpa och CRT till månad 6. Den statistiskt signifikanta skillnaden kvarstod till och med vecka 52.
Detaljerade resultat från analysen av båda studierna visas i tabell 3 och figur 2 nedan.
Figur 2: Genomsnittlig förändring av synskärpa från studiestart till vecka 76/100 per behandlingsgrupp för COPERNICUS‑ och GALILEO‑studierna (Full Analysis Set)
I GALILEO hade 86,4 % (n = 89) i aflibercept‑gruppen och 79,4 % (n = 54) i sham‑gruppen perfunderad CRVO vid studiestart. Vecka 24 var fördelningen 91,8 % (n = 89) i aflibercept‑gruppen och 85,5 % (n = 47) i sham‑gruppen. Denna fördelning bibehölls vecka 76, med 84,3 % (n = 75) i aflibercept‑gruppen och 84,0 % (n = 42) i sham‑gruppen.
I COPERNICUS hade 67,5 % (n = 77) i aflibercept‑gruppen och 68,5 % (n = 50) i sham‑gruppen perfunderande CRVO vid studiestart. Vecka 24 var fördelningen 87,4 % (n = 90) i aflibercept‑gruppen och 58,6 % (n = 34) i sham‑gruppen. Denna fördelning kvarstod vecka 100 med 76,8 % (n = 76) i afliberceptgruppen och 78 % (n = 39) i sham‑gruppen. Patienter i sham‑gruppen var berättigade till aflibercept-behandling från vecka 24.
Den positiva effekten på synen vid aflibercept‑behandling var likvärdig i undergrupperna perfunderade och icke perfunderade patienter. Behandlingseffekterna i andra bedömningsbara undergrupper (t.ex. ålder, kön, etnicitet, synskärpa vid studiestart, varaktighet av CRVO) överensstämde generellt med resultaten för totala populationer.
Vid analys av kombinerade data från GALILEO och COPERNICUS visade aflibercept kliniskt betydande förändring från studiestart för i förväg specificerad sekundär effektendpoint NEI VFQ‑25 (National Eye Institute Visual Function Questionnaire). Storleken på dessa förändringar liknade dem som sågs i publicerade studier, vilket motsvarade en förbättring med 15 bokstäver i BCVA (Best Corrected Visual Acuity).
Makulaödem sekundärt till BRVO
Säkerhet och effekt för aflibercept bedömdes i en randomiserad, dubbelmaskerad, aktivt kontrollerad multicenterstudie på patienter med makulaödem sekundärt till BRVO (VIBRANT), som inkluderade hemiretinal venocklusion. Totalt 181 patienter behandlades och bedömdes gällande behandlingseffekt (91 med aflibercept). Patienternas ålder varierade från 42 till 94 år med en genomsnittsålder på 65 år. I BRVO‑studien var ca 58% (53/91) av de patienter som randomiserats till aflibercept 65 år eller äldre, och ca 23% (21/91) var 75 år eller äldre. I studien delades patienterna slumpvis in enligt en 1:1‑kvot till antingen 2 mg aflibercept administrerat var 8:e vecka, följt av 6 initiala månadsinjektioner eller fotokoagulering med laser givet vid studiestart (laserkontrollgrupp). Patienter i laserkontrollgruppen kunde få ytterligare fotokoagulering med laser (kallat ”rescue‑behandling” med laser) med början vecka 12 med ett minsta intervall på 12 veckor. Baserat på i förväg specificerade kriterier kunde patienter i lasergruppen vid behov få rescue‑behandling med aflibercept 2 mg från vecka 24, administrerat var 4:e vecka under 3 månader, följt av intravitreala injektioner var 8:e vecka.
I VIBRANT‑studien var det primära effektmåttet andelen patienter som ökade minst 15 bokstäver på BCVA vecka 24 jämfört med studiestart och aflibercept‑gruppen var överlägsen laserkontrollgruppen.
Ett sekundärt effektmått var förändring i synskärpan vecka 24 jämfört med studiestart, vilket var statistiskt signifikant till fördel för aflibercept i VIBRANT‑studien. Synförbättringen var snabb och maximal förbättring hade uppnåtts månad 3 med kvarstående behandlingseffekt till månad 12.I lasergruppen fick 67 patienter rescue‑behandling med aflibercept med början vecka 24 (aktiv kontroll/ aflibercept 2 mg grupp), vilket resulterade i förbättring av synskärpan med cirka 5 bokstäver från vecka 24 till vecka 52.
Detaljerade resultat från analysen i VIBRANT‑studien visas i tabell 4 och figur 3 nedan.
Figur 3: Genomsnittlig förändring av BCVA mätt med ETDRS (bokstäver) från studiestart till vecka 52 i VIBRANT‑studien
Andelen perfunderade patienter i aflibercept‑gruppen och lasergruppen vid studiestart var 60 % respektive 68 %. Vid vecka 24 var dessa andelar 80 % respektive 67 %. I aflibercept‑gruppen var andelen perfunderade patienter bibehållen till vecka 52. I lasergruppen där patienter var lämpliga för ”rescuebehandling” med aflibercept med början vecka 24 ökade andelen perfunderade patienter till 78 % vecka 52.
Diabetiska makulaödem
Säkerheten och effekten för aflibercept bedömdes i två randomiserade, dubbelmaskerade, aktivt kontrollerade mulitcenterstudier på patienter med DME (VIVIDDME och VISTADME). Totalt 862 patienter behandlades och utvärderades för effekt, varav 576 med aflibercept. Patienterna var mellan 23 och 87 år med en genomsnittsålder på 63 år. I DME‑studierna var ca 47% (268/576) av de patienter som randomiserats till behandling med aflibercept 65 år eller äldre, och ca 9% (52/576) var 75 år eller äldre. Majoriteten av patienterna i båda studierna hade typ II‑diabetes.
I båda studierna indelades patienterna slumpmässigt i kvoten 1:1:1 till 1 av 3 doseringsregimer:
1) aflibercept 2 mg administrerat var 8:e vecka efter 5 initiala månatliga injektioner (aflibercept 2Q8)
2) aflibercept 2 mg administrerat var 4:e vecka (aflibercept 2Q4)
3) fotokoagulering av makula med laser (aktiv kontroll).
Med början vecka 24 kunde patienter som uppfyllde en förspecificerad tröskel av synförlust få ytterligare behandling: patienter i aflibercept‑grupperna kunde få laser och patienterna i kontrollgruppen kunde få aflibercept.
I båda studierna var det primära effektmåttet den genomsnittliga förändringen av BCVA från studiestart till vecka 52 och både aflibercept 2Q8‑ och aflibercept 2Q4‑grupperna visade på statistisk signifikans och var överlägsna kontrollgruppen. Denna nytta kvarstod till vecka 100.
Detaljerade resultat från analysen av studierna VIVIDDME och VISTADME visas i tabell 5 och figur 4 nedan.
Figur 4: Genomsnittlig förändring av BCVA uppmätt med ETDRS (bokstäver) från studiestart till vecka 100 i studierna VIVIDDME och VISTADME
Behandlingseffekterna av utvärderingsbara undergrupper (t.ex. ålder, kön, etnicitet, HbA1c vid studiestart, synskärpa vid studiestart, tidigare anti‑VEGF‑behandling) i respektive studie och i den kombinerade analysen överensstämde i allmänhet med resultaten hos den totala populationen.
I studierna VIVIDDME och VISTADME hade 36 (9 %) respektive 197 (43 %) patienter tidigare fått anti‑VEGF‑terapi med en washout‑period på 3 månader eller längre. Behandlingseffekterna i undergruppen av patienter som behandlats med en VEGF‑hämmare liknade dem som sågs hos patienter som inte behandlats med VEGF‑hämmare.
Patienter med bilateral sjukdom kunde få anti‑VEGF‑behandling i det andra ögat om läkaren bedömde att det var nödvändigt. I studien VISTADME fick 217 (70,7 %) av aflibercept‑patienterna bilaterala injektioner med aflibercept till vecka 100; i studien VIVIDDME fick 97 (35,8 %) av aflibercept‑patienterna en annan anti‑VEGF‑behandling i det andra ögat.
I en oberoende jämförande studie (DRCR.net Protocol T) användes en flexibel doseringsregim där kriterierna för återbehandling strikt baserades på OCT och förändrad synskärpa. I behandlingsgruppen som fick aflibercept (n = 224), resulterade denna behandlingsregim i att patienterna vid vecka 52 i genomsnitt fått 9,2 injektioner, vilket motsvarade antalet administrerade doser i aflibercept 2Q8‑gruppen i VIVIDDME och VISTADME. Vidare var behandlingseffekten för hela afliberceptgruppen i Protocol T jämförbar med aflibercept 2Q8‑gruppen i VIVIDDME och VISTADME. Protocol T visade en genomsnittlig förbättring av synskärpan med 13,3 bokstäver och där 42 % av patienterna fick förbättrad synskärpa med minst 15 bokstäver från studiestart. Säkerhetsutfallet visade att incidensen av okulära och icke okulära biverkningar (inklusive ATEs) var jämförbara mellan alla behandlingsgrupper i varje studie samt mellan studierna.
VIOLET var en 100 veckor lång, multicenter, randomiserad, öppen, aktivt kontrollerad studie på patienter med DME. Studien jämförde tre olika doseringsregimer med aflibercept 2 mg för behandling av DME efter minst ett års behandling med fasta intervaller där behandlingen initierades med 5 månatliga doser följt av dosering varannan månad. Studien utvärderade non‑inferiority av aflibercept 2 mg doserad enligt en "treat‑and‑extend"‑modell (2T&E med injektionsintervall på minst 8 veckor som gradvis utökades baserat på kliniska och anatomiska resultat) och aflibercept 2 mg doserad efter behov (2PRN där patienter observerades var 4:e vecka och injicerades efter behov baserat på kliniska och anatomiska resultat) jämfört med aflibercept 2 mg doserad var 8:e vecka (2Q8) under andra och tredje behandlingsåret.
Det primära effektmåttet (förändring av BCVA från studiestart till vecka 52) var 0,5 ± 6,7 bokstäver i 2T&E‑gruppen och 1,7 ± 6,8 bokstäver i 2PRN‑gruppen jämfört med 0,4 ± 6,7 bokstäver i 2Q8gruppen, vilket uppnådde statistisk non‑inferiority (p<0,0001 för båda jämförelserna; NI marginal 4 bokstäver). Förändringarna av BCVA från studiestart till vecka 100 var i linje med resultaten vid vecka 52: ‑0,1 ± 9,1 bokstäver i 2T&E‑gruppen och 1,8 ± 9,0 bokstäver i 2PRN‑gruppen jämfört med 0,1 ± 7,2 bokstäver i 2Q8‑gruppen. Det genomsnittliga antalet injektioner under 100 veckor var 12,3, 10,0 och 11,5 för 2Q8fix, 2T&E respektive 2PRN.
Okulär och systemisk säkerhetsprofil i alla 3 behandlingsgrupper motsvarade säkerhetsprofilen i de pivotala studierna VIVID och VISTA.
I 2T&E‑gruppen gjordes ökningarna och minskningarna av injektionsintervallen enligt studieläkarens bedömning, steg på 2 veckor rekommenderades i studien.
Myopisk koroidal neovaskularisering
Säkerheten och effekten för aflibercept bedömdes i en randomiserad, dubbelmaskerad, kontrollerad multicenterstudie på behandlingsnaiva asiatiska patienter med myopisk CNV. Totalt behandlades och utvärderades 121 patienter för effekt (90 med aflibercept). Patienterna var mellan 27 och 83 år med en genomsnittsålder på 58 år. I den myopiska CNV‑studien var ca 36 % (33/91) av patienterna som randomiserades till behandling med aflibercept 65 år eller äldre, och ca 10 % (9/91) var 75 år eller äldre.
Patienterna randomiserades i förhållandet 3:1 till att få antingen 2 mg aflibercept intravitrealt eller simulerad injektion en gång vid studiestart med ytterligare injektioner månatligen i fall av kvarstående eller recidiverande sjukdom fram till vecka 24, då det primära effektmåttet bedömdes. Vecka 24 kunde patienter som initialt randomiserades till kontrollgruppen med simulerade injektioner få den första dosen aflibercept. Efter detta kunde patienter i båda grupperna fortsatt kvalificera sig för ytterligare injektioner i händelse av kvarstående eller recidiverande sjukdom.
Skillnaden mellan behandlingsgrupperna var statistiskt signifikant till fördel för aflibercept såväl för det primära effektmåttet (förändring av BCVA) som för det bekräftande sekundära effektmåttet (andel patienter som ökade 15 bokstäver på BCVA) vecka 24 jämfört med studiestart. Skillnaderna för båda effektmåtten bibehölls till och med vecka 48.
Detaljerade resultat från analysen av MYRROR‑studien visas i tabell 6 och figur 5 nedan.
Figur 5: Genomsnittlig förändring av synskärpa från studiestart till vecka 48 per behandlingsgrupp i MYRROR‑studien (Full Analysis Set, LOCF)
Pediatrisk population
Europeiska läkemedelsmyndigheten har beviljat undantag från kravet att skicka in studieresultat för referensläkemedlet som innehåller aflibercept, för alla grupper av den pediatriska populationen för våt AMD, CRVO, BRVO, DME och myopisk CNV (information om pediatrisk användning finns i avsnitt 4.2).
Aflibercept administreras direkt i glaskroppen för att utöva lokala effekter i ögat.
Absorption/Distribution
Aflibercept absorberas långsamt från ögat till den systemiska cirkulationen efter intravitreal administrering där den huvudsakligen finns som ett inaktivt, stabilt komplex med VEGF. Det är dock bara ”fritt aflibercept” som kan binda till endogent VEGF.
I en farmakokinetisk understudie på 6 patienter med neovaskulär våt AMD med frekvent provtagning var de maximala plasmakoncentrationerna av fritt aflibercept (systemiskt Cmax) låga, med ett genomsnitt på cirka 0,02 mikrogram/ml (intervall 0 till 0,054) inom 1 till 3 dagar efter en 2 mg intravitreal injektion, och kunde inte detekteras 2 veckor efter dosering hos nästan alla patienter. Aflibercept ackumuleras inte i plasma om det administreras intravitrealt var 4:e vecka.
Den genomsnittliga maximala plasmakoncentrationen av fritt aflibercept är cirka 50 till 500 gånger lägre än den afliberceptkoncentration som krävs för att hämma den biologiska aktiviteten hos systemiskt VEGF med 50 % i djurmodeller, hos vilka blodtrycksförändringar observerades efter cirkulerande nivåer av fritt aflibercept på cirka 10 mikrogram/ml och återgick till baslinjen när nivåerna föll under cirka 1 mikrogram/ml. Efter intravitreal administrering av 2 mg till patienter uppskattas den genomsnittliga maximala plasmakoncentrationen av fritt aflibercept vara mer än 100 gånger lägre än den afliberceptkoncentration som krävs för att till hälften maximalt binda systemiskt VEGF (2,91 mikrogram/ml) i en studie med friska frivilliga. Således är systemiska farmakodynamiska effekter som blodtrycksförändringar inte troliga.
I farmakokinetiska studier på patienter med CRVO, BRVO, DME eller myopisk CNV var genomsnittligt Cmax av fritt aflibercept i plasma likvärdiga och uppmättes i intervallet 0,03 till 0,05 mikrogram/ml och vidare noterades att individuella värden inte översteg 0,14 mikrogram/ml. Därefter minskade plasmakoncentrationerna av fritt aflibercept i allmänhet till värden under eller nära den nedre kvantifieringsgränsen inom en vecka; ej detekterbara koncentrationer nåddes före nästa administrering efter 4 veckor hos alla patienter.
Eliminering
Eftersom aflibercept är en proteinbaserad behandling har inga studier av metabolism utförts.
Fritt aflibercept binder VEGF för att bilda ett stabilt, inert komplex. I likhet med andra stora proteiner, förväntas både fritt och bundet aflibercept att elimineras via proteolytisk katabolism.
Nedsatt njurfunktion
Inga specifika studier hos patienter med nedsatt njurfunktion har utförts med aflibercept.
Farmakokinetisk analys av patienter i VIEW2‑studien, av vilka 40 % hade nedsatt njurfunktion (24 % lätt, 15 % måttlig och 1 % allvarlig), visade inga skillnader när det gäller plasmakoncentrationer av aktivt läkemedel efter intravitreal administrering var 4:e eller var 8:e vecka.
Liknande resultat sågs hos patienter med CRVO i GALILEO‑studien, hos patienter med DME i VIVIDDME‑studien och hos patienter med myopisk CNV i MYRROR‑studien.
Effekter i icke‑kliniska studier av allmäntoxicitet observerades bara vid systemisk exponering som i hög grad ansågs överstiga den maximala humana exponeringen efter intravitreal administrering vid den avsedda kliniska dosen, vilket indikerar liten relevans för klinisk användning.
Erosioner och alterationer av respiratoriskt epitel i näsmusslor hos apor behandlade med aflibercept intravitrealt observerades vid systemisk exponering som översteg den maximala humana exponeringen. Den systemiska exponeringen baserad på Cmax och AUC för fritt aflibercept var cirka 200- respektive 700-faldigt högre jämfört med motsvarande värden som observerats hos människor efter en intravitreal dos på 2 mg. Vid NOAEL (No Observed Adverse Effect Level) på 0,5 mg/öga hos apor var den systemiska exponeringen 42- och 56-faldigt högre baserat på Cmax respektive AUC.
Inga studier har utförts på mutagen eller karcinogen potential för aflibercept.
En effekt av aflibercept på intrauterin utveckling sågs i embryofetala utvecklingsstudier hos dräktiga kaniner med intravenös (3 till 60 mg/kg) samt subkutan (0,1 till 1 mg/kg) administrering. Maternell NOAEL var vid dosen 3 mg/kg respektive 1 mg/kg. NOAEL för embryoutveckling identifierades inte. Vid dosen 0,1 mg/kg var den systemiska exponeringen baserat på Cmax och kumulativ AUC för fritt aflibercept cirka 17 respektive 10 gånger högre, vid jämförelse med motsvarande doser observerade hos människor efter en intravitreal dos på 2 mg.
Effekter på manlig och kvinnlig fertilitet bedömdes som en del av en 6‑månaders studie på apor med intravenös administrering av aflibercept vid doser mellan 3 och 30 mg/kg. Avsaknad av eller orgelbunden mens förknippades med förändringar av nivåerna av kvinnligt reproduktionshormon, och förändringar av spermiernas morfologi och motilitet observerades vid alla dosnivåer. Baserat på Cmax och AUC för fritt aflibercept observerat vid 3 mg/kg intravenös dos, var den systemiska exponeringen cirka 4 900 respektive 1 500 gånger högre än den exponering som observerats hos människor efter en intravitreal dos på 2 mg. Alla förändringar var reversibla.
Farmakoterapeutisk grupp: Oftalmologiska preparat/antineovaskulariseringspreparat
ATC‑kod: S01LA05
Aflibercept är ett rekombinant fusionsprotein som består av delar av extracellulära domäner av humana VEGF‑receptorer 1 och 2 kopplade till Fc‑delen av humant IgG1.
Aflibercept framställs i ovarialceller från kinesisk hamster (CHO‑K1) med rekombinant DNA‑teknologi.
Aflibercept fungerar som en löslig, falsk receptor som binder VEGF‑A och PlGF med högre affinitet än deras naturliga receptorer, och som därmed kan hämma bindningen och aktiveringen av dessa besläktade VEGF‑receptorer.
Afqlir tillhör gruppen ”biosimilars”. Ytterligare information om detta läkemedel finns på Europeiska läkemedelsmyndighetens webbplats https://www.ema.europa.eu.
Verkningsmekanism
Vaskulär endotel tillväxtfaktor A (VEGF‑A) och placentatillväxtfaktor (PlGF) tillhör VEGF‑familjen av angiogena faktorer som kan verka som potenta mitogena, kemotaktiska och vaskulära permeabilitetsfaktorer för endotelceller. VEGF verkar via två tyrosinkinasreceptorer: VEGFR‑1 och VEGFR‑2, som finns på endotelcellernas yta. PlGF binder bara till VEGFR‑1, som också finns på leukocyternas yta. Kraftig aktivering av dessa receptorer av VEGF‑A kan leda till patologisk neovaskularisering och omfattande vaskulär permeabilitet. PlGF kan samverka med VEGF‑A i dessa processer, och är också känt för att främja leukocytinfiltration och vaskulär inflammation.
Farmakodynamisk effekt
Våt AMD
Våt AMD kännetecknas av patologisk koroidal neovaskularisering (CNV). Läckage av blod och vätska från CNV kan leda till näthinneförtjockning eller näthinneödem och/eller sub‑/intraretinal blödning, som leder till nedsatt synskärpa.
Hos patienter behandlade med aflibercept (en injektion per månad tre månader i rad, följt av en injektion varannan månad), minskade central retinal tjocklek [CRT] strax efter att behandlingen satts in, och den genomsnittliga CNV‑lesionsstorleken minskade, i enlighet med de resultat som sågs med ranibizumab 0,5 mg varje månad.
I VIEW1‑studien påvisades genomsnittlig minskning av CRT mätt med optisk koherenstomografi (OCT) (‑130 respektive ‑129 mikrometer vecka 52 för gruppen som fick aflibercept 2 mg varannan månad respektive gruppen som fick ranibizumab 0,5 mg varje månad). Den genomsnittliga minskningen av CRT på OCT påvisades också i vecka 52 av VIEW2‑studien (‑149 respektive ‑139 mikrometer i gruppen som fick aflibercept 2 mg varannan månad respektive ranibizumab 0,5 mg varje månad). Minskningen av CNV‑storlek och minskningen av CRT kvarstod i allmänhet under studiens andra år.
ALTAIR‑studien genomfördes på japanska patienter med tidigare obehandlad våt AMD och påvisade liknande resultat som VIEW‑studierna. I ALTAIR‑studien gavs 3 initiala månatliga injektioner aflibercept 2 mg följt av en injektion efter ytterligare två månader, och fortsatte därefter med en ”treat‑and‑extend”‑modell med varierande behandlingsintervaller (2‑ eller 4‑veckorsjusteringar) upp till maximalt 16 veckors intervall, enligt på förhand specificerade kriterier. Vecka 52 syntes en genomsnittlig minskning av central retinal tjocklek (CRT) mätt med OCT på ‑134,4 och ‑126,1 mikrometer i 2‑ respektive 4‑veckorsgruppen. Andelen patienter utan vätska vid OCT vecka 52 var 68,3 % och 69,1 % i 2‑ respektive 4‑veckorsgruppen. Reduktionen i CRT bibehölls överlag i bägge behandlingsgrupper under det andra året av ALTAIR‑studien.
ARIES‑studien utformades för att undersöka non‑inferiority av aflibercept 2 mg med "treat‑and‑extend"‑dosering initierad direkt efter administrering av 3 initiala månatliga injektioner och en ytterligare injektion efter 2 månader jämfört med "treat‑and‑extend"‑dosering initierad efter ett års behandling. För patienter som krävde dosering oftare än var 8:e vecka (Q8) minst en gång under studien, förblev CRT högre, men den genomsnittliga minskningen av CRT från studiestart till vecka 104 var ‑160,4 mikrometer, liknande för de patienter som behandlades var 8:e vecka (Q8) eller med mindre frekventa intervaller.
Makulaödem sekundärt till CRVO och BRVO
Vid CRVO och BRVO inträffar retinal ischemi som signalerar frisättningen av VEGF, som i sin tur destabiliserar de täta förbindelserna och främjar endotelcellsproliferation. Uppreglering av VEGF förknippas med nedbrytningen av blod‑retinabarriären, ökad vaskulär permeabilitet, retinalt ödem och neovaskulariseringskomplikationer.
Hos patienter behandlade med aflibercept 2 mg sex månader i följd sågs ett stabilt, snabbt och robust morfologiskt svar (som uppmättes gällande förbättring av genomsnittlig CRT). Vecka 24 var reduktionen av CRT statistiskt överlägsen jämfört med kontrollgruppen i alla tre studierna (COPERNICUS, CRVO: ‑457 vs. ‑145 mikrometer; GALILEO, CRVO: ‑449 vs. ‑169 mikrometer; VIBRANT, BRVO: ‑280 vs. ‑128 mikrometer).
Minskningen i CRT från studiestart kvarstod till slutet av varje studie, d.v.s. till vecka 100 för COPERNICUS, vecka 76 för GALILEO, och vecka 52 för VIBRANT.
Diabetiska makulaödem
Diabetiska makulaödem är en konsekvens av diabetisk retinopati och kännetecknas av ökad vasopermeabilitet och skada på retinala kapillärer som kan leda till nedsatt synskärpa.
Hos patienter behandlade med aflibercept, av vilka huvuddelen klassificerades som Typ II‑diabetiker, observerades ett snabbt och robust svar på morfologi (CRT och Diabetic Retinopathy Severity Score (DRSS)).
I studierna VIVIDDME och VISTADME var den genomsnittliga minskningen av CRT från studiestart till vecka 52 statistiskt sett betydligt större hos patienter som behandlades med aflibercept jämfört med laserkontrollgrupperna, och var ‑192,4 och ‑183,1 mikrometer för 2Q8 aflibercept‑grupperna respektive ‑66,2 och ‑73,3 mikrometer för kontrollgrupperna. Vecka 100 bibehölls minskningen med ‑195,8 och ‑191,1 mikrometer för 2Q8 aflibercept‑grupperna och med ‑85,7 och ‑83,9 mikrometer för kontrollgrupperna i studierna VIVIDDME respektive VISTADME.
En ≥ 2‑stegsförbättring av DRSS uppskattades enligt förspecificerade kriterier i VIVIDDME och VISTADME. DRSS‑resultatet var graderbart hos 73,7 % av patienterna i VIVID‑ DME och 98,3 % av patienterna i VISTA‑DME. Vecka 52 upplevde 27,7 % och 29,1 % i aflibercept 2Q8‑grupperna och 7,5 % och 14,3 % i kontrollgrupperna en ≥ 2‑stegsförbättring i DRSS. Vecka 100 var respektive procentandel 32,6 % och 37,1 % i aflibercept 2Q8‑grupperna och 8,2 % och 15,6 % i kontrollgrupperna.
VIOLET‑studien jämförde tre olika doseringsregimer med aflibercept 2 mg för behandling av DME efter minst ett års behandling med fasta intervaller, där behandlingen inleddes med 5 månatliga doser följt av dosering varannan månad. Vid vecka 52 och vecka 100 av studien, dvs andra och tredje behandlingsåret, var de genomsnittliga förändringarna i CRT kliniskt jämförbara vid "treat‑and‑extend" (2T&E), efter behov (pro re nata, 2PRN) respektive 2Q8‑dosering, ‑2,1, 2,2 och 18,8 mikrometer vid vecka 52 och 2,3, ‑13,9 och ‑15,5 mikrometer vid vecka 100.
Myopisk koroidal neovaskularisering
Myopisk koroidal neovaskularisering (myopisk CNV) är en vanlig orsak till synnedsättning hos vuxna med patologisk myopi. Det utvecklas som en sårläkningsmekanism som en följd av rupturer i Bruchs membran och utgör den största synhotande händelsen vid patologisk mypoi.
Hos patienter behandlade med aflibercept i MYRROR‑studien (en injektion given vid behandlingsstart, följt av ytterligare injektioner i händelse av kvarstående eller recidiverande sjukdom) minskade CRT strax efter behandlingsstart till fördel för aflibercept vecka 24 (‑79 mikrometer för gruppen som behandlades med aflibercept 2 mg och ‑4 mikrometer i kontrollgruppen), vilket kvarstod till och med vecka 48. Dessutom minskade den genomsnittliga CNV‑lesionen.
Klinisk effekt och säkerhet
Våt AMD
Säkerheten och effekten för aflibercept bedömdes i två randomiserade, dubbelmaskerade, aktivt kontrollerade multicenterstudier på patienter med våt AMD (VIEW1 och VIEW2) där totalt 2 412 patienter (1 817 med aflibercept) behandlades och utvärderades för effekt. Patienterna var mellan 49 och 99 år med en genomsnittsålder på 76 år. I dessa kliniska studier var ca 89 % (1 616/1 817) av patienterna som randomiserats till behandling med aflibercept 65 år eller äldre och ca 63 % (1 139/1 817) var 75 år eller äldre. I varje studie indelades patienterna slumpmässigt i kvoten 1:1:1:1 till 1 av 4 doseringsregimer:
1) aflibercept 2 mg administrerat var 8:e vecka efter 3 initiala månadsdoser ( aflibercept 2Q8)
2) aflibercept 2 mg administrerat var 4:e vecka (aflibercept 2Q4)
3) aflibercept 0,5 mg administrerat var 4:e vecka (aflibercept 0,5Q4)
4) ranibizumab 0,5 mg administrerat var 4:e vecka (ranibizumab 0,5Q4).
Under studiernas andra år fick patienterna fortsatt samma initialt randomiserade dos, men med ett doseringsschema som modifierats efter bedömning av synskärpa och anatomiska resultat med ett protokolldefinierat maximalt doseringsintervall på 12 veckor.
I båda studierna var det primära resultatmåttet den andel patienter i ”Per Protocol Set” som bibehöll synskärpan, d.v.s. som förlorade färre än 15 bokstäver i synskärpa vecka 52 jämfört med studiestart.
Vecka 52 i VIEW1‑studien hade 95,1 % av patienterna i gruppen aflibercept 2Q8 bibehållen syn jämfört med 94,4 % av patienterna i ranibizumabgruppen 0,5Q4. Vecka 52 i VIEW2‑studien hade 95,6 % av patienterna i gruppen aflibercept 2Q8 bibehållen syn jämfört med 94,4 % av patienterna i ranibizumabgruppen 0,5Q4. I båda studierna visade sig aflibercept vara non‑inferior och kliniskt likvärdig med ranibizumabgruppen 0,5Q4.
Detaljerade resultat från den kombinerade analysen av båda studierna visas i tabell 2 och figur 1 nedan.
Figur 1. Genomsnittlig förändring av synskärpa från studiestart till vecka 96 för kombinerade data från VIEW1‑ och VIEW2‑studierna
I den kombinerade datanalysen av VIEW1 och VIEW2 visade aflibercept kliniskt betydande förändringar från studiestart i ett fördefinierat sekundärt effektmått i frågeformuläret National Eye Institute Visual Function Questionnaire (NEI VFQ‑25) utan kliniskt betydande skillnader jämfört med ranibizumab. Storleken på dessa förändringar liknande de som setts i publicerade studier, som överensstämde med en ökning på 15‑bokstäver på BCVA (Best Corrected Visual Acuity).
Under studiernas andra år kvarstod i allmänhet effekten t.o.m. den sista bedömningen vecka 96. 2‑4 % av patienterna fick alla injektioner månadsvis, och en tredjedel krävde åtminstone en injektion med ett behandlingsintervall på endast en månad.
Minskningar av genomsnittligt CNV‑område var tydligt i alla dosgrupper i båda studierna.
Effektresultat i alla utvärderingsbara undergrupper (t.ex. ålder, kön, etnicitet, synskärpa vid studiestart, lesionstyp, lesionsstorlek) i varje studie för sig och i den kombinerade analysen överensstämde med resultaten hos de totala populationerna.
ALTAIR var en 96 veckor lång, multicenter, randomiserad, öppen studie med 247 japanska patienter med tidigare obehandlad våt AMD. Studien utformades för att mäta effekten och säkerheten hos aflibercept med två olika justeringsintervall (2‑veckors och 4‑veckors) i en ”treat‑and‑extend”‑modell.
Alla patienter fick månatliga injektioner med aflibercept 2 mg i 3 månader och därefter en injektion efter ytterligare 2‑månader. Vecka 16 randomiserades patienterna i kvoten 1:1 till två olika behandlingsgrupper: 1) aflibercept ”treat‑and‑extend” med 2‑veckorsjusteringar och 2) aflibercept ”treat‑and‑extend” med 4‑veckorsjusteringar. Utökat eller förkortat behandlingsintervall beslutades på basis av synskärpa och/eller anatomiska kriterier som definierades enligt protokoll. Behandlingsintervallet var maximalt 16 veckor i båda grupperna.
Det primära effektmåttet var genomsnittlig förändring av BCVA från studiestart till vecka 52. De sekundära effektmåtten var andelen patienter som undvek förlust av ≥15 bokstäver, och andelen patienter som förbättrade ≥ 15 bokstäver BCVA från studiestart till vecka 52.
Vecka 52 förbättrade patienter i ”treat‑and‑extend”‑gruppen med 2‑veckorsjustering i genomsnitt 9,0 bokstäver från studiestart jämfört med 8,4 bokstäver för dem i gruppen med 4‑veckorsjustering [LS genomsnittlig skillnad i bokstäver (95 % CI): 0,4 (‑3,8, 3,0), ANCOVA]. Andelen patienter som undvek förlust av ≥15 bokstäver i de två behandlingsgrupperna var likvärdig (96,7 % i 2‑veckors och 95,9 % i 4‑veckorsgruppen). Andelen patienter som förbättrade ≥15 bokstäver vecka 52 var 32,5 % i 2‑veckorsgruppen och 30,9 % i 4‑veckorsgruppen. Andelen patienter som ökade behandlingsintervallet till 12 veckor eller mer var 42,3 % i 2‑veckorsgruppen och 49,6 % i 4-veckorsgruppen. I 4‑veckorsgruppen förlängdes dessutom 40,7 % av patienterna till 16-veckorsintervall. Vid det sista besöket fram till vecka 52, fick 56,8 % och 57,8 % i 2‑ respektive 4-veckorsgruppen sin nästa injektion planerad i ett intervall på 12 veckor eller längre.
I studiens andra år bibehölls effekten generellt fram till och med den sista bedömningen vid vecka 96, med en genomsnittlig förbättring jämfört med studiestart på 7,6 bokstäver för 2‑veckorsgruppen och 6,1 bokstäver för 4‑veckorsgruppen. Andelen patienter som ökade behandlingsintervallet till 12 veckor eller mer var 56,9 % i 2‑veckorsgruppen och 60,2 % i 4‑veckorsgruppen. Vid det sista besöket innan vecka 96, fick 64,9 % och 61,2 % i 2‑ respektive 4‑veckorsgruppen sin nästa injektion planerad i ett intervall på 12 veckor eller längre. Under behandlingens andra år fick patienter både i 2‑ och i 4veckorsgruppen i genomsnitt 3,6 respektive 3,7 injektioner. I genomsnitt fick patienterna 10,4 injektioner under den 2‑åriga behandlingsperioden.
De okulära och systemiska säkerhetsprofilerna liknade säkerheten som observerats i de pivotala VIEW1‑ och VIEW2‑studierna.
ARIES var en 104 veckor lång, multicenter, randomiserad, öppen, aktivt kontrollerad studie med 269 patienter med tidigare obehandlad våt AMD. Studien utformades för att bedöma non‑inferiority vad gäller effekt och säkerhet för en "treat‑and‑extend"‑dosering initierad efter 3 månatliga doser följt av en förlängning till ett behandlingsintervall på 2 månader jämfört med en "treat‑and‑extend"‑dosering initierad efter det första årets behandling.
ARIES‑studien undersökte också andelen patienter som krävde mer frekvent behandling än var 8:e vecka baserat på studieläkarens beslut. Av de 269 patienterna fick 62 patienter mer frekvent dosering minst en gång under studien. Dessa patienter stannade kvar i studien och behandlades enligt studieläkarens kliniska bedömning men inte oftare än var 4:e vecka och deras behandlingsintervall kunde förlängas igen senare. Det genomsnittliga behandlingsintervallet var 6,1 veckor efter beslut att behandla mer frekvent. Vecka 104 var BCVA lägre hos patienter som krävde mer intensiv behandling minst en gång under studien jämfört med patienter som inte gjorde det och genomsnittlig förändring i BCVA från studiestart till avslut var +2,3 ±15.6 bokstäver. Bland patienterna som behandlades mer frekvent, bibehöll 85,5% synen, dvs förlorade mindre än 15 bokstäver, och 19,4% förbättrades med 15 bokstäver eller mer. Säkerhetsprofilen hos patienter som behandlades mer frekvent än var 8:e vecka var jämförbar med säkerhetsdata i VIEW 1 och VIEW 2.
Makulaödem sekundärt till CRVO
Säkerheten och effekten för aflibercept bedömdes i två randomiserade, dubbelmaskerade,
multicenterstudier med simulerad kontroll hos patienter med makulaödem sekundärt till CRVO (COPERNICUS och GALILEO) där totalt 358 patienter behandlades och bedömdes för effekt (217 med aflibercept). Patienterna var mellan 22 och 89 år med en genomsnittsålder på 64 år. I CRVO‑studierna var 52 % (112/217) av patienterna som randomiserats till behandling med aflibercept 65 år eller äldre, och ca 18 % (38/217) var 75 år eller äldre. I båda studierna delades patienterna slumpvis in enligt en 3:2‑kvot till antingen 2 mg aflibercept administrerat var 4:e vecka (2Q4) eller kontrollgruppen som fick simulerade injektioner var 4:e vecka med totalt 6 injektioner.
Efter 6 månaders injektioner i en följd fick patienterna bara behandling om de uppfyllde de i förväg specificerade återbehandlingskriterierna, förutom patienterna i kontrollgruppen i GALILEO‑studien som fortsatt fick simulerade injektioner (kontroll till kontroll) till och med vecka 52. Med början från den här tidpunkten behandlades alla patienter om de i förväg specificerade kriterierna uppfylldes.
I båda studierna var det primära effektmåttet andelen patienter som ökade minst 15 bokstäver på BCVA vecka 24 jämfört med studiestart. En sekundär effektvariabel var förändring av synskärpan vecka 24 jämfört med studiestart.
Skillnaden mellan behandlingsgrupperna var statistiskt signifikant till fördel för aflibercept i båda studierna. Den maximala förbättringen av synskärpa nåddes månad 3 med efterföljande stabilisering av synskärpa och CRT till månad 6. Den statistiskt signifikanta skillnaden kvarstod till och med vecka 52.
Detaljerade resultat från analysen av båda studierna visas i tabell 3 och figur 2 nedan.
Figur 2: Genomsnittlig förändring av synskärpa från studiestart till vecka 76/100 per behandlingsgrupp för COPERNICUS‑ och GALILEO‑studierna (Full Analysis Set)
I GALILEO hade 86,4 % (n = 89) i aflibercept‑gruppen och 79,4 % (n = 54) i sham‑gruppen perfunderad CRVO vid studiestart. Vecka 24 var fördelningen 91,8 % (n = 89) i aflibercept‑gruppen och 85,5 % (n = 47) i sham‑gruppen. Denna fördelning bibehölls vecka 76, med 84,3 % (n = 75) i aflibercept‑gruppen och 84,0 % (n = 42) i sham‑gruppen.
I COPERNICUS hade 67,5 % (n = 77) i aflibercept‑gruppen och 68,5 % (n = 50) i sham‑gruppen perfunderande CRVO vid studiestart. Vecka 24 var fördelningen 87,4 % (n = 90) i aflibercept‑gruppen och 58,6 % (n = 34) i sham‑gruppen. Denna fördelning kvarstod vecka 100 med 76,8 % (n = 76) i afliberceptgruppen och 78 % (n = 39) i sham‑gruppen. Patienter i sham‑gruppen var berättigade till aflibercept-behandling från vecka 24.
Den positiva effekten på synen vid aflibercept‑behandling var likvärdig i undergrupperna perfunderade och icke perfunderade patienter. Behandlingseffekterna i andra bedömningsbara undergrupper (t.ex. ålder, kön, etnicitet, synskärpa vid studiestart, varaktighet av CRVO) överensstämde generellt med resultaten för totala populationer.
Vid analys av kombinerade data från GALILEO och COPERNICUS visade aflibercept kliniskt betydande förändring från studiestart för i förväg specificerad sekundär effektendpoint NEI VFQ‑25 (National Eye Institute Visual Function Questionnaire). Storleken på dessa förändringar liknade dem som sågs i publicerade studier, vilket motsvarade en förbättring med 15 bokstäver i BCVA (Best Corrected Visual Acuity).
Makulaödem sekundärt till BRVO
Säkerhet och effekt för aflibercept bedömdes i en randomiserad, dubbelmaskerad, aktivt kontrollerad multicenterstudie på patienter med makulaödem sekundärt till BRVO (VIBRANT), som inkluderade hemiretinal venocklusion. Totalt 181 patienter behandlades och bedömdes gällande behandlingseffekt (91 med aflibercept). Patienternas ålder varierade från 42 till 94 år med en genomsnittsålder på 65 år. I BRVO‑studien var ca 58% (53/91) av de patienter som randomiserats till aflibercept 65 år eller äldre, och ca 23% (21/91) var 75 år eller äldre. I studien delades patienterna slumpvis in enligt en 1:1‑kvot till antingen 2 mg aflibercept administrerat var 8:e vecka, följt av 6 initiala månadsinjektioner eller fotokoagulering med laser givet vid studiestart (laserkontrollgrupp). Patienter i laserkontrollgruppen kunde få ytterligare fotokoagulering med laser (kallat ”rescue‑behandling” med laser) med början vecka 12 med ett minsta intervall på 12 veckor. Baserat på i förväg specificerade kriterier kunde patienter i lasergruppen vid behov få rescue‑behandling med aflibercept 2 mg från vecka 24, administrerat var 4:e vecka under 3 månader, följt av intravitreala injektioner var 8:e vecka.
I VIBRANT‑studien var det primära effektmåttet andelen patienter som ökade minst 15 bokstäver på BCVA vecka 24 jämfört med studiestart och aflibercept‑gruppen var överlägsen laserkontrollgruppen.
Ett sekundärt effektmått var förändring i synskärpan vecka 24 jämfört med studiestart, vilket var statistiskt signifikant till fördel för aflibercept i VIBRANT‑studien. Synförbättringen var snabb och maximal förbättring hade uppnåtts månad 3 med kvarstående behandlingseffekt till månad 12.I lasergruppen fick 67 patienter rescue‑behandling med aflibercept med början vecka 24 (aktiv kontroll/ aflibercept 2 mg grupp), vilket resulterade i förbättring av synskärpan med cirka 5 bokstäver från vecka 24 till vecka 52.
Detaljerade resultat från analysen i VIBRANT‑studien visas i tabell 4 och figur 3 nedan.
Figur 3: Genomsnittlig förändring av BCVA mätt med ETDRS (bokstäver) från studiestart till vecka 52 i VIBRANT‑studien
Andelen perfunderade patienter i aflibercept‑gruppen och lasergruppen vid studiestart var 60 % respektive 68 %. Vid vecka 24 var dessa andelar 80 % respektive 67 %. I aflibercept‑gruppen var andelen perfunderade patienter bibehållen till vecka 52. I lasergruppen där patienter var lämpliga för ”rescuebehandling” med aflibercept med början vecka 24 ökade andelen perfunderade patienter till 78 % vecka 52.
Diabetiska makulaödem
Säkerheten och effekten för aflibercept bedömdes i två randomiserade, dubbelmaskerade, aktivt kontrollerade mulitcenterstudier på patienter med DME (VIVIDDME och VISTADME). Totalt 862 patienter behandlades och utvärderades för effekt, varav 576 med aflibercept. Patienterna var mellan 23 och 87 år med en genomsnittsålder på 63 år. I DME‑studierna var ca 47% (268/576) av de patienter som randomiserats till behandling med aflibercept 65 år eller äldre, och ca 9% (52/576) var 75 år eller äldre. Majoriteten av patienterna i båda studierna hade typ II‑diabetes.
I båda studierna indelades patienterna slumpmässigt i kvoten 1:1:1 till 1 av 3 doseringsregimer:
1) aflibercept 2 mg administrerat var 8:e vecka efter 5 initiala månatliga injektioner (aflibercept 2Q8)
2) aflibercept 2 mg administrerat var 4:e vecka (aflibercept 2Q4)
3) fotokoagulering av makula med laser (aktiv kontroll).
Med början vecka 24 kunde patienter som uppfyllde en förspecificerad tröskel av synförlust få ytterligare behandling: patienter i aflibercept‑grupperna kunde få laser och patienterna i kontrollgruppen kunde få aflibercept.
I båda studierna var det primära effektmåttet den genomsnittliga förändringen av BCVA från studiestart till vecka 52 och både aflibercept 2Q8‑ och aflibercept 2Q4‑grupperna visade på statistisk signifikans och var överlägsna kontrollgruppen. Denna nytta kvarstod till vecka 100.
Detaljerade resultat från analysen av studierna VIVIDDME och VISTADME visas i tabell 5 och figur 4 nedan.
Figur 4: Genomsnittlig förändring av BCVA uppmätt med ETDRS (bokstäver) från studiestart till vecka 100 i studierna VIVIDDME och VISTADME
Behandlingseffekterna av utvärderingsbara undergrupper (t.ex. ålder, kön, etnicitet, HbA1c vid studiestart, synskärpa vid studiestart, tidigare anti‑VEGF‑behandling) i respektive studie och i den kombinerade analysen överensstämde i allmänhet med resultaten hos den totala populationen.
I studierna VIVIDDME och VISTADME hade 36 (9 %) respektive 197 (43 %) patienter tidigare fått anti‑VEGF‑terapi med en washout‑period på 3 månader eller längre. Behandlingseffekterna i undergruppen av patienter som behandlats med en VEGF‑hämmare liknade dem som sågs hos patienter som inte behandlats med VEGF‑hämmare.
Patienter med bilateral sjukdom kunde få anti‑VEGF‑behandling i det andra ögat om läkaren bedömde att det var nödvändigt. I studien VISTADME fick 217 (70,7 %) av aflibercept‑patienterna bilaterala injektioner med aflibercept till vecka 100; i studien VIVIDDME fick 97 (35,8 %) av aflibercept‑patienterna en annan anti‑VEGF‑behandling i det andra ögat.
I en oberoende jämförande studie (DRCR.net Protocol T) användes en flexibel doseringsregim där kriterierna för återbehandling strikt baserades på OCT och förändrad synskärpa. I behandlingsgruppen som fick aflibercept (n = 224), resulterade denna behandlingsregim i att patienterna vid vecka 52 i genomsnitt fått 9,2 injektioner, vilket motsvarade antalet administrerade doser i aflibercept 2Q8‑gruppen i VIVIDDME och VISTADME. Vidare var behandlingseffekten för hela afliberceptgruppen i Protocol T jämförbar med aflibercept 2Q8‑gruppen i VIVIDDME och VISTADME. Protocol T visade en genomsnittlig förbättring av synskärpan med 13,3 bokstäver och där 42 % av patienterna fick förbättrad synskärpa med minst 15 bokstäver från studiestart. Säkerhetsutfallet visade att incidensen av okulära och icke okulära biverkningar (inklusive ATEs) var jämförbara mellan alla behandlingsgrupper i varje studie samt mellan studierna.
VIOLET var en 100 veckor lång, multicenter, randomiserad, öppen, aktivt kontrollerad studie på patienter med DME. Studien jämförde tre olika doseringsregimer med aflibercept 2 mg för behandling av DME efter minst ett års behandling med fasta intervaller där behandlingen initierades med 5 månatliga doser följt av dosering varannan månad. Studien utvärderade non‑inferiority av aflibercept 2 mg doserad enligt en "treat‑and‑extend"‑modell (2T&E med injektionsintervall på minst 8 veckor som gradvis utökades baserat på kliniska och anatomiska resultat) och aflibercept 2 mg doserad efter behov (2PRN där patienter observerades var 4:e vecka och injicerades efter behov baserat på kliniska och anatomiska resultat) jämfört med aflibercept 2 mg doserad var 8:e vecka (2Q8) under andra och tredje behandlingsåret.
Det primära effektmåttet (förändring av BCVA från studiestart till vecka 52) var 0,5 ± 6,7 bokstäver i 2T&E‑gruppen och 1,7 ± 6,8 bokstäver i 2PRN‑gruppen jämfört med 0,4 ± 6,7 bokstäver i 2Q8gruppen, vilket uppnådde statistisk non‑inferiority (p<0,0001 för båda jämförelserna; NI marginal 4 bokstäver). Förändringarna av BCVA från studiestart till vecka 100 var i linje med resultaten vid vecka 52: ‑0,1 ± 9,1 bokstäver i 2T&E‑gruppen och 1,8 ± 9,0 bokstäver i 2PRN‑gruppen jämfört med 0,1 ± 7,2 bokstäver i 2Q8‑gruppen. Det genomsnittliga antalet injektioner under 100 veckor var 12,3, 10,0 och 11,5 för 2Q8fix, 2T&E respektive 2PRN.
Okulär och systemisk säkerhetsprofil i alla 3 behandlingsgrupper motsvarade säkerhetsprofilen i de pivotala studierna VIVID och VISTA.
I 2T&E‑gruppen gjordes ökningarna och minskningarna av injektionsintervallen enligt studieläkarens bedömning, steg på 2 veckor rekommenderades i studien.
Myopisk koroidal neovaskularisering
Säkerheten och effekten för aflibercept bedömdes i en randomiserad, dubbelmaskerad, kontrollerad multicenterstudie på behandlingsnaiva asiatiska patienter med myopisk CNV. Totalt behandlades och utvärderades 121 patienter för effekt (90 med aflibercept). Patienterna var mellan 27 och 83 år med en genomsnittsålder på 58 år. I den myopiska CNV‑studien var ca 36 % (33/91) av patienterna som randomiserades till behandling med aflibercept 65 år eller äldre, och ca 10 % (9/91) var 75 år eller äldre.
Patienterna randomiserades i förhållandet 3:1 till att få antingen 2 mg aflibercept intravitrealt eller simulerad injektion en gång vid studiestart med ytterligare injektioner månatligen i fall av kvarstående eller recidiverande sjukdom fram till vecka 24, då det primära effektmåttet bedömdes. Vecka 24 kunde patienter som initialt randomiserades till kontrollgruppen med simulerade injektioner få den första dosen aflibercept. Efter detta kunde patienter i båda grupperna fortsatt kvalificera sig för ytterligare injektioner i händelse av kvarstående eller recidiverande sjukdom.
Skillnaden mellan behandlingsgrupperna var statistiskt signifikant till fördel för aflibercept såväl för det primära effektmåttet (förändring av BCVA) som för det bekräftande sekundära effektmåttet (andel patienter som ökade 15 bokstäver på BCVA) vecka 24 jämfört med studiestart. Skillnaderna för båda effektmåtten bibehölls till och med vecka 48.
Detaljerade resultat från analysen av MYRROR‑studien visas i tabell 6 och figur 5 nedan.
Figur 5: Genomsnittlig förändring av synskärpa från studiestart till vecka 48 per behandlingsgrupp i MYRROR‑studien (Full Analysis Set, LOCF)
Pediatrisk population
Europeiska läkemedelsmyndigheten har beviljat undantag från kravet att skicka in studieresultat för referensläkemedlet som innehåller aflibercept, för alla grupper av den pediatriska populationen för våt AMD, CRVO, BRVO, DME och myopisk CNV (information om pediatrisk användning finns i avsnitt 4.2).
Aflibercept administreras direkt i glaskroppen för att utöva lokala effekter i ögat.
Absorption/Distribution
Aflibercept absorberas långsamt från ögat till den systemiska cirkulationen efter intravitreal administrering där den huvudsakligen finns som ett inaktivt, stabilt komplex med VEGF. Det är dock bara ”fritt aflibercept” som kan binda till endogent VEGF.
I en farmakokinetisk understudie på 6 patienter med neovaskulär våt AMD med frekvent provtagning var de maximala plasmakoncentrationerna av fritt aflibercept (systemiskt Cmax) låga, med ett genomsnitt på cirka 0,02 mikrogram/ml (intervall 0 till 0,054) inom 1 till 3 dagar efter en 2 mg intravitreal injektion, och kunde inte detekteras 2 veckor efter dosering hos nästan alla patienter. Aflibercept ackumuleras inte i plasma om det administreras intravitrealt var 4:e vecka.
Den genomsnittliga maximala plasmakoncentrationen av fritt aflibercept är cirka 50 till 500 gånger lägre än den afliberceptkoncentration som krävs för att hämma den biologiska aktiviteten hos systemiskt VEGF med 50 % i djurmodeller, hos vilka blodtrycksförändringar observerades efter cirkulerande nivåer av fritt aflibercept på cirka 10 mikrogram/ml och återgick till baslinjen när nivåerna föll under cirka 1 mikrogram/ml. Efter intravitreal administrering av 2 mg till patienter uppskattas den genomsnittliga maximala plasmakoncentrationen av fritt aflibercept vara mer än 100 gånger lägre än den afliberceptkoncentration som krävs för att till hälften maximalt binda systemiskt VEGF (2,91 mikrogram/ml) i en studie med friska frivilliga. Således är systemiska farmakodynamiska effekter som blodtrycksförändringar inte troliga.
I farmakokinetiska studier på patienter med CRVO, BRVO, DME eller myopisk CNV var genomsnittligt Cmax av fritt aflibercept i plasma likvärdiga och uppmättes i intervallet 0,03 till 0,05 mikrogram/ml och vidare noterades att individuella värden inte översteg 0,14 mikrogram/ml. Därefter minskade plasmakoncentrationerna av fritt aflibercept i allmänhet till värden under eller nära den nedre kvantifieringsgränsen inom en vecka; ej detekterbara koncentrationer nåddes före nästa administrering efter 4 veckor hos alla patienter.
Eliminering
Eftersom aflibercept är en proteinbaserad behandling har inga studier av metabolism utförts.
Fritt aflibercept binder VEGF för att bilda ett stabilt, inert komplex. I likhet med andra stora proteiner, förväntas både fritt och bundet aflibercept att elimineras via proteolytisk katabolism.
Nedsatt njurfunktion
Inga specifika studier hos patienter med nedsatt njurfunktion har utförts med aflibercept.
Farmakokinetisk analys av patienter i VIEW2‑studien, av vilka 40 % hade nedsatt njurfunktion (24 % lätt, 15 % måttlig och 1 % allvarlig), visade inga skillnader när det gäller plasmakoncentrationer av aktivt läkemedel efter intravitreal administrering var 4:e eller var 8:e vecka.
Liknande resultat sågs hos patienter med CRVO i GALILEO‑studien, hos patienter med DME i VIVIDDME‑studien och hos patienter med myopisk CNV i MYRROR‑studien.
Effekter i icke‑kliniska studier av allmäntoxicitet observerades bara vid systemisk exponering som i hög grad ansågs överstiga den maximala humana exponeringen efter intravitreal administrering vid den avsedda kliniska dosen, vilket indikerar liten relevans för klinisk användning.
Erosioner och alterationer av respiratoriskt epitel i näsmusslor hos apor behandlade med aflibercept intravitrealt observerades vid systemisk exponering som översteg den maximala humana exponeringen. Den systemiska exponeringen baserad på Cmax och AUC för fritt aflibercept var cirka 200- respektive 700-faldigt högre jämfört med motsvarande värden som observerats hos människor efter en intravitreal dos på 2 mg. Vid NOAEL (No Observed Adverse Effect Level) på 0,5 mg/öga hos apor var den systemiska exponeringen 42- och 56-faldigt högre baserat på Cmax respektive AUC.
Inga studier har utförts på mutagen eller karcinogen potential för aflibercept.
En effekt av aflibercept på intrauterin utveckling sågs i embryofetala utvecklingsstudier hos dräktiga kaniner med intravenös (3 till 60 mg/kg) samt subkutan (0,1 till 1 mg/kg) administrering. Maternell NOAEL var vid dosen 3 mg/kg respektive 1 mg/kg. NOAEL för embryoutveckling identifierades inte. Vid dosen 0,1 mg/kg var den systemiska exponeringen baserat på Cmax och kumulativ AUC för fritt aflibercept cirka 17 respektive 10 gånger högre, vid jämförelse med motsvarande doser observerade hos människor efter en intravitreal dos på 2 mg.
Effekter på manlig och kvinnlig fertilitet bedömdes som en del av en 6‑månaders studie på apor med intravenös administrering av aflibercept vid doser mellan 3 och 30 mg/kg. Avsaknad av eller orgelbunden mens förknippades med förändringar av nivåerna av kvinnligt reproduktionshormon, och förändringar av spermiernas morfologi och motilitet observerades vid alla dosnivåer. Baserat på Cmax och AUC för fritt aflibercept observerat vid 3 mg/kg intravenös dos, var den systemiska exponeringen cirka 4 900 respektive 1 500 gånger högre än den exponering som observerats hos människor efter en intravitreal dos på 2 mg. Alla förändringar var reversibla.
Förvaras i originalförpackningen. Ljuskänsligt.
Det oöppnade blistret kan förvaras utanför kylskåp vid högst 30 °C i upp till 14 dagar. Använd aseptisk teknik efter att blistret har öppnats.
Lösning i en förfylld spruta (typ I‑glas) märkt med en doseringslinje, med en kolvpropp (elastomergummi) och en Luer‑lock‑adapter med ett lock (elastomergummi). Varje förfylld spruta innehåller en volym på minst 0,165 ml. Förpackningsstorlek: 1 förfylld spruta.
Den förfyllda sprutan är endast avsedd för engångsbruk i ett öga. Extraktion av flera doser från en förfylld spruta kan öka risken för kontamination och efterföljande infektion.
Den förfyllda sprutan innehåller mer än den rekommenderade dosen på 2 mg aflibercept (motsvarande 0,05 ml).
Bruksanvisning för den förfyllda sprutan:
Förvaring och inspektion
Förberedelse och administration
Varje förfylld spruta ska endast användas för behandling av ett enda öga.
Öppna inte blistret med den sterila förfyllda sprutan utanför det rena administrationsrummet.
För den intravitreala injektionen ska en 30 G x ½ tum injektionsnål användas.
Använd aseptisk teknik för att utföra följande steg.
Beskrivning av den förfyllda sprutan
Polysorbat 20 (E 432)
Histidin
L-Histidin monohydroklorid monohydrat
Trehalosdihydrat
Natriumhydroxid (för pH-justering)
Saltsyra (för pH-justering)
Vatten för injektionsvätskor
Då blandbarhetsstudier saknas får detta läkemedel inte blandas med andra läkemedel.
3 år
Förvaras i kylskåp (2 °C ‑ 8 °C).
Får ej frysas.
Förvaras i originalförpackningen. Ljuskänsligt.
Det oöppnade blistret kan förvaras utanför kylskåp vid högst 30 °C i upp till 14 dagar. Använd aseptisk teknik efter att blistret har öppnats.
Lösning i en förfylld spruta (typ I‑glas) märkt med en doseringslinje, med en kolvpropp (elastomergummi) och en Luer‑lock‑adapter med ett lock (elastomergummi). Varje förfylld spruta innehåller en volym på minst 0,165 ml. Förpackningsstorlek: 1 förfylld spruta.
Den förfyllda sprutan är endast avsedd för engångsbruk i ett öga. Extraktion av flera doser från en förfylld spruta kan öka risken för kontamination och efterföljande infektion.
Den förfyllda sprutan innehåller mer än den rekommenderade dosen på 2 mg aflibercept (motsvarande 0,05 ml).
Bruksanvisning för den förfyllda sprutan:
Förvaring och inspektion
Förberedelse och administration
Varje förfylld spruta ska endast användas för behandling av ett enda öga.
Öppna inte blistret med den sterila förfyllda sprutan utanför det rena administrationsrummet.
För den intravitreala injektionen ska en 30 G x ½ tum injektionsnål användas.
Använd aseptisk teknik för att utföra följande steg.
Beskrivning av den förfyllda sprutan
Fertila kvinnor ska använda effektiv preventivmetod under behandling och under minst 3 månader efter den sista intravitreala injektionen av aflibercept (se avsnitt 4.6).
Erfarenheten av behandling av patienter med ischemisk CRVO och BRVO är begränsad. Behandling rekommenderas inte till patienter med kliniska tecken på irreversibel ischemisk förlust av synförmågan.
Produktresumén är företagets information om läkemedlet riktat till förskrivare och personal inom sjukvård och apotek. Dokumentet är godkänt av Läkemedelsverket eller den europeiska läkemedelsmyndigheten EMA i samband med att läkemedlet godkänns för marknadsföring.