XALKORI 200 mg, hårda kapslar
XALKORI 250 mg, hårda kapslar
XALKORI 20 mg granulat i kapslar avsedda att öppnas
XALKORI 50 mg granulat i kapslar avsedda att öppnas
XALKORI 150 mg granulat i kapslar avsedda att öppnas
Pfizer Europe MA EEIG
Boulevard de la Plaine 17
1050 Bruxelles
Belgien
Första godkännandet: 23 oktober 2012
Förnyat godkännande: 16 juli 2021
11/2024
Ytterligare information om detta läkemedel finns på Europeiska läkemedelsmyndighetens webbplats https://www.ema.europa.eu
Varje kapsel avsedd att öppnas innehåller 14 mg sackaros.
XALKORI 150 mg granulat i kapslar avsedda att öppnas
Varje kapsel innehåller 150 mg krizotinib.
Hjälpämne med känd effekt
Varje kapsel avsedd att öppnas innehåller 43 mg sackaros.
För fullständig förteckning över hjälpämnen, se avsnitt 6.1.
XALKORI 200 mg, hårda kapslar
Varje hård kapsel innehåller 200 mg krizotinib.
XALKORI 250 mg, hårda kapslar
Varje hård kapsel innehåller 250 mg krizotinib.
XALKORI 20 mg granulat i kapslar avsedda att öppnas
Varje kapsel innehåller 20 mg krizotinib.
Hjälpämne med känd effekt
Varje kapsel avsedd att öppnas innehåller 6 mg sackaros.
XALKORI 50 mg granulat i kapslar avsedda att öppnas
Varje kapsel innehåller 50 mg krizotinib.
Hjälpämne med känd effekt
Varje kapsel avsedd att öppnas innehåller 14 mg sackaros.
XALKORI 150 mg granulat i kapslar avsedda att öppnas
Varje kapsel innehåller 150 mg krizotinib.
Hjälpämne med känd effekt
Varje kapsel avsedd att öppnas innehåller 43 mg sackaros.
För fullständig förteckning över hjälpämnen, se avsnitt 6.1.
Grå överdel märkt med ”Pfizer” i svart färg och en ljusgrå underdel märkt med ”CRZ 50” i svart färg.
XALKORI 150 mg granulat i kapslar avsedda att öppnas
Ljusblå överdel märkt med ”Pfizer” i svart färg och en ljusblå underdel märkt med ”CRZ 150” i svart färg.
Hård kapsel
XALKORI 200 mg, hårda kapslar
Vit ogenomskinlig och rosa ogenomskinlig hård kapsel, märkt med ”Pfizer” på överdelen och ”CRZ 200” på underdelen.
XALKORI 250 mg, hårda kapslar
Rosa ogenomskinlig hård kapsel, märkt med ”Pfizer” på överdelen och ”CRZ 250” på underdelen.
Granulat i kapsel avsedd att öppnas
Granulatet är vitt till benvitt och är inneslutet i en ogenomskinlig hård kapsel.
XALKORI 20 mg granulat i kapslar avsedda att öppnas
Ljusblå överdel märkt med ”Pfizer” i svart färg och en vit underdel märkt med ”CRZ 20” i svart färg.
XALKORI 50 mg granulat i kapslar avsedda att öppnas
Grå överdel märkt med ”Pfizer” i svart färg och en ljusgrå underdel märkt med ”CRZ 50” i svart färg.
XALKORI 150 mg granulat i kapslar avsedda att öppnas
Ljusblå överdel märkt med ”Pfizer” i svart färg och en ljusblå underdel märkt med ”CRZ 150” i svart färg.
Behandling med XALKORI ska inledas och övervakas av läkare med erfarenhet av behandling med cancerläkemedel.
ALK- och ROS1-testning
En korrekt och validerad analys av antingen ALK eller ROS1 krävs för att identifiera vilka patienter som ska behandlas med XALKORI (se avsnitt 5.1 för information om analyser som använts i de kliniska studierna).
Status för ALK-positiv NSCLC, ROS1-positiv NSCLC, ALK-positiv ALCL eller ALK-positiv IMT ska fastställas innan behandling med krizotinib påbörjas. Analys ska utföras på laboratorier med kunskaper i den speciella metodik som används (se avsnitt 4.4).
Dosering
Vuxna patienter med ALK-positiv eller ROS1-positiv avancerad NSCLC
Rekommenderad dosering för krizotinib är 250 mg två gånger dagligen (500 mg dagligen), som tas kontinuerligt.
Pediatriska patienter med ALK-positiv ALCL eller ALK-positiv IMT
Rekommenderad startdos av krizotinib för pediatriska patienter baseras på kroppsytan (BSA). Den rekommenderade dosen av krizotinib för pediatriska patienter med ALCL eller IMT är 280 mg/m2 oralt två gånger dagligen tills sjukdomsprogression eller oacceptabel toxicitet inträffar.
Den rekommenderade dosen för pediatriska patienter med BSA ≥ 1,34 m2 redovisas i tabell 1. Vid behov kan önskad dos uppnås genom kombination av olika styrkor av kapslarna med krizotinib.
Tabell 1. Pediatriska patienter med kroppsyta (BSA) ≥ 1,34 m2: Rekommenderad startdos av kapslar* med krizotinib
För pediatriska patienter med BSA < 1,34 m2 ska XALKORI-formuleringen med granulat i kapslar avsedda att öppnas användas. Den rekommenderade dosen för pediatriska patienter med BSA < 1,34 m2 redovisas i tabell 2.
Granulatet är inkapslat i 3 olika doseringsstyrkor: 20 mg, 50 mg och 150 mg krizotinib. Vid behov kan önskad dos uppnås genom kombination av olika styrkor av krizotinib-granulat i kapslar avsedda att öppnas. Högst 4 kapslar kommer att krävas för en enskild dos (se tabell 2).
Tabell 2. Pediatriska patienter med kroppsyta (BSA) på 0,38 m2 till 1,33 m2: Rekommenderad startdos av krizotinib-granulat*
Administreringen av krizotinib till pediatriska patienter ska ske under uppsikt av en vuxen.
Dosjusteringar
Avbrytande av behandling och/eller dosreduktion kan behövas baserat på säkerhet och tolerabilitet för den enskilde patienten.
Vuxna patienter med ALK-positiv eller ROS1-positiv avancerad NSCLC
Hos 1722 vuxna patienter som behandlades med krizotinib för antingen ALK‑positiv eller ROS1‑positiv NSCLC sammantaget i kliniska studier var de mest frekventa biverkningarna (≥ 3 %) förknippade med dosuppehåll neutropeni, förhöjda transaminaser, kräkningar och illamående. De mest frekventa biverkningarna (≥ 3 %) förknippade med dosreduktion var förhöjda transaminaser och neutropeni. Om dosen måste reduceras för patienter som behandlas med krizotinib 250 mg peroralt två gånger dagligen ska dosen krizotinib reduceras enligt nedan.
Första dosreduktion: XALKORI 200 mg peroralt två gånger dagligen
Andra dosreduktion: XALKORI 250 mg peroralt en gång dagligen
Avsluta behandlingen permanent om patienten inte tolererar XALKORI 250 mg peroralt en gång dagligen
Riktlinjer för dosminskning vid hematologiska och icke-hematologiska toxiciteter finns i tabell 3 och 4. För patienter som behandlas med en lägre dos krizotinib än 250 mg två gånger dagligen gäller respektive riktlinjer för dosreduktion i tabell 3 och 4.
Tabell 3. Vuxna patienter: Dosändring av XALKORI – hematologiska toxicitetera,b
aMed undantag för lymfopeni (om den inte är förenad med kliniska händelser, t.ex. opportunistiska infektioner)
bFör patienter som utvecklar neutropeni eller leukopeni, se även avsnitt 4.4 och 4.8.
cNational Cancer Institute (NCI) Common Terminology Criteria for Adverse Events
dVid fortsatt toxicitet, ska behandlingen avbrytas tills återhämtning skett till grad ≤ 2, därefter ska behandlingen återupptas till en dosering på 250 mg en gång dagligen. Behandlingen måste avbrytas permanent vid fortsatt toxicitet grad 4.
eFör patienter som behandlas med 250 mg en gång dagligen eller som fått dosen sänkt till 250 mg en gång dagligen ska behandlingen avbrytas under utvärdering.
Tabell 4. Vuxna patienter: Dosändring av XALKORI – icke hematologiska toxiciteter
a National Cancer Institute (NCI) Common Terminology Criteria for Adverse Events
b XALKORI‑behandlingen ska avbrytas permanent vid fortsatt toxicitet ≥ grad 3. Se avsnitt 4.4 och 4.8.
c För patienter som behandlas med 250 mg en gång dagligen eller som fått dosen sänkt till 250 mg en gång dagligen ska behandlingen avbrytas under utvärdering.
d Se avsnitt 4.4 och 4.8.
eHjärtfrekvens under 60 slag per minut (bpm).
f Avsluta behandlingen permanent vid fortsatt toxicitet.
Pediatriska patienter med ALK-positiv ALCL eller ALK-positiv IMT
Om dosen måste reduceras för pediatriska patienter som behandlas med den rekommenderade startdosen ska dosen XALKORI för pediatriska patienter med BSA ≥ 1,34 m2 reduceras enligt tabell 5.
Tabell 5. Pediatriska patienter med kroppsyta (BSA) ≥ 1,34 m2: Rekommenderade dosreduktioner av XALKORI kapslar*
Om dosen måste reduceras för pediatriska patienter som behandlas med den rekommenderade startdosen ska XALKORI-dosen för pediatriska patienter med BSA < 1,34 m2 reduceras enligt tabell 6.
Tabell 6. Pediatriska patienter med kroppsyta (BSA) på 0,38 m2 till 1,33 m2: Rekommenderade dosreduktioner av XALKORI-granulat*
Rekommenderade dosjusteringar vid hematologiska respektive icke-hematologiska biverkningar för pediatriska patienter med ALK-positiv ALCL eller ALK-positiv IMT redovisas i tabell 7 och 8.
Tabell 7. Pediatriska patienter: Dosjustering av XALKORI vid hematologiska biverkningar
Det är rekommenderat att kontrollera fullständig blodstatus, inklusive differentialräkningar, varje vecka under den första behandlingsmånaden och därefter minst en gång i månaden, med tätare kontroller vid avvikelser av grad 3 eller 4, feber eller infektion.
Tabell 8. Pediatriska patienter: Dosjustering av XALKORI vid icke-hematologiska biverkningar
Nedsatt leverfunktion
Krizotinib metaboliseras i hög utsträckning i levern. Behandling med krizotinib ska ske med försiktighet hos patienter med nedsatt leverfunktion (se tabell 4 och 8samt avsnitt 4.4, 4.8 och 5.2).
Justeringar för vuxna patienter med ALK-positiv eller ROS1-positiv avancerad NSCLC
Baserat på klassificeringen av National Cancer Institute (NCI), rekommenderas ingen justering av startdosen av krizotinib för patienter med lätt nedsatt leverfunktion (antingen ASAT > ULN (övre gränsen för normalvärde) och totalt bilirubin ≤ ULN eller ASAT och totalt bilirubin > ULN men ≤ 1,5 × ULN). Startdosen av krizotinib för patienter med måttligt nedsatt leverfunktion (ASAT och totalt bilirubin > 1,5 × ULN och ≤ 3 × ULN) rekommenderas vara 200 mg två gånger dagligen. Startdosen av krizotinib för patienter med kraftigt nedsatt leverfunktion (ASAT och totalt bilirubin > 3 × ULN) rekommenderas vara 250 mg en gång dagligen. (se avsnitt 5.2). Dosjustering av krizotinib enligt Child-Pugh-klassificering har inte studerats hos patienter med nedsatt leverfunktion.
Justeringar för pediatriska patienter med ALK-positiv ALCL eller ALK-positiv IMT
Justeringarna för pediatriska patienter baseras på den kliniska studien på vuxna patienter (se avsnitt 5.2). Ingen justering av startdosen av krizotinib rekommenderas för patienter med lätt nedsatt leverfunktion (antingen ASAT > ULN och totalt bilirubin ≤ ULN eller ASAT och totalt bilirubin > ULN men ≤ 1,5 × ULN). Rekommenderad startdos av krizotinib för patienter med måttligt nedsatt leverfunktion (ASAT och totalt bilirubin > 1,5 × ULN och ≤ 3 × ULN) är den första dosreduktionen utifrån kroppsytan enligt tabell 5 och 6. Rekommenderad startdos av krizotinib för patienter med kraftigt nedsatt leverfunktion (ASAT och totalt bilirubin > 3 × ULN) är den andra dosreduktionen utifrån kroppsytan enligt tabell 5 och 6.
Nedsatt njurfunktion
Justeringar för vuxna patienter med ALK-positiv eller ROS1-positiv avancerad NSCLC
När det gäller patienter med lätt (60 ≤ kreatininclearance (CLcr) <90 ml/min) eller måttligt (30 ≤ CLcr < 60 ml/min) nedsatt njurfunktion rekommenderas ingen ändring av startdosen, eftersom den farmakokinetiska populationsanalysen inte indikerade några kliniskt relevanta förändringar i steady-state vid exponering för krizotinib hos dessa patienter. Patienter med kraftigt nedsatt njurfunktion (CLcr < 30 ml/min) kan få en ökad plasmakoncentration av krizotinib. Startdosen av krizotinib bör justeras till 250 mg en gång dagligen för patienter med kraftigt nedsatt njurfunktion som inte behandlas med peritonealdialys eller hemodialys. Dosen kan ökas till 200 mg två gånger dagligen baserat på individuell säkerhet och tolerabilitet efter minst fyra veckors behandling (se avsnitt 4.4 och 5.2).
Justeringar för pediatriska patienter med ALK-positiv ALCL eller ALK-positiv IMT
Justeringarna för pediatriska patienter baseras på uppgifter om vuxna patienter (se avsnitt 5.2). Ingen justering av startdosen behövs för patienter med lätt (60 ≤ kreatininclearance (CLcr) < 90 ml/min) eller måttligt (30 ≤ CLcr < 60 ml/min) nedsatt njurfunktion beräknad med Schwartz ekvation. Rekommenderad startdos av krizotinib för patienter med kraftigt nedsatt njurfunktion (CLcr < 30 ml/min) som inte behöver dialys är den andra dosreduktionen utifrån kroppsytan enligt tabell 5 och 6. Dosen kan ökas till den första dosreduktionen utifrån kroppsytan enligt tabell 5 och 6 och utifrån den individuella säkerheten och tolerabiliteten efter minst 4 veckors behandling.
Äldre
Ingen justering av startdosen är nödvändig (se avsnitt 5.1 och 5.2).
Pediatrisk population
Säkerhet och effekt för krizotinib för pediatriska patienter med ALK-positiv eller ROS1-positiv NSCLC har inte fastställts. Inga data finns tillgängliga.
Säkerhet och effekt för krizotinib har fastställts för pediatriska patienter med recidiverande eller refraktär systemisk ALK-positiv ALCL från 3 till < 18 års ålder eller med inoperabel, recidiverande eller refraktär ALK-positiv IMT från 2 till < 18 års ålder (se avsnitt 4.8 och 5.1). Inga säkerhets- eller effektdata finns tillgängliga för behandling med krizotinib hos pediatriska patienter med ALK-positiv ALCL under 3 års ålder eller pediatriska patienter med ALK-positiv IMT under 2 års ålder.
Administreringssätt
För oral användning.
XALKORI kan tas antingen efter en måltid eller på fastande mage. XALKORI-granulatet ska inte strös på mat. Grapefrukt och grapefruktjuice bör undvikas eftersom det kan öka plasmakoncentrationen av krizotinib. Johannesört bör undvikas eftersom det kan sänka plasmakoncentrationen av krizotinib (se avsnitt 4.5).
Om patienten missar att ta en dos ska den tas så snart patienten eller anhörig kommer ihåg det, såvida det inte återstår mindre än 6 timmar innan det är dags för nästa schemalagda dos. I det senare fallet ska patienten inte ta den missade dosen. Patienten ska inte ta två doser samtidigt för att kompensera för en missad dos.
XALKORI 200 mg och 250 mg hårda kapslar
XALKORI 200 mg och 250 mg hårda kapslar ska sväljas hela, helst med vatten. De ska inte krossas, lösas upp eller öppnas.
XALKORI-granulat i kapslar avsedda att öppnas
Granulat i kapslar avsedda att öppnas ska inte tuggas, krossas eller strös på mat. Kapselhöljet får inte sväljas utan ska öppnas försiktigt på följande sätt:
- Kapseln ska hållas så att den tryckta texten ”Pfizer” är överst och kapseln knackas på för att säkerställa att allt granulat hamnar i kapselns nedre halva.
- Kapselns underdel ska klämmas ihop försiktigt.
- Kapselns överdel och underdel ska vridas i motsatta riktningar och dras isär för att öppna kapseln.
- Granulatet kan administreras enligt två alternativ efter att kapseln/kapslarna har öppnats:
1. Genom att hälla innehållet direkt i patientens mun, ELLER
2. Genom att hälla innehållet i ett torrt doseringshjälpmedel t.ex. en sked eller medicinbägare (ingår ej i förpackningen). Granulatet administreras sedan i patientens mun med hjälp av doseringshjälpmedlet.
- Oavsett vilken metod som används ska kapseln knackas på för att säkerställa att allt granulat administreras.
Om hela den ordinerade dosen granulat i kapslar avsedda att öppnas inte kan tas på samma gång ska granulat i kapslar avsedda att öppnas administreras i portioner tills hela den ordinerade dosen har givits. Omedelbart efter administrering av varje portion ska en tillräcklig mängd vatten ges för att se till att allt läkemedel sväljs. När läkemedlet har svalts kan andra vätskor eller mat intas (förutom det som anges i avsnitt 4.5 Ämnen som kan öka plasmakoncentrationen av krizotinib).
Detaljerade piktogram som visar hur granulat i kapslar avsedda att öppnas ska administreras tillhandahålls i bipacksedeln.
Pediatriska patienter med ALK-positiv ALCL eller ALK-positiv IMT
Användning av antiemetika före och under behandlingen med krizotinib rekommenderas för att förhindra illamående och kräkningar hos pediatriska patienter med ALK-positiv ALCL eller ALK-positiv IMT. Standardbehandling med läkemedel mot illamående och diarré rekommenderas för att hantera de gastrointestinala toxiciteterna. Understödjande behandling som intravenös eller oral hydrering, elektrolyttillskott och nutritionsstöd rekommenderas när det är kliniskt indikerat (se avsnitt 4.4).
Överkänslighet mot krizotinib eller mot något hjälpämne som anges i avsnitt 6.1.
Analys av ALK- och ROS1-status
Vid analys av antingen en patients ALK‑status eller ROS1‑status är det viktigt att en väl validerad och robust metod väljs för att undvika falskt negativa eller falskt positiva resultat.
Levertoxicitet
Läkemedelsinducerad levertoxicitet (inkluderande fall med dödlig utgång hos vuxna patienter) har rapporterats hos patienter som behandlats med krizotinib i kliniska studier (se avsnitt 4.8). Leverfunktionsvärden inklusive test av ALAT, ASAT och totalt bilirubin ska kontrolleras varje vecka under de första två behandlingsmånaderna och därefter en gång i månaden. Kontrollera med tätare intervall när det är kliniskt indikerat, vid ökningar till grad 2, 3 eller 4. När det gäller patienter som får förhöjda transaminasvärden, se avsnitt 4.2.
Interstitiell lungsjukdom/pneumonit
Allvarlig, livshotande eller fatal ILD/pneumonit kan förekomma hos patienter som behandlas med krizotinib. Patienter med lungsymtom som kan tyda på ILD/pneumonit ska övervakas. Uppehåll i krizotinibbehandlingen ska göras vid misstanke om ILD/pneumonit. Läkemedelsinducerad ILD/pneumonit ska övervägas vid differentialdiagnostisering av patienter med tillstånd som liknar ILD, såsom pneumonit, strålningspneumonit, överkänslighetspneumonit, interstitiell pneumonit, lungfibros, akut svår andningsinsufficiens (ARDS), alveolit, lunginfiltration, pneumoni, lungödem, kroniskt obstruktiv lungsjukdom, pleuraeffusion, aspirations pneumonit, bronkit, obliterativ bronkiolit och bronkiektasi. Andra potentiella orsaker till ILD/pneumonit ska uteslutas och behandlingen med krizotinib ska avbrytas permanent om patienten får diagnosen behandlingsrelaterad ILD/pneumonit (se avsnitt 4.2 och 4.8).
Förlängt QT‑intervall
QTc‑förlängning har observerats i kliniska studier hos patienter behandlade med krizotinib (se avsnitt 4.8 och 5.2), vilket kan leda till en förhöjd risk för ventrikulär takyarrytmi (t.ex. Torsade de Pointes) eller plötslig död. Nyttan och de potentiella riskerna med krizotinib ska övervägas innan behandling påbörjas hos patienter med tidigare känd bradykardi som har anamnes på eller är predisponerade för QTc‑förlängning, som tar antiarrytmika eller andra läkemedel som man vet förlänger QTc‑intervallet och hos patienter med relevant tidigare känd hjärtsjukdom och/eller elektrolytstörningar. Krizotinib ska administreras med försiktighet till dessa patienter och regelbundna kontroller med elektrokardiogram (EKG), elektrolyter och njurfunktion krävs. När krizotinib används ska EKG och elektrolyter (t.ex. kalcium, magnesium, kalium) kontrolleras så nära före den första dosen som möjligt och regelbundna kontroller med EKG och elektrolyter rekommenderas, särskilt i början av behandlingen i fall med kräkningar, diarré, uttorkning eller nedsatt njurfunktion. Elektrolyter korrigeras vid behov. Vid QTc‑ökningar större än eller lika med 60 msek jämfört med baslinjen men QTc är < 500 msek, ska behandlingsuppehåll göras och kardiolog konsulteras. Vid QTc‑ökningar större än eller lika med 500 msek måste kardiolog konsulteras omedelbart. När det gäller patienter som utvecklar QTc‑förlängning, se avsnitt 4.2, 4.8 och 5.2.
Bradykardi
Bradykardi oavsett orsak rapporterades i kliniska studier hos 13 % av de vuxna patienterna med ALK-positiv eller ROS1-positiv NSCLC och hos 17 % av de pediatriska patienterna med ALK-positiv ALCL eller ALK-positiv IMT som behandlades med krizotinib. Symtomatisk bradykardi (t.ex. synkope, yrsel, hypotoni) kan förekomma hos patienter som får krizotinib. Det kan hända att krizotinibs fulla hjärtfrekvenssänkande effekt inte utvecklas förrän flera veckor efter behandlingsstart. Undvik i möjligaste mån användning av krizotinib i kombination med andra hjärtfrekvenssänkande preparat (t.ex. betablockerare, kalciumkanalblockerare av icke‑dihydropyridintyp som verapamil och diltiazem, klonidin, digoxin) på grund av den förhöjda risken för symtomatisk bradykardi. Kontrollera hjärtfrekvens och blodtryck regelbundet. Dosändring krävs inte i händelse av asymtomatisk bradykardi. För behandling av patienter som utvecklar symtomatisk bradykardi, se avsnitten Dosändring och Biverkningar (se avsnitt 4.2 och 4.8).
Hjärtsvikt
I kliniska studier med krizotinib samt efter marknadsintroduktionen hos vuxna patienter har allvarliga, livshotande eller dödliga fall av hjärtsvikt rapporterats (se avsnitt 4.8).
Patienter med eller utan redan föreliggande hjärtproblem som får krizotinib ska följas för tecken och symtom på hjärtsvikt (dyspné, ödem, snabb viktuppgång på grund av vätskeretention). Dosuppehåll, dosminskning eller utsättande bör övervägas efter vad som är lämpligt ifall sådana symtom observeras.
Neutropeni och leukopeni
I kliniska studier med krizotinib på vuxna patienter med antingen ALK‑positiv eller ROS1‑positiv NSCLC har neutropeni av grad 3 eller 4 rapporterats som mycket vanlig (12 %). I kliniska studier med krizotinib på pediatriska patienter med ALK-positiv ALCL eller ALK-positiv IMT har neutropeni av grad 3 eller 4 rapporterats som mycket vanlig (68 %). Leukopeni av grad 3 eller 4 har rapporterats som vanlig (3 %) hos patienter med ALK-positiv eller ROS1-positiv NSCLC och som mycket vanlig (24 %) hos pediatriska patienter med ALK-positiv ALCL eller ALK-positiv IMT (se avsnitt 4.8). Mindre än 0,5 % av de vuxna patienterna med antingen ALK-positiv eller ROS1-positiv NSCLC har drabbats av febril neutropeni i kliniska studier med krizotinib. För de pediatriska patienterna med antingen ALK-positiv ALCL eller ALK-positiv IMT rapporterades febril neutropeni som vanlig hos en patient (2,4 %). Fullständiga blodvärden med differentialräkning av vita blodkroppar ska kontrolleras när det är kliniskt indikerat, med tätare intervall om avvikelser av grad 3 eller 4 noteras eller om feber eller infektion tillstöter (se avsnitt 4.2).
Gastrointestinal perforation
I kliniska studier med krizotinib rapporterades fall med gastrointestinal perforation. Efter marknadsintroduktion av krizotinib har det förekommit rapporter om fall av gastrointestinal perforation med dödlig utgång (se avsnitt 4.8).
Krizotinib ska användas med försiktighet till patienter med risk för gastrointestinal perforation (t.ex. anamnes på divertikulit, metastaser i magtarmkanalen, samtidig användning av läkemedel med känd risk för gastrointestinal perforation).
Patienter som utvecklar gastrointestinal perforation ska avbryta behandlingen med krizotinib. Patienterna ska informeras om vilka de första tecknen på gastrointestinal perforation är och uppmanas att omedelbart kontakta läkaren om sådana tecken uppstår.
Effekter på njurarna
Förhöjt blodkreatinin och sänkt kreatininclearance har observerats hos patienter i kliniska studier av krizotinib. Njursvikt och akut njursvikt har rapporterats hos patienter som behandlats med krizotinib i kliniska studier och efter marknadsintroduktionen. Fall med dödlig utgång, fall som krävt hemodialys och fall av hyperkalemi grad 4 har också observerats hos vuxna patienter. Kontroll av njurfunktionen vid behandlingsstart och under behandling med krizotinib rekommenderas, med särskild uppmärksamhet på patienter med riskfaktorer eller anamnes på nedsatt njurfunktion (se avsnitt 4.8).
Nedsatt njurfunktion
Dosen av krizotinib ska justeras för patienter med kraftigt nedsatt njurfunktion som inte behandlas med peritonealdialys eller hemodialys (se avsnitt 4.2 och 5.2).
Effekter på synen
I kliniska studier av krizotinib på vuxna patienter med antingen ALK‑positiv eller ROS1‑positiv NSCLC (n=1722) rapporterades synfältsdefekt med synförlust av grad 4 hos 4 patienter (0,2 %). Optikusatrofi och sjukdomar i synnerven har rapporterats som möjliga orsaker till synförlusten.
I kliniska studier med krizotinib på pediatriska patienter med antingen ALK-positiv ALCL eller ALK-positiv IMT förekom synrubbningar hos 25 av 41 (61 %) pediatriska patienter (se avsnitt 4.8).
För pediatriska patienter med ALCL eller IMT ska en oftalmologisk baslinjeundersökning göras innan behandlingen med krizotinib påbörjas. Uppföljande oftalmologisk undersökning, inklusive undersökning av näthinnan, rekommenderas inom 1 månad efter att behandlingen med krizotinib påbörjats, därefter var tredje månad och vid eventuella nya visuella symtom. Hälso- och sjukvårdspersonalen ska informera patienter och anhörig om symtom på okulär toxicitet och potentiell risk för synförlust. Vid synrubbningar av grad 2 ska symtomen övervakas och rapporteras till en ögonspecialist med övervägande av dosreduktion. Uppehåll i behandlingen med krizotinib ska göras i avvaktan på utvärdering avseende ögonsjukdom av grad 3 eller 4. Vid allvarlig synförlust av grad 3 eller 4 ska behandlingen med krizotinib avslutas permanent såvida ingen annan orsak identifieras (se avsnitt 4.2, tabell 8).
Hos samtliga patienter med nydebuterad allvarlig synförlust (bästa korrigerade synskärpa lägre än 6/60 i det ena eller båda ögonen) ska behandlingen med krizotinib avbrytas (se avsnitt 4.2). En oftalmologisk undersökning ska utföras och omfattas av bästa korrigerade synskärpa, näthinnefotografering, synfält, optisk koherenstomografi (OCT) och andra undersökningar lämpliga vid nydebuterad synförlust och för andra visuella symtom när det är kliniskt motiverat (se avsnitt 4.2 och 4.8). Det finns inte tillräckligt med information för att kunna beskriva riskerna med att återuppta behandlingen med krizotinib hos patienter som utvecklar visuella symtom eller synförlust. Vid beslutet om att återuppta behandlingen med krizotinib ska den potentiella nyttan kontra riskerna för patienten beaktas.
Oftalmologisk undersökning rekommenderas om synrubbningarna kvarstår eller förvärras (se avsnitt 4.8).
Fotosensibilisering
Fotosensibilisering har rapporterats hos patienter som behandlas med Xalkori (se avsnitt 4.8). Patienter ska rådas att undvika långvarig exponering för solljus när de tar Xalkori och att vidta skyddsåtgärder när de vistas utomhus (t.ex. använda skyddande kläder och/eller solskydd).
Läkemedelsinteraktioner
Samtidig användning av krizotinib och starka CYP3A4-hämmare eller starka till måttliga CYP3A4‑inducerare bör undvikas (se avsnitt 4.5).
Samtidig användning av krizotinib och CYP3A4‑substrat med snävt terapeutiskt index bör undvikas (se avsnitt 4.5). Undvik användning av krizotinib i kombination med andra hjärtfrekvenssänkande preparat, läkemedel som man vet förlänger QT‑intervallet och/eller antiarrytmika (se avsnitt 4.4 Förlängt QT‑intervall, Bradykardi och avsnitt 4.5).
Interaktioner mellan läkemedel och mat
Grapefrukt och grapefruktjuice bör undvikas under behandling med krizotinib (se avsnitt 4.2 och 4.5).
Icke-adenokarcinomhistologi (NSCLC)
Det finns endast begränsad information tillgänglig om patienter med ALK‑positiv och ROS1‑positiv NSCLC av icke‑adenokarcinomhistologi, inkluderande skivepitelcancer (SCC) (se avsnitt 5.1).
XALKORI 200 mg och 250 mg hårda kapslar
Natriuminnehåll
Detta läkemedel innehåller mindre än 1 mmol (23 mg) natrium per 200 mg eller 250 mg hårda kapslar, d.v.s. är näst intill ”natriumfritt”.
XALKORI-granulat i kapslar avsedda att öppnas
Sackarosinnehåll
Patienter med något av följande sällsynta, ärftliga tillstånd bör inte använda detta läkemedel: fruktosintolerans, glukosgalaktosmalabsorption eller sukras-isomaltas-brist.
Pediatrisk population
Gastrointestinal toxicitet
Krizotinib kan orsaka allvarliga gastrointestinala toxiciteter hos pediatriska patienter med ALK-positiv ALCL eller ALK-positiv IMT. Hos pediatriska patienter med ALK-positiv ALCL respektive ALK-positiv IMT förekom kräkningar och diarré hos 95 % respektive 85 %.
Användning av antiemetika före och under behandlingen med krizotinib rekommenderas för att förhindra illamående och kräkningar. Standardbehandling med läkemedel mot illamående och diarré rekommenderas för att hantera de gastrointestinala toxiciteterna. Om pediatriska patienter utvecklar illamående av grad 3 som varar i 3 dagar eller diarré eller kräkningar av grad 3 eller 4 trots maximal medicinsk behandling, rekommenderas uppehåll i behandlingen med krizotinib tills symtomen har upphört. Därefter återupptas behandlingen med krizotinib med nästa lägre dosnivå. Understödjande behandling som hydrering, elektrolyttillskott och nutritionsstöd rekommenderas när det är kliniskt indikerat (se avsnitt 4.2).
Interaktionsstudier med andra läkemedel har utförts på vuxna.
Farmakokinetiska interaktioner
Ämnen som kan öka plasmakoncentrationen av krizotinib
Samtidig administrering av krizotinib och starka CYP3A‑hämmare förväntas öka plasmakoncentrationen av krizotinib. Samtidig administrering av en oral singeldos om 150 mg krizotinib i närvaro av ketokonazol (200 mg två gånger dagligen), en stark CYP3A‑hämmare, resulterade i ökad systemisk krizotinibexponering med en area under plasmakoncentration‑tidskurva från tiden noll till oändlighet (AUCinf) och högsta observerade plasmakoncentration (Cmax) cirka 3,2 respektive 1,4 gånger högre än de värden som sågs när krizotinib administrerades ensamt.
Samtidig administrering av upprepade doser av krizotinib (250 mg en gång dagligen) och upprepade doser av itrakonazol (200 mg en gång dagligen), en stark CYP3A-hämmare, resulterade i ökning av steady state AUCtau och Cmax för krizotinib, som var cirka 1,6 gånger respektive 1,3 gånger högre än de värden som sågs när krizotinib administrerades ensamt.
Av denna anledning bör samtidig användning av starka CYP3A‑hämmare undvikas (bland annat atazanavir, ritonavir, kobicistat, itrakonazol, ketokonazol, posakonazol, vorikonazol, klaritromycin, telitromycin och erytromycin), såvida inte den potentiella nyttan för patienten överväger risken. I sådana fall ska patienterna övervakas noga avseende biverkningar av krizotinib (se avsnitt 4.4).
Fysiologiskt baserade farmakokinetiska (PBPK) simuleringar förutspådde en ökning på 17 % av krizotinibs steady state AUC efter behandling med de måttliga CYP3A‑hämmarna, diltiazem eller verapamil. Därför rekommenderas försiktighet vid samtidig administrering av krizotinib och måttliga CYP3A‑hämmare.
Grapefrukt och grapefruktjuice kan också öka plasmakoncentrationerna av krizotinib och bör undvikas (se avsnitt 4.2 och 4.4).
Ämnen som kan sänka plasmakoncentrationen av krizotinib
Samtidig administrering av upprepade doser av krizotinib (250 mg två gånger dagligen) och upprepade doser av rifampicin (600 mg en gång dagligen), en stark CYP3A4‑inducerare, ledde till en sänkning av steady state AUCtau och Cmax för krizotinib på 84 % respektive 79 %, jämfört med när krizotinib gavs ensamt. Samtidig användning av starka CYP3A‑inducerare som till exempel karbamazepin, fenobarbital, fenytoin, rifampicin och Johannesört bör undvikas (se avsnitt 4.4).
Effekten av en måttlig inducerare, exempelvis efavirenz eller rifabutin, är inte klarlagd. Av denna anledning bör en kombination med krizotinib undvikas (se avsnitt 4.4).
Samtidig administrering med läkemedel som ökar pH‑värdet i magsäcken
Vattenlösligheten av krizotinib är pH‑beroende, lågt (surt) pH leder till högre löslighet.
XALKORI 200 mg och 250 mg hårda kapslar
Administrering av en singeldos krizotinib-kapslar om 250 mg efter behandling med 40 mg esomeprazol en gång per dag i 5 dagar ledde till en minskning av den totala exponeringen för krizotinib (AUCinf) med cirka 10 % och ingen förändring av toppexponeringen (Cmax). Omfattningen av förändringen av den totala exponeringen ansågs inte vara kliniskt relevant.
XALKORI-granulat i kapslar avsedda att öppnas
Administrering av en singeldos krizotinib-granulat om 250 mg i kapslar avsedda att öppnas, efter behandling med 40 mg esomeprazol en gång per dag i 5 dagar ledde till en minskning av AUCinf för krizotinib med cirka 19 % och 23 % minskning av Cmax. Omfattningen av förändringen av den totala exponeringen ansågs inte vara kliniskt relevant.
Startdosen behöver inte ändras när krizotinib administreras samtidigt med ämnen som ökar pH‑värdet i magsäcken (t.ex. protonpumpshämmare, H2‑blockerare eller antacida).
Ämnen vars plasmakoncentration kan förändras av krizotinib
Efter 28 dagars behandling av cancerpatienter med krizotinib i dosen 250 mg två gånger dagligen, var AUCinf för oralt midazolam 3,7 gånger högre än när midazolam administrerades ensamt, vilket tyder på att krizotinib är en måttlig hämmare av CYP3A. Därför ska samtidig administrering av krizotinib och CYP3A‑substrat med snävt terapeutiskt index, bland annat alfentanil, cisaprid, cyklosporin, ergotderivat, fentanyl, pimozid, kinidin, sirolimus och takrolimus undvikas (se avsnitt 4.4). Om denna kombination är nödvändig måste behandlingen övervakas noggrant.
In vitro‑studier tyder på att krizotinib hämmar CYP2B6. Därför kan krizotinib potentiellt öka plasmakoncentrationerna av samtidigt administrerade läkemedel som metaboliseras av CYP2B6 (t.ex. bupropion, efavirenz).
In vitro‑studier av humana hepatocyter indikerade att krizotinib kan inducera pregnan X‑receptor‑(PXR)‑ och konstitutiva androstanreceptor‑(CAR)‑reglerade enzymer (t.ex. CYP3A4, CYP2B6, CYP2C8, CYP2C9 och UGT1A1). Dock observerades ingen induktion in vivo när krizotinib samtidigt administrerades med CYP3A4‑probsubstratet midazolam. Försiktighet ska iakttas vid administrering av krizotinib i kombination med läkemedel som huvudsakligen metaboliseras av dessa enzymer. Observera att vid samtidig administrering av orala preventivmedel kan effekten av dessa minska.
In vitro‑studier indikerar att krizotinib är en svag hämmare av uridindifosfatglukuronosyltransferas (UGT)1A1 och UGT2B7. Krizotinib kan därför potentiellt öka plasmakoncentrationen av läkemedel som bryts ned övervägande av UGT1A1 (t.ex. raltegravir, irinotekan) eller UGT2B7 (t.ex. morfin, naloxon) vid samtidig administrering.
En in vitro‑studie har visat att krizotinib kan hämma intestinalt P‑gp.Därför kan administrering av krizotinib tillsammans med läkemedelssubstrat som är P‑gp-substrat (t.ex. digoxin, dabigatran, kolkicin, pravastatin) öka läkemedlens terapeutiska effekt och biverkningar. Noggrann övervakning rekommenderas när krizotinib administreras med läkemedel som är P‑gp‑substrat.
Krizotinib hämmar OCT1 och OCT2 in vitro. Krizotinib kan därför ha potential att öka plasmakoncentrationen av samtidigt administrerade läkemedel som är substrat för OCT1 eller OCT2 (t.ex. metformin, prokainamid).
Farmakodynamiska interaktioner
Förlängt QT‑intervall har observerats i kliniska studier av krizotinib. Samtidig användning av krizotinib och läkemedel som man vet förlänger QT‑intervallet eller läkemedel som kan inducera torsades de pointes (t.ex. klass IA (kinidin, disopyramid) eller klass III (t.ex. amiodaron, sotalol, dofetilid, ibutilid), metadon, cisaprid, moxifloxacin, antipsykotika etc.) ska därför övervägas noga. Kontroll av QT‑intervallet ska göras vid kombination med sådana läkemedel (se avsnitt 4.2 och 4.4).
Bradykardi har rapporterats vid kliniska studier. Använd därför krizotinib med försiktighet på grund av risken för kraftig bradykardi vid användning i kombination med andra hjärtfrekvenssänkande preparat, (t.ex. kalciumkanalblockerare av icke‑dihydropyridintyp som verapamil och diltiazem, betablockerare, klonidin, guanfacin, digoxin, meflokin, antikolinesteras och pilokarpin) (se avsnitt 4.2 och 4.4).
Fertila kvinnor
Fertila kvinnor ska tillrådas att undvika graviditet under behandlingen med XALKORI.
Preventivmetoder för män och kvinnor
Adekvata preventivmetoder ska användas under behandlingen och minst 90 dagar efter avslutad behandling (se avsnitt 4.5).
Graviditet
XALKORI kan orsaka fosterskador om det ges till en gravid kvinna. Djurstudier har visat reproduktionstoxiska effekter (se avsnitt 5.3).
Det finns inga data från användning av krizotinib hos gravida kvinnor. Detta läkemedel ska inte användas under graviditet om inte moderns kliniska tillstånd gör behandling nödvändig. Gravida kvinnor, eller patienter som blir gravida under behandling med krizotinib, eller behandlade manliga patienter som är partner till gravida kvinnor, ska underrättas om den eventuella risken för fostret.
Amning
Det är okänt om krizotinib eller dess metaboliter utsöndras i bröstmjölk. På grund av risken för eventuella skador på barnet ska mödrar rekommenderas att undvika amning medan de behandlas med XALKORI (se avsnitt 5.3).
Fertilitet
Baserat på pre-kliniska resultat kan fertiliteten hos män och kvinnor försämras av behandling med XALKORI (se avsnitt 5.3). Såväl män som kvinnor bör söka rådgivning avseende fertilitetsbevarande åtgärder före behandling.
XALKORI har mindre effekt på förmågan att framföra fordon och använda maskiner. Försiktighet ska iakttas vid framförande av fordon eller användning av maskiner eftersom patienterna kan drabbas av symtomatisk bradykardi (t.ex. synkope, yrsel, hypotoni), synrubbningar eller utmattning när de tar XALKORI (se avsnitt 4.2, 4.4 och 4.8).
Sammanfattning av säkerhetsprofilen för vuxna patienter med ALK-positiv eller ROS1-positiv avancerad NSCLC
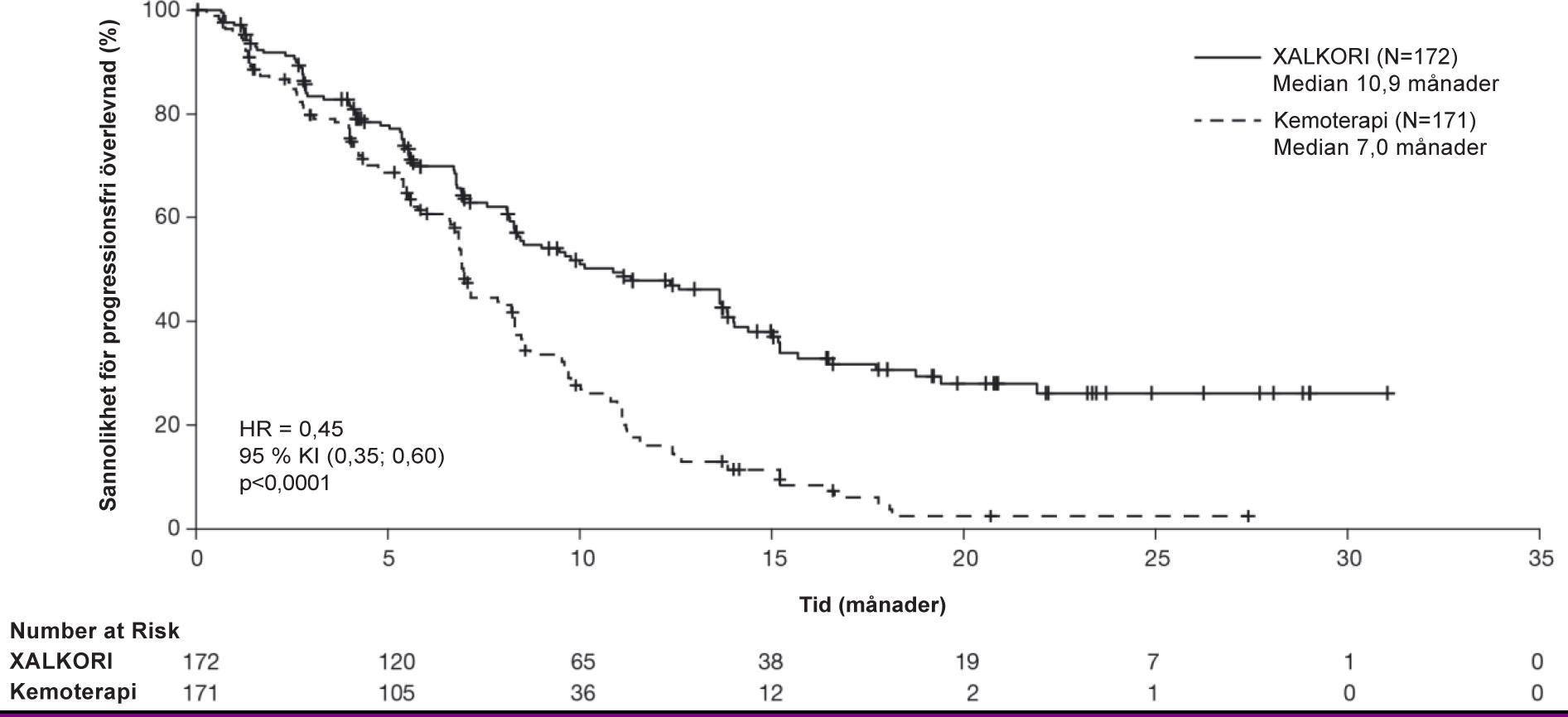
De data som beskrivs nedan avser exponering för XALKORI hos 1669 patienter med ALK‑positiv avancerad NSCLC som deltog i två randomiserade fas 3-studier (studie 1007 och studie 1014) och i två enarmade kliniska studier (studie 1001 och studie 1005), samt hos 53 patienter med ROS1‑positiv avancerad NSCLC som deltog i den enarmade studien 1001, med totalt 1722 patienter (se avsnitt 5.1). Behandlingen inleddes med en startdos om 250 mg peroralt två gånger dagligen som därefter togs kontinuerligt. I studie 1014 var mediantiden för studiebehandling 47 veckor för patienter i krizotinibarmen (n=171), mediantiden för behandling var 23 veckor för patienter som gick över från kemoterapiarmen till att få krizotinib (n=109). I studie 1007 var mediantiden för studiebehandling 48 veckor för patienter i krizotinibarmen (n=172). För ALK-positiva patienter i studierna 1001 (n=154) och 1005 (n=1063) var mediantiden för behandling 57 respektive 45 veckor. För ROS1‑positiva patienter i studie 1001 (n=53) var mediantiden för behandling 101 veckor.
De allvarligaste biverkningarna hos 1722 patienter med antingen ALK‑positiv eller ROS1‑positiv avancerad NSCLC var levertoxicitet, ILD/pneumonit, neutropeni och förlängning av QT‑intervallet (se avsnitt 4.4). De vanligaste biverkningarna (≥ 25 %) hos patienter med antingen ALK‑positiv eller ROS1‑positiv NSCLC var synrubbningar, illamående, diarré, kräkningar, ödem, förstoppning, förhöjda transaminaser, utmattning, minskad aptit, yrsel och neuropati.
De vanligaste biverkningarna (≥ 3 %, frekvens oavsett orsak) som ledde till behandlingsuppehåll var neutropeni (11 %), förhöjda transaminaser (7 %), kräkningar (5 %) och illamående (4 %). De vanligaste biverkningarna (≥ 3 %, frekvens oavsett orsak) som ledde till dosminskning var förhöjda transaminaser (4 %) och neutropeni (3 %). Biverkningar oavsett orsak som ledde till permanent avbruten behandling inträffade hos 302 (18 %) patienter varav de vanligaste (≥ 1 %) var ILD (1 %) och förhöjda transaminaser (1 %).
Tabell över biverkningar
Tabell 9 presenterar biverkningar som rapporterats hos 1722 patienter med antingen ALK‑positiv eller ROS1‑positiv avancerad NSCLC som fick krizotinib i två randomiserade fas 3-studier (1007 och 1014) och i två enarmade kliniska studier (1001 och 1005) (se avsnitt 5.1).
Biverkningarna listade i tabell 9 presenteras efter organsystemklass och frekvenskategorier definierade enligt följande: mycket vanliga (≥ 1/10), vanliga (≥ 1/100, < 1/10), mindre vanliga (≥ 1/1 000, < 1/100), sällsynta (≥ 1/10 000, < 1/1 000), mycket sällsynta (< 1/10 000), ingen känd frekvens (kan inte beräknas från tillgängliga data). Inom varje frekvensgrupp redovisas biverkningarna efter fallande svårighetsgrad.
Tabell 9. Biverkningar rapporterade i kliniska studier av NSCLC med krizotinib (n=1722)
Termer som beskriver händelser inom samma medicinska koncept eller tillstånd har slagits samman och redovisas som en enda läkemedelsbiverkning i tabell 9. De termer som faktiskt rapporterats i studien fram till datainsamlingens slut och är en del av läkemedelsbiverkningen visas inom parentes i förteckningen nedan.
* Kreatinfosfokinas var inte ett standardlaboratorietest i krizotinibs kliniska prövningar.
a Neutropeni (febril neutropeni, neutropeni, minskat antal neutrofila granulocyter).
b Anemi (anemi, hemoglobin minskat, hypokrom anemi).
c Leukopeni (leukopeni, minskat leukocytantal).
d Neuropati (svidande känsla, dysestesi, myrkrypningar, gångavvikelse, hyperestesi, hypoestesi, hypotoni, motorisk dysfunktion, muskelatrofi, muskelulär svaghet, neuralgi, neurit, perifer neuropati, neurotoxicitet, parestesi, perifer motorisk neuropati, perifer sensorimotorisk neuropati, perifer sensorisk neuropati, peroneuspares, polyneuropati, sensorisk rubbning, brännande förnimmelser i huden).
e Synrubbningar (diplopi, halofenomen, fotofobi, fotopsi, dimsyn, nedsatt synskärpa, förhöjd uppfattning av ljusstyrka, nedsatt syn, palinopsi, grumlingar i glaskroppen).
f Yrsel (balansrubbning, yrsel, postural yrsel, presynkope).
g Bradykardi (bradykardi, sänkt hjärtfrekvens, sinusbradykardi).
h Hjärtsvikt (hjärtsvikt, kongestiv hjärtsvikt, minskad ejektionsfraktion, vänsterkammarsvikt, lungödem). Sammantaget i kliniska studier (n=1722) fick 19 (1,1 %) av patienterna som behandlades med krizotinib hjärtsvikt av någon grad, av dessa fick 8 (0,5 %) patienter fick grad 3 eller 4, och 3 (0,2 %) patienter en dödlig utgång.
i Interstitiell lungsjukdom (akut svår andningsinsufficiens, alveolit, interstitiell lungsjukdom, pneumonit).
j Buksmärta (obehag i buken, buksmärta, lågt sittande buksmärta, högt sittande buksmärta, bukömhet).
k Esofagit (esofagit, sår i esofagus).
l Gastrointestinal perforation (gastrointestinal perforation, intestinal perforation, tjocktarmsperforation).
m Förhöjda transaminaser (förhöjt alaninaminotransferas, förhöjt aspartataminotransferas, förhöjt gamma-glutamyltransferas, förhöjda leverenzymer, leverfunktionsavvikelser, avvikelser i leverfunktionsvärden, förhöjda transaminaser).
n Njurcysta (njurabscess, njurcysta, blödande njurcysta, infekterad njurcysta).
o Förhöjt blodkreatinin (förhöjt blodkreatinin, sänkt renal kreatininclearance).
p Ödem (ansiktsödem, generaliserat ödem, lokal svullnad, lokaliserat ödem, ödem, perifert ödem, ödem runt ögonhåla).
q Sänkt testosteronhalt i blodet (sänkt testosteronhalt i blodet, hypogonadism, sekundär hypogonadism).
Sammanfattning av säkerhetsprofilen för pediatriska patienter
Säkerhetsanalyspopulationen för 110 pediatriska patienter med alla tumörtyper (i åldern 1 till < 18 år), vilket inkluderade 41 patienter med recidiverande eller refraktär systemisk ALK-positiv ALCL eller med inoperabel, recidiverande eller refraktär ALK-positiv IMT, baseras på patienter som behandlats med krizotinib från två enarmade studier, studie 0912 (n = 36) och studie 1013 (n = 5). I studie 0912 fick patienterna krizotinib i en startdos på 100 mg/m2, 130 mg/m2, 165 mg/m2, 215 mg/m2, 280 mg/m2 eller 365 mg/m2 två gånger dagligen. I studie 1013 gavs krizotinib i en startdos på 250 mg två gånger dagligen. Den totala populationen var 25 pediatriska patienter med ALK-positiv ALCL från 3 till < 18 års ålder och 16 pediatriska patienter med ALK-positiv IMT från 2 till < 18 års ålder. Erfarenheten av krizotinib hos pediatriska patienter i de olika undergrupperna (ålder, kön och etnicitet) är begränsad och det går därför inte att dra några definitiva slutsatser. Säkerhetsprofilerna var konsekventa i undergrupperna för ålder, kön och etnicitet, även om det fanns små skillnader i biverkningsfrekvenserna inom varje undergrupp. De vanligaste biverkningarna (≥ 80 %) som rapporterades i alla undergrupper (ålder, kön och etnicitet) var förhöjda transaminaser, kräkningar, neutropeni, illamående, diarré och leukopeni. Den vanligaste allvarliga biverkningen (90 %) var neutropeni.
Mediantiden för behandling av pediatriska patienter med alla tumörtyper var 2,8 månader. Permanent utsättning av behandlingen på grund av biverkning förekom hos 11 (10 %) patienter. Dosuppehåll och dosreduktioner förekom hos 47 (43 %) respektive 15 (14 %) patienter. De vanligaste biverkningarna (> 60 %) var förhöjda transaminaser, kräkningar, neutropeni, illamående, diarré och leukopeni. De vanligaste biverkningarna av grad 3 eller 4 (≥ 40 %) var neutropeni.
Mediantiden för behandling av pediatriska patienter med ALK-positiv ALCL var 5,1 månader. Permanent utsättning av behandlingen på grund av biverkning förekom hos 1 (4 %) patient. Hos 11 av 25 (44 %) patienter med ALK-positiv ALCL avslutades behandlingen med krizotinib permanent på grund av transplantation av hematopoetiska stamceller (HSCT). Dosuppehåll och dosreduktioner förekom hos 17 (68 %) respektive 4 (16 %) patienter. De vanligaste biverkningarna (≥ 80 %) var diarré, kräkning, förhöjda transaminaser, neutropeni, leukopeni och illamående. De vanligaste biverkningarna av grad 3 eller 4 (≥ 40 %) var neutropeni, leukopeni och lymfopeni.
Mediantiden för behandling av pediatriska patienter med ALK-positiv IMT var 21,8 månader. Permanent utsättning av behandlingen på grund av biverkning förekom hos 4 (25 %) patienter. Dosuppehåll och dosreduktioner förekom hos 12 (75 %) respektive 4 (25 %) patienter. De vanligaste biverkningarna (≥ 80 %) var neutropeni, illamående och kräkningar. Den vanligaste biverkningen av grad 3 eller 4 (≥ 40 %) var neutropeni.
Säkerhetsprofilen för krizotinib hos pediatriska patienter med ALK-positiv ALCL eller ALK-positiv IMT överensstämde i allmänhet med den säkerhetsprofil som tidigare fastställts hos vuxna med ALK-positiv eller ROS1-positiv avancerad NSCLC, med vissa variationer i frekvens. Biverkningarna neutropeni, leukopeni och diarré av grad 3 eller 4 rapporterades med högre frekvens (skillnad ≥ 10 %) hos pediatriska patienter med antingen ALK-positiv ALCL eller ALK-positiv IMT jämfört med hos vuxna patienter med ALK-positiv eller ROS1-positiv NSCLC. Ålder, samsjuklighet och underliggande tillstånd är olika i dessa två populationer, vilket kan förklara skillnaderna i frekvens.
Biverkningarna för pediatriska patienter med alla tumörtyper listade i tabell 10 presenteras efter organsystemklass och frekvenskategorier definierade enligt följande: mycket vanliga (≥ 1/10), vanliga (≥ 1/100, < 1/10), mindre vanliga (≥ 1/1 000, < 1/100), sällsynta (≥ 1/10 000, < 1/1 000), mycket sällsynta (< 1/10 000), ingen känd frekvens (kan inte beräknas från tillgängliga data). Inom varje frekvensgrupp redovisas biverkningarna efter fallande svårighetsgrad.
Tabell 10. Rapporterade biverkningar hos pediatriska patienter (N = 110)
Även om inte alla biverkningar som identifierats i den vuxna populationen har observerats i kliniska studier på pediatriska patienter, ska samma biverkningar som för vuxna patienter beaktas för pediatriska patienter. Samma varningar och försiktighetsåtgärder som för vuxna patienter ska också beaktas för pediatriska patienter.
Beskrivning av utvalda biverkningar
Levertoxicitet
Patienterna ska kontrolleras med avseende på levertoxicitet och behandlas i enlighet med rekommendationerna i avsnitt 4.2 och 4.4.
Vuxna patienter med NSCLC
Läkemedelsinducerad levertoxicitet med dödlig utgång inträffade hos 0,1 % av 1722 vuxna patienter med NSCLC som behandlades med krizotinib i kliniska studier. Samtidiga höjningar av ALAT och/eller ASAT ≥ 3 × ULN och totalt bilirubin ≥ 2 × ULN utan signifikant förhöjda alkaliska fosfataser (≤ 2 × ULN) har observerats hos färre än 1 % av patienterna som behandlats med krizotinib.
Förhöjda ALAT- eller ASAT-värden till grad 3 eller 4 observerades hos 187 (11 %) respektive 95 (6 %) vuxna patienter. Förhöjda transaminaser var grund till permanent behandlingsavbrott hos 17 (1 %) patienter, vilket tyder på att dessa biverkningar i allmänhet kunde hanteras med dosändring i enlighet med tabell 4 (se avsnitt 4.2). I den randomiserade fas 3-studien, studie 1014, observerades förhöjda ALAT- eller ASAT-värden till grad 3 eller 4 hos 15 % respektive 8 % av patienterna som fick krizotinib jämfört med 2 % respektive 1 % av patienterna som fick kemoterapi. I den randomiserade studien, studie 1007, observerades Förhöjda ALAT- eller ASAT-värden till grad 3 eller 4 hos 18 % respektive 9 % av patienterna som fick krizotinib och hos 5 % respektive < 1 % av patienterna som fick kemoterapi.
Förhöjning av transaminaser inträffade vanligen inom de första två månaderna av behandlingen. I studier med krizotinib på vuxna patienter med antingen ALK‑positiv eller ROS1‑positiv NSCLC var mediantiden 23 dagar till uppkomst av förhöjda transaminasvärden till grad 1 eller 2. Mediantid var 43 dagar till förhöjda transaminasvärden till grad 3 eller 4.
Ökningarna av transaminaser till grad 3 och 4 gick i regel tillbaka efter behandlingsuppehåll. I studier med krizotinib på vuxna patienter med antingen ALK‑positiv eller ROS1‑positiv NSCLC (n=1722) ledde förhöjda transaminasvärden till dosminskning hos 76 (4 %) patienter. 17 (1 %) patienter avbröt behandlingen permanent.
Pediatriska patienter
I kliniska studier på 110 pediatriska patienter med olika tumörtyper som behandlades med krizotinib fick 70 % förhöjt ASAT och 75 % förhöjt ALAT, med en ökning av grad 3 och 4 hos 7 % respektive 6 % av patienterna.
Gastrointestinala effekter
Understödjande behandling bör inkludera användning av antiemetika. För ytterligare understödjande behandling för pediatriska patienter, se avsnitt 4.4.
Vuxna patienter med NSCLC
Illamående (57 %), diarré (54 %), kräkningar (51 %) och förstoppning (43 %) var de vanligaste rapporterade gastrointestinala biverkningarna oavsett orsak hos vuxna patienter med antingen ALK-positiv eller ROS1-positiv NSCLC. De flesta biverkningarna var av lindrig till måttlig svårighetsgrad. Mediantid till uppkomst av illamående och kräkningar var 3 dagar och frekvensen för dessa händelser minskade efter 3 veckors behandling. Mediantiden till uppkomst av diarré och förstoppning var 13 respektive 17 dagar. Understödjande behandling för diarré och förstoppning bör inkludera användning av standardpreparat mot diarré respektive laxerande läkemedel.
I kliniska studier på vuxna patienter med NSCLC som behandlats med krizotinib rapporterades fall med gastrointestinal perforation. Fall med gastrointestinal perforation med dödlig utgång har rapporterats under användning av krizotinib efter marknadsintroduktionen (se avsnitt 4.4).
Pediatriska patienter
I kliniska prövningar var kräkningar (77 %), diarré (69 %), illamående (71 %), buksmärta (43 %) och förstoppning (31 %) de vanligaste rapporterade gastrointestinala biverkningarna oavsett orsak, hos 110 pediatriska patienter med olika tumörtyper som behandlades med krizotinib. För de patienter med antingen ALK-positiv ALCL eller ALK-positiv IMT som behandlades med krizotinib var kräkningar (95 %), diarré (85 %), illamående (83 %), buksmärta (54 %) och förstoppning (34 %) de vanligast rapporterade gastrointestinala biverkningarna oavsett orsak (se avsnitt 4.4). Krizotinib kan orsaka allvarliga gastrointestinala toxiciteter hos pediatriska patienter med ALCL eller IMT (se avsnitt 4.4).
Förlängt QT‑intervall
QT‑förlängning kan resultera i arrytmi och är en riskfaktor för plötslig död. QT‑förlängning kan kliniskt yttra sig som bradykardi, yrsel och synkope. Elektrolytstörningar, uttorkning och bradykardi kan ytterligare öka risken för QTc‑förlängning och därför rekommenderas regelbundna kontroller av EKG och elekrolytnivåer hos patienter med gastrointestinala biverkningar (se avsnitt 4.4).
Vuxna patienter med NSCLC
Sammantaget i studier på vuxna patienter med antingen ALK‑positiv eller ROS1‑positiv avancerad NSCLC registrerades QTcF (QT korrigerat med Fridericias metod) ≥ 500 msek hos 34 (2,1 %) av 1619 patienter med minst ett EKG taget efter baslinjen och en maximal ökning från baslinjen av QTcF ≥ 60 msek observerades hos 79 (5,0 %) av 1585 patienter med ett EKG från baslinjen och minst 1 EKG efter baslinjen. Förlängt QT på elektrokardiogram av grad 3 eller 4 oavsett orsak rapporterades hos 27 (1,6 %) av 1722 patienter (se avsnitt 4.2, 4.4, 4.5 och 5.2).
I en enarmad delstudie på vuxna patienter där man blindat, manuellt avläste EKG sågs hos 11 (21 %) patienter en ökning från baslinjen av QTcF‑värdet ≥ 30 till < 60 msek och hos 1 (2 %) patient en ökning från baslinjen av QTcF‑värdet på ≥ 60 msek. Ingen patient hade ett maximalt QTcF ≥ 480 msek. Den centrala tendensanalysen indikerade att den största genomsnittliga förändringen från baslinjen av QTcF var 12,3 msek (95 % KI 5,1‑19,5 msek, minsta kvadratmedelvärdet [LS] från variansanalys [ANOVA]) och inträffade 6 timmar efter dosering på dag 1 i cykel 2. Alla övre gränser för 90 % KI för LS‑medelvärdet för förändring från baslinjen av QTcF vid alla tidpunkter på dag 1 i cykel 2 var < 20 msek.
Pediatriska patienter
I kliniska studier med krizotinib på 110 pediatriska patienter med olika tumörtyper rapporterades förlängt QT på elektrokardiogram hos 4 % av patienterna.
Bradykardi
Samtidig användning av läkemedel associerade med bradykardi bör utvärderas noggrant. Patienter som utvecklar symtomatisk bradykardi bör behandlas enligt rekommendationerna i avsnitten Dosändring och Varningar och försiktighet (se avsnitt 4.2, 4.4 och 4.5).
Vuxna patienter med NSCLC
I studier på vuxna patienter med antingen ALK‑positiv eller ROS1‑positiv avancerad NSCLC drabbades 219 (13 %) av de 1722 patienterna som behandlades med krizotinib av bradykardi oavsett orsak. De flesta fall var av lindrig svårighetsgrad. Totalt 259 (16 %) av 1666 patienter med minst 1 bedömning av vitala tecken efter baslinjen hade en pulsfrekvens < 50 slag per minut (bpm).
Pediatriska patienter
I kliniska studier med krizotinib på 110 pediatriska patienter med olika tumörtyper rapporterades bradykardi oavsett orsak hos 14 % av patienterna, inklusive bradykardi av grad 3 hos 1 % av patienterna.
Interstitiell lungsjukdom/pneumonit
Patienter med lungsymtom som kan tyda på ILD/pneumonit ska övervakas. Andra potentiella orsaker till ILD/pneumonit ska uteslutas (se avsnitt 4.2 och 4.4).
Vuxna patienter med NSCLC
Allvarlig, livshotande eller fatal ILD/pneumonit kan förekomma hos patienter som behandlas med krizotinib. Sammantaget i studier på vuxna patienter med antingen ALK‑positiv eller ROS1‑positiv NSCLC (n=1722), fick 50 (3 %) patienter behandlade med krizotinib ILD av någon grad och oavsett orsak, varav 18 (1 %) patienter med grad 3 eller 4, och 8 (< 1 %) med fatal utgång. Enligt bedömning av en oberoende granskningskommitté (IRC) av patienter med ALK‑positiv NSCLC (N=1669) hade 20 (1,2 %) patienter ILD/pneumonit, innefattande 10 (< 1 %) patienter med fatal utgång Dessa fall inträffade i regel inom 3 månader efter behandlingsstarten.
Pediatriska patienter
I kliniska studier med krizotinib på pediatriska patienter med olika tumörtyper rapporterades ILD/pneumonit hos 1 patient (1 %), vilket var en pneumonit av grad 1.
Effekter på synen
Oftalmologisk undersökning rekommenderas om synrubbningarna kvarstår eller förvärras. Oftalmologiska baslinje- och uppföljningsundersökningar ska erhållas för pediatriska patienter (se avsnitt 4.2 och 4.4).
Vuxna patienter med NSCLC
I kliniska studier av krizotinib på vuxna patienter med antingen ALK‑positiv eller ROS1‑positiv NSCLC (n=1722) rapporterades synfältsdefekt med synförlust av grad 4 hos 4 patienter (0,2 %). Optikusatrofi och sjukdomar i synnerven har rapporterats som möjliga orsaker till synförlusten (se avsnitt 4.4).
Synrubbningar oavsett orsak och av alla grader, varav de vanligaste var nedsatt syn, fotopsi, dimsyn och glaskroppsgrumling, inträffade hos 1084 (63 %) av 1722 vuxna patienter behandlade med krizotinib. Hos de 1084 patienter som fick synrubbningar var 95 % av händelserna av lindrig svårighetsgrad. 7 (0,4 %) avbröt behandlingen tillfälligt och hos 2 (0,1 %) patienter sänktes dosen på grund av synrubbningar. Synrubbningar ledde inte till något permanent behandlingsavbrott hos de 1722 patienter som behandlades med krizotinib.
Baserat på VSAQ‑ALK (Visual Symptom Assessment Questionnaire) rapporterade vuxna patienter behandlade med krizotinib i studie 1007 och studie 1014, en högre incidens av synrubbningar jämfört med patienter behandlade med kemoterapi. Synrubbningarna uppträdde vanligen inom den första behandlingsveckan med läkemedlet. Flertalet av patienterna i krizotinibarmen i de randomiserade fas 3‑studierna 1007 och 1014, (> 50 %) rapporterade synrubbningar, vilka uppträdde med en frekvens på 4 till 7 dagar varje vecka, varade i upp till 1 minut och hade liten eller ingen effekt (0 till 3 poäng av maximalt 10 poäng) på dagliga aktiviteter enligt frågeformuläret VSAQ‑ALK.
En oftalmologisk delstudie med specifika oftalmiska bedömningar vid specificerade tidpunkter utfördes på 54 vuxna patienter med NSCLC som fick krizotinib 250 mg två gånger dagligen. 38 (70,4 %) av de 54 patienterna upplevde biverkning, som oavsett orsak uppstått under behandling, klassificerad inom organsystemet Ögon. Trettio av dessa patienter genomgick oftalmiska undersökningar. Av dessa 30 patienter rapporterades en oftalmisk avvikelse av någon typ hos 14 (36,8 %) patienter och hos 16 (42,1 %) patienter observerades inget oftalmiskt fynd. De vanligaste fynden avsåg biomikroskopi med spaltlampa (21,1 %), fundoskopi (15,8 %) och synskärpa (13,2 %). Hos många patienter noterades redan befintliga oftalmiska avvikelser och samtidiga medicinska tillstånd som skulle kunna bidra till okulära fynd och inget definitivt orsakssamband med krizotinib kunde fastställas. Inga fynd var relaterade till celler i kammarvattnet och bedömning av ljusväg i främre kammaren. Inga synrubbningar associerade med krizotinib föreföll vara relaterade till förändringar av bästa korrigerade synskärpa, glaskroppen, näthinnan eller synnerven.
Hos vuxna patienter med nydebuterad allvarlig synförlust av grad 4 ska behandlingen med krizotinib avbrytas och oftalmologisk undersökning utföras.
Pediatriska patienter
I kliniska studier med krizotinib på 110 pediatriska patienter med olika tumörtyper rapporterades synrubbningar hos 48 (44 %) av patienterna. De vanligaste visuella symtomen var dimsyn (20 %) och nedsatt syn (11 %).
I kliniska studier med krizotinib på 41 patienter med ALK-positiv ALCL eller ALK-positiv IMT rapporterades synrubbningar hos 25 (61 %) patienter. Av dessa pediatriska patienter som fick synrubbningar fick en patient med IMT myop sjukdom i synnerven av grad 3, vilken var av grad 1 vid baslinjen. De vanligaste visuella symtomen var dimsyn (24 %), nedsatt syn (20 %), fotopsi (17 %) och grumlingar i glaskroppen (15 %). Samtliga var av grad 1 eller 2.
Effekter på nervsystemet
Vuxna patienter med NSCLC
Neuropati oavsett orsak, så som den definieras i tabell 9, drabbade 435 (25 %) av 1722 vuxna patienter med antingen ALK-positiv eller ROS1-positiv avancerad NSCLC behandlade med krizotinib. Dysgeusi rapporterades också mycket ofta i dessa studier och var främst av svårighetsgrad 1.
Pediatriska patienter
I kliniska studier med krizotinib på 110 pediatriska patienter med olika tumörtyper rapporterades neuropati och dysgeusi hos 26 % respektive 9 % av patienterna.
Njurcysta
Regelbundna kontroller med bilddiagnostik och urinanalys bör övervägas för patienter som utvecklar njurcystor.
Vuxna patienter med NSCLC
Komplexa njurcystor oavsett orsak drabbade 52 (3 %) patienter av 1722 vuxna patienter med antingen ALK-positiv eller ROS1-positiv avancerad NSCLC som behandlades med krizotinib. Lokal invasion av cystor utanför njuren observerades hos några patienter.
Pediatriska patienter
I kliniska studier med krizotinib på 110 pediatriska patienter med olika tumörtyper rapporterades ingen njurcysta.
Neutropeni och leukopeni
Fullständig blodstatus med differentialräkning av vita blodkroppar ska kontrolleras när det är kliniskt indikerat, med tätare intervall om avvikelser av grad 3 eller 4 noteras eller om feber eller infektion tillstöter. När det gäller patienter som får avvikande hematologiska laboratorievärden, se avsnitt 4.2.
Vuxna patienter med NSCLC
Sammantaget i studier på vuxna patienter med antingen ALK‑positiv eller ROS1‑positiv avancerad NSCLC (n=1722) observerades neutropeni av grad 3 eller 4 hos 212 (12 %) patienter som behandlades med krizotinib. Mediantid till uppkomst av neutropeni av någon grad var 89 dagar. Neutropeni ledde till dosminskning eller permanent behandlingsavbrott för 3 % respektive < 1 %. Mindre än 0,5 % av patienterna drabbades av febril neutropeni i kliniska studier med krizotinib.
Sammantaget i studier på vuxna patienter med antingen ALK‑positiv eller ROS1‑positiv avancerad NSCLC (n=1722) observerades leukopeni av grad 3 eller 4 hos 48 (3 %) patienter som behandlades med krizotinib. Mediantiden till uppkomst av leukopeni av någon grad var 85 dagar. Leukopeni ledde till dosminskning för < 0,5 % av patienterna och ingen patient avbröt behandlingen med krizotinib permanent på grund av leukopeni.
I kliniska studier med krizotinib på vuxna patienter med antingen ALK‑positiv eller ROS1‑positiv avancerad NSCLC observerades övergång till grad 3 eller 4 för sänkta leukocyt- och neutrofilvärden med en frekvens på 4 % respektive 13 %.
Pediatriska patienter
I kliniska studier med krizotinib på 110 pediatriska patienter med olika tumörtyper rapporterades neutropeni hos 71 % av patienterna, inklusive neutropeni av grad 3 eller 4 som observerades hos 58 patienter (53 %). Febril neutropeni drabbade 4 patienter (3,6 %). Leukopeni rapporterades hos 63 % av patienterna, inklusive leukopeni av grad 3 eller 4 som observerades hos 18 patienter (16 %).
Behandling av överdosering med detta läkemedel består av allmänt stödjande åtgärder. Det finns ingen antidot mot XALKORI.
XALKORI som monoterapi är indicerat för:
Första linjens behandling av vuxna med anaplastiskt lymfomkinas (ALK)‑positiv avancerad icke småcellig lungcancer (NSCLC).
Behandling av vuxna med tidigare behandlad anaplastiskt lymfomkinas (ALK)‑positiv avancerad icke småcellig lungcancer (NSCLC).
Behandling av vuxna med ROS1‑positiv avancerad icke småcellig lungcancer (NSCLC).
Behandling av pediatriska patienter (i åldern ≥ 1 till < 18 år) med recidiverande eller refraktärt systemiskt anaplastiskt lymfomkinas (ALK)-positiv anaplastiskt storcellslymfom (ALCL).
Behandling av pediatriska patienter (i åldern ≥ 1 till < 18 år) med recidiverande eller refraktärt anaplastiskt lymfomkinas (ALK)-positiv inoperabel inflammatorisk myofibroblastisk tumör (IMT).
Behandling med XALKORI ska inledas och övervakas av läkare med erfarenhet av behandling med cancerläkemedel.
ALK- och ROS1-testning
En korrekt och validerad analys av antingen ALK eller ROS1 krävs för att identifiera vilka patienter som ska behandlas med XALKORI (se avsnitt 5.1 för information om analyser som använts i de kliniska studierna).
Status för ALK-positiv NSCLC, ROS1-positiv NSCLC, ALK-positiv ALCL eller ALK-positiv IMT ska fastställas innan behandling med krizotinib påbörjas. Analys ska utföras på laboratorier med kunskaper i den speciella metodik som används (se avsnitt 4.4).
Dosering
Vuxna patienter med ALK-positiv eller ROS1-positiv avancerad NSCLC
Rekommenderad dosering för krizotinib är 250 mg två gånger dagligen (500 mg dagligen), som tas kontinuerligt.
Pediatriska patienter med ALK-positiv ALCL eller ALK-positiv IMT
Rekommenderad startdos av krizotinib för pediatriska patienter baseras på kroppsytan (BSA). Den rekommenderade dosen av krizotinib för pediatriska patienter med ALCL eller IMT är 280 mg/m2 oralt två gånger dagligen tills sjukdomsprogression eller oacceptabel toxicitet inträffar.
Den rekommenderade dosen för pediatriska patienter med BSA ≥ 1,34 m2 redovisas i tabell 1. Vid behov kan önskad dos uppnås genom kombination av olika styrkor av kapslarna med krizotinib.
Tabell 1. Pediatriska patienter med kroppsyta (BSA) ≥ 1,34 m2: Rekommenderad startdos av kapslar* med krizotinib
För pediatriska patienter med BSA < 1,34 m2 ska XALKORI-formuleringen med granulat i kapslar avsedda att öppnas användas. Den rekommenderade dosen för pediatriska patienter med BSA < 1,34 m2 redovisas i tabell 2.
Granulatet är inkapslat i 3 olika doseringsstyrkor: 20 mg, 50 mg och 150 mg krizotinib. Vid behov kan önskad dos uppnås genom kombination av olika styrkor av krizotinib-granulat i kapslar avsedda att öppnas. Högst 4 kapslar kommer att krävas för en enskild dos (se tabell 2).
Tabell 2. Pediatriska patienter med kroppsyta (BSA) på 0,38 m2 till 1,33 m2: Rekommenderad startdos av krizotinib-granulat*
Administreringen av krizotinib till pediatriska patienter ska ske under uppsikt av en vuxen.
Dosjusteringar
Avbrytande av behandling och/eller dosreduktion kan behövas baserat på säkerhet och tolerabilitet för den enskilde patienten.
Vuxna patienter med ALK-positiv eller ROS1-positiv avancerad NSCLC
Hos 1722 vuxna patienter som behandlades med krizotinib för antingen ALK‑positiv eller ROS1‑positiv NSCLC sammantaget i kliniska studier var de mest frekventa biverkningarna (≥ 3 %) förknippade med dosuppehåll neutropeni, förhöjda transaminaser, kräkningar och illamående. De mest frekventa biverkningarna (≥ 3 %) förknippade med dosreduktion var förhöjda transaminaser och neutropeni. Om dosen måste reduceras för patienter som behandlas med krizotinib 250 mg peroralt två gånger dagligen ska dosen krizotinib reduceras enligt nedan.
Första dosreduktion: XALKORI 200 mg peroralt två gånger dagligen
Andra dosreduktion: XALKORI 250 mg peroralt en gång dagligen
Avsluta behandlingen permanent om patienten inte tolererar XALKORI 250 mg peroralt en gång dagligen
Riktlinjer för dosminskning vid hematologiska och icke-hematologiska toxiciteter finns i tabell 3 och 4. För patienter som behandlas med en lägre dos krizotinib än 250 mg två gånger dagligen gäller respektive riktlinjer för dosreduktion i tabell 3 och 4.
Tabell 3. Vuxna patienter: Dosändring av XALKORI – hematologiska toxicitetera,b
aMed undantag för lymfopeni (om den inte är förenad med kliniska händelser, t.ex. opportunistiska infektioner)
bFör patienter som utvecklar neutropeni eller leukopeni, se även avsnitt 4.4 och 4.8.
cNational Cancer Institute (NCI) Common Terminology Criteria for Adverse Events
dVid fortsatt toxicitet, ska behandlingen avbrytas tills återhämtning skett till grad ≤ 2, därefter ska behandlingen återupptas till en dosering på 250 mg en gång dagligen. Behandlingen måste avbrytas permanent vid fortsatt toxicitet grad 4.
eFör patienter som behandlas med 250 mg en gång dagligen eller som fått dosen sänkt till 250 mg en gång dagligen ska behandlingen avbrytas under utvärdering.
Tabell 4. Vuxna patienter: Dosändring av XALKORI – icke hematologiska toxiciteter
a National Cancer Institute (NCI) Common Terminology Criteria for Adverse Events
b XALKORI‑behandlingen ska avbrytas permanent vid fortsatt toxicitet ≥ grad 3. Se avsnitt 4.4 och 4.8.
c För patienter som behandlas med 250 mg en gång dagligen eller som fått dosen sänkt till 250 mg en gång dagligen ska behandlingen avbrytas under utvärdering.
d Se avsnitt 4.4 och 4.8.
eHjärtfrekvens under 60 slag per minut (bpm).
f Avsluta behandlingen permanent vid fortsatt toxicitet.
Pediatriska patienter med ALK-positiv ALCL eller ALK-positiv IMT
Om dosen måste reduceras för pediatriska patienter som behandlas med den rekommenderade startdosen ska dosen XALKORI för pediatriska patienter med BSA ≥ 1,34 m2 reduceras enligt tabell 5.
Tabell 5. Pediatriska patienter med kroppsyta (BSA) ≥ 1,34 m2: Rekommenderade dosreduktioner av XALKORI kapslar*
Om dosen måste reduceras för pediatriska patienter som behandlas med den rekommenderade startdosen ska XALKORI-dosen för pediatriska patienter med BSA < 1,34 m2 reduceras enligt tabell 6.
Tabell 6. Pediatriska patienter med kroppsyta (BSA) på 0,38 m2 till 1,33 m2: Rekommenderade dosreduktioner av XALKORI-granulat*
Rekommenderade dosjusteringar vid hematologiska respektive icke-hematologiska biverkningar för pediatriska patienter med ALK-positiv ALCL eller ALK-positiv IMT redovisas i tabell 7 och 8.
Tabell 7. Pediatriska patienter: Dosjustering av XALKORI vid hematologiska biverkningar
Det är rekommenderat att kontrollera fullständig blodstatus, inklusive differentialräkningar, varje vecka under den första behandlingsmånaden och därefter minst en gång i månaden, med tätare kontroller vid avvikelser av grad 3 eller 4, feber eller infektion.
Tabell 8. Pediatriska patienter: Dosjustering av XALKORI vid icke-hematologiska biverkningar
Nedsatt leverfunktion
Krizotinib metaboliseras i hög utsträckning i levern. Behandling med krizotinib ska ske med försiktighet hos patienter med nedsatt leverfunktion (se tabell 4 och 8samt avsnitt 4.4, 4.8 och 5.2).
Justeringar för vuxna patienter med ALK-positiv eller ROS1-positiv avancerad NSCLC
Baserat på klassificeringen av National Cancer Institute (NCI), rekommenderas ingen justering av startdosen av krizotinib för patienter med lätt nedsatt leverfunktion (antingen ASAT > ULN (övre gränsen för normalvärde) och totalt bilirubin ≤ ULN eller ASAT och totalt bilirubin > ULN men ≤ 1,5 × ULN). Startdosen av krizotinib för patienter med måttligt nedsatt leverfunktion (ASAT och totalt bilirubin > 1,5 × ULN och ≤ 3 × ULN) rekommenderas vara 200 mg två gånger dagligen. Startdosen av krizotinib för patienter med kraftigt nedsatt leverfunktion (ASAT och totalt bilirubin > 3 × ULN) rekommenderas vara 250 mg en gång dagligen. (se avsnitt 5.2). Dosjustering av krizotinib enligt Child-Pugh-klassificering har inte studerats hos patienter med nedsatt leverfunktion.
Justeringar för pediatriska patienter med ALK-positiv ALCL eller ALK-positiv IMT
Justeringarna för pediatriska patienter baseras på den kliniska studien på vuxna patienter (se avsnitt 5.2). Ingen justering av startdosen av krizotinib rekommenderas för patienter med lätt nedsatt leverfunktion (antingen ASAT > ULN och totalt bilirubin ≤ ULN eller ASAT och totalt bilirubin > ULN men ≤ 1,5 × ULN). Rekommenderad startdos av krizotinib för patienter med måttligt nedsatt leverfunktion (ASAT och totalt bilirubin > 1,5 × ULN och ≤ 3 × ULN) är den första dosreduktionen utifrån kroppsytan enligt tabell 5 och 6. Rekommenderad startdos av krizotinib för patienter med kraftigt nedsatt leverfunktion (ASAT och totalt bilirubin > 3 × ULN) är den andra dosreduktionen utifrån kroppsytan enligt tabell 5 och 6.
Nedsatt njurfunktion
Justeringar för vuxna patienter med ALK-positiv eller ROS1-positiv avancerad NSCLC
När det gäller patienter med lätt (60 ≤ kreatininclearance (CLcr) <90 ml/min) eller måttligt (30 ≤ CLcr < 60 ml/min) nedsatt njurfunktion rekommenderas ingen ändring av startdosen, eftersom den farmakokinetiska populationsanalysen inte indikerade några kliniskt relevanta förändringar i steady-state vid exponering för krizotinib hos dessa patienter. Patienter med kraftigt nedsatt njurfunktion (CLcr < 30 ml/min) kan få en ökad plasmakoncentration av krizotinib. Startdosen av krizotinib bör justeras till 250 mg en gång dagligen för patienter med kraftigt nedsatt njurfunktion som inte behandlas med peritonealdialys eller hemodialys. Dosen kan ökas till 200 mg två gånger dagligen baserat på individuell säkerhet och tolerabilitet efter minst fyra veckors behandling (se avsnitt 4.4 och 5.2).
Justeringar för pediatriska patienter med ALK-positiv ALCL eller ALK-positiv IMT
Justeringarna för pediatriska patienter baseras på uppgifter om vuxna patienter (se avsnitt 5.2). Ingen justering av startdosen behövs för patienter med lätt (60 ≤ kreatininclearance (CLcr) < 90 ml/min) eller måttligt (30 ≤ CLcr < 60 ml/min) nedsatt njurfunktion beräknad med Schwartz ekvation. Rekommenderad startdos av krizotinib för patienter med kraftigt nedsatt njurfunktion (CLcr < 30 ml/min) som inte behöver dialys är den andra dosreduktionen utifrån kroppsytan enligt tabell 5 och 6. Dosen kan ökas till den första dosreduktionen utifrån kroppsytan enligt tabell 5 och 6 och utifrån den individuella säkerheten och tolerabiliteten efter minst 4 veckors behandling.
Äldre
Ingen justering av startdosen är nödvändig (se avsnitt 5.1 och 5.2).
Pediatrisk population
Säkerhet och effekt för krizotinib för pediatriska patienter med ALK-positiv eller ROS1-positiv NSCLC har inte fastställts. Inga data finns tillgängliga.
Säkerhet och effekt för krizotinib har fastställts för pediatriska patienter med recidiverande eller refraktär systemisk ALK-positiv ALCL från 3 till < 18 års ålder eller med inoperabel, recidiverande eller refraktär ALK-positiv IMT från 2 till < 18 års ålder (se avsnitt 4.8 och 5.1). Inga säkerhets- eller effektdata finns tillgängliga för behandling med krizotinib hos pediatriska patienter med ALK-positiv ALCL under 3 års ålder eller pediatriska patienter med ALK-positiv IMT under 2 års ålder.
Administreringssätt
För oral användning.
XALKORI kan tas antingen efter en måltid eller på fastande mage. XALKORI-granulatet ska inte strös på mat. Grapefrukt och grapefruktjuice bör undvikas eftersom det kan öka plasmakoncentrationen av krizotinib. Johannesört bör undvikas eftersom det kan sänka plasmakoncentrationen av krizotinib (se avsnitt 4.5).
Om patienten missar att ta en dos ska den tas så snart patienten eller anhörig kommer ihåg det, såvida det inte återstår mindre än 6 timmar innan det är dags för nästa schemalagda dos. I det senare fallet ska patienten inte ta den missade dosen. Patienten ska inte ta två doser samtidigt för att kompensera för en missad dos.
XALKORI 200 mg och 250 mg hårda kapslar
XALKORI 200 mg och 250 mg hårda kapslar ska sväljas hela, helst med vatten. De ska inte krossas, lösas upp eller öppnas.
XALKORI-granulat i kapslar avsedda att öppnas
Granulat i kapslar avsedda att öppnas ska inte tuggas, krossas eller strös på mat. Kapselhöljet får inte sväljas utan ska öppnas försiktigt på följande sätt:
- Kapseln ska hållas så att den tryckta texten ”Pfizer” är överst och kapseln knackas på för att säkerställa att allt granulat hamnar i kapselns nedre halva.
- Kapselns underdel ska klämmas ihop försiktigt.
- Kapselns överdel och underdel ska vridas i motsatta riktningar och dras isär för att öppna kapseln.
- Granulatet kan administreras enligt två alternativ efter att kapseln/kapslarna har öppnats:
1. Genom att hälla innehållet direkt i patientens mun, ELLER
2. Genom att hälla innehållet i ett torrt doseringshjälpmedel t.ex. en sked eller medicinbägare (ingår ej i förpackningen). Granulatet administreras sedan i patientens mun med hjälp av doseringshjälpmedlet.
- Oavsett vilken metod som används ska kapseln knackas på för att säkerställa att allt granulat administreras.
Om hela den ordinerade dosen granulat i kapslar avsedda att öppnas inte kan tas på samma gång ska granulat i kapslar avsedda att öppnas administreras i portioner tills hela den ordinerade dosen har givits. Omedelbart efter administrering av varje portion ska en tillräcklig mängd vatten ges för att se till att allt läkemedel sväljs. När läkemedlet har svalts kan andra vätskor eller mat intas (förutom det som anges i avsnitt 4.5 Ämnen som kan öka plasmakoncentrationen av krizotinib).
Detaljerade piktogram som visar hur granulat i kapslar avsedda att öppnas ska administreras tillhandahålls i bipacksedeln.
Pediatriska patienter med ALK-positiv ALCL eller ALK-positiv IMT
Användning av antiemetika före och under behandlingen med krizotinib rekommenderas för att förhindra illamående och kräkningar hos pediatriska patienter med ALK-positiv ALCL eller ALK-positiv IMT. Standardbehandling med läkemedel mot illamående och diarré rekommenderas för att hantera de gastrointestinala toxiciteterna. Understödjande behandling som intravenös eller oral hydrering, elektrolyttillskott och nutritionsstöd rekommenderas när det är kliniskt indikerat (se avsnitt 4.4).
Överkänslighet mot krizotinib eller mot något hjälpämne som anges i avsnitt 6.1.
Analys av ALK- och ROS1-status
Vid analys av antingen en patients ALK‑status eller ROS1‑status är det viktigt att en väl validerad och robust metod väljs för att undvika falskt negativa eller falskt positiva resultat.
Levertoxicitet
Läkemedelsinducerad levertoxicitet (inkluderande fall med dödlig utgång hos vuxna patienter) har rapporterats hos patienter som behandlats med krizotinib i kliniska studier (se avsnitt 4.8). Leverfunktionsvärden inklusive test av ALAT, ASAT och totalt bilirubin ska kontrolleras varje vecka under de första två behandlingsmånaderna och därefter en gång i månaden. Kontrollera med tätare intervall när det är kliniskt indikerat, vid ökningar till grad 2, 3 eller 4. När det gäller patienter som får förhöjda transaminasvärden, se avsnitt 4.2.
Interstitiell lungsjukdom/pneumonit
Allvarlig, livshotande eller fatal ILD/pneumonit kan förekomma hos patienter som behandlas med krizotinib. Patienter med lungsymtom som kan tyda på ILD/pneumonit ska övervakas. Uppehåll i krizotinibbehandlingen ska göras vid misstanke om ILD/pneumonit. Läkemedelsinducerad ILD/pneumonit ska övervägas vid differentialdiagnostisering av patienter med tillstånd som liknar ILD, såsom pneumonit, strålningspneumonit, överkänslighetspneumonit, interstitiell pneumonit, lungfibros, akut svår andningsinsufficiens (ARDS), alveolit, lunginfiltration, pneumoni, lungödem, kroniskt obstruktiv lungsjukdom, pleuraeffusion, aspirations pneumonit, bronkit, obliterativ bronkiolit och bronkiektasi. Andra potentiella orsaker till ILD/pneumonit ska uteslutas och behandlingen med krizotinib ska avbrytas permanent om patienten får diagnosen behandlingsrelaterad ILD/pneumonit (se avsnitt 4.2 och 4.8).
Förlängt QT‑intervall
QTc‑förlängning har observerats i kliniska studier hos patienter behandlade med krizotinib (se avsnitt 4.8 och 5.2), vilket kan leda till en förhöjd risk för ventrikulär takyarrytmi (t.ex. Torsade de Pointes) eller plötslig död. Nyttan och de potentiella riskerna med krizotinib ska övervägas innan behandling påbörjas hos patienter med tidigare känd bradykardi som har anamnes på eller är predisponerade för QTc‑förlängning, som tar antiarrytmika eller andra läkemedel som man vet förlänger QTc‑intervallet och hos patienter med relevant tidigare känd hjärtsjukdom och/eller elektrolytstörningar. Krizotinib ska administreras med försiktighet till dessa patienter och regelbundna kontroller med elektrokardiogram (EKG), elektrolyter och njurfunktion krävs. När krizotinib används ska EKG och elektrolyter (t.ex. kalcium, magnesium, kalium) kontrolleras så nära före den första dosen som möjligt och regelbundna kontroller med EKG och elektrolyter rekommenderas, särskilt i början av behandlingen i fall med kräkningar, diarré, uttorkning eller nedsatt njurfunktion. Elektrolyter korrigeras vid behov. Vid QTc‑ökningar större än eller lika med 60 msek jämfört med baslinjen men QTc är < 500 msek, ska behandlingsuppehåll göras och kardiolog konsulteras. Vid QTc‑ökningar större än eller lika med 500 msek måste kardiolog konsulteras omedelbart. När det gäller patienter som utvecklar QTc‑förlängning, se avsnitt 4.2, 4.8 och 5.2.
Bradykardi
Bradykardi oavsett orsak rapporterades i kliniska studier hos 13 % av de vuxna patienterna med ALK-positiv eller ROS1-positiv NSCLC och hos 17 % av de pediatriska patienterna med ALK-positiv ALCL eller ALK-positiv IMT som behandlades med krizotinib. Symtomatisk bradykardi (t.ex. synkope, yrsel, hypotoni) kan förekomma hos patienter som får krizotinib. Det kan hända att krizotinibs fulla hjärtfrekvenssänkande effekt inte utvecklas förrän flera veckor efter behandlingsstart. Undvik i möjligaste mån användning av krizotinib i kombination med andra hjärtfrekvenssänkande preparat (t.ex. betablockerare, kalciumkanalblockerare av icke‑dihydropyridintyp som verapamil och diltiazem, klonidin, digoxin) på grund av den förhöjda risken för symtomatisk bradykardi. Kontrollera hjärtfrekvens och blodtryck regelbundet. Dosändring krävs inte i händelse av asymtomatisk bradykardi. För behandling av patienter som utvecklar symtomatisk bradykardi, se avsnitten Dosändring och Biverkningar (se avsnitt 4.2 och 4.8).
Hjärtsvikt
I kliniska studier med krizotinib samt efter marknadsintroduktionen hos vuxna patienter har allvarliga, livshotande eller dödliga fall av hjärtsvikt rapporterats (se avsnitt 4.8).
Patienter med eller utan redan föreliggande hjärtproblem som får krizotinib ska följas för tecken och symtom på hjärtsvikt (dyspné, ödem, snabb viktuppgång på grund av vätskeretention). Dosuppehåll, dosminskning eller utsättande bör övervägas efter vad som är lämpligt ifall sådana symtom observeras.
Neutropeni och leukopeni
I kliniska studier med krizotinib på vuxna patienter med antingen ALK‑positiv eller ROS1‑positiv NSCLC har neutropeni av grad 3 eller 4 rapporterats som mycket vanlig (12 %). I kliniska studier med krizotinib på pediatriska patienter med ALK-positiv ALCL eller ALK-positiv IMT har neutropeni av grad 3 eller 4 rapporterats som mycket vanlig (68 %). Leukopeni av grad 3 eller 4 har rapporterats som vanlig (3 %) hos patienter med ALK-positiv eller ROS1-positiv NSCLC och som mycket vanlig (24 %) hos pediatriska patienter med ALK-positiv ALCL eller ALK-positiv IMT (se avsnitt 4.8). Mindre än 0,5 % av de vuxna patienterna med antingen ALK-positiv eller ROS1-positiv NSCLC har drabbats av febril neutropeni i kliniska studier med krizotinib. För de pediatriska patienterna med antingen ALK-positiv ALCL eller ALK-positiv IMT rapporterades febril neutropeni som vanlig hos en patient (2,4 %). Fullständiga blodvärden med differentialräkning av vita blodkroppar ska kontrolleras när det är kliniskt indikerat, med tätare intervall om avvikelser av grad 3 eller 4 noteras eller om feber eller infektion tillstöter (se avsnitt 4.2).
Gastrointestinal perforation
I kliniska studier med krizotinib rapporterades fall med gastrointestinal perforation. Efter marknadsintroduktion av krizotinib har det förekommit rapporter om fall av gastrointestinal perforation med dödlig utgång (se avsnitt 4.8).
Krizotinib ska användas med försiktighet till patienter med risk för gastrointestinal perforation (t.ex. anamnes på divertikulit, metastaser i magtarmkanalen, samtidig användning av läkemedel med känd risk för gastrointestinal perforation).
Patienter som utvecklar gastrointestinal perforation ska avbryta behandlingen med krizotinib. Patienterna ska informeras om vilka de första tecknen på gastrointestinal perforation är och uppmanas att omedelbart kontakta läkaren om sådana tecken uppstår.
Effekter på njurarna
Förhöjt blodkreatinin och sänkt kreatininclearance har observerats hos patienter i kliniska studier av krizotinib. Njursvikt och akut njursvikt har rapporterats hos patienter som behandlats med krizotinib i kliniska studier och efter marknadsintroduktionen. Fall med dödlig utgång, fall som krävt hemodialys och fall av hyperkalemi grad 4 har också observerats hos vuxna patienter. Kontroll av njurfunktionen vid behandlingsstart och under behandling med krizotinib rekommenderas, med särskild uppmärksamhet på patienter med riskfaktorer eller anamnes på nedsatt njurfunktion (se avsnitt 4.8).
Nedsatt njurfunktion
Dosen av krizotinib ska justeras för patienter med kraftigt nedsatt njurfunktion som inte behandlas med peritonealdialys eller hemodialys (se avsnitt 4.2 och 5.2).
Effekter på synen
I kliniska studier av krizotinib på vuxna patienter med antingen ALK‑positiv eller ROS1‑positiv NSCLC (n=1722) rapporterades synfältsdefekt med synförlust av grad 4 hos 4 patienter (0,2 %). Optikusatrofi och sjukdomar i synnerven har rapporterats som möjliga orsaker till synförlusten.
I kliniska studier med krizotinib på pediatriska patienter med antingen ALK-positiv ALCL eller ALK-positiv IMT förekom synrubbningar hos 25 av 41 (61 %) pediatriska patienter (se avsnitt 4.8).
För pediatriska patienter med ALCL eller IMT ska en oftalmologisk baslinjeundersökning göras innan behandlingen med krizotinib påbörjas. Uppföljande oftalmologisk undersökning, inklusive undersökning av näthinnan, rekommenderas inom 1 månad efter att behandlingen med krizotinib påbörjats, därefter var tredje månad och vid eventuella nya visuella symtom. Hälso- och sjukvårdspersonalen ska informera patienter och anhörig om symtom på okulär toxicitet och potentiell risk för synförlust. Vid synrubbningar av grad 2 ska symtomen övervakas och rapporteras till en ögonspecialist med övervägande av dosreduktion. Uppehåll i behandlingen med krizotinib ska göras i avvaktan på utvärdering avseende ögonsjukdom av grad 3 eller 4. Vid allvarlig synförlust av grad 3 eller 4 ska behandlingen med krizotinib avslutas permanent såvida ingen annan orsak identifieras (se avsnitt 4.2, tabell 8).
Hos samtliga patienter med nydebuterad allvarlig synförlust (bästa korrigerade synskärpa lägre än 6/60 i det ena eller båda ögonen) ska behandlingen med krizotinib avbrytas (se avsnitt 4.2). En oftalmologisk undersökning ska utföras och omfattas av bästa korrigerade synskärpa, näthinnefotografering, synfält, optisk koherenstomografi (OCT) och andra undersökningar lämpliga vid nydebuterad synförlust och för andra visuella symtom när det är kliniskt motiverat (se avsnitt 4.2 och 4.8). Det finns inte tillräckligt med information för att kunna beskriva riskerna med att återuppta behandlingen med krizotinib hos patienter som utvecklar visuella symtom eller synförlust. Vid beslutet om att återuppta behandlingen med krizotinib ska den potentiella nyttan kontra riskerna för patienten beaktas.
Oftalmologisk undersökning rekommenderas om synrubbningarna kvarstår eller förvärras (se avsnitt 4.8).
Fotosensibilisering
Fotosensibilisering har rapporterats hos patienter som behandlas med Xalkori (se avsnitt 4.8). Patienter ska rådas att undvika långvarig exponering för solljus när de tar Xalkori och att vidta skyddsåtgärder när de vistas utomhus (t.ex. använda skyddande kläder och/eller solskydd).
Läkemedelsinteraktioner
Samtidig användning av krizotinib och starka CYP3A4-hämmare eller starka till måttliga CYP3A4‑inducerare bör undvikas (se avsnitt 4.5).
Samtidig användning av krizotinib och CYP3A4‑substrat med snävt terapeutiskt index bör undvikas (se avsnitt 4.5). Undvik användning av krizotinib i kombination med andra hjärtfrekvenssänkande preparat, läkemedel som man vet förlänger QT‑intervallet och/eller antiarrytmika (se avsnitt 4.4 Förlängt QT‑intervall, Bradykardi och avsnitt 4.5).
Interaktioner mellan läkemedel och mat
Grapefrukt och grapefruktjuice bör undvikas under behandling med krizotinib (se avsnitt 4.2 och 4.5).
Icke-adenokarcinomhistologi (NSCLC)
Det finns endast begränsad information tillgänglig om patienter med ALK‑positiv och ROS1‑positiv NSCLC av icke‑adenokarcinomhistologi, inkluderande skivepitelcancer (SCC) (se avsnitt 5.1).
XALKORI 200 mg och 250 mg hårda kapslar
Natriuminnehåll
Detta läkemedel innehåller mindre än 1 mmol (23 mg) natrium per 200 mg eller 250 mg hårda kapslar, d.v.s. är näst intill ”natriumfritt”.
XALKORI-granulat i kapslar avsedda att öppnas
Sackarosinnehåll
Patienter med något av följande sällsynta, ärftliga tillstånd bör inte använda detta läkemedel: fruktosintolerans, glukosgalaktosmalabsorption eller sukras-isomaltas-brist.
Pediatrisk population
Gastrointestinal toxicitet
Krizotinib kan orsaka allvarliga gastrointestinala toxiciteter hos pediatriska patienter med ALK-positiv ALCL eller ALK-positiv IMT. Hos pediatriska patienter med ALK-positiv ALCL respektive ALK-positiv IMT förekom kräkningar och diarré hos 95 % respektive 85 %.
Användning av antiemetika före och under behandlingen med krizotinib rekommenderas för att förhindra illamående och kräkningar. Standardbehandling med läkemedel mot illamående och diarré rekommenderas för att hantera de gastrointestinala toxiciteterna. Om pediatriska patienter utvecklar illamående av grad 3 som varar i 3 dagar eller diarré eller kräkningar av grad 3 eller 4 trots maximal medicinsk behandling, rekommenderas uppehåll i behandlingen med krizotinib tills symtomen har upphört. Därefter återupptas behandlingen med krizotinib med nästa lägre dosnivå. Understödjande behandling som hydrering, elektrolyttillskott och nutritionsstöd rekommenderas när det är kliniskt indikerat (se avsnitt 4.2).
Interaktionsstudier med andra läkemedel har utförts på vuxna.
Farmakokinetiska interaktioner
Ämnen som kan öka plasmakoncentrationen av krizotinib
Samtidig administrering av krizotinib och starka CYP3A‑hämmare förväntas öka plasmakoncentrationen av krizotinib. Samtidig administrering av en oral singeldos om 150 mg krizotinib i närvaro av ketokonazol (200 mg två gånger dagligen), en stark CYP3A‑hämmare, resulterade i ökad systemisk krizotinibexponering med en area under plasmakoncentration‑tidskurva från tiden noll till oändlighet (AUCinf) och högsta observerade plasmakoncentration (Cmax) cirka 3,2 respektive 1,4 gånger högre än de värden som sågs när krizotinib administrerades ensamt.
Samtidig administrering av upprepade doser av krizotinib (250 mg en gång dagligen) och upprepade doser av itrakonazol (200 mg en gång dagligen), en stark CYP3A-hämmare, resulterade i ökning av steady state AUCtau och Cmax för krizotinib, som var cirka 1,6 gånger respektive 1,3 gånger högre än de värden som sågs när krizotinib administrerades ensamt.
Av denna anledning bör samtidig användning av starka CYP3A‑hämmare undvikas (bland annat atazanavir, ritonavir, kobicistat, itrakonazol, ketokonazol, posakonazol, vorikonazol, klaritromycin, telitromycin och erytromycin), såvida inte den potentiella nyttan för patienten överväger risken. I sådana fall ska patienterna övervakas noga avseende biverkningar av krizotinib (se avsnitt 4.4).
Fysiologiskt baserade farmakokinetiska (PBPK) simuleringar förutspådde en ökning på 17 % av krizotinibs steady state AUC efter behandling med de måttliga CYP3A‑hämmarna, diltiazem eller verapamil. Därför rekommenderas försiktighet vid samtidig administrering av krizotinib och måttliga CYP3A‑hämmare.
Grapefrukt och grapefruktjuice kan också öka plasmakoncentrationerna av krizotinib och bör undvikas (se avsnitt 4.2 och 4.4).
Ämnen som kan sänka plasmakoncentrationen av krizotinib
Samtidig administrering av upprepade doser av krizotinib (250 mg två gånger dagligen) och upprepade doser av rifampicin (600 mg en gång dagligen), en stark CYP3A4‑inducerare, ledde till en sänkning av steady state AUCtau och Cmax för krizotinib på 84 % respektive 79 %, jämfört med när krizotinib gavs ensamt. Samtidig användning av starka CYP3A‑inducerare som till exempel karbamazepin, fenobarbital, fenytoin, rifampicin och Johannesört bör undvikas (se avsnitt 4.4).
Effekten av en måttlig inducerare, exempelvis efavirenz eller rifabutin, är inte klarlagd. Av denna anledning bör en kombination med krizotinib undvikas (se avsnitt 4.4).
Samtidig administrering med läkemedel som ökar pH‑värdet i magsäcken
Vattenlösligheten av krizotinib är pH‑beroende, lågt (surt) pH leder till högre löslighet.
XALKORI 200 mg och 250 mg hårda kapslar
Administrering av en singeldos krizotinib-kapslar om 250 mg efter behandling med 40 mg esomeprazol en gång per dag i 5 dagar ledde till en minskning av den totala exponeringen för krizotinib (AUCinf) med cirka 10 % och ingen förändring av toppexponeringen (Cmax). Omfattningen av förändringen av den totala exponeringen ansågs inte vara kliniskt relevant.
XALKORI-granulat i kapslar avsedda att öppnas
Administrering av en singeldos krizotinib-granulat om 250 mg i kapslar avsedda att öppnas, efter behandling med 40 mg esomeprazol en gång per dag i 5 dagar ledde till en minskning av AUCinf för krizotinib med cirka 19 % och 23 % minskning av Cmax. Omfattningen av förändringen av den totala exponeringen ansågs inte vara kliniskt relevant.
Startdosen behöver inte ändras när krizotinib administreras samtidigt med ämnen som ökar pH‑värdet i magsäcken (t.ex. protonpumpshämmare, H2‑blockerare eller antacida).
Ämnen vars plasmakoncentration kan förändras av krizotinib
Efter 28 dagars behandling av cancerpatienter med krizotinib i dosen 250 mg två gånger dagligen, var AUCinf för oralt midazolam 3,7 gånger högre än när midazolam administrerades ensamt, vilket tyder på att krizotinib är en måttlig hämmare av CYP3A. Därför ska samtidig administrering av krizotinib och CYP3A‑substrat med snävt terapeutiskt index, bland annat alfentanil, cisaprid, cyklosporin, ergotderivat, fentanyl, pimozid, kinidin, sirolimus och takrolimus undvikas (se avsnitt 4.4). Om denna kombination är nödvändig måste behandlingen övervakas noggrant.
In vitro‑studier tyder på att krizotinib hämmar CYP2B6. Därför kan krizotinib potentiellt öka plasmakoncentrationerna av samtidigt administrerade läkemedel som metaboliseras av CYP2B6 (t.ex. bupropion, efavirenz).
In vitro‑studier av humana hepatocyter indikerade att krizotinib kan inducera pregnan X‑receptor‑(PXR)‑ och konstitutiva androstanreceptor‑(CAR)‑reglerade enzymer (t.ex. CYP3A4, CYP2B6, CYP2C8, CYP2C9 och UGT1A1). Dock observerades ingen induktion in vivo när krizotinib samtidigt administrerades med CYP3A4‑probsubstratet midazolam. Försiktighet ska iakttas vid administrering av krizotinib i kombination med läkemedel som huvudsakligen metaboliseras av dessa enzymer. Observera att vid samtidig administrering av orala preventivmedel kan effekten av dessa minska.
In vitro‑studier indikerar att krizotinib är en svag hämmare av uridindifosfatglukuronosyltransferas (UGT)1A1 och UGT2B7. Krizotinib kan därför potentiellt öka plasmakoncentrationen av läkemedel som bryts ned övervägande av UGT1A1 (t.ex. raltegravir, irinotekan) eller UGT2B7 (t.ex. morfin, naloxon) vid samtidig administrering.
En in vitro‑studie har visat att krizotinib kan hämma intestinalt P‑gp.Därför kan administrering av krizotinib tillsammans med läkemedelssubstrat som är P‑gp-substrat (t.ex. digoxin, dabigatran, kolkicin, pravastatin) öka läkemedlens terapeutiska effekt och biverkningar. Noggrann övervakning rekommenderas när krizotinib administreras med läkemedel som är P‑gp‑substrat.
Krizotinib hämmar OCT1 och OCT2 in vitro. Krizotinib kan därför ha potential att öka plasmakoncentrationen av samtidigt administrerade läkemedel som är substrat för OCT1 eller OCT2 (t.ex. metformin, prokainamid).
Farmakodynamiska interaktioner
Förlängt QT‑intervall har observerats i kliniska studier av krizotinib. Samtidig användning av krizotinib och läkemedel som man vet förlänger QT‑intervallet eller läkemedel som kan inducera torsades de pointes (t.ex. klass IA (kinidin, disopyramid) eller klass III (t.ex. amiodaron, sotalol, dofetilid, ibutilid), metadon, cisaprid, moxifloxacin, antipsykotika etc.) ska därför övervägas noga. Kontroll av QT‑intervallet ska göras vid kombination med sådana läkemedel (se avsnitt 4.2 och 4.4).
Bradykardi har rapporterats vid kliniska studier. Använd därför krizotinib med försiktighet på grund av risken för kraftig bradykardi vid användning i kombination med andra hjärtfrekvenssänkande preparat, (t.ex. kalciumkanalblockerare av icke‑dihydropyridintyp som verapamil och diltiazem, betablockerare, klonidin, guanfacin, digoxin, meflokin, antikolinesteras och pilokarpin) (se avsnitt 4.2 och 4.4).
Fertila kvinnor
Fertila kvinnor ska tillrådas att undvika graviditet under behandlingen med XALKORI.
Preventivmetoder för män och kvinnor
Adekvata preventivmetoder ska användas under behandlingen och minst 90 dagar efter avslutad behandling (se avsnitt 4.5).
Graviditet
XALKORI kan orsaka fosterskador om det ges till en gravid kvinna. Djurstudier har visat reproduktionstoxiska effekter (se avsnitt 5.3).
Det finns inga data från användning av krizotinib hos gravida kvinnor. Detta läkemedel ska inte användas under graviditet om inte moderns kliniska tillstånd gör behandling nödvändig. Gravida kvinnor, eller patienter som blir gravida under behandling med krizotinib, eller behandlade manliga patienter som är partner till gravida kvinnor, ska underrättas om den eventuella risken för fostret.
Amning
Det är okänt om krizotinib eller dess metaboliter utsöndras i bröstmjölk. På grund av risken för eventuella skador på barnet ska mödrar rekommenderas att undvika amning medan de behandlas med XALKORI (se avsnitt 5.3).
Fertilitet
Baserat på pre-kliniska resultat kan fertiliteten hos män och kvinnor försämras av behandling med XALKORI (se avsnitt 5.3). Såväl män som kvinnor bör söka rådgivning avseende fertilitetsbevarande åtgärder före behandling.
XALKORI har mindre effekt på förmågan att framföra fordon och använda maskiner. Försiktighet ska iakttas vid framförande av fordon eller användning av maskiner eftersom patienterna kan drabbas av symtomatisk bradykardi (t.ex. synkope, yrsel, hypotoni), synrubbningar eller utmattning när de tar XALKORI (se avsnitt 4.2, 4.4 och 4.8).
Sammanfattning av säkerhetsprofilen för vuxna patienter med ALK-positiv eller ROS1-positiv avancerad NSCLC
De data som beskrivs nedan avser exponering för XALKORI hos 1669 patienter med ALK‑positiv avancerad NSCLC som deltog i två randomiserade fas 3-studier (studie 1007 och studie 1014) och i två enarmade kliniska studier (studie 1001 och studie 1005), samt hos 53 patienter med ROS1‑positiv avancerad NSCLC som deltog i den enarmade studien 1001, med totalt 1722 patienter (se avsnitt 5.1). Behandlingen inleddes med en startdos om 250 mg peroralt två gånger dagligen som därefter togs kontinuerligt. I studie 1014 var mediantiden för studiebehandling 47 veckor för patienter i krizotinibarmen (n=171), mediantiden för behandling var 23 veckor för patienter som gick över från kemoterapiarmen till att få krizotinib (n=109). I studie 1007 var mediantiden för studiebehandling 48 veckor för patienter i krizotinibarmen (n=172). För ALK-positiva patienter i studierna 1001 (n=154) och 1005 (n=1063) var mediantiden för behandling 57 respektive 45 veckor. För ROS1‑positiva patienter i studie 1001 (n=53) var mediantiden för behandling 101 veckor.
De allvarligaste biverkningarna hos 1722 patienter med antingen ALK‑positiv eller ROS1‑positiv avancerad NSCLC var levertoxicitet, ILD/pneumonit, neutropeni och förlängning av QT‑intervallet (se avsnitt 4.4). De vanligaste biverkningarna (≥ 25 %) hos patienter med antingen ALK‑positiv eller ROS1‑positiv NSCLC var synrubbningar, illamående, diarré, kräkningar, ödem, förstoppning, förhöjda transaminaser, utmattning, minskad aptit, yrsel och neuropati.
De vanligaste biverkningarna (≥ 3 %, frekvens oavsett orsak) som ledde till behandlingsuppehåll var neutropeni (11 %), förhöjda transaminaser (7 %), kräkningar (5 %) och illamående (4 %). De vanligaste biverkningarna (≥ 3 %, frekvens oavsett orsak) som ledde till dosminskning var förhöjda transaminaser (4 %) och neutropeni (3 %). Biverkningar oavsett orsak som ledde till permanent avbruten behandling inträffade hos 302 (18 %) patienter varav de vanligaste (≥ 1 %) var ILD (1 %) och förhöjda transaminaser (1 %).
Tabell över biverkningar
Tabell 9 presenterar biverkningar som rapporterats hos 1722 patienter med antingen ALK‑positiv eller ROS1‑positiv avancerad NSCLC som fick krizotinib i två randomiserade fas 3-studier (1007 och 1014) och i två enarmade kliniska studier (1001 och 1005) (se avsnitt 5.1).
Biverkningarna listade i tabell 9 presenteras efter organsystemklass och frekvenskategorier definierade enligt följande: mycket vanliga (≥ 1/10), vanliga (≥ 1/100, < 1/10), mindre vanliga (≥ 1/1 000, < 1/100), sällsynta (≥ 1/10 000, < 1/1 000), mycket sällsynta (< 1/10 000), ingen känd frekvens (kan inte beräknas från tillgängliga data). Inom varje frekvensgrupp redovisas biverkningarna efter fallande svårighetsgrad.
Tabell 9. Biverkningar rapporterade i kliniska studier av NSCLC med krizotinib (n=1722)
Termer som beskriver händelser inom samma medicinska koncept eller tillstånd har slagits samman och redovisas som en enda läkemedelsbiverkning i tabell 9. De termer som faktiskt rapporterats i studien fram till datainsamlingens slut och är en del av läkemedelsbiverkningen visas inom parentes i förteckningen nedan.
* Kreatinfosfokinas var inte ett standardlaboratorietest i krizotinibs kliniska prövningar.
a Neutropeni (febril neutropeni, neutropeni, minskat antal neutrofila granulocyter).
b Anemi (anemi, hemoglobin minskat, hypokrom anemi).
c Leukopeni (leukopeni, minskat leukocytantal).
d Neuropati (svidande känsla, dysestesi, myrkrypningar, gångavvikelse, hyperestesi, hypoestesi, hypotoni, motorisk dysfunktion, muskelatrofi, muskelulär svaghet, neuralgi, neurit, perifer neuropati, neurotoxicitet, parestesi, perifer motorisk neuropati, perifer sensorimotorisk neuropati, perifer sensorisk neuropati, peroneuspares, polyneuropati, sensorisk rubbning, brännande förnimmelser i huden).
e Synrubbningar (diplopi, halofenomen, fotofobi, fotopsi, dimsyn, nedsatt synskärpa, förhöjd uppfattning av ljusstyrka, nedsatt syn, palinopsi, grumlingar i glaskroppen).
f Yrsel (balansrubbning, yrsel, postural yrsel, presynkope).
g Bradykardi (bradykardi, sänkt hjärtfrekvens, sinusbradykardi).
h Hjärtsvikt (hjärtsvikt, kongestiv hjärtsvikt, minskad ejektionsfraktion, vänsterkammarsvikt, lungödem). Sammantaget i kliniska studier (n=1722) fick 19 (1,1 %) av patienterna som behandlades med krizotinib hjärtsvikt av någon grad, av dessa fick 8 (0,5 %) patienter fick grad 3 eller 4, och 3 (0,2 %) patienter en dödlig utgång.
i Interstitiell lungsjukdom (akut svår andningsinsufficiens, alveolit, interstitiell lungsjukdom, pneumonit).
j Buksmärta (obehag i buken, buksmärta, lågt sittande buksmärta, högt sittande buksmärta, bukömhet).
k Esofagit (esofagit, sår i esofagus).
l Gastrointestinal perforation (gastrointestinal perforation, intestinal perforation, tjocktarmsperforation).
m Förhöjda transaminaser (förhöjt alaninaminotransferas, förhöjt aspartataminotransferas, förhöjt gamma-glutamyltransferas, förhöjda leverenzymer, leverfunktionsavvikelser, avvikelser i leverfunktionsvärden, förhöjda transaminaser).
n Njurcysta (njurabscess, njurcysta, blödande njurcysta, infekterad njurcysta).
o Förhöjt blodkreatinin (förhöjt blodkreatinin, sänkt renal kreatininclearance).
p Ödem (ansiktsödem, generaliserat ödem, lokal svullnad, lokaliserat ödem, ödem, perifert ödem, ödem runt ögonhåla).
q Sänkt testosteronhalt i blodet (sänkt testosteronhalt i blodet, hypogonadism, sekundär hypogonadism).
Sammanfattning av säkerhetsprofilen för pediatriska patienter
Säkerhetsanalyspopulationen för 110 pediatriska patienter med alla tumörtyper (i åldern 1 till < 18 år), vilket inkluderade 41 patienter med recidiverande eller refraktär systemisk ALK-positiv ALCL eller med inoperabel, recidiverande eller refraktär ALK-positiv IMT, baseras på patienter som behandlats med krizotinib från två enarmade studier, studie 0912 (n = 36) och studie 1013 (n = 5). I studie 0912 fick patienterna krizotinib i en startdos på 100 mg/m2, 130 mg/m2, 165 mg/m2, 215 mg/m2, 280 mg/m2 eller 365 mg/m2 två gånger dagligen. I studie 1013 gavs krizotinib i en startdos på 250 mg två gånger dagligen. Den totala populationen var 25 pediatriska patienter med ALK-positiv ALCL från 3 till < 18 års ålder och 16 pediatriska patienter med ALK-positiv IMT från 2 till < 18 års ålder. Erfarenheten av krizotinib hos pediatriska patienter i de olika undergrupperna (ålder, kön och etnicitet) är begränsad och det går därför inte att dra några definitiva slutsatser. Säkerhetsprofilerna var konsekventa i undergrupperna för ålder, kön och etnicitet, även om det fanns små skillnader i biverkningsfrekvenserna inom varje undergrupp. De vanligaste biverkningarna (≥ 80 %) som rapporterades i alla undergrupper (ålder, kön och etnicitet) var förhöjda transaminaser, kräkningar, neutropeni, illamående, diarré och leukopeni. Den vanligaste allvarliga biverkningen (90 %) var neutropeni.
Mediantiden för behandling av pediatriska patienter med alla tumörtyper var 2,8 månader. Permanent utsättning av behandlingen på grund av biverkning förekom hos 11 (10 %) patienter. Dosuppehåll och dosreduktioner förekom hos 47 (43 %) respektive 15 (14 %) patienter. De vanligaste biverkningarna (> 60 %) var förhöjda transaminaser, kräkningar, neutropeni, illamående, diarré och leukopeni. De vanligaste biverkningarna av grad 3 eller 4 (≥ 40 %) var neutropeni.
Mediantiden för behandling av pediatriska patienter med ALK-positiv ALCL var 5,1 månader. Permanent utsättning av behandlingen på grund av biverkning förekom hos 1 (4 %) patient. Hos 11 av 25 (44 %) patienter med ALK-positiv ALCL avslutades behandlingen med krizotinib permanent på grund av transplantation av hematopoetiska stamceller (HSCT). Dosuppehåll och dosreduktioner förekom hos 17 (68 %) respektive 4 (16 %) patienter. De vanligaste biverkningarna (≥ 80 %) var diarré, kräkning, förhöjda transaminaser, neutropeni, leukopeni och illamående. De vanligaste biverkningarna av grad 3 eller 4 (≥ 40 %) var neutropeni, leukopeni och lymfopeni.
Mediantiden för behandling av pediatriska patienter med ALK-positiv IMT var 21,8 månader. Permanent utsättning av behandlingen på grund av biverkning förekom hos 4 (25 %) patienter. Dosuppehåll och dosreduktioner förekom hos 12 (75 %) respektive 4 (25 %) patienter. De vanligaste biverkningarna (≥ 80 %) var neutropeni, illamående och kräkningar. Den vanligaste biverkningen av grad 3 eller 4 (≥ 40 %) var neutropeni.
Säkerhetsprofilen för krizotinib hos pediatriska patienter med ALK-positiv ALCL eller ALK-positiv IMT överensstämde i allmänhet med den säkerhetsprofil som tidigare fastställts hos vuxna med ALK-positiv eller ROS1-positiv avancerad NSCLC, med vissa variationer i frekvens. Biverkningarna neutropeni, leukopeni och diarré av grad 3 eller 4 rapporterades med högre frekvens (skillnad ≥ 10 %) hos pediatriska patienter med antingen ALK-positiv ALCL eller ALK-positiv IMT jämfört med hos vuxna patienter med ALK-positiv eller ROS1-positiv NSCLC. Ålder, samsjuklighet och underliggande tillstånd är olika i dessa två populationer, vilket kan förklara skillnaderna i frekvens.
Biverkningarna för pediatriska patienter med alla tumörtyper listade i tabell 10 presenteras efter organsystemklass och frekvenskategorier definierade enligt följande: mycket vanliga (≥ 1/10), vanliga (≥ 1/100, < 1/10), mindre vanliga (≥ 1/1 000, < 1/100), sällsynta (≥ 1/10 000, < 1/1 000), mycket sällsynta (< 1/10 000), ingen känd frekvens (kan inte beräknas från tillgängliga data). Inom varje frekvensgrupp redovisas biverkningarna efter fallande svårighetsgrad.
Tabell 10. Rapporterade biverkningar hos pediatriska patienter (N = 110)
Även om inte alla biverkningar som identifierats i den vuxna populationen har observerats i kliniska studier på pediatriska patienter, ska samma biverkningar som för vuxna patienter beaktas för pediatriska patienter. Samma varningar och försiktighetsåtgärder som för vuxna patienter ska också beaktas för pediatriska patienter.
Beskrivning av utvalda biverkningar
Levertoxicitet
Patienterna ska kontrolleras med avseende på levertoxicitet och behandlas i enlighet med rekommendationerna i avsnitt 4.2 och 4.4.
Vuxna patienter med NSCLC
Läkemedelsinducerad levertoxicitet med dödlig utgång inträffade hos 0,1 % av 1722 vuxna patienter med NSCLC som behandlades med krizotinib i kliniska studier. Samtidiga höjningar av ALAT och/eller ASAT ≥ 3 × ULN och totalt bilirubin ≥ 2 × ULN utan signifikant förhöjda alkaliska fosfataser (≤ 2 × ULN) har observerats hos färre än 1 % av patienterna som behandlats med krizotinib.
Förhöjda ALAT- eller ASAT-värden till grad 3 eller 4 observerades hos 187 (11 %) respektive 95 (6 %) vuxna patienter. Förhöjda transaminaser var grund till permanent behandlingsavbrott hos 17 (1 %) patienter, vilket tyder på att dessa biverkningar i allmänhet kunde hanteras med dosändring i enlighet med tabell 4 (se avsnitt 4.2). I den randomiserade fas 3-studien, studie 1014, observerades förhöjda ALAT- eller ASAT-värden till grad 3 eller 4 hos 15 % respektive 8 % av patienterna som fick krizotinib jämfört med 2 % respektive 1 % av patienterna som fick kemoterapi. I den randomiserade studien, studie 1007, observerades Förhöjda ALAT- eller ASAT-värden till grad 3 eller 4 hos 18 % respektive 9 % av patienterna som fick krizotinib och hos 5 % respektive < 1 % av patienterna som fick kemoterapi.
Förhöjning av transaminaser inträffade vanligen inom de första två månaderna av behandlingen. I studier med krizotinib på vuxna patienter med antingen ALK‑positiv eller ROS1‑positiv NSCLC var mediantiden 23 dagar till uppkomst av förhöjda transaminasvärden till grad 1 eller 2. Mediantid var 43 dagar till förhöjda transaminasvärden till grad 3 eller 4.
Ökningarna av transaminaser till grad 3 och 4 gick i regel tillbaka efter behandlingsuppehåll. I studier med krizotinib på vuxna patienter med antingen ALK‑positiv eller ROS1‑positiv NSCLC (n=1722) ledde förhöjda transaminasvärden till dosminskning hos 76 (4 %) patienter. 17 (1 %) patienter avbröt behandlingen permanent.
Pediatriska patienter
I kliniska studier på 110 pediatriska patienter med olika tumörtyper som behandlades med krizotinib fick 70 % förhöjt ASAT och 75 % förhöjt ALAT, med en ökning av grad 3 och 4 hos 7 % respektive 6 % av patienterna.
Gastrointestinala effekter
Understödjande behandling bör inkludera användning av antiemetika. För ytterligare understödjande behandling för pediatriska patienter, se avsnitt 4.4.
Vuxna patienter med NSCLC
Illamående (57 %), diarré (54 %), kräkningar (51 %) och förstoppning (43 %) var de vanligaste rapporterade gastrointestinala biverkningarna oavsett orsak hos vuxna patienter med antingen ALK-positiv eller ROS1-positiv NSCLC. De flesta biverkningarna var av lindrig till måttlig svårighetsgrad. Mediantid till uppkomst av illamående och kräkningar var 3 dagar och frekvensen för dessa händelser minskade efter 3 veckors behandling. Mediantiden till uppkomst av diarré och förstoppning var 13 respektive 17 dagar. Understödjande behandling för diarré och förstoppning bör inkludera användning av standardpreparat mot diarré respektive laxerande läkemedel.
I kliniska studier på vuxna patienter med NSCLC som behandlats med krizotinib rapporterades fall med gastrointestinal perforation. Fall med gastrointestinal perforation med dödlig utgång har rapporterats under användning av krizotinib efter marknadsintroduktionen (se avsnitt 4.4).
Pediatriska patienter
I kliniska prövningar var kräkningar (77 %), diarré (69 %), illamående (71 %), buksmärta (43 %) och förstoppning (31 %) de vanligaste rapporterade gastrointestinala biverkningarna oavsett orsak, hos 110 pediatriska patienter med olika tumörtyper som behandlades med krizotinib. För de patienter med antingen ALK-positiv ALCL eller ALK-positiv IMT som behandlades med krizotinib var kräkningar (95 %), diarré (85 %), illamående (83 %), buksmärta (54 %) och förstoppning (34 %) de vanligast rapporterade gastrointestinala biverkningarna oavsett orsak (se avsnitt 4.4). Krizotinib kan orsaka allvarliga gastrointestinala toxiciteter hos pediatriska patienter med ALCL eller IMT (se avsnitt 4.4).
Förlängt QT‑intervall
QT‑förlängning kan resultera i arrytmi och är en riskfaktor för plötslig död. QT‑förlängning kan kliniskt yttra sig som bradykardi, yrsel och synkope. Elektrolytstörningar, uttorkning och bradykardi kan ytterligare öka risken för QTc‑förlängning och därför rekommenderas regelbundna kontroller av EKG och elekrolytnivåer hos patienter med gastrointestinala biverkningar (se avsnitt 4.4).
Vuxna patienter med NSCLC
Sammantaget i studier på vuxna patienter med antingen ALK‑positiv eller ROS1‑positiv avancerad NSCLC registrerades QTcF (QT korrigerat med Fridericias metod) ≥ 500 msek hos 34 (2,1 %) av 1619 patienter med minst ett EKG taget efter baslinjen och en maximal ökning från baslinjen av QTcF ≥ 60 msek observerades hos 79 (5,0 %) av 1585 patienter med ett EKG från baslinjen och minst 1 EKG efter baslinjen. Förlängt QT på elektrokardiogram av grad 3 eller 4 oavsett orsak rapporterades hos 27 (1,6 %) av 1722 patienter (se avsnitt 4.2, 4.4, 4.5 och 5.2).
I en enarmad delstudie på vuxna patienter där man blindat, manuellt avläste EKG sågs hos 11 (21 %) patienter en ökning från baslinjen av QTcF‑värdet ≥ 30 till < 60 msek och hos 1 (2 %) patient en ökning från baslinjen av QTcF‑värdet på ≥ 60 msek. Ingen patient hade ett maximalt QTcF ≥ 480 msek. Den centrala tendensanalysen indikerade att den största genomsnittliga förändringen från baslinjen av QTcF var 12,3 msek (95 % KI 5,1‑19,5 msek, minsta kvadratmedelvärdet [LS] från variansanalys [ANOVA]) och inträffade 6 timmar efter dosering på dag 1 i cykel 2. Alla övre gränser för 90 % KI för LS‑medelvärdet för förändring från baslinjen av QTcF vid alla tidpunkter på dag 1 i cykel 2 var < 20 msek.
Pediatriska patienter
I kliniska studier med krizotinib på 110 pediatriska patienter med olika tumörtyper rapporterades förlängt QT på elektrokardiogram hos 4 % av patienterna.
Bradykardi
Samtidig användning av läkemedel associerade med bradykardi bör utvärderas noggrant. Patienter som utvecklar symtomatisk bradykardi bör behandlas enligt rekommendationerna i avsnitten Dosändring och Varningar och försiktighet (se avsnitt 4.2, 4.4 och 4.5).
Vuxna patienter med NSCLC
I studier på vuxna patienter med antingen ALK‑positiv eller ROS1‑positiv avancerad NSCLC drabbades 219 (13 %) av de 1722 patienterna som behandlades med krizotinib av bradykardi oavsett orsak. De flesta fall var av lindrig svårighetsgrad. Totalt 259 (16 %) av 1666 patienter med minst 1 bedömning av vitala tecken efter baslinjen hade en pulsfrekvens < 50 slag per minut (bpm).
Pediatriska patienter
I kliniska studier med krizotinib på 110 pediatriska patienter med olika tumörtyper rapporterades bradykardi oavsett orsak hos 14 % av patienterna, inklusive bradykardi av grad 3 hos 1 % av patienterna.
Interstitiell lungsjukdom/pneumonit
Patienter med lungsymtom som kan tyda på ILD/pneumonit ska övervakas. Andra potentiella orsaker till ILD/pneumonit ska uteslutas (se avsnitt 4.2 och 4.4).
Vuxna patienter med NSCLC
Allvarlig, livshotande eller fatal ILD/pneumonit kan förekomma hos patienter som behandlas med krizotinib. Sammantaget i studier på vuxna patienter med antingen ALK‑positiv eller ROS1‑positiv NSCLC (n=1722), fick 50 (3 %) patienter behandlade med krizotinib ILD av någon grad och oavsett orsak, varav 18 (1 %) patienter med grad 3 eller 4, och 8 (< 1 %) med fatal utgång. Enligt bedömning av en oberoende granskningskommitté (IRC) av patienter med ALK‑positiv NSCLC (N=1669) hade 20 (1,2 %) patienter ILD/pneumonit, innefattande 10 (< 1 %) patienter med fatal utgång Dessa fall inträffade i regel inom 3 månader efter behandlingsstarten.
Pediatriska patienter
I kliniska studier med krizotinib på pediatriska patienter med olika tumörtyper rapporterades ILD/pneumonit hos 1 patient (1 %), vilket var en pneumonit av grad 1.
Effekter på synen
Oftalmologisk undersökning rekommenderas om synrubbningarna kvarstår eller förvärras. Oftalmologiska baslinje- och uppföljningsundersökningar ska erhållas för pediatriska patienter (se avsnitt 4.2 och 4.4).
Vuxna patienter med NSCLC
I kliniska studier av krizotinib på vuxna patienter med antingen ALK‑positiv eller ROS1‑positiv NSCLC (n=1722) rapporterades synfältsdefekt med synförlust av grad 4 hos 4 patienter (0,2 %). Optikusatrofi och sjukdomar i synnerven har rapporterats som möjliga orsaker till synförlusten (se avsnitt 4.4).
Synrubbningar oavsett orsak och av alla grader, varav de vanligaste var nedsatt syn, fotopsi, dimsyn och glaskroppsgrumling, inträffade hos 1084 (63 %) av 1722 vuxna patienter behandlade med krizotinib. Hos de 1084 patienter som fick synrubbningar var 95 % av händelserna av lindrig svårighetsgrad. 7 (0,4 %) avbröt behandlingen tillfälligt och hos 2 (0,1 %) patienter sänktes dosen på grund av synrubbningar. Synrubbningar ledde inte till något permanent behandlingsavbrott hos de 1722 patienter som behandlades med krizotinib.
Baserat på VSAQ‑ALK (Visual Symptom Assessment Questionnaire) rapporterade vuxna patienter behandlade med krizotinib i studie 1007 och studie 1014, en högre incidens av synrubbningar jämfört med patienter behandlade med kemoterapi. Synrubbningarna uppträdde vanligen inom den första behandlingsveckan med läkemedlet. Flertalet av patienterna i krizotinibarmen i de randomiserade fas 3‑studierna 1007 och 1014, (> 50 %) rapporterade synrubbningar, vilka uppträdde med en frekvens på 4 till 7 dagar varje vecka, varade i upp till 1 minut och hade liten eller ingen effekt (0 till 3 poäng av maximalt 10 poäng) på dagliga aktiviteter enligt frågeformuläret VSAQ‑ALK.
En oftalmologisk delstudie med specifika oftalmiska bedömningar vid specificerade tidpunkter utfördes på 54 vuxna patienter med NSCLC som fick krizotinib 250 mg två gånger dagligen. 38 (70,4 %) av de 54 patienterna upplevde biverkning, som oavsett orsak uppstått under behandling, klassificerad inom organsystemet Ögon. Trettio av dessa patienter genomgick oftalmiska undersökningar. Av dessa 30 patienter rapporterades en oftalmisk avvikelse av någon typ hos 14 (36,8 %) patienter och hos 16 (42,1 %) patienter observerades inget oftalmiskt fynd. De vanligaste fynden avsåg biomikroskopi med spaltlampa (21,1 %), fundoskopi (15,8 %) och synskärpa (13,2 %). Hos många patienter noterades redan befintliga oftalmiska avvikelser och samtidiga medicinska tillstånd som skulle kunna bidra till okulära fynd och inget definitivt orsakssamband med krizotinib kunde fastställas. Inga fynd var relaterade till celler i kammarvattnet och bedömning av ljusväg i främre kammaren. Inga synrubbningar associerade med krizotinib föreföll vara relaterade till förändringar av bästa korrigerade synskärpa, glaskroppen, näthinnan eller synnerven.
Hos vuxna patienter med nydebuterad allvarlig synförlust av grad 4 ska behandlingen med krizotinib avbrytas och oftalmologisk undersökning utföras.
Pediatriska patienter
I kliniska studier med krizotinib på 110 pediatriska patienter med olika tumörtyper rapporterades synrubbningar hos 48 (44 %) av patienterna. De vanligaste visuella symtomen var dimsyn (20 %) och nedsatt syn (11 %).
I kliniska studier med krizotinib på 41 patienter med ALK-positiv ALCL eller ALK-positiv IMT rapporterades synrubbningar hos 25 (61 %) patienter. Av dessa pediatriska patienter som fick synrubbningar fick en patient med IMT myop sjukdom i synnerven av grad 3, vilken var av grad 1 vid baslinjen. De vanligaste visuella symtomen var dimsyn (24 %), nedsatt syn (20 %), fotopsi (17 %) och grumlingar i glaskroppen (15 %). Samtliga var av grad 1 eller 2.
Effekter på nervsystemet
Vuxna patienter med NSCLC
Neuropati oavsett orsak, så som den definieras i tabell 9, drabbade 435 (25 %) av 1722 vuxna patienter med antingen ALK-positiv eller ROS1-positiv avancerad NSCLC behandlade med krizotinib. Dysgeusi rapporterades också mycket ofta i dessa studier och var främst av svårighetsgrad 1.
Pediatriska patienter
I kliniska studier med krizotinib på 110 pediatriska patienter med olika tumörtyper rapporterades neuropati och dysgeusi hos 26 % respektive 9 % av patienterna.
Njurcysta
Regelbundna kontroller med bilddiagnostik och urinanalys bör övervägas för patienter som utvecklar njurcystor.
Vuxna patienter med NSCLC
Komplexa njurcystor oavsett orsak drabbade 52 (3 %) patienter av 1722 vuxna patienter med antingen ALK-positiv eller ROS1-positiv avancerad NSCLC som behandlades med krizotinib. Lokal invasion av cystor utanför njuren observerades hos några patienter.
Pediatriska patienter
I kliniska studier med krizotinib på 110 pediatriska patienter med olika tumörtyper rapporterades ingen njurcysta.
Neutropeni och leukopeni
Fullständig blodstatus med differentialräkning av vita blodkroppar ska kontrolleras när det är kliniskt indikerat, med tätare intervall om avvikelser av grad 3 eller 4 noteras eller om feber eller infektion tillstöter. När det gäller patienter som får avvikande hematologiska laboratorievärden, se avsnitt 4.2.
Vuxna patienter med NSCLC
Sammantaget i studier på vuxna patienter med antingen ALK‑positiv eller ROS1‑positiv avancerad NSCLC (n=1722) observerades neutropeni av grad 3 eller 4 hos 212 (12 %) patienter som behandlades med krizotinib. Mediantid till uppkomst av neutropeni av någon grad var 89 dagar. Neutropeni ledde till dosminskning eller permanent behandlingsavbrott för 3 % respektive < 1 %. Mindre än 0,5 % av patienterna drabbades av febril neutropeni i kliniska studier med krizotinib.
Sammantaget i studier på vuxna patienter med antingen ALK‑positiv eller ROS1‑positiv avancerad NSCLC (n=1722) observerades leukopeni av grad 3 eller 4 hos 48 (3 %) patienter som behandlades med krizotinib. Mediantiden till uppkomst av leukopeni av någon grad var 85 dagar. Leukopeni ledde till dosminskning för < 0,5 % av patienterna och ingen patient avbröt behandlingen med krizotinib permanent på grund av leukopeni.
I kliniska studier med krizotinib på vuxna patienter med antingen ALK‑positiv eller ROS1‑positiv avancerad NSCLC observerades övergång till grad 3 eller 4 för sänkta leukocyt- och neutrofilvärden med en frekvens på 4 % respektive 13 %.
Pediatriska patienter
I kliniska studier med krizotinib på 110 pediatriska patienter med olika tumörtyper rapporterades neutropeni hos 71 % av patienterna, inklusive neutropeni av grad 3 eller 4 som observerades hos 58 patienter (53 %). Febril neutropeni drabbade 4 patienter (3,6 %). Leukopeni rapporterades hos 63 % av patienterna, inklusive leukopeni av grad 3 eller 4 som observerades hos 18 patienter (16 %).
Behandling av överdosering med detta läkemedel består av allmänt stödjande åtgärder. Det finns ingen antidot mot XALKORI.
Kliniska studier
Tidigare obehandlad ALK‑positiv avancerad NSCLC – randomiserad fas 3-studie, studie 1014
Effekten och säkerheten för krizotinib för behandling av patienter med ALK‑positiv metastaserad NSCLC, som inte tidigare fått systemisk behandling för avancerad sjukdom, visades i en global, randomiserad, öppen studie, studie 1014.
Hela analyspopulationen inkluderade 343 patienter med ALK‑positiv avancerad NSCLC identifierad med fluorescerande in situ‑hybridisering (FISH) före randomisering: 172 patienter randomiserades till krizotinib och 171 patienter randomiserades till kemoterapi (pemetrexed + karboplatin eller cisplatin; upp till 6 behandlingscykler). Demografiska karaktäristika och sjukdomskaraktäristika för den totala studiepopulationen innefattade 62 % kvinnor, medianålder 53 år, performance status 0 eller 1 (95 %) vid studiestarten enligt Eastern Cooperative Oncology Group (ECOG), 51 % vita och 46 % asiater, 4 % rökare, 32 % f.d. rökare och 64 % hade aldrig rökt. Sjukdomskaraktäristika för den totala studiepopulationen innefattade metastaserad sjukdom hos 98 % av patienterna, 92 % av patienternas tumörer klassificerades histologiskt som adenokarcinom och 27 % av patienterna hade hjärnmetastaser.
Patienterna kunde fortsätta med behandlingen med krizotinib efter tidpunkten för sjukdomsprogression definierad enligt Response Evalution Criteria in Solid Tumours (RECIST) baserat på prövarens beslut, om patienten fortfarande hade klinisk nytta. 65 av 89 (73 %) patienter behandlade med krizotinib och 11 av 132 (8,3 %) patienter behandlade med kemoterapi fortsatte behandling i minst 3 veckor efter objektiv sjukdomsprogression. Patienter randomiserade till kemoterapi kunde gå över till att få krizotinib vid RECIST‑definierad sjukdomsprogression bekräftad enligt oberoende radiologisk granskning (IRR). 144 (84 %) patienter i kemoterapiarmen fick efterföljande behandling med krizotinib.
Krizotinib förlängde signifikant progressionsfri överlevnad (PFS), det primära syftet med studien, jämfört med kemoterapi bedömt enligt IRR. Nyttan med krizotinib avseende PFS visades genomgående i samtliga subgrupper av patienter per karaktäristika vid studiestart, som ålder, kön, etnicitet, rökstatus, tid sedan diagnos, ECOG performance status och förekomst av hjärnmetastaser. Det förelåg en numerisk förbättring av total överlevnad (OS) hos de patienter som behandlades med krizotinib, men denna förbättring var inte statistiskt signifikant. Effektdata från den randomiserade fas 3-studien, studie 1014, sammanfattas i tabell 11 och Kaplan-Meier-kurvorna för PFS och total överlevnad (OS) visas i figur 1 respektive 2.
Tabell 11. Effektresultat från den randomiserade fas 3-studien, studie 1014, (hela analyspopulationen) på patienter med tidigare obehandlad ALK-positiv avancerad NSCLC*
Förkortningar: KI = konfidensintervall; HR = riskkvot; IRR = oberoende radiologisk granskning; n = antal patienter; NR = ej uppnådd; PFS = progressionsfri överlevnad; ORR = objektiv responsfrekvens; OS = total överlevnad.
* PFS, objektiv responsfrekvens och responsens varaktighet baseras på datumet för datainsamlingens slut, den 30 november 2013. OS baseras på datumet för den sista patientens sista besök, den 30 november 2016, och baseras på en medianuppföljningstid på cirka 46 månader.
a Mediantider för PFS var 6,9 månader (95 % KI: 6,6, 8,3) för pemetrexed/cisplatin (HR = 0,49; p-värde < 0,0001 för krizotinib jämfört med pemetrexed/cisplatin) och 7,0 månader (95 % KI: 5,9, 8,3) för pemetrexed/karboplatin (HR = 0,45; p-värde < 0,0001 för krizotinib jämfört med pemetrexed/karboplatin).
b Baserat på stratifierad analys enligt Cox proportionella hazardmodell.
c Baserat på stratifierat log-rank-test (1-sidigt).
d Uppdaterat enligt slutlig OS-analys. OS-analysen var inte justerad för potentiellt störande effekt av behandlingsbyte (144 [84 %] av patienterna i kemoterapiarmen fick efterföljande krizotinibbehandling).
e ORR var 47 % (95 % KI: 37, 58) för pemetrexed/cisplatin (p-värde < 0,0001 jämfört med krizotinib) och 44 % (95 % KI: 32, 55) för pemetrexed/karboplatin (p-värde < 0,0001 jämfört med krizotinib).
f Baserat på stratifierat Cochran-Mantel-Haenszel-test (2-sidigt).
g Beräknat med Kaplan-Meier-metoden.
Figur 1. Kaplan-Meier-kurvor för progressionsfri överlevnad (enligt IRR) per behandlingsarm i den randomiserade fas 3-studien, studie 1014, (hela analyspopulationen) på patienter med tidigare obehandlad ALK-positiv avancerad NSCLC
Förkortningar: KI = konfidensintervall; N = antal patienter; p = p‑värde.
Figur 2. Kaplan-Meier-kurvor för total överlevnad per behandlingsarm i den randomiserade fas 3-studien, studie 1014, (hela analyspopulationen) på patienter med tidigare obehandlad ALK-positiv avancerad NSCLC
Förkortningar: KI = konfidensintervall; N = antal patienter; p = p‑värde.
För patienter med tidigare behandlade hjärnmetastaser vid studiestart var mediantiden för intrakraniell tid till progression (IC‑TTP) 15,7 månader i krizotinibarmen (n=39) och 12,5 månader i kemoterapiarmen (n=40) (HR=0,45 [95 % KI: 0,19, 1,07]; 1‑sidigt p‑värde=0,0315). För patienter utan hjärnmetastaser vid studiestart uppnåddes inte mediantiden för IC‑TTP varken i krizotinibarmen (n=132) eller i kemoterapiarmen (n=131) (HR=0,69 [95 % KI: 0,33, 1,45]; 1‑sidigt p‑värde=0,1617).
Patientrapporterade symtom och övergripande livskvalitet samlades in med EORTC QLQ‑C30 och dess lungmodul (EORTC QLQ‑LC13). Totalt 166 patienter i krizotinibarmen och 163 patienter i kemoterapiarmen fyllde i frågeformulären EORTC QLQ‑C30 och LC13 vid studiestart och vid minst ett besök efter studiestart. Signifikant större förbättring av övergripande livskvalitet observerades i krizotinibarmen jämfört med kemoterapiarmen (total skillnad i förändring av poäng från studiestart 13,8; p‑värde < 0,0001).
Tid till försämring (TTD) var förspecificerad som den första förekomsten av en ökning ≥ 10 poäng från studiestart av poängen för symtom i form av bröstsmärta, hosta eller dyspné enligt bedömning med EORTC QLQ‑LC13.
Krizotinib resulterade i gynnsam effekt på symtom jämfört med kemoterapi. Signifikant förlängning av tiden till försämring (medianvärde 2,1 månader jämfört med 0,5 månader) visades för patientrapporterade symtom i form av bröstsmärta, dyspné eller hosta (HR=0,59; 95 % KI: 0,45, 0,77; Hochberg‑justerat log‑rank 2‑sidigt p‑värde =0,0005).
Tidigare behandlad ALK‑positiv avancerad NSCLC – randomiserad fas 3-studie, studie 1007
Säkerhet och effekt för krizotinib för behandling av patienter med ALK‑positiv metastaserad NSCLC, som tidigare hade fått systemisk behandling för avancerad sjukdom, visades i en global, randomiserad, öppen studie, studie 1007.
Hela analyspopulationen inkluderade 347 patienter med ALK‑positiv avancerad NSCLC identifierad med FISH före randomisering. Etthundrasjuttiotre (173) patienter randomiserades till krizotinib och 174 patienter randomiserades till kemoterapi (antingen pemetrexed eller docetaxel). Demografiska karaktäristika och sjukdomskaraktäristika för den totala studiepopulationen innefattade 56 % kvinnor, medianålder 50 år, ECOG performance status 0 (39 %) eller 1 (52 %) vid studiestart, 52 % vita och 45 % asiater, 4 % rökare, 33 % f.d. rökare och 63 % hade aldrig rökt, 93 % metastaserad sjukdom och 93 % av tumörerna klassificerades histologiskt som adenokarcinom.
Patienterna kunde fortsätta med behandlingen med krizotinib efter tidpunkten för RECIST‑definierad sjukdomsprogression, baserat på prövarens beslut om patienten ansågs ha klinisk nytta. 58 av 84 (69 %) patienter behandlade med krizotinib och 17 av 119 (14 %) patienter behandlade med kemoterapi fortsatte behandlingen i minst 3 veckor efter objektiv sjukdomsprogression. Patienter randomiserade till kemoterapi kunde gå över till att få krizotinib vid RECIST‑definierad sjukdomsprogression bekräftad enligt IRR.
Krizotinib förlängde PFS signifikant, det primära syftet med studien, jämfört med kemoterapi enligt oberoende radiologisk bedömning (IRR). Nyttan med krizotinib avseende PFS visades genomgående i samtliga subgrupper av patienter per karaktäristika vid studiestart, som ålder, kön, etnicitet, rökstatus, tid sedan diagnos, ECOG performance status, förekomst av hjärnmetastaser och tidigare behandling med EGFR‑hämmare.
Effektdata från studie 1007, sammanfattas i tabell 12. Kaplan‑Meier‑kurvorna för PFS och OS visas i figur 3 respektive 4.
Tabell 12. Effektresultat från den randomiserade fas 3-studien, studie 1007 (hela analyspopulationen) på patienter med tidigare behandlad ALK-positiv avancerad NSCLC*
Förkortningar: KI = konfidensintervall; HR = Riskkvot; IRR = oberoende radiologisk granskning; n = antal patienter; PFS = progressionsfri överlevnad; ORR = objektiv responsfrekvens; OS = total överlevnad.
*PFS, objektiv responsfrekvens och responsens varaktighet baseras på datum för datainsamlingens slut den 30 mars 2012; OS baseras på datum för datainsamlingens slut den 31 augusti 2015.
a Mediantider för PFS var 4,2 månader (95 % KI: 2,8, 5,7) för pemetrexed (HR=0,59; p‑värde=0,0004 för krizotinib jämfört med pemetrexed) och 2,6 månader (95 % KI: 1,6, 4,0) för docetaxel (HR=0,30; p < 0,0001 för krizotinib jämfört med docetaxel).
b Baserat på stratifierad analys enligt Cox proportionella hazardmodell.
c Baserat på stratifierat log‑rank‑test (1‑sidigt).
d Uppdatering baserat på den slutliga OS‑analysen. Den slutliga OS‑analysen var inte justerad för potentiellt störande effekter av behandlingsbyte (154 [89 %] patienter fick efterföljande krizotinibbehandling).
e Beräknat med Kaplan‑Meier‑metoden.
f ORR var 29 % (95 % KI: 21 %, 39 %) för pemetrexed (p‑värde < 0,0001 jämfört med krizotinib) och 7 % (95 % KI: 2 %, 16 %) för docetaxel (p‑värde < 0,0001 jämfört med krizotinib).
g Baserat på stratifierat Cochran‑Mantel‑Haenszel‑test (2‑sidigt).
Figur 3. Kaplan-Meier-kurvor för progressionsfri överlevnad (enligt IRR) per behandlingsarm i den randomiserade fas 3-studien, studie 1007 (hela analyspopulationen) på patienter med tidigare behandlad ALK-positiv avancerad NSCLC
Förkortningar: KI = konfidensintervall; N = antal patienter; p = p‑värde.
Figur 4. Kaplan-Meier-kurvor för total överlevnad per behandlingsarm i den randomiserade fas 3-studien, studie 1007 (hela analyspopulationen) på patienter med tidigare behandlad ALK-positiv avancerad NSCLC
Förkortningar: KI = konfidensintervall; N = antal patienter; p = p‑värde.
Femtiotvå (52) patienter behandlade med krizotinib och 57 kemoterapibehandlade patienter med tidigare behandlade eller obehandlade asymtomatiska hjärnmetastaser inkluderades i den randomiserade fas 3-studien, studie 1007. Intrakraniell sjukdomskontroll (IC‑DCR) vecka 12 var 65 % och 46 % för krizotinib- respektive kemoterapibehandlade patienter.
Patientrapporterade symtom och övergripande livskvalitet samlades in med användning av EORTC QLQ‑C30 och dess lungcancermodul (EORTC QLQ‑LC‑13) vid studiestart (dag 1, cykel 1) och dag 1 i varje efterföljande behandlingscykel. Totalt 162 patienter i krizotinibarmen och 151 patienter i kemoterapiarmen fyllde i frågeformulären EORTC QLQ‑C30 och LC‑13 vid studiestart och vid minst 1 besök efter studiestart.
Krizotinib resulterade i gynnsam effekt på symtom jämfört med kemoterapi. Signifikant förlängning av tiden till försämring (medianvärde 4,5 månader mot 1,4 månader) visades för patienter som rapporterade symtom i form av bröstsmärta, dyspné eller hosta (HR 0,50; 95 % KI: 0,37, 0,66; Hochberg‑justerat log‑rank 2‑sidigt p‑värde < 0,0001).
Krizotinib gav signifikant större förbättring avseende alopeci (cykel 2 till 15; p‑värde < 0,05), hosta (cykel 2 till 20; p‑värde < 0,0001), dyspné (cykel 2 till 20; p‑värde < 0,0001), hemoptys (cykel 2 till 20; p‑värde < 0,05), smärta i arm eller axel (cykel 2 till 20; p‑värde < 0,0001), bröstsmärta (cykel 2 till 20; p‑värde < 0,0001) och smärta i andra kroppsdelar (cykel 2 till 20; p‑värde < 0,05) jämfört med kemoterapi. Krizotinib gav en signifikant mindre försämring av perifer neuropati (cykel 6 till 20; p‑värde < 0,05), dysfagi (cykel 5 till 11; p‑värde < 0,05) och ömhet i mun (cykel 2 till 20; p‑värde < 0.05) jämfört med kemoterapi.
Krizotinib resulterade i gynnsamma effekter på den övergripande livskvaliteten med en signifikant större förbättring i krizotinibarmen jämfört med kemoterapiarmen (cykel 2 till 20; p‑värde < 0,05).
Enarmade studier vid ALK‑positiv avancerad NSCLC
Användning av krizotinib som monoterapi vid behandling av ALK‑positiv avancerad NSCLC har undersökts i 2 enarmade multinationella multicenterstudier (studie 1001 och studie 1005). De patienter som beskrivs nedan hade tidigare fått systemisk behandling för lokalt avancerad eller metastaserad sjukdom. Primärt effektmått i båda studierna var objektiv responsfrekvens (ORR) enligt RECIST.
Totalt 149 patienter med ALK‑positiv avancerad NSCLC, varav 125 patienter med tidigare behandlad ALK‑positiv avancerad NSCLC, hade inkluderats i studie 1001 vid datainsamlingens slut för PFS- och ORR‑analys. Demografiska karaktäristika och sjukdomskaraktäristika innefattade 50 % kvinnor, medianålder 51 år, ECOG performance status 0 (32 %) eller 1 (55 %) vid studiestart, 61 % vita och 30 % asiater, färre än 1 % var rökare, 27 % tidigare rökare och 72 % hade aldrig rökt. 94 % hade metastaserad sjukdom och 98 % av tumörerna klassificerades histologiskt som adenokarcinom. Behandlingstiden var i median 42 veckor.
Totalt 934 patienter med ALK‑positiv avancerad NSCLC behandlades med krizotinib i studie 1005 vid datainsamlingens slut för PFS- och ORR‑analys. Demografiska karaktäristika och sjukdomskaraktäristika innefattade 57 % kvinnor, medianålder 53 år, ECOG performance status 0/1 (82 %) eller 2/3 (18 %) vid baslinjen, 52 % vita och 44 % asiater, 4 % rökare, 30 % tidigare rökare och 66 % hade aldrig rökt. 92 % hade metastaserad sjukdom och 94 % av tumörerna klassificerades histologiskt som adenokarcinom. Behandlingstiden var i median 23 veckor. Patienterna kunde fortsätta behandlingen efter tidpunkten för RECIST‑definierad sjukdomsprogression baserat på prövarens beslut. 77 av 106 patienter (73 %) fortsatte behandlingen med krizotinib i minst 3 veckor efter objektiv sjukdomsprogression.
Effektdata för studie 1001 och 1005 redovisas i tabell 13.
Tabell 13. Effektresultat från studie 1001 och 1005 vid ALK-positiv avancerad NSCLC
Förkortningar: KI = konfidensintervall; n = antal patienter; PFS = progressionsfri överlevnad.
a Per datum för datainsamlingens slut 01 juni 2011 (studie 1001) och 15 februari 2012 (studie 1005).
b Tre patienter kunde inte utvärderas avseende respons i studie 1001 och 42 patienter kunde inte utvärderas avseende respons i studie 1005.
c Beräknat med Kaplan-Meier-metoden.
d PFS-data från studie 1005 inkluderade 807 patienter i säkerhetsanalyspopulationen som identifierades med FISH-analys (datum för datainsamlingens slut 15 februari 2012).
e Per datum för datainsamlingens slut 30 november 2013.
ROS1‑positiv avancerad NSCLC
Användning av krizotinib som enda läkemedel vid behandling av ROS1‑positiv avancerad NSCLC undersöktes i en multinationell enarmad multicenterstudie, studie 1001. Totalt hade 53 patienter med ROS1‑positiv avancerad NSCLC rekryterats till studien vid datainsamlingens slut, varav 46 patienter tidigare hade behandlats för ROS1‑positiv avancerad NSCLC och ett fåtal patienter (N=7) inte tidigare fått någon systemisk behandling. Det primära effektmåttet var ORR enligt RECIST. Sekundära effektmått var tid till tumörrespons (TTR), responsens varaktighet (DoR), PFS och OS.
Patienterna fick krizotinib 250 mg peroralt två gånger dagligen.
Demografiska karaktäristika var 57 % kvinnor, medianålder 55 år, ECOG performance status vid baslinjen 0 eller 1 (98 %) eller 2 (2 %), 57 % var vita och 40 % asiater, 25 % f.d. rökare och 75 % hade aldrig rökt. Sjukdomskarakteristika var 94 % metastaserad sjukdom, 96 % av tumörerna klassificerades histologiskt som adenokarcinom och 13 % hade inte tidigare fått någon systemisk behandling för metastaserande sjukdom.
I studie 1001 var villkoret att patienterna hade ROS1‑positiv avancerad NSCLC innan de påbörjade sitt deltagande i den kliniska studien. Hos de flesta patienterna hade ROS1‑positiv NSCLC fastställts genom FISH‑analys. Mediantiden för behandling var 22,4 månader (95 % KI: 15,0, 35,9). 6 fall av komplett respons och 32 fall av partiell respons förelåg vid en ORR på 72 % (95 % KI: 58 %, 83 %). Median DoR var 24,7 månader (95 % KI: 15,2, 45,3). 50 % av den objektiva tumörresponsen uppnåddes under de första 8 behandlingsveckorna. Median PFS vid datainsamlingens slut var 19,3 månader (95 % KI: 15,2, 39,1). Median OS vid datainsamlingens slut var 51,4 månader (95 % KI: 29,3, NR).
Effektdata för patienter med ROS1‑positiv avancerad NSCLC i studie 1001 redovisas i tabell 14.
Tabell 14. Effektresultat från studie 1001 vid ROS1-positiv avancerad NSCLC
Icke‑adenokarcinomhistologi
21 patienter med tidigare obehandlad och 12 patienter med tidigare behandlad avancerad ALK‑positiv NSCLC med icke‑adenokarcinomhistologi inkluderades i de randomiserade fas 3-studierna, studie 1014 respektive 1007. Subgrupperna i dessa studier var för små för att det skulle gå att dra några tillförlitliga slutsatser. Anmärkningsvärt är att ingen patient med SCC‑histologi randomiserades till krizotinibarmen i studie 1007 och ingen patient med SCC inkluderades i studie 1014 på grund av att pemetrexed‑baserad regim användas som jämförelse.
Det finns uppgifter om 45 patienter med tidigare behandlad NSCLC av icke‑adenokarcinomtyp och utvärderingsbar respons (inkluderande 22 patienter med SCC) i studie 1005. Partiell respons sågs hos 20 av 45 patienter med NSCLC av icke‑adenokarcinomtyp motsvarande en ORR på 44 % och hos 9 av 22 patienter med SCC NSCLC motsvarande en ORR på 41 %, vilka båda var lägre än ORR i studie 1005 (54 %) för samtliga patienter.
Återbehandling med krizotinib
Inga data om säkerhet och effekt finns tillgängliga om återbehandling med krizotinib hos patienter som fått krizotinib i tidigare behandlingslinjer.
Äldre
Av 171 ALK‑positiva NSCLC-patienter behandlade med krizotinib i den randomiserade fas 3‑studien 1014 var 22 (13 %) 65 år eller äldre och av 109 ALK‑positiva patienter behandlade med krizotinib som gick över från kemoterapiarmen var 26 (24 %) 65 år eller äldre. Av 172 ALK‑positiva patienter behandlade med krizotinib i den randomiserade fas 3-studien 1007 var 27 (16 %) 65 år eller äldre. Av 154 respektive 1063 ALK‑positiva NSCLC‑patienter i de enarmade studierna 1001 och 1005 var 22 (14 %) respektive 173 (16 %) 65 år eller äldre. Hos ALK‑positiva NSCLC‑patienter var frekvensen av biverkningar generellt likartad för patienter < 65 år och patienter ≥ 65 år med undantag av ödem och förstoppning, som rapporterades med högre frekvens (≥ 15 % skillnad) i studie 1014 bland patienter behandlade med krizotinib ≥ 65 år. Inga patienter i krizotinibarmen i de randomiserade fas 3-studierna 1007 och 1014 och den enarmade studien 1005 var ≥ 85 år. Av de 154 patienterna i den enarmade studien 1001 var en ALK‑positiv patient > 85 år (se även avsnitt 4.2 och 5.2). Av de 53 ROS1‑positiva NSCLC‑patienterna i den enarmade studien 1001 var 15 (28 %) 65 år eller äldre. I studie 1001 deltog inga ROS1‑positiva patienter > 85 år.
Pediatrisk population
Säkerhet och effekt för krizotinib har fastställts för pediatriska patienter med recidiverande eller refraktär systemisk ALK-positiv ALCL från 3 till < 18 års ålder eller med inoperabel, recidiverande eller refraktär ALK-positiv IMT från 2 till < 18 års ålder (se avsnitt 4.2 and 4.8). Det finns inga säkerhets- eller effektdata om behandling med krizotinib hos pediatriska patienter med ALK-positiv ALCL under 3 års ålder eller pediatriska patienter med ALK-positiv IMT under 2 års ålder.
Pediatriska patienter med ALK-positiv ALCL (se avsnitt 4.2 och 5.2)
I studie 0912 (n = 22) undersöktes krizotinib som monoterapi vid behandling av pediatriska patienter med recidiverande eller refraktär systemisk ALK-positiv ALCL. Alla inkluderade patienter hade tidigare fått systemisk behandling för sin sjukdom: 14 hade fått 1 tidigare systemisk behandling, 6 hade fått 2 tidigare systemiska behandlingar och 2 hade fått mer än 2 tidigare systemiska behandlingar. Av de 22 patienter som inkluderades i studie 0912 hade 2 patienter fått en tidigare benmärgstransplantation. Inga kliniska data finns för närvarande tillgängliga om pediatriska patienter som genomgår transplantation av hematopoetiska stamceller (HSCT) efter behandlingen med krizotinib. Patienter med primära eller metastaserande tumörer i centrala nervsystemet (CNS) exkluderades från studien. De 22 patienter som inkluderades i studie 0912 fick en startdos av krizotinib på 280 mg/m2 (16 patienter) eller 165 mg/m2 (6 patienter) två gånger dagligen. Utfallsmåtten avseende effekt för studie 0912 omfattade ORR, TTR och DoR per oberoende granskning. Mediantiden för uppföljning var 5,5 månader.
Demografiska karaktäristika var 23 % flickor, medianålder 11 år, 50 % vita och 9 % asiater. Funktionsstatus vid baslinjen mätt med Lansky Play Score (för patienter ≤16 år) eller Karnofskyindexet (för patienter > 16 år) var 100 (50 % av patienterna) eller 90 (27 % av patienterna). Inkluderingen av patienter efter ålder var 4 patienter i åldern 3 till < 6 år, 11 patienter i åldern 6 till < 12 år och 7 patienter i åldern 12 till < 18 år. Inga patienter under 3 års ålder inkluderades i studien.
Effektdata som bedömts genom oberoende granskning redovisas i tabell 15.
Tabell 15. Effektresultat för systemisk ALK-positiv ALCL från studie 0912
Pediatriska patienter med ALK-positiv IMT (se avsnitt 4.2 och 5.2)
I studie 0912 (n = 14) undersöktes krizotinib som monoterapi vid behandling av pediatriska patienter med inoperabel, recidiverande eller refraktär ALK-positiv IMT. De flesta av de inkluderade patienterna (12 av 14) hade fått kirurgi (8 patienter) eller tidigare systemisk behandling för sin sjukdom (totalt 7 patienter, varav 5 hade fått en tidigare systemisk behandling, 1 hade fått två tidigare systemiska behandlingar och 1 hade fått mer än två tidigare systemiska behandlingar). Patienter med primära eller metastaserande CNS-tumörer exkluderades från studien. De 14 patienter som inkluderades i studie 0912 fick en startdos av krizotinib på 280 mg/m2 (12 patienter), 165 mg/m2 (1 patient) eller 100 mg/m2 (1 patient) två gånger dagligen. Utfallsmåtten avseende effekt för studie 0912 omfattade ORR, TTR och DoR per oberoende granskning. Mediantiden för uppföljning var 17,6 månader.
Demografiska karaktäristika var 64 % flickor, medianålder 6,5 år och 71 % vita. Funktionsstatus vid baslinjen mätt med Lansky Play Score (för patienter ≤16 år) eller Karnofskyindexet (för patienter > 16 år) var 100 (71 % av patienterna), 90 (14 % av patienterna) eller 80 (14 % av patienterna). Inkluderingen av patienter efter ålder var 4 patienter i åldern 2 till < 6 år, 8 patienter i åldern 6 till < 12 år och 2 patienter i åldern 12 till < 18 år. Inga patienter under 2 års ålder inkluderades i studien.
Effektdata som bedömts genom oberoende granskning redovisas i tabell 16.
Tabell 16. Effektresultat för ALK-positiv IMT från studie 0912
Pediatriska patienter med ALK-positiv eller ROS1-positiv NSCLC
Europeiska läkemedelsmyndigheten har beviljat undantag från kravet att skicka in studieresultat för XALKORI för alla grupper av den pediatriska populationen för NSCLC (information om pediatrisk användning finns i avsnitt 4.2).
Farmakokinetiska egenskaper för krizotinib har identifierats hos vuxna om inget annat specifikt anges för pediatriska patienter.
Absorption
XALKORI 200 mg och 250 mg hårda kapslar
Efter peroral administrering av en singeldos till fastande patient absorberas krizotinib med en mediantid till maximal koncentration på 4 till 6 timmar. Vid dosering två gånger dagligen uppnåddes steady state inom 15 dagar. Absolut biotillgänglighet för krizotinib beräknades till 43 % efter peroral administrering av en singeldos om 250 mg.
En måltid med hög fetthalt minskade AUCinf och Cmax för krizotinib med omkring 14 % när en singeldos om 250 mg gavs till friska frivilliga försökspersoner. Krizotinib kan tas med eller utan föda (se avsnitt 4.2).
XALKORI-granulat i kapslar avsedda att öppnas
Efter peroral administrering av en singeldos till fastande patient är krizotinib-granulat i kapslar avsedda att öppnas bioekvivalenta med krizotinib-kapslar.
Orala krizotinib-granulat i kapslar avsedda att öppnas som administrerades med en fettrik/kaloririk måltid minskade AUCinf och Cmax för krizotinib med cirka 15 % respektive 23 % jämfört med samma formulering som administrerades vid fastande tillstånd. Krizotinib-granulat i kapslar avsedda att öppnas kan administreras med eller utan mat (se avsnitt 4.2).
Distribution
Det geometriska medelvärdet för distributionen (Vss) av krizotinib var 1772 l efter intravenös administrering av en dos om 50 mg, vilket tyder på omfattande distribution från plasma ut i vävnaderna.
Bindningen av krizotinib till humana plasmaproteiner in vitro är 91 % och är oberoende av läkemedlets koncentration. In vitro‑studier tyder på att krizotinib är ett substrat för P‑glykoprotein (P‑gp).
Metabolism
In vitro‑studier har visat att CYP3A4/5 är de viktigaste enzymerna i metabol clearance av krizotinib. De primära metabolismvägarna hos människa var oxidering av piperidinringen till krizotiniblaktam och O‑deakylering, med efterföljande konjugering i fas 2 av O‑dealkylerade metaboliter.
In vitro‑studier av humana levermikrosomer har visat att krizotinib är en tidsberoende hämmare av CYP2B6 och CYP3A (se avsnitt 4.5). In vitro‑studier har visat att kliniska läkemedelsinteraktioner är osannolika som resultat av krizotinib-medierad hämning av nedbrytningen av läkemedelsprodukter som är substrat för CYP1A2, CYP2C8, CYP2C9, CYP2C19 eller CYP2D6.
In vitro‑studier har visat att krizotinib är en svag hämmare av UGT1A1 och UGT2B7 (se avsnitt 4.5). In vitro‑studier har dock visat att kliniska läkemedelsinteraktioner är osannolika som resultat av krizotinib‑medierad hämning av nedbrytningen av läkemedel som är substrat för UGT1A4, UGT1A6 eller UGT1A9.
In vitro‑studier av humana hepatocyter har visat att kliniska läkemedelsinteraktioner är osannolika som resultat av krizotinib‑medierad induktion av nedbrytningen av läkemedelsprodukter som är substrat för CYP1A2.
Eliminering
Efter singeldoser av krizotinib var observerad halveringstid av krizotinib i plasma hos patienter 42 timmar.
Efter administrering av en singeldos om 250 mg radioaktivt märkt krizotinib till friska försökspersoner, återfanns 63 % av den administrerade dosen i faeces och 22 % i urinen. Oförändrat krizotinib stod för ungefär 53 % respektive 2,3 % av den administrerade dosen i faeces respektive i urinen.
Samtidig administrering av läkemedel som är substrat för transportproteiner
Krizotinib hämmar P‑glykoprotein (P‑gp) in vitro. Krizotinib kan därför ha potential att öka plasmakoncentrationen av samtidigt administrerade läkemedel som är substrat för P‑gp (se avsnitt 4.5).
Krizotinib hämmar OCT1 och OCT2 in vitro. Krizotinib kan därför ha potential att öka plasmakoncentrationen av samtidigt administrerade läkemedel som är substrat för OCT1 eller OCT2 (se avsnitt 4.5)
In vitro hämmade krizotinib inte de humana hepatiska transportproteinerna organisk anjontransporterande polypeptid (OATP)1B1 eller OATP1B3 eller de renala transportproteinerna organisk anjontransportör (OAT)1 eller OAT3 vid kliniskt relevanta koncentrationer. Kliniska läkemedelsinteraktioner är därför osannolika som resultat av krizotinib-medierad hämning av leverns eller njurarnas upptag av läkemedel som är substrat för dessa transportproteiner.
Effekt på andra transportproteiner
In vitro hämmar krizotinib inte gallsaltutförselpumpen (BSEP) vid kliniskt relevanta koncentrationer.
Farmakokinetik i särskilda patientgrupper
Nedsatt leverfunktion
Krizotinib metaboliseras i hög utsträckning i levern. Patienter med lätt (antingen ASAT > ULN och totalt bilirubin ≤ ULN eller ASAT och totalt bilirubin > ULN men ≤ 1,5 × ULN), måttligt (ASAT och totalt bilirubin > 1,5 × ULN och ≤ 3 × ULN) eller kraftigt (ASAT och totalt bilirubin > 3 × ULN) nedsatt leverfunktion eller normal (ASAT och totalt bilirubin ≤ ULN) leverfunktion, som var matchade kontroller för lätt och måttligt nedsatt leverfunktion, rekryterades till en öppen, icke randomiserad klinisk studie (studie 1012), på basis av NCI‑klassificering.
Efter dosering av krizotinib 250 mg två gånger dagligen uppvisade patienter med lätt nedsatt leverfunktion (N=10) liknande systemisk exponering av krizotinib vid steady state jämfört med patienter med normal leverfunktion (N=8), med kvoter för geometriska medelvärden för ytan under plasmakoncentration-tidskurvan vid daglig exponering vid steady state (AUCdagligen) och Cmax på 91,1 % respektive 91,2 %. Ingen justering av startdosen rekommenderas för patienter med lätt nedsatt leverfunktion.
Efter dosering av krizotinib 200 mg två gånger dagligen uppvisade patienter med måttligt nedsatt leverfunktion (N=8) högre systemisk exponering av krizotinib jämfört med patienter med normal leverfunktion (N=9) vid samma dosnivå, med kvoter för geometriska medelvärden för AUCdagligen och Cmax på 150 % respektive 144 %. Den systemiska exponeringen av krizotinib hos patienter med måttligt nedsatt leverfunktion vid dosen 200 mg två gånger dagligen var emellertid jämförbar med den som observerades hos patienter med normal leverfunktion vid en dos på 250 mg två gånger dagligen med kvoter för geometriska medelvärden för AUCdagligen och Cmax på 114 % respektive 109 %.
De systemiska krizotinibexponeringsparametrarna AUCdagligen och Cmax hos patienter med kraftigt nedsatt leverfunktion (N=6) som fick krizotinib i dosen 250 mg en gång dagligen var cirka 64,7 % respektive 72,6 % av parametrarna hos patienter med normal leverfunktion som fick dosen 250 mg två gånger dagligen.
En justering av dosen av krizotinib rekommenderas vid administrering av krizotinib till patienter med måttligt eller kraftigt nedsatt leverfunktion (se avsnitt 4.2 och 4.4).
Nedsatt njurfunktion
Patienter med lätt (60 ≤ CLcr < 90 ml/min) eller måttligt (30 ≤ CLcr < 60 ml/min) nedsatt njurfunktion inkluderades i de enarmade studierna 1001 och 1005. Studierna utvärderade effekten av nedsatt njurfunktion på observerade dalvärden av krizotinib vid steady-state (Ctrough, ss), mätt som baslinje‑CLcr. I studie 1001 var det justerade geometriska medelvärdet för plasma Ctrough, ss hos patienter med lätt (n=35) och måttligt (n=8) nedsatt njurfunktion 5,1 % respektive 11 % högre än hos patienter med normal njurfunktion. I studie 1005 var det justerade geometriska medelvärdet Ctrough, ss för krizotinib hos grupper med lätt (n=191) och måttligt (n=65) nedsatt njurfunktion 9,1 % respektive 15 % högre än hos patienter med normal njurfunktion. Dessutom använde den farmakokinetiska populationsanalysen data från studie 1001, 1005 och 1007 som indikerade att CLcr inte hade någon kliniskt signifikant effekt på farmakokinetiken för krizotinib. På grund av de små ökningarna i exponering för krizotinib (5 %–15 %) rekommenderas ingen ändring av startdosen för patienter med lätt eller måttligt nedsatt njurfunktion.
Efter 250 mg krizotinib som engångsdos sågs en ökning av AUCinf och Cmax med 79 % respektive 34 % hos patienter med kraftigt nedsatt njurfunktion (CLcr < 30 ml/min) som inte behandlas med peritonealdialys eller hemodialys jämfört med patienter med normal njurfunktion. En justering av dosen av krizotinib rekommenderas vid behandling av patienter med kraftigt nedsatt njurfunktion som inte behandlas med peritonealdialys eller hemodialys (se avsnitt 4.2 och 4.4).
Pediatrisk population för cancerpatienter
Vid en doseringsregim på 280 mg/m2 två gånger dagligen (ungefär 2 gånger den rekommenderade vuxendosen) är den observerade koncentrationen av krizotinib före administrering (Ctrough) vid steady state likartad oavsett kroppsviktskvartil. Den observerade genomsnittliga Ctrough vid steady state hos pediatriska patienter med 280 mg/m2 två gånger dagligen är 482 ng/ml. Hos vuxna cancerpatienter med 250 mg två gånger dagligen varierade den genomsnittliga Ctrough vid steady state från 263 till 316 ng/ml i olika kliniska studier.
Hos pediatriska patienter har kroppsvikten en signifikant effekt på farmakokinetiken för krizotinib, där lägre krizotinib-exponering har observerats hos patienter med högre kroppsvikt.
Ålder
Baserat på den farmakokinetiska populationsanalysen av data för vuxna från studierna 1001, 1005 och 1007 har ålder ingen effekt på farmakokinetiken för krizotinib (se avsnitt 4.2 och 5.1).
Kroppsvikt och kön
Baserat på den farmakokinetiska populationsanalysen av data för vuxna från studierna 1001, 1005 och 1007 hade kroppsvikt eller kön ingen kliniskt relevant effekt på farmakokinetiken för krizotinib.
Etnicitet
Baserat på den populationskinetiska analysen av data från studierna 1001, 1005 och 1007 var predikterad area under kurvan för plasmakoncentration‑tid (AUCSS) (95 % KI) i steady state 23 %‑37 % högre hos asiatiska patienter (n=523) än hos icke‑asiatiska patienter (n=691).
I studier på patienter med ALK‑positiv avancerad NSCLC (n=1669) rapporterades följande biverkningar med en absolut skillnad på ≥ 10 % hos asiatiska patienter (n=753) jämfört med icke‑asiatiska patienter (n=916): förhöjda transaminaser, minskad aptit, neutropeni och leukopeni. Ingen biverkning rapporterades med en absolut skillnad på ≥ 15 %.
Äldre
Det finns endast begränsade data för denna patientundergrupp (se avsnitt 4.2, 4.4 och 5.1). Baserat på den farmakokinetiska populationsanalysen av data från studierna 1001, 1005 och 1007 har ålder ingen effekt på farmakokinetiken för krizotinib.
Hjärtats elektrofysiologi
Krizotinibs potential för att förlänga QT‑intervallet bedömdes hos patienter med antingen ALK‑positiv eller ROS1‑positiv NSCLC som fick krizotinib 250 mg två gånger dagligen. Tre EKG togs i en serie efter en singeldos och vid steady state för att bedöma krizotinibs effekt på QT‑intervallet. 34 av 1619 patienter (2,1 %) med minst 1 EKG taget efter baslinjen befanns ha ett QTcF på ≥ 500 msek, och 79 av 1585 patienter (5,0 %) med ett baslinje‑EKG och minst 1 EKG taget efter baslinjen hade en ökning av QTcF från baslinjen på ≥ 60 msek, vid automatiskt maskinavläst EKG (se avsnitt 4.4).
En delstudie, där man blindat, manuellt avläste EKG, utfördes på 52 ALK‑positiva patienter med NSCLC som fick krizotinib 250 mg två gånger dagligen. 11 (21 %) patienter hade en ökning från baslinjen av QTcF‑värdet ≥ 30 till < 60 msek och 1 (2 %) patient hade en ökning från baslinjen av QTcF‑värdet på ≥ 60 msek. Ingen patient hade ett maximalt QTcF ≥ 480 msek. Den centrala tendensanalysen indikerade att alla övre gränser för 90 % KI för LS‑medelvärdet för förändring från baslinjen av QTcF vid alla tidpunkter på dag 1 i cykel 2 var < 20 msek. En farmakokinetisk/farmakodynamisk analys visade på ett sannolikt samband mellan plasmakoncentrationen av krizotinib och QTc. Dessutom konstaterades en sänkning av hjärtfrekvensen vara förknippad med ökande plasmakoncentrationer av krizotinib (se avsnitt 4.4) med en maximal genomsnittlig sänkning på 17,8 slag per minut (bpm) efter 8 timmar på dag 1 i cykel 2.
Vid toxicitetsstudier på råtta och hund som fick upprepade doser i upp till 3 månader var de främsta organeffekterna gastrointestinala (emesis, fekala förändringar, förstoppning), hematopoetiska (hypercellularitet i benmärgen), kardiovaskulära (blandad jonkanalblockering, sänkt hjärtfrekvens och blodtryck, ökat LVEDP, förlängt QRS- och PR‑intervall samt nedsatt myokardkontraktilitet) eller reproduktiva (testikulär pachyten spermatocytdegeneration, singelcellnekros i ovarialfolliklar). NOAEL (No Observed Adverse Effect Levels) för dessa fynd var antingen subterapeutiska eller upp till 1,3 gånger den kliniska exponeringen hos människa, baserat på AUC. Andra fynd var leverpåverkan (förhöjda levertransaminaser) och effekt på retina, samt risk för fosfolipidos i multipla organ utan samband med toxicitet.
Krizotinib hade ingen mutagen effekt in vitro vid analys av omvänd mutation hos bakterier (Ames-analys). Krizotinib var aneugent i en mikronukleusanalys in vitro på ovarialceller från kinesisk hamster, samt i en in vitro‑analys av kromosomavvikelser hos humana lymfocyter. Små ökningar av strukturella kromosomavvikelser vid cytotoxiska koncentrationer sågs hos humana lymfocyter. Nivån för ingen observerad effekt (NOEL) för aneugenicitet var ungefär 1,8 till 2,1 gånger den kliniska exponeringen hos människa, baserat på AUC.
Karcinogenicitetsstudier med krizotinib har inte utförts.
Inga specifika djurstudier av krizotinib med syfte att utvärdera effekten på fertiliteten har utförts. Krizotinib kan ändå anses ha en potentiell nedsättande effekt på reproduktionsfunktion och fertilitet hos människa baserat på fynden i en toxicitetsstudie med upprepade doser på råtta. De fynd som observerats i manliga könsorgan är testikulär pachyten spermatocytdegeneration hos råtta som fick ≥ 50 mg/kg/dag i 28 dagar (ungefär 1,1 till 1,3 gånger den kliniska exponeringen hos människa, baserat på AUC). De fynd som observerats i kvinnliga könsorgan är singelcellnekros i ovarialfolliklar hos råtta som fick 500 mg/kg/dag i 3 dagar.
Krizotinib visade inga teratogena effekter hos dräktiga råttor eller kaniner. Ökade postimplantationsförluster sågs vid doser ≥ 50 mg/kg/dag (ungefär 0,4 till 0,5 gånger AUC vid den rekommenderade dosen för människa) hos råtta. Lägre fostervikt bedömdes som biverkningar hos råtta och kanin som fick 200 respektive 60 mg/kg/dag (ungefär 1,2 till 2,0 gånger den kliniska exponeringen hos människa, baserat på AUC).
Försämrad benbildning i växande rörben observerades hos immatura råttor vid 150 mg/kg/dag efter dosering en gång dagligen i 28 dagar (ungefär 3,3 till 3,9 gånger den kliniska exponeringen hos människa, baserat på AUC). Andra toxiska reaktioner som kan vara av särskild betydelse för pediatriska patienter har inte utvärderats hos juvenila djur.
Resultaten av en fototoxicitetsstudie in vivo visade att krizotinib kan ha fototoxisk potential.
Farmakoterapeutisk grupp: Antineoplastiska medel - proteinkinashämmare,
ATC kod: L01ED01.
Verkningsmekanism
Krizotinib är en selektiv småmolekylär hämmare av ALK‑receptortyrosinkinas (RTK) och dess onkogena varianter (dvs. ALK‑fusioner och vissa ALK‑mutationer). Krizotinib hämmar också receptorn för hepatocyttillväxtfaktorn (HGFR, c‑Met) RTK, ROS1 (c‑ros‑1) och RON‑receptorn (Recepteur d’Origine Nantais) RTK. Krizotinib demonstrerade koncentrationsberoende hämning av kinasaktiviteten hos ALK, ROS1 och c‑Met i biokemiska analyser, samt hämmade fosforylering och modulerade kinasberoende fenotyper vid cellbaserade analyser. Krizotinib visade potent och selektiv tillväxthämmande aktivitet och inducerade apoptos i tumörcellinjer som uppvisade ALK‑fusion (däribland echinoderm microtubule-associated protein‑like 4 [EML4]‑ALK och nukleofosmin [NPM]‑ALK), ROS1‑fusion eller amplifiering av ALK- eller MET‑genlokus. Krizotinib visade antitumoral effekt, däribland betydande cytoreduktiv antitumoral aktivitet, hos möss med xenografttumörer som uttryckte ALK‑fusionsproteiner. Den antitumorala effekten av krizotinib var dosberoende och korrelerade med farmakodynamisk hämning av fosforyleringen av ALK‑fusionsproteiner (däribland EML4‑ALK och NPM‑ALK) i tumörer in vivo. krizotinib visade även betydande antitumöreffekt i xenograftstudier på möss, där tumörer genererades med en panel av NIH‑3T3‑cellinjer som tagits fram för att uttrycka viktiga ROS1‑fusioner som upptäckts i tumörer hos människa. Krizotinibs antitumöreffekt var dosberoende och uppvisade ett samband med hämning av ROS1‑fosforylering in vivo. In vitro-studier på två ALCL-deriverade cellinjer (SU‑DHL‑1 och Karpas‑299, båda innehållande NPM‑ALK) visade att krizotinib kunde inducera apoptos. I Karpas 299-celler hämmade krizotinib proliferation och ALK-medierad signalering vid kliniskt uppnåbara doser. In vivo-data från en Karpas-299-modell visade fullständig regression av tumören vid en dos på 100 mg/kg en gång dagligen.
Kliniska studier
Tidigare obehandlad ALK‑positiv avancerad NSCLC – randomiserad fas 3-studie, studie 1014
Effekten och säkerheten för krizotinib för behandling av patienter med ALK‑positiv metastaserad NSCLC, som inte tidigare fått systemisk behandling för avancerad sjukdom, visades i en global, randomiserad, öppen studie, studie 1014.
Hela analyspopulationen inkluderade 343 patienter med ALK‑positiv avancerad NSCLC identifierad med fluorescerande in situ‑hybridisering (FISH) före randomisering: 172 patienter randomiserades till krizotinib och 171 patienter randomiserades till kemoterapi (pemetrexed + karboplatin eller cisplatin; upp till 6 behandlingscykler). Demografiska karaktäristika och sjukdomskaraktäristika för den totala studiepopulationen innefattade 62 % kvinnor, medianålder 53 år, performance status 0 eller 1 (95 %) vid studiestarten enligt Eastern Cooperative Oncology Group (ECOG), 51 % vita och 46 % asiater, 4 % rökare, 32 % f.d. rökare och 64 % hade aldrig rökt. Sjukdomskaraktäristika för den totala studiepopulationen innefattade metastaserad sjukdom hos 98 % av patienterna, 92 % av patienternas tumörer klassificerades histologiskt som adenokarcinom och 27 % av patienterna hade hjärnmetastaser.
Patienterna kunde fortsätta med behandlingen med krizotinib efter tidpunkten för sjukdomsprogression definierad enligt Response Evalution Criteria in Solid Tumours (RECIST) baserat på prövarens beslut, om patienten fortfarande hade klinisk nytta. 65 av 89 (73 %) patienter behandlade med krizotinib och 11 av 132 (8,3 %) patienter behandlade med kemoterapi fortsatte behandling i minst 3 veckor efter objektiv sjukdomsprogression. Patienter randomiserade till kemoterapi kunde gå över till att få krizotinib vid RECIST‑definierad sjukdomsprogression bekräftad enligt oberoende radiologisk granskning (IRR). 144 (84 %) patienter i kemoterapiarmen fick efterföljande behandling med krizotinib.
Krizotinib förlängde signifikant progressionsfri överlevnad (PFS), det primära syftet med studien, jämfört med kemoterapi bedömt enligt IRR. Nyttan med krizotinib avseende PFS visades genomgående i samtliga subgrupper av patienter per karaktäristika vid studiestart, som ålder, kön, etnicitet, rökstatus, tid sedan diagnos, ECOG performance status och förekomst av hjärnmetastaser. Det förelåg en numerisk förbättring av total överlevnad (OS) hos de patienter som behandlades med krizotinib, men denna förbättring var inte statistiskt signifikant. Effektdata från den randomiserade fas 3-studien, studie 1014, sammanfattas i tabell 11 och Kaplan-Meier-kurvorna för PFS och total överlevnad (OS) visas i figur 1 respektive 2.
Tabell 11. Effektresultat från den randomiserade fas 3-studien, studie 1014, (hela analyspopulationen) på patienter med tidigare obehandlad ALK-positiv avancerad NSCLC*
Förkortningar: KI = konfidensintervall; HR = riskkvot; IRR = oberoende radiologisk granskning; n = antal patienter; NR = ej uppnådd; PFS = progressionsfri överlevnad; ORR = objektiv responsfrekvens; OS = total överlevnad.
* PFS, objektiv responsfrekvens och responsens varaktighet baseras på datumet för datainsamlingens slut, den 30 november 2013. OS baseras på datumet för den sista patientens sista besök, den 30 november 2016, och baseras på en medianuppföljningstid på cirka 46 månader.
a Mediantider för PFS var 6,9 månader (95 % KI: 6,6, 8,3) för pemetrexed/cisplatin (HR = 0,49; p-värde < 0,0001 för krizotinib jämfört med pemetrexed/cisplatin) och 7,0 månader (95 % KI: 5,9, 8,3) för pemetrexed/karboplatin (HR = 0,45; p-värde < 0,0001 för krizotinib jämfört med pemetrexed/karboplatin).
b Baserat på stratifierad analys enligt Cox proportionella hazardmodell.
c Baserat på stratifierat log-rank-test (1-sidigt).
d Uppdaterat enligt slutlig OS-analys. OS-analysen var inte justerad för potentiellt störande effekt av behandlingsbyte (144 [84 %] av patienterna i kemoterapiarmen fick efterföljande krizotinibbehandling).
e ORR var 47 % (95 % KI: 37, 58) för pemetrexed/cisplatin (p-värde < 0,0001 jämfört med krizotinib) och 44 % (95 % KI: 32, 55) för pemetrexed/karboplatin (p-värde < 0,0001 jämfört med krizotinib).
f Baserat på stratifierat Cochran-Mantel-Haenszel-test (2-sidigt).
g Beräknat med Kaplan-Meier-metoden.
Figur 1. Kaplan-Meier-kurvor för progressionsfri överlevnad (enligt IRR) per behandlingsarm i den randomiserade fas 3-studien, studie 1014, (hela analyspopulationen) på patienter med tidigare obehandlad ALK-positiv avancerad NSCLC
Förkortningar: KI = konfidensintervall; N = antal patienter; p = p‑värde.
Figur 2. Kaplan-Meier-kurvor för total överlevnad per behandlingsarm i den randomiserade fas 3-studien, studie 1014, (hela analyspopulationen) på patienter med tidigare obehandlad ALK-positiv avancerad NSCLC
Förkortningar: KI = konfidensintervall; N = antal patienter; p = p‑värde.
För patienter med tidigare behandlade hjärnmetastaser vid studiestart var mediantiden för intrakraniell tid till progression (IC‑TTP) 15,7 månader i krizotinibarmen (n=39) och 12,5 månader i kemoterapiarmen (n=40) (HR=0,45 [95 % KI: 0,19, 1,07]; 1‑sidigt p‑värde=0,0315). För patienter utan hjärnmetastaser vid studiestart uppnåddes inte mediantiden för IC‑TTP varken i krizotinibarmen (n=132) eller i kemoterapiarmen (n=131) (HR=0,69 [95 % KI: 0,33, 1,45]; 1‑sidigt p‑värde=0,1617).
Patientrapporterade symtom och övergripande livskvalitet samlades in med EORTC QLQ‑C30 och dess lungmodul (EORTC QLQ‑LC13). Totalt 166 patienter i krizotinibarmen och 163 patienter i kemoterapiarmen fyllde i frågeformulären EORTC QLQ‑C30 och LC13 vid studiestart och vid minst ett besök efter studiestart. Signifikant större förbättring av övergripande livskvalitet observerades i krizotinibarmen jämfört med kemoterapiarmen (total skillnad i förändring av poäng från studiestart 13,8; p‑värde < 0,0001).
Tid till försämring (TTD) var förspecificerad som den första förekomsten av en ökning ≥ 10 poäng från studiestart av poängen för symtom i form av bröstsmärta, hosta eller dyspné enligt bedömning med EORTC QLQ‑LC13.
Krizotinib resulterade i gynnsam effekt på symtom jämfört med kemoterapi. Signifikant förlängning av tiden till försämring (medianvärde 2,1 månader jämfört med 0,5 månader) visades för patientrapporterade symtom i form av bröstsmärta, dyspné eller hosta (HR=0,59; 95 % KI: 0,45, 0,77; Hochberg‑justerat log‑rank 2‑sidigt p‑värde =0,0005).
Tidigare behandlad ALK‑positiv avancerad NSCLC – randomiserad fas 3-studie, studie 1007
Säkerhet och effekt för krizotinib för behandling av patienter med ALK‑positiv metastaserad NSCLC, som tidigare hade fått systemisk behandling för avancerad sjukdom, visades i en global, randomiserad, öppen studie, studie 1007.
Hela analyspopulationen inkluderade 347 patienter med ALK‑positiv avancerad NSCLC identifierad med FISH före randomisering. Etthundrasjuttiotre (173) patienter randomiserades till krizotinib och 174 patienter randomiserades till kemoterapi (antingen pemetrexed eller docetaxel). Demografiska karaktäristika och sjukdomskaraktäristika för den totala studiepopulationen innefattade 56 % kvinnor, medianålder 50 år, ECOG performance status 0 (39 %) eller 1 (52 %) vid studiestart, 52 % vita och 45 % asiater, 4 % rökare, 33 % f.d. rökare och 63 % hade aldrig rökt, 93 % metastaserad sjukdom och 93 % av tumörerna klassificerades histologiskt som adenokarcinom.
Patienterna kunde fortsätta med behandlingen med krizotinib efter tidpunkten för RECIST‑definierad sjukdomsprogression, baserat på prövarens beslut om patienten ansågs ha klinisk nytta. 58 av 84 (69 %) patienter behandlade med krizotinib och 17 av 119 (14 %) patienter behandlade med kemoterapi fortsatte behandlingen i minst 3 veckor efter objektiv sjukdomsprogression. Patienter randomiserade till kemoterapi kunde gå över till att få krizotinib vid RECIST‑definierad sjukdomsprogression bekräftad enligt IRR.
Krizotinib förlängde PFS signifikant, det primära syftet med studien, jämfört med kemoterapi enligt oberoende radiologisk bedömning (IRR). Nyttan med krizotinib avseende PFS visades genomgående i samtliga subgrupper av patienter per karaktäristika vid studiestart, som ålder, kön, etnicitet, rökstatus, tid sedan diagnos, ECOG performance status, förekomst av hjärnmetastaser och tidigare behandling med EGFR‑hämmare.
Effektdata från studie 1007, sammanfattas i tabell 12. Kaplan‑Meier‑kurvorna för PFS och OS visas i figur 3 respektive 4.
Tabell 12. Effektresultat från den randomiserade fas 3-studien, studie 1007 (hela analyspopulationen) på patienter med tidigare behandlad ALK-positiv avancerad NSCLC*
Förkortningar: KI = konfidensintervall; HR = Riskkvot; IRR = oberoende radiologisk granskning; n = antal patienter; PFS = progressionsfri överlevnad; ORR = objektiv responsfrekvens; OS = total överlevnad.
*PFS, objektiv responsfrekvens och responsens varaktighet baseras på datum för datainsamlingens slut den 30 mars 2012; OS baseras på datum för datainsamlingens slut den 31 augusti 2015.
a Mediantider för PFS var 4,2 månader (95 % KI: 2,8, 5,7) för pemetrexed (HR=0,59; p‑värde=0,0004 för krizotinib jämfört med pemetrexed) och 2,6 månader (95 % KI: 1,6, 4,0) för docetaxel (HR=0,30; p < 0,0001 för krizotinib jämfört med docetaxel).
b Baserat på stratifierad analys enligt Cox proportionella hazardmodell.
c Baserat på stratifierat log‑rank‑test (1‑sidigt).
d Uppdatering baserat på den slutliga OS‑analysen. Den slutliga OS‑analysen var inte justerad för potentiellt störande effekter av behandlingsbyte (154 [89 %] patienter fick efterföljande krizotinibbehandling).
e Beräknat med Kaplan‑Meier‑metoden.
f ORR var 29 % (95 % KI: 21 %, 39 %) för pemetrexed (p‑värde < 0,0001 jämfört med krizotinib) och 7 % (95 % KI: 2 %, 16 %) för docetaxel (p‑värde < 0,0001 jämfört med krizotinib).
g Baserat på stratifierat Cochran‑Mantel‑Haenszel‑test (2‑sidigt).
Figur 3. Kaplan-Meier-kurvor för progressionsfri överlevnad (enligt IRR) per behandlingsarm i den randomiserade fas 3-studien, studie 1007 (hela analyspopulationen) på patienter med tidigare behandlad ALK-positiv avancerad NSCLC
Förkortningar: KI = konfidensintervall; N = antal patienter; p = p‑värde.
Figur 4. Kaplan-Meier-kurvor för total överlevnad per behandlingsarm i den randomiserade fas 3-studien, studie 1007 (hela analyspopulationen) på patienter med tidigare behandlad ALK-positiv avancerad NSCLC
Förkortningar: KI = konfidensintervall; N = antal patienter; p = p‑värde.
Femtiotvå (52) patienter behandlade med krizotinib och 57 kemoterapibehandlade patienter med tidigare behandlade eller obehandlade asymtomatiska hjärnmetastaser inkluderades i den randomiserade fas 3-studien, studie 1007. Intrakraniell sjukdomskontroll (IC‑DCR) vecka 12 var 65 % och 46 % för krizotinib- respektive kemoterapibehandlade patienter.
Patientrapporterade symtom och övergripande livskvalitet samlades in med användning av EORTC QLQ‑C30 och dess lungcancermodul (EORTC QLQ‑LC‑13) vid studiestart (dag 1, cykel 1) och dag 1 i varje efterföljande behandlingscykel. Totalt 162 patienter i krizotinibarmen och 151 patienter i kemoterapiarmen fyllde i frågeformulären EORTC QLQ‑C30 och LC‑13 vid studiestart och vid minst 1 besök efter studiestart.
Krizotinib resulterade i gynnsam effekt på symtom jämfört med kemoterapi. Signifikant förlängning av tiden till försämring (medianvärde 4,5 månader mot 1,4 månader) visades för patienter som rapporterade symtom i form av bröstsmärta, dyspné eller hosta (HR 0,50; 95 % KI: 0,37, 0,66; Hochberg‑justerat log‑rank 2‑sidigt p‑värde < 0,0001).
Krizotinib gav signifikant större förbättring avseende alopeci (cykel 2 till 15; p‑värde < 0,05), hosta (cykel 2 till 20; p‑värde < 0,0001), dyspné (cykel 2 till 20; p‑värde < 0,0001), hemoptys (cykel 2 till 20; p‑värde < 0,05), smärta i arm eller axel (cykel 2 till 20; p‑värde < 0,0001), bröstsmärta (cykel 2 till 20; p‑värde < 0,0001) och smärta i andra kroppsdelar (cykel 2 till 20; p‑värde < 0,05) jämfört med kemoterapi. Krizotinib gav en signifikant mindre försämring av perifer neuropati (cykel 6 till 20; p‑värde < 0,05), dysfagi (cykel 5 till 11; p‑värde < 0,05) och ömhet i mun (cykel 2 till 20; p‑värde < 0.05) jämfört med kemoterapi.
Krizotinib resulterade i gynnsamma effekter på den övergripande livskvaliteten med en signifikant större förbättring i krizotinibarmen jämfört med kemoterapiarmen (cykel 2 till 20; p‑värde < 0,05).
Enarmade studier vid ALK‑positiv avancerad NSCLC
Användning av krizotinib som monoterapi vid behandling av ALK‑positiv avancerad NSCLC har undersökts i 2 enarmade multinationella multicenterstudier (studie 1001 och studie 1005). De patienter som beskrivs nedan hade tidigare fått systemisk behandling för lokalt avancerad eller metastaserad sjukdom. Primärt effektmått i båda studierna var objektiv responsfrekvens (ORR) enligt RECIST.
Totalt 149 patienter med ALK‑positiv avancerad NSCLC, varav 125 patienter med tidigare behandlad ALK‑positiv avancerad NSCLC, hade inkluderats i studie 1001 vid datainsamlingens slut för PFS- och ORR‑analys. Demografiska karaktäristika och sjukdomskaraktäristika innefattade 50 % kvinnor, medianålder 51 år, ECOG performance status 0 (32 %) eller 1 (55 %) vid studiestart, 61 % vita och 30 % asiater, färre än 1 % var rökare, 27 % tidigare rökare och 72 % hade aldrig rökt. 94 % hade metastaserad sjukdom och 98 % av tumörerna klassificerades histologiskt som adenokarcinom. Behandlingstiden var i median 42 veckor.
Totalt 934 patienter med ALK‑positiv avancerad NSCLC behandlades med krizotinib i studie 1005 vid datainsamlingens slut för PFS- och ORR‑analys. Demografiska karaktäristika och sjukdomskaraktäristika innefattade 57 % kvinnor, medianålder 53 år, ECOG performance status 0/1 (82 %) eller 2/3 (18 %) vid baslinjen, 52 % vita och 44 % asiater, 4 % rökare, 30 % tidigare rökare och 66 % hade aldrig rökt. 92 % hade metastaserad sjukdom och 94 % av tumörerna klassificerades histologiskt som adenokarcinom. Behandlingstiden var i median 23 veckor. Patienterna kunde fortsätta behandlingen efter tidpunkten för RECIST‑definierad sjukdomsprogression baserat på prövarens beslut. 77 av 106 patienter (73 %) fortsatte behandlingen med krizotinib i minst 3 veckor efter objektiv sjukdomsprogression.
Effektdata för studie 1001 och 1005 redovisas i tabell 13.
Tabell 13. Effektresultat från studie 1001 och 1005 vid ALK-positiv avancerad NSCLC
Förkortningar: KI = konfidensintervall; n = antal patienter; PFS = progressionsfri överlevnad.
a Per datum för datainsamlingens slut 01 juni 2011 (studie 1001) och 15 februari 2012 (studie 1005).
b Tre patienter kunde inte utvärderas avseende respons i studie 1001 och 42 patienter kunde inte utvärderas avseende respons i studie 1005.
c Beräknat med Kaplan-Meier-metoden.
d PFS-data från studie 1005 inkluderade 807 patienter i säkerhetsanalyspopulationen som identifierades med FISH-analys (datum för datainsamlingens slut 15 februari 2012).
e Per datum för datainsamlingens slut 30 november 2013.
ROS1‑positiv avancerad NSCLC
Användning av krizotinib som enda läkemedel vid behandling av ROS1‑positiv avancerad NSCLC undersöktes i en multinationell enarmad multicenterstudie, studie 1001. Totalt hade 53 patienter med ROS1‑positiv avancerad NSCLC rekryterats till studien vid datainsamlingens slut, varav 46 patienter tidigare hade behandlats för ROS1‑positiv avancerad NSCLC och ett fåtal patienter (N=7) inte tidigare fått någon systemisk behandling. Det primära effektmåttet var ORR enligt RECIST. Sekundära effektmått var tid till tumörrespons (TTR), responsens varaktighet (DoR), PFS och OS.
Patienterna fick krizotinib 250 mg peroralt två gånger dagligen.
Demografiska karaktäristika var 57 % kvinnor, medianålder 55 år, ECOG performance status vid baslinjen 0 eller 1 (98 %) eller 2 (2 %), 57 % var vita och 40 % asiater, 25 % f.d. rökare och 75 % hade aldrig rökt. Sjukdomskarakteristika var 94 % metastaserad sjukdom, 96 % av tumörerna klassificerades histologiskt som adenokarcinom och 13 % hade inte tidigare fått någon systemisk behandling för metastaserande sjukdom.
I studie 1001 var villkoret att patienterna hade ROS1‑positiv avancerad NSCLC innan de påbörjade sitt deltagande i den kliniska studien. Hos de flesta patienterna hade ROS1‑positiv NSCLC fastställts genom FISH‑analys. Mediantiden för behandling var 22,4 månader (95 % KI: 15,0, 35,9). 6 fall av komplett respons och 32 fall av partiell respons förelåg vid en ORR på 72 % (95 % KI: 58 %, 83 %). Median DoR var 24,7 månader (95 % KI: 15,2, 45,3). 50 % av den objektiva tumörresponsen uppnåddes under de första 8 behandlingsveckorna. Median PFS vid datainsamlingens slut var 19,3 månader (95 % KI: 15,2, 39,1). Median OS vid datainsamlingens slut var 51,4 månader (95 % KI: 29,3, NR).
Effektdata för patienter med ROS1‑positiv avancerad NSCLC i studie 1001 redovisas i tabell 14.
Tabell 14. Effektresultat från studie 1001 vid ROS1-positiv avancerad NSCLC
Icke‑adenokarcinomhistologi
21 patienter med tidigare obehandlad och 12 patienter med tidigare behandlad avancerad ALK‑positiv NSCLC med icke‑adenokarcinomhistologi inkluderades i de randomiserade fas 3-studierna, studie 1014 respektive 1007. Subgrupperna i dessa studier var för små för att det skulle gå att dra några tillförlitliga slutsatser. Anmärkningsvärt är att ingen patient med SCC‑histologi randomiserades till krizotinibarmen i studie 1007 och ingen patient med SCC inkluderades i studie 1014 på grund av att pemetrexed‑baserad regim användas som jämförelse.
Det finns uppgifter om 45 patienter med tidigare behandlad NSCLC av icke‑adenokarcinomtyp och utvärderingsbar respons (inkluderande 22 patienter med SCC) i studie 1005. Partiell respons sågs hos 20 av 45 patienter med NSCLC av icke‑adenokarcinomtyp motsvarande en ORR på 44 % och hos 9 av 22 patienter med SCC NSCLC motsvarande en ORR på 41 %, vilka båda var lägre än ORR i studie 1005 (54 %) för samtliga patienter.
Återbehandling med krizotinib
Inga data om säkerhet och effekt finns tillgängliga om återbehandling med krizotinib hos patienter som fått krizotinib i tidigare behandlingslinjer.
Äldre
Av 171 ALK‑positiva NSCLC-patienter behandlade med krizotinib i den randomiserade fas 3‑studien 1014 var 22 (13 %) 65 år eller äldre och av 109 ALK‑positiva patienter behandlade med krizotinib som gick över från kemoterapiarmen var 26 (24 %) 65 år eller äldre. Av 172 ALK‑positiva patienter behandlade med krizotinib i den randomiserade fas 3-studien 1007 var 27 (16 %) 65 år eller äldre. Av 154 respektive 1063 ALK‑positiva NSCLC‑patienter i de enarmade studierna 1001 och 1005 var 22 (14 %) respektive 173 (16 %) 65 år eller äldre. Hos ALK‑positiva NSCLC‑patienter var frekvensen av biverkningar generellt likartad för patienter < 65 år och patienter ≥ 65 år med undantag av ödem och förstoppning, som rapporterades med högre frekvens (≥ 15 % skillnad) i studie 1014 bland patienter behandlade med krizotinib ≥ 65 år. Inga patienter i krizotinibarmen i de randomiserade fas 3-studierna 1007 och 1014 och den enarmade studien 1005 var ≥ 85 år. Av de 154 patienterna i den enarmade studien 1001 var en ALK‑positiv patient > 85 år (se även avsnitt 4.2 och 5.2). Av de 53 ROS1‑positiva NSCLC‑patienterna i den enarmade studien 1001 var 15 (28 %) 65 år eller äldre. I studie 1001 deltog inga ROS1‑positiva patienter > 85 år.
Pediatrisk population
Säkerhet och effekt för krizotinib har fastställts för pediatriska patienter med recidiverande eller refraktär systemisk ALK-positiv ALCL från 3 till < 18 års ålder eller med inoperabel, recidiverande eller refraktär ALK-positiv IMT från 2 till < 18 års ålder (se avsnitt 4.2 and 4.8). Det finns inga säkerhets- eller effektdata om behandling med krizotinib hos pediatriska patienter med ALK-positiv ALCL under 3 års ålder eller pediatriska patienter med ALK-positiv IMT under 2 års ålder.
Pediatriska patienter med ALK-positiv ALCL (se avsnitt 4.2 och 5.2)
I studie 0912 (n = 22) undersöktes krizotinib som monoterapi vid behandling av pediatriska patienter med recidiverande eller refraktär systemisk ALK-positiv ALCL. Alla inkluderade patienter hade tidigare fått systemisk behandling för sin sjukdom: 14 hade fått 1 tidigare systemisk behandling, 6 hade fått 2 tidigare systemiska behandlingar och 2 hade fått mer än 2 tidigare systemiska behandlingar. Av de 22 patienter som inkluderades i studie 0912 hade 2 patienter fått en tidigare benmärgstransplantation. Inga kliniska data finns för närvarande tillgängliga om pediatriska patienter som genomgår transplantation av hematopoetiska stamceller (HSCT) efter behandlingen med krizotinib. Patienter med primära eller metastaserande tumörer i centrala nervsystemet (CNS) exkluderades från studien. De 22 patienter som inkluderades i studie 0912 fick en startdos av krizotinib på 280 mg/m2 (16 patienter) eller 165 mg/m2 (6 patienter) två gånger dagligen. Utfallsmåtten avseende effekt för studie 0912 omfattade ORR, TTR och DoR per oberoende granskning. Mediantiden för uppföljning var 5,5 månader.
Demografiska karaktäristika var 23 % flickor, medianålder 11 år, 50 % vita och 9 % asiater. Funktionsstatus vid baslinjen mätt med Lansky Play Score (för patienter ≤16 år) eller Karnofskyindexet (för patienter > 16 år) var 100 (50 % av patienterna) eller 90 (27 % av patienterna). Inkluderingen av patienter efter ålder var 4 patienter i åldern 3 till < 6 år, 11 patienter i åldern 6 till < 12 år och 7 patienter i åldern 12 till < 18 år. Inga patienter under 3 års ålder inkluderades i studien.
Effektdata som bedömts genom oberoende granskning redovisas i tabell 15.
Tabell 15. Effektresultat för systemisk ALK-positiv ALCL från studie 0912
Pediatriska patienter med ALK-positiv IMT (se avsnitt 4.2 och 5.2)
I studie 0912 (n = 14) undersöktes krizotinib som monoterapi vid behandling av pediatriska patienter med inoperabel, recidiverande eller refraktär ALK-positiv IMT. De flesta av de inkluderade patienterna (12 av 14) hade fått kirurgi (8 patienter) eller tidigare systemisk behandling för sin sjukdom (totalt 7 patienter, varav 5 hade fått en tidigare systemisk behandling, 1 hade fått två tidigare systemiska behandlingar och 1 hade fått mer än två tidigare systemiska behandlingar). Patienter med primära eller metastaserande CNS-tumörer exkluderades från studien. De 14 patienter som inkluderades i studie 0912 fick en startdos av krizotinib på 280 mg/m2 (12 patienter), 165 mg/m2 (1 patient) eller 100 mg/m2 (1 patient) två gånger dagligen. Utfallsmåtten avseende effekt för studie 0912 omfattade ORR, TTR och DoR per oberoende granskning. Mediantiden för uppföljning var 17,6 månader.
Demografiska karaktäristika var 64 % flickor, medianålder 6,5 år och 71 % vita. Funktionsstatus vid baslinjen mätt med Lansky Play Score (för patienter ≤16 år) eller Karnofskyindexet (för patienter > 16 år) var 100 (71 % av patienterna), 90 (14 % av patienterna) eller 80 (14 % av patienterna). Inkluderingen av patienter efter ålder var 4 patienter i åldern 2 till < 6 år, 8 patienter i åldern 6 till < 12 år och 2 patienter i åldern 12 till < 18 år. Inga patienter under 2 års ålder inkluderades i studien.
Effektdata som bedömts genom oberoende granskning redovisas i tabell 16.
Tabell 16. Effektresultat för ALK-positiv IMT från studie 0912
Pediatriska patienter med ALK-positiv eller ROS1-positiv NSCLC
Europeiska läkemedelsmyndigheten har beviljat undantag från kravet att skicka in studieresultat för XALKORI för alla grupper av den pediatriska populationen för NSCLC (information om pediatrisk användning finns i avsnitt 4.2).
Farmakokinetiska egenskaper för krizotinib har identifierats hos vuxna om inget annat specifikt anges för pediatriska patienter.
Absorption
XALKORI 200 mg och 250 mg hårda kapslar
Efter peroral administrering av en singeldos till fastande patient absorberas krizotinib med en mediantid till maximal koncentration på 4 till 6 timmar. Vid dosering två gånger dagligen uppnåddes steady state inom 15 dagar. Absolut biotillgänglighet för krizotinib beräknades till 43 % efter peroral administrering av en singeldos om 250 mg.
En måltid med hög fetthalt minskade AUCinf och Cmax för krizotinib med omkring 14 % när en singeldos om 250 mg gavs till friska frivilliga försökspersoner. Krizotinib kan tas med eller utan föda (se avsnitt 4.2).
XALKORI-granulat i kapslar avsedda att öppnas
Efter peroral administrering av en singeldos till fastande patient är krizotinib-granulat i kapslar avsedda att öppnas bioekvivalenta med krizotinib-kapslar.
Orala krizotinib-granulat i kapslar avsedda att öppnas som administrerades med en fettrik/kaloririk måltid minskade AUCinf och Cmax för krizotinib med cirka 15 % respektive 23 % jämfört med samma formulering som administrerades vid fastande tillstånd. Krizotinib-granulat i kapslar avsedda att öppnas kan administreras med eller utan mat (se avsnitt 4.2).
Distribution
Det geometriska medelvärdet för distributionen (Vss) av krizotinib var 1772 l efter intravenös administrering av en dos om 50 mg, vilket tyder på omfattande distribution från plasma ut i vävnaderna.
Bindningen av krizotinib till humana plasmaproteiner in vitro är 91 % och är oberoende av läkemedlets koncentration. In vitro‑studier tyder på att krizotinib är ett substrat för P‑glykoprotein (P‑gp).
Metabolism
In vitro‑studier har visat att CYP3A4/5 är de viktigaste enzymerna i metabol clearance av krizotinib. De primära metabolismvägarna hos människa var oxidering av piperidinringen till krizotiniblaktam och O‑deakylering, med efterföljande konjugering i fas 2 av O‑dealkylerade metaboliter.
In vitro‑studier av humana levermikrosomer har visat att krizotinib är en tidsberoende hämmare av CYP2B6 och CYP3A (se avsnitt 4.5). In vitro‑studier har visat att kliniska läkemedelsinteraktioner är osannolika som resultat av krizotinib-medierad hämning av nedbrytningen av läkemedelsprodukter som är substrat för CYP1A2, CYP2C8, CYP2C9, CYP2C19 eller CYP2D6.
In vitro‑studier har visat att krizotinib är en svag hämmare av UGT1A1 och UGT2B7 (se avsnitt 4.5). In vitro‑studier har dock visat att kliniska läkemedelsinteraktioner är osannolika som resultat av krizotinib‑medierad hämning av nedbrytningen av läkemedel som är substrat för UGT1A4, UGT1A6 eller UGT1A9.
In vitro‑studier av humana hepatocyter har visat att kliniska läkemedelsinteraktioner är osannolika som resultat av krizotinib‑medierad induktion av nedbrytningen av läkemedelsprodukter som är substrat för CYP1A2.
Eliminering
Efter singeldoser av krizotinib var observerad halveringstid av krizotinib i plasma hos patienter 42 timmar.
Efter administrering av en singeldos om 250 mg radioaktivt märkt krizotinib till friska försökspersoner, återfanns 63 % av den administrerade dosen i faeces och 22 % i urinen. Oförändrat krizotinib stod för ungefär 53 % respektive 2,3 % av den administrerade dosen i faeces respektive i urinen.
Samtidig administrering av läkemedel som är substrat för transportproteiner
Krizotinib hämmar P‑glykoprotein (P‑gp) in vitro. Krizotinib kan därför ha potential att öka plasmakoncentrationen av samtidigt administrerade läkemedel som är substrat för P‑gp (se avsnitt 4.5).
Krizotinib hämmar OCT1 och OCT2 in vitro. Krizotinib kan därför ha potential att öka plasmakoncentrationen av samtidigt administrerade läkemedel som är substrat för OCT1 eller OCT2 (se avsnitt 4.5)
In vitro hämmade krizotinib inte de humana hepatiska transportproteinerna organisk anjontransporterande polypeptid (OATP)1B1 eller OATP1B3 eller de renala transportproteinerna organisk anjontransportör (OAT)1 eller OAT3 vid kliniskt relevanta koncentrationer. Kliniska läkemedelsinteraktioner är därför osannolika som resultat av krizotinib-medierad hämning av leverns eller njurarnas upptag av läkemedel som är substrat för dessa transportproteiner.
Effekt på andra transportproteiner
In vitro hämmar krizotinib inte gallsaltutförselpumpen (BSEP) vid kliniskt relevanta koncentrationer.
Farmakokinetik i särskilda patientgrupper
Nedsatt leverfunktion
Krizotinib metaboliseras i hög utsträckning i levern. Patienter med lätt (antingen ASAT > ULN och totalt bilirubin ≤ ULN eller ASAT och totalt bilirubin > ULN men ≤ 1,5 × ULN), måttligt (ASAT och totalt bilirubin > 1,5 × ULN och ≤ 3 × ULN) eller kraftigt (ASAT och totalt bilirubin > 3 × ULN) nedsatt leverfunktion eller normal (ASAT och totalt bilirubin ≤ ULN) leverfunktion, som var matchade kontroller för lätt och måttligt nedsatt leverfunktion, rekryterades till en öppen, icke randomiserad klinisk studie (studie 1012), på basis av NCI‑klassificering.
Efter dosering av krizotinib 250 mg två gånger dagligen uppvisade patienter med lätt nedsatt leverfunktion (N=10) liknande systemisk exponering av krizotinib vid steady state jämfört med patienter med normal leverfunktion (N=8), med kvoter för geometriska medelvärden för ytan under plasmakoncentration-tidskurvan vid daglig exponering vid steady state (AUCdagligen) och Cmax på 91,1 % respektive 91,2 %. Ingen justering av startdosen rekommenderas för patienter med lätt nedsatt leverfunktion.
Efter dosering av krizotinib 200 mg två gånger dagligen uppvisade patienter med måttligt nedsatt leverfunktion (N=8) högre systemisk exponering av krizotinib jämfört med patienter med normal leverfunktion (N=9) vid samma dosnivå, med kvoter för geometriska medelvärden för AUCdagligen och Cmax på 150 % respektive 144 %. Den systemiska exponeringen av krizotinib hos patienter med måttligt nedsatt leverfunktion vid dosen 200 mg två gånger dagligen var emellertid jämförbar med den som observerades hos patienter med normal leverfunktion vid en dos på 250 mg två gånger dagligen med kvoter för geometriska medelvärden för AUCdagligen och Cmax på 114 % respektive 109 %.
De systemiska krizotinibexponeringsparametrarna AUCdagligen och Cmax hos patienter med kraftigt nedsatt leverfunktion (N=6) som fick krizotinib i dosen 250 mg en gång dagligen var cirka 64,7 % respektive 72,6 % av parametrarna hos patienter med normal leverfunktion som fick dosen 250 mg två gånger dagligen.
En justering av dosen av krizotinib rekommenderas vid administrering av krizotinib till patienter med måttligt eller kraftigt nedsatt leverfunktion (se avsnitt 4.2 och 4.4).
Nedsatt njurfunktion
Patienter med lätt (60 ≤ CLcr < 90 ml/min) eller måttligt (30 ≤ CLcr < 60 ml/min) nedsatt njurfunktion inkluderades i de enarmade studierna 1001 och 1005. Studierna utvärderade effekten av nedsatt njurfunktion på observerade dalvärden av krizotinib vid steady-state (Ctrough, ss), mätt som baslinje‑CLcr. I studie 1001 var det justerade geometriska medelvärdet för plasma Ctrough, ss hos patienter med lätt (n=35) och måttligt (n=8) nedsatt njurfunktion 5,1 % respektive 11 % högre än hos patienter med normal njurfunktion. I studie 1005 var det justerade geometriska medelvärdet Ctrough, ss för krizotinib hos grupper med lätt (n=191) och måttligt (n=65) nedsatt njurfunktion 9,1 % respektive 15 % högre än hos patienter med normal njurfunktion. Dessutom använde den farmakokinetiska populationsanalysen data från studie 1001, 1005 och 1007 som indikerade att CLcr inte hade någon kliniskt signifikant effekt på farmakokinetiken för krizotinib. På grund av de små ökningarna i exponering för krizotinib (5 %–15 %) rekommenderas ingen ändring av startdosen för patienter med lätt eller måttligt nedsatt njurfunktion.
Efter 250 mg krizotinib som engångsdos sågs en ökning av AUCinf och Cmax med 79 % respektive 34 % hos patienter med kraftigt nedsatt njurfunktion (CLcr < 30 ml/min) som inte behandlas med peritonealdialys eller hemodialys jämfört med patienter med normal njurfunktion. En justering av dosen av krizotinib rekommenderas vid behandling av patienter med kraftigt nedsatt njurfunktion som inte behandlas med peritonealdialys eller hemodialys (se avsnitt 4.2 och 4.4).
Pediatrisk population för cancerpatienter
Vid en doseringsregim på 280 mg/m2 två gånger dagligen (ungefär 2 gånger den rekommenderade vuxendosen) är den observerade koncentrationen av krizotinib före administrering (Ctrough) vid steady state likartad oavsett kroppsviktskvartil. Den observerade genomsnittliga Ctrough vid steady state hos pediatriska patienter med 280 mg/m2 två gånger dagligen är 482 ng/ml. Hos vuxna cancerpatienter med 250 mg två gånger dagligen varierade den genomsnittliga Ctrough vid steady state från 263 till 316 ng/ml i olika kliniska studier.
Hos pediatriska patienter har kroppsvikten en signifikant effekt på farmakokinetiken för krizotinib, där lägre krizotinib-exponering har observerats hos patienter med högre kroppsvikt.
Ålder
Baserat på den farmakokinetiska populationsanalysen av data för vuxna från studierna 1001, 1005 och 1007 har ålder ingen effekt på farmakokinetiken för krizotinib (se avsnitt 4.2 och 5.1).
Kroppsvikt och kön
Baserat på den farmakokinetiska populationsanalysen av data för vuxna från studierna 1001, 1005 och 1007 hade kroppsvikt eller kön ingen kliniskt relevant effekt på farmakokinetiken för krizotinib.
Etnicitet
Baserat på den populationskinetiska analysen av data från studierna 1001, 1005 och 1007 var predikterad area under kurvan för plasmakoncentration‑tid (AUCSS) (95 % KI) i steady state 23 %‑37 % högre hos asiatiska patienter (n=523) än hos icke‑asiatiska patienter (n=691).
I studier på patienter med ALK‑positiv avancerad NSCLC (n=1669) rapporterades följande biverkningar med en absolut skillnad på ≥ 10 % hos asiatiska patienter (n=753) jämfört med icke‑asiatiska patienter (n=916): förhöjda transaminaser, minskad aptit, neutropeni och leukopeni. Ingen biverkning rapporterades med en absolut skillnad på ≥ 15 %.
Äldre
Det finns endast begränsade data för denna patientundergrupp (se avsnitt 4.2, 4.4 och 5.1). Baserat på den farmakokinetiska populationsanalysen av data från studierna 1001, 1005 och 1007 har ålder ingen effekt på farmakokinetiken för krizotinib.
Hjärtats elektrofysiologi
Krizotinibs potential för att förlänga QT‑intervallet bedömdes hos patienter med antingen ALK‑positiv eller ROS1‑positiv NSCLC som fick krizotinib 250 mg två gånger dagligen. Tre EKG togs i en serie efter en singeldos och vid steady state för att bedöma krizotinibs effekt på QT‑intervallet. 34 av 1619 patienter (2,1 %) med minst 1 EKG taget efter baslinjen befanns ha ett QTcF på ≥ 500 msek, och 79 av 1585 patienter (5,0 %) med ett baslinje‑EKG och minst 1 EKG taget efter baslinjen hade en ökning av QTcF från baslinjen på ≥ 60 msek, vid automatiskt maskinavläst EKG (se avsnitt 4.4).
En delstudie, där man blindat, manuellt avläste EKG, utfördes på 52 ALK‑positiva patienter med NSCLC som fick krizotinib 250 mg två gånger dagligen. 11 (21 %) patienter hade en ökning från baslinjen av QTcF‑värdet ≥ 30 till < 60 msek och 1 (2 %) patient hade en ökning från baslinjen av QTcF‑värdet på ≥ 60 msek. Ingen patient hade ett maximalt QTcF ≥ 480 msek. Den centrala tendensanalysen indikerade att alla övre gränser för 90 % KI för LS‑medelvärdet för förändring från baslinjen av QTcF vid alla tidpunkter på dag 1 i cykel 2 var < 20 msek. En farmakokinetisk/farmakodynamisk analys visade på ett sannolikt samband mellan plasmakoncentrationen av krizotinib och QTc. Dessutom konstaterades en sänkning av hjärtfrekvensen vara förknippad med ökande plasmakoncentrationer av krizotinib (se avsnitt 4.4) med en maximal genomsnittlig sänkning på 17,8 slag per minut (bpm) efter 8 timmar på dag 1 i cykel 2.
Vid toxicitetsstudier på råtta och hund som fick upprepade doser i upp till 3 månader var de främsta organeffekterna gastrointestinala (emesis, fekala förändringar, förstoppning), hematopoetiska (hypercellularitet i benmärgen), kardiovaskulära (blandad jonkanalblockering, sänkt hjärtfrekvens och blodtryck, ökat LVEDP, förlängt QRS- och PR‑intervall samt nedsatt myokardkontraktilitet) eller reproduktiva (testikulär pachyten spermatocytdegeneration, singelcellnekros i ovarialfolliklar). NOAEL (No Observed Adverse Effect Levels) för dessa fynd var antingen subterapeutiska eller upp till 1,3 gånger den kliniska exponeringen hos människa, baserat på AUC. Andra fynd var leverpåverkan (förhöjda levertransaminaser) och effekt på retina, samt risk för fosfolipidos i multipla organ utan samband med toxicitet.
Krizotinib hade ingen mutagen effekt in vitro vid analys av omvänd mutation hos bakterier (Ames-analys). Krizotinib var aneugent i en mikronukleusanalys in vitro på ovarialceller från kinesisk hamster, samt i en in vitro‑analys av kromosomavvikelser hos humana lymfocyter. Små ökningar av strukturella kromosomavvikelser vid cytotoxiska koncentrationer sågs hos humana lymfocyter. Nivån för ingen observerad effekt (NOEL) för aneugenicitet var ungefär 1,8 till 2,1 gånger den kliniska exponeringen hos människa, baserat på AUC.
Karcinogenicitetsstudier med krizotinib har inte utförts.
Inga specifika djurstudier av krizotinib med syfte att utvärdera effekten på fertiliteten har utförts. Krizotinib kan ändå anses ha en potentiell nedsättande effekt på reproduktionsfunktion och fertilitet hos människa baserat på fynden i en toxicitetsstudie med upprepade doser på råtta. De fynd som observerats i manliga könsorgan är testikulär pachyten spermatocytdegeneration hos råtta som fick ≥ 50 mg/kg/dag i 28 dagar (ungefär 1,1 till 1,3 gånger den kliniska exponeringen hos människa, baserat på AUC). De fynd som observerats i kvinnliga könsorgan är singelcellnekros i ovarialfolliklar hos råtta som fick 500 mg/kg/dag i 3 dagar.
Krizotinib visade inga teratogena effekter hos dräktiga råttor eller kaniner. Ökade postimplantationsförluster sågs vid doser ≥ 50 mg/kg/dag (ungefär 0,4 till 0,5 gånger AUC vid den rekommenderade dosen för människa) hos råtta. Lägre fostervikt bedömdes som biverkningar hos råtta och kanin som fick 200 respektive 60 mg/kg/dag (ungefär 1,2 till 2,0 gånger den kliniska exponeringen hos människa, baserat på AUC).
Försämrad benbildning i växande rörben observerades hos immatura råttor vid 150 mg/kg/dag efter dosering en gång dagligen i 28 dagar (ungefär 3,3 till 3,9 gånger den kliniska exponeringen hos människa, baserat på AUC). Andra toxiska reaktioner som kan vara av särskild betydelse för pediatriska patienter har inte utvärderats hos juvenila djur.
Resultaten av en fototoxicitetsstudie in vivo visade att krizotinib kan ha fototoxisk potential.
Tryckfärg
Shellack (E904)
Propylenglykol (E1520)
Kaliumhydroxid (E525)
Svart järnoxid (E172)
XALKORI 20 mg, 50 mg och 150 mg granulat i kapslar avsedda att öppnas
Granulatinnehåll
Stearylalkohol
Poloxamer
Sackaros
Talk (E553b)
Hypromellos (E464)
Makrogol (E1521)
Glycerylmonostearat (E471)
Medellångkedjiga triglycerider
Kapselhölje
Gelatin
Titandioxid (E171)
Briljantblått (E133) eller svart järnoxid (E172)
Tryckfärg
Shellack (E904)
Propylenglykol (E1520)
Kaliumhydroxid (E525)
Svart järnoxid (E172)
Ej relevant.
XALKORI 200 mg och 250 mg hårda kapslar
4 år.
XALKORI 20 mg, 50 mg och 150 mg granulat i kapslar avsedda att öppnas
2 år.
XALKORI 200 mg och 250 mg hårda kapslar
Inga särskilda förvaringsanvisningar.
XALKORI 20 mg, 50 mg och 150 mg granulat i kapslar avsedda att öppnas
Förvaras vid högst 25 oC.
XALKORI 200 mg och 250 mg hårda kapslar
HDPE‑burk med polypropenlock, innehållande 60 hårda kapslar.
PVC‑folieblister innehållande 10 hårda kapslar.
Varje kartong innehåller 60 hårda kapslar.
Eventuellt kommer inte alla förpackningsstorlekar att marknadsföras.
XALKORI 20 mg, 50 mg och 150 mg granulat i kapslar avsedda att öppnas
XALKORI-granulat tillhandahålls i burkar av högdensitetspolyeten (HDPE) med ett barnskyddande polypropenlock och en värmeinduktionsförsegling av aluminiumfolie/polyeten, innehållande 60 kapslar avsedda att öppnas.
Ej använt läkemedel och avfall, t.ex. kapselhöljen från formuleringen med granulat i kapslar avsedda att öppnas, ska kasseras enligt gällande anvisningar. Tomma XALKORI-kapselhöljen som använts för granulat ska kasseras bland hushållsavfall.
XALKORI 200 mg och 250 mg hårda kapslar
Kapselinnehåll
Kolloidal vattenfri kiseldioxid
Mikrokristallin cellulosa
Vattenfritt kalciumvätefosfat
Natriumstärkelseglykolat (typ A)
Magnesiumstearat
Kapselhölje
Gelatin
Titandioxid (E171)
Röd järnoxid (E172)
Tryckfärg
Shellack (E904)
Propylenglykol (E1520)
Kaliumhydroxid (E525)
Svart järnoxid (E172)
XALKORI 20 mg, 50 mg och 150 mg granulat i kapslar avsedda att öppnas
Granulatinnehåll
Stearylalkohol
Poloxamer
Sackaros
Talk (E553b)
Hypromellos (E464)
Makrogol (E1521)
Glycerylmonostearat (E471)
Medellångkedjiga triglycerider
Kapselhölje
Gelatin
Titandioxid (E171)
Briljantblått (E133) eller svart järnoxid (E172)
Tryckfärg
Shellack (E904)
Propylenglykol (E1520)
Kaliumhydroxid (E525)
Svart järnoxid (E172)
Ej relevant.
XALKORI 200 mg och 250 mg hårda kapslar
4 år.
XALKORI 20 mg, 50 mg och 150 mg granulat i kapslar avsedda att öppnas
2 år.
XALKORI 200 mg och 250 mg hårda kapslar
Inga särskilda förvaringsanvisningar.
XALKORI 20 mg, 50 mg och 150 mg granulat i kapslar avsedda att öppnas
Förvaras vid högst 25 oC.
XALKORI 200 mg och 250 mg hårda kapslar
HDPE‑burk med polypropenlock, innehållande 60 hårda kapslar.
PVC‑folieblister innehållande 10 hårda kapslar.
Varje kartong innehåller 60 hårda kapslar.
Eventuellt kommer inte alla förpackningsstorlekar att marknadsföras.
XALKORI 20 mg, 50 mg och 150 mg granulat i kapslar avsedda att öppnas
XALKORI-granulat tillhandahålls i burkar av högdensitetspolyeten (HDPE) med ett barnskyddande polypropenlock och en värmeinduktionsförsegling av aluminiumfolie/polyeten, innehållande 60 kapslar avsedda att öppnas.
Ej använt läkemedel och avfall, t.ex. kapselhöljen från formuleringen med granulat i kapslar avsedda att öppnas, ska kasseras enligt gällande anvisningar. Tomma XALKORI-kapselhöljen som använts för granulat ska kasseras bland hushållsavfall.
XALKORI 200 mg hårda kapslar
EU/1/12/793/001
EU/1/12/793/002
XALKORI 250 mg hårda kapslar
EU/1/12/793/003
EU/1/12/793/004
XALKORI 20 mg granulat i kapslar avsedda att öppnas
EU/1/12/793/005
XALKORI 50 mg granulat i kapslar avsedda att öppnas
EU/1/12/793/006
XALKORI 150 mg granulat i kapslar avsedda att öppnas
EU/1/12/793/007
Produktresumén är företagets information om läkemedlet riktat till förskrivare och personal inom sjukvård och apotek. Dokumentet är godkänt av Läkemedelsverket eller den europeiska läkemedelsmyndigheten EMA i samband med att läkemedlet godkänns för marknadsföring.